Home Physical Sciences Optimal conditions for indoor air purification using non-thermal Corona discharge electrostatic precipitator
Article Open Access

Optimal conditions for indoor air purification using non-thermal Corona discharge electrostatic precipitator

  • Samira Elaissi ORCID logo EMAIL logo , Norah A.M. Alsaif ORCID logo , Eman M. Moneer and Soumaya Gouadria ORCID logo
Published/Copyright: December 3, 2025

Abstract

Cold plasmas improve indoor air quality by reducing fine and ultrafine particles threatening human health. Electrostatic precipitator (ESP) uses non-thermal corona discharge connected to negative DC high voltage needles with grounded parallel plate collectors. In this paper, a simulation of an ESP model is performed using COMSOL Multiphysics software to study optimal conditions for indoor air purification. Numerical results of current voltage distribution display a great correlation with experimental data. The corona current density, potential, electric field strength and density of space charges are investigated. Various geometric and operating parameters are utilized to investigate the ultrafine particles removal efficiency. Moreover, the collection efficiency and migration velocity are discussed according to particle size. ESP performance is affected by number of discharging wires as well as electrode size and configuration. A 94 % efficiency rate of removing particles from 0.01 to 0.25 µm radius is achieved under optimal conditions (40 kV, 1 m/s inlet velocity, five needles). In hence, controlling airborne particles through electrostatic precipitator technology under these optimal conditions has been proven to be reliable to remove ultrafine particles.

Nomenclature

d 0 (m)

discharge wire diameter

s y (m)

space between wire and plates

s x (m)

space between wire and wire

N

number of corona electrodes

L (m)

collection plates length

H (m)

collecting plate height

φ 0 (V)

applied voltage on wires

Q (m3 s−1)

air flow rate

T (K)

temperature of air

P (Pa)

pressure of air

ρ p (kg m−3)

particles density

ɛ p (C V−1 m−1)

particles’ permittivity

ρ (kg m−3)

gas density

d p (m)

diameter of particles

J (A m−2)

current density vector

D i (m2/s)

ion diffusion coefficient

E (V m−1)

electric field vector

z i

sign of the electric charge

ρ i (C m−3)

space charge density

u (u x , u y , u x ) (m s−1)

fluid velocity vector

φ (V)

electric potential

ɛ 0 (C V−1 m−1)

free space permittivity

μ g (Pa s)

dynamic viscosity of the gas

F EHD (N)

electrodynamic force vector

m p (kg)

mass of particles

u p (V m−1)

particles’ velocity

F c (N)

electric force vector acting on particles

q p (C)

particle charge

F d (N)

drag force vector

τ p (s)

response time of particle velocity

Rer

relative Reynolds number

C D

drag coefficient

C S

Cunningham factor

λ (m)

molecule mean free path

S

coefficient of drag correction

C 1, C 2, C 3

constant coefficient specific to ESP shape and the flow regime

Kn

Knudsen number

v s

charge saturation of a particle

τ c (s)

characteristic charging time

e (C)

elementary charge

K B (J K−1)

Boltzmann’s constant

K i (m2/Vs)

ion mobility

E s (V m−1)

breakdown electric field

E 0 (V m−1)

corona discharge’s onset electric field

r 0 (m)

corona wire radius

δ

relative number of gas density under standard conditions

P s (Pa)

standard pressure

T s (K)

standard temperature

P L (Pa)

local pressure

T L (K)

local temperature

p (W)

consumed total power

η (%)

particle collection efficiency

C outlet (kg m−3)

particles’ mass concentration at the outlet

C inlet (kg m−3)

particles’ mass concentration at the inlet

x (m)

particle size ranges

A (m2)

collecting plate area in ESP

ω p (m s−1)

particle’s average migration velocity

n

normal unit vector

p c (W)

corona power ratio

1 Introduction

Air pollution is one of the major challenges the world faces today because of modern urbanization and industrialization [1]. There is a wide range of particle size range in indoor airborne particles, ranging from ultrafine particles (smaller than 0.1 µm) caused by cooking, smoking, burning candles/incense, and even household cleaning products to coarse particles (2.5 µm) that are caused by dust resuspension and outdoor infiltration (traffic and soil dust). It is crucial to consider particle size because smaller particles can reach deeper into the lungs, posing a greater risk to health. The risk associated with particles smaller than 10 µm is high since they are highly concentrated and can penetrate deep into the human body [2], 3]. Particles smaller than submicron such as aerosol particles penetrate the lungs, accumulating in the alveoli, and even infiltrating the blood [4].

As people from industrialized countries tend to spend most of their time inside, indoor transmission has been identified as the main setting for infections. Depending on their chemical composition, exposure time and intensity, these aerosols and airborne particles can cause respiratory and cardiovascular illness. Recently, these routes of transmission, contributed to the widespread of SARS-CoV-2 in indoor spaces [5], 6].

Indoor air pollution is reduced by a variety of processes, including, electret filtration hydrogenation [7], mechanical filtration and electrostatic precipitation (ESP). Conventional air filtration is considerably less expensive to operate and have a lower risk of damage and stoppage. However, these filters require change filters and may become bacterial sinks, causing high pressure drops as well [8]. An ESP is also easier to maintain than a filter since only collector plates need to be cleaned and there is no filter to be changed. Particles in the flow are ionized and transported by an electrical field [9]. ESP air purifiers generally achieve higher clean rate efficiency with nanoparticle collection than filters, because the velocity and flow rate of air delivery in discharge medium are higher than in fibrous media [10]. A significant advantage of ESPs is their ability to work. A wide range of gas temperatures can be handled, as well as high efficiency in collecting particles [11]. Their durability, cost effectiveness, and ease of operation make them a popular choice.

However, as there are several highly coupled processes in ESP, such as particle charging and migration in corona discharge, modelling these mechanisms remains challenging [12], 13].

There have been a number of numerical models developed to explore the characteristics of ESPs with respect to corona discharges and removal of polluted ultrafine particles. The advantages of numerical simulations over experimental studies are their flexibility, low cost, and relative accuracy. Modelling of the precipitation process using corona discharge is developed by Anagnostopoulos and Bergeles [14] with finite difference method to estimate wire surfaces’ electric fields. To improve overcome some limitations of the previous model, Liu et al. [15] performed a simplified physical model, where particle motion and particle deposition onto electrodes are affected by electric field and space charge. However, this method has some flaws, including difficulty in assigning ion density at wire surfaces and difficulty handling special electrode geometries with high computational expense.

Furthermore, an investigation of particle charging models was conducted with a focus on their application to electrostatic precipitators [16], 17]. Also, particle behaviour effect is examined to determine its influence on particle collection by altering the electric field [18]. Recently, a rapid advancement in numerical technology has prompted many authors to model complex physical phenomena simultaneously with multiple software packages [19]. There are also several modifications of collection and discharge electrodes in ESPs to increase their collection efficiency, mainly for submicron particulate matter. Even though these designs need further investigation to confirm their effectiveness, which are often complex in structure.

In this study, a model simulating corona discharges and couple processes in an ESP are developed in the first part of this article using COMSOL Multiphysics software [20]. This model provides novel insights into the physical mechanisms of ESP and improves this process while increasing collection efficiency and lowering energy consumption. Secondly, a discussion of novel adjustments of the operational performance of conventional ESPs are performed to enhance electrostatic pre-charging and electrostatic agglomeration. The third part of the article focuses on improving the collection efficiency of ESPs, specifically, using submicron particles that are difficult to remove by traditional methods. To evaluate ESP performance, optimal operating conditions are selected to increase nanoparticle collection efficiency and reduce pollution in indoor air environments.

2 Mechanism of air precipitator

A schematic diagram of a single stage electrostatic precipitator is displayed in Figure 1. The ultrafine particle charging system involves an electrode system consisting of high voltage DC source connected to thin wire electrodes and a grounded collecting electrodes system [21].

Figure 1: 
Schematic diagram of the laboratory single stage ESP.
Figure 1:

Schematic diagram of the laboratory single stage ESP.

Electrodes are connected using air as a medium. When the ESP starts working through the effect of the corona, molecules of air between the electrodes become ionized, resulting in a lot of free electrons and ions. Through the ESP, polluted air passes then, free electrons collide with polluted particles between the electrodes. These particles become negatively charged due to attachment with free electrons and will be moved by the electric force toward positive collecting plates. Shaking intermittently removes polluted particles from the collecting plates.

Electrostatic precipitators (ESPs) require high voltage power, so safety concerns are addressed through strict protocols, training, and technological advancements. These include lock-out/tag-out procedures, specialized management programs, the maintenance of insulators, and the development of dielectric-coated ESPs that are safer and more efficient at lower voltages.

