Home Physical Sciences Entropy optimization for chemically reactive magnetized unsteady thin film hybrid nanofluid flow on inclined surface subject to nonlinear mixed convection and variable temperature
Article Open Access

Entropy optimization for chemically reactive magnetized unsteady thin film hybrid nanofluid flow on inclined surface subject to nonlinear mixed convection and variable temperature

  • Mashael A. Aljohani , Arshad Khan EMAIL logo , Wafa F. Alfwzan , Humaira Yasmin , Zehba Raizah , Khadijah M. Abualnaja and Emad E. Mahmoud
Published/Copyright: July 22, 2025

Abstract

This study aims to investigate thin film flow with the effects of a magnetic field in association with Cu and CuO nanoparticles past an inclined plate. The second law of thermodynamics is used to optimize the production of entropy and to reduce the fluid’s friction. The leading equations have been solved through the homotopy analysis method in dimensionless form. It is observed that fluid motion is slowed down as the thickness factor, volumetric fraction of nanoparticles, and unsteadiness parameter increase, while it intensifies with higher values of mass and thermal Grashof numbers. The thermal distribution has augmented with an upsurge in volumetric fraction, magnetic factor, Eckert number, and unsteadiness factor. Bejan number as well as the rate of entropy production are opposed by Brinkman number and are supported by growth in magnetic factor. For nanoparticle volume fractions ranging from 0.01 to 0.03, the Nusselt number shows significant improvement, particularly for hybrid nanoparticles, where it increases from 4.3207 to 6.6983%, demonstrating their superiority over traditional nanoparticles. Validation of work has been ensured through comparative analysis between current results and published works.

1 Introduction

Thin film flow describes the movement of a fluid layer whose thickness is much smaller. Thin film flows involve the motion of liquid or fluid films with small thickness compared to their lateral dimensions. It has many applications in mechanical engineering as well as manufacturing processes like coating of glass, fluidization of reactor, coating of wire and fiber, etc. The concept of thin film over the starched surface has derived by Wang [1]. Qasim et al.’s [2] investigation revealed that thin liquid films exhibit the best transfer of mass and heat compared to thicker liquids. This characteristic makes them more suitable for applications where minimal heat is required for maintaining the stability of the thin film. Researchers are currently exploring the use of hybrid nanoparticle fluid films as a coating material for glass surfaces, with the aim of developing solar panels. In the near future, car windows are expected to serve as solar panels, providing energy for both cooling and heating purposes. This innovation offers the potential to seamlessly integrate renewable energy generation and effective thermal management into everyday items. The applications of magnetic and electric fields play a vital role in fluid film dynamics, particularly in microfluidic systems, where electric fields are used to manipulate and disintegrate thin films stretched between suspended microscopic droplets. Sun et al. [3] numerically analyzed thin liquid film flow on a spinning disk, considering the effects of nonlinear radiations and a thermal source. Their study highlights how these thermal factors influence heat transfer and flow behavior on rotating surfaces. Thin film flow over an inclined plate has numerous applications, including paint finishing in stable dispersions, chemical engineering processes, and surface coating technologies. Various factors like electric as well as magnetic factors are applied to stabilize the uniform dispersion of fluid films for enhancement the glassy texture of the final product. The performance of liquid film upon an inclined surface has been discussed by Kapitza et al. [4]. Dholey [5] has extended and refined the idea of Kapitza et al. [4] by employing a similar geometrical view and has examined the instability of fluid using magnetic and electric effects.

Flow on a stretching sheet describes the fluid motion that occurs when a flat surface is continuously stretched. This phenomenon finds applications in various industrial processes, like polymer processing and coating deposition. Controlling this flow is vital for optimizing manufacturing processes and improving products’ quality. Various metallurgical, mechanical, and designing processes, such as paper fabrication and drawing, glass blowing, and assembling of plastic and elastic sheets, exhibit the flows of different fluids upon stretching sheets. The flow upon stretching the surface was first discussed by Crane [6] for investigating different flow characteristics. Sudarmozhi et al. [7] discussed the melting thermal effects on fluid flow past an elongating sheet with thermophoresis effects. Rosca and Pop [8] examined the time-based flow of fluid passing a permeable shrinking/stretching curved sheet. Their findings revealed that as the permeability factor increased, the fluid motion declined. Their results suggest that the permeability of the sheet influences the flow characteristics, affecting the rate of fluid motion on the stretching sheet. Abbas et al. [9] inspected magnetized radiative fluid flow over a curved expanding sheet and revealed that growth in magnetic factor has augmented the thermal distribution and has weakened the velocity characteristics. Imtiaz et al. [10] investigated the magneto-hydrodynamic (MHD) time-dependent fluid flow on a curved extending sheet with the influence of both homogeneous and heterogeneous reactions. Sanni et al. [11] examined the viscous fluid flow progression past a curved as well as nonlinear stretched surface. Hayat et al. [12] scrutinized numerically the nanofluid flow induced by nonlinear stretching and curved surface associated with mass and thermal convective constraints. Okechi et al. [13] debated on viscous fluid flow on a curved and exponentially elongating surface. Further investigations about the concept of stretching sheet flows can be explored in previous studies [14,15,16].

Nanofluid flow demonstrates the movement of a liquid containing suspended nanoparticles. Nanofluid flow finds applications in heat exchangers, electronics cooling, energy systems, and biomedical engineering, where enhanced thermal conductivity and improved heat transfer properties offer advantages. Hobiny and Abbas [17] discussed dual-phase lag bio-thermal modeling through living tissues affected by laser irradiations. Optimizing nanofluid flow enables advancements in various industries, enhancing performance and efficiency in diverse engineering and scientific applications. Various investigators have conducted different investigations [18,19,20] for the augmentation of the thermal performance of pure fluid. Dinarvand et al. [21] employed copper and alumina nanoparticles in a two-step method to enhance drug delivery through the microcirculatory system over a permeable and stretched sheet. Shojaie Chahregh and Dinarvand [22] discussed blood-based hybrid nanofluid flow through an artery to facilitate drug delivery and blood rotation within the respiratory system. Their study focused on developing a fundamental model to understand the rotational behavior of blood and the distribution of medicines in the respiratory system. Chamkha et al. [23] investigated heat and mass transfer using variable temperature and concentration conditions, considering the combined effects of chemical reactions and nanoparticle shape. They found that fluid velocity decreased, while thermal distribution increased with higher nanoparticles’ concentration. Khan et al. [24] studied heat transfer in bio-convective hybrid nanofluid flow on a heated moving needle and deduced that the Nusselt number has increased with a surge in Eckert number, thermophoresis, and Brownian motion effects. Gul et al. [25] examined Marangoni convection in MHD blood-based carbon nanotubes nanofluid flow and noted a reduction in velocity and augmentation in thermal profiles as nanoparticle concentration increased. Kamis et al. [26] explored the influence of suction on unsteady hybrid nanofluid film flow over a stretched sheet.

The transfer of mass in various species mostly occurs when there is a variation in the concentration of these species. Due to this concentration gradient, the migration of species from higher to lower concentration zones has been noticed. Such phenomena can be found in the diffusion of nutrients inside tissues, thermal insulation, and the handling of foods. In the past few decades, the transmission of mass subject to chemical reaction has remained an active field of research. Hobiny and Abbas [27] conducted experimental investigations to analyze the thermal responses of cylindrical biological tissues under laser irradiation, providing insights into heat distribution and temperature rise. Their study contributed to understanding laser–tissue interactions, which is vital in medical applications like laser surgery, therapy, and tissue engineering. Marin et al. [28] studied a nonlinear bio-heat model for skin tissues with the impacts of external heat sources. Eid et al. [29] explored the Prandtl number using the impact of high-order chemical reactions on the motion of nanofluid and concluded that the magnetic effect has augmented the thermal distribution and skin friction. Dhlamini et al. [30] inspected mixed convective and binary chemically reactive flow of nanofluid and revealed that with progress in chemical reaction factor, the concentration of fluid has augmented. Saeed and Abbas [31] examined experimentally the utilization of the finite-element approach for a non-linear bio-heat model for spherical tissues.

