Abstract
Clove, Syzygium aromaticum, is a medicinal plant from the Myrtaceae family with various applications in traditional medicine. The plant has been studied for its analgesic, anti-inflammatory, antiviral, and anticancer properties. This study focuses on the green synthesis of silver nanoparticles using clove leaf extract. The synthesized NPs were characterized using chemical methods and their anticancer activity was tested against a leukemia cell line, along with the signaling pathway that followed. The AgNPs were synthesized in a spherical shape and were less than 50 nm in size. The cytotoxic effects of the AgNPs on PCS-800-011 primary peripheral blood mononuclear cells and 32D-FLT3-ITD leukemia cells were evaluated over 48 h using the 3-(4,5-dimethylthiazol-2-yl)-2,5-diphenyltetrazolium bromide assay. The cancer cells showed reduced viability with an IC50 value of 162 µg/mL after exposure to the AgNPs. Through a detailed examination of the mTOR pathway, it was observed that AgNPs can alter the phosphatidylinositol 3-kinase/protein kinase B/mammalian target of rapamycin pathway, affecting 32D-FLT3-ITD cell growth and death. This pathway may contribute to the inhibition of the cell cycle and induction of apoptosis by AgNPs. For this reason, AgNPs may be used as a natural anti-cancer treatment for leukemia.
Graphical abstract

1 Introduction
Nanotechnology is one of the most groundbreaking developments of the twenty-first century. This field involves the transdisciplinary synthesis, management, and application of materials smaller than 100 nm. Nanoparticles (NPs), the products of nanotechnology are widely used in various fields such as technology, health, food, agriculture, environment, biotechnology, biomedicine, and medicine [1–3]. NPs are increasingly recognized for their potential in therapeutic applications, particularly in targeting specific patient cells or abnormal tissues through both passive and active targeting mechanisms. Various innovative strategies employing NPs have been developed, with a significant focus on addressing tumor heterogeneity and the tumor microenvironment. This has provided valuable insights for clinicians and nanotechnologists working toward the advancement of targeted drug delivery systems aimed at abnormal cells [4–6]. The investigation of modern NPs as a cohesive platform in treatment strategies aims to enhance effectiveness, safety, biocompatibility, and specificity while reducing toxicity and addressing the limitations of conventional chemotherapy. The integration of NPs into therapeutic approaches holds the potential to overcome major challenges associated with traditional treatments [5–8]. Silver nanoparticles (AgNPs) are being increasingly used in oncology for therapeutic and diagnostic purposes, providing novel strategies for cancer treatment. Their uses range from acting as nanocarriers for targeted delivery of chemotherapeutic agents to improving the effectiveness of photodynamic therapy and radiation therapy [9–11]. AgNPs have gained significant attention in the fields of diagnostics and research due to their various therapeutic applications. Recent studies have highlighted their potential cardiovascular protective effects, in addition to their established roles in cancer therapy [7–10]. Numerous research projects are currently focused on developing NPs as a viable option for designing drugs that can selectively target abnormal cells. This approach aims to enhance the efficacy of treatments while minimizing side effects commonly associated with traditional therapies [7–9]. Research indicates that AgNPs can effectively trigger apoptosis and sensitize abnormal cells, making them a promising candidate in cancer therapy. The effects of AgNPs are mediated through several mechanisms, including changes in cell morphology, decreased metabolic activity and lifespan, and the induction of oxidative stress. Reactive oxygen species (ROS) generation rises and mitochondrial damage results from these activities. These changes ultimately result in DNA damage, contributing to cell death [9–11].
Since ancient times, people from all civilizations and cultures have used medicinal and fragrant plants for various purposes such as nutrition, cosmetics, religion, therapy, and beautification. Additionally, they are used in nutrition as condiments, flavorings, herbal teas, and dietary supplements. These plants have a wide range of applications in industries such as cosmetics, fragrances, and body care products [12–15]. Clove, scientifically known as Syzygium aromaticum, is a medicinal plant from the Myrtaceae family that has gained significant attention in traditional medicine. Native to the Maluku Islands (Moluccas) in Indonesia, cloves are the aromatic flower buds of an evergreen tree that can grow between 8 and 12 m tall. They are widely recognized for their culinary uses as well as their various pharmacological properties [16–18]. Clove is a notable medicinal plant recognized for its rich chemical composition, which includes a significant amount of volatile essential oil, tannins, caryophyllene, triterpenes, and various esters. These compounds contribute to its numerous therapeutic properties and applications in traditional medicine [18,19]. Clove is not only valued for its culinary uses but also for its extensive medicinal properties, largely attributed to its rich chemical composition. Among the notable constituents are various glycosides, including light alcohols, monoterpenoids, eugenol, isoeugenol, farnesol, sitosterol, nerolidol, and campesterol. These compounds contribute to the therapeutic benefits of clove oil, which is extracted from the flower buds of the plant [19]. Clove oil is recognized for its numerous therapeutic benefits, particularly in treating wounds, injuries, and the effects of insect bites, especially on sensitive skin. Its rich composition of bioactive compounds, including eugenol, contributes to its effectiveness in these applications [17,18]. Clove oil is widely recognized for its effectiveness in treating various skin conditions, particularly acne. Its antibacterial and antiseptic properties make it a valuable ingredient in anti-pimple formulations, especially for addressing purulent pimples [17–19]. The plant extract has been traditionally utilized as an analgesic in dentistry and is gaining recognition for its complex antioxidant compounds, which may contribute to its anticancer effects. Recent research underscores the multifaceted benefits of clove, particularly its potent antioxidant properties and potential therapeutic applications [18,19].
Silver has shown promising potential for leukemia treatment due to its unique properties and advantages. In the present study, we focused on the green synthesis of AgNPs using the aqueous extract of the leaves of S. aromaticum, and evaluated the physio-chemical characteristics of the NPs using analytical methods. Furthermore, the application of NPs to prevent leukemia and cytotoxicity was evaluated by following the phosphatidylinositol 3-kinase/protein kinase B/mammalian target of rapamycin (PI3K/AKT/mTOR) signaling pathway. The PI3K/AKT/mTOR pathway is frequently overactive in cancer cells, resulting in unchecked cell survival, growth, and proliferation [20]. This pathway is essential in multiple facets of cancer progression, such as the formation of new blood vessels, the spread of cancer to other parts of the body, and the ability to withstand treatments [21]. Malfunctions in elements of this pathway, including excessive activity of PI3K, increased activity of AKT, and loss of mTOR function, are well-known contributors to treatment resistance and the advancement of cancer. Understanding the disruption of this pathway is crucial for creating successful cancer therapies [20,21].
2 Experimental
2.1 Green formulation of AgNPs
According to the principles of green chemistry, water is considered the best solvent for reactions due to its environmentally friendly nature and low cost. Additionally, plant aqueous extract are commonly used because they contain diverse array of natural biomolecules, such as flavonoids, phenolics, terpenoids, alkaloids, polyphenols, proteins, and carbohydrates which play essential roles in the synthesis process [22,23]. To demonstrate this, 10 g of dried leaves from S. aromaticum were ground and boiled in 150 mL of water for 10 min. After filtration, 20 mL of the resulting extract was combined with 100 mL of silver nitrate (10 mM) and stirred at a temperature of 50°C. After 24 h, AgNPs were produced. The precipitate was washed three times, centrifuged, and dried. The newly formed NPs were then subjected to characterization and used in biological experiments.
2.2 Chemical characterization
Several methods were used to characterize the produced AgNPs. A Shimadzu Fourier transform infrared (FT-IR) 8400 was used to capture the FT-IR spectra in the 400–4,000 cm−1 (KBr disc) range, while a Cary 50 was utilized to collect the UV–Vis spectrum (200–800 nm). The energy dispersive X-ray spectroscopy result and field emission scanning electron microscopy (FE-SEM) images were reported using MIRA3TESCAN-XMU. The transmission electron microscopy (TEM) image was recorded by a Philips EM 208S. A Stoe instrument was used to record the X-ray diffraction (XRD) pattern of MnNPs in the 2θ range of 20–80 at 40 kV and Cu-Kα radiation (1.5406 Å).
2.3 Evaluation of anti-leukemia properties
The 3-(4,5-dimethylthiazol-2-yl)-2,5-diphenyltetrazolium bromide (MTT) assay was used to evaluate the cytotoxic effects of AgNPs on both PCS-800-011 primary peripheral blood mononuclear cells and FLT3-ITD mutant 32D stable cell line (32D-FLT3-ITD) leukemia cells. Each type of cell was cultured separately in plates with 1 × 105 cells per well. AgNPs were applied to the cells over 24 h at successive dosages ranging from 1 to 1,000 µg/mL. About 100 µL of 0.5 mg/mL MTT solvent (Product No. 88417, Sigma-Aldrich Company, USA) was added to each well to replace the medium for cytotoxicity assessment. After 4 h of dark incubation at 37°C, the medium was removed, and 0.1 mL of dimethyl sulfoxide was added to each well and mixed for 10 min. A microplate reader (Bio-Rad, CA, USA) was used to measure the absorbance at 570 nm. Cell viability was calculated using the following formula [24]:
The program GraphPad Prism version 9 was used to calculate the half-maximal inhibitory concentration (IC50) values. Additionally, a digital camera-equipped phase-contrast inverted microscope (Olympus, Japan) was used to observe the cellular morphology of both untreated and treated cells.
2.4 Molecular section of the study
The LDH test using cancer cells utilized the IC50 concentration. Following the instructions provided with the appropriate kit, membrane damage was assessed after treatment with NPs at the specified IC50 concentration. A spectrophotometer set to 450 nm was then used to measure the absorbance of NPs. As previously reported, 106 PCS-800-011 and 32D-FLT3-ITD cells were used to measure ROS production using the DCFH2-DA staining test after incubation with NPs at IC50 concentrations and subsequent washing with PBS (Product No. BI-1401-05, Bio Idea Co., USA). The FITC probe (Product No. 33264, Cayman Chemical Company, USA) was used to detect apoptosis in PCS-800-011 and 32D-FLT3-ITD cells. A flow cytometer was then used to compare the percentage of apoptotic cells to the control group. One gram of RNA was used to create cDNA. The Applied Biosystems Step One Plus Real-Time PCR System (Product No. 4376592, Thermo Fisher Scientific Company, USA) was used in conjunction with the SYBR® Premix Ex TaqTM II Kit (Product No. RR820A, Takara Bio Company, Japan) by the mentioned primers in Table 1 [24].
List of forward (F) and reverse (R) primers sequences
| Genes | Primer sequence |
|---|---|
| β-Actin | F-CCAACCGCGAGAAGATGA |
| R-CCAGAGGCGTACAGGGATAG | |
| Bcl2 | F-TGGACAACCATGACCTTGGACAATCA |
| R-TCCATCCTCCACCAGTGTTCCCATC | |
| Bax | F-TTCATCCAGGATCGAGCAGG |
| R-TGAGACACTCGCTCAGCTTC | |
| Caspase-3 | F-AGGACTCTAGACGGCATCCA |
| R-CAGTGAGACTTGGTGCAGTGA | |
| PI3K | F-CCACGACCATCATCAGGTGAA |
| R-CCTCACGGAGGCATTCTAAAGT | |
| AKT | F-TGAGGAGCGGGAGGAGTG |
| R-GAGGATCTTCATGGCGTAGTAGC | |
| mTOR | F-CAATGCTATGGAGGTTACAGG |
| R-ATCGCTTGTTGCCTTTGG |
2.5 Statistical analysis
SPSS-23 was used for data analysis, which included one-way ANOVA and a post hoc Dunnett’s multiple range test following a one-way analysis variance. The data were presented as mean ± standard error. The threshold for statistical significance was set at p ≤ 0.01.