It is possible that this high voltage level will cause some other reactions as well, such as the generation of ozone. Nevertheless, smaller particles have a higher mobility and are more easily attracted to lower charge levels. Furthermore, small particles can deposit electrostatically at a faster rate than they can diffuse or gravitate [22].

Due to their high efficiency in capturing even very fine particles and the ability to integrate into existing air handling systems, electrostatic precipitators (ESP) are largely used in real-world applications, including power plants, chemical factories, and medical settings [23].

The performance of ESPs can be affected by factors such as dust loading, corrosive gases, and fluctuating operating conditions, despite their inherent durability and efficiency. In order to maintain long-term stability, an ESP must be continuously monitored for performance and periodically maintained, including cleaning collection plates as particle buildup reduces efficiency. The design of modern ESPs incorporates automated control systems, non-metallic materials, and water film cleaning for long-term stability [24].

3 Numerical model

The numerical model is based on a two-dimensional (2D) single channel wire plate, which reduces the computational cost compared to 3D models. Consequently, faster iterations are possible in designing and optimizing ESP parameters like electric field distribution, particle trajectory, and overall efficiency while using less energy.

Also, when modeling electrostatic precipitators (ESPs), constant air density and viscosity are often used, especially for small pressure drops and near-steady conditions. In some cases, these assumptions may be less accurate due to temperature variations or high particle loads, which can significantly affect performance. However, treating air as an incompressible Newtonian fluid makes modeling computationally efficient. In addition, ESPs are typically featuring with turbulent flow, where particles are chaotically arranged in three dimensions with eddies. However, using laminar flow can improve ESP performance, especially for sub-micron particulates, by enhancing particle collection on plates. Laminar flow can be achieved by controlling the vertical orientation of the housing and the downward direction of the gas in ESPs designed for fine particle removal.

3.1 Geometry model

As shown in Figure 2, ESP consists of five circular corona wires and two flat collecting plates [25]. Computational geometry model consists of a rectangle with a 0.7 m length and 0.1 m width, with five electrodes each having a 1 mm channel diameter. Duct inlet to first wire distance is 150 mm. 0.05 m is the wire-plate distance and 0.1 m is the distance between two wires. The operating conditions and dimensions are illustrated in Table 1.

Figure 2: 
Modelled ESP geometry.
Figure 2:

Modelled ESP geometry.

Table 1:

Operating conditions of the ESP.

Parameter, unit Values
Diameter of discharge wire d 0 (mm) 1–3
Wire – plates distance s y (mm) 50–200
Wire – wire distance, s x (mm) 100–240
Number of corona electrodes N 3–8
Collection plates length L (mm) 700–960
Collecting plate height H (mm) 100–400
Applied voltage on wires, φ 0 (kV) 20–120
Inlet flow velocity, u x (m/s) 1
Air flow rate Q (L/min) 50–150
Temperature of air, T (K) 293–500
Pressure of air, P (atm) 1
Particles density ρ p (kg m−3) 2100
Permittivity of particles ɛ p (C V−1 m−1) 10
Gas density ρ (kg m−3) 1.293
Diameter of particles d p (µm) 0.01–10

There are four subprocesses in the theoretical analysis, each with its own governing equation, and the subprocesses interact with each other: particle dynamics model, particle charging, corona discharge, and gas flow model.

3.2 Corona model

With the simplified model of the corona, Poisson’s equation combined with the charge conservation equations are used to solve the charge carrier transport. The transport of the charge carrier includes drift in the electric field and convection [26].

The current continuity equation:

(1) J = 0

(2) J = ρ i z i K i E + u D i ρ i

(3) 2 φ = ρ i ε 0

(4) E = φ

Where E and J represent the electric field and the current density vectors respectively. z i , ρ i , D i and K i denote the sign of the electric charge, the density of space charge, the ion diffusion coefficient and the ion mobility respectively. u represents the fluid velocity vector, φ and ɛ 0 represent the potential and the free space permittivity.

As a result of manipulating these equations, the following equation for transport is obtained:

(5) μ ρ i 2 ε 0 φ ρ i + ρ i u = 0

3.3 Gas flow

ESP dusty airflow is modelled as a compressible and steady-state laminar flow. The following equations are the gas flow’s continuity and momentum [27].

(6) ρ u = 0

(7) ρ u u = P I + μ g u + u T + F EHD

Here u represents the gas velocity vector. μ g , ρ and P represent the dynamic viscosity, the fluid density and the pressure of the gas, respectively. F EHD represents the electrodynamic force defined as:

(8) F EHD = ρ i E

The main flow is affected by ionic wind in this equation.

3.4 Particle model

Lagrangian approach is used to track particle flow in the computational region up to the particle is trapped or ejected [28]. Due to the small order of magnitude of gravitational force and use of the two-dimensional model, particles are mostly influenced by electric force and aerodynamic drag force. Particle motion is expressed as follows:

(9) d m p u p d t = F d + F c

where m p and u p represent respectively, the mass, and the velocity of particles. F c represents the electric force acting on these particles given by,

(10) F c = q p E

where q p is the particle charge. F d denotes the drag force described with the model of Cunningham-Millikan-Davis [29].

(11) F d = 1 τ p S m p u u p

τ p is the response time of particle velocity defined as

(12) τ p = 4 ρ p d p 2 3 μ g C D R e r

S is the coefficient of drag correction given by:

(13) S = 1 + Kn C 1 + C 2 exp C 3 Kn

where, d p and ρ p are the diameter and the density of particles respectively. (C 1, C 2, C 3) are constant coefficients specific to ESP shape and the flow regime and Kn is the Knudsen number.

Rer represents the relative Reynolds number:

(14) R e r = ρ u u p d p μ g

And C D is the drag coefficient,

(15) C D = max 24 C s R e r 1 + 0.15 Re r 0.687 , 0.44

In calculating drag forces, the Cunningham factor C S is used to correct submicron particles whose size approach the molecular mean free path:

(16) C S = 1 + 2 λ d p 1.257 + 0.4 exp 1.1 d p 2 λ

where λ represents the molecule mean free path [m].

Migration of particles is determined by particle charge. In an electrostatic precipitator, particles become charged through diffusion and field charging. Lawless model [30] provides the overall charging rate by combining the field charging velocity and the diffusion charge rate. When the particle charge is less than the saturated charge, the ions generated by corona discharge are accelerated by the field charge to collide with the particles to electrify them. On the contrary, the diffusion of ions produced by corona discharge due to thermal motion dominates:

(17) τ c d q p d t = v s 4 ε 0 1 v e v s 2 + α v e v s v e v s exp v e v s 1 α v e > v s

τ c is the characteristic charging time defined as [31]:

(18) τ c = e 4 π ρ i μ g K B T

And

(19) v e = q p e 2 π ε 0 d p K B T

(20) v s = 3 ω e ε r , p ε r , p + 2

(21) α = ω e + 0.475 0.575 ω e 0.525 1 ω e < 0.525

(22) ω e = e d p 2 K B T E

where, ɛ r,p is the particle relative permittivity, e is the elementary charge, d p is the particle diameter, τ c is the characteristic charging time and K B represents the Boltzmann constant. α and ω e are the continuous constants of the model.

3.5 Boundary conditions

Table 2 displays the corresponding boundary conditions. There is a set value (φ 0) on the electrode wire surface and zero potential on the collecting plate. ESP inlet and outlet are also considered zero for the normal derivative of the potential.

Table 2:

Boundary conditions.

Electric potential Air flow Particle transport Charge density
Wire electrode −n⋅∇φ = E0

φ = φ 0
No-slip Reflect ρ q = ρ 0
Collecting plates φ = 0 No-slip Freeze n⋅∇ρ q = 0
Inlet n⋅∇φ = 0 u x  = 1 m/s

u y  = 0 m/s
u x  = 1 m/s

u y  = 0 m/s
n⋅∇ρ q = 0
Outlet n⋅∇φ = 0 Pressure outlet Escape n⋅∇ρ q = 0

Additionally, at the corona electrode, the normal component of electric field is used as the boundary condition for Poisson’s equation.

(23) n E = E 0

In order to determine the density of space charges ρ 0 at the wire electrode, the imposed potential φ 0 is verified using Lagrange multiplier.

(24) n E = E 0

At the corona electrode, both potential and electric field are imposed in the model. The electric field value at the wire must be close enough to the real one to obtain predictive physical results. Peek’s law is therefore applied [32]:

(25) E s = E 0 δ + 0.03 δ r 0

where E s represents the breakdown electric field, E 0 is equal to 3 × 106 V/m, r 0 denotes the corona wire radius and δ represents the relative number of gas density under standard conditions.

