Abstract
Towards the end of the 20th century, statisticians were keen to create new distribution families that would meet the rapid advancements in modeling and application domains while also getting around constraints on certain distributions. In this study, a new family is proposed for adding one parameter to a continuous distribution by using countable mixture of PE distribution. Some attributes such as the probability density function extreme stability, and the hazard rate function of the new family are provided. As a member of the purpose family, a Weibull distribution illustration is presented. Poisson exponential Weibull (PE-W) characteristics such as compound, moments, skewness, kurtosis, and others are derived. Using both complete and censored data sets as well as simulated experiments, the maximum likelihood estimation of PE-W parameters was examined. Further, to illustrate the value of the PE-W distribution compared to other commonly used distributions, an analysis is carried out on actual and censored data sets that represent the breaking stress of carbon fibers and liver (lung) cancer.
1 Introduction
One of the significant research issues that is still very much alive in statistics is the topic of creating and expanding families of probability continuous distributions. A number of factors contribute to this, including the need for new probabilistic distributions to better describe each phenomenon as the amount of data available for analysis grows at an accelerating rate and the ease with which the computational and analytical tools found in programming software like R, Maple, and Mathematica can handle the challenges associated with computing special functions in these extended distributions. For example, Marshall and Olkin [1], AL-Hussaini and Gharib [2], AL-Hussaini and Ghitany [3], Alzaatreh et al. [4], Guitany et al. [5], Cordeiro and de Castro [6], Bourguignon et al. [7], Brito et al. [8], Gharib et al. [9], and Chipepa et al. [10]. These new models offer increased usefulness and flexibility. These categories of applications include financial and insurance applications, as well as applications in hydrology, engineering, economics, and medicine see Alsadat et al. [11], Dina et al. [12], Ahmed et al. [13] and Aljohani [14].
The Poisson distribution is frequently used to model count data sets. Nevertheless, overdispersed data sets cannot be handled by the Poisson distribution. When the variation is greater than the mean, overdispersion is present. In order to provide alternate models for highly distributed count data, some researchers have created mixed Poisson distributions. In order to provide alternative models for over dispersed count data, numerous researchers have created mixed-Poisson distributions, such as Mahmoudi and Zakerzadeh [15], Bereta et al. [16], Bhati et al. [17], Miao et al. [18], Altun [19], 20]. Fazal and Bashir [21] obtained The Poisson exponential (PE) distribution which is a perfect modification of the Poisson distribution and the Lindley distribution, and it is utilized to model biological and traffic data sets.
In this paper, we have provided the new family of countable mixes with the PE distribution. This family possesses a stability property, meaning that if the procedure is used twice, no new results are obtained. In addition, one member of this family provides an illustration of the Weibull survival function. Researchers such as Estela et al. [22], Ana Percontini et al. [23], Cordeiro and Lemonte [24], Muhammad Bilal et al. [25], Kumaraswamy and Bhatra Charyulu [26], and Adam Braima et al. [27] have extended the Weibull distribution because of its significance in modeling and applied fields.
This paper discusses a new family based on the PE with generalized failure rate function. Section 3 presents the new distribution Poisson exponential Weibull (PE-W) model and its properties. Section 4 outlines an PE-W (γ, θ, λ) characteristics as, compounding, moment generating function (MGF), mean residual life (MRL) and mean inactivity time (MIT). Section 5 contains the estimating PE-W parameters. Section 6 evaluates the performance of maximum likelihood using Monte Carlo simulations. In Section 7 the methodology is illustrated in a real data set. There are a few closing remarks given in Section 8.
2 The PE family
In this section, we propose a new family of PE distribution. We derive survival function (SF), density and hazard rate functions of the new family.
Suppose that
then,
where,
The use of mixtures to obtain flexible families of densities has a long history, especially in the univariate case. The advantages of the mixture’s mechanism are diverse. The new classes of distributions obtained by mixing are more flexible than the original, over dispersed with tails larger than the original distribution and often providing better fits see Fisher [28] Teicher [29].
If we consider π j is to be the PE distribution with parameter ( θ ), where
To model counting data, the PE distribution combines Poisson and exponential distributions. Then the compound (mixture) distribution
using the fact,
where,
And probability density function (PDF):
The corresponding hazard rate function (HRF), which is the expected failure rate of an item at a given age, used in survival analysis to assess the likelihood of survival over time and given by:
Clearly,
Theorem 1:
The parametric family of
Proof
Let X i , i = 1, 2, …, n to be independent identically distributed (i.i.d), N is independent of the X i ’s with PE distribution and if:
then
Hence U N is PE minimum stable, and
so that,
Hence V
N
is PE maximum stable, therefore, the family of PE distributions with
An illustrative example of this class is provided where
3 PE-W model
A RV X is given the Weibull distribution, represented as X ∼ W(λ, γ), if its SF and PDF are as follows:
and
where, λ is the scale parameter and γ is the shape parameter.
The corresponding HRF takes the following form:
Clearly, that the h(x) has three different forms: constant when γ = 1 and decreasing (increases) when γ < 1 (γ > 1).
The PE-W distribution’s SF and PDF have the following forms:
where, θ , λ are scale parameters and γ the shape parameter, and
Clearly,
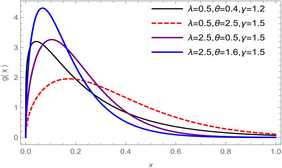
A selection of parameter values for the PE-W distribution’s PDF plots are shown in Figures 1 and 2.

Decreasing PE-W PDF for values γ, λ and θ.

Unimodal PE-W PDF for values γ, λ and θ.
Figures 1 and 2: show that the g(x) given by Eq. (7) for the selected values of γ, λ and θ. In Figure 1, γ < 1 showing that g(x) is decreasing. In Figure 2, γ > 1 showing that g(x) is increasing-decreasing.
The corresponding HRF of PE-W distribution is:
Clearly,
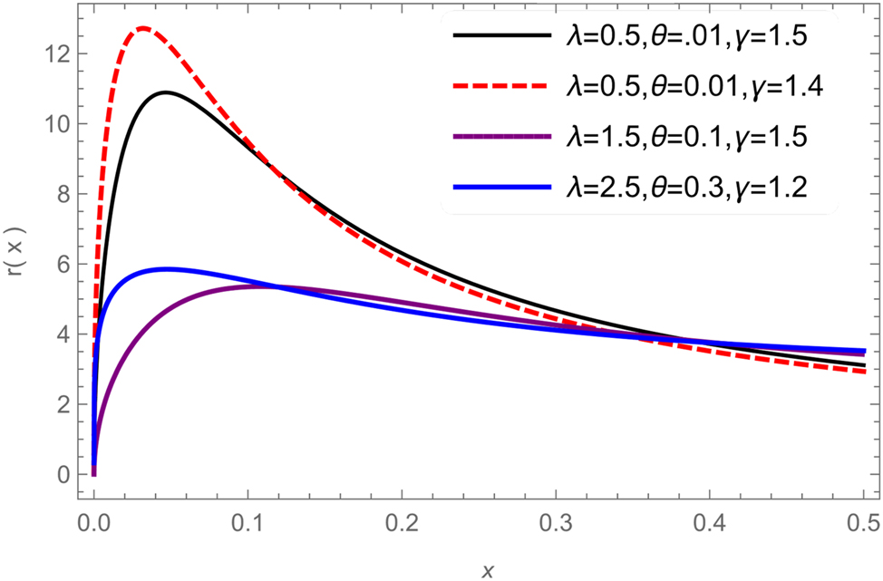
The HRF plots of the PE-W distribution with a range of parameters values are displayed in Figures 3 and 4.

Decreasing PE-W HRF for values γ, λ and θ.

Unimodal PE-W HRF for values γ, λ and θ.
Figures 3 and 4: show that the r(x) given by Eq. (8) for the selected values of γ, λ and θ. In Figure 3, γ < 1 showing that r(x) is decreasing. In Figure 4, γ > 1 showing that r(x) is increasing-decreasing.
4 PE-W (γ, θ, λ) characteristics
4.1 Compounding
Let
is called a compound distribution with mixing density
Theorem 2:
Let,
Proof
This is the SF of the PE-W (λ, γ, θ) distribution.
4.2 The rth moment and quantiles of PE-W model
For the PE-W (γ, θ, λ) distribution, the rth moment
Let, y = λx γ then
where
The PE-W model’s qth quantile is:
Specifically, the PE-W model’s median is:
As a result, we can use metrics based on certain quartiles to examine the structure of the PE-W model.
To demonstrate how the scale parameter θ and shape parameters γ and λ affect the new distribution’s skewness and kurtosis, we look at quantile-based metrics. The traditional kurtosis measure’s drawbacks are widely recognized. This measure becomes uninformative just when it should be because it is infinite for many heavy-tailed distributions. The lack of traditional kurtosis for a large number of generalized distributions was, in fact, the driving force behind our decision to employ quantile-based metrics. According to Kenney & Keeping [30] and Moors kurtosis [31] the Skewness (Sk) and kurtosis (Ku) are:
5 illustrates how the Sk and Ku depend on the parameters by displaying the Bowley skewness and Moors kurtosis for several values of the parameters.

