Abstract
This study investigates the diversity and distribution of Suillus fungi in Pinus sylvestris var. mongolica (PSM) forests across Inner Mongolia, with a focus on understanding the environmental factors influencing fungal communities. High-throughput sequencing was utilized to analyze soil fungal communities across 12 PSM forest sites, alongside assessments of meteorological variables and soil enzyme activities. Thirteen Suillus species were identified, with S. clintonianus being the dominant species. The diversity of Suillus fungi exhibited significant geographical variation, with diversity decreasing from east to west. Precipitation and leucine aminopeptidase activity were identified as key drivers of fungal distribution. The soil fungal community was predominantly saprotrophic, playing a crucial role in nutrient cycling and ecosystem stability. The findings provide a deeper understanding of the role of ectomycorrhizal fungi in sustaining forest health and offer valuable insights for sustainable forest management and restoration efforts in semi-arid regions.
1 Introduction
Pinus sylvestris var. mongolica L. (referred to as PSM) is the primary evergreen species in the sandy regions of northern China, playing a crucial ecological role in windbreak and sand fixation. PSM is pivotal in ecological restoration and engineering projects across northern China, with its plantations extending over 700,000 hectares across more than 13 provinces in semi-arid areas [1]. These forests are vital for windbreak, soil structure improvement, and biodiversity enhancement. However, due to the impacts of climate change, overexploitation, and poor management, these forests are facing severe degradation, manifested by slow growth, sparse stands, and declining biodiversity. Soil moisture and nutrients are the primary ecological constraints limiting vegetation growth [2], and while soil microorganisms are a crucial component of forest ecosystems, in-depth studies on their impact on PSM growth and the mechanisms of forest degradation are lacking. Since the 1970s, extensive PSM plantations have become an integral part of the “Three-North” Shelter Forest Program. Although research has primarily focused on water factors, the degradation issues of PSM plantations are complex, involving physiological mechanisms such as hydraulic failure and carbon starvation [3].
Fungi are one of the major groups of plant-associated microorganisms, crucial for regulating plant health, maintaining interactions between plants and other organisms, and the overall functionality of ecosystems [4]. The functional interactions between trees and fungi are essential for trees to adapt to changing environments. Different fungal species and functional groups respond differently to environmental changes, driven by climatic, nutritional, and biological factors. Global multivariate analyses indicate that forest degradation leads to reduced soil carbon and nitrogen levels, increased soil pH, and accelerated carbon decomposition rates. Additionally, soil fungal biomass decreases at disturbed sites, but species diversity increases, closely correlating soil pH changes with shifts in fungal community composition [5]. In forest ecosystems, ectomycorrhizal (ECM) fungi hold a pivotal position, with suilloid fungi (i.e., the genera Suillus and Rhizopogon) exhibiting high host specificity with Pinaceae hosts [6]. Among ECM fungi, the genus Suillus is a pioneer species widely distributed in coniferous forests. Suillus comprises about 100 species and is primarily associated with the Pinaceae family, forming ECM relationships with conifers. These species are widely distributed across the northern hemisphere, with notable populations in boreal, temperate, and semi-arid ecosystems. Suillus species exhibit high host specificity, often forming symbioses with particular genera, subgenera, or species within the Pinaceae family. In semi-arid regions, such as the PSM forests of Inner Mongolia, Suillus species have developed unique ecological adaptations to cope with water scarcity and nutrient-poor soils. In these environments, ECM fungi like Suillus enhance nutrient uptake for host plants, particularly under conditions of water stress, making them vital for the survival and health of forests in arid and semi-arid regions. Suillus species are found in diverse ecosystems across the northern hemisphere, from boreal forests in Canada and Russia to temperate forests in Europe and North America. In semi-arid regions, such as the Mediterranean and parts of the western United States, studies have shown that Suillus species exhibit remarkable resilience to water stress and can thrive in ecosystems characterized by low moisture availability. Ecologically, Suillus is critically important as an underground partner for many Pinaceae in the northern hemisphere, often serving as a pioneer species of ECM fungi in northern afforestation and nursery practices [7]. Moreover, some Suillus species are edible and have been found to possess anticancer properties, making them suitable for medicinal uses [8–10].
Despite the significant ecological role of PSM in the Inner Mongolia Autonomous Region, research on soil fungi and the community composition of the genus Suillus in these forest ecosystems remains very limited. In light of this, the present study employs high-throughput sequencing techniques to thoroughly analyze the composition, distribution patterns, and diversity of soil fungal communities, particularly Suillus fungi, in typical PSM areas in Inner Mongolia.
The study aims to address the following research questions: What environmental factors most strongly influence the diversity and distribution of Suillus fungi in PSM forests? How do changes in environmental conditions, particularly precipitation and soil enzyme activity, affect Suillus community composition and forest ecosystem functioning in semi-arid regions?
2 Materials and methods
2.1 Sampling site overview
The experimental samples for this study were collected between August and September 2021. Twelve typical PSM forest areas were strategically selected across Inner Mongolia, representing a gradient of environmental conditions such as temperature, precipitation, and soil properties. These sites were chosen to capture the diversity of ecological conditions within the PSM forest ecosystem. Specifically, sites were selected based on variations in annual precipitation and temperature, as well as differences in forest degradation levels, ranging from well-preserved to degraded areas. This selection aimed to provide a comprehensive representation of fungal community diversity across varying environmental gradients within the semi-arid region. Data on the annual average temperature and annual mean precipitation (AP) were obtained from meteorological stations located at each of the sampling sites within the various leagues and cities of the Inner Mongolia region. Information on the sampling sites is presented in Table 1 and Figure 1.
Overview of sampling site
| Sample site | Location | Annual temperature (°C) | Annual precipitation (mm) |
|---|---|---|---|
| Hailar National Forest Park (Z1) | 119.32°N 49.32°E | −1.5 | 331.4 |
| Honghuaerji Scots Pine National Forest Park (Z2) | 119.99°N 48.27°E | 2.6 | 334.16 |
| Uber Boliger (Z3) | 119.34°N 47.55°E | 1.32 | 292.08 |
| Daqinggou National Nature Reserve (Z4) | 122.18°N 42.82°E | 7.56 | 465.82 |
| Baiyin Aobao National Nature Reserve (Z5) | 119.14°N 43.50°E | 3.84 | 379.26 |
| Huamugou National Forest Park (Z6) | 116.47°N 42.29°E | 3.84 | 379.26 |
| Saihanwula National Nature Reserve (Z7) | 118.20°N 43.70°E | 6.68 | 362.08 |
| Sumu Mountain Forest Park (Z8) | 113.40°N 40.29°E | 6.18 | 414.28 |
| Manhan Mountain National Forest Park (Z9) | 112.07°N 40.11°E | 6.42 | 384.62 |
| Haraqin Ecological Park (Z10) | 111.73°N 40.90°E | 7.32 | 432.84 |
| EjinHoro Ten Thousand Mu Scots Pine Forest (Z11) | 109.74°N 39.58°E | 7.86 | 426.8 |
| Yingpan Mountain Ecological Park (Z12) | 105.72°N 38.19°E | 9.5 | 253.36 |

A map of sampling sites.
2.2 Sample collection and processing
To thoroughly investigate the diversity of soil fungi in the Inner Mongolia region, soil samples were systematically collected from typical PSM forest areas along a continuous gradient stretching from east to west, encompassing Hulunbuir, Chifeng, Tongliao, Ulanqab, Hohhot, Ordos, and Alxa League.
A total of 12 sampling sites were established for this study, and each site underwent six replicate samplings to ensure the reliability of the data. At each site, six plots of 20 m × 20 m were selected in areas with minimal variation in topography and slope. These plots were spaced 50–100 m apart. Within each plot, three mid-aged trees with similar growth conditions were randomly selected, maintaining a minimum distance of 10 m between each tree. Sampling involved a five-point sampling method around the east, west, south, and north sides of the selected trees, within a soil depth of 20 cm. Soil samples from each plot were mixed to represent one replicate.
All collected samples were sieved through a 2 mm mesh. Each sample was then divided into two portions: one was stored at −80°C for subsequent high-throughput sequencing analysis. For the soil enzyme activity assays, each sampling site was replicated six times to ensure the reliability and reproducibility of the data. Soil enzyme activities were measured in each replicate sample to account for any spatial variability within the sampling plots. The assays were conducted on air-dried soil samples, and enzyme activities were quantified using ELISA kits. This replication allows for robust statistical analysis to validate the significance of differences observed in enzyme activities across the various sampling sites.
2.3 Methodology analysis and statistical data
The methodology used to explore the molecular diversity of soil fungal communities in PSM forests in Inner Mongolia employed a metagenomic sequencing approach, which included DNA extraction, library preparation, sequencing, and comprehensive bioinformatics analysis. Total genomic DNA was extracted from soil samples using the cetyltrimethylammonium bromide method. The quality of the extracted DNA, including degradation, contamination, and concentration, was rigorously assessed using the Agilent 4200 TapeStation system to ensure high-quality input material for subsequent sequencing.
Sequencing libraries were prepared using the NEBNext® Ultra™ DNA Library Prep Kit for Illumina (NEB, USA, Catalog#: E7370L), following the manufacturer’s guidelines. Each sample was assigned a unique index for multiplexing. Genomic DNA was fragmented to an average size of 350 bp via sonication. The resulting DNA fragments underwent end-polishing and A-tailing before being ligated with full-length Illumina sequencing adapters. PCR amplification enriched the adapter-ligated fragments, which were then purified using the AMPure XP system (Beverly, USA). Library quality was evaluated on the Agilent 5400 system (Agilent, USA) and quantified by QPCR (1.5 nM). Qualified libraries were pooled based on effective concentration and the desired data output, then sequenced on the Illumina NovaSeq 6000 platform using a Pair-End 150 bp strategy. The Illumina NovaSeq 6000, a state-of-the-art next-generation sequencing technology, ensured high throughput and accuracy, generating approximately 6 Gb of raw data per sample through its sequencing-by-synthesis approach.
Raw metagenomic sequencing data underwent thorough preprocessing using KneadData software to ensure data reliability. Quality control involved the use of Trimmomatic to remove sequencing adapters, low-quality bases, and sequences shorter than 50 bp. To address potential host DNA contamination, Bowtie2 (https://bowtie-bio.sourceforge.net/bowtie2/) was employed to filter out host-derived reads by aligning the cleaned data against a host reference database, ensuring that subsequent analyses focused exclusively on microbial communities. Finally, FastQC was used to assess the effectiveness of these quality control measures by evaluating data quality before and after trimming.