(26) δ = T s P L P s T L

where P s and T s are equal to 101,325 Pa and 273.15 K respectively, while P L and T L represent respectively, local pressure and local temperature.

Furthermore, the corona power ratio (p c) assesses the electrostatic precipitator’s power consumption in a practical environment from an economical perspective defined by [33]:

(27) p c = p Q

where p and Q refer to the consumed total power and the gas flow rate, respectively.

The particle collection efficiency η is calculated as [34]:

(28) η = 1 C outlet ( x ) C inlet ( x )

where C outlet and C inlet represent particle mass concentration at the outlet and at the inlet of the ESP, respectively. The particle size ranges are represented by x. The particle collection efficiency η is expressed using the Deutch Anderson formula:

(29) η = 1 e A ω p Q

where A is the effective collecting plate area in ESP. Q represents the gas flow rate and ω p represents the particle’s average migration velocity defined as the speed of particles moving towards the collecting plates given by [35]:

(30) ω p = Q A ln 1 η

4 Computational procedure

An independent mesh study was performed on the COMSOL Multiphysics® numerical model to ensure precision and stability. Table 3 illustrates the number of elements and nodes according to five domain meshes. As depicted in Figure 3, the relative errors ε Rel, of the current density, J Ground, at the grounded plate of the collection electrode is illustrated. The relative errors, ε Rel decreases from around 1.15–0 %. Balancing computational time and model performance, the third domain mesh quantity, is employed for the ESP model, resulting in an error of approximately 0.3 % [36]. It illustrates the accuracy of the grid at various locations without long computational time.

Table 3:

The number of elements and nodes according to five domain meshes.

D Mesh n elements n nodes
1 10,490 96,128
2 15,578 142,753
3 19,735 180,847
4 23,535 215,669
5 28,840 264,283
Figure 3: 
Distribution of the relative error ε
Rel, of the current density with domain mesh distribution.
Figure 3:

Distribution of the relative error ε Rel, of the current density with domain mesh distribution.

A dense grid is found close to the wire electrodes since, a high density of current region is developed around them. Figure 4 illustrates the unstructured triangular mesh using COMSOL Multiphysics software.

Figure 4: 
Modelled ESP geometry. Mesh picture of 2D ESP and refined mesh structure around wire electrodes.
Figure 4:

Modelled ESP geometry. Mesh picture of 2D ESP and refined mesh structure around wire electrodes.

5 Results and discussion

An investigation of the wire plate ESP is conducted in this study using COMSOL Multiphysics Software. Simulated and experimental results are compared to assessing the model’s validity. ESP performances are affected by various operational factors such as different electrodes and collecting plates are compared to determine their effects on air disinfection. In addition, the polluted particles removal efficiency and the migration velocity are investigated.

5.1 Characteristics current-voltage distribution

Numerical models for ESP were compared with experimental results. A comparison of the current-voltage relationship of an ESP at various interelectrode wire distance (Figure 5a) and different number of electrode discharge (Figure 5b) was made with those obtained experimentally by Kasdi [37]. In comparison with experimental data, the calculation error is less than 2 % and numerical results agree reasonably well with experimental results.

Figure 5: 
Comparison with simulated corona current-voltage characteristics and experimental date for (a) different wire spacing and (b) different number of wires.
Figure 5:

Comparison with simulated corona current-voltage characteristics and experimental date for (a) different wire spacing and (b) different number of wires.

In Figure 5a, the model accurately predicts changes in corona current for different distances between wires. Corona current rises with higher interelectrode wire distance (s x ). As the wire spacing decreases, the shielding effect exerted by each wire increases causing the reducing of the discharge current. Current-voltage characteristics are shown in Figure 5b as a function of wire number. At the same voltage, as the number of discharging conductors (wire electrode) increasing, the current rises.

5.2 Current density distribution

As shown in Figure 6, the numerical simulation reveals the current density distribution on the dust collector’s surface. The current density displays a wave pattern along the collecting plate, with higher values under each wire and lower values between two neighbouring wires (see Figure 6a). At the end of all wire arrangements, there is a symmetrical peak of current density. Figure 6b shows that with increasing voltage, corona’s current density increases and the electrostatic shielding degree (the ratio between the outer and inner discharge electrode) decreases. A stronger electrostatic shield is present at low voltages, while a weaker shielding occurs at higher voltage, increasing the current density.

Figure 6: 
Current density: (a) 2D distribution, (b) linear distribution (Y = 0.02 m) at different voltage of wire electrode.
Figure 6:

Current density: (a) 2D distribution, (b) linear distribution (Y = 0.02 m) at different voltage of wire electrode.

5.3 Potential and electric field distribution

Figure 7 shows the distribution of electric potential in ESP. Figure 7a illustrates that there is a high electric potential near the discharge wire and a lower potential between two electrode wires. The applied potential at the wire electrode drops with decreasing radius values of electrode wire (see Figure 7b).

Figure 7: 
Electric potential: (a) 2D distribution, (b) linear distribution (Y = 0.02 m) at different wire electrode radius.
Figure 7:

Electric potential: (a) 2D distribution, (b) linear distribution (Y = 0.02 m) at different wire electrode radius.

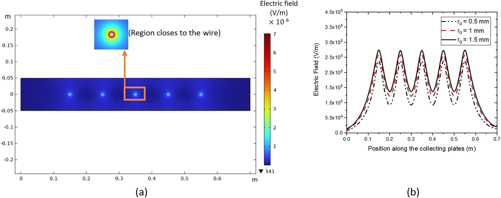
An electrostatic precipitator’s electric field distribution is displayed in Figure 8. A high electric field appears near the discharge electrode, reaching a maximum of 7.6 × 106 V/m. A high electric field strength region gradually extends during the rapid reduction of the electric potential into the collecting plates. The same polarity of the two neighbouring wires results in a reduced electric field area, lower than 102 Vm−1 (see Figure 8a).

Figure 8: 
Electric field: (a) 2D distribution, (b) linear distribution (Y = 0.02 m) at different wire electrode radius.
Figure 8:

Electric field: (a) 2D distribution, (b) linear distribution (Y = 0.02 m) at different wire electrode radius.

The effect of discharge radius on corona discharge is studied by simulating ESP with five discharge electrodes at 20 kV applied voltage for three radii of the wires, namely 0.5, 1 and 1.5 mm. As displayed in Figure 8b, the electric field of five wires to ESP increase with rising radius of the active electrode.

5.4 Space charge density distribution

In Figure 9, the high space charge density near the inner electrodes exhibits a luminous corona discharge. Charge accumulation near the inner electrodes is accelerated by the combination of high space charge densities and intense electric fields. A decrease in space charge density occurred away from the discharge electrode as well as between two adjacent wires because of corona suppression (see Figure 9a).

Figure 9: 
Space charge density: (a) 2D distribution, (b) linear distribution (Y = 0.02 m) at different wire electrode radius.
Figure 9:

Space charge density: (a) 2D distribution, (b) linear distribution (Y = 0.02 m) at different wire electrode radius.

Figure 9b shows that for 3 different radius values of electrode wire, the higher density area near the wire at 1.5 mm radius decreased with electrode size reduction. With 0.5 mm radius size, the peak value decreased by 80 %. Between the wires, there is a widening of the low-density region, with the lowest density near 0.

5.5 Characteristics of flow field

The gas velocity contours in the ESP are shown in Figure 10a. A strong volumetric force is introduced by combining high field strength with high ion charge density, resulting in an electro-aerodynamic secondary flow. A secondary stream, produced by ions motion, namely ionic wind, occurs in space due to the presence of the electrostatic field in the flow field. The discharge generates ionic wind that accelerates downstream flow, causing a reduction in local static pressure and a y-direction pressure difference. Thus, a local reverse flow occurs when fluid flows towards a wire.

Figure 10: 
Flow velocity in the electrostatic precipitator: (a) 2D distribution, (b) linear distribution (Y = 0.02 m) at different wire electrode radius.
Figure 10:

Flow velocity in the electrostatic precipitator: (a) 2D distribution, (b) linear distribution (Y = 0.02 m) at different wire electrode radius.

Figure 10b illustrates the linear distribution of the velocity field along x axis associated with strength of the wind in the computational region. The minus y-component flow means the reverse flow. As electrode radius decreased from 1.5 to 0.5 mm, approximately 60 % of the speed difference between upstream and downstream of the wire is decreased, reducing the effect of ionic wind on gas flow. Furthermore, this decrease indicates that corona suppression restricts the motion of ions.