Displays the PE-W distribution’s Sk as a function of a (θ) for specific values of λ and θ (for certain values of γ, λ).

Displays the Ku of the PE-W distribution as a function of a (θ) for specific values of λ and θ (for certain values of γ, λ).
Figure 5: Shows how the scale θ and the shape factors γ and λ affect the skewness and kurtosis of the PE-W distribution. In figure (5.a), Skewness decreases with increasing θ, suggesting that higher θ lead to more symmetric distributions. In figure (5.b), kurtosis decreases with increasing γ in all configurations, indicating that the distributions become less heavy-tailed as the coupling strength increases.
4.3 MGF and MRL of PE-W (γ, θ, λ) distribution
The MGF for the PE-W (γ, θ, λ) distribution is:
using the fact,
using the facts,
Let, y = λx γ then,
For the random variable X > 0, the MRL is defined by:
Let, y = λx γ then
4.4 MIT of PE-W (γ, θ, λ) distribution
The MIT function, additionally known as the mean previous lifetime and the average wait time functions, is a popular reliability metric that finds usage in reliability theory, actuarial research, and survival analysis. Let X be a random variable that changes over time and has a distribution function of G. For t > 0, the role of X at MIT is:
Let, y = λx γ then
5 Estimating PE-W parameters
The estimate of the unknown parameters of the PE-W model is investigated using the maximum likelihood method. The maximum likelihood estimators (MLEs) provide straightforward approximations with the desired features that are useful for building confidence intervals in finite samples. Analyzing or numerical methods can be used to address the MLEs’ normal approximation.
Consider a data set of size n consisting of m uncensored observations d
1, …, d
m
and n − m censored observations e
1, …, e
n−m
. For simplifying the notations, we shall denote all the observations by t
1, …, t
n with censoring indicators δ
i
= 1 for t
i
= d
i
and 0 for t
i
= e
i
. We have
then the log-likelihood function is
We take the first derivative of
For unknown parameters, the ML estimator generated above cannot be solved exactly. Therefore, using non-linear optimization algorithms, such the Newton-Raphson algorithm, to numerically optimize the aforementioned likelihood function is more practical.
We employ the Bayesian information criterion (BIC; Schwarz, [32])
5.1 Confidence interval
The parameter MLEs have no closed form solutions. Consequently, the MLE lacks an identifiable distribution. The confidence intervals (CIs) for the three parameters can be determined via the normal approximation for the large-sample for the MLE. An estimate of the variance–covariance matrix of the MLE of the model parameters is needed to compute these ranges. Estimates can be seen in the observed Fisher’s information matrix
where,
On request, the authors can provide the components of the aforementioned matrix. If the regularity conditions for the parameters are satisfied, the asymptotic joint distribution of (̂
We conduct simulation research to produce complete random samples from the model in order to achieve the visualization of the nicety of the MLEs of λ, γ, and θ.
6 Simulation research
The effectiveness of the MLEs for PE-W characteristics is investigated using a simulated exercise. To evaluate their performance, the MLEs are used to calculate their average and mean squared errors (MSEs). One can generate 10,000 samples of the PE-W distribution using the Mathematica program with different sample sizes (n = 50, 100, 200, 300) and Ω=(γ, θ, λ)=(0.076, 0.479, 1.102) and (0.0765, 0.496, 0.1027). The MSE and mean estimation values are shown in Table 1. In this table, as the sample size increases, the MSE decreases. Estimating the PE-W distribution’s model parameters is a flawless use of the MLE technique.
The PE-W (γ, θ, λ) parameter (Par), initial (Ini), MLE, bias, and MSE values.
| n | Par. | Ini. | MLE | Bias | MSE | Ini. | MLE | Bias | MSE |
|---|---|---|---|---|---|---|---|---|---|
| 50 | γ | 0.5 | 0.2395 | −0.2605 | 0.0682 | 0.5 | 0.2671 | −0.2328 | 0.0546 |
| θ | 1.5 | 1.4988 | −0.0012 | 0.0019 | 0.5 | 0.4976 | −0.0024 | 0.0006 | |
| λ | 1.5 | 1.5457 | 0.0457 | 0.0296 | 0.5 | 0.5102 | 0.0102 | 0.0022 | |
| 100 | γ | 0.5 | 0.2432 | −0.2568 | 0.0662 | 0.5 | 0.2661 | −0.2339 | 0.0549 |
| θ | 1.5 | 1.5003 | 0.0003 | 0.0010 | 0.5 | 0.4986 | −0.0014 | 0.0003 | |
| λ | 1.5 | 1.5223 | 0.0223 | 0.0162 | 0.5 | 0.5059 | 0.0059 | 0.0015 | |
| 200 | γ | 0.5 | 0.2391 | −0.2609 | 0.0682 | 0.5 | 0.2678 | −0.2322 | 0.0540 |
| θ | 1.5 | 1.4957 | −0.0043 | 0.0006 | 0.5 | 0.5015 | 0.0015 | 0.0002 | |
| λ | 1.5 | 1.5271 | 0.0271 | 0.0078 | 0.5 | 0.5015 | 0.0015 | 0.0007 | |
| 300 | γ | 0.5 | 0.2427 | −0.2573 | 0.0663 | 0.5 | 0.2644 | −0.2356 | 0.0556 |
| θ | 1.5 | 1.4999 | −0.0001 | 0.0003 | 0.5 | 0.4990 | −0.0009 | 0.0001 | |
| λ | 1.5 | 1.4935 | −0.0065 | 0.0041 | 0.5 | 0.5057 | 0.0057 | 0.0006 | |
| n | Par. | Ini. | MLE | Bias | MSE | Ini. | MLE | Bias | MSE |
| 50 | γ | 1.7 | 0.3151 | −1.3849 | 1.9189 | 1.3 | 0.3862 | −0.9138 | 0.8351 |
| θ | 1.5 | 1.4877 | −0.0123 | 0.0026 | 0.5 | 0.4956 | −0.0044 | 0.0006 | |
| λ | 0.5 | 0.5256 | 0.0256 | 0.0064 | 1.5 | 1.5233 | 0.0233 | 0.0290 | |
| 100 | γ | 1.7 | 0.3075 | −1.3924 | 1.9390 | 1.3 | 0.3851 | −0.9149 | 0.8371 |
| θ | 1.5 | 1.5029 | 0.0029 | 0.0011 | 0.5 | 0.5010 | 0.0010 | 0.0005 | |
| λ | 0.5 | 0.5026 | 0.0026 | 0.0015 | 1.5 | 1.5057 | 0.0057 | 0.0154 | |
| 200 | γ | 1.7 | 0.3068 | −1.3932 | 1.9412 | 1.3 | 0.3859 | −0.9140 | 0.8354 |
| θ | 1.5 | 1.5024 | 0.0024 | 0.0006 | 0.5 | 0.5012 | 0.0012 | 0.0002 | |
| λ | 0.5 | 0.5007 | 0.0007 | 0.0009 | 1.5 | 1.5036 | 0.0036 | 0.0070 | |
| 300 | γ | 1.7 | 0.3038 | −1.3962 | 1.9496 | 1.3 | 0.3858 | −0.9142 | 0.8358 |
| θ | 1.5 | 1.5058 | 0.0058 | 0.0004 | 0.5 | 0.4996 | −0.0004 | 0.0001 | |
| λ | 0.5 | 0.4939 | −0.0060 | 0.0008 | 1.5 | 1.5038 | 0.0038 | 0.0042 |
7 Applications
7.1 Censored data
Example 1: Liver cancer
Attia et al. [35] collected data from Egypt’s El Minia Cancer Center that represented 51 individuals with liver cancer (measured in days) (see Figure 6 and Table 2).
39 uncensored observations at 10, 14, 14, 14, 14, 14, 15, 17, 18, 20, 20, 20, 20, 20, 23, 23, 24, 26, 30, 30, 31, 40, 49, 51, 52, 60, 61, 67, 71, 74, 75, 87, 96, 105, 107, 107, 107, 116, 150.
12 censored observations at 30, 30, 30, 30, 30, 60, 150, 150, 150, 150, 150, 185.

Plots for liver cancer data.