3 Results and discussion
3.1 Chemical characterization
Several analytical methods were utilized to characterize the produced AgNPs. The XRD pattern of the AgNPs is depicted in Figure 1, revealing their crystallinity. Significant peaks were observed at 2θ values of 37.835°, 44.180°, 64.205°, and 77.105°, corresponding to the crystalline planes (111), (200), (220), and (311). These results are consistent with the standard data from Joint Committee on Powder Diffraction Standards card (JCPDS card) 04-0783. The crystal size of the AgNPs was determined to be 30.03 nm using the Debye–Scherrer equation. Remarkably, these synthetic NPs demonstrated a smaller size compared to the crystal sizes reported for AgNPs that were green-synthesized using plant extracts such as Gongronema latifolium and Berberis vulgaris [25,26].

XRD pattern for the synthetic AgNPs using S. aromaticum extract.
Energy dispersive X-ray (EDX) analysis is an effective technique for elemental assessment of nanomaterials, providing detailed information about the elemental composition of the NPs. The EDX diagram reveals critical data about the NPs including confirmation of the target metal, elemental purity, and presence of other elements [27,28]. The EDX spectrum of AgNPs is shown in Figure 2, with peaks at energies of 3.02 and 2.64 keV corresponding to Ag Lβ and Ag Lα, respectively. Signals at 0.27 keV (C Lα) and 0.52 keV (O Lα) indicate the secondary metabolites binding from S. aromaticum to the surface of the synthesized AgNPs. Similar findings have been reported by Baghayeri et al., who observed comparable signals for AgNPs synthesized using Salvia leriifolia extract [29]. Moreover, by mapping the elemental distribution, EDX can help assess whether the metallic NPs are uniformly distributed and if the synthesis process yielded a consistent product revealing whether the metal and other elements (such as carbon and oxygen from plant biomolecules) are uniformly or heterogeneously spread [30,31]. The EDX mapping analysis in Figure 3, confirms the successful synthesis of AgNPs and the attachment of organic compounds to the NPs with a uniform distribution of elements of silver, oxygen, and carbon.

EDX diagram for the synthetic AgNPs using S. aromaticum extract.

EDX mapping of the synthetic AgNPs using S. aromaticum extract.
Figure 4(a) and (b) presents the FE-SEM images of AgNPs. The AgNPs are completely formed in a spherical and aggregated morphology, which is a common physical property for AgNPs and other metallic NPs reported by many research groups [29,32–35]. The images show an average size of less than 50 nm for AgNPs in this study. Figure 5 displays the TEM image of AgNPs, which also reveals a spherical morphology and aggregation similar to the FE-SEM images. The size of the AgNPs in the TEM results was found to be the same as in the FE-SEM results. Both analyses show aggregation for the synthesized NPs. According to previous studies, aggregation usually leads to a decrease in biological activity because aggregated particles have less surface area and altered interactions with cells or microbes [36,37]. However, the AgNPs synthesized using S. aromaticum extract exhibited acceptable anticancer activity against 32D-FLT3-ITD cell.

FE-SEM images of the synthetic AgNPs using S. aromaticum extract at different scales. (a) 500 nm; (b) 200 nm.

TEM image of the synthetic AgNPs using S. aromaticum extract.
Surface plasmon resonance (SPR) is a phenomenon that occurs when photons excite the electrons on a metal surface. This phenomenon is investigated using UV–Vis spectroscopy, which is a sufficient technique to characterize metallic NPs [38]. The UV–visible spectrum of AgNPs is presented in Figure 6, with bands at 223, 260, and 346 nm indicating the successful formation of AgNPs. Renuka et al. reported bands at 235, 302, and 449 nm for the green synthetic NPs [39]. The primary cause of the variation in the wavelengths of the measured SPR for AgNPs is the reported NP size in the two investigations.

UV–visible spectrum of the synthetic AgNPs using S. aromaticum extract.
The FT-IR spectra of AgNPs and S. aromaticum extract are shown in Figure 7. The FT-IR method is a well-known qualitative approach for identifying metallic NPs. The FT-IR spectra of metal NPs synthesized using plant extracts reveal a close relationship between the functional groups present in the plant extract and the surface chemistry of the resulting NPs. This relationship is key to understand the synthesis mechanism, stabilization, and capping of the NPs. These compounds act as reducing agents that convert metal ions [40–42]. For metallic NPs, peaks in the range of 400–4,000 cm−1 are typically associated with metal bonds [32]. The peaks at 519 and 574 cm−1 are characteristic of AgNPs [24]. A comparison between the spectra of S. aromaticum extract and AgNPs reveals a similarity in the peaks of both spectra, confirming the linkage of the plant extract to the AgNPs surface. For example, bands such as those at 1,028, 1,603–1,714, 2,931, and 3,273 cm−1 are attributed to stretching vibration bands of C–O, C\C, C\O, C–H, and O–H, which are functional groups found in organic compounds such as flavonoids, terpenoids, phenolics, aldehydes, ketones, and other secondary metabolites that are abundant in S. aromaticum extract. The presence of these functional groups on the NP surface, as evidenced by FT-IR, implies that the phytochemicals form a capping layer around the NPs. This capping stabilizes the NPs by reducing agglomeration and providing biocompatibility [43,44]. These peaks often shift in position or change in intensity compared to the pure plant extract spectra, indicating interaction between the phytochemicals and the NP surface. Such shifts confirm that these functional groups are involved in the reduction and capping process. Thus, FT-IR spectral analysis clearly supports that the bioactive moieties of S. aromaticum leaf extract are preserved and play a key role in the formation and stabilization of the synthesized AgNPs.

FT-IR spectrum of the synthetic AgNPs using S. aromaticum extract.
3.2 Anti-leukemia effects of AgNPs
Recent studies have revealed that AgNPs exhibit a high degree of selectivity toward cancer cells, surpassing the therapeutic indices of certain commonly used chemotherapeutic drugs in animal studies. While metal-oxide NPs are considered safe (GRAS), their impact on cancer cells can range from benign to malignant. Through metal cation homeostasis, the metal ion can enter a normal cell and either inhibit cancer cell growth or serve as a supplement. Conversely, the remaining metal ions can act as antioxidants or ROS, respectively [24]. To assess the potential and safety for systemic use, it is crucial to conduct both in vitro and in vivo research on the cytotoxic effects of NPs produced using a green synthesis approach.
In this investigation, AgNPs appear to exhibit anticancer activity on 32D-FLT3-ITD human leukemia cells due to their antioxidant properties. As shown in Figures 8 and 9, AgNPs significantly decreased the viability of cancer cells, partculary the 32D-FLT3-ITD human leukemia cell line. Figure 9 demonstrates that the IC50 value of the NPs against 32D-FLT3-ITD human leukemia cells was 162 µg/mL. Despite the aggregation of NPs which resulted from the FE-SEM image the AgNPs revealed acceptable anti-cancer activity against the leukemia cells.

Activities of AgNPs@S. aromaticum at different concentrations (0–1,000 µg/mL) on the PCS-800-011 primary peripheral blood mononuclear cells viability (%).

Activities of AgNPs@S. aromaticum at different concentrations (0–1,000 µg/mL) on the leukemia 32D-FLT3-ITD cell viability (%).
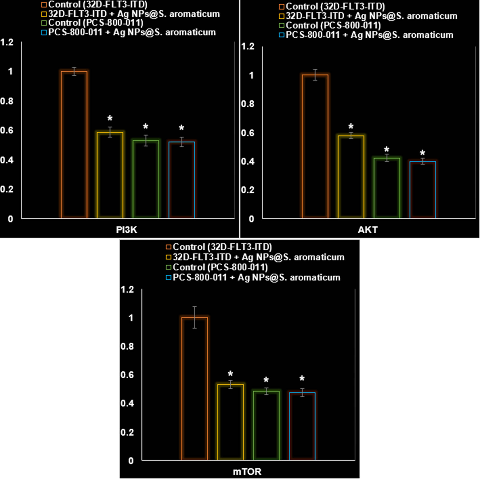
In addition to significantly impacting the PI3K/AKT/mTOR pathway within 32D-FLT3-ITD human leukemia cells (P ≤ 0.01), AgNPs@S. aromaticum also significantly increased the levels of ROS, apoptosis, and LDH release (P ≤ 0.01). Figures 10–13 provide evidence that AgNPs@S. aromaticum exhibits protective properties against 32D-FLT3-ITD human leukemia in vitro. Recent molecular data further demonstrates that AgNPs@S. aromaticum significantly upregulated the levels of Caspase-3 and Bax mRNA expression (P ≤ 0.01), while downregulating Bcl2 mRNA expression in 32D-FLT3-ITD human leukemia cells (P ≤ 0.01) (Figure 12). Additionally, AgNPs@S. aromaticum significantly decreased the fold change in mRNA expression of PI3K, AKT, and mTOR compared to the control group 32D-FLT3-ITD human leukemia cells (P ≤ 0.01) (Figure 13). No significant difference between the Control (PCS-800-011) and PCS-800-011 + AgNPs@S. aromaticum groups in the above parameters (P ≤ 0.01) (Figures 10–13).

Effects of AgNPs@S. aromaticum on the PCS-800-011 and 32D-FLT3-ITD cell line’s ROS (a.u.) and apoptosis (%).

Effects of AgNPs@S. aromaticum on the PCS-800-011 and 32D-FLT3-ITD cell line’s LDH release (%).

Effects of AgNPs@S. aromaticum on the PCS-800-011 and 32D-FLT3-ITD cell line’s Bax, Bcl2, and Caspase-3 mRNA expression levels (fold exchange of mRNA).

Characteristics of AgNPs@S. aromaticum on the control of the PCS-800-011 and 32D-FLT3-ITD cell line’s PI3K/AKT/mTOR signaling pathway (fold exchange of mRNA).
The findings from our investigation align with the research conducted by Gu et al. [45], who reported an IC50 value of 27.45 μg/mL after 24 h of incubation. The difference in incubation duration could be related to the utilization of artificially synthesized NPs in their study, as opposed to our naturally derived NPs. However, our findings contrast significantly with those of Alipour et al. [46]. Their research focused on examining the cytotoxic impact of NPs on SKOV3 cell lines, revealing an IC50 value of 8.05 μM after 72 h. The variation in results could be attributed to the utilization of distinct methods for assessing cytotoxicity (MTT assay versus SRB assay), in addition to the potential influence of naturally sourced NPs. The findings indicated a notable enhancement in response to Cisplatin in SKOV3 cells upon treatment with NPs. According to the current investigation, it is evident that NPs derived from natural sources exhibit great potential as an effective anticancer agent specifically for breast cancer. NPs exhibited a noticeable cytotoxic effect on 32D-FLT3-ITD cells, along with a definite concentration–response relationship (Figures 8–13).
The utilization of rod-shaped nanostructures for remedial purposes is supported by the promising findings of this study, as well as the ongoing advancements in green nanotechnology [47]. Previous studies have reported that NPs induce proteotoxic stress and acute oxidative stress in ovarian carcinoma cells, leading to their death and apoptosis [47,48]. The primary mechanism of toxicity from NP exposure is the production of ROS through oxidative stress. Increased levels of ROS serve as triggers for apoptosis. NPs cause a significant increase in the levels of cell cycle checkpoint proteins p53, caspase-3, and Bax, while simultaneously decreasing the expression of the antiapoptotic protein Bcl-2 [48]. Additionally, it has been observed that NPs have the ability to induce apoptosis through intrinsic mitochondrial pathways. They can initiate apoptosis by decreasing the potential of the mitochondrial membrane and, on the other hand, increasing the ratio of Bax to Bcl2 [49]. The HA/ZnO nanocomposite, synthesized using green methods, shows promising potential as a highly effective cancer therapy [50]. According to previous studies, AgNPs induce apoptosis in leukemia cells primarily through the generation of ROS, leading to oxidative stress, DNA damage, and mitochondrial dysfunction [51]. Studies have shown that AgNPs inhibit the viability of acute myeloid leukemia cells by increasing ROS production, which triggers the intrinsic mitochondrial apoptotic pathway characterized by cytochrome c release, activation of caspase-9 and caspase-3, and modulation of Bcl-2 family proteins with increased pro-apoptotic Bax and decreased anti-apoptotic Bcl-2 expression [51–53]. In chronic lymphocytic leukemia cells, AgNPs cause mitochondrial membrane depolarization and calcium dysregulation, further promoting apoptosis [53–55]. Additionally, AgNPs can sensitize leukemia cells to chemotherapeutic agents, such as 4-HPR, enhancing apoptotic cell death. These effects are supported by evidence of DNA repair gene modulation, such as increased MLH1 expression, which contributes to apoptosis. Overall, AgNPs induce leukemia cell apoptosis via oxidative stress-mediated mitochondrial pathways, caspase activation, and gene regulation, making them promising candidates for leukemia therapy [52,53].