As illustrated in Figure 11, various shapes of collecting plates result in different distributions of velocity of flow in ESP. Around the wires, flow velocities reach between 1.6 and 1.8 m/s. Furthermore, with non-flat plates, the flow velocity decline significantly at y = 50 mm and attains 0.1 m/s but remains greater than those with flat plates in the ESP. Consequently, triangular collecting electrodes have the strongest impact on the reduction of re-entrainment effects and thus the improvement of dust removal efficiency. In the computational region, ionic wind generates a y-component velocity, and its strength is determined by the magnitude.

Figure 11: 
The air flow velocity distribution in ESP with (a) triangular plates, (b) BE-plates, (c) crenelated, (d) C-type and (e) corrugated collecting electrode with u = 1 m/s.
Figure 11:

The air flow velocity distribution in ESP with (a) triangular plates, (b) BE-plates, (c) crenelated, (d) C-type and (e) corrugated collecting electrode with u = 1 m/s.

5.6 Particle charging and trajectory

Ultrafine particles’ trajectory in an electrostatic field is influenced by a variety of forces, most notably, the drag force and the Coulomb force. Also, the particle size radius affects the motion of particles and the efficiency of dust particles collection by balancing drag and electric force.

In Figure 12, particles trajectories are illustrated for several particle’s radius (r p = 0.01–5 µm). After being released on the left, particles are carried by fluid flow transport in the direction of the right outlet. As the particles move along their trajectory, they become increasingly charged, resulting in an electric force that deviate their path in the direction of the wall.

Figure 12: 
Particle trajectories with the charge number along the trajectory expressed in colour for different particles radius of (a – 5 μm, b – 2 μm, c – 0.2 μm, and d – 0.01 μm).
Figure 12:

Particle trajectories with the charge number along the trajectory expressed in colour for different particles radius of (a – 5 μm, b – 2 μm, c – 0.2 μm, and d – 0.01 μm).

With (r p = 5 µm) particle’s radius and in the (0 < x < 0.1 m) region, the electric field has little effect on the particle’s trajectories, thus the particles follow the air flow due to diffusion charging. As particles approach the first discharge electrode, there is an increase in the particle’s field charging since it has the greatest rate of charging, causing a fast deflection linked to the Coulomb force (Figure 12a).

When the particles are smaller (r p = 0.2–2 µm), the drag force exerted by the airflow counteracts the Coulomb force. Consequently, the particle followed the gas flow. Upon approaching the right electrode (0.7 < x < 0.9 m), the particles deflect in the y direction (see Figure 12b and c).

With small particles (r p = 0.1–0.5 µm), the high field intensity area is reduced, and the time deflection is lagged. Eventually, as the particle stream deflects, it escapes the electrostatic field or reaches the collecting plate. The smaller nanoparticle’s radius (r p = 0.01 µm = 10 nm) is near to the average molecular free path, and the collision in the air became discontinuous. Consequently, the drag force of the air is reduced, and the particle continues in its original direction (see Figure 12d).

Different angles of attack are shown in trajectories, corresponding to different collection efficiency. The smallest angle occurs at (r p = 0.2 µm), and it increases away from this size. Due to reduced interphase drag and the effect of diffusion charging, particles smaller than 0.1 µm radius have an increased collection efficiency since the size of particles compared to the mean of molecular free path.

In Figure 13, six types of collecting electrodes in the ESP are used to show dust particle motion trajectories (2 µm). In ESP, particles reach the collecting plate at a 2 × 103 m/s for flat plates, compared to 1.5 × 103 m/s for the particles near the other types of collecting plates. The flow field changes in proximity to the collecting plate produces the vortex of velocity and the trajectory of particles is whirling with triangular, crenulated, corrugated, C-type, and BE-type plates. Consequently, the particle trapping potential is increased since the velocity of particles decreases.

Figure 13: 
The dust particles trajectories in ESP (a) triangular plates, (b) crenulated plates, (c) corrugated-plates, (d) C-type plates, (e) BE-type plates and (f) flat plates collecting electrode, r
p = 2 µm.
Figure 13:

The dust particles trajectories in ESP (a) triangular plates, (b) crenulated plates, (c) corrugated-plates, (d) C-type plates, (e) BE-type plates and (f) flat plates collecting electrode, r p = 2 µm.

5.7 Particle migration

Figure 14 illustrates the distribution of the particle migration velocity with particle radius. When the particle radius is reduced from 10 µm to 1 µm, migration velocity decreases. When particle size varies from 0.1 to 1 µm, a small migration velocity is observed, due to a decrease in particle charge. When the size of particle is close to the average free path of the molecules (0.01–0.1 µm), the drag force influence on the particles decreased since the Cunningham correction and space charge particles are affected by corona suppression. Furthermore, with the reduce in drag force (<0.1 µm) and due to the reduction in particle size, the migration velocity of particles at 0.01 µm increased by 21 %.

Figure 14: 
Particle migration velocities for different size particles.
Figure 14:

Particle migration velocities for different size particles.

5.8 Collection efficiency

As illustrated in Figure 15, the particle efficiency collection changes with particle size. A U-shape curve represents the overall trend of collection efficiency based on three level of particle size areas: (1) when particles are large (>1 µm), and because of their charging capacity and relatively low drag force, they are well captured, (2) middle-sized particles (between 0.1 and 1 µm) are not well collected, with a minimum around 0.2 µm in size. (3) Smaller particles (<0.1 µm) are captured due to the Cunningham correction factor, which counteracts the viscosity effect.

Figure 15: 
Distribution of particle collection efficiencies (a) for different size particles and (b) as function of number of discharge electrode for two applied voltages.
Figure 15:

Distribution of particle collection efficiencies (a) for different size particles and (b) as function of number of discharge electrode for two applied voltages.

In hence, collection efficiency is greater at the extremes of particle dimensions. Smaller particles are more efficiently collected due to their lower drag force, while larger particles are more efficiently collected due to their greater electric charge. There is a maximum drag force between these two extremes, which results in a minimum collection efficiency (see Figure 15a).

As shown in Figure 15b, when five electrode discharges are used, the dust removal efficiency of ESP is greatest. Dust removal efficiency will be decreased if there are fewer or more discharged electrodes. Increasing the number of discharges from 5 to 6 can partially neutralize the negative effects of electrostatic shielding. Additionally, increased voltage reduces electrostatic shielding and increases particle discharge, improving collection efficiency.

Figure 16a illustrates the particle size function of ESP collection efficiency with five types of collecting electrodes. As observed, the triangular plate has the greatest collection efficiency of different particle sizes. It is found that the ESP with triangle plates (TP) has a 16 % higher efficiency for 10 µm particles as compared with the flat plates (FP) and the improved collection efficiency for smaller particles is slightly higher than larger particles.

Figure 16: 
Particle collection efficiency with different particle size in the ESP (a) for FP and BE collecting electrode with circular corona wire and (b) for four types of discharge wire electrodes with FP collecting plates.
Figure 16:

Particle collection efficiency with different particle size in the ESP (a) for FP and BE collecting electrode with circular corona wire and (b) for four types of discharge wire electrodes with FP collecting plates.

In particle capture, BE and C-type plates are more efficient than (FP) plates, but they are less effective than triangular plates due to the lower current density of FP plates than BE and C-type plates as the applied voltage increases. The particles charge more when using BE and C-type plates as applied voltage increases [38].

In Figure 16b, the efficiency of particle collection is shown for a variety of particle sizes and electrode wires. The needle wire (NW) is 4 % higher than the circular wire (CW) in the lowest case. Compared to circular discharge wire, the square wire (45° SW) is still in second place and slightly more efficient (about 2 %) in four cases. In comparison with the types of wire electrodes tested, needle wires achieved the highest efficiency because the lower spacing electrode provides greater efficiencies and greater increase in the total current when compared to wire electrode keeping larger space between wire electrodes [39].

The particle migration speed for different types of collection plates is shown in Figure 17a. The larger particle size radius (greater than 5 µm) has the highest migration velocity when compared to smaller particles using triangular plates. Compared to C-type and FP plates, the BE plate achieves a higher migration velocity [40].

Figure 17: 
Particle Migration velocities with different particle size in the ESP (a) for FP and BE collecting electrode with circular corona wire and (b) for four types of discharge electrodes with FP collecting plates.
Figure 17:

Particle Migration velocities with different particle size in the ESP (a) for FP and BE collecting electrode with circular corona wire and (b) for four types of discharge electrodes with FP collecting plates.

In addition, the particle migration velocity in Figure 17b is influenced by various shapes of discharge electrode, with the same particle size. Particle migration velocity follows a similar trend as particle collection efficiency. It is shown that particle migration velocity increases more significantly for the NW electrode wire when radius particle size exceeds 2 μm, while between the NW and other electrodes (r p = 10 μm), a maximum difference (0.1 m/s) is obtained. Based on this result, various discharge geometries play a crucial role in simulating ESP removal capacity. Consequently, comparatively to other electrode configurations, there is a significant improvement in performance using NW electrode with the FP collecting plate [41].