Species composition was determined by aligning the quality-controlled sequencing reads to a comprehensive microbial nucleic acid database. This database was constructed from fungal sequences selected from the NCBI NT nucleic database and the RefSeq whole-genome database. Kraken2, a powerful tool for rapid taxonomic classification of metagenomic sequences, was used to assign taxonomic labels to the reads based on this reference database, enabling precise identification of fungal species in the soil samples. Following the initial taxonomic assignment, the abundance of species in the samples was estimated using Bracken (Bayesian Reestimation of Abundance after Classification), which refined Kraken2’s initial abundance estimates by correcting for biases in read classification through Bayesian inference. After species annotation, the community composition of the samples was statistically analyzed at various taxonomic levels: kingdom, phylum, class, order, family, genus, and species.
Further analysis of high-throughput sequencing data was performed using the Microbiome Union Bioinformatics Cloud platform (https://www.bioincloud.tech/). The platform was used to generate percentage-stacked bar charts illustrating the relative abundance of soil fungi and Suillus species. Additionally, α diversity indices, such as Chao1 and Shannon indices, were calculated at the genus level to assess fungal richness and diversity across different forest sites. To assess the variation in fungal community diversity across different sampling sites, statistical tests were conducted using one-way analysis of variance to compare α diversity indices, including Chao1 and Shannon indices, between sites. Post-hoc Tukey’s honestly significant difference test was applied to identify specific pairs of sites with significant differences. The results were considered statistically significant at p-values <0.05. This statistical approach ensured that the observed differences in diversity were not due to random variation and were robust to environmental gradients.
2.4 Soil enzyme activity assays
Soil enzyme activity has become an essential metric for quantifying ecosystem functions, serving as an indicator of soil quality and functionality. In this experiment, soil enzyme activities were determined using ELISA kits, with the absorbance of samples measured at 450 nm using a multi-function enzyme reader. The enzymes analyzed included urease, phosphatase, β-d-glucosidase (β-glu), β-xylosidase (β-xyl), cellulase (CBH), peroxidase, protease, β-N-acetyl-glucosaminidase, and leucine aminopeptidase (LAP).
2.5 Data acquisition
The sequencing data involved in this study have been uploaded to the NCBI database (https://www.ncbi.nlm.nih.gov/) under the accession number PRJNA1095633.
3 Results and analysis
3.1 Diversity analysis of PSM soil fungal communities
High-throughput sequencing technology was employed to analyze the structure of fungal communities in PSM soil samples from the Inner Mongolia region. At a 97% sequence similarity level, clustering of operational taxonomic units (OTUs) identified a total of 841 fungal OTUs. These OTUs were classified into 9 fungal phyla, 33 classes, 94 orders, 211 families, 401 genera, and 795 species.
In the phylum-level classification of the PSM soil fungal community structure (Figure 2), nine phyla were detected, including Ascomycota, Basidiomycota, Mucoromycota, Chytridiomycota, Cryptomycota, Zoopagomycota, Blastocladiomycota, Olpidiomycota, and Microsporidia. The three dominant fungal phyla in the Inner Mongolia region varied, with ranges of 55.85−99.00, 2–42.5, and 0.9–4.1%, respectively. Except for the Sumu Mountain Forest Park (Z8), where Basidiomycota was the dominant phylum, Ascomycota was the predominant phylum in other areas.

Phylum-level species composition of soil fungi in PSM forests in Inner Mongolia. Note: The color of the column represented the abundance of the abundance gate level, and the error line (the vertical line at the top of the stacking part of each taxonomic unit) was added to represent mean ± standard deviation (SD), reflecting the variability of biological repetition within the group (n = 6).
In the genus-level classification of the PSM soil fungal community structure (Figure 3), the ten most abundant dominant genera were Fusarium, Metarhizium, Penicillium, Trichoderma, Hyaloscypha, Suillus, Pseudogymnoascus, Talaromyces, Purpureocillium, and Beauveria. Geographically, the relative abundance of Penicillium and Hyaloscypha showed a decreasing trend from east to west across Inner Mongolia, while the relative abundance of Fusarium, Metarhizium, and Beauveria exhibited an increasing trend from east to west. In the Harachin Ecological Park (Z10), the Yijinholo Banner’s Ten Thousand Mu PSM Forests (Z11), and the Yingpan Mountain Ecological Park in Alxa Left Banner (Z12), the fungi Pseudogymnoascus, Talaromyces, and Purpureocillium showed lower relative abundances; whereas Trichoderma had the lowest relative abundance in the Baiyin Aobao National Nature Reserve (Z5) and the Huamugou National Forest Park (Z6).

Genus-level species composition of soil fungi in PSM forests in Inner Mongolia. Note: The color of the cylinder represents the top 20 genera in abundance, and the top 10 genera in abundance add error lines (vertical lines at the top of the stacked parts of each taxon), indicating mean ± SD, reflecting the variability of biological repetition within the group (n = 6).
3.2 Distribution patterns of Suillus fungi in PSM soils
At the species taxonomic level (Figure 4), 13 species of Suillus fungi were detected in PSM soil samples, including S. bovinus, S. paluster, S. subalutaceus, S. subaureus, S. fluryi, S. plorans, S. clintonianus, S. discolor, S. fuscotomentosus, S. collinitus, S. luteus, S. pungens, and S. sinuspaulianus. Among the 13 Suillus species detected, S. clintonianus was the dominant species in all regions, with relative abundances ranging from 29.29 to 66.67%. This consistent dominance across the study area suggests that S. clintonianus may possess traits that confer competitive or environmental advantages, such as higher infection rates with Pinaceae and the ability to thrive in nutrient-poor soils. These traits may allow S. clintonianus to outcompete other species in this semi-arid environment, where water and nutrient availability are limiting factors. Future studies should explore whether S. clintonianus exhibits specific physiological or biochemical adaptations, such as drought tolerance or enhanced nutrient uptake mechanisms.

Distribution patterns of Suillus species in PSM forest soils across Inner Mongolia. Note: All color blocks in the figure represent all Suillus species detected, and all species add error lines (vertical lines at the top of the stacked parts of each taxon), indicating mean ± SD, reflecting the biological repetitive variability within the group (n = 6).
The distribution patterns of Suillus in PSM soils (Figure 4) revealed that 8 Suillus species were detected in the soils of the Hulunbuir region (Z1, Z2, and Z3); 2 species were found in the Tongliao area (Z4); 8 species were identified in the Chifeng region (Z5, Z6, and Z7); and 12 species were observed in the Ulanqab region (Z8 and Z9). S. clintonianus was a dominant species in all the above regions, with its highest proportion reaching 66.67%. In the PSM forest soils of the Hohhot area (Z10) and Alxa region (Z12), three Suillus species were detected. In these areas, S. subalutaceus (60%) and S. fuscotomentosus (53.13%) were the dominant species in Z10 and Z12, respectively, as well as in the Ten Thousand Mu PSM Forest of Yijinholo Banner (Z11).
3.3 Diversity analysis of fungal communities in PSM forests
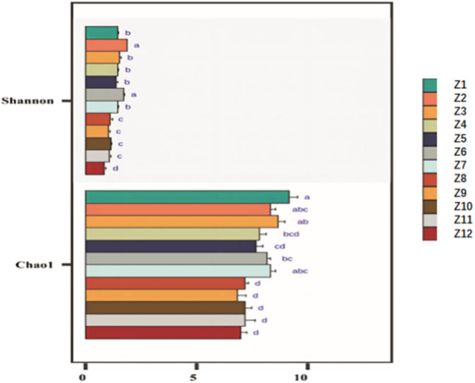
The diversity and richness of fungal communities in the PSM forest soils of the Inner Mongolia region exhibit significant geographical gradients. Specifically, within the study area extending from east to west, both the Shannon diversity index and the Chao 1 richness index show a gradual decreasing trend (Figure 5). These results suggest that the diversity and richness of soil fungal communities may be influenced by geographical and environmental factors in their spatial distribution.

α Diversity of soil fungi in PSM forests in Inner Mongolia.
Three primary trophic types are represented across 18 functional groups (Figure 6), with the top five abundant groups being animal pathogens, wood saprotrophs, undefined saprotrophs, plant pathogens, and endophytes. Among the symbiotic trophic types, ECM fungi show high abundance, particularly peaking in the Z8 area. Within the pathotrophic category, animal pathogens comprise the highest proportion, displaying an increasing trend from east to west. Plant pathogens reach their highest abundance in the Z7 area, showing no significant pattern from east to west.

Proportions of trophic modes and heat map of relative abundance of fungal functional groups.
Among the saprotrophic types, wood saprotrophs dominate and exhibit a decreasing trend from the eastern to the western parts of Inner Mongolia. The rhizosphere soil fungal functional groups of PSM forests undergo changes, with variations in the abundance of the 18 functional groups across 12 typical PSM forest sites. This indicates that the main functions performed by the fungal communities vary across these locations.
3.4 Correlation of Suillus with soil enzyme activities and meteorological factors
A correlation analysis was conducted between all detected Suillus species in PSM forest soils and both soil enzyme activities and meteorological factors (Figure 7). The results revealed a highly significant positive correlation between soil LAP and the species S. paluster, S. subaureus, S. plorans, and S. discolor. Significant positive correlations were also observed between soil β-xyl and S. fuscotomentosus, and between soil CBH and S. paluster. Furthermore, AP exhibited a highly significant positive correlation with S. paluster, S. subalutaceus, S. discolor, and S. plorans. Overall, the Suillus species are primarily influenced by precipitation and soil LAP enzyme activity.

Correlation analysis of Suillus with soil enzyme activities and meteorological factors.