This research work develops a mathematical model for hybrid nanofluid flow on an inclined surface. The following points highlight the novelty of this study:

  • The work of Qasim et al. [2] has been expanded by incorporating inclined and stretching surfaces to investigate the unsteady thin film fluid flow, which has not been discussed yet in the presence of nonlinear mixed convection.

  • The inclusion of an inclined surface introduces an additional factor that influences the fluid dynamics and flow behavior.

  • Furthermore, the incorporation of stretching surfaces adds another dimension to the analysis, considering the effects of surface deformation on fluid flow.

  • Nonlinear mixed convection has been added to the proposed model in mathematical form along with the impacts of a variable magnetic field.

  • By incorporating variable temperature and concentration, the research provides valuable insights into the thermal and concentration gradients that affect the fluid flow, particularly in the vicinity of the inclined surface.

  • Homotopy analysis method (HAM) has been employed to solve the proposed mathematical model.

2 Formulation of the problem

A thin plate is considered with θ being an angle of inclination of the sheet with the horizontal axis as exhibited in Figure 1. The following assumptions are made:

  • The sheet behaves as elongating with velocity U w = b x ( 1 α t ) 0.5 with b ( 1 α t ) 0.5 an operative rate of elasticity that exhibits an enhancing behavior on the domain 0 α < 1 such that a , b > 0 and b is the elasticity constant.

  • The variable temperature and concentration at surface of elongating sheet are described as T s ( x , t ) = T 0 T ref ( b x 2 / 2 υ ) ( 1 α t ) 3 2 and C s ( x , t ) = C 0 C ref ( b x 2 / 2 v ) ( 1 γ t ) 3 / 2 , where T 0 , T ref and C 0 , C ref are slit and constant reference temperatures and concentrations such that 0 < T ref < T 0 and 0 < C ref < C 0 .

  • The term ( b x 2 / υ ( 1 α t ) = x U w / υ ) describes the local Reynolds number that is based upon U w (surface velocity).

  • Variable magnetic effects with strength B 0 ( x , t ) = B 0 ( 1 α t ) 0.5 have been considered in the transverse direction of flow.

  • The thickness of the film is h ( t ) that is positioned on the inclined sheet.

  • The temperature of sheet varies from T 0 at the slit which is in direct proportion to x 2 , where the amount of temperature drops with growth in time.

Figure 1 
               Graphical view of the flow problem.
Figure 1

Graphical view of the flow problem.

With the help of the above assumptions, the leading equations are

(1) u x + v y = 0 ,

(2) u t + u u x + v u y = υ hnf 2 u y 2 + 2 u x 2 σ hnf u ρ hnf B 2 ( t ) + g Cos ϕ [ ( β T ) hnf ( T T h ) ( 1 + ( T T h ) ( β T ) hnf ) + ( β C ) ( C C h ) ( 1 + ( C C h ) ( β C ) ) ] ,

(3) T t + v T y + u T x = α hnf 2 T y 2 + τ D B T y C y T y 2 D T T h + σ hnf B 2 ( t ) ( ρ C p ) hnf u ,

(4) C t + v C y + u C x = D B 2 C y 2 + 2 T y 2 D T T h ( C C ) Kr .

The flow constraints at the physical boundaries are

(5) v = 0 , u = U w , C = C w , T = T w , at y = 0 u y = T y = C y = 0 , v = h t , at y = h ( t ) ,

The collection of variables that can undergo transformation is described as follows:

(6) u = f ( η ) x b ( 1 t α ) , v = b υ ( 1 t α ) 1 / 2 f ( η ) , η = y b ( 1 t α ) υ .

The resultant equations in dimensionless form are given as

(7) f + μ f μ hnf . ρ hnf ρ f f f S f + η 2 f ( f ) 2 M σ hnf σ f μ f μ hnf f + μ f μ hnf ( ρ β T ) hnf ( ρ β T ) f [ θ Gr + θ 2 Gr ] Cos ϕ + ρ hnf ρ f μ f μ hnf [ Gc Φ 2 + Gc Φ ] Cos ϕ = 0 ,

(8) k hnf k f θ + Nt ( θ ) 2 + Nb θ Φ + Ec M ( f ) 2 + Pr ( ρ C p ) hnf ( ρ C p ) f θ f 2 f θ ( 3 θ + η θ ) S 2 = 0 ,

(9) Φ + Nb Nt θ + Sc f Φ 2 f Φ S 2 ( Φ η + 3 Φ ) Φ γ = 0 ,

with related boundary conditions as follows:

(10) f ( 0 ) = 0 , f ( 0 ) = 1 , f ( β ) = S β 2 , f ( β ) = 0 , θ ( 0 ) = 1 , Φ ( 0 ) = 1 , θ ( β ) = 0 , Φ ( β ) = 0 .

The aforementioned physical parameters M , S , Ec , Pr , γ , Sc , Gr , Gr , G c , Gc , N t , and N b are mathematically described as

(11) M = σ B 0 2 ρ b , S = α b , Ec = U w 2 c p ( T w T 0 ) , Pr = υ α , γ = k r b , Gr = ( β T ) g ( T w T ) U w 2 , Sc = υ D B , Gr = ( β T ) 2 g ( T w T ) 2 U w 2 , Gc = ( β c ) 2 g ( C w C ) 2 U w 2 , Gc = ( β c ) g ( C w C ) U w 2 , Nt = τ D B ( T w T ) ν T , Nb = τ D B ( C w C ) ν .

The thermophysical properties of nano/hybrid nanofluids are outlined in Table 1, while their corresponding numerical values are presented in Table 2. These tables provide a comprehensive description and quantification of the properties exhibited by the nano/hybrid nanofluids under consideration.

Table 1

Thermo-physical characteristics of CuO and CuO + Cu / Blood [32]

( CuO ) /nanofluid ( CuO + Cu / B l o o d ) /hybrid nanofluid
Density ρ nf = ρ s 1 φ 1 + ρ f ( 1 φ 1 ) ρ hnf = ( 1 φ 1 ) + φ 1 ρ s 1 ρ f ( 1 φ 2 ) + ρ s 2 ρ f φ 2 ρ f
Heat capacity ( C p ρ ) nf = ( C p ρ ) f ( 1 φ 1 ) + ( C p ρ ) s 1 φ 1 ( ρ C p ) hnf = ( ρ C p ) f ( 1 φ 2 ) ( 1 φ 1 ) + ( ρ C p ) s 1 ( ρ C p ) f φ 1 + ( ρ C p ) s 2 ( ρ C p ) f φ 2
Dynamic viscosity μ nf = μ f ( 1 φ 1 ) 2.5 μ hnf = μ f ( 1 φ 2 ) 1 / 2 ( 1 φ 1 ) 1 / 2
Thermal conductivity κ nf κ f = κ s 1 2 φ 1 ( κ f κ s 1 ) + 2 κ f κ s 1 + φ 1 ( κ f κ s 1 ) + 2 κ f κ hnf κ nf = κ s 2 2 φ 2 ( κ f κ s 2 ) + 2 κ f κ s 2 + φ 2 ( κ f κ s 2 ) + 2 κ f
Table 2

Computational characteristics of pure fluid and Cu / CuO nanoparticles [33]

CuO Cu Blood
ρ ( kg m 3 ) 6500.00 8933.00 1063.00
C p ( J kg 1 K 1 ) 533.000 385.000 3594.00
κ ( W m 1 K 1 ) 17.6500 400.000 0.49200
β × 10 5 K 1 1.80000 1.67000 0.18000

2.1 Interested quantities

The coefficient of skin friction, Nusselt, and Sherwood numbers are the main quantities commonly used in fluid mechanics and heat/mass transfer studies. These quantities are described as follows:

  1. The coefficient of skin friction represents the frictional resistance exerted by a fluid flow on a solid surface. It measures the shear stress between the fluid and the surface and is typically used to assess the flow resistance or drag in various applications.

  2. The Nusselt number is used to analyze the convective heat transfer between the flow of fluid and the surface of the sheet. It helps to measure the transportation of temperature in the flow system.

