Home Effects of cadmium stress on fruits germination and growth of two herbage species
Article Open Access

Effects of cadmium stress on fruits germination and growth of two herbage species

  • Ying Hu , Huichun Wang EMAIL logo , Biyao Zhou , Zhengke Li , Huiping Jia , Pengmao Deji , Nian Liu and Jingjing Wei
Published/Copyright: April 11, 2023

Abstract

Cadmium (Cd) pollution is a global environmental problem. It is of great significance to find a kind of pasture that can grow normally in a cadmium environment, especially in the Tibetan Plateau. We studied the fruit germination and fruit growth of Elymus sinsubmuticus S.L. Chen and Elymus tangutorum (Nevski), native plants of the Tibetan Plateau, in different cadmium environments. The results showed that with increased cadmium stress, the fruit germination rate, final germination rate, fruit-vigor, average germination time, and germination-speed index for the two grass species gradually decreased, and the 50% germination time for the seed gradually increased. Root length, biomass, and the number of leaves decreased in both species. We quantified the fruit germination and growth of plants in the cadmium environment and found that E. sinosubmuticus S.L. Chen had better fruit germination and fruit growth, and it had the development potential of cadmium pollution control.

1 Introduction

In recent years, environmental issues have become topics of discussion among scientists worldwide. Faced with these challenges, we need to study the existential risks posed by environmental pollution from more perspectives [1,2]. Cadmium is a metal used in the manufacture of products such as alloys, dyes, plastics, pesticides, paints, nickel–cadmium, silver–cadmium, and lithium–cadmium rechargeable batteries [3]. The production and sale of these commodities cover almost all human activities, such as industry, agriculture, mining, and transportation [4]. Through commercial wastes, cadmium can enter the air, water, and soil, causing environmental pollution [5,6]. As a nonessential nutrient for plants, cadmium is mainly absorbed into the plant body through the plant roots, resulting in the reduction of chlorophyll in plant leaves, the increase in antioxidant enzymes, the inhibition of plant growth, and even plant death [7]. At the same time, as the primary producers, the cadmium in plant matter causes cadmium poisoning in other organisms, along with an extension to the food chain and cadmium’s transmission in the food web, becoming a threat to the health of humans [8].

Fruits are the common propagule of gymnosperms and angiosperms, which ensure the reproduction and renewal of sexually reproductive plants [9]. Cadmium exposure can have an impact on plant-fruit germination, altering fruit germination rates and fruit growth. Studies have found that under cadmium stress, pea-fruits’ germination radicle and embryo growth are significantly inhibited, and the hydrolysis of the main storage proteins (albumin, Leguminosae, and Westwood) is damaged. This results in a reduced release of free amino acids (cysteine, aspartic acid, and serine) and a lack of nitrogen supply, an essential nutrient for pea seed growth. At the same time, oxidative stress and excess free radicals are produced [10]. Cadmium reduces bean-fruit germination rates, embryo growth, biomass, and mineral and sugar partitioning between cotyledons and hypocotyls, inhibits α-amylase and invertase (soluble acid, soluble neutral, and cell-wall-bound acid) activity. The content of malondialdehyde and the activity of lipoxygenase are increased, and the delayed intensity of fruit germination increases gradually with the increase in cadmium concentration [11]. With the gradual increase in cadmium concentration, the root length, stem length, biomass (root and stem), chlorophyll content, and stomatal conductance of quinoa all decrease, and the activities of antioxidant enzymes (superoxide dismutase, catalase, peroxidase) gradually increase [12].

Cadmium pollution is a global environmental problem. The Yamuna River, which originates in the Himalayas, is one of the main tributaries of the Ganges River in India. The contents of Fe, Cu, Co, Zn, Pb, Ni, and Cr in the river water are 40–190, 50–120, 4–66, 840–1,800, 2–40, 100–600, 88–253, and 35–52 μg L−1 [13]. As early as 1999, heavy metal elements, such as Pb, Cu, Zn, Cd, As, Sb, and Br, were detected by soil analysis in the Himalayan Mountains, where the Yamuna River originates. These elements can not only come from the local soil but also be derived from other natural or anthropogenic sources through tangutorum migration [14]. Of Poland’s 23 national parks, the Babiogórski, Ojcowski, Gorczański national parks in the south of the country are the most heavily contaminated by heavy metals [15]. Cd, Cu, and Pb are the main pollutants in the surface sediments from the upper reaches of the Red River in Vietnam down to the underwater delta, and their concentrations reach moderate-to-severe pollution levels [16]. From a global perspective, transportation is a typical source of heavy-metal pollution. There are different concentrations of heavy metals in urban road dust in Asia, Europe, Africa, North and South America, and Australia. The zinc content in the road dust of Europe is the highest, followed by Asia, Africa, Australia, and America. The Cu pollution and pollution-load index (PLI) are highest in Europe and lowest in Africa. The PLI in the USA and African cities is between the two. The potential ecological risk of different continents is highest in Asia, followed by Europe, Australia, America, and Africa [17].

The Qinghai–Tibet Plateau is recognized as the “Third Pole” and the “Water Tower of Asia” [18]. The highest and largest alpine grassland in the world is in the Plateau [19]. The grassland-dominated ecosystem covers an area of 2.5 × 106 km2, accounting for more than 60% of the total plateau area; grassland resources are valuable for the survival of local herdsmen and many wild animals [20] and are also an important component of fragile ecological barriers [21]. However, heavy metal pollution has gradually appeared in the Qinghai–Tibet Plateau. The Huangshui Watershed is located in the eastern part of the Qinghai–Tibet Plateau. The average concentrations of heavy metals in surface and deeper soils are 124.85 and 104.10 mg kg−1 for Cr, 0.36 and 0.23 mg kg−1 for Cd, 34.07 and 28.99 mg kg−1 for Cu, 35.23 and 28.43 mg kg−1 for Pb, and 106.16 and 92.26 mg kg−1 for Zn, respectively [22]. Highways in the eastern part of the Tibetan Plateau are contaminated with heavy metals to varying degrees. The road segments stretch from Xining to Maduo along the #214 national highway, from Maduo to Qumalai, from Qumalai to Budongquan off the #308 provincial highway, from Budongquan to Naqu off the #109 national highway, and from Naqu to Lhasa off the #109 national highway in the Qinghai–Tibet Plateau. The mean concentrations of Cu (23.13 mg kg−1), Zn (100.97 mg kg−1), Cd (0.30 mg kg−1), Pb (29.60 mg kg−1), Ni (31.93 mg kg−1), and As (21.40 mg kg−1) of the entire region were higher than the background values, and the concentrations of Cr (36.20 mg kg−1) and Co (10.31 mg kg−1) were lower than the background values [23]. In the main industrial, mining, and agricultural areas and transportation lines in the northeastern part of the Qinghai–Tibet Plateau, the mean values of Hg and Cd were 0.28 and 0.68 mg kg−1, respectively, and the highest concentrations were 0.80 and 14.84 mg kg−1, respectively. The maximum concentrations of Hg and Cd in the soil were 40 and 108 times larger than the background values, respectively. Among all the heavy metals, lead had the highest concentration, which was 2076.28 mg kg−1. The average concentrations of Zn, Cr, and V were 145.64, 93.29, and 83.10 mg kg−1, respectively [24]. Cadmium pollution on the Qinghai–Tibet Plateau mainly comes from industry, transportation, landfills, and atmospheric transmission [3,25,26].

Although metal concentrations are well characterized, there is little knowledge about the fruit germination and fruit growth of alpine plants under cadmium stress. This article is the first to report on fruit germination and fruit growth under cadmium stress for Elymus sinosubmuticus S.L. Chen and Elymus tangutorum (Nevski) Hand.-Mazz., which originate in the Qinghai–Tibet Plateau. We aim to clarify the growth situation of alpine plants in response to the increased risk of cadmium pollution. At the same time, to compensate for the scarcity of phytoremediation species available for alpine heavy metals, we selected and then comprehensively evaluated these two grass species for their superior phytoremediation capability and cadmium resistance.

2 Materials and methods

2.1 Experimental design

Elymus sinosubmuticus S.L. Chen (Els) and E. tangutorum (Nevski) Hand.-Mazz. (Elt) were grown by Tongde Feed Fruits Production in Qinghai Province, China (35°15′N, 100°38′E), which is located in the eastern part of the Qinghai–Tibet Plateau [27]. The soil pH in this area is about 7–8, and the soil background value of cadmium is less than 0.2 mg L−1 (Environmental Quality Standard for Soils of China, GB15618-1995). Healthy and plump fruits were selected, sterilized with 10% (v/v) H2O2 for 30 min, rinsed with distilled water three times [28], and then soaked in distilled water at 25°C for 24 h. After the filter paper absorbed the surface moisture, the fruits were evenly dispersed in a culture dish with a diameter of 9 cm; 50 fruits were placed in each culture dish; three filter papers were laid in the culture dish in advance; and 5 mL of different concentrations of cadmium-stress solution (0, 10, 20, 30, 40, 50 mg L−1) was added (the stress solution was prepared with distilled water). There were three repeated treatments for each concentration. Simulations were carried out under day (25 ± 2°C, 12 h 5,000 lx light, PAR 400–700 nm, 70% humidity) and night (20 ± 2°C, 12 h 0 lx dark, 60% humidity) conditions, in an artificial intelligence incubator. The fruits were carefully cultivated in the medium, and a corresponding stress solution was regularly added to maintain the humidity and stress balance of the medium. The germination of the fruits was recorded from the third day; when the radicles of the fruits were more than half the fruits’ length, this was regarded as germination. The seedlings were cultivated for 23 days, and the test data were recorded (the stress solution was prepared with Hoagland plant nutrient solution during seedling cultivation).

2.2 Index measurement and data calculation

Fruits germination rate (Gi), final germination rate (Gf), germination-speed index (GSI), and 50% germination time (T 50) were calculated with reference to the study of Sneideris et al. [29].

In Formula (2), Gi represents the germination rate of seeds, X i represents the number of seeds germinated in consecutive i days, and N represents the total number of experimental seeds.

(1) Gi = X i N × 100 % ,

(2) Gf = n f N × 100 % .

In Formula (2), Gf represents the final germination rate and n f represents the number of fruits germinated at the end of the whole experiment (14 days for Elymus and 16 days for Palladium).

(3) GSI = n i t i .

