Unveiling the transformative role of samarium in ZnO: Exploring structural and optical modifications for advanced functional applications
-
Amira Ben Gouider Trabelsi
, Fatemah H. Alkallas , Mohamed S. I. Koubisy , Wael M. Mohammed , Mahmoud M. Abou Halaka and Abdelaziz M. Aboraia
Abstract
The current study investigates the optical characteristics of Zn100−x Sm x O thin films, focusing on the effects of Samarium (Sm) doping on absorbance, transmittance, and nonlinear optical properties. Thin films were synthesized with varying Sm concentrations using a solid-state synthesis method. UV-Vis spectroscopy revealed a gradual decrease in the optical band gap, with the highest value of 3.12 eV for x = 0 and 2.76 eV for x = 10, indicating improved light absorption capabilities with increasing Sm content. The nonlinear absorption coefficient of the Sm ratio shifted from 18.7 to 23 cm/GW for x = 0 and 10, respectively, which is attributed to the introduction of new energy levels within the band gap, facilitating electron transitions. The lattice dielectric constant (ε 1) of the Sm ratio increased from 1.43 to 2.1 for x = 0 and 10, respectively, revealing enhanced polarization. Additionally, the calculated values of the static refractive index were found to increase from 1.13 for x = 0 to 1.33 for x = 10, supporting the observed behavior of ε 1. These findings provide valuable insights into the tunable optical properties of Zn100−x Sm x O thin films, highlighting their promising applications in optoelectronic devices. This study opens avenues for the continued refinement of Zn100−x Sm x O and related materials, enhancing their suitability for a range of technological uses.
1 Introduction
Nanocomposites play a pivotal role in advancing materials science, as highlighted by recent studies [1,2,3]. They exhibit enhanced photocatalytic properties for environmental protection, effectively degrading organic pollutants and enabling applications in antibacterial surfaces and self-cleaning materials, as noted in one study. Another research emphasizes their efficiency in wastewater treatment, utilizing PSA-based nanocomposites for adsorption and photocatalysis to remove heavy metals and antibiotics. Additionally, polymer nanocomposites improve mechanical and optical properties, supporting diverse applications in industrial, domestic, and biomedical fields, underscoring their versatility and significance.
ZnO stands out as an important material because its properties consist of the broad bandgap energy and strong exciton binding energy (∼3.37 eV and ∼60 meV, respectively) while demonstrating strong chemical stability. ZnO demonstrates desirable characteristics that enable its implementation in various optoelectronic and photovoltaic devices and sensor and photocatalyst technologies [4,5,6,7]. The structural and optical features of ZnO films become more adaptable by the addition of rare-earth elements. Among dopants, samarium (Sm) from the lanthanide group is unique due to its capability to produce localized energy levels within the ZnO bandgap, which results in improved luminescence functionality and modified electronic characteristics [8]. Also, zinc oxide (ZnO) exhibits exceptional properties, including a wide bandgap (∼3.37 eV), high exciton binding energy (60 meV), and strong room-temperature luminescence. Doping ZnO with samarium (Sm) introduces 4f electronic states, which can enhance optical absorption, tune bandgap energy, and improve electrical conductivity due to Sm3+/Sm2+ redox activity. Sm doping also modifies defect-related emissions, making it promising for optoelectronic and photocatalytic applications [8].
ZnO thin film materials experiencing rare-earth doping have received extensive research to enhance their operational capacity for innovative technological developments. Visible-spectrum photoluminescence releases emerge from the precise intra-4f transition behavior of samarium [9]. The addition of Sm atoms to the ZnO material led to some changes in both optical propagation and structural dimensions, including phases and granule features. Research on Sm-doped ZnO thin films needs additional systematic studies regarding structural and optical property evaluation to achieve optimal device performance in optoelectronic applications [10,11].
This study consists of analyzing Sm-doped ZnO thin-film synthesis, followed by their structural and optical measurement process to examine Sm doping effects on material properties. Our goal is to understand the relationship between Sm concentration and the outcome properties of thin films through advanced characterization methods. During the last several decades, research on ZnO-based materials has maintained its status as a central research priority [12]. The crystal structure of pure ZnO matches that of wurtzite, while it enables high visibility in the visible spectrum, thus becoming suitable for light-emitting diodes (LEDs) and transparent conducting oxides (TCOs). Researchers oversee pure ZnO deficiencies because it shows restricted electrical conductivity and below-average emission performances, leading scientists to investigate doping procedures for improved characteristics [13,14].
Scientific investigations into rare-earth elements in ZnO have become more prevalent because these elements introduce exceptional fundamental optical and electronic properties to the material. Scientists have established that europium (Eu), erbium (Er), and neodymium (Nd) dopants increase luminescence outputs while simultaneously improving electrical conductivity and altering bandgap characteristics [15,16]. Sm adds characteristic optical behavior to the visible spectrum through its 4f shell structure, which partially occupies electrons. By introducing samarium doping to ZnO, the substance becomes an appealing material for display technologies and bioimaging applications and solid-state lighting [9].
Different approaches have been documented in previous research regarding Sm-doped ZnO thin film synthesis, which can be achieved through chemical vapor deposition (CVD), sol–gel processing, pulsed laser deposition (PLD), and plasma-assisted sputtering. Research using X-ray diffraction (XRD) showed that Sm doping causes both structural lattice distortions and decreases the crystallite size because Sm3+ and Zn2+ have different ionic radii [9]. The absorption edge undergoes redshift while photoluminescence intensity increases with increasing Sm doping levels because defect states and intra-4f Sm3+ transitions occur according to optical tests [17,18].
The existing research shows progress, but various knowledge gaps exist within the obtained literature. For example:
Scientists are still discussing the most effective amount of Sm doping needed to maximize optical property improvements.
The link between structural modifications and optical responses in ZnO crystals must be fully analyzed.
A thorough examination of Sm-doped ZnO thin film properties during synthesis requires investigation of synthesis parameters, including the annealing temperature and precursor concentration.
The main goal of this study is to investigate the optical and structural characteristics of Sm-doped ZnO thin films created using a controlled deposition method.
2 Experimental methods
All chemical substances, such as isopropanol, citric acetate, samarium oxide, and zinc nitrate, were obtained from Sigma Aldrich. The synthesis of Zn100−
ₓSmₓO nanoparticles with x values from 0 to 10 and 2.5 to 10 was performed using the sol–gel combustion technique. The synthesis required 50 mL of isopropanol, which fully dissolved zinc nitrate with samarium oxide, along with citric acid in a beaker. The mixing operation occurred at normal temperature as researchers maintained equal ratios between citric acid and metal cations. A magnetic stirrer was used to heat the mixture to 150°C, and a gel was formed after the evaporation was completed with persistent stirring. The material was ignited when heated again, which produced an abundant flaming substance. The product was exposed to heat at 600°C before being ground into small particles. The gel-combustion method is considered the preferred approach in laboratories because it offers easy execution together with low costs, and maximum efficiency. This method follows circular economy principles because it combines sustainable reuse of resources with its resource-efficient characteristics [19–21]. The method implements the circular economy principles through its combination of sustainable resource reusability and resource utilization efficiency. The films were formed by mixing ZnO:Sm powder with chitosan solution at their optimal concentration level. The drying process required the application of optimized parameters for film application onto substrates to achieve uniformity and optimal performance. The films were deposited using solutions created by combining ZnO:Sm powder with chitosan solution at an appropriate concentration. During the drying process, the films were coated onto the substrate using optimized dip-coating parameters. A few drops (typically ∼50–100 µL) of the prepared ZnO precursor solution were dropped or dispensed onto the center of the substrate. The most effective conditions involved dip-coating for 1 h at a withdrawal speed of 40 mm/min. Following deposition, the films were annealed at 300°C in a nitrogen atmosphere, with a controlled heating rate of 0.2°C/min. The crystal structures of pure ZnO and ZnO:Sm powders were studied using a LAScientific XRD with CuKα radiation
3 Results and discussion
The XRD patterns of Zn100− ₓSmₓO (ZnO:Sm) solid-state produced powders with x = 0.0, 2.50, 5.0, 7.50, and 10.0 are shown in Figure 1(a)–(e). The measurement data from X-ray diffraction (XRD) presented well-defined peaks, indicating the hexagonal wurtzite structure of ZnO, which exists as the P6₃mc space group, to demonstrate the crystalline behavior of all ZnO:Sm samples. The diminished intensity of ZnO:Sm samples of the (002) diffraction peak signifies decreased growth rate along with limited crystallization. The wurtzite ZnO peaks of each composition demonstrate the (101) reflection plane orientation as their preferred structure. Peak position analysis was used by the Standard Joint Committee for Powder Diffraction Standards reference (JCPDS card no. 01-080-0075) to confirm the material’s polycrystalline structure [21,22]. The lattice parameters were decreased at low Sm concentrations because Zn2+ ions were replaced by Sm3+ ions in the crystal structure. Similar changes were observed for ZnO materials containing dopants such as Er, Sm, and Ce. This parameter change occurs when Sm3+ with its 0.964 nm radius replaces Zn2+ with a 0.74 nm radius. A minor peak displacement toward elevated 2θ values supports the ion substitution process. Further increases in Sm doping levels lead to a shift in the trend due to increasing defect densities resulting from substitutional doping. The synthesis pressure and temperature, along with impurity atoms and defects, as well as the difference in the ionic radii between Zn2+ and Sm3+ influence the ZnO crystal lattice parameters a and c. When Zn2+ ions are replaced by Sm3+ ions in ZnO, there is a reduction in the peak intensity along with lattice parameter modification, which jointly creates structural strain and distorts the crystal lattice, as exhibited in Table 1.

The XRD patterns of (a) ZnO, (b) Zn97.5Sm2.5O, (c) Zn95 Sm5O, (d) Zn92.5Sm7.5O, and (e) Zn90Sm10O.
Calculated lattice parameters of ZnO, Zn97.5Sm2.5O, Zn95 Sm5O, Zn92.5Sm7.5O, and Zn90Sm10O
| Thin film |
|
|
|
|---|---|---|---|
| ZnO | 3.248 | 5.209 | 47.612 |
| Zn97.5Sm2.5O | 3.251 | 5.211 | 47.712 |
| Zn95 Sm5O | 3.252 | 5.212 | 47.738 |
| Zn92.5Sm7.5O | 3.253 | 5.213 | 47.785 |
| Zn90Sm10O | 3.256 | 5.217 | 47.913 |
Scanning electron microscopy (SEM) images of pure ZnO and ZnO:Sm thin films with varying Sm concentrations are presented in Figure 2. The micrographs reveal distinct grain boundaries, with grain sizes decreasing as Sm content increases. This reduction is attributed to the incorporation of Sm3+ ions, which inhibit grain growth by exerting an interaction force at grain boundaries, altering the nucleation and growth kinetics. The crystallite size and microstructure are influenced by the dopant type and ionic radius of Sm3+ (approximately 0.96 Å), which differs from that of Zn2+ (0.74 Å), inducing lattice strain and limiting grain expansion. The SEM images also highlight well-defined pores, whose size and density correlate inversely with Sm concentration. As Sm content increases, the pore size decreases, reflecting enhanced surface densification due to improved particle packing. Higher Sm doping levels increase surface roughness and compactness, indicative of better particle densification and reduced porosity, which can enhance mechanical stability and optical properties.