4 Conclusions and discussion
While this study provides valuable insights into the diversity and distribution of Suillus fungi in PSM forests. Long-term monitoring across multiple seasons would provide a more comprehensive understanding of how Suillus and other fungal communities fluctuate over time, particularly in response to seasonal changes in precipitation and temperature. Future research should also investigate the role of Suillus in promoting forest health under varying climatic conditions and explore its potential for enhancing forest resilience to climate change. Soil fungal diversity serves as a critical indicator of soil quality, vividly reflecting the dynamic characteristics of fungal communities [11–13]. The study identified several key environmental factors that significantly impact the structure of soil fungal communities, including soil pH, temperature, moisture content, total nitrogen, ammonium nitrogen, total carbon, and enzyme activities. These environmental drivers not only shape fungal community composition but also have important implications for forest health and management. For instance, changes in precipitation patterns and soil moisture content could influence the abundance of ECM fungi such as Suillus, which play a crucial role in enhancing tree growth and forest resilience. Forest management practices should consider these factors, such as by monitoring soil moisture and nutrient content, which can help inform strategies to improve forest health under changing climatic conditions [14].
The observed east-to-west gradient in fungal diversity, with decreasing Suillus richness and increasing Fusarium abundance from east to west, reflects an environmental gradient driven by changing precipitation and soil nutrient availability. This spatial gradient suggests that regions with lower Suillus richness may be more vulnerable to soil degradation and fungal pathogens, such as Fusarium, which can negatively affect forest health. For forest management and climate adaptation strategies, these patterns highlight the need for region-specific interventions. Areas with low Suillus richness and high Fusarium abundance could benefit from targeted fungal inoculation to restore microbial balance and enhance forest resilience. Inoculating Suillus species in these regions could help improve nitrogen availability, suppress Fusarium pathogens, and promote a more balanced soil microbial community. Such interventions could be crucial for enhancing soil fertility and improving tree growth in areas facing environmental stress due to climate change [15].
Given these patterns, region-specific forest management strategies should be considered. In areas where Suillus richness is low and Fusarium abundance is high, targeted fungal inoculation with Suillus species could help improve soil microbial balance by enhancing nitrogen availability and suppressing the growth of Fusarium pathogens. Inoculation with Suillus fungi has been shown to promote plant growth by enhancing nutrient uptake and reducing the negative effects of soilborne pathogens. Additionally, soil amendments, such as the addition of organic matter or biofertilizers, could support the establishment of Suillus and other beneficial ECM fungi, further improving soil quality and forest resilience. These targeted interventions could contribute to reforestation and restoration efforts in semi-arid regions, where forest health is at risk due to environmental stressors.
Similar studies in boreal and temperate forests have shown that a single ECM fungus, such as Suillus, can significantly improve tree growth and health by facilitating nutrient uptake. This study in PSM forests aligns with these findings but adds a novel contribution by highlighting the distinct geographic and environmental factors that influence Suillus distribution and its interactions with other fungal communities in semi-arid climates [16]. After inoculation with S. luteus, the abundance of Fusarium in the rhizosphere soil samples from pines decreased, suggesting that inoculation with Suillus fungi suppressed Fusarium, shifting the dominance to Suillus and enhancing soil fungal diversity. Inoculation with S. luteus also altered the bacterial community structure in the rhizosphere and enhanced nutrient availability in the soil. These results indicate that beneficial fungi can suppress pathogen invasion to some extent, thereby promoting plant growth [17].
This study found that when beneficial fungi like Suillus and Trichoderma are abundant, the abundance of Fusarium pathogens is reduced. It was discovered that inoculation with Suillus significantly enhances the resistance of PSM seedlings to dieback disease, possibly because Suillus effectively increases the concentration of chlorophyll, activities of polyphenol oxidase, and superoxide dismutase in PSM, reduces the disease index of PSM dieback, and the activity of catalase, thereby inhibiting the growth of some pathogenic fungi [18–20].
ECM fungi play a vital role in promoting tree growth, enhancing trees’ ability to absorb mineral nutrients, increasing trees’ resistance to adverse conditions, and maintaining forest ecosystem stability [21]. Specifically, Suillus with its high infection rate in Pinaceae and significant impact on endogenous hormone levels during symbiosis, plays a key role in directly or indirectly regulating the physiological processes of symbiotic plants [22]. Additionally, Suillus combined with plant growth-promoting bacteria (PGPR) can enhance plant growth, alter the physicochemical properties, enzyme activities, and microbial community structure of plant rhizosphere soil. Suillus species exhibit remarkable tolerance to heavy metals, particularly in environments with elevated soil contamination. This trait is believed to be linked to the ability of Suillus to sequester heavy metals in fungal tissues, thus reducing the bioavailability of these metals to plants and other soil organisms [23]. This tolerance is thought to be a key mechanism by which Suillus can thrive in disturbed soils, making it a valuable tool for bioremediation. The application of Suillus in ecological restoration could enhance the rehabilitation of degraded lands by improving soil quality and promoting the re-establishment of vegetation in metal-contaminated environments. Further studies on the molecular mechanisms behind this tolerance, including the role of extracellular enzymes and metal-binding proteins, are warranted to fully understand Suillus’ potential in environmental management [24].
Similar studies in temperate and boreal forests have demonstrated the critical role of Suillus species in promoting tree health and nutrient cycling [25]. The findings of this study align with these results, highlighting the adaptability of Suillus to semi-arid environments and its potential to support forest resilience under changing climatic conditions. Suillus species, such as S. clintonianus, which dominate in Inner Mongolia’s PSM forests, exhibit broad adaptability to varying environmental conditions, further underscoring the ecological flexibility of Suillus species in supporting forest ecosystems across different climates [26].
Suillus fungi exhibit broad adaptability and low environmental dependency, traits that are particularly evident in their ability to colonize diverse forest ecosystems. Similar studies in temperate and boreal forests have shown that Suillus species, such as S. luteus and S. bovinus, play critical roles in nutrient cycling and enhancing plant growth, especially under nutrient-limited conditions. The results of this study, which show the dominance and adaptability of S. clintonianus in semi-arid conditions, further highlight the ecological flexibility of Suillus species and their potential to support forest health across various climatic zones. In this study, 13 species of Suillus fungi were identified from the PSM forests soils in Inner Mongolia. The distribution of Suillus shows significant geographical variation, with the abundance of Suillus in the Chifeng area being higher than in other regions. This study found that the diversity and richness of Suillus fungi under PSM forests increase along an east-to-west geographical gradient.
The results of this study show that fungal communities in PSM forests adapt to environmental changes by adopting various nutritional strategies, including saprotrophic, pathogenic, and symbiotic modes. The predominance of saprotrophic fungi, which play a key role in nutrient cycling, suggests that these fungi are critical for maintaining soil fertility in nutrient-poor environments. The high abundance of ECM fungi like Suillus underscores their importance in enhancing plant growth, promoting nutrient uptake, and improving forest resilience to environmental stressors. In this study, the main nutritional types in different PSM forests were saprotrophic, pathogenic, and symbiotic fungi, with a predominance of saprotrophic fungi in PSM forest soils, whose main role is to decompose organic matter in the soil into mineral nutrients absorbable by plants. Ascomycetes, mostly saprotrophs, can decompose a variety of recalcitrant substances, playing a crucial role in the decomposition of organic matter in the soil and being insensitive to environmental stress. The high proportion of saprotrophic fungi in the soils may be related to the PSM litter providing nutrients for the associated microbial communities. Plant pathogenic fungi occupy a middle proportion among all functional groups, with no apparent trend in their distribution across the PSM forests of Inner Mongolia. The proportion of symbiotic nutritional types is low, but the abundance of ECM functional groups is high. ECM fungi are significant in promoting the decomposition of organic and inorganic elements in the soil, enhancing plant disease resistance and stress resistance. Basidiomycetes are commonly found ECM fungi that can degrade substances like lignin that are difficult to decompose, promoting nutrient cycling in forest soils [27,28].
Soil enzymes play a crucial role in the material cycling and energy flow of soil ecosystems. The strong correlations observed between LAP activity and the distribution of Suillus species suggest a significant role of this enzyme in nitrogen cycling, particularly in nitrogen-limited environments. LAP, an enzyme involved in breaking down proteins and peptides into bioavailable nitrogen, directly influences the nitrogen availability in soil. In Suillus, increased LAP activity likely enhances the nitrogen supply, supporting the establishment and growth of ECM fungi. This is especially important in semi-arid regions, where nitrogen scarcity is a key limiting factor for plant growth. By enhancing nitrogen availability, Suillus can improve tree growth and forest resilience, particularly under drought stress, where nitrogen is further limited. The role of LAP in supporting Suillus species competitiveness in nutrient-poor soils could explain their dominance in semi-arid forest ecosystems and highlight the crucial role of Suillus in improving nutrient cycling and forest health under environmental stress [13]. The distribution of Suillus species is strongly correlated with environmental variables, particularly precipitation and LAP activity. These correlations suggest that Suillus species are well-adapted to water-limited environments, where the ability to mobilize nitrogen through LAP activity provides a competitive advantage. In semi-arid ecosystems, Suillus plays a critical role in enhancing nutrient availability through its ECM relationships with coniferous hosts, particularly in nitrogen-poor soils. This ability to increase nitrogen uptake under drought conditions contributes to tree resilience and supports the ecological stability of forest ecosystems. Suillus’ role in nutrient cycling and stress tolerance, especially under fluctuating precipitation, further underscores its importance in maintaining forest health, particularly in the face of climate change [20]. Future research should focus on understanding the long-term effects of environmental changes on fungal community dynamics, particularly in relation to Suillus species. Long-term studies that monitor Suillus populations over multiple seasons would provide a more comprehensive understanding of how these fungi respond to seasonal fluctuations in precipitation and temperature. Experimental studies could also explore the potential of Suillus inoculation as a strategy for improving forest health in semi-arid regions, especially under climate change scenarios. Moreover, further research on the interactions between Suillus and other microbial communities, such as PGPR, could provide valuable insights into how these symbiotic relationships contribute to forest resilience. In-depth studies on such fungi, especially the ecological functions and application potential of Suillus, are crucial for exploring and utilizing this biological resource to promote the forest economy of Inner Mongolia.
-
Funding information: This work was supported by the Science & Technology Plan of Inner Mongolia Autonomous Region (2019GG002) and Inner Mongolia Natural Science Foundation Project (2020MS03044).
-
Author contributions: Rui-Xia Liu was responsible for the experimental design and execution of the study. You-Han Wu contributed to parts of the experimental research. Yi-Hua Qiao, Yi-Wen Yang, and Wei-Ping Yan assisted with plot design and sample collection. Cong Li participated in the experimental design and analysis of the experimental results. Qing-Zhi Yao was the principal investigator and project leader, overseeing the experimental design, data analysis, and manuscript writing and revision. All authors have read and approved the final version of the manuscript.
