Startseite Naturwissenschaften Coating thickness and process efficiency of reverse roll coating using a magnetized hybrid nanomaterial flow
Artikel Open Access

Coating thickness and process efficiency of reverse roll coating using a magnetized hybrid nanomaterial flow

  • Sabeeh Khaliq EMAIL logo , Nida Shaheen , Moin-ud-Din Junjua EMAIL logo , Mehmood Ahmad und Zaheer Abbas
Veröffentlicht/Copyright: 17. Juli 2025

Abstract

Coating techniques are broadly used in the production of sticky tapes, plastic films, books, wallpapers and magazines, adhesive tapes, as well as the textile and metal preservation, packaging, material protection, and X-ray films. The rheology of the magneto-hydrodynamic (MHD) hybrid nanomaterial on the final coating thickness is studied by using the reverse roll coating technique. In the coating industry, the application of nanomaterials over the sheet/substrate has better non-Newtonian like rheological features as opposed to the ordinary fluid. The dimensionless governing equations are reduced using lubrication approximation theory, and the exact solutions for velocity and pressure gradient are obtained. To find the transition point, coating thickness, and other mechanical quantities, a numerical technique is utilized. Graphs and tables are used to study the impacts of hybrid nanoparticles and magnetic fields on the flow and engineering quantities in detail. The flow rate, transition point, and coating thickness decrease due to an increase in the nanoparticle volume fraction and MHD. Controlling these relevant parameters helps in engineering applications, including attaining an efficient coating process, protecting and prolonging the substrate life.

Graphical abstract

Nomenclature

B 0

applied magnetic field (T = kg/A m2)

σ

coating fluid electrical conductivity (S/m)

J

current density (A/m2)

λ

dimensionless flow rate

c t

final coating thickness (m)

V

fluid velocity ( m/s )

H f

forward roll film thickness (m)

ξ

geometric parameter

ρ hnf

hybrid nanofluid density (kg/m3)

μ hnf

hybrid nanofluid viscosity (N s m−2)

ϕ 1 , ϕ 2

hybrid nanoparticle volume fraction

B

magnetic field (T = kg/A m2)

2 H 0

nip gap separation (m)

H r

reverse roll film thickness (m)

x t

separation point (m)

gradient operator

K

velocity ratio

p

pressure (kg s2/m)

R

rolls radius (m)

Re

Reynolds number

u, v

fluid velocity in x - and y -axis ( m/s )

x, y

horizontal and vertical directions ( m )

1 Introduction

The one roll-to-roll coating technique for wet coatings is called reverse roll coating. It is different from other roll coating techniques because it has two reverse-running nips. With an exact spacing between them, the measuring roll and the applicator roll rotate in opposite directions. The applicator roll’s surface is loaded with extra coating before the metering nip, ensuring that its surface exits the metering nip precisely coated to the gap’s width. When the applicator roll reaches the application nip, it wipes all of this coating onto the substrate by moving in the opposite direction of the substrate’s movement.

An engineering technique comprising a thin, rigid liquid layer applied continuously to a movable web is called roll coating. Because this method is widely employed at the industrial level, it has gained a critical reputation in the coating sectors in recent years. Also, engineering professionals are likely aware of roll coating. The roll elements make it easy to apply fluid coating onto a web and have a major impact on controlling the coating layer thickness [1]. There is a broad use of coating in the production of sticky tapes, plastic films, books, wallpapers and magazines, adhesive tapes, as well as the preservation of textiles and metals, graphic movies, packaging, material protection and X-ray films. There are several techniques for consistently producing a fluid layer covering a substrate or a surface. As a result, a number of criteria impact the choice of project, including fluid rheology, surface element, the intended layer thickness, the type of liquid utilized, the consistency of the cover, the rate at which a substrate is surrounded, etc. [2,3].

The foremost monitoring factor for sheet thickness and homogeneity among rotating rolls is the flowing fluid. The procedure of coating thickness is primarily dependent on the distance between the rolls and also on the rotational speeds of the rolls. In most cases, the radii of both rotating rollers are greater than the nip distance between both rolls. There are three primary types of roll coating depending on the rollers: reverse roll coating (RRC), metering roll coating (MRC) and forward roll coating (FRC) [4,5]. Both rollers travel in the same direction in FRC, but the direction of rolls and web is opposite in the case of RRC [6,7].

The fluid film’s thickness should mainly be constant and homogenous. According to researchers, a possible issue in the roll coating apparatus through coating is surface instabilities that are not enough and should be relinquished to accomplish a smooth coated layer in the case of Newtonian [8,9]. A numerical method was used by Chandio and Webster [10], which took into account the free surface calculation over time. They used a variable speed ratio to investigate the transitory instabilities and concluded that an increase in foil speed in place of roll speed could exacerbate flow instabilities. Coyle et al. [11] studied the flow instabilities, including ribbing and cascade.

For the experimental outcomes, they utilized the finite element technique to explain the RRC fluid dynamics. Jang and Chen [12] examined the fluid-free surface volume and finite-volume techniques in the RRC process to analyze the role of fluid properties. While analyzing the roll coating technique, they studied the power law fluid model, with a power-law index range of 0.95–1.05. They focused mostly on the impact of roll speed and coating thickness on rib-biting instabilities and concluded that when the film coating thickness is increased, the power law index also increases.

Greener and Middleman [13] conducted the roll coating ground-breaking work. Under the premise of a minor roll curvature, they developed a mathematical model for the situation where the sheet as well as the roll possessed equal linear speed. By using lubrication theory, they were able to determine the solutions numerically and analytically for both kinds of Newtonian and non-Newtonian fluids. A thorough investigation associated with film hypothesis and the process of roll coating was discussed by Middleman [14] as well as Kistler and Schweizer [15]. The viscocapillary representation using the lubrication approximation method was utilized by Carvalho and Scriven [16] to explore fluid flow between a rigid body and a counter-rotating roll that was deformable. Two models for determining the forward-roll coating sheet thickness were presented by Coyle et al. [17]. Two models were developed: the first model was based on short gap-to-roll diameter asymptotic expansion, and the second model on the finite element method of Galerkin for solving complete Navier–Stokes equations. Taylor and Zettlemoyer [18] used the lubrication approximation technique during printing press to explore the performance of ink flow operations and obtained the pressure and force distribution results. In the RRC method, Greener and Middleman [19] have also utilized lubrication approximation theory (LAT) to study viscoelastic liquids and viscous liquids. Recently, Sajid et al. [20] used the lubrication approximation technique by taking both planar and exponential coaters in blade coating in order to solve the third-grade fluid’s emergent equations. Sajid et al. [21] have also utilized the lubrication approximation technique to examine viscous fluids. They concluded that the magnetic field and slip parameter control the sheet velocity after taking into account magneto-hydrodynamic (MHD) and the calculation of the slip condition implied at the blade surface. Shahzad et al. [22] studied the model of Oldroyd’s four-constant fluid for blade coating. To clarify the governing partial differential equations that are dimensionless, they used LAT. They were able to determine that the coating’s quality and thickness depend on the pressure and load applied to the blade. In addition to the blade surface slip conditions, Wang et al. [23] used a viscous fluid model by supposing that the magnetic field and flow were normal to examine a flexible blade coater. Associated equations have been simplified through the application of lubrication theory. In the presence of a magnetic field and slip, they discovered that the fluid velocity and blade deflection are elements that may be controlled. Adopting the Adomian decomposition method, Bhatti et al. [24] studied the blade coating phenomena of non-Newtonian Carreau fluid by utilizing LAT. The impact on the flow and heat transfer mechanism was calculated using a numerical scheme with the help of graphical illustrations and tables.