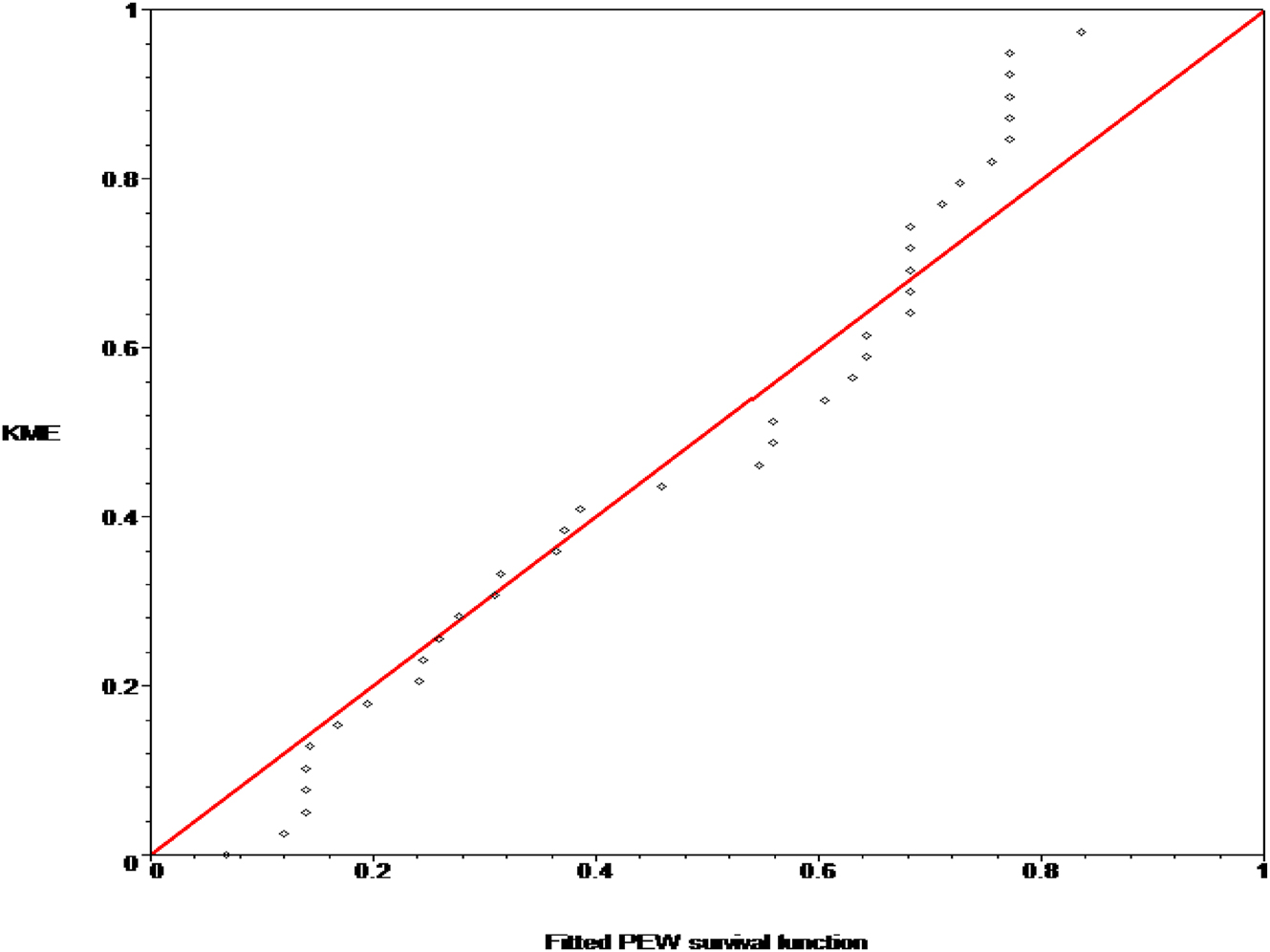
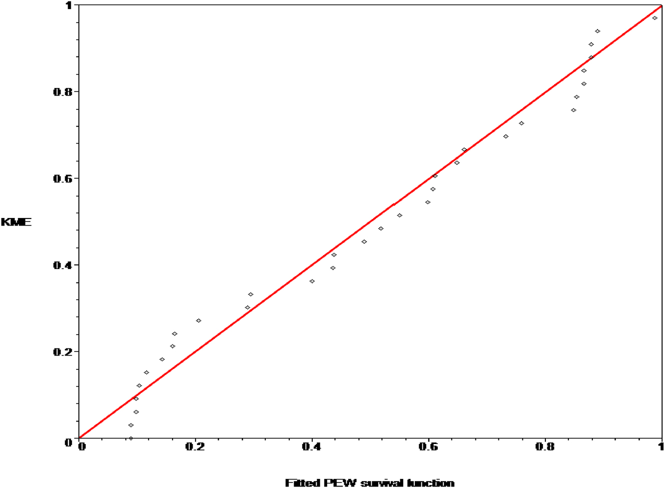
KME versus the fitted PE-W survival function in a p-p point plot.

KME versus the fitted MOEW and Weibull survival functions in a p-p plot.
An analysis examining the censored data’s MLEs, ln, model selection for PE-W, Marshal-Olkin extend Weibull (MOEW) and Weibull models.
| Estimates | Statistics | ||||||
|---|---|---|---|---|---|---|---|
| Models | γ | θ | λ | ln | AIC | BIC | CAIC |
| PE-W | 1.1021 | 1.2663 | 0.00557 | −208.211 | −214.211 | −214.109 | −214.722 |
| MOEW | 0.6033 | 9.8791 | 0.0759 | −210.469 | −216.469 | −216.367 | −216.980 |
| Weibull | 0.0805 | 71.605 | −311.172 | −315.172 | −315.104 | −315.422 | |
For the Liver Cancer data, we observe that the PE-W model’s AIC, BIC, and CAIC are greater than those of the comparable MOEW and Weibull distributions, indicating that the PE-W model fits the data more closely. Furthermore, the parameters γ, θ and λ have the approximate 95 % two-sided confidence intervals [1.070, 1.134], [0.7031, 1.828] and [0.001, 0.185], respectively.
The likelihood ratio test (LRT) is used to assess the null hypothesis H
0 (the data follow the Weibull distribution). A = −2[
Consequently, the null hypothesis cannot be accepted; that is, the LRT rejects the notion that the Weibull model is appropriate.
Assume that δ 1, δ 2, …, δ n are the censoring indicators and t 1, t 2, …, t n are the ordered survival periods. The product-limit estimator, sometimes referred to as the Kaplan-Meier estimator (KME) (Kaplan and Meier [36]), is:
The fitted PE-W survival function’s points are visually quite close to the 45o line, suggesting a very good fit when compared to the fitted MOEW and Weibull survival functions.
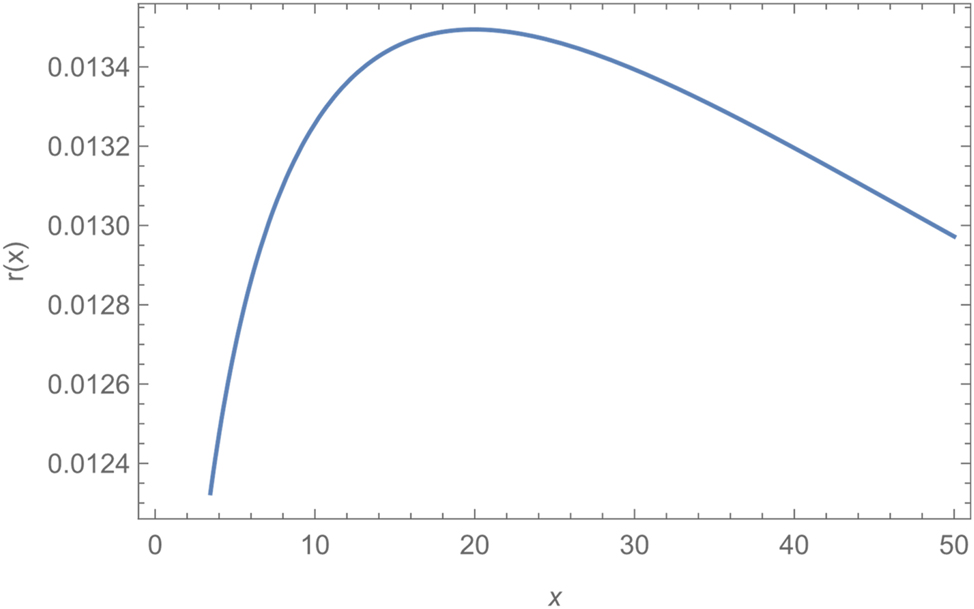
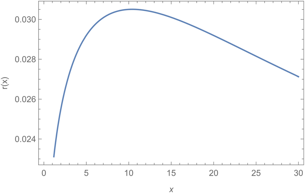
Figure 7 displays the calculated hazard rate function for PE-W distribution

Based on the liver cancer data, the estimated HRF of PE-W(α, β, θ) distribution.
Example 2: Lung cancer data
Lagakos & Williams [37] and Lee & Wolfe [38] collected the data, this reflects the 61 lung cancer patients receiving cyclophosphamide treatment (in weeks) (see Figure 8 and Table 3).
33 uncensored observations:
0.43, 2.86, 3.14, 3.14, 3.43, 3.43, 3.71, 3.86, 6.14, 6.86, 9.00, 9.43, 10.71, 10.86, 11.14, 13.00, 14.43, 15.71, 18.43, 18.57, 20.71, 29.14, 29.71, 40.57, 48.57, 49.43, 53.86, 61.86, 66.57, 68.71, 68.96, 72.86, 72.86
28 censored observations:
0.14, 0.14, 0.29, 0.43, 0.57, 0.57, 1.86, 3.00, 3.00, 3.29, 3.29, 6.00, 6.00, 6.14, 8.71, 10.57, 11.86, 15.57, 16.57, 17.29, 18.71, 21.29, 23.86, 26.00, 27.57, 32.14, 33.14, 47.29.