  3. The Sherwood number is similar to the Nusselt number but is specifically used for mass transfer processes. It quantifies the efficiency of mass transfer, such as the diffusion or convection of a species amid fluid flow and surface. The Sherwood number is used in applications involving mass transfer, such as chemical reactions, absorption processes, and membrane operations.

The mathematical depiction for these quantities is given below:

(12) C f = τ w 1 2 ρ U w 2 = Coefficient of Skin Friction,

(13) Nu x = q w x k ( T w T 0 ) = Nusselt Number,

(14) Sh x = q m x D B ( C w C 0 ) = Sherwood Number .

In dimensionless form, these quantities are

(15) Re 1 / 2 C f = μ hnf μ f f ( 0 ) = Coefficient of Skin Friction ,

(16) Re 1 / 2 Nu x = k hnf k f θ ( 0 ) = Nusselt Number ,

(17) Re 1 / 2 Sh x = ϕ ( 0 ) = Sherwood Number .

2.2 Entropy analysis

It is mathematically defined as

(18) S gen = k hnf T h 2 T y 2 + μ hnf T h u y 2 + σ hnf B 0 2 u 2 T h + g T h [ ( β T ) hnf ( T T h ) [ 1 + ( β T ) hnf ( T T h ) ] ] Cos θ + g T h [ ( β C ) ( C C h ) [ 1 + ( β C ) ( C C h ) ] ] Cos θ + RD C h C y 2 + RD T h T y C y + C x T x ,

(19) S G = α 1 k hnf k f ( θ ) 2 + Br μ hnf μ f ( f ) 2 + M f + β T hnf β T f ( Gr ( θ ) 2 + Gr ( θ ) 2 + Gc Φ + Gc ( Φ ) 2 ) + L θ Φ + α 2 α 1 ( Φ ) 2 .

2.3 Bejan number

It is described as

(20) Be = Irreversibility due to heat and mas transfer Total irreversilbility ,

(21) Be = α 1 k hnf k f ( θ ) 2 + L θ Φ + α 2 α 1 ( Φ ) 2 α 1 k hnf k f ( θ ) 2 + Br μ hnf μ f ( f ) 2 + M f + L θ Φ + α 2 α 1 ( Φ ) 2 β T hnf β T f ( Gr ( θ ) 2 + Gr ( θ ) 2 + Gc Φ + Gc ( Φ ) 2 ) ,

with

(22) S G = S gen υ T h k f Δ T , Δ T = T w T h , α 1 = Δ T T h , α 2 = Δ C C h , Δ C = C w C h , L = RDΔ C k f .

3 Solution method

The solution of Eqs. (7)–(9) subject to Eq. (10) has been evaluated by using HAM [34,35]. The presented approach is a semi-analytical method that exhibits rapid convergence, making it suitable for solving nonlinear differential equations. To apply this approach, some starting values are necessary. For the current problem, these starting values are provided as follows:

(23) f 0 ( η ) = S + η , ϕ 0 ( η ) = 1 , θ 0 ( η ) = 1 ,

with

(24) L f = f , L ϕ = ϕ , L θ = θ .

Such that

(25) L f ( a 3 + η a 2 + η 2 a 1 ) = 0 , L θ ( a 5 + η a 4 ) = 0 , L ϕ ( a 7 + η a 6 ) = 0 ,

where a i ( i = 1 7 ) are fixed values.

4 Results and discussion

This work investigates thin film flow with the effects of a magnetic field in association with Cu and CuO nanoparticles past an inclined plate. The thickness of the film is taken as a variable to sustain the uniformity of the thin film for sliding on the surface, while the dragging terminology is taken as nonlinear for the flow of film down the plate. To optimize the production of entropy and to reduce the fluid’s friction, the second law of thermodynamics is employed. Additionally, the current model supplements by incorporating the collective role of mass and heat transportation. Some emerging factors have been collected in the modeling of the problem; the influence of these factors will be deliberated in the following paragraphs.

4.1 Velocity distribution

The variations in velocity characteristics in response of different values of emerging factors are shown in Figure 2(a)–(i). Figure 2(a) illustrates the impact of magnetic forces on fluid motion. As the Lorentz force increases for growth in M , it generates a resistive force in the fluid against the velocity of nanoparticles, resulting in heightened resistance experienced by the fluid particles. During this process, the fluid velocity drops as M escalates. The impression of thickness factor β upon fluid motion is depicted in Figure 2(b). The observed trend in this figure reveals that as thickness of fluid film upsurges, the fluid particles move more slowly along the inclined plate, indicating a reduction in their downward motion. Indeed, as the values of β increase, greater cohesion is observed among the fluid particles. This increased cohesion results in reduced fluid motion. Figure 2(c) and (d) show the influences of thermal and nonlinear thermal Grashof numbers ( Gr , Gr ) upon fluid motion. In these figures, an augmenting behavior has been observed in fluid flow characteristics for intensification in the values of ( Gr , Gr ). Similarly, for growth in mass Grashof and nonlinear mass Grashof numbers ( G C , G C ) , there is an expansion in the velocity panels as shown in Figure 2(e) and (f). Physically, this can be understood as for upsurge in Grashof number the viscous force weakens due to which the liquid particles observed minimum constraints in flow direction. This phenomenon is more remarkable in case of nonlinear factors Gr as depicted in Figure 2(d) and for Gc as shown in Figure 2(f). The impact of ϕ 1 , ϕ 2 (volume fractions) on fluid flow characteristics is observed in Figure 2(g). It is noticed that with growth in ϕ 1 , ϕ 2 there is retardation in fluid motion. Actually, for surge in ϕ 1 , ϕ 2 , the fluid behaves in more dense manners due to which fluid’s nanoparticles experience more resistance in the direction of their motion. In this process, the fluid motion of nanoparticles upon the inclined sheet becomes less as illustrated in Figure 2(g). The influence of λ over fluid motion is shown in Figure 2(h) where a deteriorating behavior of f ( η ) has been noticed in response of growth in the values of λ . Since λ describes the connection between relaxation and retardation times, so with upsurge in λ there is more resistive force to fluid particles transportation. In this process, the fluid flow characteristics declines as shown in Figure 2(h). The impression of unsteadiness factor S over fluid’s motion is illustrated in Figure 2(i) with retarding behavior in the flow characteristics. Since, with growth in S, more friction is created in the line of fluid motion; hence with growth in S, the fluid motion declines as depicted in Figure 2(i).

Figure 2 
                  (a–i) Impact of various emerging factors on velocity distribution.
Figure 2

(a–i) Impact of various emerging factors on velocity distribution.