-
Conflict of interest: Authors state no conflict of interest. Author Rui-xia Liu is employed by Inner Mongolia Taiwei Ecological Technology Co., Ltd. The company had no role in the design, conduct, or analysis of the study, and the employment of author Rui-xia Liu did not influence the results or interpretation of the data presented in this manuscript. Author Yi-hua Qiao is employed by Ejin Banner Forestry and Grassland Bureau. The company had no role in the design, conduct, or analysis of the study, and the employment of author Yi-hua Qiao did not influence the results or interpretation of the data presented in this manuscript. Author Yi-wen Yang is employed by Inner Mongolia Academy of Forestry Science. The company had no role in the design, conduct, or analysis of the study, and the employment of author Yi-wen Yang did not influence the results or interpretation of the data presented in this manuscript. Author Wei-ping Yan is employed by Ituri River Forestry Limited liability Company. The company had no role in the design, conduct, or analysis of the study, and the employment of author Wei-ping Yan did not influence the results or interpretation of the data presented in this manuscript.
-
Data availability statement: The datasets generated during and/or analyzed during the current study are available from the corresponding author on reasonable request.
References
[1] Song HH, Yan T, Zeng DH. Establishment of mixed plantations of Pinus sylvestris var. mongolica and Populus × xiaozhuanica may not be appropriate: evidence from litter decomposition. J Plant Ecol. 2019;12(5):857–70.10.1093/jpe/rtz020Search in Google Scholar
[2] Zhao PS, Guo MS, Gao GL, Zhang Y, Ding GD, Ren Y, et al. Community structure and functional group of root-associated fungi of Pinus sylvestris var. Mongolica across stand ages in the Mu Us Desert. Ecol Evol. 2020;10(6):3032–42.10.1002/ece3.6119Search in Google Scholar PubMed PubMed Central
[3] Lu WW, Wu B, Bai JH, Song XD, Shi ZJ, Dang HZ, et al. Causes and research prospects of the decline of Pinus sylvestris var. mongolica plantation. Chin Sci Bull. 2023;68(11):1286–97.10.1360/TB-2022-0980Search in Google Scholar
[4] Faticov M, Abdelfattah A, Roslin T, Vacher C, Hambäck P, Blanchet FG, et al. Climate warming dominates over plant genotype in shaping the seasonal trajectory of foliar fungal communities on oak. New Phytol. 2021;231(5):1770–83.10.1111/nph.17434Search in Google Scholar PubMed
[5] Marčiulynienė D, Marčiulynas A, Mishcherikova V, Lynikienė J, Gedminas A, Franic I, et al. Principal drivers of fungal communities associated with needles, shoots, roots and adjacent soil of Pinus sylvestris. J Fungi. 2022;8(10):1112.10.3390/jof8101112Search in Google Scholar PubMed PubMed Central
[6] Policelli N, Bruns TD, Vilgalys R, Nuñez MA. Suilloid fungi as global drivers of pine invasions. New Phytol. 2019;222:714–25.10.1111/nph.15660Search in Google Scholar PubMed
[7] Yao QZ, Zhang X, Yan W. Effects of Suillus luteus on soil microbial communities of two pines in Inner Mongolia, China. Int J Agric Biol. 2018;20(6):1447–53.Search in Google Scholar
[8] Miyamoto Y, Danilov AV, Bryanin SV. The dominance of Suillus species in ectomycorrhizal fungal communities on Larix gmelinii in a post-fire forest in the Russian Far East. Mycorrhiza. 2021;31(1):55–66.10.1007/s00572-020-00995-3Search in Google Scholar PubMed
[9] Farag MA, Kamal N, Hamezah HS, Saleh M, Zhang J, Mediani A, et al. The role of microorganisms and microbial enzymes in commercial fermented mushroom production: a comprehensive review of their action mechanisms, quality attributes and health benefits. Food Prod Process Nutr. 2025;7(1):1–13.10.1186/s43014-024-00278-wSearch in Google Scholar
[10] Zade S, Upadhyay TK, Rab SO, Sharangi AB, Lakhanpal S, Alabdallah NM, et al. Mushroom-derived bioactive compounds pharmacological properties and cancer targeting: a holistic assessment. Discov Oncol. 2025;16(1):654.10.1007/s12672-025-02371-zSearch in Google Scholar PubMed PubMed Central
[11] Nguyen NH, Vellinga EC, Bruns TD, Kennedy PG. Phylogenetic assessment of global Suillus ITS sequences supports morphologically defined species and reveals synonymous and undescribed taxa. Mycologia. 2016;108(6):1216–28.Search in Google Scholar
[12] Rotola-Pukkila M, Yang B, Hopia A. The effect of cooking on umami compounds in wild and cultivated mushrooms. Food Chem. 2019;25(278):56–66.10.1016/j.foodchem.2018.11.044Search in Google Scholar PubMed
[13] Mumin R, Wang DD, Zhao W, Huang KC, Li JN, Sun YF, et al. Spatial distribution patterns and assembly processes of abundant and rare fungal communities in Pinus sylvestris var. mongolica forests. Microorganisms. 2024;12(5):977.10.3390/microorganisms12050977Search in Google Scholar PubMed PubMed Central
[14] Yang HQ, Xiang YQ, Li Q, Yin BR, Tang ZR, Zhang Y, et al. A comparative study on the soil fungal community structure across three mixed forests at the initial stage of afforestation. Shengtai Xuebao. 2024;44(8):3360–71.Search in Google Scholar
[15] Truong C, Gabbarini LA, Corrales A, Mujic AB, Escobar JM, Moretto A, et al. Ectomycorrhizal fungi and soil enzymes exhibit contrasting patterns along elevation gradients in southern Patagonia. New Phytol. 2019;222(4):1936–50.10.1111/nph.15714Search in Google Scholar PubMed
[16] Tian ZH, Jun DU, Yongzhi LI, Libin YA. Effects of constructive species difference on soil fungal diversity in Larix gmelinii forest. J Cent South Univ For Technol. 2023;43(12):153–64.Search in Google Scholar
[17] Wang DD, Zhao W, Reyila M, Huang KC, Liu S, Cui BK. Diversity of microbial communities of Pinus sylvestris var. Mongolica at spatial scale. Microorganisms. 2022;10(2):371.10.3390/microorganisms10020371Search in Google Scholar PubMed PubMed Central
[18] Li H, Yao QZ, Zhang X, Tie Y. Effects of Suillus luteus on rhizosphere soil fungal diversity of Pinus sylvestris var. mongolica and Pinus tabulaeformis. Mycosystema. 2019;38(7):1071–81.Search in Google Scholar
[19] Wang Y, Guo M, Gao G, Cao H, Ding G, Liang H, et al. Effects of three ectomycorrhizal fungi on growth of Pinus sylvestris var. mongolica seedlings. J Arid Land Resour Environ. 2021;35(10):135–40.Search in Google Scholar
[20] Okumuş E, Canbolat F, Acar İ. Evaluation of antioxidant activity, anti-lipid peroxidation effect and elemental impurity risk of some wild Agaricus species mushrooms. BMC Plant Biol. 2025;25(1):476.10.1186/s12870-025-06520-ySearch in Google Scholar PubMed PubMed Central
[21] Yin D, Halifu S, Song R, Qi J, Deng X, Deng J. Effects of an ectomycorrhizal fungus on the growth and physiology of Pinus sylvestris var. mongolica seedlings subjected to saline-alkali stress. J For Res. 2019;31(3):781–8.10.1007/s11676-019-01007-7Search in Google Scholar
[22] Feng WY, Zhao YZ, Tan JH, Yang ZQ, Sun XG. Establishment of Pinus massoniana-Suillus bovinus symbiosis. Mycosystema. 2019;38(10):1620–30.Search in Google Scholar
[23] Lofgren L, Nguyen NH, Kennedy PG, Pérez‐Pazos E, Fletcher J, Liao HL, et al. Suillus: an emerging model for the study of ectomycorrhizal ecology and evolution. New Phytol. 2024;242:1448–75.10.1111/nph.19700Search in Google Scholar PubMed PubMed Central
[24] Al-Obaidi JR, Jamaludin AA, Rahman NA, Ahmad-Kamil EI. How plants respond to heavy metal contamination: a narrative review of proteomic studies and phytoremediation applications. Planta. 2024;259(5):103.10.1007/s00425-024-04378-2Search in Google Scholar PubMed
[25] Kalsotra T, Khullar S, Agnihotri R, Reddy MS. Metal induction of two metallothionein genes in the ectomycorrhizal fungus Suillus himalayensis and their role in metal tolerance. Microbiology. 2018;164(6):868–76.10.1099/mic.0.000666Search in Google Scholar PubMed
[26] Yu W, Zhang Z, Li Q, Zou J, Feng Z, Wen T. Effects of Pinus sylvestris var. mongolica afforestation on soil physicochemical properties at the southern edge of the Mu Us Sandy Land, China. For Ecol Manag. 2023;545:121254.10.1016/j.foreco.2023.121254Search in Google Scholar
[27] Zhang R, Shi XF, Liu PG, Wilson AW, Mueller GM. Host shift speciation of the ectomycorrhizal Genus Suillus (Suillineae, Boletales) and biogeographic comparison with its host pinaceae. Front Microbiol. 2022;13:831450.10.3389/fmicb.2022.831450Search in Google Scholar PubMed PubMed Central
[28] Mudbhari S, Lofgren L, Appidi MR, Vilgalys R, Hettich RL, Abraham PE. Decoding the chemical language of Suillus fungi: genome mining and untargeted metabolomics uncover terpene chemical diversity. MSystems. 2024;9(4):e0122523.10.1128/msystems.01225-23Search in Google Scholar PubMed PubMed Central
© 2025 the author(s), published by De Gruyter
This work is licensed under the Creative Commons Attribution 4.0 International License.