The SEM photo of (a) pure ZnO and (b) Zn90Sm10O.
Figure 3 shows the roughness of Sm-doped ZnO thin films, as described by the RMS (root mean square roughness) values for different Sm concentrations, which reveals a non-linear trend with increasing doping. The structured analysis is shown in Table 2. The RMS roughness of 0.484 nm for undoped ZnO indicates an atomically flat surface, typical of well-deposited thin films. This serves as a reference for evaluating the doping effects. At 2.5% Sm (Zn0.975Sm0.025O), the RMS increases to 8.52 μm, suggesting that Sm incorporation disrupts the ZnO lattice, leading to surface irregularities. The possible causes are lattice strain, localized clustering of Sm ions, or nucleation of secondary phases. At 5% Sm (Zn0.95Sm0.05O), the RMS increases to 15.07 μm, the roughest film. This implies severe surface degradation, likely due to excessive Sm ions segregating to grain boundaries or forming Sm-rich clusters, and enhanced grain growth or agglomeration during deposition. At 7.5% Sm (Zn0.925Sm0.075O), the RMS decreases to 8.01 μm, indicating partial recovery of surface smoothness. This could arise from the saturation of defect/clustering effects, reorganization of the film microstructure (e.g., larger, smoother grains dominating the surface), and the formation of a stable Sm–Zn–O ternary phase that mitigates roughness.

(a)–(d) AFM photos of Zn100−x Sm x O (x = 0, 0.025, 0.05, and 0.075).
Roughness and RMS of Zn100−x Sm x O (x = 0, 0.025, 0.05, and 0.075)
| Sample Zn100−x Sm x O | Roughness × 10−6 | RMS of roughness × 10−6 |
|---|---|---|
| X = 0 | 484.015 × 10−3 | 761.65 × 10−3 |
| X = 2.5 | 8.52 | 12.59 |
| X = 5 | 15.07 | 18.58 |
| X = 7.5 | 8.010 | 10.22 |
4 Implications for applications
Optoelectronics: High roughness (e.g., 15.07 nm at 5% Sm) could scatter light or degrade device interfaces, reducing efficiency. Sensors/catalysts: Increased surface area from roughness might enhance reactivity, but excessive roughness could destabilize device performance. Mechanical stability: Films with high RMS roughness may suffer reduced adhesion or mechanical integrity.
The relationship between a material’s absorbance and wavelength can reveal information about its electronic structure. The spectral peaks that correspond to electronic transitions, however, help clarify molecular activity and effects [23,24]. The dependencies of the absorbance on the wavelength of the Zn100−x Sm x O pure thin film (x = 0) and those thin films doped with different concentrations of samarium (x = 2.5, 5, 7.5, and 10) are exhibited in Figure 4. The increase in the Sm concentration led to an increase in the absorbance of the thin films. This suggests that the addition of Sm enhances the material’s ability to absorb light at the measured wavelengths. This might be the result of new electronic states entering the material’s bandgap, which allows for greater light absorption [25]. Also, it is observed that the absorbance peaks’ amplitude increases with Sm concentration, suggesting that transitions associated with these peaks are either more likely to be strong or more strong. The substitution of Sm with Zn may have caused more traps or defects to form in the crystal lattice, which may have facilitated electronic transitions [26]. The electrical structure of the ZnO lattice may change if Sm is added. Since Sm is a rare earth element, it may change the valence and conduction bands or introduce localized states, which would improve the absorption properties. If the bandgap narrows, it may also cause the absorption spectra to red shift. Higher Sm concentrations may improve the material’s photocatalytic qualities, enhancing its usefulness for processes like photocatalysis or solar energy harvesting, according to the increased absorbance in the visible spectrum.

Wavelength dependence of the absorbance for the Zn100−x Sm x O thin films.
Understanding and constructing optical devices requires an understanding of thin film transmittance and reflectance. Reflectance reveals how much light is reflected from the film, whereas transmittance shows how much light flows through it. These characteristics, which allow for modifications to control the interaction of light with the film at particular wavelengths, are strongly dependent on the thickness and material composition of the film. Figure 5a and b shows the dependency of the transmittance and reflectance, respectively, on the wavelength. In the case of transmittance (Figure 5a), increasing the amount of Sm in the material reduces how much of light that passes through it. This is probably because Sm is causing the material to absorb or scatter more light. The presence of Sm likely introduces new energy levels or imperfections in the ZnO structure, which leads to greater light absorption and, consequently, less light transmission [27]. As Sm is introduced, certain electronic transitions appear to become more prominent, as seen by the observed peaks’ increased amplitude with larger Sm ratios. This might be because higher absorption peaks result from the creation of localized states that increase the probability of transitions. As for the reflectance (Figure 5b), it increases with increasing Sm concentration. This can be attributed to changes in the refractive index of the material due to doping. Greater Sm concentrations may cause more scattering at internal or external surfaces, which would cause more light to be reflected rather than transmitted [28]. According to the changes in optical characteristics, the current thin films may be customized for certain applications, such as photocatalytic systems where light control is critical or optoelectronic devices where regulated absorption and reflection are critical.

(a) Transmittance and (b) reflectance as a function of wavelength for the Zn100−x Sm x O thin films.
The absorption coefficient (α) of any material can help in identifying and understanding the material’s composition and structure. Therefore, this is essential for designing optical devices like solar cells, lenses, and filters. The absorption coefficient can be estimated via the transmittance (T) and reflectance (R) as follows [27,29,30]:
where d represents the film thickness. Figure 6 demonstrates the change of

Absorbance coefficient for the Zn100−x Sm x O thin films.
The Urbach tail, in conjunction with sub-bandgap photon energy, suggests structural instability in thin-film semiconductors. The observation links to states that form locally [31]. The well-known empirical method can be used to determine the Urbach energy in the low photon energy area [32–34], as follows:
The parameters
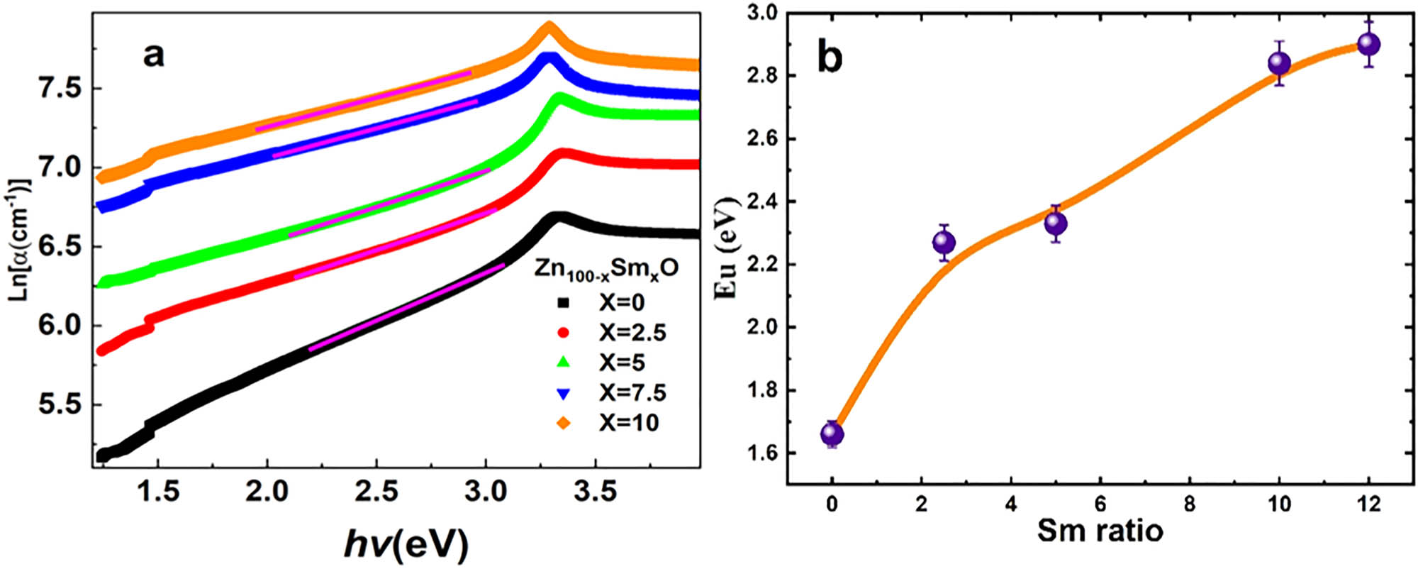
Using the slope of the relationship between the photon energy and ln (α) (Figure 7a), the Urbach energy values were determined. The Urbach energy increases as the Sm ratio increases, as exhibited in Figure 7b. This might be explained by the notable changes in the electronic characteristics owing to the increase in the Sm ratio, which can change the band structure and cause the band tail to expand, thereby increasing the Urbach energy. This behavior was seen for S
x
WO3 [32]. This could improve light absorption, which is advantageous for some applications like photovoltaic cells. Additionally, the optical energy gap
where B is the Tauc parameter and A is a constant control. Optical transitions can be directly or indirectly enabled by semiconductors [35]. The transition energy values were computed by fitting the linear portion observed in the relationship between

(a) Variation of ln(α) with the photon energy for Zn100−x Sm x O and (b) urbach energy vs Sm concentration.