Abbas and Khaliq [25] applied the micropolar-Casson model to theoretically investigate the roll coating method under an isothermal environment, and their outcomes indicate that both the liquid viscoplastic behavior along particle microrotation impact the uniform coating thickness on the moving sheet. Atif et al. [26] performed theoretical research on the roll coating procedure to determine the role of the rheological viscoelastic SPTT liquid in the final coating thickness and other engineering quantities. The implication of variable viscosity on the roll-over-web coating method was reported by Ali et al. [27] using the viscoelastic liquid model. Recently, the coating of a thin fluid layer of Sisko liquid was scrutinized by Hanif et al. [28] to report the heat and flow mechanism of the blade coating process under LAT. Atif et al. [29] applied the hyperbolic tangent fluid layer in an isothermal environment of the roll coating process and reported a thicker final coating layer in the case of a large Weissenberg number. Recently, a study of Garalleh et al. [30] focused on the blade coating technique by adopting the viscoelastic MHD nanofluid and verified the model with an artificial neural network framework. Some recent studies on the coating process are also reported in the literature for interested readers [31,32,33,34,35].

The term nanofluid, devised by scientist Stephen U.S. Choi and Eastman [36], consists of nanosize particles in an engineered colloidal solution with a base fluid. Nanofluids generally can be utilized in several technologies as well as industrial applications, such as paints, biological solutions, glue, asphalts, and polymers. In the coating industry, the application of nanomaterials over the sheet/substrate has better non-Newtonian like rheological features as opposed to the ordinary fluid, which helps in protecting the sheet and improving efficiency. Researchers employed many kinds of nanoparticles, including carbon [37], metallic [38,39,40], and non-metallic nanoparticles [41,42]. Studies have previously reported the improvement in heat transportation as well as flow mechanisms in coating flows [43,44,45].

The relevant literature reporting the nanofluid rheological studies was limited to single (mono) nanofluid comprising unitary nanoparticles; until recently, engineers looked into the mixture of two nanoparticles in the same baseliquid termed as hybrid nanofluid, which simultaneously merges the chemical as well as physical features of distinct nanoparticles and produce sustainable mixture under homogeneous condition during the processes. Hybrid nanofluids are reported to have improved the mechanism of heat transfer, better rheological characteristics in liquid, viscosity modification, and thermal conductivity enhancement as related to usual unitary nanofluids. Scott et al. [46] focused on hybrid nanoliquid development and flow behavior in cavities. They noticed exceptional rheological and thermal features of the hybrid nanofluid because of the synergistic impact of distinct nanomaterials. Metallic nanoparticles were also considered by Prakash et al. [47], who reported the electroosmosis behavior in peristaltic microfluidic flow. Gandhi et al. [48] studied the drug delivery mechanism of nanoparticles by comparing the mono-nanoparticles (gold) efficiency with hybrid nanoparticles (magnetic Au−Al2O3/blood Au−Al2O3). Roy and Pop [49] reported the heat transportation with MHD flow of hybrid nanomaterials (Al2O3−Cu) between infinite parallel plates. Kumar et al. [50] studied the Casson hybrid nanofluid model to study the important Soret and Dufour impacts on flow dynamics over the curved Riga plate. Most recently, several research and review articles on the hybrid nanofluid flow are available for the interested readers [51,52,53,54,55,56].

A careful inspection of previous literature reveals that no study is present to discuss the nanofluid or hybrid nanofluid impact on the rheological flow of the RRC technique. The current study shows the rheological features of the hybrid nanofluid polymer and its influence on the existing coating thickness during the RRC process in isothermal enjoinment with applied MHD. In the following sections, the problem formulation, governing equations, problem simplification, problem solution, and the results are discussed with an extracted conclusion.

2 Problem formulation

The physical assumptions of the underlying problem are provided as:

  • We assume an incompressible, isothermal flow of a viscous, hybrid nanofluid polymer with applied MHD coated over a porous moving sheet.

  • A thin layer coating of hybrid nanomaterial ( Al 2 O 3 Cu ) is performed by passing between two rollers revolving in opposite directions, having a radius R.

  • Suppose that the minimum gap in the middle of two rolls is 2 H 0 .

  • U f = R ω f and U r = R ω r are the forward (Applicator Roll) and reverse (Metering Roll) roll velocities.

  • ω is the angular roll velocity and the velocity ratio is K = U f U r .

  • Figure 1 shows two rolls centered in the plane where the two-dimensional coordinate system ( x , y ) is located, where u represents the x -directional component of the velocity and v is its y -directional component.

Figure 1 
               Systematic geometry of the RRC phenomena.
Figure 1

Systematic geometry of the RRC phenomena.

2.1 Governing equations

The incompressible, isothermal expressions representing the viscous hybrid nanofluid with applied MHD in the absence of body force are as follows [19,48]:

(1) V = 0 ,

(2) ρ hnf d V d t = p + μ hnf V 2 J × B ,

where ρ hnf is the hybrid nanofluid density μ hnf is the hybrid nanofluid viscosity, B is the magnetic field, and J is the current density.

For small magnetic Reynolds number J × B , the Lorentz force changes to σ hnf ( V × B ) × B , where the induced electric field is neglected, and the applied magnetic field is equal to J = σ ( V × B ) where σ represents the fluid’s electric conductivity. In light of the flow scenario, the normal direction magnetic field and the velocity field are given as follows:

(3) B = [ 0 , B 0 , 0 ] , V = [ u ( x , y ) , v ( x , y ) , 0 ] .

The above Eqs. (1) and (2) can be written as [43,49] follows:

(4) u x + v y = 0 ,

(5) ρ hnf u u x + v u y = p x + μ hnf 2 u x 2 + 2 u y 2 σ hnf B 0 2 u ,

(6) ρ hnf u v x + v v y = p y + μ hnf 2 v x 2 + 2 v y 2 .

Figure 1 shows the nip region as the most important region in terms of the occurrence of dynamical events, leading to a relation where H 0 (one dimension) is much less than the other (R = roll radius), triggering LAT. Therefore, a parallel flow seems likely in both the ± x directions, also directing to the relations v u and / x / y . We assume an isochoric flow with v = v 0 ( constant ) , where the injection velocity relates to v 0 > 0 and the suction velocity is related to v 0 < 0 .

Hence, Eqs. (4)–(6) become

(7) u x = 0 ,

(8) ρ hnf v 0 u y = p x + μ hnf 2 u y 2 σ hnf B 0 2 u ,

(9) p y = 0 .

Eq. (9) shows that pressure is a function of only x. We obtain the following equation:

(10) ρ hnf v 0 u y = d p d x + μ hnf 2 u y 2 σ hnf B 0 2 u .

Here, ρ hnf , μ hnf , and σ hnf are hybrid effective densities and can be defined as follows [48,49]:

(11) μ hnf = μ f ( 1 ϕ 1 ϕ 2 ) 2.5 ρ hnf = ρ 1 ϕ 1 + ρ 2 ϕ 2 + ρ f ( 1 ϕ 1 ϕ 2 ) σ hnf = ( 2 σ f + σ hp ) + 2 ϕ hnf ( σ hp σ f ) ( 2 σ f + σ hp ) 2 ϕ hnf ( σ hp σ f ) σ f ϕ hnf = ϕ 1 + ϕ 2 ,

where ϕ 1 and ϕ 2 signify the nanoparticle volume fractions for the respective first and second nanomaterials. The thermophysical properties of the hybrid manomaterials ( Al 2 O 3 Cu ) with the base fluid ( H 2 O ) are taken from Table 1.

Table 1

Thermophysical properties of the nanomaterial and water [48,49]

Physical properties Base fluid ( H 2 O ) Al 2 O 3 ( 1 ) Cu ( 2 )
ρ hnf ( kg/m 3 ) 997.1 3,970 8,933
σ ( S/m 1 ) 0.05 3.69 × 107 5.96 × 107

Under physical conditions on both rolls [19]:

(12) u = U f at y = h ( x ) ,

(13) u = U r at y = h ( x ) .

The above conditions physically relate to the situation of the no-slip condition on rolls and both rolls move in a clockwise direction with different surface velocities U f and U r .

The variable height h ( x ) is defined as follows:

(14) h ( x ) = R + H 0 ( R 2 x 2 ) 1 / 2 .