Articles in the same Issue
- Biomedical Sciences
- Mechanism of triptolide regulating proliferation and apoptosis of hepatoma cells by inhibiting JAK/STAT pathway
- Maslinic acid improves mitochondrial function and inhibits oxidative stress and autophagy in human gastric smooth muscle cells
- Comparative analysis of inflammatory biomarkers for the diagnosis of neonatal sepsis: IL-6, IL-8, SAA, CRP, and PCT
- Post-pandemic insights on COVID-19 and premature ovarian insufficiency
- Proteome differences of dental stem cells between permanent and deciduous teeth by data-independent acquisition proteomics
- Optimizing a modified cetyltrimethylammonium bromide protocol for fungal DNA extraction: Insights from multilocus gene amplification
- Preliminary analysis of the role of small hepatitis B surface proteins mutations in the pathogenesis of occult hepatitis B infection via the endoplasmic reticulum stress-induced UPR-ERAD pathway
- Efficacy of alginate-coated gold nanoparticles against antibiotics-resistant Staphylococcus and Streptococcus pathogens of acne origins
- Battling COVID-19 leveraging nanobiotechnology: Gold and silver nanoparticle–B-escin conjugates as SARS-CoV-2 inhibitors
- Neurodegenerative diseases and neuroinflammation-induced apoptosis
- Impact of fracture fixation surgery on cognitive function and the gut microbiota in mice with a history of stroke
- COLEC10: A potential tumor suppressor and prognostic biomarker in hepatocellular carcinoma through modulation of EMT and PI3K-AKT pathways
- High-temperature requirement serine protease A2 inhibitor UCF-101 ameliorates damaged neurons in traumatic brain-injured rats by the AMPK/NF-κB pathway
- SIK1 inhibits IL-1β-stimulated cartilage apoptosis and inflammation in vitro through the CRTC2/CREB1 signaling
- Rutin–chitooligosaccharide complex: Comprehensive evaluation of its anti-inflammatory and analgesic properties in vitro and in vivo
- Knockdown of Aurora kinase B alleviates high glucose-triggered trophoblast cells damage and inflammation during gestational diabetes
- Calcium-sensing receptors promoted Homer1 expression and osteogenic differentiation in bone marrow mesenchymal stem cells
- ABI3BP can inhibit the proliferation, invasion, and epithelial–mesenchymal transition of non-small-cell lung cancer cells
- Changes in blood glucose and metabolism in hyperuricemia mice
- Rapid detection of the GJB2 c.235delC mutation based on CRISPR-Cas13a combined with lateral flow dipstick
- IL-11 promotes Ang II-induced autophagy inhibition and mitochondrial dysfunction in atrial fibroblasts
- Short-chain fatty acid attenuates intestinal inflammation by regulation of gut microbial composition in antibiotic-associated diarrhea
- Application of metagenomic next-generation sequencing in the diagnosis of pathogens in patients with diabetes complicated by community-acquired pneumonia
- NAT10 promotes radiotherapy resistance in non-small cell lung cancer by regulating KPNB1-mediated PD-L1 nuclear translocation
- Phytol-mixed micelles alleviate dexamethasone-induced osteoporosis in zebrafish: Activation of the MMP3–OPN–MAPK pathway-mediating bone remodeling
- Association between TGF-β1 and β-catenin expression in the vaginal wall of patients with pelvic organ prolapse
- Primary pleomorphic liposarcoma involving bilateral ovaries: Case report and literature review
- Effects of de novo donor-specific Class I and II antibodies on graft outcomes after liver transplantation: A pilot cohort study
- Sleep architecture in Alzheimer’s disease continuum: The deep sleep question
- Ephedra fragilis plant extract: A groundbreaking corrosion inhibitor for mild steel in acidic environments – electrochemical, EDX, DFT, and Monte Carlo studies
- Langerhans cell histiocytosis in an adult patient with upper jaw and pulmonary involvement: A case report
- Inhibition of mast cell activation by Jaranol-targeted Pirin ameliorates allergic responses in mouse allergic rhinitis
- Aeromonas veronii-induced septic arthritis of the hip in a child with acute lymphoblastic leukemia
- Clusterin activates the heat shock response via the PI3K/Akt pathway to protect cardiomyocytes from high-temperature-induced apoptosis
- Research progress on fecal microbiota transplantation in tumor prevention and treatment
- Low-pressure exposure influences the development of HAPE
- Stigmasterol alleviates endplate chondrocyte degeneration through inducing mitophagy by enhancing PINK1 mRNA acetylation via the ESR1/NAT10 axis
- AKAP12, mediated by transcription factor 21, inhibits cell proliferation, metastasis, and glycolysis in lung squamous cell carcinoma
- Association between PAX9 or MSX1 gene polymorphism and tooth agenesis risk: A meta-analysis
- A case of bloodstream infection caused by Neisseria gonorrhoeae
- Case of nasopharyngeal tuberculosis complicated with cervical lymph node and pulmonary tuberculosis
- p-Cymene inhibits pro-fibrotic and inflammatory mediators to prevent hepatic dysfunction
- GFPT2 promotes paclitaxel resistance in epithelial ovarian cancer cells via activating NF-κB signaling pathway
- Transfer RNA-derived fragment tRF-36 modulates varicose vein progression via human vascular smooth muscle cell Notch signaling
- RTA-408 attenuates the hepatic ischemia reperfusion injury in mice possibly by activating the Nrf2/HO-1 signaling pathway
- Decreased serum TIMP4 levels in patients with rheumatoid arthritis
- Sirt1 protects lupus nephritis by inhibiting the NLRP3 signaling pathway in human glomerular mesangial cells
- Sodium butyrate aids brain injury repair in neonatal rats
- Interaction of MTHFR polymorphism with PAX1 methylation in cervical cancer
- Convallatoxin inhibits proliferation and angiogenesis of glioma cells via regulating JAK/STAT3 pathway
- The effect of the PKR inhibitor, 2-aminopurine, on the replication of influenza A virus, and segment 8 mRNA splicing
- Effects of Ire1 gene on virulence and pathogenicity of Candida albicans
- Small cell lung cancer with small intestinal metastasis: Case report and literature review
- GRB14: A prognostic biomarker driving tumor progression in gastric cancer through the PI3K/AKT signaling pathway by interacting with COBLL1
- 15-Lipoxygenase-2 deficiency induces foam cell formation that can be restored by salidroside through the inhibition of arachidonic acid effects
- FTO alleviated the diabetic nephropathy progression by regulating the N6-methyladenosine levels of DACT1
- Clinical relevance of inflammatory markers in the evaluation of severity of ulcerative colitis: A retrospective study
- Zinc valproic acid complex promotes osteoblast differentiation and exhibits anti-osteoporotic potential
- Primary pulmonary synovial sarcoma in the bronchial cavity: A case report
- Metagenomic next-generation sequencing of alveolar lavage fluid improves the detection of pulmonary infection
- Uterine tumor resembling ovarian sex cord tumor with extensive rhabdoid differentiation: A case report
- Genomic analysis of a novel ST11(PR34365) Clostridioides difficile strain isolated from the human fecal of a CDI patient in Guizhou, China
- Effects of tiered cardiac rehabilitation on CRP, TNF-α, and physical endurance in older adults with coronary heart disease
- Changes in T-lymphocyte subpopulations in patients with colorectal cancer before and after acupoint catgut embedding acupuncture observation
- Modulating the tumor microenvironment: The role of traditional Chinese medicine in improving lung cancer treatment
- Alterations of metabolites related to microbiota–gut–brain axis in plasma of colon cancer, esophageal cancer, stomach cancer, and lung cancer patients
- Research on individualized drug sensitivity detection technology based on bio-3D printing technology for precision treatment of gastrointestinal stromal tumors
- CEBPB promotes ulcerative colitis-associated colorectal cancer by stimulating tumor growth and activating the NF-κB/STAT3 signaling pathway
- Oncolytic bacteria: A revolutionary approach to cancer therapy
- A de novo meningioma with rapid growth: A possible malignancy imposter?