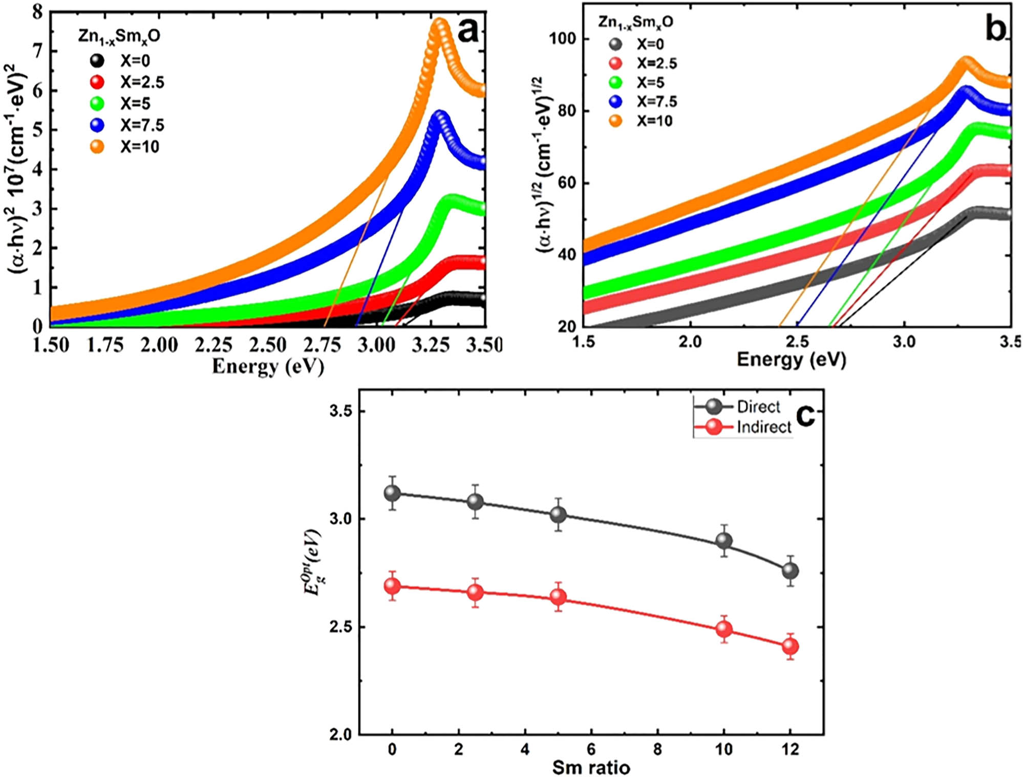
Optical properties of Zn100−x Sm x O for varying Sm concentrations (x): (a) (αhν)2 plotted against photon energy, (b) (αhν)(1/2) versus photon energy for the same Sm ratios, illustrating the transition between direct and indirect bandgap behavior and (c) energy gap (EgOpt) as a function of Sm ratio.
The quantity of light that can be absorbed or scattered by any substance is measured by the extinction coefficient (k). The following formula is used to calculate the extinction coefficient:
where α is the absorption coefficient and λ is the wavelength. The wavelength dependency of the extinction coefficient (K) of the Zn100−x Sm x O thin films is displayed in Figure 9. The fact that K increases as x increases indicates that the addition of Sm to the ZnO matrix improves the material’s light-absorbing capacity. The incorporation of Sm ions may cause disruptions in the crystal lattice of ZnO, resulting in defects and localized states that enhance light absorption. Moreover, higher concentrations of Sm introduce more electronic states inside the band gap, which can facilitate electronic transitions and increase absorption. The same behavior was observed for quinoline azo-dye polymers [38].

Wavelength dependence of the extinction coefficients for Zn100−x Sm x O thin films.
To determine the local field and electronic polarization of the atoms or ions in thin-film materials, the refractive index (n) should be examined. A common approach to determine the n value is through the transmittance (T) and reflectance (R) measurements [39]:
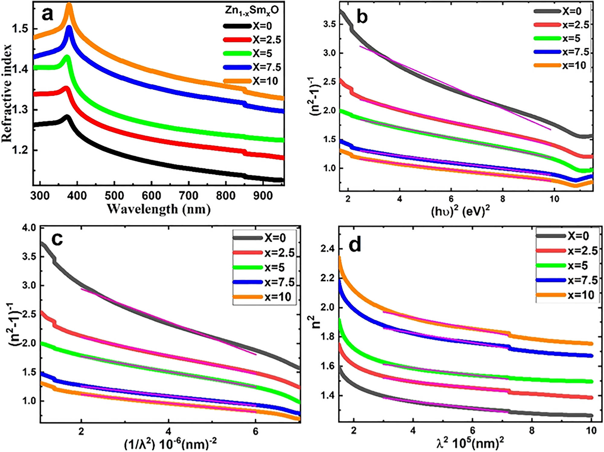
Figure 10a shows the wavelength dependence of the refractive index of the Zn100−x Sm x O thin films. The increase in the refractive index with increasing Sm is due to changes in the material’s electronic and structural characteristics, which improve its optical capabilities. This enhancement could be beneficial for different applications that involve light manipulation and sophisticated optical devices. The measured refractive index values for the thin films under investigation range between 200 and 1,000 nm in wavelength, which is rather close to those obtained using the Cauchy formula [40]. More optical properties have been calculated using the calculated values of the refractive indices. For instance, the dispersion parameters are crucial for enhancing optical communication systems and spectral dispersion control devices. To completely understand the optical characteristics of the films under study, one must have a thorough understanding of the single oscillator energy (E 0) and dispersion energy (E d). These energies and the energy carried by a photon (hv) are related by the Wemple–DiDomenico model, which is used under these conditions [41]:
or

The deduced values involve: (a) refractive index variation with λ, (b) variation of (n 2 – 1)−1 with (hv)2 to estimate E 0 and E d, (c) the relation between (n 2 – 1)− 1 and (1/λ 2) for obtaining S0 and λ 0, and (d) λ 2 dependence of n 2 to calculate εL and N/m* for Zn100−x Sm x O thin films for different Sm ratios.
Using a graphical representation of (n 2−1)−1 vs (hv)2, E 0 and E d parameters have been determined (Figure 10b). Table 1 shows the E 0 and E d values in a structured way. The lattice dielectric constant (ε ∞) and static refractive index (n 0) can be computed using the following formula, which relies on the constants E 0 and E d [42]:
As observed in Table 3, the values of n
0 and ε
∞ are increased as the ratio of Sm increases. This indicates an enhanced optical density and dielectric polarization for the thin films under investigation by the incorporation of Sm. Also, using the parameters E
0 and E
d, the material’s oscillator strength was calculated, where
Optical parameter changes of the Zn100−x Sm x O thin films
| Sample Zn100−x Sm x O | Direct
|
Indirect
|
E u (eV) | E d (eV) | E 0 (eV) | F | n 0 | ε ∞ | S 0 × 10−6 (nm2) | λ o (nm) | N/m* × 1038 (m−3 × kg−1) | ε L |
|---|---|---|---|---|---|---|---|---|---|---|---|---|
| X = 0 | 3.12± | 2.69 | 1.66 | 1.18 | 4.25 | 5.02 | 1.13 | 1.28 | 3.52 | 284.50 | 2.87 | 1.43 |
| X = 2.5 | 3.08 | 2.66 | 2.27 | 1.91 | 4.68 | 8.94 | 1.19 | 1.41 | 6.35 | 255.00 | 2.72 | 1.58 |
| X = 5 | 3.02 | 2.64 | 2.33 | 2.32 | 4.80 | 11.14 | 1.22 | 1.48 | 7.53 | 255.15 | 2.95 | 1.66 |
| X = 7.5 | 2.9 | 2.49 | 2.84 | 3.40 | 4.90 | 16.66 | 1.30 | 1.69 | 11.95 | 242.00 | 4.03 | 1.94 |
| X = 10 | 2.76 | 2.41 | 2.9 | 3.95 | 5.14 | 20.30 | 1.33 | 1.77 | 13.22 | 244.00 | 4.65 | 2.10 |
The Sellmeier dispersion model is employed to determine λ 0 (resonance wavelength) and s 0 (oscillator strength) values, particularly at lower frequencies. This is crucial for understanding how light interacts with the material across different wavelengths. The model’s effectiveness at lower frequencies suggests its usefulness in analyzing the optical phenomena [43]:
As exhibited in Figure 10(c), λ
0 and s
0 values can be obtained from the linear fitting of
The values of ε
L and
The transport characteristics, grain and grain boundaries, and structure of the compounds can be ascertained using the dielectric loss (ε 2) and dielectric constant (ε 1). Moreover, a material’s ability to retain electrical energy can be determined using the dielectric constant [47–52]. They also outline the properties of materials’ responses to light and electric fields. While the actual part influences the refractive index and phase velocity of light in a medium, the imaginary part deals with absorption and shows how much light is absorbed by the substance. The following formulas are used to obtain the real and imaginary dielectric constants of the thin films [53]:
Figure 11a illustrates the wavelength dependence of ε
1 for the Zn100−x
Sm
x
O thin films. A clear trend of increasing ε
1 with higher Sm ratios (x) is observed across the entire wavelength range. This enhancement in ε
1 signifies an increased polarization capability within the material, suggesting that the incorporation of samarium introduces additional dipoles or enhances the existing electronic polarizability, leading to a stronger dielectric response. This observation directly correlates with the findings regarding the linear susceptibility

Plotting of the real (a) and imaginary (b) part of the dielectric constant vs wavelength, and dielectric loss tangent (c) and quality factor (d) vs hv Zn100−x Sm x O thin films.
Similarly, Figure 11b displays the wavelength dependence of ε 2, revealing an increase in its values with higher Sm concentrations. As ε 2 is directly proportional to the extinction coefficient (k) and, consequently, the absorption coefficient (α), this trend is in excellent agreement with our earlier absorption coefficient spectra, which showed a significant increase in absorption with increasing Sm content. The increase in ε 2 suggests the existence of more mechanisms for energy dissipation within the material, likely due to enhanced inter-band transitions or defect-related absorption processes introduced or modified by Sm incorporation. The peaks in ε 2 also occur in the same energy range as those in ε 1, further confirming their association with the fundamental absorption edge and the onset of strong inter-band transitions.
Figure 11c presents the photon energy dependence of the dielectric loss tangent
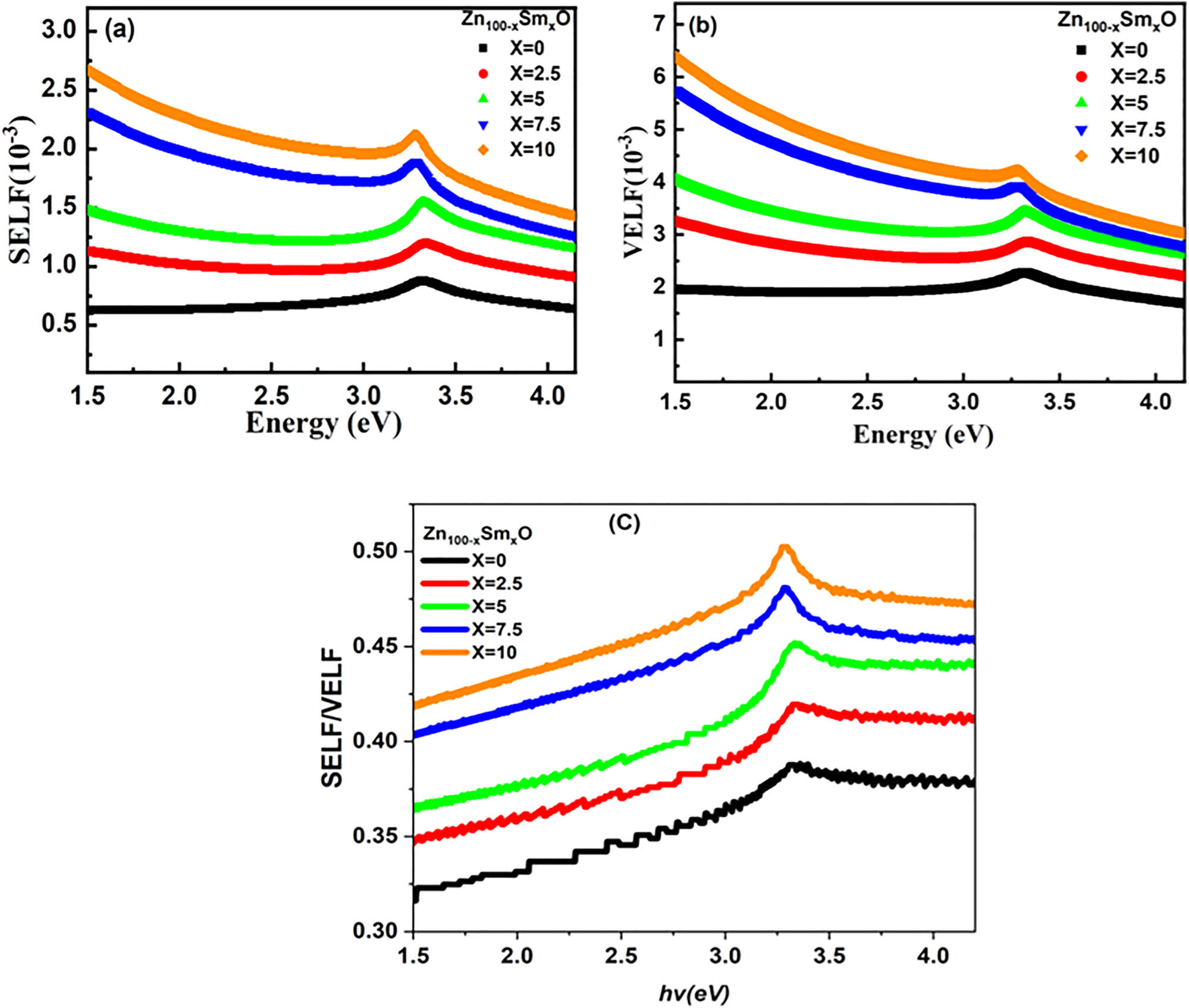
Two important parameters determine the thin film electron transition characterization: (the surface energy loss function (SELF) and volume energy loss function (VELF) [54–56]. SELF/VELF represents the ratio describing electron transitions in the examined thin film specialist and energies, which are low and high [56]. SELF and VELF of the current films can be computed by using the following equation [53] (Figure 12a and b):