In Formula (3), GSI represents the germination-speed index, ni represents the number of fruits germinated on the ith day, and t i represents the ith day.

(4) T 50 = t i + ( N 2 n i ) × ( t j t i ) n j n i .

In Formula (4), T 50 represents 50% germination time, N is the number of final germination fruits, and n i and n j are the cumulative numbers of germination fruits counted at adjacent t i and t j moments when n i < N/2 < n j (the experiment was calculated according to Els of 6–14 days and Elt of 3–16 days).

The fruits-vigor index (VI) and mean germination time (MGT) were calculated according to the research calculation method of Nabaei and Amooaghaie [30]:

(5) VI = SL × Gf .

In Formula (5), VI is the fruits-vigor index, SL is the fruits length, and Gf is the final germination rate.

(6) MGT = G t D t G .

In the Formula (6), MGT represents the average germination time, G t represents the number of fruits germinated on t day, D t represents the t day, and G is the number of fruits germinated (the experiment was calculated over 20 days).

We continued to cultivate the plants for 23 days, recorded the number of leaves (Ln) of the fruits, measured the root length (Rl) and stem–leaf length (Gh) of fruits with a millimeter vernier caliper, and measured the root weight (Rw), fruits weight (Lw), and biomass (Bi) of fruits by electronic analysis balance. In accordance with the research of Fang et al. [31], the membership-function index method was used to calculate the cadmium tolerance of two plant fruits:

(7) X ( μ ) = X X min X max X min

(8) X j ̅ = 1 n i = 1 n X ij ,

(9) V j = i = 1 n ( X ij X j ̅ ) 2 X j ̅ ,

(10) W j = V j j = 1 m V j ,

(11) D = j = 1 n [ μ ( X j ) · W j ] .

First, indicator data were normalized using a subordinate function. Here, X(μ) is the membership function value of the μth index, X is the average value of the evaluation index, X max is the maximum value of the evaluation index, and X min is the minimum value. X j is the average value of the jth evaluation index, n is the number of varieties, and X ij is the jth evaluation index for the ith variety. V j is the standard deviation coefficient of the jth evaluation index, and X j is the jth evaluation index for the variety. W j is the weighting coefficient of the jth evaluation index, and μ(X j ) is the membership function value of the evaluation index. D is the comprehensive value of planting cadmium tolerance under Cd stress. The larger the D value, the higher the Cd tolerance of the plant variety.

2.3 Statistical approach

Microsoft Excel 2019 software was used for data sorting and statistics. Shapiro–Wilk (S–W) test for normal distribution. One-way analysis of variance (ANOVA) was used to analyze the significance of the difference between fruit germination and fruit growth, and the least significance difference test was used for multiple comparisons among multiple sample means. The significance test of different treatments was obtained by using the VARIANCE analysis in SPSS 17.0 (SPSS Inc., Chicago, IL, USA); p < 0.05 indicated a significant difference. The Origin 2022 (OriginLab Corporation, Northampton, MA, USA) software was applied to complete the trend chart and correlation analysis chart.

3 Results

3.1 Effects of cadmium stress on fruit germination of Els and Elt

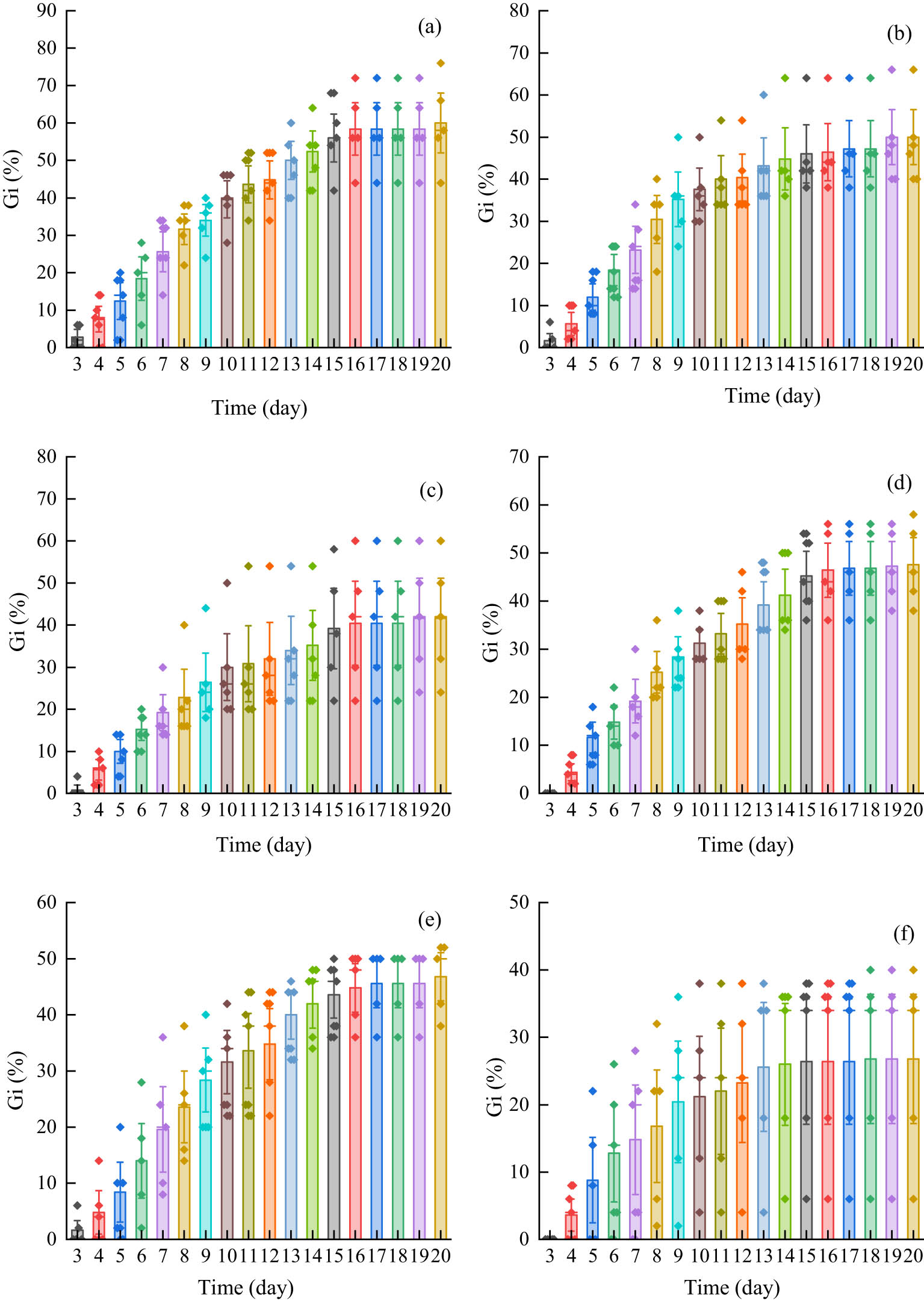
Under cadmium stress, the germination rate for the fruits of Els increased gradually and reached the maximum germination rate on the 14th day in each treatment group (Figure 1). The germination rate for Elt fruits also increased gradually and reached the maximum germination rate on the 16th day in each treatment group (Figure 2). The results indicated that the cadmium treatment had no effect on the maximum germination time for the two kinds of herbage.

Figure 1 
                  Fruit germination rate for E. sinosubmuticus S.L. Chen under cadmium stress, p < 0.05: (a) blank control group; (b) 10 mg L−1 treatment group; (c) 20 mg L−1 treatment group; (d) 30 mg L−1 treatment group; (e) 40 mg L−1 treatment group; and (f) 50 mg L−1 treatment group. The different colored diamonds represent the specific data distribution for each group. Each column represents the cumulative germination rate of the plant.
Figure 1

Fruit germination rate for E. sinosubmuticus S.L. Chen under cadmium stress, p < 0.05: (a) blank control group; (b) 10 mg L−1 treatment group; (c) 20 mg L−1 treatment group; (d) 30 mg L−1 treatment group; (e) 40 mg L−1 treatment group; and (f) 50 mg L−1 treatment group. The different colored diamonds represent the specific data distribution for each group. Each column represents the cumulative germination rate of the plant.

Figure 2 
                  Fruit germination rate for E. tangutorum (Nevski) Hand.-Mazz. under cadmium stress, p < 0.05: (a) blank control group; (b) 10 mg L−1 treatment group; (c) 20 mg L−1 treatment group; (d) 30 mg L−1 treatment group; (e) 40 mg L−1 treatment group; and (f) 50 mg L−1 treatment group. The different colored diamonds represent the specific data distribution for each group. Each column represents the cumulative germination rate of the plant.
Figure 2

Fruit germination rate for E. tangutorum (Nevski) Hand.-Mazz. under cadmium stress, p < 0.05: (a) blank control group; (b) 10 mg L−1 treatment group; (c) 20 mg L−1 treatment group; (d) 30 mg L−1 treatment group; (e) 40 mg L−1 treatment group; and (f) 50 mg L−1 treatment group. The different colored diamonds represent the specific data distribution for each group. Each column represents the cumulative germination rate of the plant.

Compared with the control group, the final germination rate for Els was significantly different after the treatment level of 30 mg L−1, and it decreased with the increase in cadmium concentration (Figure 3a). There was a significant difference in the final germination rate at the 50 mg L−1 treatment level of Elt, and the change in the final germination rate was consistent with that of Els, but the trend was not obvious (Figure 3b).

Figure 3 
                  Fruit germination of two grass species under cadmium stress (both significant, p < 0.05): (a) final germination rate for E. sinosubmuticus S.L. Chen; (b) final germination rate for E. tangutorum (Nevski) Hand.-Mazz.; (c) E. sinosubmuticus S.L. fruits vigor; (d) Elt fruits vigor; (e) 50% germination time for E. sinosubmuticus S.L. Chen; (f) 50% germination time for E. tangutorum (Nevski) Hand.-Mazz.; (g) average germination time for E. sinosubmuticus S.L. Chen; (h) average germination time for E. tangutorum (Nevski) Hand.-Mazz.; (i) GSI for E. sinosubmuticus S.L. Chen; and (j) GSI for E. tangutorum (Nevski) Hand.-Mazz.
Figure 3

Fruit germination of two grass species under cadmium stress (both significant, p < 0.05): (a) final germination rate for E. sinosubmuticus S.L. Chen; (b) final germination rate for E. tangutorum (Nevski) Hand.-Mazz.; (c) E. sinosubmuticus S.L. fruits vigor; (d) Elt fruits vigor; (e) 50% germination time for E. sinosubmuticus S.L. Chen; (f) 50% germination time for E. tangutorum (Nevski) Hand.-Mazz.; (g) average germination time for E. sinosubmuticus S.L. Chen; (h) average germination time for E. tangutorum (Nevski) Hand.-Mazz.; (i) GSI for E. sinosubmuticus S.L. Chen; and (j) GSI for E. tangutorum (Nevski) Hand.-Mazz.