4 Conclusion
In conclusion, an aqueous extract of S. aromaticum was utilized to environmentally friendly manufacture AgNPs. The applied analytical techniques confirmed the synthesis of AgNPs. The TEM and FE-SEM images revealed a spherical morphology for AgNPs with a tendency to aggregate, and the average size of AgNPs was less than 50 nm. Results from UV–Vis and FT-IR spectrophotometers confirmed the formation of AgNPs. The effectiveness against leukemia cells decreased as the concentration of AgNPs@S. aromaticum increased. There was a dose-dependent correlation between leukemia cell survival and AgNPs@S. aromaticum, indicating anti-leukemia properties. The findings suggest that following further human clinical studies, AgNPs@S. aromaticum may have application in the biomedical industry.
-
Funding information: This study was supported by Shaanxi Provincial Department of Science and Technology, General Project-Social Development Field, Project Number: 2021SF-330; Xi’an Municipal Health Commission, General Cultivation Project, Project Number: 2023ms02; and Xi’an Central Hospital, Key Project, Project Number 2023ZD02.
-
Author contributions: LG and RK conceived the study; GL and YS analyzed the data; LG and RK wrote the manuscript; LG, YS, and YZ revised the data and obtained funding; and RK confirmed the authenticity of all the raw data. All authors read and approved the final version of the manuscript.
-
Conflict of interest: Authors state no conflict of interest.
-
Data availability statement: The datasets generated during and/or analyzed during the current study are available from the corresponding author on reasonable request.
References
[1] Mehrabani LV, Hassanpouraghdam MB, Rasouli F, Okcu Z, Marc RA. Foliar application of graphene oxide, nano-Fe, and selenium mitigates salinity depression on Ocimum basilicum. Turkish J Agric For. 2023;47(4):510–28.10.55730/1300-011X.3105Search in Google Scholar
[2] Alawad N, ÜNÜVAR ÖC, Gürel S, Okcu M, Gürel E. Effect of nanoparticles on sugar beet cultured in vitro and its betalain and betaine production. Turkish J Agric For. 2024;48(1):129–38.10.55730/1300-011X.3168Search in Google Scholar
[3] Salama MM, Aborehab NM, El-Mahdy NM, Zayed A, Ezzat SM. Nanotechnology in leukemia: diagnosis, efficient-targeted drug delivery, and clinical trials. Eur J Med Res. 2023;28(1):566.10.1186/s40001-023-01539-zSearch in Google Scholar PubMed PubMed Central
[4] Medici S, Peana M, Crisponi G, Nurchi VM, Lachowicz JI, Remelli M, et al. Silver coordination compounds: a new horizon in medicine. Coord Chem Rev. 2016;327–328:349–59.10.1016/j.ccr.2016.05.015Search in Google Scholar
[5] Foroozandeh P, Aziz AA. Insight into cellular uptake and intracellular trafficking of nanoparticles. Nanoscale Res Lett. 2018;13:339.10.1186/s11671-018-2728-6Search in Google Scholar PubMed PubMed Central
[6] Loutfy SA, Al-Ansary NA, Abdel-Ghani NT, Hamed AR, Mohamed MB, Craik JD, et al. Anti-proliferative activities of metallic nanoparticles in an in vitro breast cancer model. Asian Pac J Cancer Prev. 2015;16:6039–46.10.7314/APJCP.2015.16.14.6039Search in Google Scholar PubMed
[7] Raba J, Ortega F, Fernández Baldo M, Fernández J, Serrano M, Sanz M, et al. Study of antitumor activity in breast cell lines using silver nanoparticles produced by yeast. Int J Nanomed. 2015;10:2021–31.10.2147/IJN.S75835Search in Google Scholar PubMed PubMed Central
[8] Venugopal K, Rather HA, Rajagopal K, Shanthi MP, Sheriff K, Illiyas M, et al. Synthesis of silver nanoparticles (Ag NPs) for anticancer activities (MCF 7 breast and A549 lung cell lines) of the crude extract of Syzygium aromaticum. J Photochem Photobiol B Biol. 2017;167:282–9.10.1016/j.jphotobiol.2016.12.013Search in Google Scholar PubMed
[9] Rohde MM, Snyder CM, Sloop J, Solst SR, Donati GL, Spitz DR, et al. The mechanism of cell death induced by silver nanoparticles is distinct from silver cations. Part Fibre Toxicol. 2021;18:37.10.1186/s12989-021-00430-1Search in Google Scholar PubMed PubMed Central
[10] Li L, Cui J, Liu Z, Zhou X, Li Z, Yu Y, et al. Silver nanoparticles induce SH-SY5Y cell apoptosis via endoplasmic reticulum- and mitochondrial pathways that lengthen endoplasmic reticulum-mitochondria contact sites and alter inositol-3-phosphate receptor function. Toxicol Lett. 2018;285:156–67.10.1016/j.toxlet.2018.01.004Search in Google Scholar PubMed
[11] Muhamad M, Ab Rahim N, Wan Omar WA, Nik Mohamed Kamal NNS. Cytotoxicity and genotoxicity of biogenic silver nanoparticles in A549 and BEAS-2B cell lines. Bioinorg Chem Appl. 2022;2022:8546079.10.1155/2022/8546079Search in Google Scholar PubMed PubMed Central
[12] Boyaci S, Polat Ş, Kafkas NE. Determination of the phytochemical contents and pomological properties of chokeberry (Aronia melanocarpa L.) fruit in different harvesting periods. Turkish J Agric For. 2023;47(6):842–50.10.55730/1300-011X.3132Search in Google Scholar
[13] Fidan H, Stankov S, Petkova N, Petkova Z, Iliev A, Stoyanova M, et al. Evaluation of chemical composition, antioxidant potential and functional properties of carob (Ceratonia siliqua L.) seeds. J Food Sci Technol. 2020;57:2404–13.10.1007/s13197-020-04274-zSearch in Google Scholar PubMed PubMed Central
[14] Nawaz MA, Razgonova MP, Rusakova EA, Petusha EN, Sabitov AS, Chunikhina OA, et al. Global metabolome profiles of Lonicera caerulea L. and Lonicera caerulea ssp. kamtschatica (Sevast.) Gladkova. Turkish J Agric For. 2024;48(5):745–59.10.55730/1300-011X.3216Search in Google Scholar
[15] Koraqi H, Aydar AY, Khalid W, Ercisli S, Rustagi S, Ramniwas S, et al. Ultrasound-assisted extraction with natural deep eutectic solvent for phenolic compounds recovery from Rosa damascene Mill.: experimental design optimization using central composite design. Microchem J. 2024;196:109585.10.1016/j.microc.2023.109585Search in Google Scholar
[16] Cortés-Rojas DF, de Souza CRF, Oliveira WP. Clove (Syzygium aromaticum): a precious spice. Asian Pac J Trop Biomed. 2014;4(2):90–6.10.1016/S2221-1691(14)60215-XSearch in Google Scholar PubMed PubMed Central
[17] Karimi I, Dabili A. Study of the effect of compound Syzygium aromaticum and Rheum officinale extract on skin wound healing in rat. Iranian. J Vet Clin Sci. 2015;9(2):20163314479.Search in Google Scholar
[18] Mishra RK, Singh SK. Safety assessment of Syzygium aromaticum flower bud (clove) extract with respect to testicular function in mice. Food Chem Toxicol. 2008;46(10):3333–8.10.1016/j.fct.2008.08.006Search in Google Scholar PubMed
[19] Slameňová D, Horváthová E, Wsólová L, Šramková M, Navarová J. Investigation of anti-oxidative, cytotoxic, DNA-damaging and DNA-protective effects of plant volatiles eugenol and borneol in human-derived HepG2, Caco-2 and VH10 cell lines. Mutat Res/Genetic Toxicol Environ Mutagenesis. 2009;677(1-2):46–52.10.1016/j.mrgentox.2009.05.016Search in Google Scholar PubMed
[20] Peng Y, Wang Y, Zhou C, Mei W, Zeng C. PI3K/Akt/mTOR pathway and its role in cancer therapeutics: are we making headway? Front Oncol. 2022;12:819128.10.3389/fonc.2022.819128Search in Google Scholar PubMed PubMed Central
[21] Glaviano A, Foo AS, Lam HY, Yap KC, Jacot W, Jones RH, et al. PI3K/AKT/mTOR signaling transduction pathway and targeted therapies in cancer. Mol Cancer. 2023;22(1):138.10.1186/s12943-023-01827-6Search in Google Scholar PubMed PubMed Central
[22] Jalab J, Abdelwahed W, Kitaz A, Al-Kayali R. Green synthesis of silver nanoparticles using aqueous extract of Acacia cyanophylla and its antibacterial activity. Heliyon. 2021;7(9):e08033.10.1016/j.heliyon.2021.e08033Search in Google Scholar PubMed PubMed Central
[23] Azad A, Zafar H, Raza F, Sulaiman M. Factors influencing the green synthesis of metallic nanoparticles using plant extracts: a comprehensive review. Pharm Front. 2023;5(03):e117–31.10.1055/s-0043-1774289Search in Google Scholar
[24] Yu S, Zhao L, Kang W, Amraii SA. Characterization and cytotoxicity, antioxidant, and anti-lung carcinoma effects of Matricaria chamomilla extract green-synthesized Ag nanoparticles: describing a modern chemotherapeutic supplement. Inorg Chem Commun. 2024;168:112904.10.1016/j.inoche.2024.112904Search in Google Scholar
[25] Aisida SO, Ugwu K, Akpa PA, Nwanya AC, Ejikeme PM, Botha S, et al. Biogenic synthesis and antibacterial activity of controlled silver nanoparticles using an extract of Gongronema latifolium. Mater Chem Phys. 2019;237:121859.10.1016/j.matchemphys.2019.121859Search in Google Scholar