The change in (a) SELF, (b) VELF, and (c) SELF/VELF with hv for Zn100−x Sm x O thin films.
From Figure 12, it is noticed that the SELF and VELF values increase as the Sm ratio increases. It is related to changes in the electron transition energy as Sm was incorporated into the thin films. Figure 12c shows the ratio of SELF/VELF vs the photon energy, and indicates that the addition of Sm to the thin films impacts the electron transition of the films.
An essential measure for understanding the electronic characteristics of thin films is the optical conductivity (σ Opt), which is closely connected to the dielectric properties that describe how the materials interact with radiation. The following relation can be used to obtain σ Opt [57,58]:
where the absorption coefficient, the refractive index, and the speed of light are denoted by α, n, and c, respectively. The correlation between σ Opt of the Zn100−x Sm x O thin film and the wavelength is shown in Figure 13a. As the Sm ratio increases, it is observed that σ Opt increases as well; the maximum optical conductivity was achieved for the highest Sm ratio. This could be ascribed to the modifications made to the electrical structure of the thin films with the addition of Sm. The degree of polarization is closely correlated with the material’s electric susceptibility for any polarizable material. The electric sensitivity is a measure of how much the substance will polarize when exposed to an electric field. A material with a higher electric susceptibility can become more polarized when exposed to an electric field, which lowers the material’s net electric field. The electric susceptibility (χ c) can be found using the following expression [57]:

Plotting of (a) the optical conductivity and (b) the electrical susceptibility vs wavelength for Zn100−x Sm x O thin films.
The equation includes n, k, and n
0 parameters, which represent the thin film’s refractive index, extinction coefficient, and the index of refraction for the surroundings, respectively. As illustrated in Figure 13b, the electric susceptibility
The nonlinear refractive index (n 2) and the linear (χ 1) and nonlinear (χ 3) susceptibility for a material are given as follows [59]:
Figure 14a–c displays the wavelength dependence of the nonlinear refractive index (n 2), linear susceptibility (χ 1), and nonlinear susceptibility (χ 3) for the Zn100−x Sm x O thin films, respectively. The three parameters show the same pattern. As the ratio of Sm increases, it is generally seen that the values of χ 1, χ 3, and n 2 increase as well. This is also because of the altered polarizability and electronic structure that result from the addition of Sn to the thin films [60]. The modified optical characteristics of the Zn100−x Sm x O thin films are advantageous for a variety of uses. Controlling nonlinear characteristics makes frequency conversion and optical limiting easier. Furthermore, developing advanced materials for photonic and optoelectronic devices is facilitated by understanding these changes [61].

The difference of (a) the linear, (b) the non-linear susceptibility, and (c) non-linear refractive index with λ for Zn100−x Sm x O thin films.
Figure 15 exhibits the variation in the nonlinear absorption coefficient (βc) and the energy for the Zn100−x Sm x O thin films. The maximum value of βc is shifted towards a lower energy photon as the ratio of Sm increases. Doping Sm can establish additional energy levels inside the band gap. Because electrons can be excited from these confined states into the conduction band, these mid-gap states can help absorb lower-energy photons. Since additional photon energies are now resonant with these states, the nonlinear absorption coefficient increases at lower energies. Two-photon absorption and saturable absorption are two of the optical processes that affect the nonlinear absorption coefficient. The density of states varies with increasing Sm ratio, changing the way these processes occur. Increased nonlinear absorption at lower energies could result from stronger interactions between photons and bound electron–hole pairs or exciton states.