Compared with the control group, the cadmium stress significantly reduced the fruits vigor of Els. Under the stress concentration of 10–30 mg L−1, the fruits vigor decreased significantly with the increase in cadmium stress. However, when the stress concentration was greater than 30 mg L−1, there was no significant change in fruits vigor with the increase in cadmium concentration (Figure 3c). The decreasing trend was not obvious when the stress concentration exceeded 20 mg L−1 (Figure 3d).

Cadmium stress could increase the germination time for Els fruits by 50%, and the time increased with the increase in cadmium concentration. When the stress concentration exceeded 30 mg L−1, the difference in effects between treatments was not obvious (Figure 3e). The cadmium had little effect on the germination time for 50% of the Elt fruits, and it showed a significant effect when the stress concentration exceeded 50 mg L−1 (Figure 3f).

The cadmium stress significantly reduced the average fruit germination time for Els, when the stress concentration was greater than 20 mg L−1 and the inhibition effect was very obvious (Figure 3g). The change in the average fruit germination time for Elt under cadmium stress was the same as that for Els (Figure 3h).

In the fruit-germination-rate index, both plants showed a decreasing trend with the increase in cadmium concentration. The decreasing trend of Els was more significant than that for Elt, when the stress concentration was greater than 30 mg L−1, and the treatment effect between the treatment group and the illuminance was significantly stronger (Figure 3i), but this situation was only observed when the grass was treated at 50 mg L−1 (Figure 3j).

3.2 Effects of cadmium stress on fruits growth of Els and Elt

Under cadmium stress, the plant height of each treatment group was significantly different from that of the control group, and decreased with the increase in the treatment concentration (Figure 4a). Compared with the control group, the root length in the cadmium-treatment group was significantly inhibited, and there was no significant difference among the treatment groups (Figure 4b); the heights of the stems and leaves of each treatment group were different from those of the control group, which decreased with increasing stress concentration (Figure 4c); there was no significant difference in the number of leaves between the treatment groups and the control group (Figure 4d). The results showed that cadmium stress inhibited plant height, root length and stem length of Els.

Figure 4 
                  The effect of cadmium stress on the growth of E. sinosubmuticus S.L. Chen: (a) total plant length of each treatment level, p < 0.05; (b) root length of each treatment level, p < 0.05; (c) lengths of stems and leaves of the plants in each treatment level, p < 0.05; and (d) number of leaves of the plants in each treatment level, p < 0.05.
Figure 4

The effect of cadmium stress on the growth of E. sinosubmuticus S.L. Chen: (a) total plant length of each treatment level, p < 0.05; (b) root length of each treatment level, p < 0.05; (c) lengths of stems and leaves of the plants in each treatment level, p < 0.05; and (d) number of leaves of the plants in each treatment level, p < 0.05.

In the growth situation of Elt under the cadmium stress, the difference in the total plant length between each treatment group and the control group was extremely significant. The plant height decreased with the increase in cadmium concentration (Figure 5a). The difference in root length between all the treatment groups and the control group was extremely significant, but the difference between treatments was not significant and decreased with the increase in stress concentration (Figure 5b). The stem and leaf lengths of each treatment group and the control group were significantly different, but the difference between treatments was not significant and decreased first and then increased with the increase in stress concentration (Figure 5c). The number of leaves in all treatment groups decreased with the increase in cadmium concentration (Figure 5d). The results showed that the cadmium stress also inhibited fruit growth.

Figure 5 
                  The effect of cadmium stress on the growth of E. tangutorum (Nevski) Hand.-Mazz.: (a) total plant length of each treatment level, p < 0.05; (b) root length of each treatment level, p < 0.05; (c) length of stem and leaf in each treatment level, p < 0.05; and (d) number of leaves in each treatment level, p < 0.05.
Figure 5

The effect of cadmium stress on the growth of E. tangutorum (Nevski) Hand.-Mazz.: (a) total plant length of each treatment level, p < 0.05; (b) root length of each treatment level, p < 0.05; (c) length of stem and leaf in each treatment level, p < 0.05; and (d) number of leaves in each treatment level, p < 0.05.

With the increase in cadmium concentration, the root biomass of Els decreased gradually, and there was a significant difference between the control group and the 40 mg L−1 treatment group (Figure 6a); there was a significant difference in stem and leaf biomass between the control and treatment groups; there was no significant difference between the treatment groups (Figure 6b); and the total biomass was consistent with the changes in stem and leaf biomass (Figure 6c). The root biomass of Elt decreased gradually. When the stress concentration was greater than 20 mg L−1, there was no significant difference between the treatment groups (Figure 6d). The change rules for stem and leaf biomass and total biomass were consistent. The biomass of the groups was inhibited, and there was no significant difference among the treatment groups (Figure 6e and f).

Figure 6 
                  The effect of cadmium stress on the biomass of two grass species; both were significant p < 0.05: (a) root weight for each treatment level of E. sinosubmuticus S.L. Chen; (b) stem and leaf biomass for each treatment level of E. sinosubmuticus S.L. Chen; (c) total plant biomass for each treatment level of E. sinosubmuticus S.L. Chen; (d) root weight for each treatment level of E. tangutorum (Nevski) Hand.-Mazz.; (e) total plant biomass for each treatment level of E. tangutorum (Nevski) Hand.-Mazz.; and (f) biomass of plant stems and leaves for each treatment level of E. tangutorum (Nevski) Hand.-Mazz.
Figure 6

The effect of cadmium stress on the biomass of two grass species; both were significant p < 0.05: (a) root weight for each treatment level of E. sinosubmuticus S.L. Chen; (b) stem and leaf biomass for each treatment level of E. sinosubmuticus S.L. Chen; (c) total plant biomass for each treatment level of E. sinosubmuticus S.L. Chen; (d) root weight for each treatment level of E. tangutorum (Nevski) Hand.-Mazz.; (e) total plant biomass for each treatment level of E. tangutorum (Nevski) Hand.-Mazz.; and (f) biomass of plant stems and leaves for each treatment level of E. tangutorum (Nevski) Hand.-Mazz.

Under cadmium stress, the T 50 for Els was negatively correlated with GSI, MGT, VI, and Gf; in the positive correlation, the correlation coefficients between GSI, MGT, VI, and Gf were all greater than 0.85, and the correlation coefficients between MGT, VI, and Gf were also different. When reaching 0.91 and 1.0, the correlation coefficient between VI and Gf was 0.91, and their correlation was strong; in the fruit growth indicators, the correlation coefficients between Bi and Rw and Lw were 0.90 and 0.91, and the correlation between Pl and Rl was 0.93. These indicators were linked to each other and were very strong (Figure 7a). In the positive correlation, the results were as follows: the correlation coefficient between GSI and MGT and Gf was 0.80; the correlation coefficient between MGT and Gf was 0.80 and 1.0; the correlation coefficients between VI and Gh, Rl, Pl, Lw, Rw, Bi, and Gf were 0.98, 0.91, 0.98, 0.80, 0.74, and 0.82, respectively; the correlation coefficients between Bi and Gh, Rl, Pl, Lw, and Rw were 0.83, 0.75, 0.82, 0.99, and 0.78, respectively; the correlation coefficients between Pl and Gh and Rl were 0.99 and 0.95, respectively; and the correlation coefficient between Rl and Gh was 0.91, indicating strong correlation.

Figure 7 
                  Pearson correlation analysis of each index under cadmium stress; the significance level is 0.05: (a) E. sinosubmuticus S.L. Chen and (b) E. tangutorum (Nevski) Hand.-Mazz.
Figure 7

Pearson correlation analysis of each index under cadmium stress; the significance level is 0.05: (a) E. sinosubmuticus S.L. Chen and (b) E. tangutorum (Nevski) Hand.-Mazz.

3.3 Evaluation of cadmium tolerance in Els and Elt

Under cadmium stress, the D value of Els was 3.79, which was higher than that of Elt, indicating that Els was more tolerant to the cadmium than Elt in terms of fruit germination and fruit growth (Table 1).

Table 1

Comprehensive evaluation of fruit germination and fruit growth of E. sinosubmuticus S.L. Chen and E. tangutorum (Nevski) Hand.-Mazz

Species Index
Cd GSI T 50 MGT VI Gf Bi Rw Lw Pl Rl Gh Ln D value
X(μ) W j X(μ) W j X(μ) W j X(μ) W j X(μ) W j X(μ) W j X(μ) W j X(μ) W j X(μ) W j X(μ) W j X(μ) W j X(μ) W j
Els 10 0.06 0.03 0.61 0.04 0.30 0.02 0.11 0.02 0.23 0.04 0.02 0.00 0.15 0.01 0.47 0.00 0.32 0.02 0.14 0.02 0.34 0.02 0.30 0.02 3.79
20 0.17 0.02 0.34 0.01 0.44 0.01 0.19 0.01 0.37 0.02 0.04 0.00 0.16 0.01 0.54 0.01 0.33 0.01 0.06 0.02 0.39 0.01 0.30 0.02
30 0.25 0.01 0.14 0.01 0.56 0.02 0.42 0.02 0.49 0.01 0.15 0.01 0.18 0.00 0.60 0.02 0.57 0.03 0.17 0.02 0.64 0.03 0.63 0.02
40 0.33 0.00 0.10 0.02 0.73 0.03 0.59 0.04 0.65 0.01 0.34 0.03 0.26 0.03 0.69 0.03 0.69 0.04 0.45 0.04 0.70 0.04 0.70 0.02
50 0.46 0.01 0.06 0.02 0.86 0.05 0.65 0.04 0.77 0.02 0.89 0.07 0.49 0.10 0.87 0.05 0.64 0.03 0.36 0.03 0.67 0.03 0.77 0.02
Elt 10 0.14 0.02 0.56 0.04 0.21 0.03 0.19 0.02 0.41 0.02 0.51 0.04 0.06 0.04 0.12 0.04 0.19 0.03 0.12 0.02 0.19 0.02 0.20 0.02 1.50
20 0.29 0.01 0.29 0.01 0.30 0.02 0.20 0.02 0.57 0.01 0.36 0.03 0.11 0.02 0.20 0.03 0.27 0.01 0.19 0.01 0.27 0.01 0.17 0.02
30 0.39 0.01 0.17 0.01 0.37 0.01 0.24 0.01 0.71 0.02 0.29 0.02 0.12 0.02 0.25 0.02 0.26 0.01 0.17 0.01 0.27 0.01 0.27 0.02
40 0.56 0.03 0.15 0.01 0.31 0.02 0.19 0.02 0.59 0.03 0.17 0.01 0.12 0.02 0.34 0.01 0.21 0.02 0.19 0.01 0.20 0.02 0.17 0.02
50 0.80 0.05 0.13 0.01 0.41 0.01 0.30 0.01 0.78 0.03 0.07 0.01 0.13 0.02 0.40 0.01 0.32 0.01 0.25 0.01 0.28 0.01 0.20 0.02