- Diagnosis of secondary tuberculosis infection in an asymptomatic elderly with cancer using next-generation sequencing: Case report
- Hesperidin and its zinc(ii) complex enhance osteoblast differentiation and bone formation: In vitro and in vivo evaluations
- Research progress on the regulation of autophagy in cardiovascular diseases by chemokines
- Anti-arthritic, immunomodulatory, and inflammatory regulation by the benzimidazole derivative BMZ-AD: Insights from an FCA-induced rat model
- Immunoassay for pyruvate kinase M1/2 as an Alzheimer’s biomarker in CSF
- The role of HDAC11 in age-related hearing loss: Mechanisms and therapeutic implications
- Evaluation and application analysis of animal models of PIPNP based on data mining
- Therapeutic approaches for liver fibrosis/cirrhosis by targeting pyroptosis
- Fabrication of zinc oxide nanoparticles using Ruellia tuberosa leaf extract induces apoptosis through P53 and STAT3 signalling pathways in prostate cancer cells
- Haplo-hematopoietic stem cell transplantation and immunoradiotherapy for severe aplastic anemia complicated with nasopharyngeal carcinoma: A case report
- Modulation of the KEAP1-NRF2 pathway by Erianin: A novel approach to reduce psoriasiform inflammation and inflammatory signaling
- The expression of epidermal growth factor receptor 2 and its relationship with tumor-infiltrating lymphocytes and clinical pathological features in breast cancer patients
- Innovations in MALDI-TOF Mass Spectrometry: Bridging modern diagnostics and historical insights
- BAP1 complexes with YY1 and RBBP7 and its downstream targets in ccRCC cells
- Hypereosinophilic syndrome with elevated IgG4 and T-cell clonality: A report of two cases
- Electroacupuncture alleviates sciatic nerve injury in sciatica rats by regulating BDNF and NGF levels, myelin sheath degradation, and autophagy
- Polydatin prevents cholesterol gallstone formation by regulating cholesterol metabolism via PPAR-γ signaling
- RNF144A and RNF144B: Important molecules for health
- Analysis of the detection rate and related factors of thyroid nodules in the healthy population
- Artesunate inhibits hepatocellular carcinoma cell migration and invasion through OGA-mediated O-GlcNAcylation of ZEB1
- Endovascular management of post-pancreatectomy hemorrhage caused by a hepatic artery pseudoaneurysm: Case report and review of the literature
- Efficacy and safety of anti-PD-1/PD-L1 antibodies in patients with relapsed refractory diffuse large B-cell lymphoma: A meta-analysis
- SATB2 promotes humeral fracture healing in rats by activating the PI3K/AKT pathway
- Overexpression of the ferroptosis-related gene, NFS1, corresponds to gastric cancer growth and tumor immune infiltration
- Understanding risk factors and prognosis in diabetic foot ulcers
- Atractylenolide I alleviates the experimental allergic response in mice by suppressing TLR4/NF-kB/NLRP3 signalling
- FBXO31 inhibits the stemness characteristics of CD147 (+) melanoma stem cells
- Immune molecule diagnostics in colorectal cancer: CCL2 and CXCL11
- Inhibiting CXCR6 promotes senescence of activated hepatic stellate cells with limited proinflammatory SASP to attenuate hepatic fibrosis
- Cadmium toxicity, health risk and its remediation using low-cost biochar adsorbents
- Pulmonary cryptococcosis with headache as the first presentation: A case report
- Solitary pulmonary metastasis with cystic airspaces in colon cancer: A rare case report
- RUNX1 promotes denervation-induced muscle atrophy by activating the JUNB/NF-κB pathway and driving M1 macrophage polarization
- Morphometric analysis and immunobiological investigation of Indigofera oblongifolia on the infected lung with Plasmodium chabaudi
- The NuA4/TIP60 histone-modifying complex and Hr78 modulate the Lobe2 mutant eye phenotype
- Experimental study on salmon demineralized bone matrix loaded with recombinant human bone morphogenetic protein-2: In vitro and in vivo study
- A case of IgA nephropathy treated with a combination of telitacicept and half-dose glucocorticoids
- Analgesic and toxicological evaluation of cannabidiol-rich Moroccan Cannabis sativa L. (Khardala variety) extract: Evidence from an in vivo and in silico study
- Wound healing and signaling pathways
- Combination of immunotherapy and whole-brain radiotherapy on prognosis of patients with multiple brain metastases: A retrospective cohort study
- To explore the relationship between endometrial hyperemia and polycystic ovary syndrome
- Research progress on the impact of curcumin on immune responses in breast cancer
- Biogenic Cu/Ni nanotherapeutics from Descurainia sophia (L.) Webb ex Prantl seeds for the treatment of lung cancer
- Dapagliflozin attenuates atrial fibrosis via the HMGB1/RAGE pathway in atrial fibrillation rats
- Glycitein alleviates inflammation and apoptosis in keratinocytes via ROS-associated PI3K–Akt signalling pathway
- ADH5 inhibits proliferation but promotes EMT in non-small cell lung cancer cell through activating Smad2/Smad3
- Apoptotic efficacies of AgNPs formulated by Syzygium aromaticum leaf extract on 32D-FLT3-ITD human leukemia cell line with PI3K/AKT/mTOR signaling pathway
- Novel cuproptosis-related genes C1QBP and PFKP identified as prognostic and therapeutic targets in lung adenocarcinoma
- Bee venom promotes exosome secretion and alters miRNA cargo in T cells
- Treatment of pure red cell aplasia in a chronic kidney disease patient with roxadustat: A case report
- Comparative bioinformatics analysis of the Wnt pathway in breast cancer: Selection of novel biomarker panels associated with ER status
- Kynurenine facilitates renal cell carcinoma progression by suppressing M2 macrophage pyroptosis through inhibition of CASP1 cleavage
- RFX5 promotes the growth, motility, and inhibits apoptosis of gastric adenocarcinoma cells through the SIRT1/AMPK axis
- ALKBH5 exacerbates early cardiac damage after radiotherapy for breast cancer via m6A demethylation of TLR4
- Phytochemicals of Roman chamomile: Antioxidant, anti-aging, and whitening activities of distillation residues
- Circadian gene Cry1 inhibits the tumorigenicity of hepatocellular carcinoma by the BAX/BCL2-mediated apoptosis pathway
- The TNFR-RIPK1/RIPK3 signalling pathway mediates the effect of lanthanum on necroptosis of nerve cells
- Longitudinal monitoring of autoantibody dynamics in patients with early-stage non-small-cell lung cancer undergoing surgery
- The potential role of rutin, a flavonoid, in the management of cancer through modulation of cell signaling pathways
- Construction of pectinase gene engineering microbe and its application in tobacco sheets
- Construction of a microbial abundance prognostic scoring model based on intratumoral microbial data for predicting the prognosis of lung squamous cell carcinoma
- Sepsis complicated by haemophagocytic lymphohistiocytosis triggered by methicillin-resistant Staphylococcus aureus and human herpesvirus 8 in an immunocompromised elderly patient: A case report
- Sarcopenia in liver transplantation: A comprehensive bibliometric study of current research trends and future directions
- Advances in cancer immunotherapy and future directions in personalized medicine
- Can coronavirus disease 2019 affect male fertility or cause spontaneous abortion? A two-sample Mendelian randomization analysis
- Heat stroke associated with novel leukaemia inhibitory factor receptor gene variant in a Chinese infant
- PSME2 exacerbates ulcerative colitis by disrupting intestinal barrier function and promoting autophagy-dependent inflammation
- Hyperosmolar hyperglycemic state with severe hypernatremia coexisting with central diabetes insipidus: A case report and literature review
- Efficacy and mechanism of escin in improving the tissue microenvironment of blood vessel walls via anti-inflammatory and anticoagulant effects: Implications for clinical practice
- 10.1515/biol-2025-1168
- Ecology and Environmental Science
- Optimization and comparative study of Bacillus consortia for cellulolytic potential and cellulase enzyme activity
- The complete mitochondrial genome analysis of Haemaphysalis hystricis Supino, 1897 (Ixodida: Ixodidae) and its phylogenetic implications
- Epidemiological characteristics and risk factors analysis of multidrug-resistant tuberculosis among tuberculosis population in Huzhou City, Eastern China
- Indices of human impacts on landscapes: How do they reflect the proportions of natural habitats?
- Genetic analysis of the Siberian flying squirrel population in the northern Changbai Mountains, Northeast China: Insights into population status and conservation
- Diversity and environmental drivers of Suillus communities in Pinus sylvestris var. mongolica forests of Inner Mongolia
- Global assessment of the fate of nitrogen deposition in forest ecosystems: Insights from 15N tracer studies
- Fungal and bacterial pathogenic co-infections mainly lead to the assembly of microbial community in tobacco stems
- Influencing of coal industry related airborne particulate matter on ocular surface tear film injury and inflammatory factor expression in Sprague-Dawley rats
- Temperature-dependent development, predation, and life table of Sphaerophoria macrogaster (Thomson) (Diptera: Syrphidae) feeding on Myzus persicae (Sulzer) (Homoptera: Aphididae)
- Eleonora’s falcon trophic interactions with insects within its breeding range: A systematic review
- Agriculture
- Integrated analysis of transcriptome, sRNAome, and degradome involved in the drought-response of maize Zhengdan958
- Variation in flower frost tolerance among seven apple cultivars and transcriptome response patterns in two contrastingly frost-tolerant selected cultivars
- Heritability of durable resistance to stripe rust in bread wheat (Triticum aestivum L.)
- Molecular mechanism of follicular development in laying hens based on the regulation of water metabolism
- Animal Science
- Effect of sex ratio on the life history traits of an important invasive species, Spodoptera frugiperda
- Plant Sciences
- Hairpin in a haystack: In silico identification and characterization of plant-conserved microRNA in Rafflesiaceae
- Widely targeted metabolomics of different tissues in Rubus corchorifolius
- The complete chloroplast genome of Gerbera piloselloides (L.) Cass., 1820 (Carduoideae, Asteraceae) and its phylogenetic analysis
- Field trial to correlate mineral solubilization activity of Pseudomonas aeruginosa and biochemical content of groundnut plants
- Correlation analysis between semen routine parameters and sperm DNA fragmentation index in patients with semen non-liquefaction: A retrospective study
- Plasticity of the anatomical traits of Rhododendron L. (Ericaceae) leaves and its implications in adaptation to the plateau environment
