Home Physical Sciences Hydrodynamic and sensitivity analysis of a polymeric calendering process for non-Newtonian fluids with temperature-dependent viscosity
Article Open Access

Hydrodynamic and sensitivity analysis of a polymeric calendering process for non-Newtonian fluids with temperature-dependent viscosity

  • Fateh Ali EMAIL logo , Muhammad Zahid , M. Farmer , Nada Al Taisan EMAIL logo , Abdullah A. Faqihi , Basma Souayeh EMAIL logo , S. Suresh Kumar Raju and Mir Waqas Alam
Published/Copyright: August 22, 2025

Abstract

Non-Newtonian fluids, particularly those with high viscosity and complex flow behavior, present unique challenges in manufacturing processes. The modeling of their flow dynamics is crucial to achieve the desired outcomes in industrial applications. This study aims to theoretically model and analyze the flow dynamics of the Eyring–Powell fluid under varying temperature conditions using lubrication approximation theory and perturbation method. To simplify the mathematical formulation of fluid flow motion, lubrication approximation theory is applied. Using a perturbation method, the dimensionless governing equations are solved to derive expressions for velocity, pressure gradient, and pressure distributions. Numerical integration is then used to calculate critical engineering parameters, such as power input and roll-separating force, offering practical insights for optimizing the manufacturing process. Additionally, using the response surface method, Nusselt number ( Nu ) , sheet thickness H H 0 , and shear stress ( S x y ) , simulations were carried out to investigate the influence of variable viscoelastic parameters on the response functions ( Nu , H H 0 , and S x y ). The virtuousness of appropriate of the empirical model is obvious based on the coefficient of determination ( R 2 ) obtained from the analysis of variance. The findings reveal that the Weissenberg number, viscosity parameter, and Brinckmann number significantly influence velocity distribution, pressure profiles, power input, and roll-separating force, which are critical factors in the calendering process. Furthermore, the heat transfer rate shows an increase of approximately 5% with the rising values of the involved parameters, highlighting their significant influence on thermal performance. The coefficients of determination ( R 2 ) rise by about 99% for all response parameters, indicating the empirical model’s goodness of fit. These results provide valuable insights for engineers and researchers working on the calendering process of non-Newtonian fluids with complex rheological behavior, enabling better optimization of manufacturing processes and improved industrial outcomes.

Nomenclature

U

velocity of the rollers m s

H 0

half of the nip region

m

viscosity parameter

R ( m )

radii of the roll

ρ

fluid density k g m 3

λ

dimensionless leave off distance

We

perturb (small) parameter

Br

Brinckmann number

F

roll separation force

p w

power input

H H 0

final sheet thickness

d p d x

pressure gradient

p ( x )

pressure profile

θ ( y )

temperature profile

1 Introduction

A fluid’s resistance to flow is highly influenced by temperature, pressure, and shear rate, all of which play crucial roles in determining the fluid’s behavior. The kinetic energy of fluid particles generates temperature within the fluid, and higher temperatures can significantly alter fluid properties, with viscosity being particularly sensitive to temperature increases. In fluids with variable viscosity, viscosity responds rapidly to changes in temperature, resulting in alterations to the fluid’s flow structure. Research on non-Newtonian fluids with temperature-dependent viscosity has been of significant interest for many years due to its importance in diverse industrial applications. This area encompasses a broad spectrum of phenomena relevant to processes such as oil drilling, food processing, and polymer manufacturing, where effective heat transfer is critical to operational efficiency and product quality. In these industrial settings, variations in viscosity can profoundly impact process efficiency and effectiveness. For example, understanding how viscosity varies with temperature can improve control over mixing uniformity and product consistency in fluid mixing applications. Thus, precise modeling and simulation of viscosity variations are essential for theoretical insights and for improving the design and efficiency of commercial operations, such as calendering [1].

The process of pulling molten polymer through the nip area in the middle of two sets of rotating rollers to create a sheet with a specific thickness is known as calendering. This process is integral to various industries, including textile, metal, paper, plastic, and tire manufacturing, where consistent material properties and controlled thickness are essential. Originating in the mid-nineteenth century, calendering technology was publicly demonstrated by inventors Edwin Chaffee and Charles Goodyear, marking a pivotal advancement in material processing. The first quantitative analysis of calendering, undertaken by [2] in 1938, introduced the application of lubrication approximation theory (LAT) within Newtonian hydrodynamics to address flow behavior at low Reynolds numbers, a regime typically encountered in calendering due to slow flow rates and narrow gaps. This analysis paved the way for more complex modeling approaches. Paslay’s [3] work on the Maxwell model in calendering further advanced the theoretical framework, assuming Weissenberg numbers less than one to account for the viscoelastic response of polymeric fluids under flow. Experimental insights also contributed significantly to calendering science. In 1951, Bergen and Scott [4] conducted pioneering measurements of internal pressure distribution within the calendering system, providing critical empirical data for model validation. Gaskell’s [5] study expanded upon this by offering the first theoretical analysis involving Bingham plastic and Newtonian fluids, noting that the interval width between rolls is negligible compared to the roll radii factor, which has considerable implications for flow stability and film uniformity. Thermal effects in calendering were subsequently addressed by Kiparissides and Vlachopoulos [6], who used a power-law fluid model to explore heat transfer dynamics. Their work involved solving the flow equations via the finite element method (FEM), showing strong agreement with experimental observations by Bergen and Scott, and highlighting the importance of temperature control in calendering applications. Tadmor and Gogos [7] and Brazinsky et al. [8] extended these analyses specifically for viscous power-law fluids commonly encountered in polymer processing, thus providing a comprehensive view of calendering flow behavior. Alston and Astill’s [9] study advanced the computational methods used in calendering analysis by employing a hyperbolic tangent model, combined in the company of Gauss–Legendre cartesian and cascade repetition, to quantify spread height and peak roller pressure, as well as their interdependencies. Theoretical advancements in the coating process have been extensively discussed in textbooks; interested readers may refer to these sources for further details [7,10,11]. Later, in 1988, Zheng and Tanner [12] applied the Phan–Thien–Tanner model to further elucidate the viscoelastic flow characteristics within the calendering mechanism, underscoring the impact of non-Newtonian behavior on the procedure.

Newtonian and power-law fluids in calendering were thoroughly examined by Mitsoulis et al. in a two-dimensional, non-isothermal framework. Mitsoulis et al. [13] using the FEM without employing the LAT. Later, Arcos et al. [14] explored the supremacy of various constants on sheet broadness in calendering using a temperature-dependent power-law fluid model, observing a 6.11% reduction in thickness compared to isothermal conditions. Sofou and Mitsoulis [15] extended this inquiry by simulating the finite sheet thickness calendering process for viscoplastic fluids modeled with the Herschel–Bulkley framework. A notable contribution by Hatzikiriakos [16] presented a numerical simulation focusing on the calendering of viscoplastic fluids, providing insights into material behavior under different calendering conditions. Arcos et al. [17] further advanced the understanding of calendering by employing a Newtonian fluid model that incorporated thermosensitive viscosity effects on sheet broadness. Within a separate investigation of non-isothermal flows in Casson fluids, Zahid et al. [18] addressed the complex thermal dynamics present in the calendering process. The work by Hernández et al. [19] examined a particular impact of pressure-dependent viscosity on sheet broadness at the exit of the calendering procedure, highlighting how pressure variations influence final product dimensions. Additionally, Arcos et al. [20] developed a theoretical model for calendering utilizing a more comprehensible Phan–Thien–Tanner essential equation beneath the lubrication approximation theory estimation. In investigating viscoelastic fluid dynamics, Ali et al. [21] scrutinize the effects of finitely extensible nonlinear elastic peterlin fluid (FENE-P) moisture in calendering, demonstrating significant viscoelastic influences on the process. Calcagno et al. [22] developed an analytical model for predicting pressure and tension profiles during calendering using Newtonian and power-law fluid assumptions. Their results aligned most closely with experimental findings when employing the Newtonian model. Most recently, Zahid et al. [23] presented a theoretical investigation on calendering with variable viscosity for third-grade model, analyzing how specific material properties influence the thickness of calendered sheets.

Most theoretical works in this dynamic research field concentrate on adhesive moisture; others are usually Newtonian. Numerous academics have included non-Newtonian vapors in their physically modeled issues, indicative of their widespread application in commercial settings. Here, theoretical investigation of non-Newtonian fluid dynamics is of primary interest [24]. A specific innumerable implementation of non-Newtonian in the technical, industrial, and commercial production sectors has increased interest in their study. Several authors have shown that non-Newtonian fluids apply to research [25]. Several studies have illustrated the various uses of non-Newtonian vapors. Several fluids collapse under this section, encompassing paper pulp, mayonnaise, cleaning agent, seashore, plastic melts, milk, and slurries. The Navier–Stokes identification can narrate the drizzle deportment of Newtonian fluids. Despite that, viscoelastic fluids’ flow behavior with all of its essential qualities is not in a position to be sufficiently narrated by a unique equation. Consequently, scientists and academics have proposed several non-Newtonian constitutive models. The viscoelastic fluid, power-law fluid, Cassion fluid, distinctive class fluid imitation, Sisko fluid, FENE-P fluid, Oldroyd family’s fluid, micropolar fluid, along with Eyring–Powell fluid, are a few examples of these patterns. We selected a specific Eyring–Powell fluid version, a non-Newtonian fluid imitation first presented among several fluid models [26,27]. This model performs better than previous viscoelastic fluid models in assorted areas. There are two main reasons why it offers many benefits. First, it uses the kinetic theory of object interactions instead of depending on the experimental formulas. Second, as is typical of Newtonian fluids, Eyring–Powell modeling responds to high and low shear rates. Researchers have talked a lot about the critical components of the Eyring–Powell fluid.

In the immediate years, there has been an extended use of experimental techniques to investigate the connections in the middle of free and response variables in complex systems. The hybrid statistical–mathematical approach known as response surface methodology (RSM) has gained significant traction among these methods. The primary objective of RSM is response optimization, which is particularly valuable for solving problems in heat transfer and fluid dynamics, as it aids in optimizing desired flow patterns. For instance, Darbari et al. [28] wore RSM to scrutinize a certain consequence of temperature and velocity on the standard Nusselt together with Reynolds numbers of nanofluids. Their study focused on nanofluids flowing through a straight, circular conduit under a steady thermal flux in the laminar regime. The RSM analysis revealed that temperature and velocity substantially impacted the dependent variables, with a notable interaction effect between these factors. As a result, RSM has become a widely adopted tool across various research domains for analyzing and optimizing complex interactions between multiple variables.

As far as we know and the scientific literature review, no attempt has yet been undertaken to analyze the calendering process using the Eyring–Powell model with viscosity temperature-dependent. Thus, the current work’s goal is to ascertain how, throughout the calendering process, the fluid parameter influences the leave distance, power input, velocity, final sheet thickness, and other quantities of engineering interest.

An examination of the structure and content of the literature mentioned earlier reveals several critical observations:

  • Numerous studies have explored the calendering process involving various non-Newtonian fluids, often assuming constant thermophysical properties. However, there remains a notable gap in research that explicitly addresses the impact of temperature-dependent viscosity, particularly in the context of Eyring–Powell fluids.

  • A significant number of studies fail to comprehensively analyze key engineering characteristics, such as sheet thickness, Nusselt number, shear stress, roll/sheet separating force, and power transmitted from the roll to the fluid. These parameters are crucial for optimizing industrial processes and ensuring high-quality outcomes.

  • Additionally, there is limited focus on the concurrent optimization of critical performance parameters, such as heat transfer rate, sheet thickness, and shear stress rate, which play a pivotal role in achieving efficient and effective manufacturing processes.

In light of these gaps identified through the literature review, the primary objectives of the present study are as follows:

  • To construct a robust mathematical model for the calendering process using an Eyring–Powell fluid with temperature-dependent viscosity, incorporating Reynold’s viscosity model to account for variable viscosity effects.

  • To investigate the influence of temperature-dependent viscosity on the dynamics of the calendering process, emphasizing its implications for real-world applications.

  • To examine the effects of pertinent parameters on critical engineering factors, including coating thickness, shear stress rate, heat transfer coefficient, roll/sheet separating force, and power transmitted from the roll to the fluid.

  • To identify and address the limitations associated with achieving dual optimization goals of the maximizing the heat transfer rate while minimizing the shear stress rate through the application of advanced optimization techniques.