Non-linear absorption coefficient (β) Zn100−x Sm x O thin films.
5 Conclusion
The investigation of Zn100−x Sm x O thin films synthesized via the sol–gel combustion method reveals significant enhancements in structural, optical, and electronic properties with increasing Sm doping. XRD and SEM analyses confirm a reduction in the grain size and lattice parameters, inducing structural strain that correlates with improved surface densification and reduced porosity. Optical studies demonstrate increased absorbance, a narrowed bandgap (from 3.12 to 2.77 eV), and elevated refractive index and dielectric constants, attributed to Sm-induced electronic states and polarizability. The increase in SELF, VELF, optical conductivity, and nonlinear optical parameters (n 2, χ 1, and χ 3) highlights enhanced light–matter interactions, beneficial for optoelectronic and photocatalytic applications. These findings underscore the potential of Sm-doped ZnO nanocomposites for advanced optical devices, aligning with sustainable material development trends, and pave the way for further optimization in energy harvesting and environmental technologies.
Acknowledgments
The authors express their gratitude to Princess Nourah bint Abdulrahman University Researchers Supporting Project number (PNURSP2025R223), Princess Nourah bint Abdulrahman University, Riyadh, Saudi Arabia.
-
Funding information: The authors express their gratitude to Princess Nourah bint Abdulrahman University Researchers Supporting Project number (PNURSP2025R223), Princess Nourah bint Abdulrahman University, Riyadh, Saudi Arabia.
-
Author contributions: Amira Ben Gouider Trabelsi and Mahmoud M. Abou Halaka – methodology and writing; Fatemah H. Alkallas and Abdelaziz M. Aboraia – writing, supervision, and project management; and Wael M. Mohammed and Mohamed S. I. Koubisy – supervision and revising the data. All authors have accepted responsibility for the entire content of this manuscript and approved its submission.
-
Conflict of interest: The authors state no conflict of interest.
-
Data availability statement: All data generated or analyzed during this study are included in this published article.
References
[1] Dhirendra KSh, Sweta Sh, Kapil KSh, Vipin K. A review on ZnO: Fundamental properties and applications. Mater Today: Proc. 2022;49:3028–35.10.1016/j.matpr.2020.10.238Search in Google Scholar
[2] Chitra M, Mangamma G, Uthayarani K, Neelakandeswari N, Girija EK. Band gap engineering in ZnO based nanocomposites. Phys E. 2020;119:113969.10.1016/j.physe.2020.113969Search in Google Scholar
[3] Dejene F, Ali A, Swart H, Botha R, Roro K, Coetsee L, et al. Optical properties of ZnO nanoparticles synthesized by varying the sodium hydroxide to zinc acetate molar ratios using a Sol-Gel process Cent. Eur J Phys. 2011;9(5):1321–6.10.2478/s11534-011-0050-3Search in Google Scholar
[4] Zhou J, Xu NS, Wang ZL. Dissolving behavior and stability of ZnO wires in biofluids: A study on biodegradability and biocompatibility of ZnO nanostructures. Adv Mater. 2006;18:2432–5.10.1002/adma.200600200Search in Google Scholar
[5] Badreddine K, Kazah I, Rekaby M, Awad R. Structural, morphological, optical, and room temperature magnetic characterization on pure and Sm-doped ZnO nanoparticles. J Nanomater. 2018;18:796195.10.1155/2018/7096195Search in Google Scholar
[6] İpek Y, Ayhan NaKa. Rare earth element doped ZnO thin films and applications. Int J Pure Appl Sci. 2021;7(2):305–13.10.29132/ijpas.944792Search in Google Scholar
[7] Chawla S, Saroha M, Kotnala RK. White light emitting magnetic ZnO: Sm nanoparticles prepared by inclusive co-precipitation synthesis. Electron Mater Lett. 2014;10:73–80.10.1007/s13391-013-3082-6Search in Google Scholar
[8] Lang J, Zhang Q, Han Q, Fang Y, Wang J, Li X, et al. The study of structural and optical properties of (Eu, La, Sm) codoped ZnO nanoparticles via a chemical route. Mater Chem Phys. 2017;194:29–36.10.1016/j.matchemphys.2017.03.010Search in Google Scholar
[9] Sin JC, Lam SM, Lee KT, Mohamed AR. Preparation and photocatalytic properties of visible light-driven samarium-doped ZnO nanorods. Ceram Int. 2013;39:5833–43.10.1016/j.ceramint.2013.01.004Search in Google Scholar
[10] Singh J, Singh GP, Kumar S, Jain RK, Gasso S, Singh B, et al. Probing structural, optical and magnetic properties of Sm-doped ZnO nanomaterials via experimental and DFT approach: Enhanced photocatalytic degradation and antibacterial performance. Colloids Surf A: Physicochem Eng Asp. 2023;668:131470.10.1016/j.colsurfa.2023.131470Search in Google Scholar
[11] Malhotra JS, Singh AK, Khosla R, Sharma SK, Sharma G, Kumar S. Investigations on structural, optical and magnetic properties of Fe and Dy co-doped ZnO nanoparticles. J Mater Sci: Mater Electron. 2018;29:3850–5.10.1007/s10854-017-8321-4Search in Google Scholar
[12] Kaneva N, Bojinova A, Papazova K, Dimitrov D. Photocatalytic purification of dye contaminated sea water by lanthanide (La3+, Ce3+, Eu3+) modified ZnO. Catal Today. 2015;252:113–9.10.1016/j.cattod.2014.12.008Search in Google Scholar
[13] Akhtar J, Tahir MB, Sagir M, Bamufleh HS. Improved photocatalytic performance of Gd and Nd co-doped ZnO nanorods for the degradation of methylene blue. Ceram Int. 2020;46:11955–61.10.1016/j.ceramint.2020.01.234Search in Google Scholar
[14] Ayon SA, Jamal M, Muktadir Billah Md, Neaz S. Augmentation of magnetic properties and antimicrobial activities of band gap modified Ho3+ and Sm3+ doped ZnO nanoparticles: A comparative experimental study. J Alloy Compd. 2022;897:163179.10.1016/j.jallcom.2021.163179Search in Google Scholar
[15] Alam U, Khan A, Ali D, Bahnemann D, Muneer M. Comparative photocatalytic activity of sol–gel derived rare earth metal (La, Nd, Sm and Dy)-doped ZnO photocatalysts for degradation of dyes. RSC Adv. 2018;8:17582–94.10.1039/C8RA01638KSearch in Google Scholar
[16] Ahmed MAM, Mwankemwa BS, Carleschi E, Doyle BP, Meyer WE, Nel JM. Effect of Sm doping ZnO nanorods on structural optical and electrical properties of Schottky diodes prepared by chemical bath deposition. Mater Sci Semicond Process. 2018;79:53–60.10.1016/j.mssp.2018.02.003Search in Google Scholar
[17] Tsuji T, Terai Y, Bin Kamarudin MH, Kawabata M, Fujiwara Y. Photoluminescence properties of Sm-doped ZnO grown by sputtering-assisted metalorganic chemical vapor deposition. J Non Cryst Solids. 2012;358:2443–5.10.1016/j.jnoncrysol.2011.12.099Search in Google Scholar
[18] Thool GS, Arunakumari M, Singh AK, Singh SP. Shape tunable synthesis of Eu- and Sm-doped ZnO microstructures: A morphological evaluation. Bull Mater Sci. 2015;38:1519–25.10.1007/s12034-015-0967-zSearch in Google Scholar
[19] Koubisy MSI, Mohammed W, Alkallas FH, Trabelsi ABG, Alraddadi Sh, Aboraia AM. Effect of Sn on the structural, morphological and optical properties of LiCoPO4. Opt Mater. 2025;163:116977.10.1016/j.optmat.2025.116977Search in Google Scholar
[20] Sakai N, Ebina Y, Takada K, Sasaki T. Electronic band structure of titania semiconductor nanosheets revealed by electrochemical and photoelectrochemical studies. J Am Chem Soc. 2004;126(18):5851–8.10.1021/ja0394582Search in Google Scholar PubMed
[21] Wang Y, Dong Y, Zhou L, Kang J, Wang N, He J. 2D Nb2CTx MXene/MoS2 heterostructure construction for nonlinear optical absorption modulation. Opto-Electron Adv. 2023;6(10):220162.10.29026/oea.2023.220162Search in Google Scholar
[22] Bafekry A, Nguyen C, Obeid MM, Ghergherehchi M. Modulating the electro-optical properties of doped C3N monolayers and graphene bilayers via mechanical strain and pressure. N J Chem. 2020;44(36):15785–92.10.1039/D0NJ03340ESearch in Google Scholar
[23] Amini A, Porciatti E, Minotto A, Moranchel ÁT, Sassella A, Canziani R, et al. Exploring optical properties and radiation transfer in a mixed culture of purple phototrophic bacteria grown in a flat-plate photobioreactor via combined experimental and modelling approach. J Environ Chem Eng. 2025;13:115425.10.1016/j.jece.2025.115425Search in Google Scholar
[24] Alasmari A, Hassan AM, Aboraia AM, Mahmoud AE. Influence of oxygen flow rate on phase transformation, electronic properties, and spectral-coefficient characteristic of VxOy thin films deposited via reactive magnetron sputtering. Phys B: Condens Matter. 2025;700:416892.10.1016/j.physb.2025.416892Search in Google Scholar
[25] Aboraia AM, El Refaay DE, Henaish A, Elnage H, Alraddadi S, Hassan AM, et al. Turning the structural as well as optical characteristics of ZiF-8 thin coatings through inclusion of reduced graphene oxide: a comparative study. Opt Quantum Electron. 2024;57(1):38.Search in Google Scholar
[26] Davis EA, Mott NF. Conduction in non-crystalline systems V. Conductivity, optical absorption and photoconductivity in amorphous semiconductors. Philos Mag. 1970;22:0903–22.10.1080/14786437008221061Search in Google Scholar
[27] Diab F, Ali IA, Hassan AM. Effect of successive plasma shots on the dielectric constant of the CdS:Mn thin films exposed to the helium electron beam of plasma focus device. Sens Actuat A: Phys. 2021;329:112819.10.1016/j.sna.2021.112819Search in Google Scholar
[28] Choudhury B, Choudhury A. Oxygen defect dependent variation of band gap, Urbach energy and luminescence property of anatase, anatase–rutile mixed phase and of rutile phases of TiO2 nanoparticles. Phys E: Low-Dimens Syst Nanostruct. 2014;56:364–71.10.1016/j.physe.2013.10.014Search in Google Scholar
[29] Brahimi R, Dib K, Trari M, Bessekhouad Y. Effect of S-doping toward the optical properties of WO3 nanoparticles. Mater Chem Phys. 2019;223:398–403.10.1016/j.matchemphys.2018.11.012Search in Google Scholar
[30] Diab F, Hassan AM. Influence of a plasma focus device on the structural and optical properties of highly conductive AZO thin films. Materials Today. Communications. 2024;40:109856.10.1016/j.mtcomm.2024.109856Search in Google Scholar
[31] Tauc J, Menth A. States in the gap. J Non-Cryst Solids. 1972;8:569–85.10.1016/0022-3093(72)90194-9Search in Google Scholar
[32] Koubisy MSI, Zatsepin AF, Biryukov DY, Zatsepin DA, Shtang TV, Gavrilov NV. Ion-beam induced quasi-dynamic continual disorder in Bi-implanted Hongan silica glass. J Non Cryst Solids. 2021;563:120818.10.1016/j.jnoncrysol.2021.120818Search in Google Scholar
[33] Aïnouche L, Hamadou L, Kadri A, Benbrahim N, Bradai D. Ti3+ states induced band gap reduction and enhanced visible light absorption of TiO2 nanotube arrays: Effect of the surface solid fraction factor. Sol Energy Mater Sol Cell. 2016;151:179–90.10.1016/j.solmat.2016.03.013Search in Google Scholar
[34] Zatsepin AF, Kuznetsova YA, Shtang TV, Mikhaylov AN, Koubisy MSI. New optical oxygen-deficient centers in 80 keV Re-implanted amorphous silica. J Non Cryst Solids. 2020;529:119775.10.1016/j.jnoncrysol.2019.119775Search in Google Scholar
[35] Chomicki D, Kharchenko O, Skowronski L, Kowalonek J, Kozanecka-Szmigiel A, Szmigiel D, et al. Physico-chemical and light-induced properties of quinoline azo-dyes polymers. Int J Mol Sci. 2020;21(16):5755.10.3390/ijms21165755Search in Google Scholar PubMed PubMed Central
[36] Aboraia AM, Yahia IS, Saad M, Alsulaim G, Alnahdi KM, Alsharif SA, et al. Exploration of the structural rGO thin films and their optical characteristics for optoelectronic device applications. J Opt. 2024;1–10.10.1007/s12596-024-02092-6Search in Google Scholar
[37] Zhukovsky M, Koubisy MSI, Zakaly HMH, Ali AS, Issa SAM, Tekin HO. Dielectric, structural, optical and radiation shielding properties of newly synthesized CaO–SiO2–Na2O–Al2O3 glasses: Experimental and theoretical investigations on impact of Tungsten (III) oxide. Appl Phys A. 2022;128(3):205.10.1007/s00339-022-05328-zSearch in Google Scholar
[38] Wemple SH, DiDomenico M Jr. Behavior of the electronic dielectric constant in covalent and ionic materials. Phys Rev B. 1971;3(4):1338.10.1103/PhysRevB.3.1338Search in Google Scholar
[39] Sahoo D, Priyadarshini P, Dandela R, Alagarasan D, Ganesan R, Varadharajaperumal S, et al. In situ laser irradiation: the kinetics of the changes in the nonlinear/linear optical parameters of As50 Se40 Sb10 thin films for photonic applications. RSC Adv. 2021;11:16015–25.10.1039/D1RA02368CSearch in Google Scholar
[40] Hassan AM, Alyousef HA, Zakaly HMH. Optimizing the structure and optoelectronic properties of cuprite thin films via a plasma focus device as a solar cell absorber layer. CrystEngComm. 2024;26:1590–606.10.1039/D3CE01237ASearch in Google Scholar
[41] Mohamed HFM, Abdel-Hady EE, Mohammed WM. Investigation of transport mechanism and nanostructure of nylon-6,6/PVA blend polymers. Polymers. 2023;15:107.10.3390/polym15010107Search in Google Scholar PubMed PubMed Central