Figure 18a shows the efficiencies of particle collection for different inlet velocities illustrating the electrode configuration effect. At 1 and 5 µm particle sizes, a decrease in inlet velocity results in a decrease in the collection efficiency because particles have shorter residence times, smaller specific collection areas and insufficient charge [42].

Figure 18: 
Distribution of dust particles (a) efficiency and (b) migration velocities versus inlet air flow velocities in flat and BE-type collecting plates with two particle’s radius 1 and 5 µm.
Figure 18:

Distribution of dust particles (a) efficiency and (b) migration velocities versus inlet air flow velocities in flat and BE-type collecting plates with two particle’s radius 1 and 5 µm.

In contrast, the inlet velocity has a smaller effect on particle migration velocity. Increasing the inlet speed from 0.8 to 1.4 m/s, almost has no effect on the particles of 1 µm. Migration velocity of 5 µm particles decreases since large particles have a high charge capacity.

Furthermore, reduced inlet velocity implies a higher residence time, which may result in a fast charge. Collection efficiency is affected by various electrode plate combinations with varying inlet velocities. Be wire electrode configurations show better collection efficiency and migration velocity when inlet velocity decreases for 1 and 5 µm particle sizes [43].

The migration velocity of particles at different inlet velocities is shown in Figure 18b. 1 µm seems to be almost unaffected. Because large particles have a high charge capacity, the migration velocity of 5 µm particles has slightly decreased since the inlet velocity increasing from 0.8 to 1.4 m/s. A low inlet velocity may also result in a longer residence time, resulting in a fast charge. A significant improvement in removal efficiency is achieved by reducing residence times of ionization, collection, and charging zones simultaneously by increasing the inlet velocity. Therefore, air flow is a key parameter that is a compromise between geometric dimensions (cross section, collector length) and performance [44].

The simulation results are shown in Figure 19 for three different temperatures. Fine particle collection efficiency and power consumption are significantly affected by temperature. The collection efficiency using particle sizes in the entire range is strongly influenced by temperature. By lowering the temperature from 400 to 450 K, the efficiency of the collection increases by 4 %. From 450 to 323 K, the collection efficiency increases by 40 %. The lower temperature range seems to be more effective for collection of dust particles [45]. Temperature has a greater effect on power consumption per unit area of a plate as follows (J*V a). If the temperature is reduced from 450 K to 323 K, the electrical power consumption increases by an order of magnitude. Therefore, increased power consumption is required to gain collection efficiency at lower temperature [46].

Figure 19: 
Particle collection efficiencies versus particle size at three values of temperature.
Figure 19:

Particle collection efficiencies versus particle size at three values of temperature.

6 Conclusions

A multi-physical analysis of the ESPs characteristics used for indoor air cleaning from dust particles is investigated. Specifically, the paper discusses optimizing operation of electrostatic gas cleaning devices under actual industrial conditions under the range of 0.01–5 m dust precipitation and higher collection efficiency.

The numerical results of current voltage show a satisfactory agreement with experimental measurements, indicating the accuracy and the stability of the numerical model performed using COMSOL Multiphysics software. At first, it was shown that electrostatic processes can significantly improve the removal of dust particles for all size particles. With smaller inlet velocity of ESP, symmetric vortex structure around the discharge wires is observed because of ionic wind effect. While increasing inlet velocity weakens the ionic wind effect on flow patterns. Indeed, particle efficiency decreases with increasing air flow velocity and a speed of 1 m/s would be suitable.

Secondly, geometric parameters showed a synergistic effect on particle removal that led to higher overall and fractional efficiency. The use of uneven collecting plates reduces air pollution and improves ultrafine particles removal. The flow field near C-type, triangular, crenelated and corrugated collecting plates generate vortex causing particles to fly in a whirling motion. For ultrafine polluted particles, the triangular collecting electrode has the greatest collection efficiency.

With rising radius of the active electrode, the electric field, the applied potential, and the current density increase. In addition, as electrode radius increased, the speed difference between upstream and downstream flow of the wire increased, rising the effect of ionic wind on gas flow. Thus, increasing the electrode size enhances efficiency of the ESP.

Further, Increasing the number of needle electrode wires, wire diameters and wire to wire spacing improve ESP’s collection of polluted particles efficiency. The multiwire single stage ESP has an optimum applied voltage of 40 kV and five number discharge electrodes.

Moreover, the agglomeration of particles in their entire aerodynamic size range has been discussed as a method to improve particle collection or filtration. All geometries and conditions showed lower fractional efficiency and migration velocity for the most penetrating particles (0.1–0.5 µm), while higher collection efficiency is deduced for ultrafine particles.

Consequently, multiwire single stage ESP show a higher efficiency in the removal of submicron dust particles from indoor environment with an optimum applied voltage of 40 kV and five number discharge electrodes.


Corresponding author: Samira Elaissi, Department of Physics, College of Science, Princess Nourah Bint Abdulrahman University, P.O. Box 84428, Riyadh, 11671, Saudi Arabia, E-mail: 

  1. Funding information: This research was funded by the Deanship of Scientific Research and Libraries at Princess Nourah bint Abdulrahman University, through the Research Funding Program, Grant No. (FRP-1445-5).

  2. Author contributions: Samira Elaissi, Norah A.M. Alsaif, Eman M. Moneer and Soumaya Gouadria– methodology, writing, supervision, project management, supervision and revising the data. All authors have accepted responsibility for the entire content of this manuscript and approved its submission.

  3. Conflict of interest: The authors state no conflict of interest.

  4. Data availability statement: All data generated or analyzed during this study are included in this published article.

References

1. Garcia, A, Santa-Helena, E, Falco, AD, Ribeiro, JDP, Gioda, A, Gioda, CR. Toxicological effects of fine particulate matter (PM2.5): health risks and associated systemic injuries–systematic review. Water Air Soil Pollut 2023;234:346. https://doi.org/10.1007/s11270-023-06278-9.Search in Google Scholar PubMed PubMed Central

2. Mannerström, M, Dvorakova, M, Svobodova, L, Rucki, M, Kotal, F, Vavrouš, A, et al.. New approach methods for assessing indoor air toxicity Current Research in Toxicology. Cur Res Toxicol 2022;3:100090.10.1016/j.crtox.2022.100090Search in Google Scholar PubMed PubMed Central

3. Kong, X, Guo, C, Lin, Z, Duan, S, He, J, Ren, Y, et al.. Experimental study on the control effect of different ventilation systems on fine particles in a simulated hospital ward. Sustain Cities Soc 2021;73:103102. https://doi.org/10.1016/j.scs.2021.103102.Search in Google Scholar PubMed PubMed Central

4. Buggisch, JR, Gohler, D, Pape, AL, Roger, S, Ouaissi, M, Stintz, M, et al.. Experimental model to test electrostatic precipitation technology in the COVID-19 era: a pilot study. J Am Coll Surgeons 2020;231:704–12.10.1016/j.jamcollsurg.2020.08.759Search in Google Scholar PubMed PubMed Central

5. Jeong, SB, Shin, JH, Kim, SW, Seo, SC, Jung, JH. Performance evaluation of an electrostatic precipitator with a copper plate using an aerosolized SARS-CoV-2 surrogate (bacteriophage phi 6). Environ Technol Innov 2023;30:103124. https://doi.org/10.1016/j.eti.2023.103124.Search in Google Scholar PubMed PubMed Central

6. Shetty, SS, Deepthi, D, Harshitha, S, Sonkusare, S, Naik, PB, Kumari, S, et al.. Environmental pollutants and their effects on human health. Heliyon 2023;9:19496. https://doi.org/10.1016/j.heliyon.2023.e19496.Search in Google Scholar PubMed PubMed Central

7. Zuraimi, MS, Nilsson, GJ, Magee, RJ. Removing indoor particles using portable air cleaners: implications for residential infection transmission. Build Environ 2011;46:2512–19. https://doi.org/10.1016/j.buildenv.2011.06.008.Search in Google Scholar

8. De Oliveira, AE, Guerra, VG. Electrostatic precipitation of nanoparticles and submicron particles: review of technological strategies. Process Saf Environ Prot 2021;153:422–38. https://doi.org/10.1016/j.psep.2021.07.043.Search in Google Scholar

9. Li, Z, Liu, Y, Xing, Y, Tran, TMP, Le, TC, Tsai, CJ. Novel wire-on-plate electrostatic precipitator WOP-EP; for controlling fine particle and nanoparticle pollution. Environ Sci Technol 2015;49:8683–90. https://doi.org/10.1021/acs.est.5b01844.Search in Google Scholar PubMed