Comparison of existing studies on the calendering process was made using different non-Newtonian fluid models and contributions of the present study.

Author(s) Fluid model Process type Limitations Findings
Javed et al. [29] Ellis fluid Calendering Did not consider temperature effects Investigated coating performance at constant viscosity
Javed et al. [30] Johnson–Segalman fluid Calendering Neglected magnetic field interactions Did not consider variable viscosity
Abbas and Khaliq [31] Cu–water nanofluid Calendering Did not consider RSM Explored effects of different parameters on velocity and temperature, etc.
This study Eyring–Powell fluid Calendering Ignore MHD and slip effects Novelty: incorporates temperature-dependent viscosity with hybrid perturbation + RSM analysis for calendering process

2 Problem description and governing equations

The following presumptions are expressed:

  • Figure 1 shows the calendering process sketch in which a non-Newtonian model’s thin film separates two rolls.

  • Since many materials used in calendering are frequently non-Newtonian, the Eyring–Powell model is considered to have temperature-dependent viscosity.

  • The radius of each calendar is R , revolves with a persistent angular velocity ω in the same direction, provoking inside a linear velocity concerning its exterior designated by U = ω R .

  • Figure 1 shows a small separation region between calendars known as the nip area, with a gap length of 2 H 0 .

  • Certain roll surfaces occur concerning a sustained temperature T 0 .

  • Due to the symmetry of the physical model, we consider the upper side of this configuration only for convenience.

Figure 1 
               Illustrative depiction of the calendering procedure.
Figure 1

Illustrative depiction of the calendering procedure.

Without body forces, the momentum, mass, and energy equations are as follows [1,32]:

(1) V = 0 ,

(2) ρ D V D t = div τ ρ ,

(3) ρ C p D T D t = k 2 T + τ V ,

where ρ corresponds to the constant fluid density, C p represents the specific heat capacity, T represents the temperature profile, V denotes the velocity field, p signifies the pressure, k stands for the thermal conductivity, and τ denotes the stress tensor.

The following is the material derivative:

(4) D ( . ) D t = ( . ) t + ( V ) ( . ) .

Scientists and engineers frequently reduce mathematical models to produce helpful approximations when working with complex physical systems. This procedure aims to improve comprehension of the physical system by emphasizing essential elements such as velocities, forces, fluxes, and other pertinent elements. We employ lubrication approximation theory in light of the aforementioned presumptions. The lubrication approximation theory indicates that the most significant dynamic events occur in the nip region, providing a basis for a thorough investigation.

The velocity profile of a balanced, incompressible, two-dimensional flow with laminar features can be noted as follows:

(5) V = [ u ( x , y ) , v ( x , y ) ] ,

where a specific velocity component within the x - and y -directions are nominated by the variables u ( x , y ) , and v ( x , y ) , separately.

2.1 Rheological model

The viscoelastic Eyring–Powell model’s description of the rheological characteristics is examined in this work. The following equations provide the Eyring–Powell model [33,34,35] in mathematical representation:

(6) τ = μ A 1 + 1 B sinh 1 tr ( A 1 ) 2 2 C tr ( A 1 ) 2 2 A 1 ,

where μ represents the viscosity; A 1 denotes the primary Rivlin–Ericksen tensor; and B and C are the constants of the EP fluid version:

(7) A 1 = ( V ) T + V ,

where V denotes the velocity gradient and is designated as

(8) V = u x u y v x u y .

With the use of Eqs. (5) and (6), the constituent appearance of the governing equations is written as follows:

(9) u x + v y = 0 ,

(10) ρ u u x + v u y = p x + τ x x x + τ x y y ,

(11) ρ u v x + v v y = p y + τ y x x + τ y y y ,

(12) ρ C p u T x + v T y = k 2 T x 2 + 2 T y 2 + τ x x u y + τ x y u y + v x + τ y y v y .

By applying the Taylor augmentation to the inverse hyperbolic expression in Eq. (6), we obtain the non-zero shear stress component in the simplified version as follows:

(13) τ x y = μ + 1 BC u y 1 6 BC 3 u y 3 .

The following are the boundary conditions (BCs) in the proportion configuration linked to Eqs. (10)–(12):

(14) y = 0 : u y = 0 : T y = 0 , y = h ( x ) : u = U : T = T 0 .

For the R > H 0 , the roll surface is approximately parallel and extends to any direction or in the ± x direction, from the nip. As a result, we conclude that the flow in the nip region is parallel.

The pressure, velocity, and fluid temperature profiles are represented by the letters p , u , v and T in Eqs. (9)–(12).

We do an order of magnitude study to quickly determine the typical temperature, pressure, and velocity scales. The following scales for y , x , as well as u changes should be identifiable.

(15) y H 0 , x L c , u U .

Considering a particular mass conservation identity, Eq. (1), as well as a certain connection outlined over Eq. (15), we conclude that

(16) v c U H 0 L c 1 .

According to a specific connection exceeding the longitudinal predictable length, represented by L c = 2 R H 0 , it is more significant than a particular disposition of immensity of a certain transverse speed v c . Examine the tenable claim that a certain crucial dynamic affair occurred in the rolls nip region. Characteristic scales will be used in the next section to properly non-dimensionalize the system.

2.2 Non-dimensionalities, together with the lubrication approximation theory

Non-dimensional restriction can simplify complicated fluid flow problems and provide insightful information; they are highly significant in various scientific and engineering domains. Physical occurrences. This segment offers the dimensionless identities required to work through the non-isothermal calendering process. We identify the following non-dimensional variables based on the order of magnitude analysis from earlier [10]:

(17) u ¯ = u U , y ¯ = y H 0 , x ¯ = x R H 0 , v ¯ = v U R 0 H 0 , p ¯ = ρ H 0 3 2 μ 0 U R 1 2 , μ ¯ = μ μ 0 , T ¯ = T T 0 T 1 T 0 .

Eqs. (9)–(13) are modified to provide the two-dimensional equations in dimensionless form by applying Eq. (17):

(18) u ¯ x ¯ + v ¯ y ¯ = 0 ,

(19) ε Re u u x + v u y = ε p x + δ τ x x x + τ x y x ,

(20) ε 2 Re u u x + v u y = p y + δ τ y y y + δ 2 τ x y x ,

(21) 2 T ¯ y ¯ 2 + Br τ ¯ x y u ¯ y ¯ = 0 ,

(22) τ ¯ x y = ( μ + N ¯ ) u ¯ y ¯ 1 3 N ¯ β u y 3 .

Because of Eq. (22), Eqs. (19) and (21) yield

(23) μ 2 u ¯ y ¯ 2 + μ y ¯ u ¯ y ¯ + N ¯ 1 1 3 β u ¯ y ¯ 2 2 u ¯ y ¯ 2 = d p ¯ d x ¯ ,

(24) 2 T ¯ y ¯ 2 + Br ( μ + N ¯ ) u ¯ y ¯ 2 1 3 N ¯ β Br u ¯ y ¯ 4 = 0 .

The following are the relationships for the non-dimensional variables over Eq. (23) as well as (24):

(25) β = U 2 2 C 2 H 0 2 , h = ± ( 1 + x 2 ) , Br = Pr × Ec ,

where Br is the Brickman number, an immeasurable quantity representing the viscous-to-inertial force ratio in a fluid flow system, and Pr along with Ec is the Prandtl together with Eckert numbers. Furthermore, it is explained as the sum of the Eckert and Prandtl numbers. The viscosity models and solution process are presented in the next section. For clarity, we remove the overbars for dimensionless variables in the equations for clarity.

3 Viscosity model

Unique patterns are selected to depict a specific fluid according to its viscosity. In particular, the viscosity is a function of the fluid’s temperature, and the imitation, as mentioned earlier, is known as a specific Reynolds model.

3.1 Reynolds model

To describe a given Reynolds dummy, a dummy with fluctuating viscosity, we shall ascertain a particular viscosity worth in terms of temperature as follows:

(26) μ = e M T ,

where ( α is any constant) and M = α ( T 1 T 0 ) . If We is a small perturbation parameter, then let M = We m . Furthermore, a material parameter, m, illustrates how temperature affects the variable viscosity. With Taylor expansion, Eq. (26) is reduced to

(27) μ = 1 We m T ( y ) , d μ d y = We m d T ( y ) d y .

Based on the previously described presumptions, the equation relating to motion and heat is defined as

(28) ( 1 We m T ( y ) ) d 2 u ( y ) d y 2 We m d T ( y ) d y d u ( y ) d y + We N d 2 u ( y ) d y 2 We N β 3 d u ( y ) d y 2 d 2 u ( y ) d y 2 = d p d x ,

(29) d 2 T ( y ) d y 2 + Br ( 1 We m T ( y ) ) d u ( y ) d y 2 + BrWe N d u ( y ) d y 2 BrWe N β 3 d u ( y ) d y 4 = 0 .

BCs are [10]

(30) y = 0 : u y = 0 : θ y = 0 , y = h ( x ) = x 2 + 1 : u = 1 : θ = 0 .

The expression for flow rate in dimensionless form, which will help to find the value of pressure gradient, can be corresponded in the formation as [10]:

(31) Q = 1 + λ 2 = 0 h ( x ) u ( y ) d y .

The approach of Eq. (28) along with (29) represents the prominent lubrication estimation [17] for Eyring–Powell fluid accompanied by thermosensitive viscosity. It must be esteemed that these identities are coupled and nonlinear. So, in the following section, we prevail the proportionate velocity, pressure gradient, pressure, and temperature profiles by solving Eqs. (28) and (29) with the help of BCs given in Eq. (30) using the perturbation method.

4 Asymptotic solution for We 1

To find the sheet thickness, pressure, detachment point, temperature distribution, and dimensionless velocity profile, Eqs. (28) and (29) have no exact solution; we try to determine an asymptotic solution, using We as the perturbation parameter and applying the regular perturbation method. For W e 1 , one can take

(32) u ( y , x ) = u 0 ( y , x ) + We u 1 ( y , x ) + We 2 u 2 ( y , x ) + ,

(33) d p d x = d p 0 d x + We d p 1 d x + We 2 d p 2 d x + ,

(34) p ( x ) = p 0 ( x ) + We p 1 ( x ) + We 2 p 2 ( x ) + ,

(35) θ = θ 0 + We θ 1 + We 2 θ 2 + ,

(36) λ = λ 0 + We λ 1 + We 2 λ 2 + ,

where the leading-order solutions u 0 , p 0 , d p 0 d x and λ 0 denote the Newtonian case [10], and the correction up to first-order terms is represented by u 1 , p 1 , d p 1 d x and λ 1 , which includes the non-Newtonian effect’s contribution. where h ( x ) = x 2 + 1 , by equating the coefficients of We 0 and W e 1 , we may derive the series of the boundary value problems by expanding Eq. (28). The following subsection discusses zeroth together with first-order problems and their solutions.

4.1 Zero-order problem and its solution

The first-order partition value dilemma

(37) d 2 d y 2 u 0 ( y ) = ε d p 0 d x .

BCs are

(38) y = 0 : u 0 y = 0 , y = h ( x ) = x 2 + 1 : u 0 = 1 .

The solution of Eq. (37) with help of BCs given in Eq. (38) is as follows:

(39) u 0 ( y ) = 1 2 ε d p 0 d x ( y 2 h 2 ) + 1 .

The zeroth-order pressure gradient is as follows:

(40) d p 0 d x = 3 ( λ 0 2 x 2 ) ε ( x 2 + 1 ) 3 .

From the aforementioned equation, the zero-order pressure is

(41) p 0 ( x ) = 9 π λ 0 4 + 18 arctan ( λ 0 ) λ 0 4 + 6 π λ 0 2 + 12 arctan ( λ 0 ) λ 0 2 + 18 λ 0 3 3 π 6 arctan ( λ 0 ) + 6 λ 0 16 ε λ 0 2 + 16 ε .

The exceeding mathematical form is uncoordinated in λ 0 . It is not conceivable to perceive it, which requires a solution for which a logarithmic algorithm exclaims the Newton–Raphson method is initiate with predefined precision, so the approximate solution is

(42) λ 0 = 0.47512 .

For this value of λ 0 , the sheet thickness to most minor gap compass proportion is capable of to 1.226, which is similar to Middleman [10].

