Home Physical Sciences Thermal radiative flow of cross nanofluid due to a stretched cylinder containing microorganisms
Article Open Access

Thermal radiative flow of cross nanofluid due to a stretched cylinder containing microorganisms

  • Humaira Yasmin EMAIL logo , Showkat Ahmad Lone , Farhan Ali , Hussam Alrabaiah , Zehba Raizah and Anwar Saeed EMAIL logo
Published/Copyright: November 22, 2023
Become an author with De Gruyter Brill

Abstract

Due to its widespread applications in areas including heat exchangers, cancer therapy, heat storage devices, biomedicine, and biotechnology, nanofluid has become one of the most important fluids in thermal engineering. One difficulty with these applications of nanofluids is the improvement of heat conductivity via nanoparticles. This aims to illustrate the bioconvectional cross-flow of a nanofluid in the existence of swimming gyrotactic microorganisms over a vertical stretching cylinder. We consider the chemical reaction and thermal radiation in the energy and concentration equations. Through the use of appropriate dimensionless variables, a nonlinear system of partial differential equations has been transformed into ordinary differential equations (ODEs). The BVP4c method is applied to construct the resultant governing ODEs. The significance of physical variables is demonstrated through plots and tabular data. Our finding explains that the temperature intensifies due to larger curvature parameters and Weissenberg variables, while the opposite effect is examined in the velocity profile. With upsurge in thermophoresis parameter, the temperature upsurges accordingly. As the bioconvection Lewis number rises, microbial concentration falls. The results obtained in this investigation could be useful in practical applications like numerous areas of engineering, biotechnology, nanotechnology, and medical sciences etc.

Abbreviations

We

Weissenberg parameter

Rm

bioconvection Rayleigh number

Nc

buoyancy parameter

B i

biot number

Nb

brownian motion

Nt

thermophoresis force

Pr

Prandtl number

Rd

radiation parameter

K *

mean absorption

Sc

Schmidt number

F'

radial velocity

ϑ

temperature field

Π

concentration field

Y

microorganism field

τ

ratio of effective heat capacity

κ

chemical reaction

Pe

Peclet number

Lb

bioconvection Lewis number

ω

microorganism concentration difference

Cf

skin friction coefficient

Nu r

Nusselt number

Sh r

Sherwood number

Nh

motile density

u , v

component of velocity

δ

curvature parameter

λ

mixed convective parameter

c p

specific heat

g

acceleration due to gravity

μ f

dynamic visocisty

v f

kinematic viscosity of EG

α f

thermal diffusivity

v f

kinematic viscosity of EG

α f

thermal diffusivity

k

thermal conductivity

ρ f

nanofluid density

ρ m

microorganism particles density

D B

Brownian diffusion coefficient

D T

thermophoretic diffusion coefficient

D M

microorganism diffusion coefficient

σ *

Stefan-Boltzmann constant

T

temperature of the fluid

T w

wall temperature

T

ambient temperature

T f

surface heat

h

coefficient of heat transfer

Y w

surface concentration of microorganisms

Y

ambient concentration of microorganisms

q r

radiative heat flux

1 Introduction

Cross-fluid flow over a stretched cylinder describes the movement of a fluid across the surface of a cylindrical object that is undergoing stretching or elongation. This phenomenon is encountered in various practical applications, such as the coating process in manufacturing, polymer processing, and fiber spinning. When a cylinder is stretched, the fluid on its surface experiences both tangential and normal forces. The tangential forces arise due to the stretching motion, causing the fluid to move along the surface. The normal forces act perpendicular to the surface and induce a cross-flow across the cylinder. This cross-flow is characterized by fluid moving from one side of the cylinder to the other. The flow behavior of the fluid on a stretching cylinder contains several influences, including the velocity of stretching, the viscosity of the fluid, and the surface properties of the cylinder [1,2]. As the stretching velocity increases, the cross-flow becomes more pronounced [3]. Higher fluid viscosity tends to resist the cross-flow, while lower viscosity promotes it. The surface properties of the cylinder, such as its roughness or surface tension, can also influence the cross-flow behavior [4]. By gaining a deeper understanding of cross-fluid flow on a stretching cylinder, engineers develop more efficient processes, improve product quality, and optimize material usage in various industrial applications [5]. Khan et al. [6] evaluated computationally the thermal transportation for cross-flow of Williamson fluid on an elongating and contracting surface using thermally radiative effects. Khosravi and Javan [7] discussed 3D thermal transportation considering deep cross-flow using mesh refinement. Understanding the dynamics of cross-fluid flow on a stretching cylinder is essential for optimizing processes that involve the coating or spreading of materials [8]. Darvesh et al. [9] examined the 3D cross-flow of nanofluid using the density of microorganisms and noted that a slight change in the Brownian motion parameter has a significant impact on the concentration of nanoparticles and motile microorganisms. They have also shown that there was an approximately 80.21% reduction in the concentration as a result of the slight modification in the Brownian movement variable.