Plots for lung cancer data.

KME against the fitted PE-W survival function in a p-p plot.

KME against the fitted MOEW and Weibull survival functions in a p-p plot.
An analysis examining the censored data’s MLEs and Statistics for PE-W, MOEW and Weibull distributions.
| Estimates | Statistics | ||||||
|---|---|---|---|---|---|---|---|
| Models | γ | θ | λ | ln | AIC | BIC | CAIC |
| PE-W | 1.145 | 1.595 | 0.01177 | −147.91 | −153.91 | −154.08 | −154.33 |
| MOEW | 0.4762 | 20.2657 | 0.3807 | −149.34 | −155.343 | −155.59 | −155.764 |
| Weibull | 0.6573 | 0.0845 | −152.93 | −156.91 | −157.04 | −157.14 | |
For the Lung Cancer Data, comparing the AIC, BIC, and CAIC of the equivalent MOEW and Weibull distributions, we find that the PE-W model has higher values., indicating that the PE-W model fits the data more closely. Furthermore, the parameters γ, θ and λ have approximate 95 % two-sided confidence intervals [0.847, 1.443], [0.0109, 1.097] and [0.0009, 0.0225], respectively.
Further, using the likelihood ratio test (LRT) statistic, we assess the following hypotheses: H
0: the data are Weibull distributed; and H
1: the data are PE-W distributed. Under H
1 thus X
L1 = 2[−147.91 − (−149.34)] =
Assume that the ordered survival periods are t 1, t 2, …, t n and the related censoring indicators are δ 1, δ 2, …, δ n . The KME is:
The fitted PE-W survival function’s points are visually quite close to the 45o line, suggesting a very good fit when compared to the fitted MOEW and Weibull survival functions.
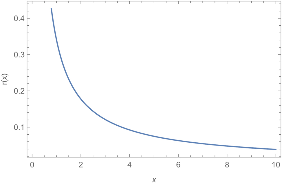
Figure 9 displays the calculated hazard rate function for the PE-W distributions.

The HRF estimate of PE-W(γ, θ, λ) distribution based on the lung cancer data.
7.2 Complete data
Example 3: Glass fibers data
We will study a complete data set by Smith and Naylor [39], It involves 63 observations that show the glass fibers’ strength (see Figure 10 and Table 4).

Plots for glass fibers data.
An analysis examining the censored data’s MLEs and statistics for PE-W, MOEW and Weibull distributions.
| Estimates | Statistics | ||||||
|---|---|---|---|---|---|---|---|
| Models | γ | θ | λ | ln | AIC | BIC | CAIC |
| PE-W | 0.0588 | 68.508 | 5.7942 | −15.239 | −21.239 | −21.453 | −21.646 |
| MOEW | 7.3402 | 0.0068 | 0.3326 | −22.815 | −28.815 | −29.029 | −29.221 |
| Weibull | 13.152 | 0.0006 | −73.547 | −77.546 | −77.690 | −77.747 | |
0.55, 0.74, 0.77, 0.81, 0.84, 0.93, 1.04, 1.11, 1.13, 1.24, 1.25, 1.27, 1.28, 1.29, 1.30, 1.36, 1.39, 1.42, 1.48, 1.48, 1.49, 1.49, 1.50, 1.50, 1. 51, 1.52, 1.53, 1.54, 1.55, 1.55, 1.58, 1.59, 1.60, 1.61, 1.61, 1.61, 1.61, 1.62, 1.62, 1.63, 1.64, 1.66, 1.66, 1.66, 1.67, 1.68, 1.68, 1.69, 1.70, 1.70, 1.73, 1.76, 1.76, 1.77, 1.78, 1.81, 1.82, 1.84 1.84, 1.89, 2.00, 2.01, 2.24
For the glass fibers data, the corresponding MOEW and Weibull distributions’ AIC, BIC, and CAIC are fewer than those of the PE-W model, which indicates that the PE-W model fits the data more closely. Furthermore, the parameters γ, θ and λ have the approximate 95 % two-sided confidence intervals [5.672, 5.917], [66.69, 70.33] and [0.0001, 0.2577], respectively.
Using the likelihood ratio test (LRT) statistic, we evaluated each hypothesis by comparing the data to the Weibull distribution (H 0) and the PE-W distribution (H 1).
With regard to the liver cancer data, using the likelihood ratio test (LRT) statistic, we evaluated each hypothesis by comparing the data to the Weibull distribution (H
0) and the PE-W distribution (H
1). Under H
1 thus X
L1 = 2
Figure 11 displays the calculated hazard rate function for the PE-W distribution.