4.2 First-order complication and its emulsion

The first-order boundary value obstacle

(43) d 2 d 2 y u 1 ( y ) m θ 0 ( y ) d 2 d 2 y u 0 ( y ) m d d y θ 0 ( y ) d d y u 0 ( y ) + A d 2 d y 2 u 0 ( y ) A β d d y u 0 ( y ) 2 d 2 d y 2 u 0 ( y ) 3 = ε d p 1 d x .

BCs [10] are

(44) y = 0 : u 1 y = 0 : θ 1 y = 0 , y = h ( x ) = x 2 + 1 : u 1 = 0 : θ 1 = 0 .

The solution of Eq. (43) with aforementioned BCs is

(45) u 1 ( y ) = 3 ( h y ) ( h + y ) 4 ( x 2 + 1 ) 9 2 ε P 1 x 18 3 6 ε P 1 x 16 + 24 ε P 1 + 2 A 3 m Br 2 x 14 + 2 A + 9 m Br 2 λ 0 2 56 ε P 1 6 m Br + 12 A x 12 + 9 λ 0 4 m Br 2 + ( 18 m Br 12 A ) λ 0 2 84 ε P 1 9 m Br + 30 A x 10 + 3 Br λ 0 6 m 2 18 λ 0 4 m Br + ( 27 m Br 30 A ) λ 0 2 84 ε P 1 6 m Br + 40 A x 8 + 6 Br λ 0 6 m 27 λ 0 4 m Br + ( 18 m Br 40 A ) λ 0 2 + m ( h 4 + h 2 y 2 + y 4 3 ) Br 2 + ( β h 2 β y 2 + 30 ) A 56 ε P 1 x 6 + 9 Br λ 0 6 m 18 λ 0 4 m Br + 3 m ( h 4 + h 2 y 2 + y 4 3 ) Br 2 + 3 A ( β h 2 + β y 2 10 ) λ 0 2 24 ε P 1 + 12 A x 4 + 6 Br λ 0 6 m + 3 m ( h 4 + h 2 y 2 + y 4 3 ) Br 2 3 A β ( h 2 + y 2 ) λ 0 4 12 A λ 0 2 6 ε P 1 + 2 A x 2 + m ( h 4 + h 2 y 2 + y 4 3 ) Br 2 + A β ( h 2 + y 2 ) λ 0 6 2 A λ 0 2 2 ε P 1 3 .

The aforementioned identity requires an unrevealed pressure gradient d p 1 d x , and it can be procured as defined in a zero-order solution. Due to complex and lengthy expressions, equations are not displayed here.

5 Temperature distribution

We are now using the velocity distribution in Eq. (29), and with the help of Eq. (30), we obtain the following system of ordinary problems for the temperature profile.

5.1 Zero-order problem and its solution

(46) d 2 d y 2 T 0 ( y ) = Br d d y u 0 ( y ) 2 .

BCs are

(47) y = 0 : θ 0 y = 0 , y = h ( x ) = x 2 + 1 : θ 0 = 0 .

Solution is

(48) T 0 ( y ) = 3 ( λ 0 + x ) 2 ( λ 0 + x ) 2 ( x 2 + y + 1 ) ( x 2 y + 1 ) ( x 4 + 2 x 2 + y 2 + 1 ) Br 4 ( x 2 + 1 ) 6 .

5.2 First-order problem

(49) d 2 d y 2 θ 1 ( y ) + 2 Br d d y u 0 ( y ) d d y u 1 ( y ) Br m θ 0 ( y ) d d y u 0 ( y ) 2 + Br γ d d y u 0 ( y ) 2 Br γ β d d y u 0 ( y ) 4 3 = 0 .

BCs are

(50) y = 0 : θ 1 y = 0 , y = h ( x ) = x 2 + 1 : θ 1 = 0 .

The expression for the first-order temperature is not presented here due to its large size. However, the solution to the first-order problem can be obtained by combining the zero-order and first-order approximations for the velocity, temperature profile, pressure gradient, and pressure distribution. Similarly, the detachment point and other engineering quantities are calculated using the numerical algorithm presented in Tables 16 and 17. Next, we will present the mathematical expression for the operational variable.

6 Operating variables

All other significant values can be easily obtained after determining the expressions for velocity, pressure gradient, and pressure distribution. These calculations are made for a particular engineering operating variable.

It is specified that a given roll-separating force F [10,29] is

(51) F = λ P ( x ) d x ,

where F = F ¯ H 0 μ U R W , F ¯ is a given dimensional roll-separating force per unit broadness W .

A calculation of the power transferred [29] to the fluid by roll involves integrating the result of the roll’s surface spread over its surface, which is acquired by establishing the shear stress:

(52) P w = λ τ x y ( x , 1 ) d x ,

where P w = P ¯ μ W U 2 is a particular dimensionless power and τ x y = τ ¯ x y H 0 μ U is the dimensionless stress tensor.

7 RSM

The RSM-based statistical approach has been presented to ascertain the relative contributions of independent and dependent components. Operate a miniature numeral of planned experiments; RSM is a strategy for creating models, conducting tests, assessing abundant elements’ influence, and regulating the ideal circumstances for desired answers. RSM is useful in illustrating the correspondence between a designated set of feed-in variables, a particular response over a defined region of interest, and the input values that will result in a maximum or minimum response. Today, RSM is utilized in many different domains and applications, including the biological, clinical, and social sciences, in addition to the physical and engineering sciences, where it was first established to identify ideal operating conditions for the chemical industry. It generates a link between input factors and output responses using analytical and numerical simulations. Two input variables are the We and m , and three response variables are the Nu , H H 0 , and S x y . Here are the model’s specifications:

(53) Responses = β 0 + β i x i + i = 1 3 β i x i 2 + i = 1 3 β i β j x i x j ,

where the physical components are x i and x j , and the residual and the regression variables are β 0 , β 1 , and β 3 . Both linear and quadratic effects are included in the generic regression model that is displayedpreviously. There are 13 runs in the experimental design. Response variables are documented and situated on the coded values.

A specific central composite design (CCD) is the preponderance well-received of the second-order models employed by RSM. In 1951, Box and Wilson put out the idea. The published literature suggests using a three-level, face-centered CCD inside a particular RSM framework. Full replication is used, which includes factors at the medium (0), high (1), and low (−1) levels of specific specified parameters in the innovative composition.

A particular investigational design and CCD-RSM succession proposed the combined scurry, displayed in Table 1 with the 13 numerical runs utilizing CFD Nu .

Table 1

Parameters with their symbols and levels

Codes Variables Level
Low (−1) Intermediate (0) High (+1)
A We 0.10 0.50 0.90
B m 0.50 2.50 4.50

7.1 Analysis of variance (ANOVA)

Table 2 lists a particular result of specific numerical tests ( Nu , H H 0 , and S x y ). Regression analysis has been utilized to construct mathematical models. The fitted regression models were evaluated for suitability and accuracy using the ANOVA and sequential f-test. The means of multiple groups are compared using the statistical technique known as ANOVA. Fisher first introduced it, consisting of standard statistical metrics that filtered out models to identify the most suited for unnecessary words.

Table 2

Experimental outline and responses

Factor 1 Factor 2 Response 1 Response 2 Response 3
Std Run Space type A: We B: m Nusselt number Sheet thickness Shear stress
6 1 Axial 0.9 2.5 −0.116348 1.23242 −0.4996
13 2 Center 0.5 2.5 −0.0986044 1.22944 −0.42778
7 3 Axial 0.5 0.5 −0.108189 1.236 −0.45664
8 4 Axial 0.5 4.5 −0.0885624 1.22264 −0.4
11 5 Center 0.5 2.5 −0.0986044 1.22944 −0.42778
10 6 Center 0.5 2.5 −0.0986044 1.22944 −0.42778
5 7 Axial 0.1 2.5 −0.0808603 1.22648 −0.35635
2 8 Factorial 0.9 0.5 −0.133602 1.24438 −0.55987
12 9 Center 0.5 2.5 −0.0986044 1.22944 −0.42778
3 10 Factorial 0.1 4.5 −0.0788519 1.22512 −0.35138
1 11 Factorial 0.1 0.5 −0.0827773 1.22777 −0.36119
4 12 Factorial 0.9 4.5 −0.0982729 1.22018 −0.44461
9 13 Center 0.5 2.5 −0.0986044 1.22944 −0.42778

Tables 35 display the ANOVA results, which are utilized to identify the correlations between the independent input components and the Nu , H H 0 , and S x y . The result variable for various combinations of the input values is calculated in a series of test runs to estimate the model coefficients. Regression analysis techniques are then used to identify the best-fit coefficient values through data analysis. Various statistical measures, such as a given F-value, a specific p-value, a certain degree of freedom (DOF), a particular mean sum of squares (MS), along with a specific sum of squares (SS), are employed to calculate the magnitude to which the model matches the figures successfully. It has been determined through the computation of p-values that the three factors receiving investigation significantly influence both replies, with the p-value being below 0.0001. The quality of fit is evaluated by considering the dependence on multiple indices. A specific p-value for each fitted dummy is slighter than 0.0001 for the initial deficiency of fit. Second, the model’s ability to account for response variation is demonstrated R 2 and modified R 2 . The R 2 value in a regression model is a particular percentage of discrepancy in a particular dependent variable that can be spell out by the independent variables. When the R 2 value is higher, it stipulates that a specific model of regression fits the data well. In this case, the R 2 value is measured at about 99% for all response variables; this implies that this model is appropriate for determining the response function values.

Table 3

ANOVA for quadratic model for Nusselt number

Source Sum of squares Df Mean square f-value p-value
Model 0.0027 5 0.0005 84515.75 <0.0001 Significant
A-We 0.0019 1 0.0019 2.929 × 1005 <0.0001
B-m 0.0006 1 0.0006 90847.65 <0.0001
AB 0.0002 1 0.0002 38761.66 <0.0001
A 2 0.0000 1 0.0000 0.0000 1.0000
B 2 1.441 × 10−07 1 1.441 × 10−07 22.66 0.0021
Residual 4.452 × 10−08 7 6.360 × 10−09
Lack of fit 4.452 × 10−08 3 1.484 × 10−08
Pure error 0.0000 4 0.0000
Cor total 0.0027 12 0.0005
Table 4

ANOVA for quadratic model for sheet thickness

Source Sum of squares df Mean square F-value p-value
Model 0.0004 5 0.0001 96017.21 <0.0001 Significant
A-We 0.0001 1 0.0001 56727.36 <0.0001
B-m 0.0003 1 0.0003 2.959 × 1005 <0.0001
AB 0.0001 1 0.0001 1.274 × 1005 <0.0001
A 2 1.639 × 10−09 1 1.639 × 10−09 1.80 0.2217
B 2 2.967 × 10−08 1 2.967 × 10−08 32.56 0.0007
Residual 6.379 × 10−09 7 9.112 × 10−10
Lack of fit 6.379 × 10−09 3 2.126 × 10−09
Pure error 0.0000 4 0.0000
Cor total 0.0004 12
Table 5

ANOVA for 2FI model for shear stress

Source Sum of squares Df Mean square F-value p-value
Model 0.0398 3 0.0133 6205.91 <0.0001 Significant
A-We 0.0316 1 0.0316 14747.34 <0.0001
B-m 0.0055 1 0.0055 2571.42 <0.0001
AB 0.0028 1 0.0028 1298.97 <0.0001
Residual 0.0000 9 2.140 × 10−06
Lack of fit 0.0000 5 3.852 × 10−06
Pure error 0.0000 4 0.0000
Cor total 0.0399 12

A specific accuracy of a given constructed regression model is validated by examining the ANOVA, refer to Tables 35. By evaluating p and F values, the discrepancy in a given data and the dummy significance are determined. The detailed discussion about p and f values for the Nusselt number is that the Forecast R 2 of 0.9998 is in coherent agreement with the conformed R 2 of 1.0000; i.e., the difference is slighter than 0.2. Adeq precision standard the signal-to-noise ratio. A ratio greater than 4 is desirable. The ratio 1012.741 signifies an adequate signal. This paradigm can facilitate map-reading inside the design space. The model F-value of 84515.75 designates the model’s significance. It is approximately 0.01% likely that an F-value of this size would result from random noise. P-values slighter than 0.0500 designates statistical significance for the model terms. A , B , A B , along with B 2 , are the dominant terms in the model. Values beyond 0.1000 recommend that the model terms lack significance. Model depletion may amplify your model if numerous inconsequential terms are contemporary, except those mandatories for hierarchical support. The summary of fit data for all replies are present in Tables 68.