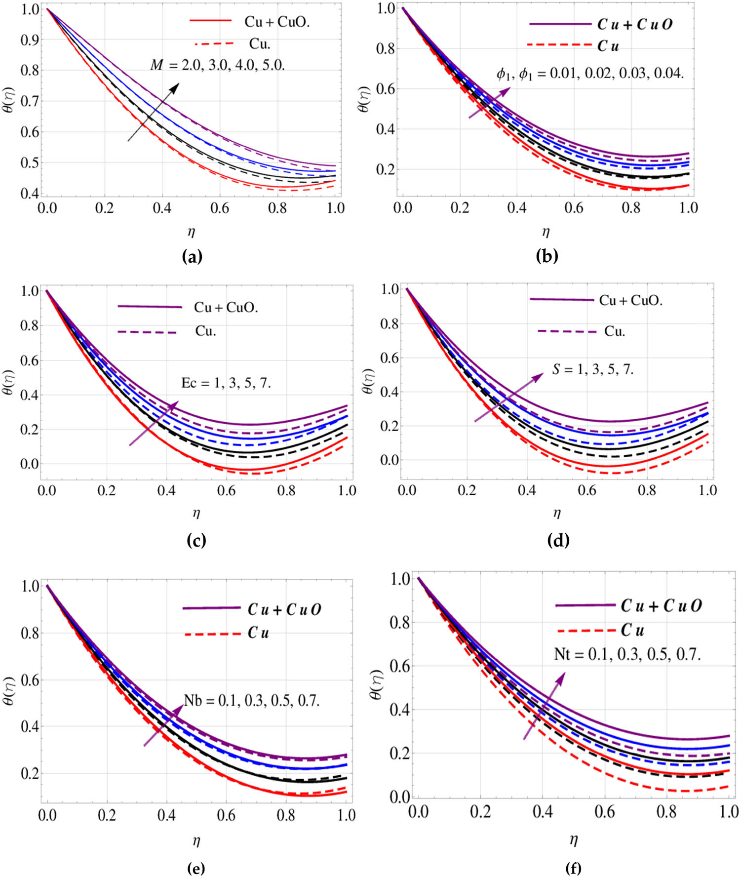
4.2 Thermal distribution

The effect of numerous factors on thermal distribution is depicted in Figure 3(a)–(f). In Figure 3(a), it has been revealed that the growing values of magnetic factor M support the thermal transportation. Actually, for upsurge in M , there is more resistive force among fluid particles in the opposite direction of fluid motion. Due to these resistive forces, the skin friction augments and ultimately thermal energy enlarges that supports the growth in temperature distribution. The influences of volume fraction ϕ 1 , ϕ 2 upon energy distribution are illustrated in Figure 3(b) with an enlarging behavior as perceived in heat profiles. Actually, with growth in ϕ 1 , ϕ 2 the dense behavior of fluid augments for which additional constraints is practiced by the fluid particles. In this phenomenon, the fluid motion has declined while the energy distribution has augmented as explained in Figure 3(b). Growth in Eckert number Ec also supports the thermal distribution as shown in Figure 3(c). The thermal dissipative properties are primarily governed by Ec at the free surface, resulting in the efficient gathering of energy among the fluid particles near boundary on the inclined plate. So the thermal distribution is escalated with higher values of Ec . Figure 3(d) shows the expansion in strength of thermal layer at boarder-line with expansion in S . This states that in steady-state conditions, nanoparticles cool at a faster rate, whereas in time-dependent scenarios, a longer duration is needed for this phenomenon to occur. The influence of Brownian motion factor Nb on thermal panels is shown in Figure 3(e). Clearly with escalation in Nb , the zigzag motion among the nanoparticles escalates as a consequence the kinetic energy is converted to thermal energy. As a result, maximum thermal diffusion occurs that augment thermal distribution as shown in Figure 3(e). The effect of Nt on temperature distribution is depicted in Figure 3(f) with a growing manner in thermal profiles. Since Nt is described mathematically as Nt = τ D B ( T w T ) / ν T , so growth in Nt supports the temperature gradient at free stream of the inclined plate, for which more heat is shifted from high to low temperature zone. In this process, thermal diffusion is at its peak; hence, thermal distribution upsurges with escalated values of Nt as shown in Figure 3(f).

Figure 3 
                  (a–f) Impact of different emerging factors upon thermal distribution.
Figure 3

(a–f) Impact of different emerging factors upon thermal distribution.

4.3 Concentration distribution

The impact of chemical reaction factor γ on diffusions of mass is presented in Figure 4(a). With an upsurge in γ , the diffusions of mass augments and results in the growth of concentration boundary. Through this process, the concentration distribution augment is shown in Figure 4(a). The influence of Schmidt number Sc is given in Figure 4(b). It is noticed from this figure that concentration distribution Φ ( η ) declines with growth in Sc . Actually, Sc is in inverse relation to diffusion of mass, so augmentation in Sc means reduction in diffusion of mass that results in the drop of concentration distribution Φ ( η ) . Figure 4(c) depicts that with upsurge in unsteadiness factor S there is a decline in concentration profiles Φ ( η ) . This can be interpreted as, for upsurge in S more time is required for mass to be diffused as compared to steady case. Hence, with growth in S, there is a decline in concentration distribution Φ ( η ) . Figure 4(d) and (e) show the impacts of N b and N t on concentration distribution Φ ( η ) . Upsurge in N b reduces the profiles of Φ ( η ) , whereas adverse effects have been noticed for growth in N t against the profiles of Φ ( η ) . For growth in N b , there is a decline in nanoparticles volume fraction at free surface that retards the concentration distribution as depicted in Figure 4(d). Conversely, for progression in N t , the diffusion of mass upsurge that results in the growth of concentration distribution Φ ( η ) as illustrated in Figure 4(e).

Figure 4 
                  (a–e) Impact of various factors on concentration profiles.
Figure 4

(a–e) Impact of various factors on concentration profiles.

4.4 Bejan number and generation of entropy rate

Variations in irreversibility generation and Bejan number in the reaction of changes in various substantial factors are discussed in Figures 5 and 6. The influence of M on entropy and Bejan number is shown in Figure 5(a) and (b). It is obvious that with higher M nanoparticles experience more restrain during motion that resulting in more disturbance in the flow pattern of fluid and producing more entropy, as illustrated in Figure 5(a). In this physical phenomenon, the Bejan number enhances as shown in Figure 5(b).

Figure 5 
                  (a, b) Bejan number and entropy vs variations in 
                        
                           
                           
                              M
                           
                           M
                        
                     .
Figure 5

(a, b) Bejan number and entropy vs variations in M .

Figure 6 
                  (a, b) Entropy and Bejan number vs variations in Brinkman number 
                        
                           
                           
                              Br
                           
                           \text{Br}
                        
                     .
Figure 6

(a, b) Entropy and Bejan number vs variations in Brinkman number Br .

Figure 6(a) and (b) present the influence of Br on entropy and Bejan number. It has been noticed that for growth in Br , entropy rate has augmented. Actually, Br let out the thermal flow through the conductance of molecules with an association of heat transportation to the viscous thermal flow of fluid particles. Moreover, for augmentation in Br , the thermal conductance of nanoparticles retards continuously that results in augmentation of irreversibility generation rate as shown in Figure 6(a). In this physical phenomenon, it has been observed that the Bejan number experiences a deceleration, as illustrated in Figure 6(b).

4.5 Discussion of tables

The thermo-physical properties of CuO and CuO + Cu / Blood is presented in Table 1 with their numerical values in Table 2. From Table 3, it is noticed that augmentation in thermal as well as nonlinear thermal Grashof numbers has upsurge the fluid motion while it is declined for higher magnetic factor, volumetric fraction, thickness, and unsteadiness factors. Therefore, skin friction has upsurge for progression in magnetic factor, volumetric fraction, thickness, and unsteadiness factors and has declined with growth in thermal as well as nonlinear thermal Grashof numbers. In Table 4, it is revealed that Nusselt number has augmented for growth in volume fraction, Ecker number, magnetic factor, unsteadiness effects, Brownian motion number, and thermophoresis factor. Table 5 depicts percentage variation in Nusselt number for Cu as well as Cu + CuO nanoparticles. It has been observed in this table that when there is a variation in volume fraction from 0.01 to 0.02, Nusselt number boots from 2.990 to 4.327% for Cu -nanoparticles whereas in case of Cu + CuO -nanoparticles, this jump in Nusselt number is from 4.3207 to 6.6983% for the same range of nanoparticles concentration. This reveals the dominancy of hybrid nanofluid over normal nanofluid. Sherwood number has an augmentation for higher values of thermophoresis factor while it is degenerated for higher values of Brownian motion and Schmidt factor as shown in Table 6. To validate the current work, its results are compared with the established findings of Li et al. [36] and Ali et al. [37] in Table 7. It is evident from this table that a strong agreement exists among all the results, confirming the validity of the current work.