4 Discussion

Cadmium is very mobile in plant tissues [32] and has toxic effects on plant-fruit germination and growth [33]. The fruit germination rates is a direct result of the growth and reproduction of plants and is the determinant of the tangutorum existence of plants in a certain area. The fruits germination rate for the two native plants on the Qinghai–Tibet Plateau decreased with the increase in cadmium concentration, indicating that the cadmium-polluted environment decreased the germination rates for both. This view was supported by Sami [34]. They found that the growth of rapeseed seedlings was inhibited under cadmium stress, and melatonin synthesis may be a key detoxification pathway to alleviate this inhibition. Cadmium stress can significantly reduce the final germination rate for E. sinosubmuticus S.L. Chen, but it has little effect on E. tangutorum (Nevski) Hand.-Mazz. These results indicate that although the two species are gramineous plants with the same growth as the Qinghai–Tibet Plateau, there are some differences in cadmium tolerance that may be caused by biological differences between different species, and these biological differences are ultimately attributed to the differences at the molecular level. This is similar to the results of Garcia de la Torre et al. [35], who studied the differences in cadmium tolerance of different alfalfa varieties. In their study, they found that among 258 alfalfa varieties with cadmium tolerance, the plant material containing the selected cadmium tolerance genotype pi516929 (CdT) had significantly higher cadmium tolerance than the plant material containing the sensitive genotype pi660497 (Cds). Furthermore, cadmium stress had negative effects on the fruits vigor, average fruit germination time, and germination index for both plants, which was the same as Rhus typhoid fruit germination under cadmium stress [36].

Plant growth is one of the important indicators for evaluating cadmium toxicity [7]. Studies have shown that low-concentration heavy-metal stress can promote plant growth, while high-concentration stress can inhibit plant growth and even kill plants [2,37,38]. Root-related data are of great significance in studying plant abiotic stress responses, as they are the primary sign of plants’ exposure to soil stressors [39]. Under cadmium stress, the root lengths of the two native plants on the Qinghai–Tibet Plateau changed significantly and decreased with the increase in cadmium concentration, while the stem and leaf lengths of the two grass species changed in the same way. The total biomass of both plants was significantly inhibited by the cadmium, indicating that cadmium toxicity can reduce the biomass of both plants. This corroborates the finding that cadmium is biologically toxic to most plants [40].

Fruits germination is essential for seedling growth. The germination of fruits will affect the later growth and development of seedlings. Therefore, it is important to study the relationship between fruits germination and seedling growth [41]. In this study, the 50% germination time for fruits was negatively correlated with the GSI and the vigor index, and had a strong correlation but little correlation with the growth of plant fruits, indicating that the effect of cadmium toxicity on the germination of the two grass species was not related to the fruits. The fruit germination and vigor indexes are positively correlated with growth indices, such as total biomass, root biomass, leaf–stem biomass, root length, and leaf length of fruits growth, and the correlation coefficient is large, indicating that the vigor index can be used as a future research tool. Fruit germination is positively correlated with fruit growth, this result is consistent with the relationship between fruits germination and fruits growth under water stress in bitter gourd (Momordica charantia) described by Adhikari et al. [42]. In their study, the water absorption and germination rates of Palee bitter gourd seeds were the highest after 48 h irrigation, while the water absorption and germination rates of seeds without irrigation were the lowest. Similarly, the seedlings soaked for 48 h had the highest values, and the seeds soaked for 36 h had the highest values, followed by the seedlings soaked for 36 h. The seedlings in the control group had the shortest and lowest values. In addition, Masondo et al. [43] also found that phytohormones relieve the three-leaf plant Ceratotheca triloba (Bernh.) under extreme temperatures, drought, and salt stress to promote fruit germination and fruit growth.

The Qinghai–Tibet Plateau has the characteristics of a large diurnal temperature difference, a short plant phenological period, severe cold in winter, and strong radiation [44,45]. Grassland is a major vegetation type on the Qinghai–Tibet Plateau, accounting for 70% of the vegetation area [46]. It is the main food source for yak, Tibetan sheep, and wild herbivores, of which the former two are the principal food source for local herdsmen [47]. Elymus sinosubmuticus S.L. Chen and E. tangutorum (Nevski) Hand.-Mazz. are common grasslands on the Qinghai–Tibet Plateau. Under cadmium stress, the fruits germination rate for the two grass species is reduced, the fruits vigor weakened, the growth of the fruits (especially the root system) is hindered, and the risk of heavy-metal pollution in the eastern Qinghai–Tibet Plateau increases. Against the background of the gradual increase [22,48], the stability of the plateau ecosystem and the environment on which animals and humans depend will be destroyed, presenting a serious challenge to the green concept of harmonious coexistence and development between humans and nature.

In a mining-contaminated floodplain pasture in central Wales, UK, the uptake of Zn, Cu, and (especially) Pb by sheep varies seasonally from 0.1 to 44% or more of soil dry matter in different seasons, and the accumulation of heavy metals in sheep may exceed safe thresholds [49]. Caribou populations in Western Greenland are also affected by heavy-metal pollution, with significantly higher levels of aluminum, arsenic, cadmium, lead, mercury, selenium, and zinc in the wetter, lichen-rich areas of the south and higher levels of copper in the arid desert grasslands of the north, where pasture dominates [50]. In other research, the average 137Cs content recorded for heather (Calluna) peatland in a Finnish reindeer management area was 44 ± 27 Bq/kg dw for dry heather, 75 ± 59 Bq/kg dw for medium heather, and 219 ± 150 Bq/kg dw for peatland vegetation, indicating that the health of reindeer was also seriously threatened [51]. These studies suggest that, in the future, it will be necessary to conduct research on the physiological and biochemical responses and gene expressions of the two native Elymus under cadmium stress on the Qinghai–Tibet Plateau.

5 Conclusion

It was found that with the increase of cadmium concentration, fruits germination rate, final germination rate, fruits vigor, average germination time and GSI of the two plants could inhibit fruits germination, and at the same time, biomass and leaf number of the two plants could be reduced. By using a simple fruit germination test and measuring seedling growth index, we can quickly screen plant materials for cadmium pollution (other heavy metals and environmental pollutants), which is of great significance for the search of green environmental protection and low-cost phytoremediation materials worldwide.


tel: +86-13709755635

Acknowledgments

The authors would like to thank the College of Life Sciences, Qinghai Normal University, for providing the experimental equipment and site for this study.

  1. Funding information: This research and APC were funded by the Qinghai Major Ecological Protection Monitoring Projects in 2021 – Monitoring Special Project of Forest, Wetland, and Desertification Land in the Qinghai Lake Basin, grant number 2021-013.

  2. Author contributions: Y.H. and H.C.W. designed the experiment, Y.H., B.Y.Z., and Z.K.L. performed the experiment. H., H.P.J. and P.M.D.J. participated in writing the paper and drawing, and N.L. and J.J.W. revised the details and grammar of the full paper. The author applied SDC method to author sequence.

  3. Conflict of interest: Authors state no conflict of interest.

  4. Data availability statement: The datasets generated during and/or analyzed during the current study are available from the corresponding author on reasonable request.

References

[1] Fayiga AO, Ipinmoroti MO, Chirenje T. Environmental pollution in Africa. Environ Dev Sustainability. 2017;20(1):41–73.10.1007/s10668-016-9894-4Search in Google Scholar

[2] Yuan X, Li H, Zhao J. Impact of environmental pollution on health-evidence from cities in China. Soc Work Public Health. 2020;35(6):413–30.10.1080/19371918.2020.1805084Search in Google Scholar PubMed

[3] Yuan Z, Luo T, Liu X, Hua H, Zhuang Y, Zhang X, et al. Tracing anthropogenic cadmium emissions: From sources to pollution. Sci Total Env. 2019;676:87–96.10.1016/j.scitotenv.2019.04.250Search in Google Scholar PubMed

[4] Lee Y, Jang J, Jeon Y, Kim H, Jang G, Yoon Y. Assessing the effects of accumulated Cd(II) on seed germination and root development of Arabidopsis thaliana. Appl Biol Chem. 2021;64(1):1–9.10.1186/s13765-021-00660-zSearch in Google Scholar

[5] Halwani DA, Jurdi M, Abu Salem FK, Jaffa MA, Amacha N, Habib RR, et al. Cadmium health risk assessment and anthropogenic sources of pollution in Mount-Lebanon springs. Exposure Health. 2019;12(2):163–78.10.1007/s12403-019-00301-3Search in Google Scholar

[6] Hu Y, Cheng H, Tao S. The challenges and solutions for cadmium-contaminated rice in China: A critical review. Env Int. 2016;92–93:515–32.10.1016/j.envint.2016.04.042Search in Google Scholar PubMed

[7] Zhu T, Li L, Duan Q, Liu X, Chen M. Progress in our understanding of plant responses to the stress of heavy metal cadmium. Plant Signal Behav. 2021;16(1):1836884.10.1080/15592324.2020.1836884Search in Google Scholar PubMed PubMed Central

[8] Shah AA, Khan WU, Yasin NA, Akram W, Ahmad A, Abbas M, et al. Butanolide alleviated cadmium stress by improving plant growth, photosynthetic parameters and antioxidant defense system of brassica oleracea. Chemosphere. 2020;261:127728.10.1016/j.chemosphere.2020.127728Search in Google Scholar PubMed