Suppose 1 H 0 R , so Eq. (14) becomes

(15) h ( x ) = 1 + x 2 2 H 0 R H 0 .

2.2 Dimensionless equations

Now, we consider the following dimensionless equations:

(16) y = y H 0 , p = H 0 R H 0 p U f μ f , x = x H 0 R , u = u U f , v 0 = R H 0 v 0 U f , h ( x ) = h ( x ) H 0 , M = H 0 B 0 σ f U f .

We obtain the dimensionless system:

(17) A 1 ζ Re v 0 u y = p x + 1 A 2 2 u y 2 M 2 A 3 u ,

with:

(18) u = 1 at y = h ( x ) ,

(19) u = K at y = h ( x ) ,

where Re, M, and ζ are the Reynolds number Re = H 0 U f ρ f μ f , geometric parameter, and magnetic parameter. The ranges of the involved parameters in the RRC of the MHD hybrid nanofluid flow are given in Table 2. Also,

A 1 = ϕ 1 ρ 1 + ϕ 2 ρ 2 ρ f + ( 1 ϕ 1 ϕ 2 ) , A 2 = ( 1 ϕ 1 ϕ 2 ) , A 3 = ( 2 σ f + σ hp ) + 2 ϕ hnf ( σ hp σ f ) ( 2 σ f + σ hp ) 2 ϕ hnf ( σ hp σ f ) .

Table 2

Dimensionless physical parameters with their respective ranges

Physical parameters Range Reference
Re (Reynolds number) 10 3 10 [2,14,15]
B (geometric parameter) 10 4 10 1 [2,14,15]
K 0.1–0.9 [2,19,14]
M (Hartmann number) 1–3.5 [30,33,48]
ϕ 1 , ϕ 2 (hybrid nanoparticle volume fraction) 0–0.06 [48,49,50]

2.3 Problem solution

Using the boundary conditions (18) and (19), we obtain the following solution:

(20) u ( x , y ) = 2 M A 2 ( d 2 2 + d 1 2 ) A 3 × d 1 2 d p d x h A 2 3 2 + A 2 d 2 2 d p d x h d 1 ( 1 + K ) M A 3 d 2 Csch [ d 2 h A 2 ] 2 d p d x ( Cosh [ d 2 h A 2 ] Cosh [ d 1 h A 2 ] ) ( ( 1 K ) Cosh [ d 2 h A 2 ] + ( K 1 ) Cosh [ d 1 h A 2 ] + ( 1 + K ) Sinh [ d 1 h A 2 ] A 3 ,

where

(21) d 1 = Re A 1 v 0 ξ and d 2 = d 1 2 A 2 M A 3 .

The flow rate can be computed from the following equation:

(22) λ = 1 2 h h u d y .

To obtain the pressure gradient, Eq. (20) is integrated from h to h and substituted in Eq. (22) to obtain

(23) d p d x = M A 3 ( d 2 Csch [ d 2 h A 2 ] ( ( 1 + K ) Cosh [ d 2 h A 2 ] ( 1 + K ) Cosh [ d 1 h A 2 ] + ( 1 + K ) Sinh [ d 1 h A 2 ] ) ( d 1 + d 1 K d 2 2 λ ) A 2 d 1 2 λ A 2 3 / 2 ) / ( 2 d 2 Coth [ d 2 h A 2 ] 2 d 2 Cosh [ d 1 h A 2 ] Csch [ d 2 h A 2 ] d 2 2 h A 2 + d 1 2 h A 2 3 / 2 ) . .

In Eq. (22), λ can be associated with the simple material balancing [19]:

(24) 2 U f H 0 λ = H f U f H r U r ,

(25) C t = 2 λ + K ,

where C t represents the coating thickness, H 0 is the half nip space separation, and H r and H f are the reverse and forward roll fluid thicknesses.

Here, the pressure profile can be computed under the condition p = 0 at x :

(26) p 1 = x t M A 3 ( d 2 Csch [ d 2 h A 2 ] ( ( 1 + K ) Cosh [ d 2 h A 2 ] ( 1 + K ) Cosh [ d 1 h A 2 ] + ( 1 + K ) Sinh [ d 1 h A 2 ] ) ( d 1 + d 1 K d 2 2 λ ) A 2 d 1 2 λ A 2 3 / 2 ) / ( 2 d 2 Coth [ d 2 h A 2 ] 2 d 2 Cosh [ d 1 h A 2 ] Csch [ d 2 h A 2 ] d 2 2 h A 2 + d 1 2 h A 2 3 / 2 ) d x .

At this point, it must be noted that the pressure expression in (26) by keeping ϕ 1 = ϕ 2 = M = 0 is similar to the one predicted for the simple Newtonian case by Greener and Middleman [19]. The next step involves determining λ , which further gives pressure distribution and coating thickness. Under the Swift−Stieber condition, pressure and pressure gradient disappear at a transition point x = x t , so the theory holds. By putting d p / d x = 0 , we need an explicit relationship between λ 1 and the transition point. However, from Eq. (23), using the pressure gradient equal to zero at x = x t , we obtain an implicit relationship as follows:

(27) λ = 1 A 2 ( d 2 2 d 1 2 A 2 ) × d 2 Coth d 2 1 + ( x t ) 2 2 A 2 d 2 K Coth d 2 1 + ( x t ) 2 2 A 2 d 2 Cosh d 1 1 + ( x t ) 2 2 A 2 Csch d 2 1 + ( x t ) 2 2 A 2 + d 2 K Cosh d 1 1 + ( x t ) 2 2 A 2 Csch d 2 1 + ( x t ) 2 2 A 2 d 2 Csch d 2 1 + ( x t ) 2 2 A 2 Sinh d 1 1 + ( x t ) 2 2 A 2 d 2 K Csch d 2 1 + ( x t ) 2 2 A 2 Sinh d 1 1 + ( x t ) 2 2 A 2 + d 1 A 2 + d 1 K A 2 .

It is difficult to find the explicit relationship of x t under this constitutive model. Hence, we used the data points from implicit Eq. (27) to interpolate the required 10-degree polynomial representing the explicit expression of x t in terms of λ . After using this polynomial in Eq. (23) and integrating the resultant expression, we obtain a transcendental expression in λ . We utilized the Newton−Raphson root finding algorithm to find the values of λ .

3 Results and discussion

This study performs the modeling of the RRC technique to report the rheological features of the viscous hybrid nanofluid. The influence of the magnetic parameter M , the hybrid nanoparticle volume fractions ϕ 1 , ϕ 2 and the velocity ratio parameter K on flow and engineering quantities is discussed in this section. Figure 2 shows the comparison of the pressure profile derived from Eq. (26) by keeping ϕ 1 = ϕ 2 = M = 0 with the previous literature of the Newtonian case [19]. We observe a strong agreement between the results, which further verifies the solution methodology adopted and outcomes of the present study.

Figure 2 
               Comparison graph of the present study (limiting values of 
                     
                        
                        
                           
                              
                                 ϕ
                              
                              
                                 1
                              
                           
                           =
                           
                              
                                 ϕ
                              
                              
                                 2
                              
                           
                           =
                           M
                           =
                           0
                        
                        {\phi }_{1}={\phi }_{2}=M=0
                     
                  ) with the Newtonian case [19].
Figure 2

Comparison graph of the present study (limiting values of ϕ 1 = ϕ 2 = M = 0 ) with the Newtonian case [19].

Tables 35 display the variation in λ , X t and C t as functions of ϕ 1 , ϕ 2 , M, and K. In Table 3, when the hybrid nanoparticle volume fractions ϕ 1 , ϕ 2 increase, the coating thickness C t and the transition point X t reduce as a result of the decreased flow rate λ with M = 1 and K = Re = v = ε = 0.1 . The higher volume fraction of the nanomaterials results in modified liquid viscosity, and hence, a greater pressure gradient is detected (Figure 3), which leads to a decrease in the final coating thickness. Similarly, an increase in M in Table 4 results in decreased λ , X t , and C t with ϕ 1 , ϕ 2 = 0.06 , and K = Re = v = ε = 0.1 . Enhancing the Hartmann number (M) results in invoking of the Lorentz force, which resists the coating flow, yielding a lower final coating thickness, which can positively influence the coating procedure efficiency. Meanwhile, Table 5 also shows a decreasing trend in all three quantities as a function of K.