Table 3

Skin friction ( Re r 1 / 2 C f r = ( μ hnf / μ f ) f ( 0 ) ) vs variations in various factors

Gr Gr ϕ 1 , ϕ 2 S M Gc Gc Cu ( μ nf / μ f ) f ( 0 ) Cu + CuO ( μ hnf / μ f ) f ( 0 )
0.1 0.1 0.01 0.1 0.5 0.1 0.1 0.63532180 0.636976420
0.2 0.63421070 0.632057420
0.3 0.63310060 0.631424113
0.2 0.63376542 0.632334620
0.3 0.63201343 0.631307600
0.02 0.64876530 0.649965421
0.03 0.65210990 0.655321090
0.3 0.64321870 0.653201700
0.5 0.65372100 0.654865327
0.7 0.64076523 0.645879650
0.9 0.64387652 0.646487990
0.2 0.63201564 0.631654231
0.3 0.63021032 0.628764532
0.2 0.63003421 0.627643210
0.3 0.62978650 0.627456321
Table 4

Nusselt number ( Re r 1 / 2 Nu r = k hnf / k f θ ( 0 ) ) vs variations in various factors

Nt S M Nb Ec Cu ( k nf / k f θ ( 0 ) ) Cu + CuO ( k hnf / k f θ ( 0 ) )
6.2 1.3 1.0 0.1 1 4.2654318 4.276743210
6.4 4.2689043 4.277453210
6.6 4.2896534 4.298703210
1.3 4.2965329 4.310965334
1.6 4.30721545 4.358703212
1.5 4.3477930 4.380987400
2 4.3567440 4.399767000
0.3 4.3202100 4.348743000
0.5 4.3454320 4.356798540
2 4.4578242 4.460241780
3 4.5321098 4.567320210
Table 5

Percentage variation in Nusselt number with growth in nanoparticles (by using the relation % Increase = With Nanoparticles Without Nanoparticles × 100 = Result, Result ‒ 100 = % enhancment )

ϕ 1 , ϕ 2 k nf / k f θ ( 0 ) for Cu -nanoparticles k hnf / k f θ ( 0 ) for Cu + CuO -nanoparticles
0.00 4.3124360 4.3124360
0.01 4.4415471 (2.99000 Increase) 4.4987647 (4.32070 Increase)
0.02 4.4467865 (3.1150% Increase) 4.5403245 (5.2840% Increase)
0.03 4.499032 (4.3270% Increase) 4.6012997 (6.6983% Increase)
Table 6

Sherwood number against variations in various factors

Sc Nb S Nt ( D nf / D f ) Φ ( 0 ) Cu ( D hnf / D f ) Φ ( 0 ) Cu + CuO
1.5 0.1 0.1 0.1 5.3202511 5.32187542
2.5 5.3002190 3.35867100
3.5 5.2768590 3.30561900
0.3 5.4532800 3.47316900
0.5 5.5021800 3.53543500
0.3 5.3028710 3.58983500
0.5 5.2654230 4.96657400
0.3 5.5289000 4.71948700
0.5 5.6432100 4.52376700
Table 7

Results validation with the published studies

Li et al. [36] results Ali et al. [37] results Present results
β f ( 0 ) β f ( 0 ) β f ( 0 )
4.981455 −1.134 4.981468 −1.1340957 4.981448 −1.1340893
3.131924 −1.195 3.131711 −1.1951252 3.131752 −1.1951289
2.152366 −1.246 2.152021 −1.2458064 2.1520894 −1.24580642
1.543592 −1.278 1.543615 −1.2777693 1.5436782 −1.27776786
1.127783 −1.279 1.127779 −1.2791718 1.1277829 −1.27917493
0.821033 −1.234 0.821031 −1.2335453 0.8213592 −1.23354780
0.576173 −1.115 0.576174 −1.1149368 0.5763576 −1.11493563
0.356389 −0.8674 0.356387 −0.8674104 0.3563981 −0.86741284

5 Conclusions

An endeavor has been made in this study to investigate thin film flow with the effects of a magnetic field in association with Cu and CuO nanoparticles past an inclined plate. To optimize the production of entropy and to reduce the fluid’s friction, the second law of thermodynamics is employed. Additionally, the current model supplements by incorporating the combined role of mass and heat transportation. After implementing similarity variables, the leading equations have been converted to dimensionless form and subsequently solved using HAM. After a comprehensive examination of the work, the following observations have been made:

  • Fluid motion slows down with increasing values of the thickness factor, magnetic effects, nanoparticle volume fraction, and unsteadiness parameter. In contrast, it intensifies with higher mass and thermal Grashof numbers in both linear and nonlinear scenarios.

  • Thermal profiles rise with increases in magnetic parameter, Eckert number, nanoparticle concentration, unsteadiness, thermophoresis, and Brownian motion factors. Physically, these factors enhance thermal energy generation, reduce heat dissipation, and facilitate nanoparticle-induced thermal transport, causing more noticeable temperature gradients.

  • Concentration profiles decline with higher Brownian motion, unsteadiness factors, and Schmidt number, while a surge in chemically reactive factors and thermophoresis parameters leads to an upward trend regarding the concentration profiles.

  • Entropy generation is enhanced by magnetic effects and reduced by a higher Brinkman number.

  • The Bejan number decreases with increasing Brinkman number but increases under stronger magnetic field effects.

  • For nanoparticle volume fractions ranging from 0.01 to 0.03, the Nusselt number shows significant improvement, particularly for hybrid nanoparticles, where it increases from 4.3207 to 6.6983%, demonstrating their superiority over traditional nanoparticles.

  • Finally, the results of this study show strong agreement with established findings, confirming the accuracy and reliability of the current work.

Acknowledgments

The authors thank Princess Nourah bint Abdulrahman University Researchers Supporting Project number (PNURSP2025R371) and Princess Nourah bint Abdulrahman University, Riyadh, Saudi Arabia.

  1. Funding information: This work was supported by the Princess Nourah bint Abdulrahman University Researchers Supporting Project number (PNURSP2025R371) and Princess Nourah bint Abdulrahman University, Riyadh, Saudi Arabia.

  2. Author contributions: Dr. Arshad Khan and Dr. Mashael A. Aljohani have modeled the problem in mathematical form. Dr. Zehba Raizah and Dr. Khadijah M. Abualnaja have solved the modeled problem through Mathematica software. Dr. Arshad Khan and Dr. Emad E. Mahmoud sketched the graph and discussed the impacts of emerging parameters on various flow profiles and quantities of engineering interest in tabular form. Dr. Humaira Yasmin, Dr. Zehba Raizah, and Dr. Khadijah M. Abualnaja wrote the draft of the manuscript. Dr. Wafa F. Alfwzan has contributed during the revision process. All authors have accepted responsibility for the entire content of this manuscript and approved its submission.

  3. Conflict of interest: The authors state no conflict of interest.

  4. Data availability statement: The datasets generated and/or analysed during the current study are available from the corresponding author on reasonable request.

References

[1] Wang CY. Thin film flowing down a curved surface. Z Für Angew Math Und Phys ZAMP. 1984;35(4):532–44.10.1007/BF00945073Search in Google Scholar

[2] Qasim M, Khan ZH, Lopez RJ, Khan WA. Heat and mass transfer in nanofluid thin film over an unsteady stretching sheet using Buongiorno’s model. Eur Phys J Plus. 2016;131(1):1–11.10.1140/epjp/i2016-16016-8Search in Google Scholar

[3] Sun TC, Uddin I, Raja MAZ, Shoaib M, Ullah I, Jamshed W, et al. Numerical investigation of thin-film flow over a rotating disk subject to the heat source and nonlinear radiation: Lobatto IIIA approach. Waves Random Complex Media. 2025;35(1):888–902.10.1080/17455030.2022.2026526Search in Google Scholar

[4] Kapitza PL, Kapitza SP, Kapitza PL, Kapitza SP. Wave flow of thin layers of viscous liquids. Part III. Experimental research of a wave flow regime. ZhETF. 1949;19:105–20.Search in Google Scholar

[5] Dholey S. Instabilities of a thin viscoelastic liquid film flowing down an inclined plane in the presence of a uniform electromagnetic field. Rheol Acta. 2017;56(4):325–40.10.1007/s00397-016-0992-xSearch in Google Scholar

[6] Crane LJ. Flow past a stretching plate. Z Für Angew Math Und Phys ZAMP. 1970;21(4):645–7.10.1007/BF01587695Search in Google Scholar

[7] Sudarmozhi K, Iranian D, Alessa N. Investigation of melting heat effect on fluid flow with brownian motion/thermophoresis effects in the occurrence of energy on a stretching sheet. Alex Eng J. 2024;94:366–76.10.1016/j.aej.2024.03.065Search in Google Scholar

[8] Roşca NC, Pop I. Unsteady boundary layer flow over a permeable curved stretching/shrinking surface. Eur J Mech, B/Fluids. 2015;51:61–7.10.1016/j.euromechflu.2015.01.001Search in Google Scholar