Table 6

Fit statistics summary

Std. dev. 0.0001 R 2 1.0000
Mean −0.0985 Adjusted R 2 1.0000
C.V. % 0.0810 Predicted R 2 0.9998
Adeq precision 1012.7410
Table 7

Fit statistics

Std. dev. 0.0000 R 2 1.0000
Mean 1.23 Adjusted R 2 1.0000
C.V. % 0.0025 Predicted R 2 0.9999
Adeq precision 1179.1611
Table 8

Fit statistics

Std. dev. 0.0015 R 2 0.9995
Mean −0.4283 Adjusted R 2 0.9994
C.V. % 0.3415 Predicted R 2 0.9978
Adeq precision 253.3947

For sheet thickness, the predicted R 2 of 0.9999 is in practicable concurrence with a particular adjusted R 2 of 1.0000; i.e., the differentiation is slighter than 0.2. Adeq precision estimates the signal-to-noise ratio. A ratio more substantial than 4 is recommendable. The ratio 1179.161 suggested a requisite signal. The design area can be traverse with the help of this dummy. The model F-value of 96017.21 designates that a specific dummy is notable. The prospect of obtaining an F-value of this enormousness due to random clamor is about 0.01%. P-values beneath 0.0500 signify that the model terms are scientifically notable. A, B, AB, and B 2 are dominant terms in the model. Values beyond 0.1000 manifest that the model terms lack significance. Model depletion may amplify your model if numerous irrelevant words are present (excluding those necessary for hierarchy support).

For shear stress, the predicted R 2 of 0.9978 is in practicable concurrence with the adjusted R 2 of 0.9994; i.e., the distinction is slighter than 0.2. Adeq precision quantifies the signal-to-noise ratio. A proportion over 4 is preferable. The ratio of 253.395 is evidence of an ample signal. This model is pertinent for traversing the design interval. The model F-value of 6205.91 stipulates that the model is significant. The probability of an F-value of this enormousness arising from random noise is about 0.01%. P-values below 0.0500 signify that the model terms are statistically significant. A, B, and AB are dominant terms in the model. Values beyond 0.1000 signify that the model terms lack modification. Model reduction may enhance your model if numerous inconsequential terms are present, except those necessary for hierarchical support.

7.2 Regression models of responses

Figures 24, independently, show the surplus and normal probability charts for Nu , H H 0 , and S x y . These charts show two often-used diagnostic representations used to examine a regression model’s hypotheses. The frequency distribution shows a steady linear tendency, supporting the hypothesis that the errors have a normal distribution. The interconnection between a particular anticipated and actual values exhibits a specific model’s degree of validity and fit. A specific residual for Nu as well H H 0 is almost exactly a straight line, which leads one to believe that the inaccuracy has standard dissemination.

Figure 2 
                  Residual plots for 
                        
                           
                           
                              Nu
                           
                           \text{Nu}
                        
                     : (a) normal probability, (b) goodness of fit, (c) studentized residuals against predicted, and (d) studentized residuals against the run number.
Figure 2

Residual plots for Nu : (a) normal probability, (b) goodness of fit, (c) studentized residuals against predicted, and (d) studentized residuals against the run number.

Figure 3 
                  Residual plots for sheet thickness: (a) normal probability, (b) goodness of fit, (c) studentized residuals against predicted, and (d) studentized residuals against run number.
Figure 3

Residual plots for sheet thickness: (a) normal probability, (b) goodness of fit, (c) studentized residuals against predicted, and (d) studentized residuals against run number.

Figure 4 
                  Residual plots for share stress: (a) normal probability, (b) goodness of fit, (c) studentized residuals against predicted, and (d) studentized residuals against run number.
Figure 4

Residual plots for share stress: (a) normal probability, (b) goodness of fit, (c) studentized residuals against predicted, and (d) studentized residuals against run number.

The forecast values vs particular actual ones for Nu , H H 0 , as well as S x y are shown in Figures 2(b) and 3(b) and and 4(b). These graphs show that the residuals nearly match an aligned line, indicating that a particular regression dummy correctly predicted the actual values. Also, a specific actual value (design points) has been contrasting to the expected values of the regression models. The regression model is found to be precisely matched with the actual data when the residuals persistently align with or virtually the straight line.

Based on a mathematical framework developed through RSM, response surface plots given in Figure 5(a)–(f) provide a two- and three-dimensional visualization of the relationship in the middle of independent variables along with a specific response variable in the systems. These plots illustrate how variations in the independent variables, represented on the x - and y -axes, influence a particular response variable mapped along the z -axis. Such visualizations are instrumental in identifying optimal conditions and interaction effects within multi-variable processes.

Figure 5 
                  Contour and 3D surface response plot of 
                        
                           
                           
                              Nu
                           
                           \text{Nu}
                        
                     , 
                        
                           
                           
                              
                                 H
                                 
                                    
                                       
                                          H
                                       
                                       
                                          0
                                       
                                    
                                 
                              
                           
                           \frac{H}{{H}_{0}}
                        
                     , and 
                        
                           
                           
                              
                                 
                                    S
                                 
                                 
                                    x
                                    y
                                 
                              
                           
                           {S}_{xy}
                        
                     .
Figure 5

Contour and 3D surface response plot of Nu , H H 0 , and S x y .

In the calendering process, optimization focuses on achieving key targets: maximizing a particular heat transfer rate (represented by the Nu ), H H 0 , and minimizing S x y . Minimizing S x y is particularly important, as it reduces the force needed to draw the sheet through the roll gap, enhancing operational efficiency. Simultaneously, maximizing H H 0 and Nu contributes to improved material quality and heat dissipation, which are critical to the product’s performance. The optimal factor levels that balance these objectives can be identified using RSM and numerical optimization techniques. RSM facilitates a detailed analysis of interactions and nonlinear effects, enabling the development of a model that minimizes S x y while maximizing Nu and H H 0 . This approach uses a “desirability function” to evaluate the combined outcome, where a higher desirability score indicates a more favorable solution across the defined goals. The graphical depiction of this analysis can be observed in Figure 6, and a desirability score of 0.547 was achieved, suggesting a moderate alignment with the targeted objectives. By further fine-tuning the factor levels, the desirability score could potentially increase, yielding an optimal solution with maximized efficiency, product quality, and heat transfer, thereby defining the most favorable conditions for the calendering process.

Figure 6 
                  Optimum solution with desirability.
Figure 6

Optimum solution with desirability.

Residual plots are essential diagnostic tools in regression analysis. They allow for the examination of model assumptions. By analyzing residuals, one can assess the goodness-of-fit of a model and identify potential areas for improvement or data issues, such as outliers or patterns that the model fails to capture. So, the residual plots for the Nu , H H 0 , and S x y are displayed in Figures 79. Several key aspects of model performance can be observed. The normal probability plots in all cases show that the residuals generally align well with the red reference line, indicating that the residuals are approximately normally distributed.

Figure 7 
                  Residual plots for Nusselt number.
Figure 7

Residual plots for Nusselt number.

Figure 8 
                  Residual plots for sheet thickness.
Figure 8

Residual plots for sheet thickness.

Figure 9 
                  Residual plots for shear stress.
Figure 9

Residual plots for shear stress.

Finally, the ANOVA and model summary for Nu , H H 0 , and S x y through ANOVA are given in Tables 914, independently.

Table 9

ANOVA for Nu

Source DF Adj SS Adj MS F-value P-value
Model 4 0.002688 0.000672 28496.93 0.000
Linear 2 0.002441 0.001221 51765.22 0.000
We 1 0.001863 0.001863 79023.59 0.000
M 1 0.000578 0.000578 24506.84 0.000
Square 1 0.000000 0.000000 1.04 0.338
We*We 1 0.000000 0.000000 1.04 0.338
2-way interaction 1 0.000247 0.000247 10456.25 0.000
We*m 1 0.000247 0.000247 10456.25 0.000
Error 8 0.000000 0.000000
Lack of fit 4 0.000000 0.000000 * *
Pure error 4 0.000000 0.000000
Total 12
Table 10

Model dummary appropriate to Nu

S R-sq R-sq(adj) R-sq(pred)
0.0001536 99.99% 99.99% 99.97%
Table 11

ANOVA for sheet thickness

Source DF Adj SS Adj MS F-value P-value
Model 5 0.000437 0.000087 96017.21 0.000
Linear 2 0.000321 0.000161 176338.09 0.000
We 1 0.000052 0.000052 56727.36 0.000
M 1 0.000270 0.000270 295948.82 0.000
Square 2 0.000000 0.000000 16.68 0.002
We*We 1 0.000000 0.000000 1.80 0.222
m*m 1 0.000000 0.000000 32.56 0.001
2-way interaction 1 0.000116 0.000116 127376.52 0.000
We*m 1 0.000116 0.000116 127376.52 0.000
Error 7 0.000000 0.000000
Lack of fit 3 0.000000 0.000000 * *
Pure error 4 0.000000 0.000000
Total 12 0.000437
Table 12

Model abstract for sheet thickness

S R-sq R-sq(adj) R-sq(pred)
0.0000302 100.00% 100.00% 99.99%
Table 13

ANOVA for shear stress

Source DF Adj SS Adj MS F-value P-value
Model 5 0.039849 0.007970 3872.01 0.000
Linear 2 0.037064 0.018532 9003.54 0.000
We 1 0.031561 0.031561 15333.46 0.000
M 1 0.005503 0.005503 2673.62 0.000
Square 2 0.000005 0.000002 1.18 0.362
We*We 1 0.000001 0.000001 0.41 0.540
m*m 1 0.000002 0.000002 1.09 0.331
2-way interaction 1 0.002780 0.002780 1350.60 0.000
We*m 1 0.002780 0.002780 1350.60 0.000
Error 7 0.000014 0.000002
Lack of fit 3 0.000014 0.000005 * *
Pure error 4 0.000000 0.000000
Total 12 0.039863
Table 14

Model abstract for shear stress

S R-sq R-sq(adj) R-sq(pred)
0.0014347 99.96% 99.94% 99.64%

7.3 Sensitivity analysis

Nusselt number, sheet thickness, and shear stress are important in hydrodynamics and calendering processes. Regression Eqs. (52) and (55) are the basis for calculating the sensitivity. The term “sensitivity functions” refers to the restricted derivatives of a certain response variable with regard to the factor variables. They exist as follows:

(54) Nu = 0.098604352453103 0.017622230318333 A + 0.0098135513666667 B + 0.007850841105 A B + 0.00022842028586205 B 2 ,

(55) Nu A = 0.017622230318333 + 0.007850841105 B ,

(56) Nu B = 0.0098135513666667 + 0.007850841105 A + 0.0004568405718 B ,

(57) H H 0 = 1.2294358965517 + 0.0029351666666665 A 0.0067041666666669 B 0.0053867499999998 A B + 0.000024362068965614 A 2 0.0001036379310344 B 2 ,

(58) A H H 0 = 0.0029351666666665 0.0053867499999998 B + 0.00004872413794 A ,

(59) B H H 0 = 0.0067041666666669 0.0053867499999998 A ,

(60) S x y = 0.42834923076923 0.072526666666667 A + 0.030285 B + 0.0263625 A B ,

(61) S x y A = 0.072526666666667 + 0.0263625 B ,

(62) S x y B = 0.030285 + 0.0263625 A ,

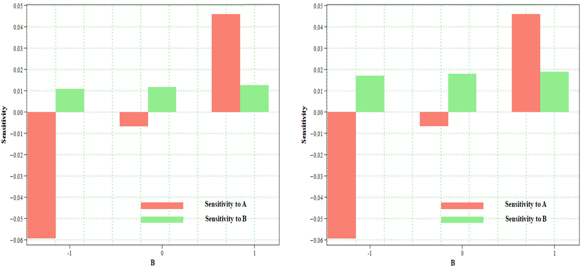
where Nu A . Nu B , A H H 0 , B H H 0 , S x y A , and S x y B are a specific sensitivity function. A particular sensitivity of the involved inputs ( We , along with m ) on quantity produced at distinct levels is described in Table 15. Also, its graphical bar charts given in Figures 1012 illustrate a particular sensitivity of Nu , H H 0 together with S x y . From these figures, it can be concluded that a positive sensitivity output designate that strengthens the input variable’s value enhances the output function’s value. Conversely, a negative sensitivity value signifies that increasing the input variable decreases the output function.