Table 3

Influence of the hybrid nanoparticle volume fractions ( ϕ 1 , ϕ 2 )on the flow rate ( λ ), transition point ( X t ), and the final coating thickness ( C t )

ϕ 1 , ϕ 2 λ X t C t
0.0001 0.382332 0.355907 1.62933
0.01 0.381394 0.355124 1.62558
0.02 0.38068 0.354529 1.62272
0.03 0.380193 0.354122 1.62077
0.04 0.379926 0.3539 1.6197
0.05 0.379873 0.353856 1.61949
0.06 0.379743 0.352967 161,885
Table 4

Influence of the Hartmann number (M) on the flow rate ( λ ), transition point ( X t ), and the final coating thickness ( C t )

M λ X t C t
1 0.38003 0.353987 1.62012
1.5 0.332184 0.314034 1.42873
2 0.297557 0.284723 1.29023
2.5 0.271241 0.261986 1.18496
3 0.250485 0.243681 1.10194
3.5 0.233636 0.228546 1.03454
Table 5

Influence of the velocity ratio (K) on the flow rate ( λ ), transition point ( X t ), and the final coating thickness ( C t )

K λ X t C t
0.1 0.38003 0.353987 1.62012
0.6 0.171109 0.153026 1.28444
0.9 0.0435058 0.0381772 1.07402
Figure 3 
               Influence of the hybrid nanoparticle volume fraction on the pressure gradient curve.
Figure 3

Influence of the hybrid nanoparticle volume fraction on the pressure gradient curve.

The pressure gradient, represented against the axial direction x for increasing ϕ 1 , ϕ 2 , is shown in Figure 3. The plot is divided into three different regions, an upstream and downstream region of d p d x > 0 (indicating resistive flow nature) and the mid-nip region with d p d x < 0 (indicating assistive flow nature). Enhancement in the hybrid nanomaterial volume fraction gives a high assistance or resistance flow nature (high magnitude of dp/dx). The high volume fraction of the nanomaterials results in modified liquid viscosity, and hence, a greater pressure gradient is detected, indicating lower velocity, which leads to a reduced final coating thickness (Table 3). In Figure 4, it can be seen that with increasing values of the Hartmann number M , the resistance in flow is detected, which declines the pressure gradient (magnitude). Figure 5 shows the decrease in the pressure gradient curve due to an increment in the velocity ratio K.

Figure 4 
               Influence of the Hartmann number on the pressure gradient curve.
Figure 4

Influence of the Hartmann number on the pressure gradient curve.

Figure 5 
               Influence of the velocity ratio on the pressure gradient curve.
Figure 5

Influence of the velocity ratio on the pressure gradient curve.

In Figure 6, the pressure p is plotted against the axial direction x . When the hybrid nanoparticle volume fractions ϕ 1 , ϕ 2 increase, the pressure profile increases throughout the nip region. The high volume fraction of the nanomaterials results in modified liquid viscosity, and hence, a greater pressure profile is detected. This result is important in coating phenomena, which control the coating thickness. The behavior of M and K is opposite to that of ϕ 1 , ϕ 2 . As shown in Figures 7 and 8, the lower pressure is detected due to enhanced M and K, which also gives a lower flow rate and final coating thickness.

Figure 6 
               Influence of the hybrid nanoparticle volume fraction on the pressure curve.
Figure 6

Influence of the hybrid nanoparticle volume fraction on the pressure curve.

Figure 7 
               Influence of the Hartmann number on the pressure curve.
Figure 7

Influence of the Hartmann number on the pressure curve.

Figure 8 
               Influence of the velocity ratio on the pressure gradient curve.
Figure 8

Influence of the velocity ratio on the pressure gradient curve.

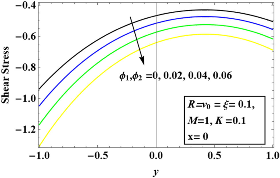
Figures 911 depict the shear stress variation in the nip region for the hybrid nanomaterial volume fractions ϕ 1 , ϕ 2 , Hartmann number (M), and velocity ratio (K), respectively. Generally, the trend suggests higher shear stress in the vicinity of the applicator roll ((y = −h)) as compared to the metering roll (y = h). As shown in Figure 9, enhancing the hybrid nanomaterial volume fraction results in increased shear stress in the nip region. A higher nanomaterial volume fraction results in modified polymer viscosity, which gives increased shear stress. This result helps in controlling the final coating thickness, as compared to the Newtonian case [19], where only the velocity ratio (geometrical parameter) is significant. Figure 10 suggests greater shear stress near the applicator roll due to an increase in M, whereas the opposite trend is detected near the metering roll. Figure 11 shows higher shear stress at a velocity ratio K. Figure 12 shows the 3D contour, which shows the velocity profile behavior of the hybrid nanomaterial polymer under applied MHD. Figure 13(a)−(f) shows the streamline pattern of the hybrid nanomaterial polymer. Streamlines project the imaginary suspended particle path of the hybrid nanomaterial polymer and transports along with it, which is a fixed path in the case of steady flow. Streamlines squeezing together or spreading out correspond to areas with higher or lower relative fluid velocities.

Figure 9 
               Influence of the Hybrid nanoparticle volume fraction on the Shear stress.
Figure 9

Influence of the Hybrid nanoparticle volume fraction on the Shear stress.

Figure 10 
               Influence of the Hartmann number on shear stress.
Figure 10

Influence of the Hartmann number on shear stress.

Figure 11 
               Influence of the velocity ratio on shear stress.
Figure 11

Influence of the velocity ratio on shear stress.

Figure 12 
               3D velocity profile contour of the hybrid nanomaterial polymer.
Figure 12

3D velocity profile contour of the hybrid nanomaterial polymer.

Figure 13 
               Streamline visualization: (a) and (b) for the hybrid nanoparticle volume fraction, (c) and (d) Hartmann number, and (e) and (f) velocity ratio.
Figure 13

Streamline visualization: (a) and (b) for the hybrid nanoparticle volume fraction, (c) and (d) Hartmann number, and (e) and (f) velocity ratio.

4 Conclusions

The RRC system is studied to determine the role of the MHD hybrid nanomaterial coating on a moving sheet. A mathematical representation is created and organized simply by using the lubrication approximation technique. The following main results are summarized as follows:

  • Both the pressure gradient and pressure decrease with an increase in the magnetic parameter M and velocity ratio K .

  • As the hybrid nanoparticle volume fractions ϕ 1 , ϕ 2 increase, the coating liquid viscosity changes, which in turn enhances the pressure gradient and pressure profile, especially in the nip region, leading to a lower velocity profile, which is important in controlling the final coating thickness.

  • Shear stress enhances in the case of the hybrid nanomaterial polymer with MHD and velocity ratio, which controls the final coating thickness as compared to the Newtonian case [19], where only the velocity ratio (geometrical parameter) is significant.

  • Coating thickness declines under the influence of the hybrid nanoparticle volume fraction and magnetic parameter, which may help in achieving an efficient coating process and protecting the substrate's life.

  • This investigation provides the theoretical framework role of MHD hybrid nanofluid polymer in the RRC process, where the adopted model delivers a suitable estimation of the nanomaterial properties. In the future, the work can be extended and verified with experimentations, and nanomaterial rheology can be studied in non-Newtonian fluids.

  • The theoretical RRC model of the hybrid nanomaterial with applied MHD presents precise control of the coating film thickness and nanoparticle distribution, helping in defect-free, uniform coatings, which are crucial in coating industry of electronics, thermal interfaces, and biomedical films. The model also assists in optimizing the roll speed and magnetic field for efficient, high-performance industrial coatings.