[9] Chen D, Chen X, Jia C, Wang Y, Yang L, Hu X. Effects of precipitation and microorganisms on persistence of buried seeds: A case study of 11 species from the Loess Plateau of China. Plant Soil. 2021;467(1–2):181–95.10.1007/s11104-021-04990-1Search in Google Scholar

[10] Jaouani K, Karmous I, Ostrowski M, Ferjani EE, Jakubowska A, Chaoui A. Cadmium effects on embryo growth of pea seeds during germination: Investigation of the mechanisms of interference of the heavy metal with protein mobilization-related factors. J Plant Physiol. 2018;226:64–76.10.1016/j.jplph.2018.02.009Search in Google Scholar PubMed

[11] Sfaxi-Bousbih A, Chaoui A, El Ferjani E. Cadmium impairs mineral and carbohydrate mobilization during the germination of bean seeds. Ecotoxicol Env Saf. 2010;73(6):1123–9.10.1016/j.ecoenv.2010.01.005Search in Google Scholar PubMed

[12] Bamagoos AA, Alharby HF, Abbas G. Differential uptake and translocation of cadmium and lead by quinoa: A multivariate comparison of physiological and oxidative stress responses. Toxics. 2022;10(2):1–17.10.3390/toxics10020068Search in Google Scholar PubMed PubMed Central

[13] Asim M, Nageswara Rao K. Assessment of heavy metal pollution in Yamuna River, Delhi-NCR, using heavy metal pollution index and GIS. Env Monit Assess. 2021;193(2):103.10.1007/s10661-021-08886-6Search in Google Scholar PubMed

[14] Bergamaschi L, Rizzio E, Valcuvia MG, Verza G, Profumo A, Gallorini M. Determination of trace elements and evaluation of their enrichment factors in Himalayan lichens. Environ Pollut. 2002;120(1):137–44.10.1016/S0269-7491(02)00138-0Search in Google Scholar PubMed

[15] Staszewski T, Lukasik W, Kubiesa P. Contamination of Polish national parks with heavy metals. Env Monit Assess. 2012;184(7):4597–608.10.1007/s10661-011-2288-zSearch in Google Scholar PubMed

[16] Nguyen TT, Zhang W, Li Z, Li J, Ge C, Liu J, et al. Assessment of heavy metal pollution in Red River surface sediments, Vietnam. Mar Pollut Bull. 2016;113(1–2):513–9.10.1016/j.marpolbul.2016.08.030Search in Google Scholar PubMed

[17] Roy S, Gupta SK, Prakash J, Habib G, Kumar P. A global perspective of the current state of heavy metal contamination in road dust. Env Sci Pollut Res Int. 2022;29(22):33230–51.10.1007/s11356-022-18583-7Search in Google Scholar PubMed

[18] Li G, Jiang C, Cheng T, Bai J. Grazing alters the phenology of alpine steppe by changing the surface physical environment on the northeast Qinghai-Tibet Plateau, China. J Env Manage. 2019;248:109257.10.1016/j.jenvman.2019.07.028Search in Google Scholar PubMed

[19] Ma Y, Tian L, Qu G, Li R, Wang W, Zhao J. Precipitation alters the effects of temperature on the ecosystem multifunctionality in alpine meadows. Front Plant Sci. 2021;12:824296.10.3389/fpls.2021.824296Search in Google Scholar PubMed PubMed Central

[20] Liu Y, Liu S, Sun Y, Li M, An Y, Shi F. Spatial differentiation of the NPP and NDVI and its influencing factors vary with grassland type on the Qinghai-Tibet Plateau. Env Monit Assess. 2021;193(1):48.10.1007/s10661-020-08824-ySearch in Google Scholar PubMed

[21] Li H, Song W. Spatiotemporal distribution and influencing factors of ecosystem vulnerability on Qinghai-Tibet Plateau. Int J Env Res Public Health. 2021;18(12):1–21.10.3390/ijerph18126508Search in Google Scholar PubMed PubMed Central

[22] Dai L, Wang L, Liang T, Zhang Y, Li J, Xiao J, et al. Geostatistical analyses and co-occurrence correlations of heavy metals distribution with various types of land use within a watershed in eastern QingHai-Tibet Plateau, China. Sci Total Env. 2019;653:849–59.10.1016/j.scitotenv.2018.10.386Search in Google Scholar PubMed

[23] Yan X, Gao D, Zhang F, Zeng C, Xiang W, Zhang M. Relationships between heavy metal concentrations in roadside topsoil and distance to road edge based on field observations in the Qinghai-Tibet Plateau, China. Int J Env Res Public Health. 2013;10(3):762–75.10.3390/ijerph10030762Search in Google Scholar PubMed PubMed Central

[24] Wu J, Lu J, Li L, Min X, Luo Y. Pollution, ecological-health risks, and sources of heavy metals in soil of the northeastern Qinghai-Tibet Plateau. Chemosphere. 2018;201:234–42.10.1016/j.chemosphere.2018.02.122Search in Google Scholar PubMed

[25] Zhang H, Zhang Y, Wang Z, Ding M, Jiang Y, Xie Z. Traffic-related metal(loid) status and uptake by dominant plants growing naturally in roadside soils in the Tibetan plateau, China. Sci Total Env. 2016;573:915–23.10.1016/j.scitotenv.2016.08.128Search in Google Scholar PubMed

[26] Bing H, Zhou J, Wu Y, Luo X, Xiang Z, Sun H, et al. Barrier effects of remote high mountain on atmospheric metal transport in the eastern Tibetan Plateau. Sci Total Env. 2018;628-629:687–96.10.1016/j.scitotenv.2018.02.035Search in Google Scholar PubMed

[27] Quan X, Qiao Y, Chen M, Duan Z, Shi H. Comprehensive evaluation of the allelopathic potential of Elymus nutans. Ecol Evol. 2021;11(18):12389–400.10.1002/ece3.7982Search in Google Scholar PubMed PubMed Central

[28] Gao MY, Chen XW, Huang WX, Wu L, Yu ZS, Xiang L, et al. Cell wall modification induced by an arbuscular mycorrhizal fungus enhanced cadmium fixation in rice root. J Hazard Mater. 2021;416:125894.10.1016/j.jhazmat.2021.125894Search in Google Scholar PubMed

[29] Sneideris LC, Gavassi MA, Campos ML, D'Amico-Damiao V, Carvalho RF. Effects of hormonal priming on seed germination of pigeon pea under cadmium stress. An Acad Bras Cienc. 2015;87(3):1847–52.10.1590/0001-3765201520140332Search in Google Scholar PubMed

[30] Nabaei M, Amooaghaie R. Interactive effect of melatonin and sodium nitroprusside on seed germination and seedling growth of Catharanthus roseus under cadmium stress. Russ J Plant Physiol. 2019;66(1):128–39.10.1134/S1021443719010126Search in Google Scholar

[31] Fang Z, Hu Z, Zhao H, Yang L, Ding C, Lou L, et al. Screening for cadmium tolerance of 21 cultivars from Italian ryegrass (Lolium multiflorum Lam) during germination. Grassl Sci. 2017;63(1):36–45.10.1111/grs.12138Search in Google Scholar

[32] Zhao H, Guan J, Liang Q, Zhang X, Hu H, Zhang J. Effects of cadmium stress on growth and physiological characteristics of sassafras seedlings. Sci Rep. 2021;11(1):9913.10.1038/s41598-021-89322-0Search in Google Scholar PubMed PubMed Central

[33] Shahzad A, Qin M, Elahie M, Naeem M, Bashir T, Yasmin H, et al. Bacillus pumilus induced tolerance of Maize (Zea mays L.) against Cadmium (Cd) stress. Sci Rep. 2021;11(1):17196.10.1038/s41598-021-96786-7Search in Google Scholar PubMed PubMed Central

[34] Sami A, Shah FA, Abdullah M, Zhou X, Yan Y, Zhu Z, et al. Melatonin mitigates cadmium and aluminium toxicity through modulation of antioxidant potential in Brassica napus L. Plant Biol (Stuttg). 2020;22(4):679–90.10.1111/plb.13093Search in Google Scholar PubMed

[35] Garcia de la Torre VS, Coba de la Pena T, Pueyo JJ, Lucas MM. Cadmium-tolerant and -sensitive cultivars identified by screening of Medicago truncatula germplasm display contrasting responses to cadmium stress. Front Plant Sci. 2021;12:595001.10.3389/fpls.2021.595001Search in Google Scholar PubMed PubMed Central

[36] Qu T, Peng Y, Yang C, Du X, Guo W, Zhang J. Single and combined effects of cadmium and lead on seed germination and early seedling growth in Rhus typhina. Pol J Environ Stud. 2020;30(1):823–31.10.15244/pjoes/122504Search in Google Scholar

[37] Zhang L, Gao B. Effect of isosteviol on wheat seed germination and seedling growth under cadmium stress. Plants (Basel). 2021;10(9):1–17.10.3390/plants10091779Search in Google Scholar PubMed PubMed Central

[38] Solanki R, Dhankhar R. Biochemical changes and adaptive strategies of plants under heavy metal stress. Biologia. 2011;66(2):195–204.10.2478/s11756-011-0005-6Search in Google Scholar

[39] Kovacik J, Gruz J, Hedbavny J, Klejdus B, Strnad M. Cadmium and nickel uptake are differentially modulated by salicylic acid in Matricaria chamomilla plants. J Agric Food Chem. 2009;57(20):9848–55.10.1021/jf902645cSearch in Google Scholar PubMed

[40] Zulfiqar U, Jiang W, Xiukang W, Hussain S, Ahmad M, Maqsood MF, et al. Cadmium phytotoxicity, tolerance, and advanced remediation approaches in agricultural soils; A comprehensive review. Front Plant Sci. 2022;13:773815.10.3389/fpls.2022.773815Search in Google Scholar PubMed PubMed Central

[41] Becerra-Vazquez AG, Coates R, Sanchez-Nieto S, Reyes-Chilpa R, Orozco-Segovia A. Effects of seed priming on germination and seedling growth of desiccation-sensitive seeds from Mexican tropical rainforest. J Plant Res. 2020;133(6):855–72.10.1007/s10265-020-01220-0Search in Google Scholar PubMed

[42] Adhikari B, Dhital PR, Ranabhat S, Poudel H. Effect of seed hydro-priming durations on germination and seedling growth of bitter gourd (Momordica charantia). PLoS One. 2021;16(8):e0255258.10.1371/journal.pone.0255258Search in Google Scholar PubMed PubMed Central