Table 15

Sensitivity analysis data for Nu , H H 0 , and S x y

A : We B:m Nu A Nu B A H H 0 B H H 0 S x y A S x y B
−1 0.5 −0.013697 0.010827 0.0002467 0.010827 −0.059346 0.010827
2.5 0.002005 0.011741 −0.010527 0.011741 −0.006622 0.011741
4.5 0.017707 0.012655 −0.0213 0.012655 0.046103 0.012655
0 0.5 −0.013697 0.013967 0.0002662 0.013967 −0.059346 0.013967
2.5 0.002005 0.014881 −0.010507 0.014881 −0.006622 0.014881
4.5 0.017707 0.015795 −0.02128 0.015795 0.046103 0.015795
1 0.5 −0.013697 0.017107 0.0002857 0.017107 −0.059346 0.017107
2.5 0.002005 0.018021 −0.010488 0.018021 −0.006622 0.018021
4.5 0.017707 0.018935 −0.021261 0.018935 0.046103 0.018935
Figure 10 
                  Sensitivity analysis of 
                        
                           
                           
                              Nu
                           
                           \text{Nu}
                        
                      at 
                        
                           
                           
                              A
                              =
                              −
                              1
                           
                           A=-1
                        
                      and at 
                        
                           
                           
                              A
                              =
                              1
                           
                           A=1
                        
                     , respectively.
Figure 10

Sensitivity analysis of Nu at A = 1 and at A = 1 , respectively.

Figure 11 
                  Sensitivity analysis of 
                        
                           
                           
                              
                                 H
                                 
                                    
                                       
                                          H
                                       
                                       
                                          0
                                       
                                    
                                 
                              
                           
                           \frac{H}{{H}_{0}}
                        
                      at 
                        
                           
                           
                              A
                              =
                              −
                              1
                           
                           A=-1
                        
                      and at 
                        
                           
                           
                              A
                              =
                              1
                           
                           A=1
                        
                     , respectively.
Figure 11

Sensitivity analysis of H H 0 at A = 1 and at A = 1 , respectively.

Figure 12 
                  Sensitivity analysis of 
                        
                           
                           
                              
                                 
                                    S
                                 
                                 
                                    x
                                    y
                                 
                              
                           
                           {S}_{xy}
                        
                      at 
                        
                           
                           
                              A
                              =
                              −
                              1
                           
                           A=-1
                        
                      and at 
                        
                           
                           
                              A
                              =
                              1
                           
                           A=1
                        
                     , respectively.
Figure 12

Sensitivity analysis of S x y at A = 1 and at A = 1 , respectively.

8 Results and discussions

This section explains how the involved parameters for an incompressible EP fluid model whose viscosity is temperature-dependent during the calendering process affect the flow velocity, pressure gradient, power input pressure, and streamline graphically. The tables show a certain numeric result for the roll-separating force, leave of point, and the final sheet thickness for the various values of involved parameters.

Physical parameters are involved in the coating process [36].

Parameters Values Unit
H 0 1.2  ×  10−4 – 7.6  ×  10−6 m
U 0.2–5 m s 1
R 0.1…0.15 m
ρ 850…1,200 kg m 3
We 0.1. 0.9
m 0.5…4.5
Br 0.1…0.9

The impact of several parameters on velocity profile u ( y ) , pressure distribution p ( x ) , pressure gradient d p d x , temperature distribution θ ( y ) , power input ( p w ) , and Nusselt number ( Nu ) is shown graphically in Figures 1320. Figure 13(a) and (b) illustrates the effect of the Weissenberg number ( We ) on a certain u ( y ) at the positions x = −0.5 and 0, with varying values of We from 0.1 to 0.9, with corresponding changes in the parameter λ , respectively. The We is a dimensionless parameter that distinguishes a viscoelastic fluid’s ratio of elastic to viscous forces. From figure, it has been observed that the u ( y ) increases as We increase. As We increases, λ also increases, indicating that higher elastic effects (associated with larger We ) result in increased fluid velocities. The black dotted line labeled “Newtonian” serves as a reference for comparison. It shows the velocity profile characteristic of Newtonian fluids, where viscosity remains constant. The deviation of the non-Newtonian fluid profiles from this baseline clearly demonstrates the impact of the fluid’s properties on its flow behavior. Furthermore, comparing the results to the well-understood Newtonian case helps provide validity for the analysis of the non-Newtonian fluid. Figure 14(a) and (b) demonstrates the impact of the viscosity-dependent temperature parameter m on a particular u ( y ) at the fixed position x = −0.5 and x = 0 in the process under consideration. The parameter m represents the domination of temperature on the fluid’s viscosity, with the graph illustrating profiles for various values of m ranging from 0.5 to 4.5, each associated with a different value of λ .

Figure 13 
               
                  
                     
                        
                        
                           u
                           
                              
                                 (
                                 
                                    y
                                 
                                 )
                              
                           
                        
                        u(y)
                     
                   for distinct values of 
                     
                        
                        
                           We
                        
                        \text{We}
                     
                   at (a) 
                     
                        
                        
                           x
                           =
                           −
                           0.5
                        
                        x=-0.5
                     
                   and (b) 
                     
                        
                        
                           x
                           =
                           0
                        
                        x=0
                     
                  .
Figure 13

u ( y ) for distinct values of We at (a) x = 0.5 and (b) x = 0 .

Figure 14 
               
                  
                     
                        
                        
                           u
                           
                              
                                 (
                                 
                                    y
                                 
                                 )
                              
                           
                        
                        u(y)
                     
                   for distinct values of 
                     
                        
                        
                           m
                        
                        m
                     
                   at (a) 
                     
                        
                        
                           x
                           =
                           −
                           0.5
                        
                        x=-0.5
                     
                   and (b) 
                     
                        
                        
                           x
                           =
                           0
                        
                        x=0
                     
                  .
Figure 14

u ( y ) for distinct values of m at (a) x = 0.5 and (b) x = 0 .

Figure 15 
               
                  
                     
                        
                        
                           u
                           
                              
                                 (
                                 
                                    y
                                 
                                 )
                              
                           
                        
                        u(y)
                     
                   for distinct values of 
                     
                        
                        
                           Br
                        
                        \text{Br}
                     
                   at (a) 
                     
                        
                        
                           x
                           =
                           −
                           0.5
                        
                        x=-0.5
                     
                   and (b) 
                     
                        
                        
                           x
                           =
                           0
                        
                        x=0
                     
                  .
Figure 15

u ( y ) for distinct values of Br at (a) x = 0.5 and (b) x = 0 .

Figure 16 
               
                  
                     
                        
                        
                           
                              
                                 d
                                 p
                              
                              
                                 d
                                 x
                              
                           
                        
                        \frac{\text{d}p}{\text{d}x}
                     
                   against 
                     
                        
                        
                           x
                        
                        x
                     
                   for distinct values of (a) 
                     
                        
                        
                           We
                        
                        \text{We}
                     
                   and (b) 
                     
                        
                        
                           m
                        
                        m
                     
                  .
Figure 16

d p d x against x for distinct values of (a) We and (b) m .

Figure 17 
               
                  
                     
                        
                        
                           p
                           
                              
                                 (
                                 
                                    x
                                 
                                 )
                              
                           
                        
                        p(x)
                     
                   against 
                     
                        
                        
                           x
                        
                        x
                     
                   for distinct values of (a) 
                     
                        
                        
                           We
                        
                        \text{We}
                     
                   and (b) 
                     
                        
                        
                           m
                        
                        m
                     
                  .
Figure 17

p ( x ) against x for distinct values of (a) We and (b) m .

Figure 18 
               Temperature distribution opposed to 
                     
                        
                        
                           y
                        
                        y
                     
                   for dissimilar values of (a) 
                     
                        
                        
                           We
                        
                        \text{We}
                     
                   and (b) 
                     
                        
                        
                           m
                        
                        m
                     
                  .
Figure 18

Temperature distribution opposed to y for dissimilar values of (a) We and (b) m .

Figure 19 
               Temperature distribution opposed to 
                     
                        
                        
                           y
                        
                        y
                     
                   for various values of (a) 
                     
                        
                        
                           We
                        
                        \text{We}
                     
                   and (b) 
                     
                        
                        
                           
                              
                                 p
                              
                              
                                 w
                              
                           
                        
                        {p}_{w}
                     
                  .
Figure 19

Temperature distribution opposed to y for various values of (a) We and (b) p w .

Figure 20 
               
                  
                     
                        
                        
                           Nu
                        
                        \text{Nu}
                     
                   for different values of (a) 
                     
                        
                        
                           We
                        
                        \text{We}
                     
                   and (b) 
                     
                        
                        
                           m
                        
                        m
                     
                  .
Figure 20

Nu for different values of (a) We and (b) m .

Figure 14(a) illustrates the significant impact of the temperature-dependent viscosity parameter m on the velocity profile u ( y ) and leave distance λ during calendering. As m increases from 0.5 to 4.5, the fluid velocity systematically decreases. This indicates that a higher “m” value, signifying greater sensitivity of viscosity to temperature changes, leads to effectively higher fluid viscosity and slower fluid flow. Specifically, low m values (e.g., 0.5) correspond to less temperature-sensitive fluids, allowing for higher flow velocities. Conversely, increasing “m” drastically increases viscosity in response to temperature variations, resulting in greater internal resistance and reduced flow rates. This reduction in velocity is directly linked to a decrease in the λ , the point of material detachment from the roll. Similarly, Figure 14(b) depicts the u ( y ) at x = 0, the midpoint between the calendering rollers; with various values of the m , maximum u ( y ) is observed, indicating that the fluid moves more uniformly in this region. This position represents the midpoint of the flow, where the shear rates are relatively lower compared to the edges of the calendering system. A similar trend can be perceived from Figure 15(a) and (b) for a certain increasing value of Br .

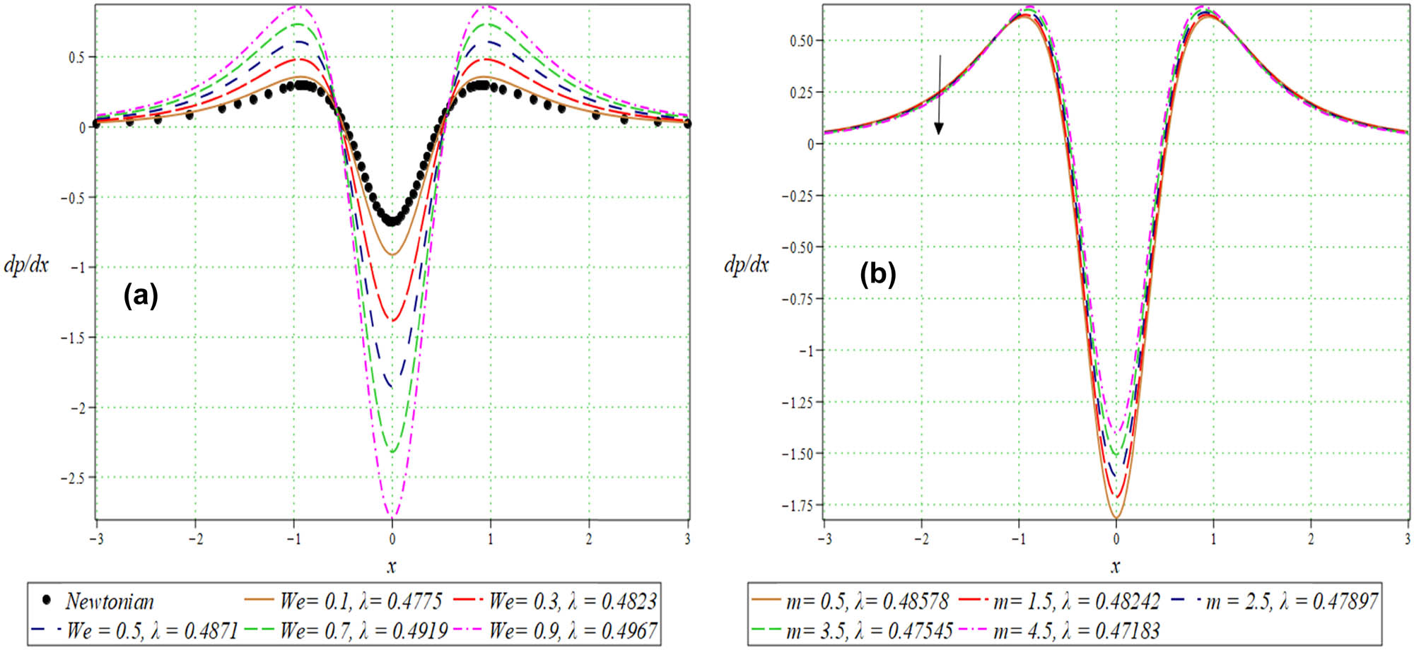
The pressure gradient d p d x and the pressure profile ( p ( x ) ) are crucial factors in a certain calendering process of EP fluids. The d p d x , which is the outlay of interchange of p ( x ) with respect to an interval x along the roll gap, represents the driving force for fluid flow. So, Figure 16(a) and (b) shows the impact of emerging parameters on d p d x , whereas Figure 16(a) illustrates the effect of the We on the d p d x along the roll gap x . It is observed that the d p d x exhibits symmetric behavior around the nip region at x = 0 , where the rollers are in closest contact. The d p d x profiles exhibit symmetric behavior around the nip region ( x = 0 ) . As it moves away from the nip region, the d p d x increases symmetrically and eventually turns to zero at the attachment and detachment points, where the fluid exits the rollers. Also, as the We increases, the magnitude of the d p d x increases. With an increase in d p d x , the amount We is primarily due to the enhanced elastic effects in the fluid. At higher We , the elastic forces become more dominant than the viscous forces, leading to a greater resistance to flow and a higher-pressure buildup, suggesting a stronger driving force for fluid flow between the rolls. Moreover, it is translucent from Figure 16(b) that a particular incompatible trend has been detected for increasing m value as compared to We.