[42] Mohammed WM, Awad S, Abdel-Hady EE, Mohamed HFM, Elsharkawy YS, Elsharkawy MRM. Nanostructure analysis and dielectric properties of PVA/sPTA proton exchange membrane for fuel cell applications: Positron lifetime study. Radiat Phys Chem. 2023;208:110942.10.1016/j.radphyschem.2023.110942Search in Google Scholar
[43] Alyousef HA, Hassan AM, Zakaly HMH. Reactive magnetron sputtered AlN thin films: structural, linear and nonlinear optical characteristics. J Mater Sci: Mater Electron. 2023;34:1088.10.1007/s10854-023-10459-xSearch in Google Scholar
[44] Rashad M, Darwish A. Blue shift of band gap for vanadyl 2,3-naphthalocyanine (VONc) thin films monitored at thermal effects. Mater Res Express. 2018;5(2):026402.10.1088/2053-1591/aa9ef3Search in Google Scholar
[45] Elsharkawy MR, Mohammed WM. Effect of the electric field on the free volume investigated from positron annihilation lifetime and dielectric properties of sulfonated PVC/PMMA. Polym Adv Technol. 2024;35(7):6519.10.1002/pat.6519Search in Google Scholar
[46] Zatsepin A, Kuznetsova Yu, Zatsepin DA, Boukhvalov D, Nikolay G, Koubisy M. Electronic Structure and Optical Absorption in Gd-Implanted Silica Glasses. Phys Status Solidi (A) Appl Mater Sci. 2019;216(3):1800522.10.1002/pssa.201800522Search in Google Scholar
[47] Mohamed HF, Taha HG, Mohammed WM, Abdel-Hady EE, Awad S. Study of mechanical and electrical properties through positron annihilation spectroscopy for ethylene-propylene-diene rubber biocomposites with treated wheat husk fibers. Sci Rep. 2024;14(1):24302.10.1038/s41598-024-73594-3Search in Google Scholar PubMed PubMed Central
[48] Mohammed WM, El-Desoky MM, Abdllah N, Mohamed HF, Abdel-Hady EE, El Refaay DE. Relationship between structural, electrical properties and positron annihilation parameters of V2O5–Cu2O–P2O5 glasses. Phys B: Condens Matter. 2024;694:416459.10.1016/j.physb.2024.416459Search in Google Scholar
[49] Mohamed HF, Abdel-Hady EE, Hassanien MH, Mohammed WM. Investigation of the impact of an electric field on polymer electrolyte membranes for fuel cell applications. Physics. 2024;6(4):1345–65.10.3390/physics6040083Search in Google Scholar
[50] Aboraia AM, El Refaay DE, Henaish A, Elnage H, Alraddadi S, Hassan AM, et al. Tuning the structural as well as optical characteristics of ZiF-8 thin coatings through inclusion of reduced graphene oxide: a comparative study. Opt Quantum Electron. 2024;57(1):38.10.1007/s11082-024-07838-xSearch in Google Scholar
[51] Mohammed WM, Saad HM, Aboraia AM, Elella MHA, Abdelkhalik A, Goda ES. 10 - Rheological behavior of PVC-based blends, IPNs, and gels. In Poly(vinyl chloride)-based blends, interpenetrating polymer networks (IPNs), and gels. Elsevier; 2024. p. 255–80.10.1016/B978-0-323-99474-3.00003-3Search in Google Scholar
[52] Ravi A, Samuel J, Sahaya Jude Dhas S, Usharani S, Simon T, Senthil Kumar D, et al. Structural, morphological, optical and antibacterial performances of rare earth (Sm)-doped ZnO nanorods. J Rare Earths. 2024;42:2119–27.10.1016/j.jre.2024.01.004Search in Google Scholar
[53] Ali AI, Son JY, Ammar AH, Abdel Moez A, Kim YS. Optical and dielectric results of Y0.225Sr0.775CoO3 ± δ thin films studied by spectroscopic ellipsometry technique. Results Phys. 2013;3:167–72.10.1016/j.rinp.2013.08.004Search in Google Scholar
[54] Giri S, Priyadarshini P, Alagarasan D, Ganesan R, Naik R. Annealing-induced phase transformation in In10Se70Te20 thin films and its structural, optical and morphological changes for optoelectronic applications. RSC Adv. 2023;13(36):24955–72.10.1039/D3RA03731BSearch in Google Scholar PubMed PubMed Central
[55] Tholkappiyan R, Hamed F, Vishista K. Effect of annealing conditions on the struct-optical properties of ZnFe1.96La0.04O4 nanoparticles. Adv Mater Lett. 2016;7(12):971–8.10.5185/amlett.2016.6387Search in Google Scholar
[56] El-naggar AM, Heiba ZK, Mohamed MB, Kamal AM, Lakshminarayana G. PVA/PVP/PEG polymeric blend loaded with nano-Zn0.75−xFex Cd0.25S: effect of iron concentration on the optical characteristics. Appl Phys A. 2022;128(3):220.10.1007/s00339-022-05351-0Search in Google Scholar
[57] Khenata R, Bouhemadou A, Sahnoun M, Reshak AH, Baltache H, Rabah M. Elastic, electronic and optical properties of ZnS, ZnSe and ZnTe under pressure. Comput Mater Sci. 2006;38(1):29–38.10.1016/j.commatsci.2006.01.013Search in Google Scholar
[58] Boyd R. Nonlinear optics. Vol. 19922. San Diego, Calif: Academic; 2008. p. 39.Search in Google Scholar
[59] Alghamdi HM, Rajeh A. Integrating the structural, optical, magnetic, electrical, and dielectric properties of PAM/PEO/NiCo2O4 nanocomposites for opto-magnetic and energy storage applications. Ceram Int. 2025;51:18045–55.10.1016/j.ceramint.2025.01.581Search in Google Scholar
[60] Alqarni MA, Rajeh A. Optimizing the structural, optical, dielectric, and electrical properties of polyvinyl alcohol/polyvinyl pyrrolidone/zinc manganite nanocomposites for optical and energy storage applications. Results Phys. 2024;67:108045.10.1016/j.rinp.2024.108045Search in Google Scholar
[61] Elamin NY, Modwi A, Abd El-Fattah W, Rajeh A. Synthesis and structural of Fe3O4 magnetic nanoparticles and its effect on the structural optical, and magnetic properties of novel Poly (methyl methacrylate)/Polyaniline composite for electromagnetic and optical applications. Opt Mater. 2023;135:113323.10.1016/j.optmat.2022.113323Search in Google Scholar
© 2025 the author(s), published by De Gruyter
This work is licensed under the Creative Commons Attribution 4.0 International License.
Articles in the same Issue
- Research Articles
- Single-step fabrication of Ag2S/poly-2-mercaptoaniline nanoribbon photocathodes for green hydrogen generation from artificial and natural red-sea water
- Abundant new interaction solutions and nonlinear dynamics for the (3+1)-dimensional Hirota–Satsuma–Ito-like equation
- A novel gold and SiO2 material based planar 5-element high HPBW end-fire antenna array for 300 GHz applications
- Explicit exact solutions and bifurcation analysis for the mZK equation with truncated M-fractional derivatives utilizing two reliable methods
- Optical and laser damage resistance: Role of periodic cylindrical surfaces
- Numerical study of flow and heat transfer in the air-side metal foam partially filled channels of panel-type radiator under forced convection
- Water-based hybrid nanofluid flow containing CNT nanoparticles over an extending surface with velocity slips, thermal convective, and zero-mass flux conditions
- Dynamical wave structures for some diffusion--reaction equations with quadratic and quartic nonlinearities
- Solving an isotropic grey matter tumour model via a heat transfer equation
- Study on the penetration protection of a fiber-reinforced composite structure with CNTs/GFP clip STF/3DKevlar
- Influence of Hall current and acoustic pressure on nanostructured DPL thermoelastic plates under ramp heating in a double-temperature model
- Applications of the Belousov–Zhabotinsky reaction–diffusion system: Analytical and numerical approaches
- AC electroosmotic flow of Maxwell fluid in a pH-regulated parallel-plate silica nanochannel
- Interpreting optical effects with relativistic transformations adopting one-way synchronization to conserve simultaneity and space–time continuity
- Modeling and analysis of quantum communication channel in airborne platforms with boundary layer effects
- Theoretical and numerical investigation of a memristor system with a piecewise memductance under fractal–fractional derivatives
- Tuning the structure and electro-optical properties of α-Cr2O3 films by heat treatment/La doping for optoelectronic applications
- High-speed multi-spectral explosion temperature measurement using golden-section accelerated Pearson correlation algorithm
- Dynamic behavior and modulation instability of the generalized coupled fractional nonlinear Helmholtz equation with cubic–quintic term
- Study on the duration of laser-induced air plasma flash near thin film surface
- Exploring the dynamics of fractional-order nonlinear dispersive wave system through homotopy technique
- The mechanism of carbon monoxide fluorescence inside a femtosecond laser-induced plasma
- Numerical solution of a nonconstant coefficient advection diffusion equation in an irregular domain and analyses of numerical dispersion and dissipation
- Numerical examination of the chemically reactive MHD flow of hybrid nanofluids over a two-dimensional stretching surface with the Cattaneo–Christov model and slip conditions
- Impacts of sinusoidal heat flux and embraced heated rectangular cavity on natural convection within a square enclosure partially filled with porous medium and Casson-hybrid nanofluid
- Stability analysis of unsteady ternary nanofluid flow past a stretching/shrinking wedge
- Solitonic wave solutions of a Hamiltonian nonlinear atom chain model through the Hirota bilinear transformation method
- Bilinear form and soltion solutions for (3+1)-dimensional negative-order KdV-CBS equation
- Solitary chirp pulses and soliton control for variable coefficients cubic–quintic nonlinear Schrödinger equation in nonuniform management system
- Influence of decaying heat source and temperature-dependent thermal conductivity on photo-hydro-elasto semiconductor media
- Dissipative disorder optimization in the radiative thin film flow of partially ionized non-Newtonian hybrid nanofluid with second-order slip condition
- Bifurcation, chaotic behavior, and traveling wave solutions for the fractional (4+1)-dimensional Davey–Stewartson–Kadomtsev–Petviashvili model
- New investigation on soliton solutions of two nonlinear PDEs in mathematical physics with a dynamical property: Bifurcation analysis
- Mathematical analysis of nanoparticle type and volume fraction on heat transfer efficiency of nanofluids
- Creation of single-wing Lorenz-like attractors via a ten-ninths-degree term
- Optical soliton solutions, bifurcation analysis, chaotic behaviors of nonlinear Schrödinger equation and modulation instability in optical fiber
- Chaotic dynamics and some solutions for the (n + 1)-dimensional modified Zakharov–Kuznetsov equation in plasma physics
- Fractal formation and chaotic soliton phenomena in nonlinear conformable Heisenberg ferromagnetic spin chain equation
- Single-step fabrication of Mn(iv) oxide-Mn(ii) sulfide/poly-2-mercaptoaniline porous network nanocomposite for pseudo-supercapacitors and charge storage
- Novel constructed dynamical analytical solutions and conserved quantities of the new (2+1)-dimensional KdV model describing acoustic wave propagation
- Tavis–Cummings model in the presence of a deformed field and time-dependent coupling
- Spinning dynamics of stress-dependent viscosity of generalized Cross-nonlinear materials affected by gravitationally swirling disk
- Design and prediction of high optical density photovoltaic polymers using machine learning-DFT studies
- Robust control and preservation of quantum steering, nonlocality, and coherence in open atomic systems
- Coating thickness and process efficiency of reverse roll coating using a magnetized hybrid nanomaterial flow
- Dynamic analysis, circuit realization, and its synchronization of a new chaotic hyperjerk system
- Decoherence of steerability and coherence dynamics induced by nonlinear qubit–cavity interactions
- Finite element analysis of turbulent thermal enhancement in grooved channels with flat- and plus-shaped fins
- Modulational instability and associated ion-acoustic modulated envelope solitons in a quantum plasma having ion beams
- Statistical inference of constant-stress partially accelerated life tests under type II generalized hybrid censored data from Burr III distribution
- On solutions of the Dirac equation for 1D hydrogenic atoms or ions
- Entropy optimization for chemically reactive magnetized unsteady thin film hybrid nanofluid flow on inclined surface subject to nonlinear mixed convection and variable temperature
- Stability analysis, circuit simulation, and color image encryption of a novel four-dimensional hyperchaotic model with hidden and self-excited attractors
- A high-accuracy exponential time integration scheme for the Darcy–Forchheimer Williamson fluid flow with temperature-dependent conductivity
- Novel analysis of fractional regularized long-wave equation in plasma dynamics
- Development of a photoelectrode based on a bismuth(iii) oxyiodide/intercalated iodide-poly(1H-pyrrole) rough spherical nanocomposite for green hydrogen generation
- Investigation of solar radiation effects on the energy performance of the (Al2O3–CuO–Cu)/H2O ternary nanofluidic system through a convectively heated cylinder
- Quantum resources for a system of two atoms interacting with a deformed field in the presence of intensity-dependent coupling