[43] Masondo NA, Kulkarni MG, Finnie JF, Van Staden J. Influence of biostimulants-seed-priming on Ceratotheca triloba germination and seedling growth under low temperatures, low osmotic potential and salinity stress. Ecotoxicol Env Saf. 2018;147:43–8.10.1016/j.ecoenv.2017.08.017Search in Google Scholar PubMed

[44] Sun Y, Liu S, Liu Y, Dong Y, Li M, An Y, et al. Effects of the interaction among climate, terrain and human activities on biodiversity on the Qinghai-Tibet Plateau. Sci Total Environ. 2021;794:1–15.10.1016/j.scitotenv.2021.148497Search in Google Scholar PubMed

[45] Huang K, Zhang Y, Tagesson T, Brandt M, Wang L, Chen N, et al. The confounding effect of snow cover on assessing spring phenology from space: A new look at trends on the Tibetan Plateau. Sci Total Env. 2021;756:144011.10.1016/j.scitotenv.2020.144011Search in Google Scholar PubMed

[46] Zou F, Hu Q, Li H, Lin J, Liu Y, Sun F. Dynamic disturbance analysis of grasslands using neural networks and spatiotemporal indices fusion on the Qinghai-Tibet plateau. Front Plant Sci. 2021;12:760551.10.3389/fpls.2021.760551Search in Google Scholar PubMed PubMed Central

[47] Guo W, Wang W, Bi S, Long R, Ullah F, Shafiq M, et al. Characterization of anaerobic rumen fungal community composition in yak, Tibetan sheep and Small Tail Han sheep grazing on the Qinghai-Tibetan Plateau. Anim (Basel). 2020;10(1):1–13.10.3390/ani10010144Search in Google Scholar PubMed PubMed Central

[48] Wang L, Xie X, Li Q, Yu Z, Hu G, Wang X, et al. Accumulation of potentially toxic trace elements (PTEs) by native plant species growing in a typical gold mining area located in the northeast of Qinghai-Tibet Plateau. Env Sci Pollut Res Int. 2022;29(5):6990–7000.10.1007/s11356-021-16076-7Search in Google Scholar PubMed

[49] Smith KM, Abrahams PW, Dagleish MP, Steigmajer J. The intake of lead and associated metals by sheep grazing mining-contaminated floodplain pastures in mid-Wales, UK: I. Soil ingestion, soil-metal partitioning and potential availability to pasture herbage and livestock. Sci Total Env. 2009;407(12):3731–9.10.1016/j.scitotenv.2009.02.032Search in Google Scholar PubMed

[50] Gamberg M, Cuyler C, Wang X. Contaminants in two West Greenland caribou populations. Sci Total Env. 2016;554-555:329–36.10.1016/j.scitotenv.2016.02.154Search in Google Scholar PubMed

[51] Anttila A, Leppanen AP, Rissanen K, Ylipieti J. Concentrations of (137)Cs in summer pasture plants that reindeer feed on in the reindeer management area of Finland. J Env Radioact. 2011;102(7):659–66.10.1016/j.jenvrad.2011.03.009Search in Google Scholar PubMed

Received: 2022-09-13
Revised: 2022-11-18
Accepted: 2022-11-30
Published Online: 2023-04-11

© 2023 the author(s), published by De Gruyter

This work is licensed under the Creative Commons Attribution 4.0 International License.