10. Kim, M, Lim, GT, Kim, YJ, Han, B, Woo, C, Kim, HJ. A novel electrostatic precipitator-type small air purifier with a carbon fiber ionizer and an activated carbon fiber filter. J Aerosol Sci 2018;117:63–73. https://doi.org/10.1016/j.jaerosci.2017.12.014.Search in Google Scholar

11. Sung, JH, Kim, M, Kim, YJ, Han, B, Hong, KJ, Kim, HJ. Ultrafine particle cleaning performance of an ion spray electrostatic air cleaner emitting zero ozone with diffusion charging by carbon fiber. Build Environ 2019;166:106422. https://doi.org/10.1016/j.buildenv.2019.106422.Search in Google Scholar

12. El-Sapa, S, Alotaibi, MA. Slip-driven interaction of dual spheres in couple stress fluids within a permeable medium. Mathematics 2025;13:2065. https://doi.org/10.3390/math13132065.Search in Google Scholar

13. Alotaibi, MA, Algatheem, AM, El–Sapa, S. Magneto-slip interaction in the migration of two rigid spheres in infinite couple stress fluid. Chin J Phys 2025;95:173–89.10.1016/j.cjph.2025.01.044Search in Google Scholar

14. Anagnostopoulos, J, Bergeles, G. Corona discharge simulation in wire-duct electrostatic precipitator. J Electrostat 2002;54:129–47. https://doi.org/10.1016/s0304-3886(01)00172-3.Search in Google Scholar

15. Liu, Y, Hu, B, Zhou, L, Jiang, Y, Yang, L. Improving the removal of fine particles with an electrostatic precipitator by chemical agglomeration. Energ Fuel 2016;30:8441–7. https://doi.org/10.1021/acs.energyfuels.6b00626.Search in Google Scholar

16. Al-Hanaya, A, El-Sapa, S. Impact of permeability and fluid parameters in couple stress media on rotating eccentric spheres. Open Phys 2024;22:20240112. https://doi.org/10.1515/phys-2024-0112.Search in Google Scholar

17. El-Sapa, S, Alotaibi, MA. Migration of two rigid spheres translating within an infinite couple stress fluid under the impact of magnetic field. Open Phys 2024;22:20240085. https://doi.org/10.1515/phys-2024-0085.Search in Google Scholar

18. Yang, Z, Zheng, C, Liu, S, Guo, Y, Liang, C, Zhang, X, et al.. Insights into the role of particle space charge effects in particle precipitation processes in electrostatic precipitator. Powder Technol 2018;339:606–14. https://doi.org/10.1016/j.powtec.2018.08.056.Search in Google Scholar

19. Chen, B, Li, H, He, Y, Liu, B, Zhang, L. Study on performance of electrostatic precipitator under multi-physics coupling. Environ Sci Pollut R 2019;26:35023–33. https://doi.org/10.1007/s11356-019-06623-8.Search in Google Scholar PubMed

20. COMSOL Multiphysics® v51 wwwcomsolcom COMSOL AB, Stockholm, Sweden.Search in Google Scholar

21. Guo, B, Yu, A, Guo, J. Numerical modelling of ESP for design optimization. Procedia Engineer 2015;102:1366–72. https://doi.org/10.1016/j.proeng.2015.01.268.Search in Google Scholar

22. Afshari, A, Ekberg, L, Forejt, L, Mo, J, Rahimi, S, Siegel, J, et al.. Electrostatic precipitators as an indoor air cleaner–A literature review. Sustainability 2020;12:8774. https://doi.org/10.3390/su12218774.Search in Google Scholar

23. Cornette, JFP, Dyakov, IV, Plissart, P, Bram, S, Blondeau, J. In-situ evaluation of a commercial electrostatic precipitator integrated in a small-scale wood chip boiler. J Electrostat 2024;128:103897. https://doi.org/10.1016/j.elstat.2024.103897.Search in Google Scholar

24. Wang, X, Su, H, Wang, B, Tao, J. Numerical simulation of spiked electrode electrostatic precipitator. J Electrostat 2024;132:103987. https://doi.org/10.1016/j.elstat.2024.103987.Search in Google Scholar

25. Kim, SH, Lee, KW. Experimental study of electrostatic precipitator performance and comparison with existing theoretical prediction models. J Electrostat 1999;48:3–25. https://doi.org/10.1016/s0304-3886(99)00044-3.Search in Google Scholar

26. Chen, L, Gonze, E, Ondarts, M, Outin, J, Gonthier, Y. Electrostatic precipitator for fine and ultrafine particle removal from indoor air environments. Sep Purif Technol 2020;247:116964. https://doi.org/10.1016/j.seppur.2020.116964.Search in Google Scholar

27. Chen, YT, Lu, CL, Lu, SJ, Lee, DS. Electrostatic precipitator design optimization for the removal of aerosol and airborne viruses. Sustainability-Basel 2023;15:8432. https://doi.org/10.3390/su15108432.Search in Google Scholar

28. Zheng, C, Zhang, X, Yang, Z, Liang, C, Guo, Y, Wang, Y, et al.. Numerical simulation of Corona discharge and particle transport behavior with the particle space charge effect. J Aerosol Sci 2018;118:22–33. https://doi.org/10.1016/j.jaerosci.2018.01.008.Search in Google Scholar

29. Adamiak, K. Numerical models in simulating wire-plate electrostatic precipitators: a review. J Electrostat 2013;71:673–80. https://doi.org/10.1016/j.elstat.2013.03.001.Search in Google Scholar

30. Lawless, PA, Sparks, LE. Modelling particulate charging in ESPs. IEEE T Ind Appl 1988;24:922–7. https://doi.org/10.1109/28.8999.Search in Google Scholar

31. Farnoosh, N, Adamiak, K, Peter, GS. Castle numerical calculations of submicron particle removal in a spike-plate electrostatic precipitator. IEEE T Dielect El 2011;18:1439–52.10.1109/TDEI.2011.6032814Search in Google Scholar

32. Feng, Z, Long, Z, Yu, T. Filtration characteristics of fibrous filter following an electrostatic precipitator. J Electrostat 2016;83:52–62. https://doi.org/10.1016/j.elstat.2016.07.009.Search in Google Scholar

33. Khare, M, Sinha, M. Computer-aided simulation of efficiency of an electrostatic precipitator. Environ Int 1996;22:451–62. https://doi.org/10.1016/0160-4120(96)00033-5.Search in Google Scholar

34. Roginskaya, L, Yalalova, Z, Gorbunov, A, Karimov, R, Tereshkin, V, Senyushkin, N. Investigation of the high-voltage converter for powering electrostatic precipitators. E3S Web Conf 2023;446:02008. https://doi.org/10.1051/e3sconf/202344602008.Search in Google Scholar

35. Lee, EM. Modelling of a novel large-scale electrohydrodynamic vortex flow induced by variation in current density for drag reduction with implication of electrostatic particle clustering. J Electrost 2024;128:103899. https://doi.org/10.1016/j.elstat.2024.103899.Search in Google Scholar

36. Kim, S, Hwang, J. Numerical methodology to evaluate unipolar saturation current limit of DC Corona discharge in complex geometries. Sci Rep-UK 2022;12:14252. https://doi.org/10.1038/s41598-022-18144-5.Search in Google Scholar PubMed PubMed Central

37. Kasdi, A. Computation and measurement of Corona current density and V-I characteristics in wires-to-plates electrostatic precipitator. J Electrostat 2016;81:1–8. https://doi.org/10.1016/j.elstat.2016.02.005.Search in Google Scholar

38. Asipuela, A, Iváncsy, T. Study and numerical simulation of the electrical properties of a duct-type electrostatic precipitator using seven circular Corona wires: a review periodica polytechnica. Electr Eng Comput Sci 2022;66:286–93.10.3311/PPee.19482Search in Google Scholar

39. Shen, H, Yu, W, Jia, H, Kang, Y. Electrohydrodynamic flows in electrostatic precipitator of five shaped collecting electrodes. J Electrostat 2018;95:61–70. https://doi.org/10.1016/j.elstat.2018.08.002.Search in Google Scholar

40. Lagarias, JS. Discharge electrodes and electrostatic precipitators. Japca J AIR Waste Ma 1960;10:271–4. https://doi.org/10.1080/00022470.1960.10467929.Search in Google Scholar

41. Gao, W, Wang, Y, Zhang, H, Guo, B, Zheng, C, Guo, J, et al.. Numerical simulation of particle migration in electrostatic precipitator with different electrode configurations. Powder Technol 2020;361:238–47. https://doi.org/10.1016/j.powtec.2019.08.046.Search in Google Scholar