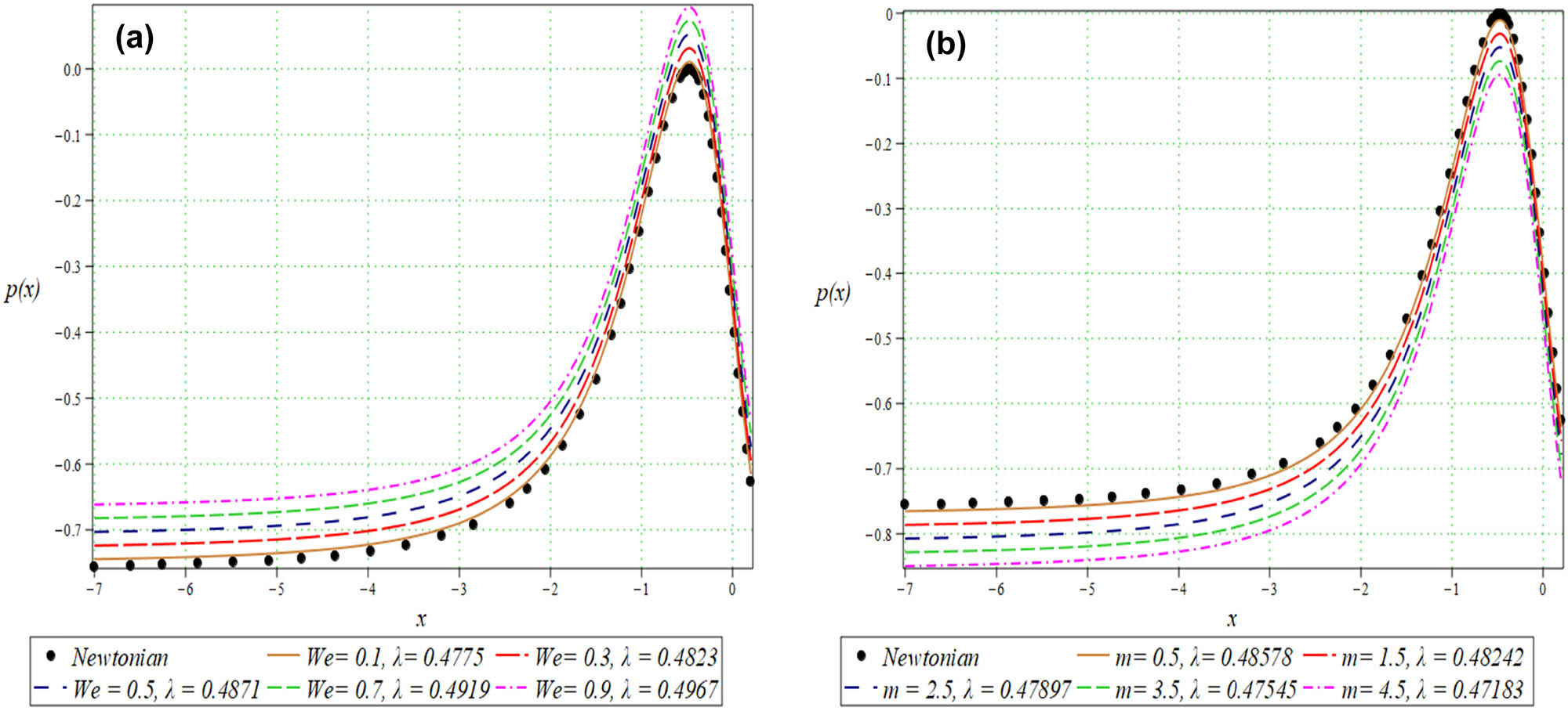
The pressure profile, which is the variation of pressure across the roll gap, is influenced by the d p d x , and fluid properties are shown in Figure 17(a) and (b). The consequence of We on p ( x ) along the roller length during the calendering process is illustrated in Figure 17(a). From figure, it can be observed that the We varies from 0.1 to 0.9, with each profile corresponding to a specific value of We and its associated leave distance λ . The pressure profile exhibits a peak just before the nip region ( x = 0 ) , after which it sharply declines. This peak position is physically intuitive, as the maximum pressure is needed to force the fluid through the narrowest part of the channel, where the rollers are closest together. As We increases, the pressure curves rise, especially around the peak, indicating higher pressure build-up due to enhanced elastic effects, whereas the decreasing trend has been observed for the increasing value of m . This behavior arises because higher m values correspond to a stronger reduction in viscosity with increasing temperature. Both plots include a reference Newtonian case (black dots), which serves as a benchmark to assess the behavior of non-Newtonian fluids under varying physical conditions.

The temperature profile θ ( y ) plays a crucial role in the calendering process for variable viscosity fluids, as it significantly impacts the fluid’s rheological properties, such as viscosity and flow behavior. In calendering, temperature variations can cause the fluid’s viscosity to change dynamically. A higher temperature typically reduces the fluid’s viscosity, making it easier for the fluid to flow and spread evenly, which is crucial for achieving uniform coating thickness. Figures 18(a) and (b) and 19(b) show the impact of various emerging parameters on θ ( y ) . The x -axis is elected by the dimensionless distance along the calender, and the y -axis is elected by the dimensionless temperature. Figure 18(a) investigates the influence of the We – a dimensionless parameter characterizing the elastic properties of the fluid on temperature against y within the flow domain. The graph includes multiple curves corresponding to We = 0.1, 0.3, 0.5, 0.7, and 0.9, as well as a black dotted line labeled “Newtonian” that serves as a reference for a Newtonian fluid (a fluid with constant viscosity). There is also an upward arrow shown on the graph, pointing from the lower lines toward the upper lines. This arrow, along with the legend at the bottom, clearly indicates that as the We increases, the corresponding outcomes for temperature shift upward. Physically, it means that as We increases, it indicates a stronger dominance of elastic effects in the fluid behavior. These elastic effects cause the fluid particles to stretch and store deformation energy, which is then gradually released during flow. This process generates additional internal stresses, which contribute to dissipative heating – a mechanism where mechanical energy is converted into thermal energy within the fluid. As a result, the conversion of elastic energy into heat leads to a rise in the fluid temperature. A similar trend can be witnessed from Figure 19(a) for Br . In contrast, the illustration of the influence of the m (from the Reynolds model of viscosity) on the temperature profile θ ( y ) is shown in Figure 18(b). The figure shows that as m increases from 0.5 to 4.5, the temperature profile exhibits a noticeable decreasing trend. As m increases, the temperature profile progressively lowers, indicating that the fluid’s viscosity is more strongly influenced by temperature. This reduction in temperature suggests less heat generation due to internal friction or viscous dissipation, as the fluid becomes more responsive to temperature variations. This trend highlights the crucial role of m in controlling the thermal behavior of the fluid. Therefore, m is essential for managing the temperature distribution and optimizing the performance of the calendering process for variable viscosity fluids. Also, the p w is displayed in Figure 19(b).

In Figure 20(a), we observe the consequence of increasing a specific We on a given Nu . The graph shows that as the We rises, the Nu also increases. This implies that higher elastic effects (increased We ) lead to enhanced heat transfer in the system. Physically, this suggests that as the fluid’s elasticity grows, the flow becomes more capable of dissipating thermal energy, which is reflected in the rising Nu . Additionally, a particular detachment point λ increases with the We , further indicating that the elastic forces impact both the flow separation and the heat transfer process. Figure 20(b) highlights the influence of the m on the Nu . Here, it is evident that as m increases, the Nu decreases. This shows that as the temperature dependence of the viscosity becomes stronger (with higher m ), the heat transfer rate drops. Moreover, the numeric outcome for the impact of the We on several key parameters, inclusive of a certain contingent point ( λ ) , H H 0 , and the force separating the rolls, is illustrated in Table 16. The results indicate that as the We increases, both the λ and H H 0 rise while the roll-separating force decreases. In Table 17, the influence of the m is analyzed. It is evident that as the m increases, both the λ and H H 0 show a decreasing trend.

Table 16

Effect of We on leave-off distance, final sheet thickness, and roll separation force

We λ H H 0 F
0.1 0.47752 1.2280 −6.754281
0.2 0.47992 1.2303 −6.756111
0.3 0.48232 1.2326 −6.757941
0.4 0.48472 1.2349 −6.759770
0.5 0.48712 1.2372 −6.761599
0.6 0.48952 1.2396 −6.763428
0.7 0.49192 1.2419 −6.765262
0.8 0.49432 1.2443 −6.767085
0.9 0.49672 1.2467 −6.768913
Table 17

Effect of m on leave-off distance, final sheet thickness, and roll separation force

m λ H H 0 F
0.5 0.48578 1.2359 −6.76099
1 0.48411 1.2343 −6.75727
1.5 0.48242 1.2327 −6.75761
2 0.48071 1.2310 −6.75787
2.5 0.47897 1.2294 −6.75392
3 0.47722 1.2277 −6.75403
3.5 0.47545 1.2260 −6.75404
4 0.47365 1.2243 −6.74988
4.5 0.47183 1.2226 −6.74973

9 Conclusions

This study presents a comprehensive theoretical investigation into the influence of various factors on the temperature-dependent viscosity of an Eyring–Powell fluid flowing between two equally sized rolls rotating at identical speeds in a calendering process. By applying an appropriate transformation, the dimensional momentum and energy-governing equations were converted into a non-dimensional form and simplified using the lubrication approximation theory. The resulting nonlinear ordinary differential equations were analytically solved using a perturbation method. The accuracy of the RSM approach was found to be approximately 99%, which was employed to generate 3D surface plots and 2D contour plots. The fluid flow characteristics, analyzed in terms of key parameters, were presented through tables and graphs, offering valuable insights.

The study revealed that the maximum fluid velocity occurs at the mid-region of the calender gap. An increase in the viscosity parameter was observed to reduce the detachment point, sheet thickness, pressure gradient, and pressure profile. Conversely, an increase in the Brinkman number enhanced the velocity profile while decreasing the temperature distribution. Additionally, the viscosity parameter significantly influenced the Nusselt number, thereby impacting heat transfer efficiency.

These findings enhance the understanding of heat transfer and flow dynamics in the calendering process of Eyring–Powell fluids, providing practical insights for optimizing industrial applications. The study also lays a solid foundation for future research in this area.



Acknowledgments

This work was supported by the Deanship of Scientific Research, Vice Presidency for Graduate Studies and Scientific Research, King Faisal University, Saudi Arabia (Grant No. 252105). Also, this research was supported by the Talent Project of Tianchi Young-Doctoral Program in Xinjiang Uygur Autonomous Region of China (Grant No. 51052401510).

  1. Funding information: This work was supported by the Deanship of Scientific Research, Vice Presidency for Graduate Studies and Scientific Research, King Faisal University, Saudi Arabia (Grant No. 252105).