  1. Funding information: The authors state no funding involved.

  2. Author contributions: Sabeeh Khaliq: conceptualization, methodology, and writing – original draft preparation. Nida Shaheen: software, visualization, and writing – original draft preparation. Moin-ud-Din Junjua: investigation and writing – reviewing and editing. Mehmood Ahmad: software, methodology and writing – reviewing and editing. Zaheer Abbas: supervision and validation. All authors have accepted responsibility for the entire content of this manuscript and approved its submission.

  3. Conflict of interest: The authors state no conflict of interest.

  4. Data availability statement: All data generated or analyzed during this study are included in this published article.

References

[1] Sweeting OJ. The science and technology of polymer films. New York: Interscience Publishers; 1968.Suche in Google Scholar

[2] Balzarotti F, Rosen M. Systematic study of coating systems with two rotating rolls. Lat Am Appl Res. 2009;39(2):99–104.Suche in Google Scholar

[3] Zahid M, Zafar M, Rana MA, Lodhi MS, Awan AS, Ahmad B. Mathematical analysis of a non-Newtonian polymer in the forward roll coating process. J Polym Eng. 2020;40(8):703–12.10.1515/polyeng-2019-0297Suche in Google Scholar

[4] Belblidia F, Tamaddon-Jahromi HR, Echendu SOS, Webster MF. Reverse roll-coating flow: a computational investigation towards high-speed defect free coating. Mech Time-Depend Mater. 2013;17:557–79.10.1007/s11043-012-9204-ySuche in Google Scholar

[5] Zheng G, Wachter F, Al-Zoubi A, Durst F, Taemmerich R, Stietenroth M, et al. Computations of coating windows for reverse roll coating of liquid films. J Coat Technol Res. 2020;17:897–910.10.1007/s11998-020-00328-1Suche in Google Scholar

[6] Benkreira H, Edwards MF, Wilkinson WL. A semi-empirical model of the forward roll coating flow of Newtonian fluids. Chem Eng Sci. 1981;36(2):423–7.10.1016/0009-2509(81)85024-5Suche in Google Scholar

[7] Hao Y, Haber S. Reverse roll coating flow. Int J Numer Methods fluids. 1999;30(6):635–52.10.1002/(SICI)1097-0363(19990730)30:6<635::AID-FLD835>3.0.CO;2-6Suche in Google Scholar

[8] Greener J, Sullivan T, Turner B, Middleman S. Ribbing instability of a two-roll coater: Newtonian fluids. Chem Eng Commun. 1980;5(1–4):73–83.10.1080/00986448008935954Suche in Google Scholar

[9] Coyle DJ, Macosko CW, Scriven LE. Stability of symmetric film-splitting between counter-rotating cylinders. J Fluid Mech. 1990;216:437–58.10.1017/S0022112090000490Suche in Google Scholar

[10] Chandio MS, Webster MF. Numerical study of transient instabilities in reverse‐roller coating flows. Int J Numer Methods Heat Fluid Flow. 2002;12(4):375–403.10.1108/09615530210433314Suche in Google Scholar

[11] Coyle DJ, Macosko CW, Scriven LE. The fluid dynamics of reverse roll coating. AIChE J. 1990;36(2):161–74.10.1002/aic.690360202Suche in Google Scholar

[12] Jang JY, Chen PY. Reverse roll coating flow with non-Newtonian fluids. Commun Comput Phys. 2009;6(3):536.Suche in Google Scholar

[13] Greener Y, Middleman S. A theory of roll coating of viscous and viscoelastic fluids. Polym Eng Sci. 1975;15(1):1–10.10.1002/pen.760150102Suche in Google Scholar

[14] Middleman S. Fundamentals of polymer processing. New York: McGraw-Hill; 1977. p. 468.Suche in Google Scholar

[15] Kistler SF, Schweizer PM. Liquid film coating: scientific principles and their technological implications. London: Chapman & Hall; 1997.10.1007/978-94-011-5342-3Suche in Google Scholar

[16] Carvalho MS, Scriven LE. Deformable roll coating flows: steady state and linear perturbation analysis. J Fluid Mech. 1997;339:143–72.10.1017/S0022112097005090Suche in Google Scholar

[17] Coyle DJ, Macosko CW, Scriven LE. Film-splitting flows in forward roll coating. J Fluid Mech. 1986;171:183–207.10.1017/S0022112086001416Suche in Google Scholar

[18] Taylor JH, Zettlemoyer AC. Hypothesis on the mechanism of ink splitting during printing. Tappi J. 1958;12:749–57.Suche in Google Scholar

[19] Greener J, Middleman S. Reverse roll coating of viscous and viscoelastic liquids. Ind Eng Chem Fundamentals. 1981;20(1):63–6.10.1021/i100001a012Suche in Google Scholar

[20] Sajid M, Mughees M, Ali N, Shahzad H. A theoretical analysis of blade coating for third-grade fluid. J Plast Film Sheeting. 2019;35(3):218–38.10.1177/8756087919828417Suche in Google Scholar

[21] Sajid M, Shahzad H, Mughees M, Ali N. Mathematical modeling of slip and magnetohydrodynamics effects in blade coating. J Plast Film Sheeting. 2019;35(1):9–21.10.1177/8756087918777782Suche in Google Scholar

[22] Shahzad H, Wang X, Mughees M, Sajid M, Ali N. A mathematical analysis for the blade coating process of Oldroyd 4-constant fluid. J Polym Eng. 2019;39(9):852–60.10.1515/polyeng-2019-0195Suche in Google Scholar

[23] Wang X, Shahzad H, Chen Y, Kanwal M, Ullah Z. Mathematical modelling for flexible blade coater with magnetohydrodynamic and slip effects in blade coating process. J Plastic Film Sheeting. 2020;36(1):38–54.10.1177/8756087919848807Suche in Google Scholar

[24] Bhatti S, Zahid M, Ali R, Sarwar A, Wahab HA. Blade coating analysis of a viscoelastic Carreau fluid using Adomian decomposition method. Math Comput Simul. 2021;190:659–77.10.1016/j.matcom.2021.04.027Suche in Google Scholar

[25] Abbas Z, Khaliq S. Roll-over-web coating analysis of micropolar-Casson fluid: a theoretical investigation. J Polym Eng. 2021;41(4):289–98.10.1515/polyeng-2020-0342Suche in Google Scholar

[26] Atif HM, Jabeen F, Javed MA. Mathematical study of viscoelastic polymer during roll-over-web coating. J Plast Film Sheeting. 2024;40(1):30–50.10.1177/87560879231204207Suche in Google Scholar

[27] Ali F, Narasimhamurthy S, Hegde S, Usman M. Temperature-dependent viscosity analysis of powell–eyring fluid model during a roll-over web coating process. Polymers. 2024;16(12):1723.10.3390/polym16121723Suche in Google Scholar PubMed PubMed Central

[28] Hanif A, Abbas Z, Khaliq S. Controlling factors of coating thickness of Sisko fluid in blade coating process. J Plast Film Sheeting. 2024;40(1):51–70.10.1177/87560879231212569Suche in Google Scholar

[29] Atif HM, Zaka I, Radwan N, Javed MA, Nazeer M, Saleem S. Applications of lubrication approximation theory in the analysis of the roll‐coating using a tangent hyperbolic fluid model. ZAMM‐J Appl Math Mech/Z für Angew Math und Mechanik. 2024;104:e202300250.10.1002/zamm.202300250Suche in Google Scholar

[30] Garalleh HA, Javed MA, Ghaffari A, Sowayan AS. Application of artificial neural networks in the blade coating process using viscoelastic nanofluid model with magnetohydrodynamics and slip effects. Phys Fluids. 2025;37(3):033604.10.1063/5.0254963Suche in Google Scholar

[31] Abbas Z, Iqbal S, Khaliq S, Rafiq MY. Impacts of operating variables in forward roll coating process of viscous hybrid nanofluid. J Polym Eng. 2024;44(8):582–91.10.1515/polyeng-2024-0053Suche in Google Scholar