[26] Behravan M, Panahi AH, Naghizadeh A, Ziaee M, Mahdavi R, Mirzapour A. Facile green synthesis of silver nanoparticles using Berberis vulgaris leaf and root aqueous extract and its antibacterial activity. Int J Biol Macromol. 2019;124:148–54.10.1016/j.ijbiomac.2018.11.101Search in Google Scholar PubMed
[27] Femi-Adepoju AG, Dada AO, Otun KO, Adepoju AO, Fatoba OP. Green synthesis of silver nanoparticles using terrestrial fern (Gleichenia pectinata (Willd.) C. Presl.): characterization and antimicrobial studies. Heliyon. 2019;5(4):e01543.10.1016/j.heliyon.2019.e01543Search in Google Scholar PubMed PubMed Central
[28] Khan M, Karuppiah P, Alkhathlan HZ, Kuniyil M, Khan M, Adil SF, et al. Green synthesis of silver nanoparticles using Juniperus procera extract: their characterization, and biological activity. Crystals. 2022;12(3):420.10.3390/cryst12030420Search in Google Scholar
[29] Baghayeri M, Mahdavi B, Hosseinpor‐Mohsen Abadi Z, Farhadi S. Green synthesis of silver nanoparticles using water extract of Salvia leriifolia: antibacterial studies and applications as catalysts in the electrochemical detection of nitrite. Appl Organomet Chem. 2018;32(2):e4057.10.1002/aoc.4057Search in Google Scholar
[30] Alaraidh IA, Ibrahim MM, El-Gaaly GA. Evaluation of green synthesis of Ag nanoparticles using Eruca sativa and Spinacia oleracea leaf extracts and their antimicrobial activity. Iran J Biotechnol. 2014;12(1):50–5.10.5812/ijb.12392Search in Google Scholar
[31] Scimeca M, Bischetti S, Lamsira HK, Bonfiglio R, Bonanno E. Energy dispersive X-ray (EDX) microanalysis: a powerful tool in biomedical research and diagnosis. Eur J Histochem: EJH. 2018;62(1):2841.10.4081/ejh.2018.2841Search in Google Scholar PubMed PubMed Central
[32] Ahmeda A, Mahdavi B, Zaker F, Kaviani S, Hosseini S, Zangeneh MM, et al. Chemical characterization and anti‐hemolytic anemia potentials of tin nanoparticles synthesized by a green approach for bioremediation applications. Appl Organomet Chem. 2020;34(3):e5433.10.1002/aoc.5433Search in Google Scholar
[33] Li J, Mahdavi B, Baghayeri M, Rivandi B, Lotfi M, Zangeneh MM, et al. A new formulation of Ni/Zn bi-metallic nanocomposite and evaluation of its applications for pollution removal, photocatalytic, electrochemical sensing, and anti-breast cancer. Environ Res. 2023;233:116462.10.1016/j.envres.2023.116462Search in Google Scholar PubMed
[34] Shu M, Mahdavi B, Balčiūnaitienė A, Goorani S, Mahdavi AA. Novel green synthesis of tin nanoparticles by medicinal plant: chemical characterization and determination of cytotoxicity, cutaneous wound healing and antioxidant properties. Micro Nano Lett. 2023;18(2):e12157.10.1049/mna2.12157Search in Google Scholar
[35] Mahdavi B, Paydarfard S, Rezaei‐Seresht E, Baghayeri M, Nodehi M. Green synthesis of NiONPs using Trigonella subenervis extract and its applications as a highly efficient electrochemical sensor, catalyst, and antibacterial agent. Appl Organomet Chem. 2021;35(8):e6264.10.1002/aoc.6264Search in Google Scholar
[36] Bélteky P, Rónavári A, Igaz N, Szerencsés B, Tóth IY, Pfeiffer I, et al. Silver nanoparticles: aggregation behavior in biorelevant conditions and its impact on biological activity. Int J Nanomed. 2019;14:667–87.10.2147/IJN.S185965Search in Google Scholar PubMed PubMed Central
[37] Bélteky P, Rónavári A, Zakupszky D, Boka E, Igaz N, Szerencsés B, et al. Are smaller nanoparticles always better? Understanding the biological effect of size-dependent silver nanoparticle aggregation under biorelevant conditions. Int J Nanomed. 2021;16:3021–40.10.2147/IJN.S304138Search in Google Scholar PubMed PubMed Central
[38] Li G. Nano-inspired biosensors for protein assay with clinical applications. Amsterdam, Netherlands: Elsevier; 2018.Search in Google Scholar
[39] Renuka R, Devi KR, Sivakami M, Thilagavathi T, Uthrakumar R, Kaviyarasu K. Biosynthesis of silver nanoparticles using Phyllanthus emblica fruit extract for antimicrobial application. Biocatal Agric Biotechnol. 2020;24:101567.10.1016/j.bcab.2020.101567Search in Google Scholar
[40] Ramazanov MA, Eyvazova GM, Huseynli SZ, Aliyeva ST. Formation of silver nanoparticles in the root extract of Scutellaria baicalensis and their characterization. Arch Nanomed: Open Acsess J. 2019;1(5):117–3.10.32474/ANOAJ.2019.01.000122Search in Google Scholar
[41] El-Fitiany RA, AlBlooshi A, Samadi A, Khasawneh MA. Phytosynthesis, characterization, phenolic and biological evaluation of leptadenia pyrotechnica-based Zn and Fe nanoparticles utilizing two different extraction techniques. Int J Nanomed. 2024;19:11003–21.10.2147/IJN.S480716Search in Google Scholar PubMed PubMed Central
[42] Babatimehin AM, Ajayi GO, Ogunbamowo OE, El-Rayyes A, Albedair LA, Alsuhaibani AM, et al. Synthesis of silver nanoparticles using Azadirachta indica leaf extracts for heavy metal sensing. BioResources. 2025;20(2):3342–66.10.15376/biores.20.2.3342-3366Search in Google Scholar
[43] Jose B, Chithira SS. Myristica fragrans extract mediated green synthesis of iron nano particles: characterisation, cytotoxicity and antibacterial analysis. World J Pharm Res. 2017;7(1):1578–95.Search in Google Scholar
[44] Rahmatian N, Abbasi S, Yaraki MT, Abbasi N. Echinophora platyloba extract-mediated green synthesis of silver nanoparticles: fine-tuning the size towards enhanced catalytic and antibacterial properties. J Mol Liq. 2023;391:123327.10.1016/j.molliq.2023.123327Search in Google Scholar
[45] Gu W, Li H, Niu X, Zhou J. Biological fabrication of zinc oxide nanoparticles from Nepeta cataria potentially produces apoptosis through inhibition of proliferative markers in ovarian cancer. Green Process Synth De Gruyter. 2022;11:316–26.10.1515/gps-2022-0016Search in Google Scholar
[46] Alipour S, Babaei G, Aziz SG-G, Abolhasani S. Alantolactone and ZnO nanoparticles induce apoptosis activity of cisplatin in an ovarian cancer cell line (SKOV3). Res Pharm Sci Wolters Kluwer–Medknow Publ. 2022;17:294.10.4103/1735-5362.343083Search in Google Scholar PubMed PubMed Central
[47] Padmanabhan A, Kaushik M, Niranjan R, Richards JS, Ebright B, Venkatasubbu GD. Zinc oxide nanoparticles induce oxidative and proteotoxic stress in ovarian cancer cells and trigger apoptosis independent of p53-mutation status. Appl Surf Sci Elsevier. 2019;487:807–18.10.1016/j.apsusc.2019.05.099Search in Google Scholar PubMed PubMed Central
[48] Khan MJ, Ahmad A, Khan MA, Siddiqui S. Zinc oxide nanoparticle induces apoptosis in human epidermoid carcinoma cells through reactive oxygen species and DNA degradation. Biol Trace Elem Res Springer. 2021;199:2172–81.10.1007/s12011-020-02323-4Search in Google Scholar PubMed
[49] Brunelle JK, Letai A. Control of mitochondrial apoptosis by the Bcl-2 family. J Cell Sci Co Biol. 2009;122:437–41.10.1242/jcs.031682Search in Google Scholar PubMed PubMed Central
[50] Abbas HS, Akilandeswari K, Muddukrishnaiah K. The antifungal and antiovarian cancer properties of α-Fe2O3 and α-Fe2O3/Zno nanostructures synthesized by Spirulina platensis. IET Nanobiotechnol. 2020;14:774–84.10.1049/iet-nbt.2020.0055Search in Google Scholar PubMed PubMed Central
[51] Guo D, Zhu L, Huang Z, Zhou H, Ge Y, Ma W, et al. Anti-leukemia activity of PVP-coated silver nanoparticles via generation of reactive oxygen species and release of silver ions. Biomaterials. 2013;34(32):7884–94.10.1016/j.biomaterials.2013.07.015Search in Google Scholar PubMed
[52] Khajeh H, Fazeli-Nasab B, Pourshahdad A, Mirzaei AR, Ghorbanpour M. Green-synthesized silver nanoparticles induced apoptotic cell death in CACO2 cancer cells by activating MLH1 gene expression. Sci Rep. 2024;14(1):29601.10.1038/s41598-024-80809-0Search in Google Scholar PubMed PubMed Central
[53] Takáč P, Michalková R, Čižmáriková M, Bedlovičová Z, Balážová Ľ, Takáčová G. The role of silver nanoparticles in the diagnosis and treatment of cancer: are there any perspectives for the future? Life. 2023;13(2):466.10.3390/life13020466Search in Google Scholar PubMed PubMed Central
[54] Guo D, Zhang J, Huang Z, Jiang S, Gu N. Colloidal silver nanoparticles improve anti-leukemic drug efficacy via amplification of oxidative stress. Colloids Surf B: Biointerfaces. 2015;126:198–203.10.1016/j.colsurfb.2014.12.023Search in Google Scholar PubMed
[55] Zhang X, Heidari M. Synthesis of halloysite nanotubes decorated with green silver nanoparticles to investigate cytotoxicity, lipid peroxidation and induction of apoptosis in acute leukemia cells. Sci Rep. 2023;13(1):17182.10.1038/s41598-023-43978-ySearch in Google Scholar PubMed PubMed Central
© 2025 the author(s), published by De Gruyter
This work is licensed under the Creative Commons Attribution 4.0 International License.