  2. Author contributions: The idea was created and integrated into a mathematical model by F.A. & M.Z.; F.A. solved the problem; F.A. and M.F. wrote the manuscript; B.S., N.A.T., F.A. and A.A.F. highlighted the physics involved in the problem and added to the discussion of it; S.S.K.R., F.A., and M.W.A. reviewed, edited, and helped with the English corrections. All authors have accepted responsibility for the entire content of this manuscript and approved its submission.

  3. Conflict of interest: The authors state no conflict of interest.

  4. Data availability statement: Data sharing is not applicable to this article as no datasets were generated or analyzed during the current study.

References

[1] Javed M, Akram R, Nazeer M, Ghaffari A. Heat transfer analysis of the non-Newtonian polymer in the calendering process with slip effects. Int J Mod Phys B. 2024;38:2450105.10.1142/S0217979224501054Search in Google Scholar

[2] Ardichvili G. An attempt at a rational determination of the ambering of calender rolls. Kautschuk. 1938;14:23–5.Search in Google Scholar

[3] Paslay P. Calendering of a viscoelastic material. J Appl Mech. 1957;24(4):602–8.10.1115/1.4011607Search in Google Scholar

[4] Bergen J, Scott Jr G. Pressure distribution in the calendering of plastic materials. J Appl Mech. 1951;18(1):101–6.10.1115/1.4010227Search in Google Scholar

[5] Gaskell R. The calendering of plastic materials. J Appl Mech. 1950;17(3):334–6.10.1115/1.4010136Search in Google Scholar

[6] Kiparissides C, Vlachopoulos J. Finite element analysis of calendering. Polym Eng Sci. 1976;16:712–9.10.1002/pen.760161010Search in Google Scholar

[7] Tadmor Z, Gogos CG. Principles of polymer processing. Hoboken, New Jersey, USA: John Wiley & Sons; 2013.Search in Google Scholar

[8] Brazinsky I, Cosway H, Valle Jr C, Jones RC, Story V. A theoretical study of liquid‐film spread heights in the calendering of Newtonian and power law fluids. J Appl Polym Sci. 1970;14:2771–84.10.1002/app.1970.070141111Search in Google Scholar

[9] Alston Jr WW, Astill KN. An analysis for the calendering of non‐Newtonian fluids. J Appl Polym Sci. 1973;17:3157–74.10.1002/app.1973.070171018Search in Google Scholar

[10] Middleman S. Fundamentals of polymer processing. New York: McGraw-Hill; 1977.Search in Google Scholar

[11] Soong DS. Polymer processing. Chem Eng Educ. 1981;15:204–7.Search in Google Scholar

[12] Zheng R, Tanner R. A numerical analysis of calendering. J Non-Newtonian Fluid Mech. 1988;28:149–70.10.1016/0377-0257(88)85037-7Search in Google Scholar

[13] Mitsoulis E, Vlachopoulos J, Mirza F. Calendering analysis without the lubrication approximation. Polym Eng Sci. 1985;25:6–18.10.1002/pen.760250103Search in Google Scholar

[14] Arcos J, Méndez F, Bautista O. Effect of temperature-dependent consistency index on the exiting sheet thickness in the calendering of power-law fluids. Int J Heat Mass Transf. 2011;54:3979–86.10.1016/j.ijheatmasstransfer.2011.04.027Search in Google Scholar

[15] Sofou S, Mitsoulis E. Calendering of pseudoplastic and viscoplastic sheets of finite thickness. J Plastic Film Sheeting. 2004;20:185–222.10.1177/8756087904047660Search in Google Scholar

[16] Hatzikiriakos SG. Professor E. Mitsoulis’s contributions to rheology and computational non-Newtonian fluid mechanics. J Non-Newtonian Fluid Mech. 2023;311:104973.10.1016/j.jnnfm.2022.104973Search in Google Scholar

[17] Arcos J, Bautista O, Méndez F, Bautista E. Sensitivity of calendered thickness to temperature variations for Newtonian fluids. Eur J Mech-B/Fluids. 2012;36:97–103.10.1016/j.euromechflu.2012.03.012Search in Google Scholar

[18] Zahid M, Rana M, Siddiqui A, Haroon T. Modeling of non-isothermal flow of a magnetohydrodynamic, viscoplastic fluid during calendering. J Plastic Film Sheeting. 2016;32:74–96.10.1177/8756087915579304Search in Google Scholar

[19] Hernández A, Arcos J, Méndez F, Bautista O. Effect of pressure-dependent viscosity on the exiting sheet thickness in the calendering of Newtonian fluids. Appl Math Model. 2013;37:6952–63.10.1016/j.apm.2013.02.010Search in Google Scholar

[20] Arcos J, Bautista O, Méndez F, Bautista E. Theoretical analysis of the calendered exiting thickness of viscoelastic sheets. J Non-Newtonian Fluid Mech. 2012;177:29–36.10.1016/j.jnnfm.2012.04.004Search in Google Scholar

[21] Ali N, Javed MA, Sajid M. Theoretical analysis of the exiting thickness of sheets in the calendering of FENE-P fluid. J Non-Newtonian Fluid Mech. 2015;225:28–36.10.1016/j.jnnfm.2015.09.005Search in Google Scholar

[22] Calcagno B, Hart K, Crone W. Calendering of metal/polymer composites: an analytical formulation. Mech Mater. 2016;93:257–72.10.1016/j.mechmat.2015.10.017Search in Google Scholar

[23] Zahid M, Ali F, Souayeh B, Khan MT. Influence of variable viscosity on existing sheet thickness in the calendering of non-isothermal viscoelastic materials. Open Phys. 2024;22:20240023.10.1515/phys-2024-0023Search in Google Scholar

[24] Ali N, Javed MA, Atif HM. Non-isothermal analysis of calendering using couple stress fluid. J Plastic Film Sheeting. 2018;34:358–81.10.1177/8756087917746454Search in Google Scholar

[25] Ali F, Hou Y, Zahid M, Rana MA. Mathematical analysis of pseudoplastic polymers during reverse roll-coating. Polymers. 2020;12:2285.10.3390/polym12102285Search in Google Scholar PubMed PubMed Central

[26] Akinshilo AT, Olaye O. On the analysis of the Erying Powell model based fluid flow in a pipe with temperature dependent viscosity and internal heat generation. J King Saud Univ-Eng Sci. 2019;31:271–9.10.1016/j.jksues.2017.09.001Search in Google Scholar

[27] Ali F, Narasimhamurthy S, Hegde S, Usman M. Temperature-dependent viscosity analysis of Powell–Eyring fluid model during a roll-over web coating process. Polymers. 2024;16:1723.10.3390/polym16121723Search in Google Scholar

[28] Darbari B, Rashidi S, Abolfazli Esfahani J. Sensitivity analysis of entropy generation in nanofluid flow inside a channel by response surface methodology. Entropy. 2016;18:52.10.3390/e18020052Search in Google Scholar

[29] Javed MA, Ali N, Sajid M. A theoretical analysis of the calendering of Ellis fluid. J Plastic Film Sheeting. 2017;33:207–26.10.1177/8756087916647998Search in Google Scholar

[30] Javed MA, Ali N, Arshad S, Nawaz S, Ghaffari A. Theoretical investigation of a fluid model in calendering process involving slip at the upper roll surface. ZAMM‐J Appl Math Mech/Z Angew Math Mech. 2023;103:e202100406.10.1002/zamm.202100406Search in Google Scholar

[31] Abbas Z, Khaliq S. Calendering analysis of non-isothermal viscous nanofluid containing Cu-water nanoparticles using two counter-rotating rolls. J Plastic Film Sheeting. 2021;37:182–204.10.1177/8756087920951614Search in Google Scholar

[32] Javed MA, Asghar Z, Atif HM, Nisar M. A computational study of the calendering processes using Oldroyd 8-constant fluid with slip effects. Polym Polym Compos. 2023;31:09673911231202888.10.1177/09673911231202888Search in Google Scholar

[33] Patel M, Timol M. Numerical treatment of Powell–Eyring fluid flow using method of satisfaction of asymptotic boundary conditions (MSABC). Appl Numer Math. 2009;59:2584–92.10.1016/j.apnum.2009.04.010Search in Google Scholar

[34] Hussain F, Subia GS, Nazeer M, Ghafar M, Ali Z, Hussain A. Simultaneous effects of Brownian motion and thermophoretic force on Eyring–Powell fluid through porous geometry. Z Naturforsch A. 2021;76:569–80.10.1515/zna-2021-0004Search in Google Scholar

[35] Nazeer M, Ahmad F, Saeed M, Saleem A, Naveed S, Akram Z. Numerical solution for flow of a Eyring–Powell fluid in a pipe with prescribed surface temperature. J Braz Soc Mech Sci Eng. 2019;41:518.10.1007/s40430-019-2005-3Search in Google Scholar

[36] Abbas Z, Khaliq S. Numerical study of non-isothermal analysis of exiting sheet thickness in the calendering of micropolar-Casson fluid. J Plastic Film Sheeting. 2022;38:105–29.10.1177/87560879211025080Search in Google Scholar

Received: 2025-04-11
Revised: 2025-07-12
Accepted: 2025-07-16
Published Online: 2025-08-22

© 2025 the author(s), published by De Gruyter

This work is licensed under the Creative Commons Attribution 4.0 International License.