The HRF estimate of PE-W(γ, θ, λ) distribution based on the glass fibers data.
8 Conclusions
In this paper, a new family is proposed for adding one parameter to a continuous distribution by using countable mixture of PE distribution. The added parameters provide additional flexibility for fitting diverse shapes of data. Some of the properties of the new family are derived. A detailed study is provided for the particular case when the extended distribution is the Weibull distribution. The derived properties include: PDF, its shape, HRF, moments, and MLE. We note that for PE-W distribution, the model selections BIC, AIC and CAIC are higher than the corresponding BIC, AIC and CAIC of the MOEW, and Weibull distributions. Also, the fitted PE-W survival function indicates strong linear relationship between the empirical and fitted survival functions compared with the fitted MOEW and Weibull survival functions. All these results lead us to select the PE-W distribution as the best distribution for the given data.
Funding source: Ongoing Research Funding program (ORF-2025-488) King Saud University, Riyadh, Saudi Arabia.
Award Identifier / Grant number: (ORF-2025-488).
Acknowledgments
This study was supported by Ongoing Research Funding program (ORF-2025-488) King Saud University, Riyadh, Saudi Arabia. The work was also funded by the University of Jeddah, Jeddah, Saudi Arabia, under grant No. (UJ-23-DR-263). The authors extend their sincere gratitude to both King Saud University and the University of Jeddah for their financial and technical support.
-
Funding information: This research was supported by the Ongoing Research Funding program at King Saud University, Riyadh, Saudi Arabia (ORF-2025-488). The work was also funded by the University of Jeddah, Jeddah, Saudi Arabia, under grant No. (UJ-23-DR-263). The authors extend their sincere gratitude to both King Saud University and the University of Jeddah for their financial and technical support.
-
Author contribution: All authors have accepted responsibility for the entire content of this manuscript and approved its submission.
-
Conflict of interest: The authors state no conflict of interest.
-
Data availability statement: The datasets generated and/or analysed during the current study are available from the corresponding author on reasonable request.
References
1. Marshall, AN, Olkin, I. A new method for adding a parameter to a family of distributions with applications to the exponential and Weibull families. Biometrika 1997;84:641–52.10.1093/biomet/84.3.641Search in Google Scholar
2. AL-Hussaini, EK, Gharib, M. A new family of distributions as a countable mixture with Poisson added parameter. J Stat Theor Appl 2009;8:169–90.Search in Google Scholar
3. AL-Hussaini, EK, Ghitany, ME. On certain countable mixtures of absolutely continuous distributions. Metron LXIII 2005:30–53.Search in Google Scholar
4. Alzaatreh, A, Lee, C, Famoye, F. A new method for generating families of continuous distributions. Metron 2013;71:63–79. https://doi.org/10.1007/s40300-013-0007-y.Search in Google Scholar
5. Ghitany, ME, Al-Hussaini, EK, AlJarallah, RA. Marshall–Olkin extended Weibull distribution and its application to censored data. J Appl Stat 2005;32:1025–34. https://doi.org/10.1080/02664760500165008.Search in Google Scholar
6. Cordeiro, GM, de Castro, M. A new family of generalized distributions. J Stat Comput Simulat 2011;81:883–98. https://doi.org/10.1080/00949650903530745.Search in Google Scholar
7. Bourguignon, M, Silva, RB, Cordeiro, GM. The Weibull-G family of probability distributions. J Data Sci 2014;12:53–68. https://doi.org/10.6339/jds.201401_12(1).0004.Search in Google Scholar
8. Brito, E, Cordeiro, GM, Yousof, HM, Alizadeh, M, Silva, GO. The ToppLeone odd log-logistic family of distributions. J Stat Comput Simulat 2017;87:3040–58. https://doi.org/10.1080/00949655.2017.1351972.Search in Google Scholar
9. Gharib, M, Mohammed, BI, Al-Ajmi, AH. A new method for adding two parameters to a family of distributions with application. J Stat Appl Pro 2017;6:1–11. https://doi.org/10.18576/jsap/060305.Search in Google Scholar
10. Chipepa, F, Oluyede, B, Makubate, B, Fagbamigbe, AF. The beta odd Lindley-G family of distributions with applications. J Probab Stat Sci 2019;17:51–83.Search in Google Scholar
11. Alsadat, N, Nagarjuna, VB, Hassan, AS, Elgarhy, M, Ahmad, H, Almetwally, EM. Marshall–Olkin Weibull–Burr XII distribution with application to physics data. AIP Adv 2023;13:095325. https://doi.org/10.1063/5.0172143.Search in Google Scholar
12. Dina, AR, Yusra, AT, BakrBalogun, MEOS, Hasaballah, MM. Analysis of Marshall–Olkin extended Gumbel type-II distribution under progressive type-II censoring with applications. AIP Adv 2024;14:37–55.10.1063/5.0210905Search in Google Scholar
13. Ahmed, MG, Yusra, AT, Bakr, ME, Anoop, K, Moyazzem, HM, Ehab, MA. Fitting COVID-19 datasets to a new statistical model. AIP Adv 2024;14:085110. https://doi.org/10.1063/5.0214473.Search in Google Scholar
14. Aljohani, HM. The single and double inverse Pareto–Burr XII distribution: properties, estimation methods, and real-life data applications. AIP Adv 2024;14:055217. https://doi.org/10.1063/5.0203919.Search in Google Scholar
15. Mahmoudi, E, Zakerzadeh, H. Generalized Poisson–Lindley distribution. Commun Stat – Theor Methods 2010;39:1785–98. https://doi.org/10.1080/03610920902898514.Search in Google Scholar
16. Bereta, EM, Louzada, F, Franco, MA. The Poisson-Weibull distribution. Adv Appl Stat 2011;22:107–18.Search in Google Scholar
17. Bhati, D, Kumawat, P, Gómez-Déniz, E. A new count model generated from mixed Poisson transmuted exponential family with an application to health care data. Commun Stat – Theor Methods 2017;46:11060–76.10.1080/03610926.2016.1257712Search in Google Scholar
18. Miao, Y, Kook, JH, Lu, Y, Guindani, M, Vannucci, M. Scalable Bayesian variable selection regression models for count data. In: Flexible Bayesian regression modelling. Cambridge, MA, USA: Academic Press; 2020:187–219 pp.10.1016/B978-0-12-815862-3.00015-9Search in Google Scholar
19. Altun, E. A new generalization of geometric distribution with properties and applications. Commun Stat – Simulat Comput 2020;49:793–807. https://doi.org/10.1080/03610918.2019.1639739.Search in Google Scholar
20. Altun, E, Cordeiro, GM, Ristic, MM. A one-parameter compounding discrete distribution. J Appl Stat 2022;49:1935–56.10.1080/02664763.2021.1884846Search in Google Scholar PubMed PubMed Central
21. Fazal, A, Bashir, S. Family of Poisson distribution and its application. Int J Appl Math Stat Sci (IJAMSS) 2017;6:1–18.Search in Google Scholar
22. Estela, MP, Bereta, FL, Maria, AD. The Poisson-Weibull distribution. Adv Appl Stat 2011;22:107–18.Search in Google Scholar
23. Ana, P, Betsabé, B, Gauss, MC. The beta Weibull Poisson distribution. Chil J Stat 2013;4:3–26.Search in Google Scholar
24. Cordeiro, GM, Lemonte, AJ. On the marshall-olkin extended weibull distribution. Stat Pap 2013;54:333–53. https://doi.org/10.1007/s00362-012-0431-8.Search in Google Scholar
25. Muhammad, B, Muhammad, M, Muhammad, A. Weibull-exponential distribution and its application in monitoring industrial process. Math Probl Eng 2021;6650237:1–13.10.1155/2021/9960264Search in Google Scholar
26. Kumaraswamy, K, Bhatra Charyulu, NC. Compound distribution of Poisson-Weibull. Int J Math Stat Invent (IJMSI) 2021;9:29–34.Search in Google Scholar
27. Adam, BS, Mastor, ON, Joseph, MU, Nada, MA, Ahmed, Z. The extended exponential weibull distribution: properties, inference, and applications to real-life data. Complexity 2022;2022:1–13.10.1155/2022/4068842Search in Google Scholar
28. Fisher, RA. The mathematical theory of probabilities and its applications to frequency curves and statistical models. New York: Macmillan; 1936.Search in Google Scholar
29. Teicher, H. On the mixture of distributions. Ann Math Stat 1960;31:55–73. https://doi.org/10.1214/aoms/1177705987.Search in Google Scholar
30. Kenney, JF, Keeping, ES. Mathematics of statistics, 3rd ed., Part 1. London: Chapman & Hall Ltd; 1962.Search in Google Scholar
31. Moors, JA. A quantile alternative for kurtosis. J R Stat Soc Ser D (The Statistician) 1988;37:25–32. https://doi.org/10.2307/2348376.Search in Google Scholar
32. Schwarz, G. Estimating the dimension of a model. Ann Stat 1978;6:461–4. https://doi.org/10.1214/aos/1176344136.Search in Google Scholar
33. Akaike, H. Fitting autoregressive models for prediction. Ann Inst Stat Math 1969;21:243–7. https://doi.org/10.1007/bf02532251.Search in Google Scholar
34. Bozdogan, H. Model selection and Akaike’s information criterion (AIC): the general theory and its analytical extensions. Psychometrika 1987;52:345–70. https://doi.org/10.1007/bf02294361.Search in Google Scholar
35. Attia, AF, Mahmoud, MA, Abdul-Moniem, IB. On testing for exponential better than used in average class of life distributions based on the U-test. In: The proceeding of the 39 th annual conference on statistics. SR Cairo University-Egypt; 2004:11–14 pp.Search in Google Scholar
36. Kaplan, EL, Meier, P. Nonparametric estimation from incomplete observations. J Am Stat Assoc 1958;53:457–81. https://doi.org/10.1080/01621459.1958.10501452.Search in Google Scholar
37. Lagakos, SW, Williams, JS. Models for censored survival analysis: a cone class of variable-sum models. Biometrika 1978;65:181–9. https://doi.org/10.1093/biomet/65.1.181.Search in Google Scholar
38. Lee, S, Wolfe, RA. A simple test for independent censoring under the proportional hazards model. Biometrics 1998;54:1176–82. https://doi.org/10.2307/2533867.Search in Google Scholar
39. Smith, RL, Naylor, JC. A comparison of maximum likelihood and Bayesian estimators for the three-parameter weibull distribution. J R Stat Soc Ser C (Applied Statistics) 1987;36:358–69. https://doi.org/10.2307/2347795.Search in Google Scholar
© 2025 the author(s), published by De Gruyter, Berlin/Boston
This work is licensed under the Creative Commons Attribution 4.0 International License.
Articles in the same Issue
- Research Articles
- Single-step fabrication of Ag2S/poly-2-mercaptoaniline nanoribbon photocathodes for green hydrogen generation from artificial and natural red-sea water
- Abundant new interaction solutions and nonlinear dynamics for the (3+1)-dimensional Hirota–Satsuma–Ito-like equation
- A novel gold and SiO2 material based planar 5-element high HPBW end-fire antenna array for 300 GHz applications
- Explicit exact solutions and bifurcation analysis for the mZK equation with truncated M-fractional derivatives utilizing two reliable methods
- Optical and laser damage resistance: Role of periodic cylindrical surfaces