- Effects of Piriformospora indica and arbuscular mycorrhizal fungus on growth and physiology of Moringa oleifera under low-temperature stress
- Effects of different sources of potassium fertiliser on yield, fruit quality and nutrient absorption in “Harward” kiwifruit (Actinidia deliciosa)
- Comparative efficiency and residue levels of spraying programs against powdery mildew in grape varieties
- The DREB7 transcription factor enhances salt tolerance in soybean plants under salt stress
- Using plant electrical signals of water hyacinth (Eichhornia crassipes) for water pollution monitoring
- Food Science
- Phytochemical analysis of Stachys iva: Discovering the optimal extract conditions and its bioactive compounds
- Review on role of honey in disease prevention and treatment through modulation of biological activities
- Computational analysis of polymorphic residues in maltose and maltotriose transporters of a wild Saccharomyces cerevisiae strain
- Optimization of phenolic compound extraction from Tunisian squash by-products: A sustainable approach for antioxidant and antibacterial applications
- Liupao tea aqueous extract alleviates dextran sulfate sodium-induced ulcerative colitis in rats by modulating the gut microbiota
- Toxicological qualities and detoxification trends of fruit by-products for valorization: A review
- Polyphenolic spectrum of cornelian cherry fruits and their health-promoting effect
- Optimizing the encapsulation of the refined extract of squash peels for functional food applications: A sustainable approach to reduce food waste
- Advancements in curcuminoid formulations: An update on bioavailability enhancement strategies curcuminoid bioavailability and formulations
- Impact of saline sprouting on antioxidant properties and bioactive compounds in chia seeds
- The dilemma of food genetics and improvement
- Bioengineering and Biotechnology
- Impact of hyaluronic acid-modified hafnium metalorganic frameworks containing rhynchophylline on Alzheimer’s disease
- Emerging patterns in nanoparticle-based therapeutic approaches for rheumatoid arthritis: A comprehensive bibliometric and visual analysis spanning two decades
- Application of CRISPR/Cas gene editing for infectious disease control in poultry
- Preparation of hafnium nitride-coated titanium implants by magnetron sputtering technology and evaluation of their antibacterial properties and biocompatibility
- Preparation and characterization of lemongrass oil nanoemulsion: Antimicrobial, antibiofilm, antioxidant, and anticancer activities
- Corrigendum
- Corrigendum to “Utilization of convolutional neural networks to analyze microscopic images for high-throughput screening of mesenchymal stem cells”
- Corrigendum to “Effects of Ire1 gene on virulence and pathogenicity of Candida albicans”
Articles in the same Issue
- Biomedical Sciences
- Mechanism of triptolide regulating proliferation and apoptosis of hepatoma cells by inhibiting JAK/STAT pathway
- Maslinic acid improves mitochondrial function and inhibits oxidative stress and autophagy in human gastric smooth muscle cells
- Comparative analysis of inflammatory biomarkers for the diagnosis of neonatal sepsis: IL-6, IL-8, SAA, CRP, and PCT
- Post-pandemic insights on COVID-19 and premature ovarian insufficiency
- Proteome differences of dental stem cells between permanent and deciduous teeth by data-independent acquisition proteomics
- Optimizing a modified cetyltrimethylammonium bromide protocol for fungal DNA extraction: Insights from multilocus gene amplification
- Preliminary analysis of the role of small hepatitis B surface proteins mutations in the pathogenesis of occult hepatitis B infection via the endoplasmic reticulum stress-induced UPR-ERAD pathway
- Efficacy of alginate-coated gold nanoparticles against antibiotics-resistant Staphylococcus and Streptococcus pathogens of acne origins
- Battling COVID-19 leveraging nanobiotechnology: Gold and silver nanoparticle–B-escin conjugates as SARS-CoV-2 inhibitors
- Neurodegenerative diseases and neuroinflammation-induced apoptosis
- Impact of fracture fixation surgery on cognitive function and the gut microbiota in mice with a history of stroke
- COLEC10: A potential tumor suppressor and prognostic biomarker in hepatocellular carcinoma through modulation of EMT and PI3K-AKT pathways
- High-temperature requirement serine protease A2 inhibitor UCF-101 ameliorates damaged neurons in traumatic brain-injured rats by the AMPK/NF-κB pathway
- SIK1 inhibits IL-1β-stimulated cartilage apoptosis and inflammation in vitro through the CRTC2/CREB1 signaling
- Rutin–chitooligosaccharide complex: Comprehensive evaluation of its anti-inflammatory and analgesic properties in vitro and in vivo
- Knockdown of Aurora kinase B alleviates high glucose-triggered trophoblast cells damage and inflammation during gestational diabetes
- Calcium-sensing receptors promoted Homer1 expression and osteogenic differentiation in bone marrow mesenchymal stem cells
- ABI3BP can inhibit the proliferation, invasion, and epithelial–mesenchymal transition of non-small-cell lung cancer cells
- Changes in blood glucose and metabolism in hyperuricemia mice
- Rapid detection of the GJB2 c.235delC mutation based on CRISPR-Cas13a combined with lateral flow dipstick
- IL-11 promotes Ang II-induced autophagy inhibition and mitochondrial dysfunction in atrial fibroblasts
- Short-chain fatty acid attenuates intestinal inflammation by regulation of gut microbial composition in antibiotic-associated diarrhea
- Application of metagenomic next-generation sequencing in the diagnosis of pathogens in patients with diabetes complicated by community-acquired pneumonia
- NAT10 promotes radiotherapy resistance in non-small cell lung cancer by regulating KPNB1-mediated PD-L1 nuclear translocation
- Phytol-mixed micelles alleviate dexamethasone-induced osteoporosis in zebrafish: Activation of the MMP3–OPN–MAPK pathway-mediating bone remodeling
- Association between TGF-β1 and β-catenin expression in the vaginal wall of patients with pelvic organ prolapse
- Primary pleomorphic liposarcoma involving bilateral ovaries: Case report and literature review
- Effects of de novo donor-specific Class I and II antibodies on graft outcomes after liver transplantation: A pilot cohort study
- Sleep architecture in Alzheimer’s disease continuum: The deep sleep question
- Ephedra fragilis plant extract: A groundbreaking corrosion inhibitor for mild steel in acidic environments – electrochemical, EDX, DFT, and Monte Carlo studies
- Langerhans cell histiocytosis in an adult patient with upper jaw and pulmonary involvement: A case report
- Inhibition of mast cell activation by Jaranol-targeted Pirin ameliorates allergic responses in mouse allergic rhinitis
- Aeromonas veronii-induced septic arthritis of the hip in a child with acute lymphoblastic leukemia
- Clusterin activates the heat shock response via the PI3K/Akt pathway to protect cardiomyocytes from high-temperature-induced apoptosis
- Research progress on fecal microbiota transplantation in tumor prevention and treatment
- Low-pressure exposure influences the development of HAPE
- Stigmasterol alleviates endplate chondrocyte degeneration through inducing mitophagy by enhancing PINK1 mRNA acetylation via the ESR1/NAT10 axis
- AKAP12, mediated by transcription factor 21, inhibits cell proliferation, metastasis, and glycolysis in lung squamous cell carcinoma
- Association between PAX9 or MSX1 gene polymorphism and tooth agenesis risk: A meta-analysis
- A case of bloodstream infection caused by Neisseria gonorrhoeae
- Case of nasopharyngeal tuberculosis complicated with cervical lymph node and pulmonary tuberculosis
- p-Cymene inhibits pro-fibrotic and inflammatory mediators to prevent hepatic dysfunction
- GFPT2 promotes paclitaxel resistance in epithelial ovarian cancer cells via activating NF-κB signaling pathway
- Transfer RNA-derived fragment tRF-36 modulates varicose vein progression via human vascular smooth muscle cell Notch signaling
- RTA-408 attenuates the hepatic ischemia reperfusion injury in mice possibly by activating the Nrf2/HO-1 signaling pathway
- Decreased serum TIMP4 levels in patients with rheumatoid arthritis
- Sirt1 protects lupus nephritis by inhibiting the NLRP3 signaling pathway in human glomerular mesangial cells
- Sodium butyrate aids brain injury repair in neonatal rats
- Interaction of MTHFR polymorphism with PAX1 methylation in cervical cancer
- Convallatoxin inhibits proliferation and angiogenesis of glioma cells via regulating JAK/STAT3 pathway
- The effect of the PKR inhibitor, 2-aminopurine, on the replication of influenza A virus, and segment 8 mRNA splicing
- Effects of Ire1 gene on virulence and pathogenicity of Candida albicans
- Small cell lung cancer with small intestinal metastasis: Case report and literature review
- GRB14: A prognostic biomarker driving tumor progression in gastric cancer through the PI3K/AKT signaling pathway by interacting with COBLL1
- 15-Lipoxygenase-2 deficiency induces foam cell formation that can be restored by salidroside through the inhibition of arachidonic acid effects
- FTO alleviated the diabetic nephropathy progression by regulating the N6-methyladenosine levels of DACT1
- Clinical relevance of inflammatory markers in the evaluation of severity of ulcerative colitis: A retrospective study
- Zinc valproic acid complex promotes osteoblast differentiation and exhibits anti-osteoporotic potential
- Primary pulmonary synovial sarcoma in the bronchial cavity: A case report
- Metagenomic next-generation sequencing of alveolar lavage fluid improves the detection of pulmonary infection
- Uterine tumor resembling ovarian sex cord tumor with extensive rhabdoid differentiation: A case report
- Genomic analysis of a novel ST11(PR34365) Clostridioides difficile strain isolated from the human fecal of a CDI patient in Guizhou, China
- Effects of tiered cardiac rehabilitation on CRP, TNF-α, and physical endurance in older adults with coronary heart disease
- Changes in T-lymphocyte subpopulations in patients with colorectal cancer before and after acupoint catgut embedding acupuncture observation
- Modulating the tumor microenvironment: The role of traditional Chinese medicine in improving lung cancer treatment
- Alterations of metabolites related to microbiota–gut–brain axis in plasma of colon cancer, esophageal cancer, stomach cancer, and lung cancer patients
- Research on individualized drug sensitivity detection technology based on bio-3D printing technology for precision treatment of gastrointestinal stromal tumors
- CEBPB promotes ulcerative colitis-associated colorectal cancer by stimulating tumor growth and activating the NF-κB/STAT3 signaling pathway
- Oncolytic bacteria: A revolutionary approach to cancer therapy
- A de novo meningioma with rapid growth: A possible malignancy imposter?