[9] Abbas Z, Naveed M, Sajid M. Hydromagnetic slip flow of nanofluid over a curved stretching surface with heat generation and thermal radiation. J Mol Liq. 2016;215:756–62.10.1016/j.molliq.2016.01.012Search in Google Scholar

[10] Imtiaz M, Hayat T, Alsaedi A, Hobiny A. Homogeneous-heterogeneous reactions in MHD flow due to an unsteady curved stretching surface. J Mol Liq. 2016;221:245–53.10.1016/j.molliq.2016.05.060Search in Google Scholar

[11] Sanni KM, Asghar S, Jalil M, Okechi NF. Flow of viscous fluid along a nonlinearly stretching curved surface. Results Phys. 2017;7:1–4.10.1016/j.rinp.2016.11.058Search in Google Scholar

[12] Hayat T, Aziz A, Muhammad T, Alsaedi A. Numerical study for nanofluid flow due to a nonlinear curved stretching surface with convective heat and mass conditions. Results Phys. 2017;7:3107–15.10.1016/j.rinp.2017.08.030Search in Google Scholar

[13] Okechi NF, Jalil M, Asghar S. Flow of viscous fluid along an exponentially stretching curved surface. Results Phys. 2017;7:2851–4.10.1016/j.rinp.2017.07.059Search in Google Scholar

[14] Yasmin H, Shahab S, Lone SA, Raizah Z, Saeed A. Convective flow of a magnetohydrodynamic second-grade fluid past a stretching surface with Cattaneo–Christov heat and mass flux model. Open Phys. 2024;22(1):20230204.10.1515/phys-2023-0204Search in Google Scholar

[15] Anwar MS, Irfan M, Muhammad T. Non‐Newtonian fluid flow over a stretching sheet in a porous medium with variable thermal conductivity under magnetohydrodynamics influence. ZAMM‐J Appl Math Mech/Z für Angew Math und Mechanik. 2024;104(12):e202301048.10.1002/zamm.202301048Search in Google Scholar

[16] Lone SA, Khan A, Raiza Z, Alrabaiah H, Shahab S, Saeed A, et al. A semi-analytical solution of the magnetohydrodynamic blood-based ternary hybrid nanofluid flow over a convectively heated bidirectional stretching surface under velocity slip conditions. AIP Adv. 2024;14(4):1–13.10.1063/5.0201663Search in Google Scholar

[17] Hobiny AD, Abbas IA. Nonlinear analysis of dual-phase lag bio-heat model in living tissues induced by laser irradiation. J Therm Stresses. 2020;43(4):503–11.10.1080/01495739.2020.1722050Search in Google Scholar

[18] Ali A, Khan Z, Sun M, Muhammad T, Alharbi KAM. Numerical investigation of heat and mass transfer in micropolar nanofluid flows over an inclined surface with stochastic numerical approach. Eur Phys J Plus. 2024;139(10):1–25.10.1140/epjp/s13360-024-05676-0Search in Google Scholar

[19] Khader MM, Ahmad H, Adel M, Megahed AM. Numerical analysis of the MHD Williamson nanofluid flow over a nonlinear stretching sheet through a Darcy porous medium: Modeling and simulation. Open Phys. 2024;22(1):20240016.10.1515/phys-2024-0016Search in Google Scholar

[20] Alkaoud A, Khader MM, Eid A, Megahed AM. Numerical simulation for the slip impacts on the radiative nanofluid flow over a stretched surface with nonuniform heat generation and viscous dissipation. Open Phys. 2024;22(1):20240028.10.1515/phys-2024-0028Search in Google Scholar

[21] Dinarvand S, Nademi Rostami M, Dinarvand R, Pop I. Improvement of drug delivery micro-circulatory system with a novel pattern of CuO-Cu/blood hybrid nanofluid flow towards a porous stretching sheet. Int J Numer Methods Heat Fluid Flow. 2019;29(11):4408–29.10.1108/HFF-01-2019-0083Search in Google Scholar

[22] Shojaie Chahregh H, Dinarvand S. TiO2-Ag/blood hybrid nanofluid flow through an artery with applications of drug delivery and blood circulation in the respiratory system. Int J Numer Methods Heat Fluid Flow. 2020;30(11):4775–96.10.1108/HFF-10-2019-0732Search in Google Scholar

[23] Chamkha AJ, Rashad AM, Al-Mudhaf HF. Heat and mass transfer from truncated cones with variable wall temperature and concentration in the presence of chemical reaction effects. Int J Numer Methods Heat Fluid Flow. 2012;22(3):1120–8.10.1108/09615531211208060Search in Google Scholar

[24] Khan A, Saeed A, Tassaddiq A, Gul T, Kumam P, Ali I, et al. Bio-convective and chemically reactive hybrid nanofluid flow upon a thin stirring needle with viscous dissipation. Sci Rep. 2021;11(1):8066.10.1038/s41598-021-86968-8Search in Google Scholar PubMed PubMed Central

[25] Gul T, Akbar R, Zaheer Z, Amiri IS. The impact of the Marangoni convection and magnetic field versus blood-based carbon nanotube nanofluids. Proc Inst Mech Eng, Part N: J Nanomater, Nanoeng Nanosyst. 2020;234:1–2.10.1177/2397791419872892Search in Google Scholar

[26] Kamis NI, Basir MFM, Shafie S, Khairuddin TKA, Jiann LY. Suction effect on an unsteady Casson hybrid nanofluid film past a stretching sheet with heat transfer analysis. IOP Conf Ser: Mater Sci Eng. 2021;1078(1):012019.10.1088/1757-899X/1078/1/012019Search in Google Scholar

[27] Hobiny A, Abbas I. Thermal response of cylindrical tissue induced by laser irradiation with experimental study. Int J Numer Methods Heat Fluid Flow. 2020;30(8):4013–23.10.1108/HFF-10-2019-0777Search in Google Scholar

[28] Marin M, Hobiny A, Abbas I. Finite element analysis of nonlinear bioheat model in skin tissue due to external thermal sources. Mathematics. 2021;9(13):1459.10.3390/math9131459Search in Google Scholar

[29] Eid MR, Mabood F, Mahny KL. On 3D Prandtl nanofluid flow with higher-order chemical reaction. Proc Inst Mech Eng, Part C: J Mech Eng Sci. 2021;235(19):3962–74.10.1177/0954406220975429Search in Google Scholar

[30] Dhlamini M, Kameswaran PK, Sibanda P, Motsa S, Mondal H. Activation energy and binary chemical reaction effects in mixed convective nanofluid flow with convective boundary conditions. J Comput Des Eng. 2019;6(2):149–58.10.1016/j.jcde.2018.07.002Search in Google Scholar

[31] Saeed T, Abbas I. Finite element analyses of nonlinear DPL bioheat model in spherical tissues using experimental data. Mech Based Des Struct Mach. 2022;50(4):1287–97.10.1080/15397734.2020.1749068Search in Google Scholar

[32] Khan A, Hassan B, Ashraf EE, Shah SYA. Thermally dissipative micropolar hybrid nanofluid flow over a spinning needle influenced by Hall current and gyrotactic microorganisms. Heat Transf. 2022;51(1):1170–92.10.1002/htj.22347Search in Google Scholar

[33] Jawad M, Khan A, Shah SAA. Examination of couple stress hybrid nanoparticles (CuO-Cu/Blood) as a targeted drug carrier with magnetic effects through porous sheet. Braz J Phys. 2021;51(4):1096–107.10.1007/s13538-021-00930-7Search in Google Scholar

[34] Liao SJ. Explicit totally analytic approximate solution for blasius viscous flow problems. Int J Non-Linear Mech. 1999;34:759–78.10.1016/S0020-7462(98)00056-0Search in Google Scholar

[35] Liao SJ. An optimal homotopyanalysis approach for strongly nonlinear differential equations. Commun Nonlinear Sci Numer Simul. 2010;15:2003–16.10.1016/j.cnsns.2009.09.002Search in Google Scholar

[36] Li J, Liu L, Zheng L, Bin-Mohsin B. Unsteady MHD flow and radiation heat transfer of nanofluid in a finite thin film with heat generation and thermophoresis. J Taiwan Inst Chem Eng. 2016;67:226–34.10.1016/j.jtice.2016.07.022Search in Google Scholar

[37] Ali R, Shahzad A, us Saher K, Elahi Z, Abbas T. The thin film flow of Al2O3 nanofluid particle over an unsteady stretching surface. Case Stud Therm Eng. 2022;29:101695.10.1016/j.csite.2021.101695Search in Google Scholar

Received: 2025-01-18
Revised: 2025-04-05
Accepted: 2025-06-09
Published Online: 2025-07-22

© 2025 the author(s), published by De Gruyter

This work is licensed under the Creative Commons Attribution 4.0 International License.