[32] Ali F, Hou Y, Feng X, Odeyemi JK, Usman M, Ahmad R. Comparative study of Eyring–Powell fluid flow with temperature-dependent viscosity in roll-rotating systems: An analytic, numeric, and machine learning approach. Phys Fluids. 2024;36(10):107114.10.1063/5.0225477Suche in Google Scholar

[33] Ghaffari A, Javed MA, Majeed K, Nawaz R, Mustafa I. Effects of non-linear slip and magnetohydrodynamics (MHD) on the coating thickness of web using viscoplastic nanofluid model in the blade coating process. J Plast Film Sheeting. 2025;87560879251320072.10.1177/87560879251320072Suche in Google Scholar

[34] Hanif A, Khaliq S, Abbas Z. Coating of micropolar fluid during non-isothermal reverse roll coating phenomena. J Plast Film Sheeting. 2024;40(4):354–73.10.1177/87560879241252941Suche in Google Scholar

[35] Javed MA, Khalil H, Ghaffari A. Heat transfer analysis of the blade coating process using oldroyd 4‐constant nanofluid model with non‐linear slip and magnetohydrodynamics (MHD) effects. Macromol Theory Simul. 2024;34(1):2400067.10.1002/mats.202400067Suche in Google Scholar

[36] Choi SU, Eastman JA. Enhancing thermal conductivity of fluids with nanoparticles (No. ANL/MSD/CP-84938; CONF-951135-29). Argonne, IL (United States): Argonne National Lab. (ANL); 1995.Suche in Google Scholar

[37] Meibodi ME, Vafaie-Sefti M, Rashidi AM, Amrollahi A, Tabasi M, Kalal HS. An estimation for velocity and temperature profiles of nanofluids in fully developed turbulent flow conditions. Int Commun Heat Mass Transf. 2010;37(7):895–900.10.1016/j.icheatmasstransfer.2010.03.012Suche in Google Scholar

[38] Eastman JA, Choi SUS, Li S, Yu W, Thompson LJ. Anomalously increased effective thermal conductivities of ethylene glycol-based nanofluids containing copper nanoparticles. Appl Phys Lett. 2001;78(6):718–20.10.1063/1.1341218Suche in Google Scholar

[39] Hari M, Joseph SA, Mathew S, Nithyaja B, Nampoori VPN, Radhakrishnan P. Thermal diffusivity of nanofluids composed of rod-shaped silver nanoparticles. Int J Therm Sci. 2013;64:188–94.10.1016/j.ijthermalsci.2012.08.011Suche in Google Scholar

[40] Hazarika S, Ahmed S, Chamkha AJ. Investigation of nanoparticles Cu, Ag and Fe3O4 on thermophoresis and viscous dissipation of MHD nanofluid over a stretching sheet in a porous regime: a numerical modeling. Math Comput Simul. 2021;182:819–37.10.1016/j.matcom.2020.12.005Suche in Google Scholar

[41] Timofeeva EV, Gavrilov AN, McCloskey JM, Tolmachev YV, Sprunt S, Lopatina LM, et al. Thermal conductivity and particle agglomeration in alumina nanofluids: experiment and theory. Phys Rev E—Stat, Nonlinear, Soft Matter Phys. 2007;76(6):061203.10.1103/PhysRevE.76.061203Suche in Google Scholar PubMed

[42] Kayhani MH, Soltanzadeh H, Heyhat MM, Nazari M, Kowsary F. Experimental study of convective heat transfer and pressure drop of TiO2/water nanofluid. Int Commun Heat Mass Transf. 2012;39(3):456–62.10.1016/j.icheatmasstransfer.2012.01.004Suche in Google Scholar

[43] Khaliq S, Abbas Z. A theoretical analysis of roll-over-web coating assessment of viscous nanofluid containing Cu-water nanoparticles. J Plast Film Sheeting. 2020;36(1):55–75.10.1177/8756087919866485Suche in Google Scholar

[44] Abbas Z, Khaliq S. Calendering analysis of non-isothermal viscous nanofluid containing Cu-water nanoparticles using two counter-rotating rolls. J Plast Film Sheeting. 2021;37(2):182–204.10.1177/8756087920951614Suche in Google Scholar

[45] Kanwal M, Wang X, Shahzad H, Chen Y, Chai H. Blade coating analysis of viscous nanofluid having Cu–water nanoparticles using flexible blade coater. J Plast Film Sheeting. 2020;36(4):348–67.10.1177/8756087920910480Suche in Google Scholar

[46] Scott TO, Ewim DR, Eloka-Eboka AC. Hybrid nanofluids flow and heat transfer in cavities: A technological review. Int J Low-Carbon Technol. 2022;17:1104–23.10.1093/ijlct/ctac093Suche in Google Scholar

[47] Prakash J, Tripathi D, Bég OA. Comparative study of hybrid nanofluids in microchannel slip flow induced by electroosmosis and peristalsis. Appl Nanosci. 2020;10(5):1693–706.10.1007/s13204-020-01286-1Suche in Google Scholar

[48] Gandhi R, Sharma BK, Kumawat C, Beg OA. Modeling and analysis of magnetic hybrid nanoparticle (au-al 2 o 3/blood) based drug delivery through a bell-shaped occluded artery with joule heating, viscous dissipation and variable viscosity effects. Proc Inst Mech Eng, Part E: J Process Mech Eng. 2022;236(5):2024–43.10.1177/09544089221080273Suche in Google Scholar

[49] Roy NC, Pop I. Analytical investigation of transient free convection and heat transfer of a hybrid nanofluid between two vertical parallel plates. Phys Fluids. 2022;34(7):072005.10.1063/5.0096694Suche in Google Scholar

[50] Kumar A, Sharma BK, Sharma M, Almohsen B, Sarris IE. Entropy generation optimization for Casson hybrid nanofluid flow along a curved surface with bioconvection mechanism and exothermic/endothermic catalytic reaction. Adv Theory Simul. 2025;8:2401554.10.1002/adts.202401554Suche in Google Scholar

[51] Memon AA, Khan WA, Muhammad T. Numerical investigation of photovoltaic thermal energy efficiency improvement using the backward step containing Cu-Al2O3 hybrid nanofluid. Alex Eng J. 2023;75:391–406.10.1016/j.aej.2023.06.003Suche in Google Scholar

[52] Mebarek-Oudina F, Chabani I, Vaidya H, Ismail AAI. Hybrid-nanofluid magneto-convective flow and porous media contribution to entropy generation. Int J Numer Methods Heat Fluid Flow. 2024;34(2):809–36.10.1108/HFF-06-2023-0326Suche in Google Scholar

[53] Richa, Sharma BK, Almohsen B, Laroze D. Intelligent neuro-computational modelling for MHD nanofluid flow through a curved stretching sheet with entropy optimization: Koo–Kleinstreuer–Li approach. J Comput Des Eng. 2024;11(5):164–83.10.1093/jcde/qwae078Suche in Google Scholar

[54] Çolak AB, Bayrak M. Comparison of experimental thermal conductivity of water-based Al2O3–Cu hybrid nanofluid with theoretical models and artificial neural network output. J Therm Anal Calorim. 2024. 2025;150:2865–80. 10.1007/s10973-024-13617-3.Suche in Google Scholar

[55] Kirusakthika S, Priya S, Hakeem AA, Ganga B. MHD slip effects on (50: 50) hybrid nanofluid flow over a moving thin inclined needle with consequences of non-linear thermal radiation, viscous dissipation, and inclined Lorentz force. Math Comput Simul. 2024;222:50–66.10.1016/j.matcom.2023.07.015Suche in Google Scholar

[56] Rahul N, Kalita S, Sen P, Shil B, Sen D. Enhanced pool boiling heat transfer characteristics on microstructured copper surfaces coated with hybrid nanofluid. J Therm Anal Calorim. 2024;1–13.10.1007/s10973-024-13033-7Suche in Google Scholar

Received: 2025-03-18
Revised: 2025-05-11
Accepted: 2025-06-06
Published Online: 2025-07-17

© 2025 the author(s), published by De Gruyter

This work is licensed under the Creative Commons Attribution 4.0 International License.