- Studying bifurcations and chaotic dynamics in the generalized hyperelastic-rod wave equation through Hamiltonian mechanics
- A new numerical technique for the solution of time-fractional nonlinear Klein–Gordon equation involving Atangana–Baleanu derivative using cubic B-spline functions
- Interaction solutions of high-order breathers and lumps for a (3+1)-dimensional conformable fractional potential-YTSF-like model
- Hydraulic fracturing radioactive source tracing technology based on hydraulic fracturing tracing mechanics model
- Numerical solution and stability analysis of non-Newtonian hybrid nanofluid flow subject to exponential heat source/sink over a Riga sheet
- Numerical investigation of mixed convection and viscous dissipation in couple stress nanofluid flow: A merged Adomian decomposition method and Mohand transform
- Effectual quintic B-spline functions for solving the time fractional coupled Boussinesq–Burgers equation arising in shallow water waves
- Analysis of MHD hybrid nanofluid flow over cone and wedge with exponential and thermal heat source and activation energy
- Solitons and travelling waves structure for M-fractional Kairat-II equation using three explicit methods
- Impact of nanoparticle shapes on the heat transfer properties of Cu and CuO nanofluids flowing over a stretching surface with slip effects: A computational study
- Computational simulation of heat transfer and nanofluid flow for two-sided lid-driven square cavity under the influence of magnetic field
- Irreversibility analysis of a bioconvective two-phase nanofluid in a Maxwell (non-Newtonian) flow induced by a rotating disk with thermal radiation
- Hydrodynamic and sensitivity analysis of a polymeric calendering process for non-Newtonian fluids with temperature-dependent viscosity
- Exploring the peakon solitons molecules and solitary wave structure to the nonlinear damped Kortewege–de Vries equation through efficient technique
- Modeling and heat transfer analysis of magnetized hybrid micropolar blood-based nanofluid flow in Darcy–Forchheimer porous stenosis narrow arteries
- Activation energy and cross-diffusion effects on 3D rotating nanofluid flow in a Darcy–Forchheimer porous medium with radiation and convective heating
- Insights into chemical reactions occurring in generalized nanomaterials due to spinning surface with melting constraints
- Influence of a magnetic field on double-porosity photo-thermoelastic materials under Lord–Shulman theory
- Soliton-like solutions for a nonlinear doubly dispersive equation in an elastic Murnaghan's rod via Hirota's bilinear method
- Analytical and numerical investigation of exact wave patterns and chaotic dynamics in the extended improved Boussinesq equation
- Nonclassical correlation dynamics of Heisenberg XYZ states with (x, y)-spin--orbit interaction, x-magnetic field, and intrinsic decoherence effects
- Exact traveling wave and soliton solutions for chemotaxis model and (3+1)-dimensional Boiti–Leon–Manna–Pempinelli equation
- Unveiling the transformative role of samarium in ZnO: Exploring structural and optical modifications for advanced functional applications
- On the derivation of solitary wave solutions for the time-fractional Rosenau equation through two analytical techniques
- Analyzing the role of length and radius of MWCNTs in a nanofluid flow influenced by variable thermal conductivity and viscosity considering Marangoni convection
- Advanced mathematical analysis of heat and mass transfer in oscillatory micropolar bio-nanofluid flows via peristaltic waves and electroosmotic effects
- Exact bound state solutions of the radial Schrödinger equation for the Coulomb potential by conformable Nikiforov–Uvarov approach
- Some anisotropic and perfect fluid plane symmetric solutions of Einstein's field equations using killing symmetries
- Nonlinear dynamics of the dissipative ion-acoustic solitary waves in anisotropic rotating magnetoplasmas
- Curves in multiplicative equiaffine plane
- Exact solution of the three-dimensional (3D) Z2 lattice gauge theory
- Propagation properties of Airyprime pulses in relaxing nonlinear media
- Symbolic computation: Analytical solutions and dynamics of a shallow water wave equation in coastal engineering
- Wave propagation in nonlocal piezo-photo-hygrothermoelastic semiconductors subjected to heat and moisture flux
- Comparative reaction dynamics in rotating nanofluid systems: Quartic and cubic kinetics under MHD influence
- Laplace transform technique and probabilistic analysis-based hypothesis testing in medical and engineering applications
- Physical properties of ternary chloro-perovskites KTCl3 (T = Ge, Al) for optoelectronic applications
- Gravitational length stretching: Curvature-induced modulation of quantum probability densities
- The search for the cosmological cold dark matter axion – A new refined narrow mass window and detection scheme
- A comparative study of quantum resources in bipartite Lipkin–Meshkov–Glick model under DM interaction and Zeeman splitting
- PbO-doped K2O–BaO–Al2O3–B2O3–TeO2-glasses: Mechanical and shielding efficacy
- Nanospherical arsenic(iii) oxoiodide/iodide-intercalated poly(N-methylpyrrole) composite synthesis for broad-spectrum optical detection
- Sine power Burr X distribution with estimation and applications in physics and other fields
- Numerical modeling of enhanced reactive oxygen plasma in pulsed laser deposition of metal oxide thin films
- Dynamical analyses and dispersive soliton solutions to the nonlinear fractional model in stratified fluids
- Computation of exact analytical soliton solutions and their dynamics in advanced optical system
- An innovative approximation concerning the diffusion and electrical conductivity tensor at critical altitudes within the F-region of ionospheric plasma at low latitudes
- An analytical investigation to the (3+1)-dimensional Yu–Toda–Sassa–Fukuyama equation with dynamical analysis: Bifurcation
- Swirling-annular-flow-induced instability of a micro shell considering Knudsen number and viscosity effects
- Numerical analysis of non-similar convection flows of a two-phase nanofluid past a semi-infinite vertical plate with thermal radiation
- MgO NPs reinforced PCL/PVC nanocomposite films with enhanced UV shielding and thermal stability for packaging applications
- Optimal conditions for indoor air purification using non-thermal Corona discharge electrostatic precipitator
- Investigation of thermal conductivity and Raman spectra for HfAlB, TaAlB, and WAlB based on first-principles calculations
- Tunable double plasmon-induced transparency based on monolayer patterned graphene metamaterial
- DSC: depth data quality optimization framework for RGBD camouflaged object detection
- A new family of Poisson-exponential distributions with applications to cancer data and glass fiber reliability
- Numerical investigation of couple stress under slip conditions via modified Adomian decomposition method
- Monitoring plateau lake area changes in Yunnan province, southwestern China using medium-resolution remote sensing imagery: applicability of water indices and environmental dependencies
- Heterodyne interferometric fiber-optic gyroscope
- Exact solutions of Einstein’s field equations via homothetic symmetries of non-static plane symmetric spacetime
- A widespread study of discrete entropic model and its distribution along with fluctuations of energy
- Empirical model integration for accurate charge carrier mobility simulation in silicon MOSFETs
- The influence of scattering correction effect based on optical path distribution on CO2 retrieval
- Anisotropic dissociation and spectral response of 1-Bromo-4-chlorobenzene under static directional electric fields
- Role of tungsten oxide (WO3) on thermal and optical properties of smart polymer composites
- Analysis of iterative deblurring: no explicit noise
- The influence of anisotropy of InP on its elasticity and phonon properties
- Review Article
- Examination of the gamma radiation shielding properties of different clay and sand materials in the Adrar region
- Erratum
- Erratum to “On Soliton structures in optical fiber communications with Kundu–Mukherjee–Naskar model (Open Physics 2021;19:679–682)”
- Special Issue on Fundamental Physics from Atoms to Cosmos - Part II
- Possible explanation for the neutron lifetime puzzle
- Special Issue on Nanomaterial utilization and structural optimization - Part III
- Numerical investigation on fluid-thermal-electric performance of a thermoelectric-integrated helically coiled tube heat exchanger for coal mine air cooling
- Special Issue on Nonlinear Dynamics and Chaos in Physical Systems
- Analysis of the fractional relativistic isothermal gas sphere with application to neutron stars
- Abundant wave symmetries in the (3+1)-dimensional Chafee–Infante equation through the Hirota bilinear transformation technique
- Successive midpoint method for fractional differential equations with nonlocal kernels: Error analysis, stability, and applications
- Novel exact solitons to the fractional modified mixed-Korteweg--de Vries model with a stability analysis
Articles in the same Issue
- Research Articles
- Single-step fabrication of Ag2S/poly-2-mercaptoaniline nanoribbon photocathodes for green hydrogen generation from artificial and natural red-sea water
- Abundant new interaction solutions and nonlinear dynamics for the (3+1)-dimensional Hirota–Satsuma–Ito-like equation
- A novel gold and SiO2 material based planar 5-element high HPBW end-fire antenna array for 300 GHz applications
- Explicit exact solutions and bifurcation analysis for the mZK equation with truncated M-fractional derivatives utilizing two reliable methods
- Optical and laser damage resistance: Role of periodic cylindrical surfaces
- Numerical study of flow and heat transfer in the air-side metal foam partially filled channels of panel-type radiator under forced convection
- Water-based hybrid nanofluid flow containing CNT nanoparticles over an extending surface with velocity slips, thermal convective, and zero-mass flux conditions
- Dynamical wave structures for some diffusion--reaction equations with quadratic and quartic nonlinearities
- Solving an isotropic grey matter tumour model via a heat transfer equation
- Study on the penetration protection of a fiber-reinforced composite structure with CNTs/GFP clip STF/3DKevlar
- Influence of Hall current and acoustic pressure on nanostructured DPL thermoelastic plates under ramp heating in a double-temperature model
- Applications of the Belousov–Zhabotinsky reaction–diffusion system: Analytical and numerical approaches
- AC electroosmotic flow of Maxwell fluid in a pH-regulated parallel-plate silica nanochannel
- Interpreting optical effects with relativistic transformations adopting one-way synchronization to conserve simultaneity and space–time continuity
- Modeling and analysis of quantum communication channel in airborne platforms with boundary layer effects
- Theoretical and numerical investigation of a memristor system with a piecewise memductance under fractal–fractional derivatives
- Tuning the structure and electro-optical properties of α-Cr2O3 films by heat treatment/La doping for optoelectronic applications
- High-speed multi-spectral explosion temperature measurement using golden-section accelerated Pearson correlation algorithm
- Dynamic behavior and modulation instability of the generalized coupled fractional nonlinear Helmholtz equation with cubic–quintic term
- Study on the duration of laser-induced air plasma flash near thin film surface
- Exploring the dynamics of fractional-order nonlinear dispersive wave system through homotopy technique
- The mechanism of carbon monoxide fluorescence inside a femtosecond laser-induced plasma
- Numerical solution of a nonconstant coefficient advection diffusion equation in an irregular domain and analyses of numerical dispersion and dissipation
- Numerical examination of the chemically reactive MHD flow of hybrid nanofluids over a two-dimensional stretching surface with the Cattaneo–Christov model and slip conditions
- Impacts of sinusoidal heat flux and embraced heated rectangular cavity on natural convection within a square enclosure partially filled with porous medium and Casson-hybrid nanofluid
- Stability analysis of unsteady ternary nanofluid flow past a stretching/shrinking wedge
- Solitonic wave solutions of a Hamiltonian nonlinear atom chain model through the Hirota bilinear transformation method
- Bilinear form and soltion solutions for (3+1)-dimensional negative-order KdV-CBS equation
- Solitary chirp pulses and soliton control for variable coefficients cubic–quintic nonlinear Schrödinger equation in nonuniform management system