Articles in the same Issue

  1. Research Articles
  2. Single-step fabrication of Ag2S/poly-2-mercaptoaniline nanoribbon photocathodes for green hydrogen generation from artificial and natural red-sea water
  3. Abundant new interaction solutions and nonlinear dynamics for the (3+1)-dimensional Hirota–Satsuma–Ito-like equation
  4. A novel gold and SiO2 material based planar 5-element high HPBW end-fire antenna array for 300 GHz applications
  5. Explicit exact solutions and bifurcation analysis for the mZK equation with truncated M-fractional derivatives utilizing two reliable methods
  6. Optical and laser damage resistance: Role of periodic cylindrical surfaces
  7. Numerical study of flow and heat transfer in the air-side metal foam partially filled channels of panel-type radiator under forced convection
  8. Water-based hybrid nanofluid flow containing CNT nanoparticles over an extending surface with velocity slips, thermal convective, and zero-mass flux conditions
  9. Dynamical wave structures for some diffusion--reaction equations with quadratic and quartic nonlinearities
  10. Solving an isotropic grey matter tumour model via a heat transfer equation
  11. Study on the penetration protection of a fiber-reinforced composite structure with CNTs/GFP clip STF/3DKevlar
  12. Influence of Hall current and acoustic pressure on nanostructured DPL thermoelastic plates under ramp heating in a double-temperature model
  13. Applications of the Belousov–Zhabotinsky reaction–diffusion system: Analytical and numerical approaches
  14. AC electroosmotic flow of Maxwell fluid in a pH-regulated parallel-plate silica nanochannel
  15. Interpreting optical effects with relativistic transformations adopting one-way synchronization to conserve simultaneity and space–time continuity
  16. Modeling and analysis of quantum communication channel in airborne platforms with boundary layer effects
  17. Theoretical and numerical investigation of a memristor system with a piecewise memductance under fractal–fractional derivatives
  18. Tuning the structure and electro-optical properties of α-Cr2O3 films by heat treatment/La doping for optoelectronic applications
  19. High-speed multi-spectral explosion temperature measurement using golden-section accelerated Pearson correlation algorithm
  20. Dynamic behavior and modulation instability of the generalized coupled fractional nonlinear Helmholtz equation with cubic–quintic term
  21. Study on the duration of laser-induced air plasma flash near thin film surface
  22. Exploring the dynamics of fractional-order nonlinear dispersive wave system through homotopy technique
  23. The mechanism of carbon monoxide fluorescence inside a femtosecond laser-induced plasma
  24. Numerical solution of a nonconstant coefficient advection diffusion equation in an irregular domain and analyses of numerical dispersion and dissipation
  25. Numerical examination of the chemically reactive MHD flow of hybrid nanofluids over a two-dimensional stretching surface with the Cattaneo–Christov model and slip conditions
  26. Impacts of sinusoidal heat flux and embraced heated rectangular cavity on natural convection within a square enclosure partially filled with porous medium and Casson-hybrid nanofluid
  27. Stability analysis of unsteady ternary nanofluid flow past a stretching/shrinking wedge
  28. Solitonic wave solutions of a Hamiltonian nonlinear atom chain model through the Hirota bilinear transformation method
  29. Bilinear form and soltion solutions for (3+1)-dimensional negative-order KdV-CBS equation
  30. Solitary chirp pulses and soliton control for variable coefficients cubic–quintic nonlinear Schrödinger equation in nonuniform management system
  31. Influence of decaying heat source and temperature-dependent thermal conductivity on photo-hydro-elasto semiconductor media
  32. Dissipative disorder optimization in the radiative thin film flow of partially ionized non-Newtonian hybrid nanofluid with second-order slip condition
  33. Bifurcation, chaotic behavior, and traveling wave solutions for the fractional (4+1)-dimensional Davey–Stewartson–Kadomtsev–Petviashvili model
  34. New investigation on soliton solutions of two nonlinear PDEs in mathematical physics with a dynamical property: Bifurcation analysis
  35. Mathematical analysis of nanoparticle type and volume fraction on heat transfer efficiency of nanofluids
  36. Creation of single-wing Lorenz-like attractors via a ten-ninths-degree term
  37. Optical soliton solutions, bifurcation analysis, chaotic behaviors of nonlinear Schrödinger equation and modulation instability in optical fiber
  38. Chaotic dynamics and some solutions for the (n + 1)-dimensional modified Zakharov–Kuznetsov equation in plasma physics
  39. Fractal formation and chaotic soliton phenomena in nonlinear conformable Heisenberg ferromagnetic spin chain equation
  40. Single-step fabrication of Mn(iv) oxide-Mn(ii) sulfide/poly-2-mercaptoaniline porous network nanocomposite for pseudo-supercapacitors and charge storage
  41. Novel constructed dynamical analytical solutions and conserved quantities of the new (2+1)-dimensional KdV model describing acoustic wave propagation
  42. Tavis–Cummings model in the presence of a deformed field and time-dependent coupling
  43. Spinning dynamics of stress-dependent viscosity of generalized Cross-nonlinear materials affected by gravitationally swirling disk
  44. Design and prediction of high optical density photovoltaic polymers using machine learning-DFT studies
  45. Robust control and preservation of quantum steering, nonlocality, and coherence in open atomic systems
  46. Coating thickness and process efficiency of reverse roll coating using a magnetized hybrid nanomaterial flow
  47. Dynamic analysis, circuit realization, and its synchronization of a new chaotic hyperjerk system
  48. Decoherence of steerability and coherence dynamics induced by nonlinear qubit–cavity interactions
  49. Finite element analysis of turbulent thermal enhancement in grooved channels with flat- and plus-shaped fins
  50. Modulational instability and associated ion-acoustic modulated envelope solitons in a quantum plasma having ion beams
  51. Statistical inference of constant-stress partially accelerated life tests under type II generalized hybrid censored data from Burr III distribution
  52. On solutions of the Dirac equation for 1D hydrogenic atoms or ions
  53. Entropy optimization for chemically reactive magnetized unsteady thin film hybrid nanofluid flow on inclined surface subject to nonlinear mixed convection and variable temperature
  54. Stability analysis, circuit simulation, and color image encryption of a novel four-dimensional hyperchaotic model with hidden and self-excited attractors
  55. A high-accuracy exponential time integration scheme for the Darcy–Forchheimer Williamson fluid flow with temperature-dependent conductivity
  56. Novel analysis of fractional regularized long-wave equation in plasma dynamics
  57. Development of a photoelectrode based on a bismuth(iii) oxyiodide/intercalated iodide-poly(1H-pyrrole) rough spherical nanocomposite for green hydrogen generation
  58. Investigation of solar radiation effects on the energy performance of the (Al2O3–CuO–Cu)/H2O ternary nanofluidic system through a convectively heated cylinder
  59. Quantum resources for a system of two atoms interacting with a deformed field in the presence of intensity-dependent coupling
  60. Studying bifurcations and chaotic dynamics in the generalized hyperelastic-rod wave equation through Hamiltonian mechanics
  61. A new numerical technique for the solution of time-fractional nonlinear Klein–Gordon equation involving Atangana–Baleanu derivative using cubic B-spline functions
  62. Interaction solutions of high-order breathers and lumps for a (3+1)-dimensional conformable fractional potential-YTSF-like model
  63. Hydraulic fracturing radioactive source tracing technology based on hydraulic fracturing tracing mechanics model
  64. Numerical solution and stability analysis of non-Newtonian hybrid nanofluid flow subject to exponential heat source/sink over a Riga sheet
  65. Numerical investigation of mixed convection and viscous dissipation in couple stress nanofluid flow: A merged Adomian decomposition method and Mohand transform
  66. Effectual quintic B-spline functions for solving the time fractional coupled Boussinesq–Burgers equation arising in shallow water waves