Articles in the same Issue

  1. Biomedical Sciences
  2. Systemic investigation of inetetamab in combination with small molecules to treat HER2-overexpressing breast and gastric cancers
  3. Immunosuppressive treatment for idiopathic membranous nephropathy: An updated network meta-analysis
  4. Identifying two pathogenic variants in a patient with pigmented paravenous retinochoroidal atrophy
  5. Effects of phytoestrogens combined with cold stress on sperm parameters and testicular proteomics in rats
  6. A case of pulmonary embolism with bad warfarin anticoagulant effects caused by E. coli infection
  7. Neutrophilia with subclinical Cushing’s disease: A case report and literature review
  8. Isoimperatorin alleviates lipopolysaccharide-induced periodontitis by downregulating ERK1/2 and NF-κB pathways
  9. Immunoregulation of synovial macrophages for the treatment of osteoarthritis
  10. Novel CPLANE1 c.8948dupT (p.P2984Tfs*7) variant in a child patient with Joubert syndrome
  11. Antiphospholipid antibodies and the risk of thrombosis in myeloproliferative neoplasms
  12. Immunological responses of septic rats to combination therapy with thymosin α1 and vitamin C
  13. High glucose and high lipid induced mitochondrial dysfunction in JEG-3 cells through oxidative stress
  14. Pharmacological inhibition of the ubiquitin-specific protease 8 effectively suppresses glioblastoma cell growth
  15. Levocarnitine regulates the growth of angiotensin II-induced myocardial fibrosis cells via TIMP-1
  16. Age-related changes in peripheral T-cell subpopulations in elderly individuals: An observational study
  17. Single-cell transcription analysis reveals the tumor origin and heterogeneity of human bilateral renal clear cell carcinoma
  18. Identification of iron metabolism-related genes as diagnostic signatures in sepsis by blood transcriptomic analysis
  19. Long noncoding RNA ACART knockdown decreases 3T3-L1 preadipocyte proliferation and differentiation
  20. Surgery, adjuvant immunotherapy plus chemotherapy and radiotherapy for primary malignant melanoma of the parotid gland (PGMM): A case report
  21. Dosimetry comparison with helical tomotherapy, volumetric modulated arc therapy, and intensity-modulated radiotherapy for grade II gliomas: A single‑institution case series
  22. Soy isoflavone reduces LPS-induced acute lung injury via increasing aquaporin 1 and aquaporin 5 in rats
  23. Refractory hypokalemia with sexual dysplasia and infertility caused by 17α-hydroxylase deficiency and triple X syndrome: A case report
  24. Meta-analysis of cancer risk among end stage renal disease undergoing maintenance dialysis
  25. 6-Phosphogluconate dehydrogenase inhibition arrests growth and induces apoptosis in gastric cancer via AMPK activation and oxidative stress
  26. Experimental study on the optimization of ANM33 release in foam cells
  27. Primary retroperitoneal angiosarcoma: A case report
  28. Metabolomic analysis-identified 2-hydroxybutyric acid might be a key metabolite of severe preeclampsia
  29. Malignant pleural effusion diagnosis and therapy
  30. Effect of spaceflight on the phenotype and proteome of Escherichia coli
  31. Comparison of immunotherapy combined with stereotactic radiotherapy and targeted therapy for patients with brain metastases: A systemic review and meta-analysis
  32. Activation of hypermethylated P2RY1 mitigates gastric cancer by promoting apoptosis and inhibiting proliferation
  33. Association between the VEGFR-2 -604T/C polymorphism (rs2071559) and type 2 diabetic retinopathy
  34. The role of IL-31 and IL-34 in the diagnosis and treatment of chronic periodontitis
  35. Triple-negative mouse breast cancer initiating cells show high expression of beta1 integrin and increased malignant features
  36. mNGS facilitates the accurate diagnosis and antibiotic treatment of suspicious critical CNS infection in real practice: A retrospective study
  37. The apatinib and pemetrexed combination has antitumor and antiangiogenic effects against NSCLC
  38. Radiotherapy for primary thyroid adenoid cystic carcinoma
  39. Design and functional preliminary investigation of recombinant antigen EgG1Y162–EgG1Y162 against Echinococcus granulosus
  40. Effects of losartan in patients with NAFLD: A meta-analysis of randomized controlled trial
  41. Bibliometric analysis of METTL3: Current perspectives, highlights, and trending topics
  42. Performance comparison of three scaling algorithms in NMR-based metabolomics analysis
  43. PI3K/AKT/mTOR pathway and its related molecules participate in PROK1 silence-induced anti-tumor effects on pancreatic cancer
  44. The altered expression of cytoskeletal and synaptic remodeling proteins during epilepsy
  45. Effects of pegylated recombinant human granulocyte colony-stimulating factor on lymphocytes and white blood cells of patients with malignant tumor
  46. Prostatitis as initial manifestation of Chlamydia psittaci pneumonia diagnosed by metagenome next-generation sequencing: A case report
  47. NUDT21 relieves sevoflurane-induced neurological damage in rats by down-regulating LIMK2
  48. Association of interleukin-10 rs1800896, rs1800872, and interleukin-6 rs1800795 polymorphisms with squamous cell carcinoma risk: A meta-analysis
  49. Exosomal HBV-DNA for diagnosis and treatment monitoring of chronic hepatitis B
  50. Shear stress leads to the dysfunction of endothelial cells through the Cav-1-mediated KLF2/eNOS/ERK signaling pathway under physiological conditions
  51. Interaction between the PI3K/AKT pathway and mitochondrial autophagy in macrophages and the leukocyte count in rats with LPS-induced pulmonary infection
  52. Meta-analysis of the rs231775 locus polymorphism in the CTLA-4 gene and the susceptibility to Graves’ disease in children
  53. Cloning, subcellular localization and expression of phosphate transporter gene HvPT6 of hulless barley
  54. Coptisine mitigates diabetic nephropathy via repressing the NRLP3 inflammasome
  55. Significant elevated CXCL14 and decreased IL-39 levels in patients with tuberculosis
  56. Whole-exome sequencing applications in prenatal diagnosis of fetal bowel dilatation
  57. Gemella morbillorum infective endocarditis: A case report and literature review
  58. An unusual ectopic thymoma clonal evolution analysis: A case report
  59. Severe cumulative skin toxicity during toripalimab combined with vemurafenib following toripalimab alone
  60. Detection of V. vulnificus septic shock with ARDS using mNGS
  61. Novel rare genetic variants of familial and sporadic pulmonary atresia identified by whole-exome sequencing
  62. The influence and mechanistic action of sperm DNA fragmentation index on the outcomes of assisted reproduction technology
  63. Novel compound heterozygous mutations in TELO2 in an infant with You-Hoover-Fong syndrome: A case report and literature review
  64. ctDNA as a prognostic biomarker in resectable CLM: Systematic review and meta-analysis
  65. Diagnosis of primary amoebic meningoencephalitis by metagenomic next-generation sequencing: A case report
  66. Phylogenetic analysis of promoter regions of human Dolichol kinase (DOLK) and orthologous genes using bioinformatics tools
  67. Collagen changes in rabbit conjunctiva after conjunctival crosslinking
  68. Effects of NM23 transfection of human gastric carcinoma cells in mice
  69. Oral nifedipine and phytosterol, intravenous nicardipine, and oral nifedipine only: Three-arm, retrospective, cohort study for management of severe preeclampsia
  70. Case report of hepatic retiform hemangioendothelioma: A rare tumor treated with ultrasound-guided microwave ablation
  71. Curcumin induces apoptosis in human hepatocellular carcinoma cells by decreasing the expression of STAT3/VEGF/HIF-1α signaling
  72. Rare presentation of double-clonal Waldenström macroglobulinemia with pulmonary embolism: A case report
  73. Giant duplication of the transverse colon in an adult: A case report and literature review
  74. Ectopic thyroid tissue in the breast: A case report
  75. SDR16C5 promotes proliferation and migration and inhibits apoptosis in pancreatic cancer
  76. Vaginal metastasis from breast cancer: A case report
  77. Screening of the best time window for MSC transplantation to treat acute myocardial infarction with SDF-1α antibody-loaded targeted ultrasonic microbubbles: An in vivo study in miniswine
  78. Inhibition of TAZ impairs the migration ability of melanoma cells
  79. Molecular complexity analysis of the diagnosis of Gitelman syndrome in China
  80. Effects of maternal calcium and protein intake on the development and bone metabolism of offspring mice
  81. Identification of winter wheat pests and diseases based on improved convolutional neural network
  82. Ultra-multiplex PCR technique to guide treatment of Aspergillus-infected aortic valve prostheses
  83. Virtual high-throughput screening: Potential inhibitors targeting aminopeptidase N (CD13) and PIKfyve for SARS-CoV-2
  84. Immune checkpoint inhibitors in cancer patients with COVID-19
  85. Utility of methylene blue mixed with autologous blood in preoperative localization of pulmonary nodules and masses
  86. Integrated analysis of the microbiome and transcriptome in stomach adenocarcinoma
  87. Berberine suppressed sarcopenia insulin resistance through SIRT1-mediated mitophagy
  88. DUSP2 inhibits the progression of lupus nephritis in mice by regulating the STAT3 pathway
  89. Lung abscess by Fusobacterium nucleatum and Streptococcus spp. co-infection by mNGS: A case series
  90. Genetic alterations of KRAS and TP53 in intrahepatic cholangiocarcinoma associated with poor prognosis
  91. Granulomatous polyangiitis involving the fourth ventricle: Report of a rare case and a literature review
  92. Studying infant mortality: A demographic analysis based on data mining models
  93. Metaplastic breast carcinoma with osseous differentiation: A report of a rare case and literature review
  94. Protein Z modulates the metastasis of lung adenocarcinoma cells
  95. Inhibition of pyroptosis and apoptosis by capsaicin protects against LPS-induced acute kidney injury through TRPV1/UCP2 axis in vitro
  96. TAK-242, a toll-like receptor 4 antagonist, against brain injury by alleviates autophagy and inflammation in rats
  97. Primary mediastinum Ewing’s sarcoma with pleural effusion: A case report and literature review
  98. Association of ADRB2 gene polymorphisms and intestinal microbiota in Chinese Han adolescents
  99. Tanshinone IIA alleviates chondrocyte apoptosis and extracellular matrix degeneration by inhibiting ferroptosis
  100. Study on the cytokines related to SARS-Cov-2 in testicular cells and the interaction network between cells based on scRNA-seq data
  101. Effect of periostin on bone metabolic and autophagy factors during tooth eruption in mice
  102. HP1 induces ferroptosis of renal tubular epithelial cells through NRF2 pathway in diabetic nephropathy
  103. Intravaginal estrogen management in postmenopausal patients with vaginal squamous intraepithelial lesions along with CO2 laser ablation: A retrospective study
  104. Hepatocellular carcinoma cell differentiation trajectory predicts immunotherapy, potential therapeutic drugs, and prognosis of patients
  105. Effects of physical exercise on biomarkers of oxidative stress in healthy subjects: A meta-analysis of randomized controlled trials
  106. Identification of lysosome-related genes in connection with prognosis and immune cell infiltration for drug candidates in head and neck cancer
  107. Development of an instrument-free and low-cost ELISA dot-blot test to detect antibodies against SARS-CoV-2
  108. Research progress on gas signal molecular therapy for Parkinson’s disease
  109. Adiponectin inhibits TGF-β1-induced skin fibroblast proliferation and phenotype transformation via the p38 MAPK signaling pathway
  110. The G protein-coupled receptor-related gene signatures for predicting prognosis and immunotherapy response in bladder urothelial carcinoma
  111. α-Fetoprotein contributes to the malignant biological properties of AFP-producing gastric cancer
  112. CXCL12/CXCR4/CXCR7 axis in placenta tissues of patients with placenta previa
  113. Association between thyroid stimulating hormone levels and papillary thyroid cancer risk: A meta-analysis
  114. Significance of sTREM-1 and sST2 combined diagnosis for sepsis detection and prognosis prediction
  115. Diagnostic value of serum neuroactive substances in the acute exacerbation of chronic obstructive pulmonary disease complicated with depression
  116. Research progress of AMP-activated protein kinase and cardiac aging
  117. TRIM29 knockdown prevented the colon cancer progression through decreasing the ubiquitination levels of KRT5
  118. Cross-talk between gut microbiota and liver steatosis: Complications and therapeutic target
  119. Metastasis from small cell lung cancer to ovary: A case report
  120. The early diagnosis and pathogenic mechanisms of sepsis-related acute kidney injury
  121. The effect of NK cell therapy on sepsis secondary to lung cancer: A case report
  122. Erianin alleviates collagen-induced arthritis in mice by inhibiting Th17 cell differentiation
  123. Loss of ACOX1 in clear cell renal cell carcinoma and its correlation with clinical features
  124. Signalling pathways in the osteogenic differentiation of periodontal ligament stem cells
  125. Crosstalk between lactic acid and immune regulation and its value in the diagnosis and treatment of liver failure
  126. Clinicopathological features and differential diagnosis of gastric pleomorphic giant cell carcinoma
  127. Traumatic brain injury and rTMS-ERPs: Case report and literature review
  128. Extracellular fibrin promotes non-small cell lung cancer progression through integrin β1/PTEN/AKT signaling
  129. Knockdown of DLK4 inhibits non-small cell lung cancer tumor growth by downregulating CKS2
  130. The co-expression pattern of VEGFR-2 with indicators related to proliferation, apoptosis, and differentiation of anagen hair follicles
  131. Inflammation-related signaling pathways in tendinopathy
  132. CD4+ T cell count in HIV/TB co-infection and co-occurrence with HL: Case report and literature review
  133. Clinical analysis of severe Chlamydia psittaci pneumonia: Case series study
  134. Bioinformatics analysis to identify potential biomarkers for the pulmonary artery hypertension associated with the basement membrane
  135. Influence of MTHFR polymorphism, alone or in combination with smoking and alcohol consumption, on cancer susceptibility
  136. Catharanthus roseus (L.) G. Don counteracts the ampicillin resistance in multiple antibiotic-resistant Staphylococcus aureus by downregulation of PBP2a synthesis
  137. Combination of a bronchogenic cyst in the thoracic spinal canal with chronic myelocytic leukemia