- Influence of decaying heat source and temperature-dependent thermal conductivity on photo-hydro-elasto semiconductor media
- Dissipative disorder optimization in the radiative thin film flow of partially ionized non-Newtonian hybrid nanofluid with second-order slip condition
- Bifurcation, chaotic behavior, and traveling wave solutions for the fractional (4+1)-dimensional Davey–Stewartson–Kadomtsev–Petviashvili model
- New investigation on soliton solutions of two nonlinear PDEs in mathematical physics with a dynamical property: Bifurcation analysis
- Mathematical analysis of nanoparticle type and volume fraction on heat transfer efficiency of nanofluids
- Creation of single-wing Lorenz-like attractors via a ten-ninths-degree term
- Optical soliton solutions, bifurcation analysis, chaotic behaviors of nonlinear Schrödinger equation and modulation instability in optical fiber
- Chaotic dynamics and some solutions for the (n + 1)-dimensional modified Zakharov–Kuznetsov equation in plasma physics
- Fractal formation and chaotic soliton phenomena in nonlinear conformable Heisenberg ferromagnetic spin chain equation
- Single-step fabrication of Mn(iv) oxide-Mn(ii) sulfide/poly-2-mercaptoaniline porous network nanocomposite for pseudo-supercapacitors and charge storage
- Novel constructed dynamical analytical solutions and conserved quantities of the new (2+1)-dimensional KdV model describing acoustic wave propagation
- Tavis–Cummings model in the presence of a deformed field and time-dependent coupling
- Spinning dynamics of stress-dependent viscosity of generalized Cross-nonlinear materials affected by gravitationally swirling disk
- Design and prediction of high optical density photovoltaic polymers using machine learning-DFT studies
- Robust control and preservation of quantum steering, nonlocality, and coherence in open atomic systems
- Coating thickness and process efficiency of reverse roll coating using a magnetized hybrid nanomaterial flow
- Dynamic analysis, circuit realization, and its synchronization of a new chaotic hyperjerk system
- Decoherence of steerability and coherence dynamics induced by nonlinear qubit–cavity interactions
- Finite element analysis of turbulent thermal enhancement in grooved channels with flat- and plus-shaped fins
- Modulational instability and associated ion-acoustic modulated envelope solitons in a quantum plasma having ion beams
- Statistical inference of constant-stress partially accelerated life tests under type II generalized hybrid censored data from Burr III distribution
- On solutions of the Dirac equation for 1D hydrogenic atoms or ions
- Entropy optimization for chemically reactive magnetized unsteady thin film hybrid nanofluid flow on inclined surface subject to nonlinear mixed convection and variable temperature
- Stability analysis, circuit simulation, and color image encryption of a novel four-dimensional hyperchaotic model with hidden and self-excited attractors
- A high-accuracy exponential time integration scheme for the Darcy–Forchheimer Williamson fluid flow with temperature-dependent conductivity
- Novel analysis of fractional regularized long-wave equation in plasma dynamics
- Development of a photoelectrode based on a bismuth(iii) oxyiodide/intercalated iodide-poly(1H-pyrrole) rough spherical nanocomposite for green hydrogen generation
- Investigation of solar radiation effects on the energy performance of the (Al2O3–CuO–Cu)/H2O ternary nanofluidic system through a convectively heated cylinder
- Quantum resources for a system of two atoms interacting with a deformed field in the presence of intensity-dependent coupling
- Studying bifurcations and chaotic dynamics in the generalized hyperelastic-rod wave equation through Hamiltonian mechanics
- A new numerical technique for the solution of time-fractional nonlinear Klein–Gordon equation involving Atangana–Baleanu derivative using cubic B-spline functions
- Interaction solutions of high-order breathers and lumps for a (3+1)-dimensional conformable fractional potential-YTSF-like model
- Hydraulic fracturing radioactive source tracing technology based on hydraulic fracturing tracing mechanics model
- Numerical solution and stability analysis of non-Newtonian hybrid nanofluid flow subject to exponential heat source/sink over a Riga sheet
- Numerical investigation of mixed convection and viscous dissipation in couple stress nanofluid flow: A merged Adomian decomposition method and Mohand transform
- Effectual quintic B-spline functions for solving the time fractional coupled Boussinesq–Burgers equation arising in shallow water waves
- Analysis of MHD hybrid nanofluid flow over cone and wedge with exponential and thermal heat source and activation energy
- Solitons and travelling waves structure for M-fractional Kairat-II equation using three explicit methods
- Impact of nanoparticle shapes on the heat transfer properties of Cu and CuO nanofluids flowing over a stretching surface with slip effects: A computational study
- Computational simulation of heat transfer and nanofluid flow for two-sided lid-driven square cavity under the influence of magnetic field
- Irreversibility analysis of a bioconvective two-phase nanofluid in a Maxwell (non-Newtonian) flow induced by a rotating disk with thermal radiation
- Hydrodynamic and sensitivity analysis of a polymeric calendering process for non-Newtonian fluids with temperature-dependent viscosity
- Exploring the peakon solitons molecules and solitary wave structure to the nonlinear damped Kortewege–de Vries equation through efficient technique
- Modeling and heat transfer analysis of magnetized hybrid micropolar blood-based nanofluid flow in Darcy–Forchheimer porous stenosis narrow arteries
- Activation energy and cross-diffusion effects on 3D rotating nanofluid flow in a Darcy–Forchheimer porous medium with radiation and convective heating
- Insights into chemical reactions occurring in generalized nanomaterials due to spinning surface with melting constraints
- Influence of a magnetic field on double-porosity photo-thermoelastic materials under Lord–Shulman theory
- Soliton-like solutions for a nonlinear doubly dispersive equation in an elastic Murnaghan's rod via Hirota's bilinear method
- Analytical and numerical investigation of exact wave patterns and chaotic dynamics in the extended improved Boussinesq equation
- Nonclassical correlation dynamics of Heisenberg XYZ states with (x, y)-spin--orbit interaction, x-magnetic field, and intrinsic decoherence effects
- Exact traveling wave and soliton solutions for chemotaxis model and (3+1)-dimensional Boiti–Leon–Manna–Pempinelli equation
- Unveiling the transformative role of samarium in ZnO: Exploring structural and optical modifications for advanced functional applications
- On the derivation of solitary wave solutions for the time-fractional Rosenau equation through two analytical techniques
- Analyzing the role of length and radius of MWCNTs in a nanofluid flow influenced by variable thermal conductivity and viscosity considering Marangoni convection
- Advanced mathematical analysis of heat and mass transfer in oscillatory micropolar bio-nanofluid flows via peristaltic waves and electroosmotic effects
- Exact bound state solutions of the radial Schrödinger equation for the Coulomb potential by conformable Nikiforov–Uvarov approach
- Some anisotropic and perfect fluid plane symmetric solutions of Einstein's field equations using killing symmetries
- Nonlinear dynamics of the dissipative ion-acoustic solitary waves in anisotropic rotating magnetoplasmas
- Curves in multiplicative equiaffine plane
- Exact solution of the three-dimensional (3D) Z2 lattice gauge theory
- Propagation properties of Airyprime pulses in relaxing nonlinear media
- Symbolic computation: Analytical solutions and dynamics of a shallow water wave equation in coastal engineering
- Wave propagation in nonlocal piezo-photo-hygrothermoelastic semiconductors subjected to heat and moisture flux
- Comparative reaction dynamics in rotating nanofluid systems: Quartic and cubic kinetics under MHD influence
- Laplace transform technique and probabilistic analysis-based hypothesis testing in medical and engineering applications
- Physical properties of ternary chloro-perovskites KTCl3 (T = Ge, Al) for optoelectronic applications
- Gravitational length stretching: Curvature-induced modulation of quantum probability densities
- The search for the cosmological cold dark matter axion – A new refined narrow mass window and detection scheme
- A comparative study of quantum resources in bipartite Lipkin–Meshkov–Glick model under DM interaction and Zeeman splitting
- PbO-doped K2O–BaO–Al2O3–B2O3–TeO2-glasses: Mechanical and shielding efficacy
- Nanospherical arsenic(iii) oxoiodide/iodide-intercalated poly(N-methylpyrrole) composite synthesis for broad-spectrum optical detection
- Sine power Burr X distribution with estimation and applications in physics and other fields
- Numerical modeling of enhanced reactive oxygen plasma in pulsed laser deposition of metal oxide thin films
- Dynamical analyses and dispersive soliton solutions to the nonlinear fractional model in stratified fluids
- Computation of exact analytical soliton solutions and their dynamics in advanced optical system
- An innovative approximation concerning the diffusion and electrical conductivity tensor at critical altitudes within the F-region of ionospheric plasma at low latitudes
- An analytical investigation to the (3+1)-dimensional Yu–Toda–Sassa–Fukuyama equation with dynamical analysis: Bifurcation
- Swirling-annular-flow-induced instability of a micro shell considering Knudsen number and viscosity effects
- Numerical analysis of non-similar convection flows of a two-phase nanofluid past a semi-infinite vertical plate with thermal radiation
- MgO NPs reinforced PCL/PVC nanocomposite films with enhanced UV shielding and thermal stability for packaging applications
- Optimal conditions for indoor air purification using non-thermal Corona discharge electrostatic precipitator
- Investigation of thermal conductivity and Raman spectra for HfAlB, TaAlB, and WAlB based on first-principles calculations
- Tunable double plasmon-induced transparency based on monolayer patterned graphene metamaterial
- DSC: depth data quality optimization framework for RGBD camouflaged object detection
- A new family of Poisson-exponential distributions with applications to cancer data and glass fiber reliability
- Numerical investigation of couple stress under slip conditions via modified Adomian decomposition method
- Monitoring plateau lake area changes in Yunnan province, southwestern China using medium-resolution remote sensing imagery: applicability of water indices and environmental dependencies
- Heterodyne interferometric fiber-optic gyroscope
- Exact solutions of Einstein’s field equations via homothetic symmetries of non-static plane symmetric spacetime
- A widespread study of discrete entropic model and its distribution along with fluctuations of energy
- Empirical model integration for accurate charge carrier mobility simulation in silicon MOSFETs
- The influence of scattering correction effect based on optical path distribution on CO2 retrieval
- Anisotropic dissociation and spectral response of 1-Bromo-4-chlorobenzene under static directional electric fields
- Role of tungsten oxide (WO3) on thermal and optical properties of smart polymer composites
- Analysis of iterative deblurring: no explicit noise
- The influence of anisotropy of InP on its elasticity and phonon properties
- Review Article
- Examination of the gamma radiation shielding properties of different clay and sand materials in the Adrar region
- Erratum
- Erratum to “On Soliton structures in optical fiber communications with Kundu–Mukherjee–Naskar model (Open Physics 2021;19:679–682)”
- Special Issue on Fundamental Physics from Atoms to Cosmos - Part II
- Possible explanation for the neutron lifetime puzzle
- Special Issue on Nanomaterial utilization and structural optimization - Part III
- Numerical investigation on fluid-thermal-electric performance of a thermoelectric-integrated helically coiled tube heat exchanger for coal mine air cooling
- Special Issue on Nonlinear Dynamics and Chaos in Physical Systems
- Analysis of the fractional relativistic isothermal gas sphere with application to neutron stars
- Abundant wave symmetries in the (3+1)-dimensional Chafee–Infante equation through the Hirota bilinear transformation technique
- Successive midpoint method for fractional differential equations with nonlocal kernels: Error analysis, stability, and applications
- Novel exact solitons to the fractional modified mixed-Korteweg--de Vries model with a stability analysis