Articles in the same Issue
- Safety assessment and modulation of hepatic CYP3A4 and UGT enzymes by Glycyrrhiza glabra aqueous extract in female Sprague–Dawley rats
- Adult-onset Still’s disease with hemophagocytic lymphohistiocytosis and minimal change disease
- Role of DZ2002 in reducing corneal graft rejection in rats by influencing Th17 activation via inhibition of the PI3K/AKT pathway and downregulation of TRAF1
- Biomedical Sciences
- Mechanism of triptolide regulating proliferation and apoptosis of hepatoma cells by inhibiting JAK/STAT pathway
- Maslinic acid improves mitochondrial function and inhibits oxidative stress and autophagy in human gastric smooth muscle cells
- Comparative analysis of inflammatory biomarkers for the diagnosis of neonatal sepsis: IL-6, IL-8, SAA, CRP, and PCT
- Post-pandemic insights on COVID-19 and premature ovarian insufficiency
- Proteome differences of dental stem cells between permanent and deciduous teeth by data-independent acquisition proteomics
- Optimizing a modified cetyltrimethylammonium bromide protocol for fungal DNA extraction: Insights from multilocus gene amplification
- Preliminary analysis of the role of small hepatitis B surface proteins mutations in the pathogenesis of occult hepatitis B infection via the endoplasmic reticulum stress-induced UPR-ERAD pathway
- Efficacy of alginate-coated gold nanoparticles against antibiotics-resistant Staphylococcus and Streptococcus pathogens of acne origins
- Battling COVID-19 leveraging nanobiotechnology: Gold and silver nanoparticle–B-escin conjugates as SARS-CoV-2 inhibitors
- Neurodegenerative diseases and neuroinflammation-induced apoptosis
- Impact of fracture fixation surgery on cognitive function and the gut microbiota in mice with a history of stroke
- COLEC10: A potential tumor suppressor and prognostic biomarker in hepatocellular carcinoma through modulation of EMT and PI3K-AKT pathways
- High-temperature requirement serine protease A2 inhibitor UCF-101 ameliorates damaged neurons in traumatic brain-injured rats by the AMPK/NF-κB pathway
- SIK1 inhibits IL-1β-stimulated cartilage apoptosis and inflammation in vitro through the CRTC2/CREB1 signaling
- Rutin–chitooligosaccharide complex: Comprehensive evaluation of its anti-inflammatory and analgesic properties in vitro and in vivo
- Knockdown of Aurora kinase B alleviates high glucose-triggered trophoblast cells damage and inflammation during gestational diabetes
- Calcium-sensing receptors promoted Homer1 expression and osteogenic differentiation in bone marrow mesenchymal stem cells
- ABI3BP can inhibit the proliferation, invasion, and epithelial–mesenchymal transition of non-small-cell lung cancer cells
- Changes in blood glucose and metabolism in hyperuricemia mice
- Rapid detection of the GJB2 c.235delC mutation based on CRISPR-Cas13a combined with lateral flow dipstick
- IL-11 promotes Ang II-induced autophagy inhibition and mitochondrial dysfunction in atrial fibroblasts
- Short-chain fatty acid attenuates intestinal inflammation by regulation of gut microbial composition in antibiotic-associated diarrhea
- Application of metagenomic next-generation sequencing in the diagnosis of pathogens in patients with diabetes complicated by community-acquired pneumonia
- NAT10 promotes radiotherapy resistance in non-small cell lung cancer by regulating KPNB1-mediated PD-L1 nuclear translocation
- Phytol-mixed micelles alleviate dexamethasone-induced osteoporosis in zebrafish: Activation of the MMP3–OPN–MAPK pathway-mediating bone remodeling
- Association between TGF-β1 and β-catenin expression in the vaginal wall of patients with pelvic organ prolapse
- Primary pleomorphic liposarcoma involving bilateral ovaries: Case report and literature review
- Effects of de novo donor-specific Class I and II antibodies on graft outcomes after liver transplantation: A pilot cohort study
- Sleep architecture in Alzheimer’s disease continuum: The deep sleep question
- Ephedra fragilis plant extract: A groundbreaking corrosion inhibitor for mild steel in acidic environments – electrochemical, EDX, DFT, and Monte Carlo studies
- Langerhans cell histiocytosis in an adult patient with upper jaw and pulmonary involvement: A case report
- Inhibition of mast cell activation by Jaranol-targeted Pirin ameliorates allergic responses in mouse allergic rhinitis
- Aeromonas veronii-induced septic arthritis of the hip in a child with acute lymphoblastic leukemia
- Clusterin activates the heat shock response via the PI3K/Akt pathway to protect cardiomyocytes from high-temperature-induced apoptosis
- Research progress on fecal microbiota transplantation in tumor prevention and treatment
- Low-pressure exposure influences the development of HAPE
- Stigmasterol alleviates endplate chondrocyte degeneration through inducing mitophagy by enhancing PINK1 mRNA acetylation via the ESR1/NAT10 axis
- AKAP12, mediated by transcription factor 21, inhibits cell proliferation, metastasis, and glycolysis in lung squamous cell carcinoma
- Association between PAX9 or MSX1 gene polymorphism and tooth agenesis risk: A meta-analysis
- A case of bloodstream infection caused by Neisseria gonorrhoeae
- Case of nasopharyngeal tuberculosis complicated with cervical lymph node and pulmonary tuberculosis
- p-Cymene inhibits pro-fibrotic and inflammatory mediators to prevent hepatic dysfunction
- GFPT2 promotes paclitaxel resistance in epithelial ovarian cancer cells via activating NF-κB signaling pathway
- Transfer RNA-derived fragment tRF-36 modulates varicose vein progression via human vascular smooth muscle cell Notch signaling
- RTA-408 attenuates the hepatic ischemia reperfusion injury in mice possibly by activating the Nrf2/HO-1 signaling pathway
- Decreased serum TIMP4 levels in patients with rheumatoid arthritis
- Sirt1 protects lupus nephritis by inhibiting the NLRP3 signaling pathway in human glomerular mesangial cells
- Sodium butyrate aids brain injury repair in neonatal rats
- Interaction of MTHFR polymorphism with PAX1 methylation in cervical cancer
- Convallatoxin inhibits proliferation and angiogenesis of glioma cells via regulating JAK/STAT3 pathway
- The effect of the PKR inhibitor, 2-aminopurine, on the replication of influenza A virus, and segment 8 mRNA splicing
- Effects of Ire1 gene on virulence and pathogenicity of Candida albicans
- Small cell lung cancer with small intestinal metastasis: Case report and literature review
- GRB14: A prognostic biomarker driving tumor progression in gastric cancer through the PI3K/AKT signaling pathway by interacting with COBLL1
- 15-Lipoxygenase-2 deficiency induces foam cell formation that can be restored by salidroside through the inhibition of arachidonic acid effects
- FTO alleviated the diabetic nephropathy progression by regulating the N6-methyladenosine levels of DACT1
- Clinical relevance of inflammatory markers in the evaluation of severity of ulcerative colitis: A retrospective study
- Zinc valproic acid complex promotes osteoblast differentiation and exhibits anti-osteoporotic potential
- Primary pulmonary synovial sarcoma in the bronchial cavity: A case report
- Metagenomic next-generation sequencing of alveolar lavage fluid improves the detection of pulmonary infection
- Uterine tumor resembling ovarian sex cord tumor with extensive rhabdoid differentiation: A case report
- Genomic analysis of a novel ST11(PR34365) Clostridioides difficile strain isolated from the human fecal of a CDI patient in Guizhou, China
- Effects of tiered cardiac rehabilitation on CRP, TNF-α, and physical endurance in older adults with coronary heart disease
- Changes in T-lymphocyte subpopulations in patients with colorectal cancer before and after acupoint catgut embedding acupuncture observation
- Modulating the tumor microenvironment: The role of traditional Chinese medicine in improving lung cancer treatment
- Alterations of metabolites related to microbiota–gut–brain axis in plasma of colon cancer, esophageal cancer, stomach cancer, and lung cancer patients
- Research on individualized drug sensitivity detection technology based on bio-3D printing technology for precision treatment of gastrointestinal stromal tumors
- CEBPB promotes ulcerative colitis-associated colorectal cancer by stimulating tumor growth and activating the NF-κB/STAT3 signaling pathway
- Oncolytic bacteria: A revolutionary approach to cancer therapy
- A de novo meningioma with rapid growth: A possible malignancy imposter?
- Diagnosis of secondary tuberculosis infection in an asymptomatic elderly with cancer using next-generation sequencing: Case report
- Hesperidin and its zinc(ii) complex enhance osteoblast differentiation and bone formation: In vitro and in vivo evaluations
- Research progress on the regulation of autophagy in cardiovascular diseases by chemokines
- Anti-arthritic, immunomodulatory, and inflammatory regulation by the benzimidazole derivative BMZ-AD: Insights from an FCA-induced rat model
- Immunoassay for pyruvate kinase M1/2 as an Alzheimer’s biomarker in CSF
- The role of HDAC11 in age-related hearing loss: Mechanisms and therapeutic implications
- Evaluation and application analysis of animal models of PIPNP based on data mining
- Therapeutic approaches for liver fibrosis/cirrhosis by targeting pyroptosis
- Fabrication of zinc oxide nanoparticles using Ruellia tuberosa leaf extract induces apoptosis through P53 and STAT3 signalling pathways in prostate cancer cells
- Haplo-hematopoietic stem cell transplantation and immunoradiotherapy for severe aplastic anemia complicated with nasopharyngeal carcinoma: A case report
- Modulation of the KEAP1-NRF2 pathway by Erianin: A novel approach to reduce psoriasiform inflammation and inflammatory signaling
- The expression of epidermal growth factor receptor 2 and its relationship with tumor-infiltrating lymphocytes and clinical pathological features in breast cancer patients
- Innovations in MALDI-TOF Mass Spectrometry: Bridging modern diagnostics and historical insights
- BAP1 complexes with YY1 and RBBP7 and its downstream targets in ccRCC cells
- Hypereosinophilic syndrome with elevated IgG4 and T-cell clonality: A report of two cases
- Electroacupuncture alleviates sciatic nerve injury in sciatica rats by regulating BDNF and NGF levels, myelin sheath degradation, and autophagy
- Polydatin prevents cholesterol gallstone formation by regulating cholesterol metabolism via PPAR-γ signaling
- RNF144A and RNF144B: Important molecules for health
- Analysis of the detection rate and related factors of thyroid nodules in the healthy population
- Artesunate inhibits hepatocellular carcinoma cell migration and invasion through OGA-mediated O-GlcNAcylation of ZEB1
- Endovascular management of post-pancreatectomy hemorrhage caused by a hepatic artery pseudoaneurysm: Case report and review of the literature
- Efficacy and safety of anti-PD-1/PD-L1 antibodies in patients with relapsed refractory diffuse large B-cell lymphoma: A meta-analysis
- SATB2 promotes humeral fracture healing in rats by activating the PI3K/AKT pathway
- Overexpression of the ferroptosis-related gene, NFS1, corresponds to gastric cancer growth and tumor immune infiltration
- Understanding risk factors and prognosis in diabetic foot ulcers
- Atractylenolide I alleviates the experimental allergic response in mice by suppressing TLR4/NF-kB/NLRP3 signalling
- FBXO31 inhibits the stemness characteristics of CD147 (+) melanoma stem cells
- Immune molecule diagnostics in colorectal cancer: CCL2 and CXCL11
- Inhibiting CXCR6 promotes senescence of activated hepatic stellate cells with limited proinflammatory SASP to attenuate hepatic fibrosis
- Cadmium toxicity, health risk and its remediation using low-cost biochar adsorbents
- Pulmonary cryptococcosis with headache as the first presentation: A case report
- Solitary pulmonary metastasis with cystic airspaces in colon cancer: A rare case report
- RUNX1 promotes denervation-induced muscle atrophy by activating the JUNB/NF-κB pathway and driving M1 macrophage polarization
- Morphometric analysis and immunobiological investigation of Indigofera oblongifolia on the infected lung with Plasmodium chabaudi
- The NuA4/TIP60 histone-modifying complex and Hr78 modulate the Lobe2 mutant eye phenotype
- Experimental study on salmon demineralized bone matrix loaded with recombinant human bone morphogenetic protein-2: In vitro and in vivo study
- A case of IgA nephropathy treated with a combination of telitacicept and half-dose glucocorticoids
- Analgesic and toxicological evaluation of cannabidiol-rich Moroccan Cannabis sativa L. (Khardala variety) extract: Evidence from an in vivo and in silico study
- Wound healing and signaling pathways
- Combination of immunotherapy and whole-brain radiotherapy on prognosis of patients with multiple brain metastases: A retrospective cohort study
- To explore the relationship between endometrial hyperemia and polycystic ovary syndrome
- Research progress on the impact of curcumin on immune responses in breast cancer
- Biogenic Cu/Ni nanotherapeutics from Descurainia sophia (L.) Webb ex Prantl seeds for the treatment of lung cancer