  138. Bacterial lipoprotein plays an important role in the macrophage autophagy and apoptosis induced by Salmonella typhimurium and Staphylococcus aureus
  139. TCL1A+ B cells predict prognosis in triple-negative breast cancer through integrative analysis of single-cell and bulk transcriptomic data
  140. Ezrin promotes esophageal squamous cell carcinoma progression via the Hippo signaling pathway
  141. Ferroptosis: A potential target of macrophages in plaque vulnerability
  142. Predicting pediatric Crohn's disease based on six mRNA-constructed risk signature using comprehensive bioinformatic approaches
  143. Applications of genetic code expansion and photosensitive UAAs in studying membrane proteins
  144. HK2 contributes to the proliferation, migration, and invasion of diffuse large B-cell lymphoma cells by enhancing the ERK1/2 signaling pathway
  145. IL-17 in osteoarthritis: A narrative review
  146. Circadian cycle and neuroinflammation
  147. Probiotic management and inflammatory factors as a novel treatment in cirrhosis: A systematic review and meta-analysis
  148. Hemorrhagic meningioma with pulmonary metastasis: Case report and literature review
  149. SPOP regulates the expression profiles and alternative splicing events in human hepatocytes
  150. Knockdown of SETD5 inhibited glycolysis and tumor growth in gastric cancer cells by down-regulating Akt signaling pathway
  151. PTX3 promotes IVIG resistance-induced endothelial injury in Kawasaki disease by regulating the NF-κB pathway
  152. Pancreatic ectopic thyroid tissue: A case report and analysis of literature
  153. The prognostic impact of body mass index on female breast cancer patients in underdeveloped regions of northern China differs by menopause status and tumor molecular subtype
  154. Report on a case of liver-originating malignant melanoma of unknown primary
  155. Case report: Herbal treatment of neutropenic enterocolitis after chemotherapy for breast cancer
  156. The fibroblast growth factor–Klotho axis at molecular level
  157. Characterization of amiodarone action on currents in hERG-T618 gain-of-function mutations
  158. A case report of diagnosis and dynamic monitoring of Listeria monocytogenes meningitis with NGS
  159. Effect of autologous platelet-rich plasma on new bone formation and viability of a Marburg bone graft
  160. Small breast epithelial mucin as a useful prognostic marker for breast cancer patients
  161. Continuous non-adherent culture promotes transdifferentiation of human adipose-derived stem cells into retinal lineage
  162. Nrf3 alleviates oxidative stress and promotes the survival of colon cancer cells by activating AKT/BCL-2 signal pathway
  163. Favorable response to surufatinib in a patient with necrolytic migratory erythema: A case report
  164. Case report of atypical undernutrition of hypoproteinemia type
  165. Down-regulation of COL1A1 inhibits tumor-associated fibroblast activation and mediates matrix remodeling in the tumor microenvironment of breast cancer
  166. Sarcoma protein kinase inhibition alleviates liver fibrosis by promoting hepatic stellate cells ferroptosis
  167. Research progress of serum eosinophil in chronic obstructive pulmonary disease and asthma
  168. Clinicopathological characteristics of co-existing or mixed colorectal cancer and neuroendocrine tumor: Report of five cases
  169. Role of menopausal hormone therapy in the prevention of postmenopausal osteoporosis
  170. Precisional detection of lymph node metastasis using tFCM in colorectal cancer
  171. Advances in diagnosis and treatment of perimenopausal syndrome
  172. A study of forensic genetics: ITO index distribution and kinship judgment between two individuals
  173. Acute lupus pneumonitis resembling miliary tuberculosis: A case-based review
  174. Plasma levels of CD36 and glutathione as biomarkers for ruptured intracranial aneurysm
  175. Fractalkine modulates pulmonary angiogenesis and tube formation by modulating CX3CR1 and growth factors in PVECs
  176. Novel risk prediction models for deep vein thrombosis after thoracotomy and thoracoscopic lung cancer resections, involving coagulation and immune function
  177. Exploring the diagnostic markers of essential tremor: A study based on machine learning algorithms
  178. Evaluation of effects of small-incision approach treatment on proximal tibia fracture by deep learning algorithm-based magnetic resonance imaging
  179. An online diagnosis method for cancer lesions based on intelligent imaging analysis
  180. Medical imaging in rheumatoid arthritis: A review on deep learning approach
  181. Predictive analytics in smart healthcare for child mortality prediction using a machine learning approach
  182. Utility of neutrophil–lymphocyte ratio and platelet–lymphocyte ratio in predicting acute-on-chronic liver failure survival
  183. A biomedical decision support system for meta-analysis of bilateral upper-limb training in stroke patients with hemiplegia
  184. TNF-α and IL-8 levels are positively correlated with hypobaric hypoxic pulmonary hypertension and pulmonary vascular remodeling in rats
  185. Stochastic gradient descent optimisation for convolutional neural network for medical image segmentation
  186. Comparison of the prognostic value of four different critical illness scores in patients with sepsis-induced coagulopathy
  187. Application and teaching of computer molecular simulation embedded technology and artificial intelligence in drug research and development
  188. Hepatobiliary surgery based on intelligent image segmentation technology
  189. Value of brain injury-related indicators based on neural network in the diagnosis of neonatal hypoxic-ischemic encephalopathy
  190. Analysis of early diagnosis methods for asymmetric dementia in brain MR images based on genetic medical technology
  191. Early diagnosis for the onset of peri-implantitis based on artificial neural network
  192. Clinical significance of the detection of serum IgG4 and IgG4/IgG ratio in patients with thyroid-associated ophthalmopathy
  193. Forecast of pain degree of lumbar disc herniation based on back propagation neural network
  194. SPA-UNet: A liver tumor segmentation network based on fused multi-scale features
  195. Systematic evaluation of clinical efficacy of CYP1B1 gene polymorphism in EGFR mutant non-small cell lung cancer observed by medical image
  196. Rehabilitation effect of intelligent rehabilitation training system on hemiplegic limb spasms after stroke
  197. A novel approach for minimising anti-aliasing effects in EEG data acquisition
  198. ErbB4 promotes M2 activation of macrophages in idiopathic pulmonary fibrosis
  199. Clinical role of CYP1B1 gene polymorphism in prediction of postoperative chemotherapy efficacy in NSCLC based on individualized health model
  200. Lung nodule segmentation via semi-residual multi-resolution neural networks
  201. Evaluation of brain nerve function in ICU patients with Delirium by deep learning algorithm-based resting state MRI
  202. A data mining technique for detecting malignant mesothelioma cancer using multiple regression analysis
  203. Markov model combined with MR diffusion tensor imaging for predicting the onset of Alzheimer’s disease
  204. Effectiveness of the treatment of depression associated with cancer and neuroimaging changes in depression-related brain regions in patients treated with the mediator-deuterium acupuncture method
  205. Molecular mechanism of colorectal cancer and screening of molecular markers based on bioinformatics analysis
  206. Monitoring and evaluation of anesthesia depth status data based on neuroscience
  207. Exploring the conformational dynamics and thermodynamics of EGFR S768I and G719X + S768I mutations in non-small cell lung cancer: An in silico approaches
  208. Optimised feature selection-driven convolutional neural network using gray level co-occurrence matrix for detection of cervical cancer
  209. Incidence of different pressure patterns of spinal cerebellar ataxia and analysis of imaging and genetic diagnosis
  210. Pathogenic bacteria and treatment resistance in older cardiovascular disease patients with lung infection and risk prediction model
  211. Adoption value of support vector machine algorithm-based computed tomography imaging in the diagnosis of secondary pulmonary fungal infections in patients with malignant hematological disorders
  212. From slides to insights: Harnessing deep learning for prognostic survival prediction in human colorectal cancer histology
  213. Ecology and Environmental Science
  214. Monitoring of hourly carbon dioxide concentration under different land use types in arid ecosystem
  215. Comparing the differences of prokaryotic microbial community between pit walls and bottom from Chinese liquor revealed by 16S rRNA gene sequencing
  216. Effects of cadmium stress on fruits germination and growth of two herbage species
  217. Bamboo charcoal affects soil properties and bacterial community in tea plantations
  218. Optimization of biogas potential using kinetic models, response surface methodology, and instrumental evidence for biodegradation of tannery fleshings during anaerobic digestion
  219. Understory vegetation diversity patterns of Platycladus orientalis and Pinus elliottii communities in Central and Southern China
  220. Studies on macrofungi diversity and discovery of new species of Abortiporus from Baotianman World Biosphere Reserve
  221. Food Science
  222. Effect of berrycactus fruit (Myrtillocactus geometrizans) on glutamate, glutamine, and GABA levels in the frontal cortex of rats fed with a high-fat diet
  223. Guesstimate of thymoquinone diversity in Nigella sativa L. genotypes and elite varieties collected from Indian states using HPTLC technique
  224. Analysis of bacterial community structure of Fuzhuan tea with different processing techniques
  225. Untargeted metabolomics reveals sour jujube kernel benefiting the nutritional value and flavor of Morchella esculenta
  226. Mycobiota in Slovak wine grapes: A case study from the small Carpathians wine region
  227. Elemental analysis of Fadogia ancylantha leaves used as a nutraceutical in Mashonaland West Province, Zimbabwe
  228. Microbiological transglutaminase: Biotechnological application in the food industry
  229. Influence of solvent-free extraction of fish oil from catfish (Clarias magur) heads using a Taguchi orthogonal array design: A qualitative and quantitative approach
  230. Chromatographic analysis of the chemical composition and anticancer activities of Curcuma longa extract cultivated in Palestine
  231. The potential for the use of leghemoglobin and plant ferritin as sources of iron
  232. Investigating the association between dietary patterns and glycemic control among children and adolescents with T1DM
  233. Bioengineering and Biotechnology
  234. Biocompatibility and osteointegration capability of β-TCP manufactured by stereolithography 3D printing: In vitro study
  235. Clinical characteristics and the prognosis of diabetic foot in Tibet: A single center, retrospective study
  236. Agriculture
  237. Biofertilizer and NPSB fertilizer application effects on nodulation and productivity of common bean (Phaseolus vulgaris L.) at Sodo Zuria, Southern Ethiopia
  238. On correlation between canopy vegetation and growth indexes of maize varieties with different nitrogen efficiencies
  239. Exopolysaccharides from Pseudomonas tolaasii inhibit the growth of Pleurotus ostreatus mycelia
  240. A transcriptomic evaluation of the mechanism of programmed cell death of the replaceable bud in Chinese chestnut
  241. Melatonin enhances salt tolerance in sorghum by modulating photosynthetic performance, osmoregulation, antioxidant defense, and ion homeostasis
  242. Effects of plant density on alfalfa (Medicago sativa L.) seed yield in western Heilongjiang areas
  243. Identification of rice leaf diseases and deficiency disorders using a novel DeepBatch technique
  244. Artificial intelligence and internet of things oriented sustainable precision farming: Towards modern agriculture
  245. Animal Sciences
  246. Effect of ketogenic diet on exercise tolerance and transcriptome of gastrocnemius in mice
  247. Combined analysis of mRNA–miRNA from testis tissue in Tibetan sheep with different FecB genotypes
  248. Isolation, identification, and drug resistance of a partially isolated bacterium from the gill of Siniperca chuatsi
  249. Tracking behavioral changes of confined sows from the first mating to the third parity
  250. The sequencing of the key genes and end products in the TLR4 signaling pathway from the kidney of Rana dybowskii exposed to Aeromonas hydrophila
  251. Development of a new candidate vaccine against piglet diarrhea caused by Escherichia coli
  252. Plant Sciences
  253. Crown and diameter structure of pure Pinus massoniana Lamb. forest in Hunan province, China
  254. Genetic evaluation and germplasm identification analysis on ITS2, trnL-F, and psbA-trnH of alfalfa varieties germplasm resources
  255. Tissue culture and rapid propagation technology for Gentiana rhodantha
  256. Effects of cadmium on the synthesis of active ingredients in Salvia miltiorrhiza
  257. Cloning and expression analysis of VrNAC13 gene in mung bean
  258. Chlorate-induced molecular floral transition revealed by transcriptomes
  259. Effects of warming and drought on growth and development of soybean in Hailun region
  260. Effects of different light conditions on transient expression and biomass in Nicotiana benthamiana leaves
  261. Comparative analysis of the rhizosphere microbiome and medicinally active ingredients of Atractylodes lancea from different geographical origins
  262. Distinguish Dianthus species or varieties based on chloroplast genomes
  263. Comparative transcriptomes reveal molecular mechanisms of apple blossoms of different tolerance genotypes to chilling injury
  264. Study on fresh processing key technology and quality influence of Cut Ophiopogonis Radix based on multi-index evaluation
  265. An advanced approach for fig leaf disease detection and classification: Leveraging image processing and enhanced support vector machine methodology
  266. Erratum
  267. Erratum to “Protein Z modulates the metastasis of lung adenocarcinoma cells”
  268. Erratum to “BRCA1 subcellular localization regulated by PI3K signaling pathway in triple-negative breast cancer MDA-MB-231 cells and hormone-sensitive T47D cells”
  269. Retraction
  270. Retraction to “Protocatechuic acid attenuates cerebral aneurysm formation and progression by inhibiting TNF-alpha/Nrf-2/NF-kB-mediated inflammatory mechanisms in experimental rats”
Downloaded on 12.10.2025 from https://www.degruyterbrill.com/document/doi/10.1515/biol-2022-0544/html
Scroll to top button