42. Andrade, RGSA, Guerra, VG. Discharge electrode influence on electrostatic precipitation of nanoparticles. Powder Technol 2020;379:417–27. https://doi.org/10.1016/j.powtec.2020.10.087.Search in Google Scholar

43. Ji, X, Huang, J, Teng, L, Li, S, Li, X, Cai, W, et al.. Advances in particulate matter filtration: materials, performance, and application. Green Energy Environ 2023;8:673–97. https://doi.org/10.1016/j.gee.2022.03.012.Search in Google Scholar

44. Bologa, AA, Seifert, H, Paur, HR, Hering, W. Influence of gas composition on corona discharge characteristics in the high temperature/ high pressure electrostatic precipitator in Proceedings of 12th International Conference on Electrostatic Precipitation-ICESP’XII Nuremberg, Germany; 2011.Search in Google Scholar

45. Guo, BY, Yu, AB, Guo, J. Numerical modelling of electrostatic precipitation: effect of gas temperature. J Aerosol Sci 2014;77:102–15. https://doi.org/10.1016/j.jaerosci.2014.07.009.Search in Google Scholar

46. Shen, H, Jia, H, Kang, Y. Electrical characteristics and electrohydrodynamic flows in electrostatic precipitator of six shaped discharge electrodes. J Appl Fluid Mech 2020;13:1707–18.10.36884/jafm.13.06.31085Search in Google Scholar

Received: 2025-06-09
Accepted: 2025-10-04
Published Online: 2025-12-03

© 2025 the author(s), published by De Gruyter, Berlin/Boston

This work is licensed under the Creative Commons Attribution 4.0 International License.