- Numerical study of flow and heat transfer in the air-side metal foam partially filled channels of panel-type radiator under forced convection
- Water-based hybrid nanofluid flow containing CNT nanoparticles over an extending surface with velocity slips, thermal convective, and zero-mass flux conditions
- Dynamical wave structures for some diffusion--reaction equations with quadratic and quartic nonlinearities
- Solving an isotropic grey matter tumour model via a heat transfer equation
- Study on the penetration protection of a fiber-reinforced composite structure with CNTs/GFP clip STF/3DKevlar
- Influence of Hall current and acoustic pressure on nanostructured DPL thermoelastic plates under ramp heating in a double-temperature model
- Applications of the Belousov–Zhabotinsky reaction–diffusion system: Analytical and numerical approaches
- AC electroosmotic flow of Maxwell fluid in a pH-regulated parallel-plate silica nanochannel
- Interpreting optical effects with relativistic transformations adopting one-way synchronization to conserve simultaneity and space–time continuity
- Modeling and analysis of quantum communication channel in airborne platforms with boundary layer effects
- Theoretical and numerical investigation of a memristor system with a piecewise memductance under fractal–fractional derivatives
- Tuning the structure and electro-optical properties of α-Cr2O3 films by heat treatment/La doping for optoelectronic applications
- High-speed multi-spectral explosion temperature measurement using golden-section accelerated Pearson correlation algorithm
- Dynamic behavior and modulation instability of the generalized coupled fractional nonlinear Helmholtz equation with cubic–quintic term
- Study on the duration of laser-induced air plasma flash near thin film surface
- Exploring the dynamics of fractional-order nonlinear dispersive wave system through homotopy technique
- The mechanism of carbon monoxide fluorescence inside a femtosecond laser-induced plasma
- Numerical solution of a nonconstant coefficient advection diffusion equation in an irregular domain and analyses of numerical dispersion and dissipation
- Numerical examination of the chemically reactive MHD flow of hybrid nanofluids over a two-dimensional stretching surface with the Cattaneo–Christov model and slip conditions
- Impacts of sinusoidal heat flux and embraced heated rectangular cavity on natural convection within a square enclosure partially filled with porous medium and Casson-hybrid nanofluid
- Stability analysis of unsteady ternary nanofluid flow past a stretching/shrinking wedge
- Solitonic wave solutions of a Hamiltonian nonlinear atom chain model through the Hirota bilinear transformation method
- Bilinear form and soltion solutions for (3+1)-dimensional negative-order KdV-CBS equation
- Solitary chirp pulses and soliton control for variable coefficients cubic–quintic nonlinear Schrödinger equation in nonuniform management system
- Influence of decaying heat source and temperature-dependent thermal conductivity on photo-hydro-elasto semiconductor media
- Dissipative disorder optimization in the radiative thin film flow of partially ionized non-Newtonian hybrid nanofluid with second-order slip condition
- Bifurcation, chaotic behavior, and traveling wave solutions for the fractional (4+1)-dimensional Davey–Stewartson–Kadomtsev–Petviashvili model
- New investigation on soliton solutions of two nonlinear PDEs in mathematical physics with a dynamical property: Bifurcation analysis
- Mathematical analysis of nanoparticle type and volume fraction on heat transfer efficiency of nanofluids
- Creation of single-wing Lorenz-like attractors via a ten-ninths-degree term
- Optical soliton solutions, bifurcation analysis, chaotic behaviors of nonlinear Schrödinger equation and modulation instability in optical fiber
- Chaotic dynamics and some solutions for the (n + 1)-dimensional modified Zakharov–Kuznetsov equation in plasma physics
- Fractal formation and chaotic soliton phenomena in nonlinear conformable Heisenberg ferromagnetic spin chain equation
- Single-step fabrication of Mn(iv) oxide-Mn(ii) sulfide/poly-2-mercaptoaniline porous network nanocomposite for pseudo-supercapacitors and charge storage
- Novel constructed dynamical analytical solutions and conserved quantities of the new (2+1)-dimensional KdV model describing acoustic wave propagation
- Tavis–Cummings model in the presence of a deformed field and time-dependent coupling
- Spinning dynamics of stress-dependent viscosity of generalized Cross-nonlinear materials affected by gravitationally swirling disk
- Design and prediction of high optical density photovoltaic polymers using machine learning-DFT studies
- Robust control and preservation of quantum steering, nonlocality, and coherence in open atomic systems
- Coating thickness and process efficiency of reverse roll coating using a magnetized hybrid nanomaterial flow
- Dynamic analysis, circuit realization, and its synchronization of a new chaotic hyperjerk system
- Decoherence of steerability and coherence dynamics induced by nonlinear qubit–cavity interactions
- Finite element analysis of turbulent thermal enhancement in grooved channels with flat- and plus-shaped fins
- Modulational instability and associated ion-acoustic modulated envelope solitons in a quantum plasma having ion beams
- Statistical inference of constant-stress partially accelerated life tests under type II generalized hybrid censored data from Burr III distribution
- On solutions of the Dirac equation for 1D hydrogenic atoms or ions
- Entropy optimization for chemically reactive magnetized unsteady thin film hybrid nanofluid flow on inclined surface subject to nonlinear mixed convection and variable temperature
- Stability analysis, circuit simulation, and color image encryption of a novel four-dimensional hyperchaotic model with hidden and self-excited attractors
- A high-accuracy exponential time integration scheme for the Darcy–Forchheimer Williamson fluid flow with temperature-dependent conductivity
- Novel analysis of fractional regularized long-wave equation in plasma dynamics
- Development of a photoelectrode based on a bismuth(iii) oxyiodide/intercalated iodide-poly(1H-pyrrole) rough spherical nanocomposite for green hydrogen generation
- Investigation of solar radiation effects on the energy performance of the (Al2O3–CuO–Cu)/H2O ternary nanofluidic system through a convectively heated cylinder
- Quantum resources for a system of two atoms interacting with a deformed field in the presence of intensity-dependent coupling
- Studying bifurcations and chaotic dynamics in the generalized hyperelastic-rod wave equation through Hamiltonian mechanics
- A new numerical technique for the solution of time-fractional nonlinear Klein–Gordon equation involving Atangana–Baleanu derivative using cubic B-spline functions
- Interaction solutions of high-order breathers and lumps for a (3+1)-dimensional conformable fractional potential-YTSF-like model
- Hydraulic fracturing radioactive source tracing technology based on hydraulic fracturing tracing mechanics model
- Numerical solution and stability analysis of non-Newtonian hybrid nanofluid flow subject to exponential heat source/sink over a Riga sheet
- Numerical investigation of mixed convection and viscous dissipation in couple stress nanofluid flow: A merged Adomian decomposition method and Mohand transform
- Effectual quintic B-spline functions for solving the time fractional coupled Boussinesq–Burgers equation arising in shallow water waves
- Analysis of MHD hybrid nanofluid flow over cone and wedge with exponential and thermal heat source and activation energy
- Solitons and travelling waves structure for M-fractional Kairat-II equation using three explicit methods
- Impact of nanoparticle shapes on the heat transfer properties of Cu and CuO nanofluids flowing over a stretching surface with slip effects: A computational study
- Computational simulation of heat transfer and nanofluid flow for two-sided lid-driven square cavity under the influence of magnetic field
- Irreversibility analysis of a bioconvective two-phase nanofluid in a Maxwell (non-Newtonian) flow induced by a rotating disk with thermal radiation
- Hydrodynamic and sensitivity analysis of a polymeric calendering process for non-Newtonian fluids with temperature-dependent viscosity
- Exploring the peakon solitons molecules and solitary wave structure to the nonlinear damped Kortewege–de Vries equation through efficient technique
- Modeling and heat transfer analysis of magnetized hybrid micropolar blood-based nanofluid flow in Darcy–Forchheimer porous stenosis narrow arteries
- Activation energy and cross-diffusion effects on 3D rotating nanofluid flow in a Darcy–Forchheimer porous medium with radiation and convective heating
- Insights into chemical reactions occurring in generalized nanomaterials due to spinning surface with melting constraints
- Influence of a magnetic field on double-porosity photo-thermoelastic materials under Lord–Shulman theory
- Soliton-like solutions for a nonlinear doubly dispersive equation in an elastic Murnaghan's rod via Hirota's bilinear method
- Analytical and numerical investigation of exact wave patterns and chaotic dynamics in the extended improved Boussinesq equation
- Nonclassical correlation dynamics of Heisenberg XYZ states with (x, y)-spin--orbit interaction, x-magnetic field, and intrinsic decoherence effects
- Exact traveling wave and soliton solutions for chemotaxis model and (3+1)-dimensional Boiti–Leon–Manna–Pempinelli equation
- Unveiling the transformative role of samarium in ZnO: Exploring structural and optical modifications for advanced functional applications
- On the derivation of solitary wave solutions for the time-fractional Rosenau equation through two analytical techniques
- Analyzing the role of length and radius of MWCNTs in a nanofluid flow influenced by variable thermal conductivity and viscosity considering Marangoni convection
- Advanced mathematical analysis of heat and mass transfer in oscillatory micropolar bio-nanofluid flows via peristaltic waves and electroosmotic effects
- Exact bound state solutions of the radial Schrödinger equation for the Coulomb potential by conformable Nikiforov–Uvarov approach
- Some anisotropic and perfect fluid plane symmetric solutions of Einstein's field equations using killing symmetries
- Nonlinear dynamics of the dissipative ion-acoustic solitary waves in anisotropic rotating magnetoplasmas
- Curves in multiplicative equiaffine plane
- Exact solution of the three-dimensional (3D) Z2 lattice gauge theory