Artikel in diesem Heft

  1. Research Articles
  2. Single-step fabrication of Ag2S/poly-2-mercaptoaniline nanoribbon photocathodes for green hydrogen generation from artificial and natural red-sea water
  3. Abundant new interaction solutions and nonlinear dynamics for the (3+1)-dimensional Hirota–Satsuma–Ito-like equation
  4. A novel gold and SiO2 material based planar 5-element high HPBW end-fire antenna array for 300 GHz applications
  5. Explicit exact solutions and bifurcation analysis for the mZK equation with truncated M-fractional derivatives utilizing two reliable methods
  6. Optical and laser damage resistance: Role of periodic cylindrical surfaces
  7. Numerical study of flow and heat transfer in the air-side metal foam partially filled channels of panel-type radiator under forced convection
  8. Water-based hybrid nanofluid flow containing CNT nanoparticles over an extending surface with velocity slips, thermal convective, and zero-mass flux conditions
  9. Dynamical wave structures for some diffusion--reaction equations with quadratic and quartic nonlinearities
  10. Solving an isotropic grey matter tumour model via a heat transfer equation
  11. Study on the penetration protection of a fiber-reinforced composite structure with CNTs/GFP clip STF/3DKevlar
  12. Influence of Hall current and acoustic pressure on nanostructured DPL thermoelastic plates under ramp heating in a double-temperature model
  13. Applications of the Belousov–Zhabotinsky reaction–diffusion system: Analytical and numerical approaches
  14. AC electroosmotic flow of Maxwell fluid in a pH-regulated parallel-plate silica nanochannel
  15. Interpreting optical effects with relativistic transformations adopting one-way synchronization to conserve simultaneity and space–time continuity
  16. Modeling and analysis of quantum communication channel in airborne platforms with boundary layer effects
  17. Theoretical and numerical investigation of a memristor system with a piecewise memductance under fractal–fractional derivatives
  18. Tuning the structure and electro-optical properties of α-Cr2O3 films by heat treatment/La doping for optoelectronic applications
  19. High-speed multi-spectral explosion temperature measurement using golden-section accelerated Pearson correlation algorithm
  20. Dynamic behavior and modulation instability of the generalized coupled fractional nonlinear Helmholtz equation with cubic–quintic term
  21. Study on the duration of laser-induced air plasma flash near thin film surface
  22. Exploring the dynamics of fractional-order nonlinear dispersive wave system through homotopy technique
  23. The mechanism of carbon monoxide fluorescence inside a femtosecond laser-induced plasma
  24. Numerical solution of a nonconstant coefficient advection diffusion equation in an irregular domain and analyses of numerical dispersion and dissipation
  25. Numerical examination of the chemically reactive MHD flow of hybrid nanofluids over a two-dimensional stretching surface with the Cattaneo–Christov model and slip conditions
  26. Impacts of sinusoidal heat flux and embraced heated rectangular cavity on natural convection within a square enclosure partially filled with porous medium and Casson-hybrid nanofluid
  27. Stability analysis of unsteady ternary nanofluid flow past a stretching/shrinking wedge
  28. Solitonic wave solutions of a Hamiltonian nonlinear atom chain model through the Hirota bilinear transformation method
  29. Bilinear form and soltion solutions for (3+1)-dimensional negative-order KdV-CBS equation
  30. Solitary chirp pulses and soliton control for variable coefficients cubic–quintic nonlinear Schrödinger equation in nonuniform management system
  31. Influence of decaying heat source and temperature-dependent thermal conductivity on photo-hydro-elasto semiconductor media
  32. Dissipative disorder optimization in the radiative thin film flow of partially ionized non-Newtonian hybrid nanofluid with second-order slip condition
  33. Bifurcation, chaotic behavior, and traveling wave solutions for the fractional (4+1)-dimensional Davey–Stewartson–Kadomtsev–Petviashvili model
  34. New investigation on soliton solutions of two nonlinear PDEs in mathematical physics with a dynamical property: Bifurcation analysis
  35. Mathematical analysis of nanoparticle type and volume fraction on heat transfer efficiency of nanofluids
  36. Creation of single-wing Lorenz-like attractors via a ten-ninths-degree term
  37. Optical soliton solutions, bifurcation analysis, chaotic behaviors of nonlinear Schrödinger equation and modulation instability in optical fiber
  38. Chaotic dynamics and some solutions for the (n + 1)-dimensional modified Zakharov–Kuznetsov equation in plasma physics
  39. Fractal formation and chaotic soliton phenomena in nonlinear conformable Heisenberg ferromagnetic spin chain equation
  40. Single-step fabrication of Mn(iv) oxide-Mn(ii) sulfide/poly-2-mercaptoaniline porous network nanocomposite for pseudo-supercapacitors and charge storage
  41. Novel constructed dynamical analytical solutions and conserved quantities of the new (2+1)-dimensional KdV model describing acoustic wave propagation
  42. Tavis–Cummings model in the presence of a deformed field and time-dependent coupling
  43. Spinning dynamics of stress-dependent viscosity of generalized Cross-nonlinear materials affected by gravitationally swirling disk
  44. Design and prediction of high optical density photovoltaic polymers using machine learning-DFT studies
  45. Robust control and preservation of quantum steering, nonlocality, and coherence in open atomic systems
  46. Coating thickness and process efficiency of reverse roll coating using a magnetized hybrid nanomaterial flow
  47. Dynamic analysis, circuit realization, and its synchronization of a new chaotic hyperjerk system
  48. Decoherence of steerability and coherence dynamics induced by nonlinear qubit–cavity interactions
  49. Finite element analysis of turbulent thermal enhancement in grooved channels with flat- and plus-shaped fins
  50. Modulational instability and associated ion-acoustic modulated envelope solitons in a quantum plasma having ion beams
  51. Statistical inference of constant-stress partially accelerated life tests under type II generalized hybrid censored data from Burr III distribution
  52. On solutions of the Dirac equation for 1D hydrogenic atoms or ions
  53. Entropy optimization for chemically reactive magnetized unsteady thin film hybrid nanofluid flow on inclined surface subject to nonlinear mixed convection and variable temperature
  54. Stability analysis, circuit simulation, and color image encryption of a novel four-dimensional hyperchaotic model with hidden and self-excited attractors
  55. A high-accuracy exponential time integration scheme for the Darcy–Forchheimer Williamson fluid flow with temperature-dependent conductivity
  56. Novel analysis of fractional regularized long-wave equation in plasma dynamics
  57. Development of a photoelectrode based on a bismuth(iii) oxyiodide/intercalated iodide-poly(1H-pyrrole) rough spherical nanocomposite for green hydrogen generation
  58. Investigation of solar radiation effects on the energy performance of the (Al2O3–CuO–Cu)/H2O ternary nanofluidic system through a convectively heated cylinder
  59. Quantum resources for a system of two atoms interacting with a deformed field in the presence of intensity-dependent coupling
  60. Studying bifurcations and chaotic dynamics in the generalized hyperelastic-rod wave equation through Hamiltonian mechanics
  61. A new numerical technique for the solution of time-fractional nonlinear Klein–Gordon equation involving Atangana–Baleanu derivative using cubic B-spline functions
  62. Interaction solutions of high-order breathers and lumps for a (3+1)-dimensional conformable fractional potential-YTSF-like model
  63. Hydraulic fracturing radioactive source tracing technology based on hydraulic fracturing tracing mechanics model
  64. Numerical solution and stability analysis of non-Newtonian hybrid nanofluid flow subject to exponential heat source/sink over a Riga sheet
  65. Numerical investigation of mixed convection and viscous dissipation in couple stress nanofluid flow: A merged Adomian decomposition method and Mohand transform
  66. Effectual quintic B-spline functions for solving the time fractional coupled Boussinesq–Burgers equation arising in shallow water waves