- Dapagliflozin attenuates atrial fibrosis via the HMGB1/RAGE pathway in atrial fibrillation rats
- Glycitein alleviates inflammation and apoptosis in keratinocytes via ROS-associated PI3K–Akt signalling pathway
- ADH5 inhibits proliferation but promotes EMT in non-small cell lung cancer cell through activating Smad2/Smad3
- Apoptotic efficacies of AgNPs formulated by Syzygium aromaticum leaf extract on 32D-FLT3-ITD human leukemia cell line with PI3K/AKT/mTOR signaling pathway
- Novel cuproptosis-related genes C1QBP and PFKP identified as prognostic and therapeutic targets in lung adenocarcinoma
- Bee venom promotes exosome secretion and alters miRNA cargo in T cells
- Treatment of pure red cell aplasia in a chronic kidney disease patient with roxadustat: A case report
- Comparative bioinformatics analysis of the Wnt pathway in breast cancer: Selection of novel biomarker panels associated with ER status
- Kynurenine facilitates renal cell carcinoma progression by suppressing M2 macrophage pyroptosis through inhibition of CASP1 cleavage
- RFX5 promotes the growth, motility, and inhibits apoptosis of gastric adenocarcinoma cells through the SIRT1/AMPK axis
- ALKBH5 exacerbates early cardiac damage after radiotherapy for breast cancer via m6A demethylation of TLR4
- Phytochemicals of Roman chamomile: Antioxidant, anti-aging, and whitening activities of distillation residues
- Circadian gene Cry1 inhibits the tumorigenicity of hepatocellular carcinoma by the BAX/BCL2-mediated apoptosis pathway
- The TNFR-RIPK1/RIPK3 signalling pathway mediates the effect of lanthanum on necroptosis of nerve cells
- Longitudinal monitoring of autoantibody dynamics in patients with early-stage non-small-cell lung cancer undergoing surgery
- The potential role of rutin, a flavonoid, in the management of cancer through modulation of cell signaling pathways
- Construction of pectinase gene engineering microbe and its application in tobacco sheets
- Construction of a microbial abundance prognostic scoring model based on intratumoral microbial data for predicting the prognosis of lung squamous cell carcinoma
- Sepsis complicated by haemophagocytic lymphohistiocytosis triggered by methicillin-resistant Staphylococcus aureus and human herpesvirus 8 in an immunocompromised elderly patient: A case report
- Sarcopenia in liver transplantation: A comprehensive bibliometric study of current research trends and future directions
- Advances in cancer immunotherapy and future directions in personalized medicine
- Can coronavirus disease 2019 affect male fertility or cause spontaneous abortion? A two-sample Mendelian randomization analysis
- Heat stroke associated with novel leukaemia inhibitory factor receptor gene variant in a Chinese infant
- PSME2 exacerbates ulcerative colitis by disrupting intestinal barrier function and promoting autophagy-dependent inflammation
- Hyperosmolar hyperglycemic state with severe hypernatremia coexisting with central diabetes insipidus: A case report and literature review
- Efficacy and mechanism of escin in improving the tissue microenvironment of blood vessel walls via anti-inflammatory and anticoagulant effects: Implications for clinical practice
- Merkel cell carcinoma: Clinicopathological analysis of three patients and literature review
- Genetic variants in VWF exon 26 and their implications for type 1 Von Willebrand disease in a Saudi Arabian population
- Lipoxin A4 improves myocardial ischemia/reperfusion injury through the Notch1-Nrf2 signaling pathway
- High levels of EPHB2 expression predict a poor prognosis and promote tumor progression in endometrial cancer
- Knockdown of SHP-2 delays renal tubular epithelial cell injury in diabetic nephropathy by inhibiting NLRP3 inflammasome-mediated pyroptosis
- Exploring the toxicity mechanisms and detoxification methods of Rhizoma Paridis
- Concomitant gastric carcinoma and primary hepatic angiosarcoma in a patient: A case report
- YAP1 inhibition protects retinal vascular endothelial cells under high glucose by inhibiting autophagy
- Identification of secretory protein related biomarkers for primary biliary cholangitis based on machine learning and experimental validation
- Integrated genomic and clinical modeling for prognostic assessment of radiotherapy response in rectal neoplasms
- Stem cell-based approaches for glaucoma treatment: a mini review
- Bacteriophage titering by optical density means: KOTE assays
- Neutrophil-related signature characterizes immune landscape and predicts prognosis of esophageal squamous cell carcinoma
- Integrated bioinformatic analysis and machine learning strategies to identify new potential immune biomarkers for Alzheimer’s disease and their targeting prediction with geniposide
- TRIM21 accelerates ferroptosis in intervertebral disc degeneration by promoting SLC7A11 ubiquitination and degradation
- TRIM21 accelerates ferroptosis in intervertebral disc degeneration by promoting SLC7A11 ubiquitination and degradation
- Histone modification and non-coding RNAs in skin aging: emerging therapeutic avenues
- A multiplicative behavioral model of DNA replication initiation in cells
- Biogenic gold nanoparticles synthesized from Pergularia daemia leaves: a novel approach for nasopharyngeal carcinoma therapy
- Creutzfeldt-Jakob disease mimicking Hashimoto’s encephalopathy: steroid response followed by decline
- Impact of semaphorin, Sema3F, on the gene transcription and protein expression of CREB and its binding protein CREBBP in primary hippocampal neurons of rats
- Iron overloaded M0 macrophages regulate hematopoietic stem cell proliferation and senescence via the Nrf2/Keap1/HO-1 pathway
- Revisiting the link between NADPH oxidase p22phox C242T polymorphism and ischemic stroke risk: an updated meta-analysis
- Exercise training preferentially modulates α1D-adrenergic receptor expression in peripheral arteries of hypertensive rats
- Overexpression of HE4/WFDC2 gene in mice leads to keratitis and corneal opacity
- Tumoral calcinosis complicating CKD-MBD in hemodialysis: a case report
- Mechanism of KLF4 Inhibition of epithelial-mesenchymal transition in gastric cancer cells
- Dissecting the molecular mechanisms of T cell infiltration in psoriatic lesions via cell-cell communication and regulatory network analysis
- Circadian rhythm-based prognostic features predict immune infiltration and tumor microenvironment in molecular subtypes of hepatocellular carcinoma
- Ecology and Environmental Science
- Optimization and comparative study of Bacillus consortia for cellulolytic potential and cellulase enzyme activity
- The complete mitochondrial genome analysis of Haemaphysalis hystricis Supino, 1897 (Ixodida: Ixodidae) and its phylogenetic implications
- Epidemiological characteristics and risk factors analysis of multidrug-resistant tuberculosis among tuberculosis population in Huzhou City, Eastern China
- Indices of human impacts on landscapes: How do they reflect the proportions of natural habitats?
- Genetic analysis of the Siberian flying squirrel population in the northern Changbai Mountains, Northeast China: Insights into population status and conservation
- Diversity and environmental drivers of Suillus communities in Pinus sylvestris var. mongolica forests of Inner Mongolia
- Global assessment of the fate of nitrogen deposition in forest ecosystems: Insights from 15N tracer studies
- Fungal and bacterial pathogenic co-infections mainly lead to the assembly of microbial community in tobacco stems
- Influencing of coal industry related airborne particulate matter on ocular surface tear film injury and inflammatory factor expression in Sprague-Dawley rats
- Temperature-dependent development, predation, and life table of Sphaerophoria macrogaster (Thomson) (Diptera: Syrphidae) feeding on Myzus persicae (Sulzer) (Homoptera: Aphididae)
- Eleonora’s falcon trophic interactions with insects within its breeding range: A systematic review
- Agriculture
- Integrated analysis of transcriptome, sRNAome, and degradome involved in the drought-response of maize Zhengdan958
- Variation in flower frost tolerance among seven apple cultivars and transcriptome response patterns in two contrastingly frost-tolerant selected cultivars
- Heritability of durable resistance to stripe rust in bread wheat (Triticum aestivum L.)
- Molecular mechanism of follicular development in laying hens based on the regulation of water metabolism
- Molecular identification and control studies on Coridius sp. (Hemiptera: Dinidoridae) in Al-Khamra, south of Jeddah, Saudi Arabia
- 10.1515/biol-2025-1218
- Animal Science
- Effect of sex ratio on the life history traits of an important invasive species, Spodoptera frugiperda
- Plant Sciences
- Hairpin in a haystack: In silico identification and characterization of plant-conserved microRNA in Rafflesiaceae
- Widely targeted metabolomics of different tissues in Rubus corchorifolius
- The complete chloroplast genome of Gerbera piloselloides (L.) Cass., 1820 (Carduoideae, Asteraceae) and its phylogenetic analysis
- Field trial to correlate mineral solubilization activity of Pseudomonas aeruginosa and biochemical content of groundnut plants
- Correlation analysis between semen routine parameters and sperm DNA fragmentation index in patients with semen non-liquefaction: A retrospective study
- Plasticity of the anatomical traits of Rhododendron L. (Ericaceae) leaves and its implications in adaptation to the plateau environment
- Effects of Piriformospora indica and arbuscular mycorrhizal fungus on growth and physiology of Moringa oleifera under low-temperature stress
- Effects of different sources of potassium fertiliser on yield, fruit quality and nutrient absorption in “Harward” kiwifruit (Actinidia deliciosa)
- Comparative efficiency and residue levels of spraying programs against powdery mildew in grape varieties
- The DREB7 transcription factor enhances salt tolerance in soybean plants under salt stress
- Using plant electrical signals of water hyacinth (Eichhornia crassipes) for water pollution monitoring
- Response of hybrid grapes (Vitis spp.) to two biotic stress factors and their seedlessness status
- Metabolomic profiling reveals systemic metabolic reprogramming in Alternaria alternata under salt stress
- Effects of mixed salinity and alkali stress on photosynthetic characteristics and PEPC gene expression of vegetable soybean seedlings
- Food Science
- Phytochemical analysis of Stachys iva: Discovering the optimal extract conditions and its bioactive compounds
- Review on role of honey in disease prevention and treatment through modulation of biological activities
- Computational analysis of polymorphic residues in maltose and maltotriose transporters of a wild Saccharomyces cerevisiae strain
- Optimization of phenolic compound extraction from Tunisian squash by-products: A sustainable approach for antioxidant and antibacterial applications
- Liupao tea aqueous extract alleviates dextran sulfate sodium-induced ulcerative colitis in rats by modulating the gut microbiota
- Toxicological qualities and detoxification trends of fruit by-products for valorization: A review
- Polyphenolic spectrum of cornelian cherry fruits and their health-promoting effect
- Optimizing the encapsulation of the refined extract of squash peels for functional food applications: A sustainable approach to reduce food waste
- Advancements in curcuminoid formulations: An update on bioavailability enhancement strategies curcuminoid bioavailability and formulations
- Impact of saline sprouting on antioxidant properties and bioactive compounds in chia seeds
- The dilemma of food genetics and improvement
- Causal effects of trace elements on congenital foot deformities and their subtypes: a Mendelian randomization study with gut microbiota mediation
- Honey meets acidity: a novel biopreservative approach against foodborne pathogens
- Bioengineering and Biotechnology
- Impact of hyaluronic acid-modified hafnium metalorganic frameworks containing rhynchophylline on Alzheimer’s disease
- Emerging patterns in nanoparticle-based therapeutic approaches for rheumatoid arthritis: A comprehensive bibliometric and visual analysis spanning two decades
- Application of CRISPR/Cas gene editing for infectious disease control in poultry
- Preparation of hafnium nitride-coated titanium implants by magnetron sputtering technology and evaluation of their antibacterial properties and biocompatibility
- Preparation and characterization of lemongrass oil nanoemulsion: Antimicrobial, antibiofilm, antioxidant, and anticancer activities
- Fluorescent detection of sialic acid–binding lectins using functionalized quantum dots in ELISA format
- Smart tectorigenin-loaded ZnO hydrogel nanocomposites for targeted wound healing: synthesis, characterization, and biological evaluation
- Corrigendum
- Corrigendum to “Utilization of convolutional neural networks to analyze microscopic images for high-throughput screening of mesenchymal stem cells”
- Corrigendum to “Effects of Ire1 gene on virulence and pathogenicity of Candida albicans”
- Retraction
- Retraction of “Down-regulation of miR-539 indicates poor prognosis in patients with pancreatic cancer”