- Propagation properties of Airyprime pulses in relaxing nonlinear media
- Symbolic computation: Analytical solutions and dynamics of a shallow water wave equation in coastal engineering
- Wave propagation in nonlocal piezo-photo-hygrothermoelastic semiconductors subjected to heat and moisture flux
- Comparative reaction dynamics in rotating nanofluid systems: Quartic and cubic kinetics under MHD influence
- Laplace transform technique and probabilistic analysis-based hypothesis testing in medical and engineering applications
- Physical properties of ternary chloro-perovskites KTCl3 (T = Ge, Al) for optoelectronic applications
- Gravitational length stretching: Curvature-induced modulation of quantum probability densities
- The search for the cosmological cold dark matter axion – A new refined narrow mass window and detection scheme
- A comparative study of quantum resources in bipartite Lipkin–Meshkov–Glick model under DM interaction and Zeeman splitting
- PbO-doped K2O–BaO–Al2O3–B2O3–TeO2-glasses: Mechanical and shielding efficacy
- Nanospherical arsenic(iii) oxoiodide/iodide-intercalated poly(N-methylpyrrole) composite synthesis for broad-spectrum optical detection
- Sine power Burr X distribution with estimation and applications in physics and other fields
- Numerical modeling of enhanced reactive oxygen plasma in pulsed laser deposition of metal oxide thin films
- Dynamical analyses and dispersive soliton solutions to the nonlinear fractional model in stratified fluids
- Computation of exact analytical soliton solutions and their dynamics in advanced optical system
- An innovative approximation concerning the diffusion and electrical conductivity tensor at critical altitudes within the F-region of ionospheric plasma at low latitudes
- An analytical investigation to the (3+1)-dimensional Yu–Toda–Sassa–Fukuyama equation with dynamical analysis: Bifurcation
- Swirling-annular-flow-induced instability of a micro shell considering Knudsen number and viscosity effects
- Numerical analysis of non-similar convection flows of a two-phase nanofluid past a semi-infinite vertical plate with thermal radiation
- MgO NPs reinforced PCL/PVC nanocomposite films with enhanced UV shielding and thermal stability for packaging applications
- Optimal conditions for indoor air purification using non-thermal Corona discharge electrostatic precipitator
- Investigation of thermal conductivity and Raman spectra for HfAlB, TaAlB, and WAlB based on first-principles calculations
- Tunable double plasmon-induced transparency based on monolayer patterned graphene metamaterial
- DSC: depth data quality optimization framework for RGBD camouflaged object detection
- A new family of Poisson-exponential distributions with applications to cancer data and glass fiber reliability
- Numerical investigation of couple stress under slip conditions via modified Adomian decomposition method
- Monitoring plateau lake area changes in Yunnan province, southwestern China using medium-resolution remote sensing imagery: applicability of water indices and environmental dependencies
- Heterodyne interferometric fiber-optic gyroscope
- Exact solutions of Einstein’s field equations via homothetic symmetries of non-static plane symmetric spacetime
- A widespread study of discrete entropic model and its distribution along with fluctuations of energy
- Empirical model integration for accurate charge carrier mobility simulation in silicon MOSFETs
- The influence of scattering correction effect based on optical path distribution on CO2 retrieval
- Anisotropic dissociation and spectral response of 1-Bromo-4-chlorobenzene under static directional electric fields
- Role of tungsten oxide (WO3) on thermal and optical properties of smart polymer composites
- Analysis of iterative deblurring: no explicit noise
- Review Article
- Examination of the gamma radiation shielding properties of different clay and sand materials in the Adrar region
- Erratum
- Erratum to “On Soliton structures in optical fiber communications with Kundu–Mukherjee–Naskar model (Open Physics 2021;19:679–682)”
- Special Issue on Fundamental Physics from Atoms to Cosmos - Part II
- Possible explanation for the neutron lifetime puzzle
- Special Issue on Nanomaterial utilization and structural optimization - Part III
- Numerical investigation on fluid-thermal-electric performance of a thermoelectric-integrated helically coiled tube heat exchanger for coal mine air cooling
- Special Issue on Nonlinear Dynamics and Chaos in Physical Systems
- Analysis of the fractional relativistic isothermal gas sphere with application to neutron stars
- Abundant wave symmetries in the (3+1)-dimensional Chafee–Infante equation through the Hirota bilinear transformation technique
- Successive midpoint method for fractional differential equations with nonlocal kernels: Error analysis, stability, and applications
- Novel exact solitons to the fractional modified mixed-Korteweg--de Vries model with a stability analysis
Articles in the same Issue
- Research Articles
- Single-step fabrication of Ag2S/poly-2-mercaptoaniline nanoribbon photocathodes for green hydrogen generation from artificial and natural red-sea water
- Abundant new interaction solutions and nonlinear dynamics for the (3+1)-dimensional Hirota–Satsuma–Ito-like equation
- A novel gold and SiO2 material based planar 5-element high HPBW end-fire antenna array for 300 GHz applications
- Explicit exact solutions and bifurcation analysis for the mZK equation with truncated M-fractional derivatives utilizing two reliable methods
- Optical and laser damage resistance: Role of periodic cylindrical surfaces
- Numerical study of flow and heat transfer in the air-side metal foam partially filled channels of panel-type radiator under forced convection
- Water-based hybrid nanofluid flow containing CNT nanoparticles over an extending surface with velocity slips, thermal convective, and zero-mass flux conditions
- Dynamical wave structures for some diffusion--reaction equations with quadratic and quartic nonlinearities
- Solving an isotropic grey matter tumour model via a heat transfer equation
- Study on the penetration protection of a fiber-reinforced composite structure with CNTs/GFP clip STF/3DKevlar
- Influence of Hall current and acoustic pressure on nanostructured DPL thermoelastic plates under ramp heating in a double-temperature model
- Applications of the Belousov–Zhabotinsky reaction–diffusion system: Analytical and numerical approaches
- AC electroosmotic flow of Maxwell fluid in a pH-regulated parallel-plate silica nanochannel
- Interpreting optical effects with relativistic transformations adopting one-way synchronization to conserve simultaneity and space–time continuity
- Modeling and analysis of quantum communication channel in airborne platforms with boundary layer effects
- Theoretical and numerical investigation of a memristor system with a piecewise memductance under fractal–fractional derivatives
- Tuning the structure and electro-optical properties of α-Cr2O3 films by heat treatment/La doping for optoelectronic applications
- High-speed multi-spectral explosion temperature measurement using golden-section accelerated Pearson correlation algorithm
- Dynamic behavior and modulation instability of the generalized coupled fractional nonlinear Helmholtz equation with cubic–quintic term
- Study on the duration of laser-induced air plasma flash near thin film surface
- Exploring the dynamics of fractional-order nonlinear dispersive wave system through homotopy technique
- The mechanism of carbon monoxide fluorescence inside a femtosecond laser-induced plasma
- Numerical solution of a nonconstant coefficient advection diffusion equation in an irregular domain and analyses of numerical dispersion and dissipation
- Numerical examination of the chemically reactive MHD flow of hybrid nanofluids over a two-dimensional stretching surface with the Cattaneo–Christov model and slip conditions
- Impacts of sinusoidal heat flux and embraced heated rectangular cavity on natural convection within a square enclosure partially filled with porous medium and Casson-hybrid nanofluid
- Stability analysis of unsteady ternary nanofluid flow past a stretching/shrinking wedge
- Solitonic wave solutions of a Hamiltonian nonlinear atom chain model through the Hirota bilinear transformation method
- Bilinear form and soltion solutions for (3+1)-dimensional negative-order KdV-CBS equation
- Solitary chirp pulses and soliton control for variable coefficients cubic–quintic nonlinear Schrödinger equation in nonuniform management system
- Influence of decaying heat source and temperature-dependent thermal conductivity on photo-hydro-elasto semiconductor media
- Dissipative disorder optimization in the radiative thin film flow of partially ionized non-Newtonian hybrid nanofluid with second-order slip condition
- Bifurcation, chaotic behavior, and traveling wave solutions for the fractional (4+1)-dimensional Davey–Stewartson–Kadomtsev–Petviashvili model
- New investigation on soliton solutions of two nonlinear PDEs in mathematical physics with a dynamical property: Bifurcation analysis
- Mathematical analysis of nanoparticle type and volume fraction on heat transfer efficiency of nanofluids
- Creation of single-wing Lorenz-like attractors via a ten-ninths-degree term
- Optical soliton solutions, bifurcation analysis, chaotic behaviors of nonlinear Schrödinger equation and modulation instability in optical fiber
- Chaotic dynamics and some solutions for the (n + 1)-dimensional modified Zakharov–Kuznetsov equation in plasma physics
- Fractal formation and chaotic soliton phenomena in nonlinear conformable Heisenberg ferromagnetic spin chain equation
- Single-step fabrication of Mn(iv) oxide-Mn(ii) sulfide/poly-2-mercaptoaniline porous network nanocomposite for pseudo-supercapacitors and charge storage
- Novel constructed dynamical analytical solutions and conserved quantities of the new (2+1)-dimensional KdV model describing acoustic wave propagation
- Tavis–Cummings model in the presence of a deformed field and time-dependent coupling
- Spinning dynamics of stress-dependent viscosity of generalized Cross-nonlinear materials affected by gravitationally swirling disk
- Design and prediction of high optical density photovoltaic polymers using machine learning-DFT studies
- Robust control and preservation of quantum steering, nonlocality, and coherence in open atomic systems
- Coating thickness and process efficiency of reverse roll coating using a magnetized hybrid nanomaterial flow
- Dynamic analysis, circuit realization, and its synchronization of a new chaotic hyperjerk system