Articles in the same Issue

  1. Research Articles
  2. Single-step fabrication of Ag2S/poly-2-mercaptoaniline nanoribbon photocathodes for green hydrogen generation from artificial and natural red-sea water
  3. Abundant new interaction solutions and nonlinear dynamics for the (3+1)-dimensional Hirota–Satsuma–Ito-like equation
  4. A novel gold and SiO2 material based planar 5-element high HPBW end-fire antenna array for 300 GHz applications
  5. Explicit exact solutions and bifurcation analysis for the mZK equation with truncated M-fractional derivatives utilizing two reliable methods
  6. Optical and laser damage resistance: Role of periodic cylindrical surfaces
  7. Numerical study of flow and heat transfer in the air-side metal foam partially filled channels of panel-type radiator under forced convection
  8. Water-based hybrid nanofluid flow containing CNT nanoparticles over an extending surface with velocity slips, thermal convective, and zero-mass flux conditions
  9. Dynamical wave structures for some diffusion--reaction equations with quadratic and quartic nonlinearities
  10. Solving an isotropic grey matter tumour model via a heat transfer equation
  11. Study on the penetration protection of a fiber-reinforced composite structure with CNTs/GFP clip STF/3DKevlar
  12. Influence of Hall current and acoustic pressure on nanostructured DPL thermoelastic plates under ramp heating in a double-temperature model
  13. Applications of the Belousov–Zhabotinsky reaction–diffusion system: Analytical and numerical approaches
  14. AC electroosmotic flow of Maxwell fluid in a pH-regulated parallel-plate silica nanochannel
  15. Interpreting optical effects with relativistic transformations adopting one-way synchronization to conserve simultaneity and space–time continuity
  16. Modeling and analysis of quantum communication channel in airborne platforms with boundary layer effects
  17. Theoretical and numerical investigation of a memristor system with a piecewise memductance under fractal–fractional derivatives
  18. Tuning the structure and electro-optical properties of α-Cr2O3 films by heat treatment/La doping for optoelectronic applications
  19. High-speed multi-spectral explosion temperature measurement using golden-section accelerated Pearson correlation algorithm
  20. Dynamic behavior and modulation instability of the generalized coupled fractional nonlinear Helmholtz equation with cubic–quintic term
  21. Study on the duration of laser-induced air plasma flash near thin film surface
  22. Exploring the dynamics of fractional-order nonlinear dispersive wave system through homotopy technique
  23. The mechanism of carbon monoxide fluorescence inside a femtosecond laser-induced plasma
  24. Numerical solution of a nonconstant coefficient advection diffusion equation in an irregular domain and analyses of numerical dispersion and dissipation
  25. Numerical examination of the chemically reactive MHD flow of hybrid nanofluids over a two-dimensional stretching surface with the Cattaneo–Christov model and slip conditions
  26. Impacts of sinusoidal heat flux and embraced heated rectangular cavity on natural convection within a square enclosure partially filled with porous medium and Casson-hybrid nanofluid
  27. Stability analysis of unsteady ternary nanofluid flow past a stretching/shrinking wedge
  28. Solitonic wave solutions of a Hamiltonian nonlinear atom chain model through the Hirota bilinear transformation method
  29. Bilinear form and soltion solutions for (3+1)-dimensional negative-order KdV-CBS equation
  30. Solitary chirp pulses and soliton control for variable coefficients cubic–quintic nonlinear Schrödinger equation in nonuniform management system
  31. Influence of decaying heat source and temperature-dependent thermal conductivity on photo-hydro-elasto semiconductor media
  32. Dissipative disorder optimization in the radiative thin film flow of partially ionized non-Newtonian hybrid nanofluid with second-order slip condition
  33. Bifurcation, chaotic behavior, and traveling wave solutions for the fractional (4+1)-dimensional Davey–Stewartson–Kadomtsev–Petviashvili model
  34. New investigation on soliton solutions of two nonlinear PDEs in mathematical physics with a dynamical property: Bifurcation analysis
  35. Mathematical analysis of nanoparticle type and volume fraction on heat transfer efficiency of nanofluids
  36. Creation of single-wing Lorenz-like attractors via a ten-ninths-degree term
  37. Optical soliton solutions, bifurcation analysis, chaotic behaviors of nonlinear Schrödinger equation and modulation instability in optical fiber
  38. Chaotic dynamics and some solutions for the (n + 1)-dimensional modified Zakharov–Kuznetsov equation in plasma physics
  39. Fractal formation and chaotic soliton phenomena in nonlinear conformable Heisenberg ferromagnetic spin chain equation
  40. Single-step fabrication of Mn(iv) oxide-Mn(ii) sulfide/poly-2-mercaptoaniline porous network nanocomposite for pseudo-supercapacitors and charge storage
  41. Novel constructed dynamical analytical solutions and conserved quantities of the new (2+1)-dimensional KdV model describing acoustic wave propagation
  42. Tavis–Cummings model in the presence of a deformed field and time-dependent coupling
  43. Spinning dynamics of stress-dependent viscosity of generalized Cross-nonlinear materials affected by gravitationally swirling disk
  44. Design and prediction of high optical density photovoltaic polymers using machine learning-DFT studies
  45. Robust control and preservation of quantum steering, nonlocality, and coherence in open atomic systems
  46. Coating thickness and process efficiency of reverse roll coating using a magnetized hybrid nanomaterial flow
  47. Dynamic analysis, circuit realization, and its synchronization of a new chaotic hyperjerk system
  48. Decoherence of steerability and coherence dynamics induced by nonlinear qubit–cavity interactions
  49. Finite element analysis of turbulent thermal enhancement in grooved channels with flat- and plus-shaped fins
  50. Modulational instability and associated ion-acoustic modulated envelope solitons in a quantum plasma having ion beams
  51. Statistical inference of constant-stress partially accelerated life tests under type II generalized hybrid censored data from Burr III distribution
  52. On solutions of the Dirac equation for 1D hydrogenic atoms or ions
  53. Entropy optimization for chemically reactive magnetized unsteady thin film hybrid nanofluid flow on inclined surface subject to nonlinear mixed convection and variable temperature
  54. Stability analysis, circuit simulation, and color image encryption of a novel four-dimensional hyperchaotic model with hidden and self-excited attractors
  55. A high-accuracy exponential time integration scheme for the Darcy–Forchheimer Williamson fluid flow with temperature-dependent conductivity
  56. Novel analysis of fractional regularized long-wave equation in plasma dynamics
  57. Development of a photoelectrode based on a bismuth(iii) oxyiodide/intercalated iodide-poly(1H-pyrrole) rough spherical nanocomposite for green hydrogen generation
  58. Investigation of solar radiation effects on the energy performance of the (Al2O3–CuO–Cu)/H2O ternary nanofluidic system through a convectively heated cylinder
  59. Quantum resources for a system of two atoms interacting with a deformed field in the presence of intensity-dependent coupling
  60. Studying bifurcations and chaotic dynamics in the generalized hyperelastic-rod wave equation through Hamiltonian mechanics
  61. A new numerical technique for the solution of time-fractional nonlinear Klein–Gordon equation involving Atangana–Baleanu derivative using cubic B-spline functions
  62. Interaction solutions of high-order breathers and lumps for a (3+1)-dimensional conformable fractional potential-YTSF-like model
  63. Hydraulic fracturing radioactive source tracing technology based on hydraulic fracturing tracing mechanics model
  64. Numerical solution and stability analysis of non-Newtonian hybrid nanofluid flow subject to exponential heat source/sink over a Riga sheet
  65. Numerical investigation of mixed convection and viscous dissipation in couple stress nanofluid flow: A merged Adomian decomposition method and Mohand transform
  66. Effectual quintic B-spline functions for solving the time fractional coupled Boussinesq–Burgers equation arising in shallow water waves
  67. Analysis of MHD hybrid nanofluid flow over cone and wedge with exponential and thermal heat source and activation energy
  68. Solitons and travelling waves structure for M-fractional Kairat-II equation using three explicit methods
  69. Impact of nanoparticle shapes on the heat transfer properties of Cu and CuO nanofluids flowing over a stretching surface with slip effects: A computational study
  70. Computational simulation of heat transfer and nanofluid flow for two-sided lid-driven square cavity under the influence of magnetic field
  71. Irreversibility analysis of a bioconvective two-phase nanofluid in a Maxwell (non-Newtonian) flow induced by a rotating disk with thermal radiation
  72. Hydrodynamic and sensitivity analysis of a polymeric calendering process for non-Newtonian fluids with temperature-dependent viscosity
  73. Exploring the peakon solitons molecules and solitary wave structure to the nonlinear damped Kortewege–de Vries equation through efficient technique
  74. Modeling and heat transfer analysis of magnetized hybrid micropolar blood-based nanofluid flow in Darcy–Forchheimer porous stenosis narrow arteries
  75. Activation energy and cross-diffusion effects on 3D rotating nanofluid flow in a Darcy–Forchheimer porous medium with radiation and convective heating
  76. Insights into chemical reactions occurring in generalized nanomaterials due to spinning surface with melting constraints
  77. Influence of a magnetic field on double-porosity photo-thermoelastic materials under Lord–Shulman theory
  78. Soliton-like solutions for a nonlinear doubly dispersive equation in an elastic Murnaghan's rod via Hirota's bilinear method
  79. Analytical and numerical investigation of exact wave patterns and chaotic dynamics in the extended improved Boussinesq equation
  80. Nonclassical correlation dynamics of Heisenberg XYZ states with (x, y)-spin--orbit interaction, x-magnetic field, and intrinsic decoherence effects
  81. Exact traveling wave and soliton solutions for chemotaxis model and (3+1)-dimensional Boiti–Leon–Manna–Pempinelli equation
  82. Unveiling the transformative role of samarium in ZnO: Exploring structural and optical modifications for advanced functional applications
  83. On the derivation of solitary wave solutions for the time-fractional Rosenau equation through two analytical techniques
  84. Analyzing the role of length and radius of MWCNTs in a nanofluid flow influenced by variable thermal conductivity and viscosity considering Marangoni convection
  85. Advanced mathematical analysis of heat and mass transfer in oscillatory micropolar bio-nanofluid flows via peristaltic waves and electroosmotic effects
  86. Exact bound state solutions of the radial Schrödinger equation for the Coulomb potential by conformable Nikiforov–Uvarov approach
  87. Some anisotropic and perfect fluid plane symmetric solutions of Einstein's field equations using killing symmetries
  88. Nonlinear dynamics of the dissipative ion-acoustic solitary waves in anisotropic rotating magnetoplasmas
  89. Curves in multiplicative equiaffine plane
  90. Exact solution of the three-dimensional (3D) Z2 lattice gauge theory
  91. Propagation properties of Airyprime pulses in relaxing nonlinear media
  92. Symbolic computation: Analytical solutions and dynamics of a shallow water wave equation in coastal engineering
  93. Wave propagation in nonlocal piezo-photo-hygrothermoelastic semiconductors subjected to heat and moisture flux
  94. Comparative reaction dynamics in rotating nanofluid systems: Quartic and cubic kinetics under MHD influence
  95. Laplace transform technique and probabilistic analysis-based hypothesis testing in medical and engineering applications
  96. Physical properties of ternary chloro-perovskites KTCl3 (T = Ge, Al) for optoelectronic applications
  97. Gravitational length stretching: Curvature-induced modulation of quantum probability densities
  98. The search for the cosmological cold dark matter axion – A new refined narrow mass window and detection scheme
  99. A comparative study of quantum resources in bipartite Lipkin–Meshkov–Glick model under DM interaction and Zeeman splitting
  100. PbO-doped K2O–BaO–Al2O3–B2O3–TeO2-glasses: Mechanical and shielding efficacy
  101. Nanospherical arsenic(iii) oxoiodide/iodide-intercalated poly(N-methylpyrrole) composite synthesis for broad-spectrum optical detection
  102. Sine power Burr X distribution with estimation and applications in physics and other fields
  103. Numerical modeling of enhanced reactive oxygen plasma in pulsed laser deposition of metal oxide thin films
  104. Dynamical analyses and dispersive soliton solutions to the nonlinear fractional model in stratified fluids
  105. Computation of exact analytical soliton solutions and their dynamics in advanced optical system
  106. An innovative approximation concerning the diffusion and electrical conductivity tensor at critical altitudes within the F-region of ionospheric plasma at low latitudes
  107. An analytical investigation to the (3+1)-dimensional Yu–Toda–Sassa–Fukuyama equation with dynamical analysis: Bifurcation
  108. Swirling-annular-flow-induced instability of a micro shell considering Knudsen number and viscosity effects
  109. Numerical analysis of non-similar convection flows of a two-phase nanofluid past a semi-infinite vertical plate with thermal radiation
  110. MgO NPs reinforced PCL/PVC nanocomposite films with enhanced UV shielding and thermal stability for packaging applications
  111. Optimal conditions for indoor air purification using non-thermal Corona discharge electrostatic precipitator
  112. Investigation of thermal conductivity and Raman spectra for HfAlB, TaAlB, and WAlB based on first-principles calculations
  113. Tunable double plasmon-induced transparency based on monolayer patterned graphene metamaterial
  114. DSC: depth data quality optimization framework for RGBD camouflaged object detection
  115. A new family of Poisson-exponential distributions with applications to cancer data and glass fiber reliability
  116. Numerical investigation of couple stress under slip conditions via modified Adomian decomposition method
  117. Monitoring plateau lake area changes in Yunnan province, southwestern China using medium-resolution remote sensing imagery: applicability of water indices and environmental dependencies
  118. Heterodyne interferometric fiber-optic gyroscope
  119. Exact solutions of Einstein’s field equations via homothetic symmetries of non-static plane symmetric spacetime
  120. A widespread study of discrete entropic model and its distribution along with fluctuations of energy
  121. Empirical model integration for accurate charge carrier mobility simulation in silicon MOSFETs
  122. The influence of scattering correction effect based on optical path distribution on CO2 retrieval
  123. Anisotropic dissociation and spectral response of 1-Bromo-4-chlorobenzene under static directional electric fields
  124. Role of tungsten oxide (WO3) on thermal and optical properties of smart polymer composites
  125. Analysis of iterative deblurring: no explicit noise
  126. 10.1515/phys-2025-0251
  127. Review Article
  128. Examination of the gamma radiation shielding properties of different clay and sand materials in the Adrar region
  129. Erratum
  130. Erratum to “On Soliton structures in optical fiber communications with Kundu–Mukherjee–Naskar model (Open Physics 2021;19:679–682)”
  131. Special Issue on Fundamental Physics from Atoms to Cosmos - Part II
  132. Possible explanation for the neutron lifetime puzzle
  133. Special Issue on Nanomaterial utilization and structural optimization - Part III
  134. Numerical investigation on fluid-thermal-electric performance of a thermoelectric-integrated helically coiled tube heat exchanger for coal mine air cooling
  135. Special Issue on Nonlinear Dynamics and Chaos in Physical Systems
  136. Analysis of the fractional relativistic isothermal gas sphere with application to neutron stars
  137. Abundant wave symmetries in the (3+1)-dimensional Chafee–Infante equation through the Hirota bilinear transformation technique
  138. Successive midpoint method for fractional differential equations with nonlocal kernels: Error analysis, stability, and applications
  139. Novel exact solitons to the fractional modified mixed-Korteweg--de Vries model with a stability analysis
Downloaded on 20.1.2026 from https://www.degruyterbrill.com/document/doi/10.1515/phys-2025-0199/html
Scroll to top button