  67. Analysis of MHD hybrid nanofluid flow over cone and wedge with exponential and thermal heat source and activation energy
  68. Solitons and travelling waves structure for M-fractional Kairat-II equation using three explicit methods
  69. Impact of nanoparticle shapes on the heat transfer properties of Cu and CuO nanofluids flowing over a stretching surface with slip effects: A computational study
  70. Computational simulation of heat transfer and nanofluid flow for two-sided lid-driven square cavity under the influence of magnetic field
  71. Irreversibility analysis of a bioconvective two-phase nanofluid in a Maxwell (non-Newtonian) flow induced by a rotating disk with thermal radiation
  72. Hydrodynamic and sensitivity analysis of a polymeric calendering process for non-Newtonian fluids with temperature-dependent viscosity
  73. Exploring the peakon solitons molecules and solitary wave structure to the nonlinear damped Kortewege–de Vries equation through efficient technique
  74. Modeling and heat transfer analysis of magnetized hybrid micropolar blood-based nanofluid flow in Darcy–Forchheimer porous stenosis narrow arteries
  75. Activation energy and cross-diffusion effects on 3D rotating nanofluid flow in a Darcy–Forchheimer porous medium with radiation and convective heating
  76. Insights into chemical reactions occurring in generalized nanomaterials due to spinning surface with melting constraints
  77. Influence of a magnetic field on double-porosity photo-thermoelastic materials under Lord–Shulman theory
  78. Soliton-like solutions for a nonlinear doubly dispersive equation in an elastic Murnaghan's rod via Hirota's bilinear method
  79. Analytical and numerical investigation of exact wave patterns and chaotic dynamics in the extended improved Boussinesq equation
  80. Nonclassical correlation dynamics of Heisenberg XYZ states with (x, y)-spin--orbit interaction, x-magnetic field, and intrinsic decoherence effects
  81. Exact traveling wave and soliton solutions for chemotaxis model and (3+1)-dimensional Boiti–Leon–Manna–Pempinelli equation
  82. Unveiling the transformative role of samarium in ZnO: Exploring structural and optical modifications for advanced functional applications
  83. On the derivation of solitary wave solutions for the time-fractional Rosenau equation through two analytical techniques
  84. Analyzing the role of length and radius of MWCNTs in a nanofluid flow influenced by variable thermal conductivity and viscosity considering Marangoni convection
  85. Advanced mathematical analysis of heat and mass transfer in oscillatory micropolar bio-nanofluid flows via peristaltic waves and electroosmotic effects
  86. Exact bound state solutions of the radial Schrödinger equation for the Coulomb potential by conformable Nikiforov–Uvarov approach
  87. Some anisotropic and perfect fluid plane symmetric solutions of Einstein's field equations using killing symmetries
  88. Nonlinear dynamics of the dissipative ion-acoustic solitary waves in anisotropic rotating magnetoplasmas
  89. Curves in multiplicative equiaffine plane
  90. Exact solution of the three-dimensional (3D) Z2 lattice gauge theory
  91. Propagation properties of Airyprime pulses in relaxing nonlinear media
  92. Symbolic computation: Analytical solutions and dynamics of a shallow water wave equation in coastal engineering
  93. Wave propagation in nonlocal piezo-photo-hygrothermoelastic semiconductors subjected to heat and moisture flux
  94. Comparative reaction dynamics in rotating nanofluid systems: Quartic and cubic kinetics under MHD influence
  95. Laplace transform technique and probabilistic analysis-based hypothesis testing in medical and engineering applications
  96. Physical properties of ternary chloro-perovskites KTCl3 (T = Ge, Al) for optoelectronic applications
  97. Gravitational length stretching: Curvature-induced modulation of quantum probability densities
  98. The search for the cosmological cold dark matter axion – A new refined narrow mass window and detection scheme
  99. A comparative study of quantum resources in bipartite Lipkin–Meshkov–Glick model under DM interaction and Zeeman splitting
  100. PbO-doped K2O–BaO–Al2O3–B2O3–TeO2-glasses: Mechanical and shielding efficacy
  101. Nanospherical arsenic(iii) oxoiodide/iodide-intercalated poly(N-methylpyrrole) composite synthesis for broad-spectrum optical detection
  102. Sine power Burr X distribution with estimation and applications in physics and other fields
  103. Numerical modeling of enhanced reactive oxygen plasma in pulsed laser deposition of metal oxide thin films
  104. Dynamical analyses and dispersive soliton solutions to the nonlinear fractional model in stratified fluids
  105. Computation of exact analytical soliton solutions and their dynamics in advanced optical system
  106. An innovative approximation concerning the diffusion and electrical conductivity tensor at critical altitudes within the F-region of ionospheric plasma at low latitudes
  107. An analytical investigation to the (3+1)-dimensional Yu–Toda–Sassa–Fukuyama equation with dynamical analysis: Bifurcation
  108. Swirling-annular-flow-induced instability of a micro shell considering Knudsen number and viscosity effects
  109. Numerical analysis of non-similar convection flows of a two-phase nanofluid past a semi-infinite vertical plate with thermal radiation
  110. MgO NPs reinforced PCL/PVC nanocomposite films with enhanced UV shielding and thermal stability for packaging applications
  111. Optimal conditions for indoor air purification using non-thermal Corona discharge electrostatic precipitator
  112. Investigation of thermal conductivity and Raman spectra for HfAlB, TaAlB, and WAlB based on first-principles calculations
  113. Tunable double plasmon-induced transparency based on monolayer patterned graphene metamaterial
  114. DSC: depth data quality optimization framework for RGBD camouflaged object detection
  115. A new family of Poisson-exponential distributions with applications to cancer data and glass fiber reliability
  116. Numerical investigation of couple stress under slip conditions via modified Adomian decomposition method
  117. Monitoring plateau lake area changes in Yunnan province, southwestern China using medium-resolution remote sensing imagery: applicability of water indices and environmental dependencies
  118. Heterodyne interferometric fiber-optic gyroscope
  119. Exact solutions of Einstein’s field equations via homothetic symmetries of non-static plane symmetric spacetime
  120. A widespread study of discrete entropic model and its distribution along with fluctuations of energy
  121. Empirical model integration for accurate charge carrier mobility simulation in silicon MOSFETs
  122. The influence of scattering correction effect based on optical path distribution on CO2 retrieval
  123. Anisotropic dissociation and spectral response of 1-Bromo-4-chlorobenzene under static directional electric fields
  124. Role of tungsten oxide (WO3) on thermal and optical properties of smart polymer composites
  125. Analysis of iterative deblurring: no explicit noise
  126. 10.1515/phys-2025-0251
  127. Review Article
  128. Examination of the gamma radiation shielding properties of different clay and sand materials in the Adrar region
  129. Erratum
  130. Erratum to “On Soliton structures in optical fiber communications with Kundu–Mukherjee–Naskar model (Open Physics 2021;19:679–682)”
  131. Special Issue on Fundamental Physics from Atoms to Cosmos - Part II
  132. Possible explanation for the neutron lifetime puzzle
  133. Special Issue on Nanomaterial utilization and structural optimization - Part III
  134. Numerical investigation on fluid-thermal-electric performance of a thermoelectric-integrated helically coiled tube heat exchanger for coal mine air cooling
  135. Special Issue on Nonlinear Dynamics and Chaos in Physical Systems
  136. Analysis of the fractional relativistic isothermal gas sphere with application to neutron stars
  137. Abundant wave symmetries in the (3+1)-dimensional Chafee–Infante equation through the Hirota bilinear transformation technique
  138. Successive midpoint method for fractional differential equations with nonlocal kernels: Error analysis, stability, and applications
  139. Novel exact solitons to the fractional modified mixed-Korteweg--de Vries model with a stability analysis
Heruntergeladen am 20.1.2026 von https://www.degruyterbrill.com/document/doi/10.1515/phys-2025-0173/html
Button zum nach oben scrollen