Articles in the same Issue
- Safety assessment and modulation of hepatic CYP3A4 and UGT enzymes by Glycyrrhiza glabra aqueous extract in female Sprague–Dawley rats
- Adult-onset Still’s disease with hemophagocytic lymphohistiocytosis and minimal change disease
- Role of DZ2002 in reducing corneal graft rejection in rats by influencing Th17 activation via inhibition of the PI3K/AKT pathway and downregulation of TRAF1
- Biomedical Sciences
- Mechanism of triptolide regulating proliferation and apoptosis of hepatoma cells by inhibiting JAK/STAT pathway
- Maslinic acid improves mitochondrial function and inhibits oxidative stress and autophagy in human gastric smooth muscle cells
- Comparative analysis of inflammatory biomarkers for the diagnosis of neonatal sepsis: IL-6, IL-8, SAA, CRP, and PCT
- Post-pandemic insights on COVID-19 and premature ovarian insufficiency
- Proteome differences of dental stem cells between permanent and deciduous teeth by data-independent acquisition proteomics
- Optimizing a modified cetyltrimethylammonium bromide protocol for fungal DNA extraction: Insights from multilocus gene amplification
- Preliminary analysis of the role of small hepatitis B surface proteins mutations in the pathogenesis of occult hepatitis B infection via the endoplasmic reticulum stress-induced UPR-ERAD pathway
- Efficacy of alginate-coated gold nanoparticles against antibiotics-resistant Staphylococcus and Streptococcus pathogens of acne origins
- Battling COVID-19 leveraging nanobiotechnology: Gold and silver nanoparticle–B-escin conjugates as SARS-CoV-2 inhibitors
- Neurodegenerative diseases and neuroinflammation-induced apoptosis
- Impact of fracture fixation surgery on cognitive function and the gut microbiota in mice with a history of stroke
- COLEC10: A potential tumor suppressor and prognostic biomarker in hepatocellular carcinoma through modulation of EMT and PI3K-AKT pathways
- High-temperature requirement serine protease A2 inhibitor UCF-101 ameliorates damaged neurons in traumatic brain-injured rats by the AMPK/NF-κB pathway
- SIK1 inhibits IL-1β-stimulated cartilage apoptosis and inflammation in vitro through the CRTC2/CREB1 signaling
- Rutin–chitooligosaccharide complex: Comprehensive evaluation of its anti-inflammatory and analgesic properties in vitro and in vivo
- Knockdown of Aurora kinase B alleviates high glucose-triggered trophoblast cells damage and inflammation during gestational diabetes
- Calcium-sensing receptors promoted Homer1 expression and osteogenic differentiation in bone marrow mesenchymal stem cells
- ABI3BP can inhibit the proliferation, invasion, and epithelial–mesenchymal transition of non-small-cell lung cancer cells
- Changes in blood glucose and metabolism in hyperuricemia mice
- Rapid detection of the GJB2 c.235delC mutation based on CRISPR-Cas13a combined with lateral flow dipstick
- IL-11 promotes Ang II-induced autophagy inhibition and mitochondrial dysfunction in atrial fibroblasts
- Short-chain fatty acid attenuates intestinal inflammation by regulation of gut microbial composition in antibiotic-associated diarrhea
- Application of metagenomic next-generation sequencing in the diagnosis of pathogens in patients with diabetes complicated by community-acquired pneumonia
- NAT10 promotes radiotherapy resistance in non-small cell lung cancer by regulating KPNB1-mediated PD-L1 nuclear translocation
- Phytol-mixed micelles alleviate dexamethasone-induced osteoporosis in zebrafish: Activation of the MMP3–OPN–MAPK pathway-mediating bone remodeling
- Association between TGF-β1 and β-catenin expression in the vaginal wall of patients with pelvic organ prolapse
- Primary pleomorphic liposarcoma involving bilateral ovaries: Case report and literature review
- Effects of de novo donor-specific Class I and II antibodies on graft outcomes after liver transplantation: A pilot cohort study
- Sleep architecture in Alzheimer’s disease continuum: The deep sleep question
- Ephedra fragilis plant extract: A groundbreaking corrosion inhibitor for mild steel in acidic environments – electrochemical, EDX, DFT, and Monte Carlo studies
- Langerhans cell histiocytosis in an adult patient with upper jaw and pulmonary involvement: A case report
- Inhibition of mast cell activation by Jaranol-targeted Pirin ameliorates allergic responses in mouse allergic rhinitis
- Aeromonas veronii-induced septic arthritis of the hip in a child with acute lymphoblastic leukemia
- Clusterin activates the heat shock response via the PI3K/Akt pathway to protect cardiomyocytes from high-temperature-induced apoptosis
- Research progress on fecal microbiota transplantation in tumor prevention and treatment
- Low-pressure exposure influences the development of HAPE
- Stigmasterol alleviates endplate chondrocyte degeneration through inducing mitophagy by enhancing PINK1 mRNA acetylation via the ESR1/NAT10 axis
- AKAP12, mediated by transcription factor 21, inhibits cell proliferation, metastasis, and glycolysis in lung squamous cell carcinoma
- Association between PAX9 or MSX1 gene polymorphism and tooth agenesis risk: A meta-analysis
- A case of bloodstream infection caused by Neisseria gonorrhoeae
- Case of nasopharyngeal tuberculosis complicated with cervical lymph node and pulmonary tuberculosis
- p-Cymene inhibits pro-fibrotic and inflammatory mediators to prevent hepatic dysfunction
- GFPT2 promotes paclitaxel resistance in epithelial ovarian cancer cells via activating NF-κB signaling pathway
- Transfer RNA-derived fragment tRF-36 modulates varicose vein progression via human vascular smooth muscle cell Notch signaling
- RTA-408 attenuates the hepatic ischemia reperfusion injury in mice possibly by activating the Nrf2/HO-1 signaling pathway
- Decreased serum TIMP4 levels in patients with rheumatoid arthritis
- Sirt1 protects lupus nephritis by inhibiting the NLRP3 signaling pathway in human glomerular mesangial cells
- Sodium butyrate aids brain injury repair in neonatal rats
- Interaction of MTHFR polymorphism with PAX1 methylation in cervical cancer
- Convallatoxin inhibits proliferation and angiogenesis of glioma cells via regulating JAK/STAT3 pathway
- The effect of the PKR inhibitor, 2-aminopurine, on the replication of influenza A virus, and segment 8 mRNA splicing
- Effects of Ire1 gene on virulence and pathogenicity of Candida albicans
- Small cell lung cancer with small intestinal metastasis: Case report and literature review
- GRB14: A prognostic biomarker driving tumor progression in gastric cancer through the PI3K/AKT signaling pathway by interacting with COBLL1
- 15-Lipoxygenase-2 deficiency induces foam cell formation that can be restored by salidroside through the inhibition of arachidonic acid effects
- FTO alleviated the diabetic nephropathy progression by regulating the N6-methyladenosine levels of DACT1
- Clinical relevance of inflammatory markers in the evaluation of severity of ulcerative colitis: A retrospective study
- Zinc valproic acid complex promotes osteoblast differentiation and exhibits anti-osteoporotic potential
- Primary pulmonary synovial sarcoma in the bronchial cavity: A case report
- Metagenomic next-generation sequencing of alveolar lavage fluid improves the detection of pulmonary infection
- Uterine tumor resembling ovarian sex cord tumor with extensive rhabdoid differentiation: A case report
- Genomic analysis of a novel ST11(PR34365) Clostridioides difficile strain isolated from the human fecal of a CDI patient in Guizhou, China
- Effects of tiered cardiac rehabilitation on CRP, TNF-α, and physical endurance in older adults with coronary heart disease
- Changes in T-lymphocyte subpopulations in patients with colorectal cancer before and after acupoint catgut embedding acupuncture observation
- Modulating the tumor microenvironment: The role of traditional Chinese medicine in improving lung cancer treatment
- Alterations of metabolites related to microbiota–gut–brain axis in plasma of colon cancer, esophageal cancer, stomach cancer, and lung cancer patients
- Research on individualized drug sensitivity detection technology based on bio-3D printing technology for precision treatment of gastrointestinal stromal tumors
- CEBPB promotes ulcerative colitis-associated colorectal cancer by stimulating tumor growth and activating the NF-κB/STAT3 signaling pathway
- Oncolytic bacteria: A revolutionary approach to cancer therapy
- A de novo meningioma with rapid growth: A possible malignancy imposter?
- Diagnosis of secondary tuberculosis infection in an asymptomatic elderly with cancer using next-generation sequencing: Case report
- Hesperidin and its zinc(ii) complex enhance osteoblast differentiation and bone formation: In vitro and in vivo evaluations
- Research progress on the regulation of autophagy in cardiovascular diseases by chemokines
- Anti-arthritic, immunomodulatory, and inflammatory regulation by the benzimidazole derivative BMZ-AD: Insights from an FCA-induced rat model
- Immunoassay for pyruvate kinase M1/2 as an Alzheimer’s biomarker in CSF
- The role of HDAC11 in age-related hearing loss: Mechanisms and therapeutic implications
- Evaluation and application analysis of animal models of PIPNP based on data mining
- Therapeutic approaches for liver fibrosis/cirrhosis by targeting pyroptosis
- Fabrication of zinc oxide nanoparticles using Ruellia tuberosa leaf extract induces apoptosis through P53 and STAT3 signalling pathways in prostate cancer cells
- Haplo-hematopoietic stem cell transplantation and immunoradiotherapy for severe aplastic anemia complicated with nasopharyngeal carcinoma: A case report
- Modulation of the KEAP1-NRF2 pathway by Erianin: A novel approach to reduce psoriasiform inflammation and inflammatory signaling
- The expression of epidermal growth factor receptor 2 and its relationship with tumor-infiltrating lymphocytes and clinical pathological features in breast cancer patients
- Innovations in MALDI-TOF Mass Spectrometry: Bridging modern diagnostics and historical insights
- BAP1 complexes with YY1 and RBBP7 and its downstream targets in ccRCC cells
- Hypereosinophilic syndrome with elevated IgG4 and T-cell clonality: A report of two cases
- Electroacupuncture alleviates sciatic nerve injury in sciatica rats by regulating BDNF and NGF levels, myelin sheath degradation, and autophagy
- Polydatin prevents cholesterol gallstone formation by regulating cholesterol metabolism via PPAR-γ signaling
- RNF144A and RNF144B: Important molecules for health
- Analysis of the detection rate and related factors of thyroid nodules in the healthy population
- Artesunate inhibits hepatocellular carcinoma cell migration and invasion through OGA-mediated O-GlcNAcylation of ZEB1
- Endovascular management of post-pancreatectomy hemorrhage caused by a hepatic artery pseudoaneurysm: Case report and review of the literature
- Efficacy and safety of anti-PD-1/PD-L1 antibodies in patients with relapsed refractory diffuse large B-cell lymphoma: A meta-analysis
- SATB2 promotes humeral fracture healing in rats by activating the PI3K/AKT pathway
- Overexpression of the ferroptosis-related gene, NFS1, corresponds to gastric cancer growth and tumor immune infiltration
- Understanding risk factors and prognosis in diabetic foot ulcers
- Atractylenolide I alleviates the experimental allergic response in mice by suppressing TLR4/NF-kB/NLRP3 signalling
- FBXO31 inhibits the stemness characteristics of CD147 (+) melanoma stem cells
- Immune molecule diagnostics in colorectal cancer: CCL2 and CXCL11
- Inhibiting CXCR6 promotes senescence of activated hepatic stellate cells with limited proinflammatory SASP to attenuate hepatic fibrosis
- Cadmium toxicity, health risk and its remediation using low-cost biochar adsorbents
- Pulmonary cryptococcosis with headache as the first presentation: A case report
- Solitary pulmonary metastasis with cystic airspaces in colon cancer: A rare case report
- RUNX1 promotes denervation-induced muscle atrophy by activating the JUNB/NF-κB pathway and driving M1 macrophage polarization
- Morphometric analysis and immunobiological investigation of Indigofera oblongifolia on the infected lung with Plasmodium chabaudi
- The NuA4/TIP60 histone-modifying complex and Hr78 modulate the Lobe2 mutant eye phenotype
- Experimental study on salmon demineralized bone matrix loaded with recombinant human bone morphogenetic protein-2: In vitro and in vivo study
- A case of IgA nephropathy treated with a combination of telitacicept and half-dose glucocorticoids
- Analgesic and toxicological evaluation of cannabidiol-rich Moroccan Cannabis sativa L. (Khardala variety) extract: Evidence from an in vivo and in silico study
- Wound healing and signaling pathways
- Combination of immunotherapy and whole-brain radiotherapy on prognosis of patients with multiple brain metastases: A retrospective cohort study
- To explore the relationship between endometrial hyperemia and polycystic ovary syndrome
- Research progress on the impact of curcumin on immune responses in breast cancer
- Biogenic Cu/Ni nanotherapeutics from Descurainia sophia (L.) Webb ex Prantl seeds for the treatment of lung cancer