  67. Analysis of MHD hybrid nanofluid flow over cone and wedge with exponential and thermal heat source and activation energy
  68. Solitons and travelling waves structure for M-fractional Kairat-II equation using three explicit methods
  69. Impact of nanoparticle shapes on the heat transfer properties of Cu and CuO nanofluids flowing over a stretching surface with slip effects: A computational study
  70. Computational simulation of heat transfer and nanofluid flow for two-sided lid-driven square cavity under the influence of magnetic field
  71. Irreversibility analysis of a bioconvective two-phase nanofluid in a Maxwell (non-Newtonian) flow induced by a rotating disk with thermal radiation
  72. Hydrodynamic and sensitivity analysis of a polymeric calendering process for non-Newtonian fluids with temperature-dependent viscosity
  73. Exploring the peakon solitons molecules and solitary wave structure to the nonlinear damped Kortewege–de Vries equation through efficient technique
  74. Modeling and heat transfer analysis of magnetized hybrid micropolar blood-based nanofluid flow in Darcy–Forchheimer porous stenosis narrow arteries
  75. Activation energy and cross-diffusion effects on 3D rotating nanofluid flow in a Darcy–Forchheimer porous medium with radiation and convective heating
  76. Insights into chemical reactions occurring in generalized nanomaterials due to spinning surface with melting constraints
  77. Influence of a magnetic field on double-porosity photo-thermoelastic materials under Lord–Shulman theory
  78. Soliton-like solutions for a nonlinear doubly dispersive equation in an elastic Murnaghan's rod via Hirota's bilinear method
  79. Analytical and numerical investigation of exact wave patterns and chaotic dynamics in the extended improved Boussinesq equation
  80. Nonclassical correlation dynamics of Heisenberg XYZ states with (x, y)-spin--orbit interaction, x-magnetic field, and intrinsic decoherence effects
  81. Exact traveling wave and soliton solutions for chemotaxis model and (3+1)-dimensional Boiti–Leon–Manna–Pempinelli equation
  82. Unveiling the transformative role of samarium in ZnO: Exploring structural and optical modifications for advanced functional applications
  83. On the derivation of solitary wave solutions for the time-fractional Rosenau equation through two analytical techniques
  84. Analyzing the role of length and radius of MWCNTs in a nanofluid flow influenced by variable thermal conductivity and viscosity considering Marangoni convection
  85. Advanced mathematical analysis of heat and mass transfer in oscillatory micropolar bio-nanofluid flows via peristaltic waves and electroosmotic effects
  86. Exact bound state solutions of the radial Schrödinger equation for the Coulomb potential by conformable Nikiforov–Uvarov approach
  87. Some anisotropic and perfect fluid plane symmetric solutions of Einstein's field equations using killing symmetries
  88. Nonlinear dynamics of the dissipative ion-acoustic solitary waves in anisotropic rotating magnetoplasmas
  89. Curves in multiplicative equiaffine plane
  90. Exact solution of the three-dimensional (3D) Z2 lattice gauge theory
  91. Propagation properties of Airyprime pulses in relaxing nonlinear media
  92. Symbolic computation: Analytical solutions and dynamics of a shallow water wave equation in coastal engineering
  93. Wave propagation in nonlocal piezo-photo-hygrothermoelastic semiconductors subjected to heat and moisture flux
  94. Comparative reaction dynamics in rotating nanofluid systems: Quartic and cubic kinetics under MHD influence
  95. Laplace transform technique and probabilistic analysis-based hypothesis testing in medical and engineering applications
  96. Physical properties of ternary chloro-perovskites KTCl3 (T = Ge, Al) for optoelectronic applications
  97. Gravitational length stretching: Curvature-induced modulation of quantum probability densities
  98. The search for the cosmological cold dark matter axion – A new refined narrow mass window and detection scheme
  99. A comparative study of quantum resources in bipartite Lipkin–Meshkov–Glick model under DM interaction and Zeeman splitting
  100. PbO-doped K2O–BaO–Al2O3–B2O3–TeO2-glasses: Mechanical and shielding efficacy
  101. Nanospherical arsenic(iii) oxoiodide/iodide-intercalated poly(N-methylpyrrole) composite synthesis for broad-spectrum optical detection
  102. Sine power Burr X distribution with estimation and applications in physics and other fields
  103. Numerical modeling of enhanced reactive oxygen plasma in pulsed laser deposition of metal oxide thin films
  104. Dynamical analyses and dispersive soliton solutions to the nonlinear fractional model in stratified fluids
  105. Computation of exact analytical soliton solutions and their dynamics in advanced optical system
  106. An innovative approximation concerning the diffusion and electrical conductivity tensor at critical altitudes within the F-region of ionospheric plasma at low latitudes
  107. An analytical investigation to the (3+1)-dimensional Yu–Toda–Sassa–Fukuyama equation with dynamical analysis: Bifurcation
  108. Swirling-annular-flow-induced instability of a micro shell considering Knudsen number and viscosity effects
  109. Numerical analysis of non-similar convection flows of a two-phase nanofluid past a semi-infinite vertical plate with thermal radiation
  110. MgO NPs reinforced PCL/PVC nanocomposite films with enhanced UV shielding and thermal stability for packaging applications
  111. Optimal conditions for indoor air purification using non-thermal Corona discharge electrostatic precipitator
  112. Investigation of thermal conductivity and Raman spectra for HfAlB, TaAlB, and WAlB based on first-principles calculations
  113. Tunable double plasmon-induced transparency based on monolayer patterned graphene metamaterial
  114. DSC: depth data quality optimization framework for RGBD camouflaged object detection
  115. A new family of Poisson-exponential distributions with applications to cancer data and glass fiber reliability
  116. Numerical investigation of couple stress under slip conditions via modified Adomian decomposition method
  117. Monitoring plateau lake area changes in Yunnan province, southwestern China using medium-resolution remote sensing imagery: applicability of water indices and environmental dependencies
  118. Heterodyne interferometric fiber-optic gyroscope
  119. Exact solutions of Einstein’s field equations via homothetic symmetries of non-static plane symmetric spacetime
  120. A widespread study of discrete entropic model and its distribution along with fluctuations of energy
  121. Empirical model integration for accurate charge carrier mobility simulation in silicon MOSFETs
  122. The influence of scattering correction effect based on optical path distribution on CO2 retrieval
  123. Anisotropic dissociation and spectral response of 1-Bromo-4-chlorobenzene under static directional electric fields
  124. Role of tungsten oxide (WO3) on thermal and optical properties of smart polymer composites
  125. Analysis of iterative deblurring: no explicit noise
  126. Review Article
  127. Examination of the gamma radiation shielding properties of different clay and sand materials in the Adrar region
  128. Erratum
  129. Erratum to “On Soliton structures in optical fiber communications with Kundu–Mukherjee–Naskar model (Open Physics 2021;19:679–682)”
  130. Special Issue on Fundamental Physics from Atoms to Cosmos - Part II
  131. Possible explanation for the neutron lifetime puzzle
  132. Special Issue on Nanomaterial utilization and structural optimization - Part III
  133. Numerical investigation on fluid-thermal-electric performance of a thermoelectric-integrated helically coiled tube heat exchanger for coal mine air cooling
  134. Special Issue on Nonlinear Dynamics and Chaos in Physical Systems
  135. Analysis of the fractional relativistic isothermal gas sphere with application to neutron stars
  136. Abundant wave symmetries in the (3+1)-dimensional Chafee–Infante equation through the Hirota bilinear transformation technique
  137. Successive midpoint method for fractional differential equations with nonlocal kernels: Error analysis, stability, and applications
  138. Novel exact solitons to the fractional modified mixed-Korteweg--de Vries model with a stability analysis
Downloaded on 31.12.2025 from https://www.degruyterbrill.com/document/doi/10.1515/phys-2025-0175/html
Scroll to top button