Articles in the same Issue

  1. Research Articles
  2. Single-step fabrication of Ag2S/poly-2-mercaptoaniline nanoribbon photocathodes for green hydrogen generation from artificial and natural red-sea water
  3. Abundant new interaction solutions and nonlinear dynamics for the (3+1)-dimensional Hirota–Satsuma–Ito-like equation
  4. A novel gold and SiO2 material based planar 5-element high HPBW end-fire antenna array for 300 GHz applications
  5. Explicit exact solutions and bifurcation analysis for the mZK equation with truncated M-fractional derivatives utilizing two reliable methods
  6. Optical and laser damage resistance: Role of periodic cylindrical surfaces
  7. Numerical study of flow and heat transfer in the air-side metal foam partially filled channels of panel-type radiator under forced convection
  8. Water-based hybrid nanofluid flow containing CNT nanoparticles over an extending surface with velocity slips, thermal convective, and zero-mass flux conditions
  9. Dynamical wave structures for some diffusion--reaction equations with quadratic and quartic nonlinearities
  10. Solving an isotropic grey matter tumour model via a heat transfer equation
  11. Study on the penetration protection of a fiber-reinforced composite structure with CNTs/GFP clip STF/3DKevlar
  12. Influence of Hall current and acoustic pressure on nanostructured DPL thermoelastic plates under ramp heating in a double-temperature model
  13. Applications of the Belousov–Zhabotinsky reaction–diffusion system: Analytical and numerical approaches
  14. AC electroosmotic flow of Maxwell fluid in a pH-regulated parallel-plate silica nanochannel
  15. Interpreting optical effects with relativistic transformations adopting one-way synchronization to conserve simultaneity and space–time continuity
  16. Modeling and analysis of quantum communication channel in airborne platforms with boundary layer effects
  17. Theoretical and numerical investigation of a memristor system with a piecewise memductance under fractal–fractional derivatives
  18. Tuning the structure and electro-optical properties of α-Cr2O3 films by heat treatment/La doping for optoelectronic applications
  19. High-speed multi-spectral explosion temperature measurement using golden-section accelerated Pearson correlation algorithm
  20. Dynamic behavior and modulation instability of the generalized coupled fractional nonlinear Helmholtz equation with cubic–quintic term
  21. Study on the duration of laser-induced air plasma flash near thin film surface
  22. Exploring the dynamics of fractional-order nonlinear dispersive wave system through homotopy technique
  23. The mechanism of carbon monoxide fluorescence inside a femtosecond laser-induced plasma
  24. Numerical solution of a nonconstant coefficient advection diffusion equation in an irregular domain and analyses of numerical dispersion and dissipation
  25. Numerical examination of the chemically reactive MHD flow of hybrid nanofluids over a two-dimensional stretching surface with the Cattaneo–Christov model and slip conditions
  26. Impacts of sinusoidal heat flux and embraced heated rectangular cavity on natural convection within a square enclosure partially filled with porous medium and Casson-hybrid nanofluid
  27. Stability analysis of unsteady ternary nanofluid flow past a stretching/shrinking wedge
  28. Solitonic wave solutions of a Hamiltonian nonlinear atom chain model through the Hirota bilinear transformation method
  29. Bilinear form and soltion solutions for (3+1)-dimensional negative-order KdV-CBS equation
  30. Solitary chirp pulses and soliton control for variable coefficients cubic–quintic nonlinear Schrödinger equation in nonuniform management system
  31. Influence of decaying heat source and temperature-dependent thermal conductivity on photo-hydro-elasto semiconductor media
  32. Dissipative disorder optimization in the radiative thin film flow of partially ionized non-Newtonian hybrid nanofluid with second-order slip condition
  33. Bifurcation, chaotic behavior, and traveling wave solutions for the fractional (4+1)-dimensional Davey–Stewartson–Kadomtsev–Petviashvili model
  34. New investigation on soliton solutions of two nonlinear PDEs in mathematical physics with a dynamical property: Bifurcation analysis
  35. Mathematical analysis of nanoparticle type and volume fraction on heat transfer efficiency of nanofluids
  36. Creation of single-wing Lorenz-like attractors via a ten-ninths-degree term
  37. Optical soliton solutions, bifurcation analysis, chaotic behaviors of nonlinear Schrödinger equation and modulation instability in optical fiber
  38. Chaotic dynamics and some solutions for the (n + 1)-dimensional modified Zakharov–Kuznetsov equation in plasma physics
  39. Fractal formation and chaotic soliton phenomena in nonlinear conformable Heisenberg ferromagnetic spin chain equation
  40. Single-step fabrication of Mn(iv) oxide-Mn(ii) sulfide/poly-2-mercaptoaniline porous network nanocomposite for pseudo-supercapacitors and charge storage
  41. Novel constructed dynamical analytical solutions and conserved quantities of the new (2+1)-dimensional KdV model describing acoustic wave propagation
  42. Tavis–Cummings model in the presence of a deformed field and time-dependent coupling
  43. Spinning dynamics of stress-dependent viscosity of generalized Cross-nonlinear materials affected by gravitationally swirling disk
  44. Design and prediction of high optical density photovoltaic polymers using machine learning-DFT studies
  45. Robust control and preservation of quantum steering, nonlocality, and coherence in open atomic systems
  46. Coating thickness and process efficiency of reverse roll coating using a magnetized hybrid nanomaterial flow
  47. Dynamic analysis, circuit realization, and its synchronization of a new chaotic hyperjerk system
  48. Decoherence of steerability and coherence dynamics induced by nonlinear qubit–cavity interactions
  49. Finite element analysis of turbulent thermal enhancement in grooved channels with flat- and plus-shaped fins
  50. Modulational instability and associated ion-acoustic modulated envelope solitons in a quantum plasma having ion beams
  51. Statistical inference of constant-stress partially accelerated life tests under type II generalized hybrid censored data from Burr III distribution
  52. On solutions of the Dirac equation for 1D hydrogenic atoms or ions
  53. Entropy optimization for chemically reactive magnetized unsteady thin film hybrid nanofluid flow on inclined surface subject to nonlinear mixed convection and variable temperature
  54. Stability analysis, circuit simulation, and color image encryption of a novel four-dimensional hyperchaotic model with hidden and self-excited attractors
  55. A high-accuracy exponential time integration scheme for the Darcy–Forchheimer Williamson fluid flow with temperature-dependent conductivity
  56. Novel analysis of fractional regularized long-wave equation in plasma dynamics
  57. Development of a photoelectrode based on a bismuth(iii) oxyiodide/intercalated iodide-poly(1H-pyrrole) rough spherical nanocomposite for green hydrogen generation
  58. Investigation of solar radiation effects on the energy performance of the (Al2O3–CuO–Cu)/H2O ternary nanofluidic system through a convectively heated cylinder
  59. Quantum resources for a system of two atoms interacting with a deformed field in the presence of intensity-dependent coupling
  60. Studying bifurcations and chaotic dynamics in the generalized hyperelastic-rod wave equation through Hamiltonian mechanics
  61. A new numerical technique for the solution of time-fractional nonlinear Klein–Gordon equation involving Atangana–Baleanu derivative using cubic B-spline functions
  62. Interaction solutions of high-order breathers and lumps for a (3+1)-dimensional conformable fractional potential-YTSF-like model
  63. Hydraulic fracturing radioactive source tracing technology based on hydraulic fracturing tracing mechanics model
  64. Numerical solution and stability analysis of non-Newtonian hybrid nanofluid flow subject to exponential heat source/sink over a Riga sheet
  65. Numerical investigation of mixed convection and viscous dissipation in couple stress nanofluid flow: A merged Adomian decomposition method and Mohand transform
  66. Effectual quintic B-spline functions for solving the time fractional coupled Boussinesq–Burgers equation arising in shallow water waves
  67. Analysis of MHD hybrid nanofluid flow over cone and wedge with exponential and thermal heat source and activation energy
  68. Solitons and travelling waves structure for M-fractional Kairat-II equation using three explicit methods
  69. Impact of nanoparticle shapes on the heat transfer properties of Cu and CuO nanofluids flowing over a stretching surface with slip effects: A computational study
  70. Computational simulation of heat transfer and nanofluid flow for two-sided lid-driven square cavity under the influence of magnetic field
  71. Irreversibility analysis of a bioconvective two-phase nanofluid in a Maxwell (non-Newtonian) flow induced by a rotating disk with thermal radiation
  72. Hydrodynamic and sensitivity analysis of a polymeric calendering process for non-Newtonian fluids with temperature-dependent viscosity
  73. Exploring the peakon solitons molecules and solitary wave structure to the nonlinear damped Kortewege–de Vries equation through efficient technique
  74. Modeling and heat transfer analysis of magnetized hybrid micropolar blood-based nanofluid flow in Darcy–Forchheimer porous stenosis narrow arteries
  75. Activation energy and cross-diffusion effects on 3D rotating nanofluid flow in a Darcy–Forchheimer porous medium with radiation and convective heating
  76. Insights into chemical reactions occurring in generalized nanomaterials due to spinning surface with melting constraints
  77. Influence of a magnetic field on double-porosity photo-thermoelastic materials under Lord–Shulman theory
  78. Soliton-like solutions for a nonlinear doubly dispersive equation in an elastic Murnaghan's rod via Hirota's bilinear method
  79. Analytical and numerical investigation of exact wave patterns and chaotic dynamics in the extended improved Boussinesq equation
  80. Nonclassical correlation dynamics of Heisenberg XYZ states with (x, y)-spin--orbit interaction, x-magnetic field, and intrinsic decoherence effects
  81. Exact traveling wave and soliton solutions for chemotaxis model and (3+1)-dimensional Boiti–Leon–Manna–Pempinelli equation
  82. Unveiling the transformative role of samarium in ZnO: Exploring structural and optical modifications for advanced functional applications
  83. On the derivation of solitary wave solutions for the time-fractional Rosenau equation through two analytical techniques
  84. Analyzing the role of length and radius of MWCNTs in a nanofluid flow influenced by variable thermal conductivity and viscosity considering Marangoni convection
  85. Advanced mathematical analysis of heat and mass transfer in oscillatory micropolar bio-nanofluid flows via peristaltic waves and electroosmotic effects
  86. Exact bound state solutions of the radial Schrödinger equation for the Coulomb potential by conformable Nikiforov–Uvarov approach
  87. Some anisotropic and perfect fluid plane symmetric solutions of Einstein's field equations using killing symmetries
  88. Nonlinear dynamics of the dissipative ion-acoustic solitary waves in anisotropic rotating magnetoplasmas
  89. Curves in multiplicative equiaffine plane
  90. Exact solution of the three-dimensional (3D) Z2 lattice gauge theory
  91. Propagation properties of Airyprime pulses in relaxing nonlinear media
  92. Symbolic computation: Analytical solutions and dynamics of a shallow water wave equation in coastal engineering
  93. Wave propagation in nonlocal piezo-photo-hygrothermoelastic semiconductors subjected to heat and moisture flux
  94. Comparative reaction dynamics in rotating nanofluid systems: Quartic and cubic kinetics under MHD influence
  95. Laplace transform technique and probabilistic analysis-based hypothesis testing in medical and engineering applications
  96. Physical properties of ternary chloro-perovskites KTCl3 (T = Ge, Al) for optoelectronic applications
  97. Gravitational length stretching: Curvature-induced modulation of quantum probability densities
  98. The search for the cosmological cold dark matter axion – A new refined narrow mass window and detection scheme
  99. A comparative study of quantum resources in bipartite Lipkin–Meshkov–Glick model under DM interaction and Zeeman splitting
  100. PbO-doped K2O–BaO–Al2O3–B2O3–TeO2-glasses: Mechanical and shielding efficacy
  101. Nanospherical arsenic(iii) oxoiodide/iodide-intercalated poly(N-methylpyrrole) composite synthesis for broad-spectrum optical detection
  102. Sine power Burr X distribution with estimation and applications in physics and other fields
  103. Numerical modeling of enhanced reactive oxygen plasma in pulsed laser deposition of metal oxide thin films
  104. Dynamical analyses and dispersive soliton solutions to the nonlinear fractional model in stratified fluids
  105. Computation of exact analytical soliton solutions and their dynamics in advanced optical system
  106. An innovative approximation concerning the diffusion and electrical conductivity tensor at critical altitudes within the F-region of ionospheric plasma at low latitudes
  107. An analytical investigation to the (3+1)-dimensional Yu–Toda–Sassa–Fukuyama equation with dynamical analysis: Bifurcation
  108. Swirling-annular-flow-induced instability of a micro shell considering Knudsen number and viscosity effects
  109. Numerical analysis of non-similar convection flows of a two-phase nanofluid past a semi-infinite vertical plate with thermal radiation
  110. MgO NPs reinforced PCL/PVC nanocomposite films with enhanced UV shielding and thermal stability for packaging applications
  111. Optimal conditions for indoor air purification using non-thermal Corona discharge electrostatic precipitator
  112. Investigation of thermal conductivity and Raman spectra for HfAlB, TaAlB, and WAlB based on first-principles calculations
  113. Tunable double plasmon-induced transparency based on monolayer patterned graphene metamaterial
  114. DSC: depth data quality optimization framework for RGBD camouflaged object detection
  115. A new family of Poisson-exponential distributions with applications to cancer data and glass fiber reliability
  116. Numerical investigation of couple stress under slip conditions via modified Adomian decomposition method
  117. Monitoring plateau lake area changes in Yunnan province, southwestern China using medium-resolution remote sensing imagery: applicability of water indices and environmental dependencies
  118. Heterodyne interferometric fiber-optic gyroscope
  119. Exact solutions of Einstein’s field equations via homothetic symmetries of non-static plane symmetric spacetime
  120. A widespread study of discrete entropic model and its distribution along with fluctuations of energy
  121. Empirical model integration for accurate charge carrier mobility simulation in silicon MOSFETs
  122. The influence of scattering correction effect based on optical path distribution on CO2 retrieval
  123. Anisotropic dissociation and spectral response of 1-Bromo-4-chlorobenzene under static directional electric fields
  124. Role of tungsten oxide (WO3) on thermal and optical properties of smart polymer composites
  125. Analysis of iterative deblurring: no explicit noise
  126. The influence of anisotropy of InP on its elasticity and phonon properties
  127. Review Article
  128. Examination of the gamma radiation shielding properties of different clay and sand materials in the Adrar region
  129. Erratum
  130. Erratum to “On Soliton structures in optical fiber communications with Kundu–Mukherjee–Naskar model (Open Physics 2021;19:679–682)”
  131. Special Issue on Fundamental Physics from Atoms to Cosmos - Part II
  132. Possible explanation for the neutron lifetime puzzle
  133. Special Issue on Nanomaterial utilization and structural optimization - Part III
  134. Numerical investigation on fluid-thermal-electric performance of a thermoelectric-integrated helically coiled tube heat exchanger for coal mine air cooling
  135. Special Issue on Nonlinear Dynamics and Chaos in Physical Systems
  136. Analysis of the fractional relativistic isothermal gas sphere with application to neutron stars
  137. Abundant wave symmetries in the (3+1)-dimensional Chafee–Infante equation through the Hirota bilinear transformation technique
  138. Successive midpoint method for fractional differential equations with nonlocal kernels: Error analysis, stability, and applications
  139. Novel exact solitons to the fractional modified mixed-Korteweg--de Vries model with a stability analysis
Downloaded on 20.2.2026 from https://www.degruyterbrill.com/document/doi/10.1515/phys-2025-0237/html
Scroll to top button