- Decoherence of steerability and coherence dynamics induced by nonlinear qubit–cavity interactions
- Finite element analysis of turbulent thermal enhancement in grooved channels with flat- and plus-shaped fins
- Modulational instability and associated ion-acoustic modulated envelope solitons in a quantum plasma having ion beams
- Statistical inference of constant-stress partially accelerated life tests under type II generalized hybrid censored data from Burr III distribution
- On solutions of the Dirac equation for 1D hydrogenic atoms or ions
- Entropy optimization for chemically reactive magnetized unsteady thin film hybrid nanofluid flow on inclined surface subject to nonlinear mixed convection and variable temperature
- Stability analysis, circuit simulation, and color image encryption of a novel four-dimensional hyperchaotic model with hidden and self-excited attractors
- A high-accuracy exponential time integration scheme for the Darcy–Forchheimer Williamson fluid flow with temperature-dependent conductivity
- Novel analysis of fractional regularized long-wave equation in plasma dynamics
- Development of a photoelectrode based on a bismuth(iii) oxyiodide/intercalated iodide-poly(1H-pyrrole) rough spherical nanocomposite for green hydrogen generation
- Investigation of solar radiation effects on the energy performance of the (Al2O3–CuO–Cu)/H2O ternary nanofluidic system through a convectively heated cylinder
- Quantum resources for a system of two atoms interacting with a deformed field in the presence of intensity-dependent coupling
- Studying bifurcations and chaotic dynamics in the generalized hyperelastic-rod wave equation through Hamiltonian mechanics
- A new numerical technique for the solution of time-fractional nonlinear Klein–Gordon equation involving Atangana–Baleanu derivative using cubic B-spline functions
- Interaction solutions of high-order breathers and lumps for a (3+1)-dimensional conformable fractional potential-YTSF-like model
- Hydraulic fracturing radioactive source tracing technology based on hydraulic fracturing tracing mechanics model
- Numerical solution and stability analysis of non-Newtonian hybrid nanofluid flow subject to exponential heat source/sink over a Riga sheet
- Numerical investigation of mixed convection and viscous dissipation in couple stress nanofluid flow: A merged Adomian decomposition method and Mohand transform
- Effectual quintic B-spline functions for solving the time fractional coupled Boussinesq–Burgers equation arising in shallow water waves
- Analysis of MHD hybrid nanofluid flow over cone and wedge with exponential and thermal heat source and activation energy
- Solitons and travelling waves structure for M-fractional Kairat-II equation using three explicit methods
- Impact of nanoparticle shapes on the heat transfer properties of Cu and CuO nanofluids flowing over a stretching surface with slip effects: A computational study
- Computational simulation of heat transfer and nanofluid flow for two-sided lid-driven square cavity under the influence of magnetic field
- Irreversibility analysis of a bioconvective two-phase nanofluid in a Maxwell (non-Newtonian) flow induced by a rotating disk with thermal radiation
- Hydrodynamic and sensitivity analysis of a polymeric calendering process for non-Newtonian fluids with temperature-dependent viscosity
- Exploring the peakon solitons molecules and solitary wave structure to the nonlinear damped Kortewege–de Vries equation through efficient technique
- Modeling and heat transfer analysis of magnetized hybrid micropolar blood-based nanofluid flow in Darcy–Forchheimer porous stenosis narrow arteries
- Activation energy and cross-diffusion effects on 3D rotating nanofluid flow in a Darcy–Forchheimer porous medium with radiation and convective heating
- Insights into chemical reactions occurring in generalized nanomaterials due to spinning surface with melting constraints
- Influence of a magnetic field on double-porosity photo-thermoelastic materials under Lord–Shulman theory
- Soliton-like solutions for a nonlinear doubly dispersive equation in an elastic Murnaghan's rod via Hirota's bilinear method
- Analytical and numerical investigation of exact wave patterns and chaotic dynamics in the extended improved Boussinesq equation
- Nonclassical correlation dynamics of Heisenberg XYZ states with (x, y)-spin--orbit interaction, x-magnetic field, and intrinsic decoherence effects
- Exact traveling wave and soliton solutions for chemotaxis model and (3+1)-dimensional Boiti–Leon–Manna–Pempinelli equation
- Unveiling the transformative role of samarium in ZnO: Exploring structural and optical modifications for advanced functional applications
- On the derivation of solitary wave solutions for the time-fractional Rosenau equation through two analytical techniques
- Analyzing the role of length and radius of MWCNTs in a nanofluid flow influenced by variable thermal conductivity and viscosity considering Marangoni convection
- Advanced mathematical analysis of heat and mass transfer in oscillatory micropolar bio-nanofluid flows via peristaltic waves and electroosmotic effects
- Exact bound state solutions of the radial Schrödinger equation for the Coulomb potential by conformable Nikiforov–Uvarov approach
- Some anisotropic and perfect fluid plane symmetric solutions of Einstein's field equations using killing symmetries
- Nonlinear dynamics of the dissipative ion-acoustic solitary waves in anisotropic rotating magnetoplasmas
- Curves in multiplicative equiaffine plane
- Exact solution of the three-dimensional (3D) Z2 lattice gauge theory
- Propagation properties of Airyprime pulses in relaxing nonlinear media
- Symbolic computation: Analytical solutions and dynamics of a shallow water wave equation in coastal engineering
- Wave propagation in nonlocal piezo-photo-hygrothermoelastic semiconductors subjected to heat and moisture flux
- Comparative reaction dynamics in rotating nanofluid systems: Quartic and cubic kinetics under MHD influence
- Laplace transform technique and probabilistic analysis-based hypothesis testing in medical and engineering applications
- Physical properties of ternary chloro-perovskites KTCl3 (T = Ge, Al) for optoelectronic applications
- Gravitational length stretching: Curvature-induced modulation of quantum probability densities
- The search for the cosmological cold dark matter axion – A new refined narrow mass window and detection scheme
- A comparative study of quantum resources in bipartite Lipkin–Meshkov–Glick model under DM interaction and Zeeman splitting
- PbO-doped K2O–BaO–Al2O3–B2O3–TeO2-glasses: Mechanical and shielding efficacy
- Nanospherical arsenic(iii) oxoiodide/iodide-intercalated poly(N-methylpyrrole) composite synthesis for broad-spectrum optical detection
- Sine power Burr X distribution with estimation and applications in physics and other fields
- Numerical modeling of enhanced reactive oxygen plasma in pulsed laser deposition of metal oxide thin films
- Dynamical analyses and dispersive soliton solutions to the nonlinear fractional model in stratified fluids
- Computation of exact analytical soliton solutions and their dynamics in advanced optical system
- An innovative approximation concerning the diffusion and electrical conductivity tensor at critical altitudes within the F-region of ionospheric plasma at low latitudes
- An analytical investigation to the (3+1)-dimensional Yu–Toda–Sassa–Fukuyama equation with dynamical analysis: Bifurcation
- Swirling-annular-flow-induced instability of a micro shell considering Knudsen number and viscosity effects
- Numerical analysis of non-similar convection flows of a two-phase nanofluid past a semi-infinite vertical plate with thermal radiation
- MgO NPs reinforced PCL/PVC nanocomposite films with enhanced UV shielding and thermal stability for packaging applications
- Optimal conditions for indoor air purification using non-thermal Corona discharge electrostatic precipitator
- Investigation of thermal conductivity and Raman spectra for HfAlB, TaAlB, and WAlB based on first-principles calculations
- Tunable double plasmon-induced transparency based on monolayer patterned graphene metamaterial
- DSC: depth data quality optimization framework for RGBD camouflaged object detection
- A new family of Poisson-exponential distributions with applications to cancer data and glass fiber reliability
- Numerical investigation of couple stress under slip conditions via modified Adomian decomposition method
- Monitoring plateau lake area changes in Yunnan province, southwestern China using medium-resolution remote sensing imagery: applicability of water indices and environmental dependencies
- Heterodyne interferometric fiber-optic gyroscope
- Exact solutions of Einstein’s field equations via homothetic symmetries of non-static plane symmetric spacetime
- A widespread study of discrete entropic model and its distribution along with fluctuations of energy
- Empirical model integration for accurate charge carrier mobility simulation in silicon MOSFETs
- The influence of scattering correction effect based on optical path distribution on CO2 retrieval
- Anisotropic dissociation and spectral response of 1-Bromo-4-chlorobenzene under static directional electric fields
- Role of tungsten oxide (WO3) on thermal and optical properties of smart polymer composites
- Analysis of iterative deblurring: no explicit noise
- Review Article
- Examination of the gamma radiation shielding properties of different clay and sand materials in the Adrar region
- Erratum
- Erratum to “On Soliton structures in optical fiber communications with Kundu–Mukherjee–Naskar model (Open Physics 2021;19:679–682)”
- Special Issue on Fundamental Physics from Atoms to Cosmos - Part II
- Possible explanation for the neutron lifetime puzzle
- Special Issue on Nanomaterial utilization and structural optimization - Part III
- Numerical investigation on fluid-thermal-electric performance of a thermoelectric-integrated helically coiled tube heat exchanger for coal mine air cooling
- Special Issue on Nonlinear Dynamics and Chaos in Physical Systems
- Analysis of the fractional relativistic isothermal gas sphere with application to neutron stars
- Abundant wave symmetries in the (3+1)-dimensional Chafee–Infante equation through the Hirota bilinear transformation technique
- Successive midpoint method for fractional differential equations with nonlocal kernels: Error analysis, stability, and applications
- Novel exact solitons to the fractional modified mixed-Korteweg--de Vries model with a stability analysis