- Diagnosis of secondary tuberculosis infection in an asymptomatic elderly with cancer using next-generation sequencing: Case report
- Hesperidin and its zinc(ii) complex enhance osteoblast differentiation and bone formation: In vitro and in vivo evaluations
- Research progress on the regulation of autophagy in cardiovascular diseases by chemokines
- Anti-arthritic, immunomodulatory, and inflammatory regulation by the benzimidazole derivative BMZ-AD: Insights from an FCA-induced rat model
- Immunoassay for pyruvate kinase M1/2 as an Alzheimer’s biomarker in CSF
- The role of HDAC11 in age-related hearing loss: Mechanisms and therapeutic implications
- Evaluation and application analysis of animal models of PIPNP based on data mining
- Therapeutic approaches for liver fibrosis/cirrhosis by targeting pyroptosis
- Fabrication of zinc oxide nanoparticles using Ruellia tuberosa leaf extract induces apoptosis through P53 and STAT3 signalling pathways in prostate cancer cells
- Haplo-hematopoietic stem cell transplantation and immunoradiotherapy for severe aplastic anemia complicated with nasopharyngeal carcinoma: A case report
- Modulation of the KEAP1-NRF2 pathway by Erianin: A novel approach to reduce psoriasiform inflammation and inflammatory signaling
- The expression of epidermal growth factor receptor 2 and its relationship with tumor-infiltrating lymphocytes and clinical pathological features in breast cancer patients
- Innovations in MALDI-TOF Mass Spectrometry: Bridging modern diagnostics and historical insights
- BAP1 complexes with YY1 and RBBP7 and its downstream targets in ccRCC cells
- Hypereosinophilic syndrome with elevated IgG4 and T-cell clonality: A report of two cases
- Electroacupuncture alleviates sciatic nerve injury in sciatica rats by regulating BDNF and NGF levels, myelin sheath degradation, and autophagy
- Polydatin prevents cholesterol gallstone formation by regulating cholesterol metabolism via PPAR-γ signaling
- RNF144A and RNF144B: Important molecules for health
- Analysis of the detection rate and related factors of thyroid nodules in the healthy population
- Artesunate inhibits hepatocellular carcinoma cell migration and invasion through OGA-mediated O-GlcNAcylation of ZEB1
- Endovascular management of post-pancreatectomy hemorrhage caused by a hepatic artery pseudoaneurysm: Case report and review of the literature
- Efficacy and safety of anti-PD-1/PD-L1 antibodies in patients with relapsed refractory diffuse large B-cell lymphoma: A meta-analysis
- SATB2 promotes humeral fracture healing in rats by activating the PI3K/AKT pathway
- Overexpression of the ferroptosis-related gene, NFS1, corresponds to gastric cancer growth and tumor immune infiltration
- Understanding risk factors and prognosis in diabetic foot ulcers
- Atractylenolide I alleviates the experimental allergic response in mice by suppressing TLR4/NF-kB/NLRP3 signalling
- FBXO31 inhibits the stemness characteristics of CD147 (+) melanoma stem cells
- Immune molecule diagnostics in colorectal cancer: CCL2 and CXCL11
- Inhibiting CXCR6 promotes senescence of activated hepatic stellate cells with limited proinflammatory SASP to attenuate hepatic fibrosis
- Cadmium toxicity, health risk and its remediation using low-cost biochar adsorbents
- Pulmonary cryptococcosis with headache as the first presentation: A case report
- Solitary pulmonary metastasis with cystic airspaces in colon cancer: A rare case report
- RUNX1 promotes denervation-induced muscle atrophy by activating the JUNB/NF-κB pathway and driving M1 macrophage polarization
- Morphometric analysis and immunobiological investigation of Indigofera oblongifolia on the infected lung with Plasmodium chabaudi
- The NuA4/TIP60 histone-modifying complex and Hr78 modulate the Lobe2 mutant eye phenotype
- Experimental study on salmon demineralized bone matrix loaded with recombinant human bone morphogenetic protein-2: In vitro and in vivo study
- A case of IgA nephropathy treated with a combination of telitacicept and half-dose glucocorticoids
- Analgesic and toxicological evaluation of cannabidiol-rich Moroccan Cannabis sativa L. (Khardala variety) extract: Evidence from an in vivo and in silico study
- Wound healing and signaling pathways
- Combination of immunotherapy and whole-brain radiotherapy on prognosis of patients with multiple brain metastases: A retrospective cohort study
- To explore the relationship between endometrial hyperemia and polycystic ovary syndrome
- Research progress on the impact of curcumin on immune responses in breast cancer
- Biogenic Cu/Ni nanotherapeutics from Descurainia sophia (L.) Webb ex Prantl seeds for the treatment of lung cancer
- Dapagliflozin attenuates atrial fibrosis via the HMGB1/RAGE pathway in atrial fibrillation rats
- Glycitein alleviates inflammation and apoptosis in keratinocytes via ROS-associated PI3K–Akt signalling pathway
- ADH5 inhibits proliferation but promotes EMT in non-small cell lung cancer cell through activating Smad2/Smad3
- Apoptotic efficacies of AgNPs formulated by Syzygium aromaticum leaf extract on 32D-FLT3-ITD human leukemia cell line with PI3K/AKT/mTOR signaling pathway
- Novel cuproptosis-related genes C1QBP and PFKP identified as prognostic and therapeutic targets in lung adenocarcinoma
- Bee venom promotes exosome secretion and alters miRNA cargo in T cells
- Treatment of pure red cell aplasia in a chronic kidney disease patient with roxadustat: A case report
- Comparative bioinformatics analysis of the Wnt pathway in breast cancer: Selection of novel biomarker panels associated with ER status
- Kynurenine facilitates renal cell carcinoma progression by suppressing M2 macrophage pyroptosis through inhibition of CASP1 cleavage
- RFX5 promotes the growth, motility, and inhibits apoptosis of gastric adenocarcinoma cells through the SIRT1/AMPK axis
- ALKBH5 exacerbates early cardiac damage after radiotherapy for breast cancer via m6A demethylation of TLR4
- Phytochemicals of Roman chamomile: Antioxidant, anti-aging, and whitening activities of distillation residues
- Circadian gene Cry1 inhibits the tumorigenicity of hepatocellular carcinoma by the BAX/BCL2-mediated apoptosis pathway
- The TNFR-RIPK1/RIPK3 signalling pathway mediates the effect of lanthanum on necroptosis of nerve cells
- Longitudinal monitoring of autoantibody dynamics in patients with early-stage non-small-cell lung cancer undergoing surgery
- The potential role of rutin, a flavonoid, in the management of cancer through modulation of cell signaling pathways
- Construction of pectinase gene engineering microbe and its application in tobacco sheets
- Construction of a microbial abundance prognostic scoring model based on intratumoral microbial data for predicting the prognosis of lung squamous cell carcinoma
- Sepsis complicated by haemophagocytic lymphohistiocytosis triggered by methicillin-resistant Staphylococcus aureus and human herpesvirus 8 in an immunocompromised elderly patient: A case report
- Sarcopenia in liver transplantation: A comprehensive bibliometric study of current research trends and future directions
- Advances in cancer immunotherapy and future directions in personalized medicine
- Can coronavirus disease 2019 affect male fertility or cause spontaneous abortion? A two-sample Mendelian randomization analysis
- Heat stroke associated with novel leukaemia inhibitory factor receptor gene variant in a Chinese infant
- PSME2 exacerbates ulcerative colitis by disrupting intestinal barrier function and promoting autophagy-dependent inflammation
- Hyperosmolar hyperglycemic state with severe hypernatremia coexisting with central diabetes insipidus: A case report and literature review
- Efficacy and mechanism of escin in improving the tissue microenvironment of blood vessel walls via anti-inflammatory and anticoagulant effects: Implications for clinical practice
- 10.1515/biol-2025-1168
- Ecology and Environmental Science
- Optimization and comparative study of Bacillus consortia for cellulolytic potential and cellulase enzyme activity
- The complete mitochondrial genome analysis of Haemaphysalis hystricis Supino, 1897 (Ixodida: Ixodidae) and its phylogenetic implications
- Epidemiological characteristics and risk factors analysis of multidrug-resistant tuberculosis among tuberculosis population in Huzhou City, Eastern China
- Indices of human impacts on landscapes: How do they reflect the proportions of natural habitats?
- Genetic analysis of the Siberian flying squirrel population in the northern Changbai Mountains, Northeast China: Insights into population status and conservation
- Diversity and environmental drivers of Suillus communities in Pinus sylvestris var. mongolica forests of Inner Mongolia
- Global assessment of the fate of nitrogen deposition in forest ecosystems: Insights from 15N tracer studies
- Fungal and bacterial pathogenic co-infections mainly lead to the assembly of microbial community in tobacco stems
- Influencing of coal industry related airborne particulate matter on ocular surface tear film injury and inflammatory factor expression in Sprague-Dawley rats
- Temperature-dependent development, predation, and life table of Sphaerophoria macrogaster (Thomson) (Diptera: Syrphidae) feeding on Myzus persicae (Sulzer) (Homoptera: Aphididae)
- Eleonora’s falcon trophic interactions with insects within its breeding range: A systematic review
- Agriculture
- Integrated analysis of transcriptome, sRNAome, and degradome involved in the drought-response of maize Zhengdan958
- Variation in flower frost tolerance among seven apple cultivars and transcriptome response patterns in two contrastingly frost-tolerant selected cultivars
- Heritability of durable resistance to stripe rust in bread wheat (Triticum aestivum L.)
- Molecular mechanism of follicular development in laying hens based on the regulation of water metabolism
- Animal Science
- Effect of sex ratio on the life history traits of an important invasive species, Spodoptera frugiperda
- Plant Sciences
- Hairpin in a haystack: In silico identification and characterization of plant-conserved microRNA in Rafflesiaceae
- Widely targeted metabolomics of different tissues in Rubus corchorifolius
- The complete chloroplast genome of Gerbera piloselloides (L.) Cass., 1820 (Carduoideae, Asteraceae) and its phylogenetic analysis
- Field trial to correlate mineral solubilization activity of Pseudomonas aeruginosa and biochemical content of groundnut plants
- Correlation analysis between semen routine parameters and sperm DNA fragmentation index in patients with semen non-liquefaction: A retrospective study
- Plasticity of the anatomical traits of Rhododendron L. (Ericaceae) leaves and its implications in adaptation to the plateau environment
- Effects of Piriformospora indica and arbuscular mycorrhizal fungus on growth and physiology of Moringa oleifera under low-temperature stress
- Effects of different sources of potassium fertiliser on yield, fruit quality and nutrient absorption in “Harward” kiwifruit (Actinidia deliciosa)
- Comparative efficiency and residue levels of spraying programs against powdery mildew in grape varieties
- The DREB7 transcription factor enhances salt tolerance in soybean plants under salt stress
- Using plant electrical signals of water hyacinth (Eichhornia crassipes) for water pollution monitoring
- Food Science
- Phytochemical analysis of Stachys iva: Discovering the optimal extract conditions and its bioactive compounds
- Review on role of honey in disease prevention and treatment through modulation of biological activities
- Computational analysis of polymorphic residues in maltose and maltotriose transporters of a wild Saccharomyces cerevisiae strain
- Optimization of phenolic compound extraction from Tunisian squash by-products: A sustainable approach for antioxidant and antibacterial applications
- Liupao tea aqueous extract alleviates dextran sulfate sodium-induced ulcerative colitis in rats by modulating the gut microbiota
- Toxicological qualities and detoxification trends of fruit by-products for valorization: A review
- Polyphenolic spectrum of cornelian cherry fruits and their health-promoting effect
- Optimizing the encapsulation of the refined extract of squash peels for functional food applications: A sustainable approach to reduce food waste
- Advancements in curcuminoid formulations: An update on bioavailability enhancement strategies curcuminoid bioavailability and formulations
- Impact of saline sprouting on antioxidant properties and bioactive compounds in chia seeds
- The dilemma of food genetics and improvement
- Bioengineering and Biotechnology
- Impact of hyaluronic acid-modified hafnium metalorganic frameworks containing rhynchophylline on Alzheimer’s disease
- Emerging patterns in nanoparticle-based therapeutic approaches for rheumatoid arthritis: A comprehensive bibliometric and visual analysis spanning two decades
- Application of CRISPR/Cas gene editing for infectious disease control in poultry
- Preparation of hafnium nitride-coated titanium implants by magnetron sputtering technology and evaluation of their antibacterial properties and biocompatibility
- Preparation and characterization of lemongrass oil nanoemulsion: Antimicrobial, antibiofilm, antioxidant, and anticancer activities
- Corrigendum
- Corrigendum to “Utilization of convolutional neural networks to analyze microscopic images for high-throughput screening of mesenchymal stem cells”
- Corrigendum to “Effects of Ire1 gene on virulence and pathogenicity of Candida albicans”