- Dapagliflozin attenuates atrial fibrosis via the HMGB1/RAGE pathway in atrial fibrillation rats
- Glycitein alleviates inflammation and apoptosis in keratinocytes via ROS-associated PI3K–Akt signalling pathway
- ADH5 inhibits proliferation but promotes EMT in non-small cell lung cancer cell through activating Smad2/Smad3
- Apoptotic efficacies of AgNPs formulated by Syzygium aromaticum leaf extract on 32D-FLT3-ITD human leukemia cell line with PI3K/AKT/mTOR signaling pathway
- Novel cuproptosis-related genes C1QBP and PFKP identified as prognostic and therapeutic targets in lung adenocarcinoma
- Bee venom promotes exosome secretion and alters miRNA cargo in T cells
- Treatment of pure red cell aplasia in a chronic kidney disease patient with roxadustat: A case report
- Comparative bioinformatics analysis of the Wnt pathway in breast cancer: Selection of novel biomarker panels associated with ER status
- Kynurenine facilitates renal cell carcinoma progression by suppressing M2 macrophage pyroptosis through inhibition of CASP1 cleavage
- RFX5 promotes the growth, motility, and inhibits apoptosis of gastric adenocarcinoma cells through the SIRT1/AMPK axis
- ALKBH5 exacerbates early cardiac damage after radiotherapy for breast cancer via m6A demethylation of TLR4
- Phytochemicals of Roman chamomile: Antioxidant, anti-aging, and whitening activities of distillation residues
- Circadian gene Cry1 inhibits the tumorigenicity of hepatocellular carcinoma by the BAX/BCL2-mediated apoptosis pathway
- The TNFR-RIPK1/RIPK3 signalling pathway mediates the effect of lanthanum on necroptosis of nerve cells
- Longitudinal monitoring of autoantibody dynamics in patients with early-stage non-small-cell lung cancer undergoing surgery
- The potential role of rutin, a flavonoid, in the management of cancer through modulation of cell signaling pathways
- Construction of pectinase gene engineering microbe and its application in tobacco sheets
- Construction of a microbial abundance prognostic scoring model based on intratumoral microbial data for predicting the prognosis of lung squamous cell carcinoma
- Sepsis complicated by haemophagocytic lymphohistiocytosis triggered by methicillin-resistant Staphylococcus aureus and human herpesvirus 8 in an immunocompromised elderly patient: A case report
- Sarcopenia in liver transplantation: A comprehensive bibliometric study of current research trends and future directions
- Advances in cancer immunotherapy and future directions in personalized medicine
- Can coronavirus disease 2019 affect male fertility or cause spontaneous abortion? A two-sample Mendelian randomization analysis
- Heat stroke associated with novel leukaemia inhibitory factor receptor gene variant in a Chinese infant
- PSME2 exacerbates ulcerative colitis by disrupting intestinal barrier function and promoting autophagy-dependent inflammation
- Hyperosmolar hyperglycemic state with severe hypernatremia coexisting with central diabetes insipidus: A case report and literature review
- Efficacy and mechanism of escin in improving the tissue microenvironment of blood vessel walls via anti-inflammatory and anticoagulant effects: Implications for clinical practice
- Merkel cell carcinoma: Clinicopathological analysis of three patients and literature review
- Genetic variants in VWF exon 26 and their implications for type 1 Von Willebrand disease in a Saudi Arabian population
- Lipoxin A4 improves myocardial ischemia/reperfusion injury through the Notch1-Nrf2 signaling pathway
- High levels of EPHB2 expression predict a poor prognosis and promote tumor progression in endometrial cancer
- Knockdown of SHP-2 delays renal tubular epithelial cell injury in diabetic nephropathy by inhibiting NLRP3 inflammasome-mediated pyroptosis
- Exploring the toxicity mechanisms and detoxification methods of Rhizoma Paridis
- Concomitant gastric carcinoma and primary hepatic angiosarcoma in a patient: A case report
- YAP1 inhibition protects retinal vascular endothelial cells under high glucose by inhibiting autophagy
- Identification of secretory protein related biomarkers for primary biliary cholangitis based on machine learning and experimental validation
- Integrated genomic and clinical modeling for prognostic assessment of radiotherapy response in rectal neoplasms
- Stem cell-based approaches for glaucoma treatment: a mini review
- Bacteriophage titering by optical density means: KOTE assays
- Neutrophil-related signature characterizes immune landscape and predicts prognosis of esophageal squamous cell carcinoma
- Integrated bioinformatic analysis and machine learning strategies to identify new potential immune biomarkers for Alzheimer’s disease and their targeting prediction with geniposide
- TRIM21 accelerates ferroptosis in intervertebral disc degeneration by promoting SLC7A11 ubiquitination and degradation
- TRIM21 accelerates ferroptosis in intervertebral disc degeneration by promoting SLC7A11 ubiquitination and degradation
- Histone modification and non-coding RNAs in skin aging: emerging therapeutic avenues
- A multiplicative behavioral model of DNA replication initiation in cells
- Biogenic gold nanoparticles synthesized from Pergularia daemia leaves: a novel approach for nasopharyngeal carcinoma therapy
- Creutzfeldt-Jakob disease mimicking Hashimoto’s encephalopathy: steroid response followed by decline
- Impact of semaphorin, Sema3F, on the gene transcription and protein expression of CREB and its binding protein CREBBP in primary hippocampal neurons of rats
- Iron overloaded M0 macrophages regulate hematopoietic stem cell proliferation and senescence via the Nrf2/Keap1/HO-1 pathway
- Revisiting the link between NADPH oxidase p22phox C242T polymorphism and ischemic stroke risk: an updated meta-analysis
- Exercise training preferentially modulates α1D-adrenergic receptor expression in peripheral arteries of hypertensive rats
- Overexpression of HE4/WFDC2 gene in mice leads to keratitis and corneal opacity
- Tumoral calcinosis complicating CKD-MBD in hemodialysis: a case report
- Mechanism of KLF4 Inhibition of epithelial-mesenchymal transition in gastric cancer cells
- Dissecting the molecular mechanisms of T cell infiltration in psoriatic lesions via cell-cell communication and regulatory network analysis
- Circadian rhythm-based prognostic features predict immune infiltration and tumor microenvironment in molecular subtypes of hepatocellular carcinoma
- Ecology and Environmental Science
- Optimization and comparative study of Bacillus consortia for cellulolytic potential and cellulase enzyme activity
- The complete mitochondrial genome analysis of Haemaphysalis hystricis Supino, 1897 (Ixodida: Ixodidae) and its phylogenetic implications
- Epidemiological characteristics and risk factors analysis of multidrug-resistant tuberculosis among tuberculosis population in Huzhou City, Eastern China
- Indices of human impacts on landscapes: How do they reflect the proportions of natural habitats?
- Genetic analysis of the Siberian flying squirrel population in the northern Changbai Mountains, Northeast China: Insights into population status and conservation
- Diversity and environmental drivers of Suillus communities in Pinus sylvestris var. mongolica forests of Inner Mongolia
- Global assessment of the fate of nitrogen deposition in forest ecosystems: Insights from 15N tracer studies
- Fungal and bacterial pathogenic co-infections mainly lead to the assembly of microbial community in tobacco stems
- Influencing of coal industry related airborne particulate matter on ocular surface tear film injury and inflammatory factor expression in Sprague-Dawley rats
- Temperature-dependent development, predation, and life table of Sphaerophoria macrogaster (Thomson) (Diptera: Syrphidae) feeding on Myzus persicae (Sulzer) (Homoptera: Aphididae)
- Eleonora’s falcon trophic interactions with insects within its breeding range: A systematic review
- Agriculture
- Integrated analysis of transcriptome, sRNAome, and degradome involved in the drought-response of maize Zhengdan958
- Variation in flower frost tolerance among seven apple cultivars and transcriptome response patterns in two contrastingly frost-tolerant selected cultivars
- Heritability of durable resistance to stripe rust in bread wheat (Triticum aestivum L.)
- Molecular mechanism of follicular development in laying hens based on the regulation of water metabolism
- Molecular identification and control studies on Coridius sp. (Hemiptera: Dinidoridae) in Al-Khamra, south of Jeddah, Saudi Arabia
- 10.1515/biol-2025-1218
- Animal Science
- Effect of sex ratio on the life history traits of an important invasive species, Spodoptera frugiperda
- Plant Sciences
- Hairpin in a haystack: In silico identification and characterization of plant-conserved microRNA in Rafflesiaceae
- Widely targeted metabolomics of different tissues in Rubus corchorifolius
- The complete chloroplast genome of Gerbera piloselloides (L.) Cass., 1820 (Carduoideae, Asteraceae) and its phylogenetic analysis
- Field trial to correlate mineral solubilization activity of Pseudomonas aeruginosa and biochemical content of groundnut plants
- Correlation analysis between semen routine parameters and sperm DNA fragmentation index in patients with semen non-liquefaction: A retrospective study
- Plasticity of the anatomical traits of Rhododendron L. (Ericaceae) leaves and its implications in adaptation to the plateau environment
- Effects of Piriformospora indica and arbuscular mycorrhizal fungus on growth and physiology of Moringa oleifera under low-temperature stress
- Effects of different sources of potassium fertiliser on yield, fruit quality and nutrient absorption in “Harward” kiwifruit (Actinidia deliciosa)
- Comparative efficiency and residue levels of spraying programs against powdery mildew in grape varieties
- The DREB7 transcription factor enhances salt tolerance in soybean plants under salt stress
- Using plant electrical signals of water hyacinth (Eichhornia crassipes) for water pollution monitoring
- Response of hybrid grapes (Vitis spp.) to two biotic stress factors and their seedlessness status
- Metabolomic profiling reveals systemic metabolic reprogramming in Alternaria alternata under salt stress
- Effects of mixed salinity and alkali stress on photosynthetic characteristics and PEPC gene expression of vegetable soybean seedlings
- Food Science
- Phytochemical analysis of Stachys iva: Discovering the optimal extract conditions and its bioactive compounds
- Review on role of honey in disease prevention and treatment through modulation of biological activities
- Computational analysis of polymorphic residues in maltose and maltotriose transporters of a wild Saccharomyces cerevisiae strain
- Optimization of phenolic compound extraction from Tunisian squash by-products: A sustainable approach for antioxidant and antibacterial applications
- Liupao tea aqueous extract alleviates dextran sulfate sodium-induced ulcerative colitis in rats by modulating the gut microbiota
- Toxicological qualities and detoxification trends of fruit by-products for valorization: A review
- Polyphenolic spectrum of cornelian cherry fruits and their health-promoting effect
- Optimizing the encapsulation of the refined extract of squash peels for functional food applications: A sustainable approach to reduce food waste
- Advancements in curcuminoid formulations: An update on bioavailability enhancement strategies curcuminoid bioavailability and formulations
- Impact of saline sprouting on antioxidant properties and bioactive compounds in chia seeds
- The dilemma of food genetics and improvement
- Causal effects of trace elements on congenital foot deformities and their subtypes: a Mendelian randomization study with gut microbiota mediation
- Honey meets acidity: a novel biopreservative approach against foodborne pathogens
- Bioengineering and Biotechnology
- Impact of hyaluronic acid-modified hafnium metalorganic frameworks containing rhynchophylline on Alzheimer’s disease
- Emerging patterns in nanoparticle-based therapeutic approaches for rheumatoid arthritis: A comprehensive bibliometric and visual analysis spanning two decades
- Application of CRISPR/Cas gene editing for infectious disease control in poultry
- Preparation of hafnium nitride-coated titanium implants by magnetron sputtering technology and evaluation of their antibacterial properties and biocompatibility
- Preparation and characterization of lemongrass oil nanoemulsion: Antimicrobial, antibiofilm, antioxidant, and anticancer activities
- Fluorescent detection of sialic acid–binding lectins using functionalized quantum dots in ELISA format
- Smart tectorigenin-loaded ZnO hydrogel nanocomposites for targeted wound healing: synthesis, characterization, and biological evaluation
- Corrigendum
- Corrigendum to “Utilization of convolutional neural networks to analyze microscopic images for high-throughput screening of mesenchymal stem cells”
- Corrigendum to “Effects of Ire1 gene on virulence and pathogenicity of Candida albicans”
- Retraction
- Retraction of “Down-regulation of miR-539 indicates poor prognosis in patients with pancreatic cancer”