Nanofluid flow describes the motion of a mixture of nanoparticles and a base fluid. A nanofluid consists of solid nanoparticles, typically in the range of 1–100 nm, dispersed in a liquid medium. This combination of nanoparticles and fluid exhibits unique flow characteristics and properties compared to pure fluids as introduced initially by Choi and Eastman [10]. When nanofluids flow, the nanoparticles interact with the base fluid, leading to alterations in the overall fluid behavior [11]. These interactions can affect various flow parameters such as viscosity, thermal conductivity, density, and heat transfer capabilities. Consequently, nanofluid flow has garnered significant interest in several fields, including engineering, materials science, and energy applications. One crucial aspect of nanofluid flow is the enhanced thermal conductivity [12]. Nanoparticles, due to their larger surface area-to-volume ratio, can significantly improve the thermal properties of the base fluid when dispersed [13]. As a result, nanofluids have been explored for features such as heat transport enhancement in cooling systems, thermal executive of electronic devices, and solar thermal collectors. The flow behavior of nanofluids is influenced by factors such as nanoparticle concentration, size, shape, and surface characteristics [14]. These parameters can affect the stability and dispersion of nanoparticles within the fluid medium, leading to variations in the flow properties. Understanding the flow dynamics of nanofluids helps in optimizing their usage in different applications and designing efficient heat transfer systems [15]. Nanofluid flow has proved to have potential in various fields, including heat exchangers, microfluidics, biomedical engineering, and energy conversion systems [16]. Khan et al. [17] studied thermally the blood-gold nanofluid flow on a surface through the impacts of microorganisms and noted that thermal panels were reinforced by intensification in thermophoresis factor, volumetric fraction, Brownian movement, and radiation variables, as they were opposite via the Prandtl number. The fluid concentration augmented through an upsurge in activation energy parameters and decayed on boost in thermophoresis factor and the Schmidt number. Many investigations are witnessed of nanofluid flow on cylindrical surfaces with a remarkable contribution to the thermal flow analysis [18]. Bhatti and Ellahi [19] studied computationally the nanofluid non-Darcian flow on an elastic as well as elongating surface using thermal and velocity slips.

As the fluid flows over the cylinder, a boundary layer forms near its surface. In the stretching cylinder, the boundary layer can undergo separation, where it lifts off the surface. The occurrence of boundary layer separation is influenced by the stretching rate and fluid viscosity [20]. The separation of the boundary layer has significant consequences for the flow behavior, including changes in pressure distribution and drag forces. The stretching of the cylinder can induce a transition from laminar to turbulent flow [21]. The critical Reynolds number for this transition depends on factors such as the stretching rate, surface roughness, and fluid properties. Turbulent flow typically exhibits higher drag forces compared to laminar flow. The stretching of the cylinder can also cause changes in the flow velocity; in some cases, the fluid can be accelerated along the cylinder’s surface, resulting in increased flow rates [22]. However, depending on the stretching rate and other factors, the fluid can also decelerate as it moves along the cylinder. Reddy et al. [23] discussed thermal generation and absorption for nanofluid magnetohydrodynamics (MHD) flow on a stretch cylinder through a porous surface and noted that growth in the curvature and the porosity factors are expected to amplify the thermal layer within the boundary layer region surrounding the cylinder. Othman et al. [24] simulated computationally the flow of nanoparticles in combination with microorganisms and activated energy on an elongating and inclined cylinder and have observed that inclination angle and Richardson number have been observed to cause a reduction in the velocity curve, while it has boosted in response to changes in the curvature factor. They have also noted that the energy field is enhanced by the inclination angle and heat source term, but it has diminished through the Prandtl number and Richardson number. Shaheen et al. [25] discussed time-dependent bio-convective fluid flow on an elongating cylinder under the impact of different flow constraints.

Bio-convection flow discusses the convective motion of a fluid induced by the collective movement of microorganisms or biological entities within the fluid. This phenomenon is commonly observed in various biological systems, such as suspensions of swimming bacteria, algae, or other microorganisms [26]. Bio-convection arises due to the inherent biological activity of these organisms, which can result in the generation of concentration gradients or localized heating [27]. These gradients lead to buoyancy forces that drive fluid motion. The collective movement of microorganisms, typically driven by their motility mechanisms, can create vortices, flow patterns, and instabilities in the fluid flow [28]. In research and scientific studies, bio-convection flow has been investigated to understand various biological and ecological processes [29]. It plays a significant role in diverse fields, including microbiology, ecology, biophysics, and bioengineering. Saraswathy et al. [30] studied theoretically the bio-convective fluid flow over a sheet by incorporating the effects of heat and mass flux models proposed by Cattaneo-Christov and have noted that their results have been in remarkable agreement with established data. Chu et al. [31] explored the significance of bio-convection with activation energy on the magnetic field on a stretching surface through the famous Buonigiorno model and noted that velocity distribution has declined while thermal panels are amplified and grow. Hussain et al. [32] inspected the impact of bio-convection using microorganisms on a fluid layer through two infinite plates with gravitational effects.

Fluid flow with the effect of thermal radiative encompasses a complex relation between fluid dynamics and heat transfer. When thermal radiation is considered in a flow system, it introduces an additional mode of heat transfer alongside conduction and convection [33]. Unlike conduction and convection, which require a material medium, thermal radiation involves the emission, absorption, and transmission of electromagnetic waves. Radiative heat transfer plays a crucial role in influencing the energy balance and temperature distribution within the flow system [34]. The amount of heat transfer through radiation depends on the temperature and emissivity of the surfaces involved. It can lead to both heating and cooling effects, depending on the temperature gradient and emissivity distribution. The absorption and emission of radiation by the fluid and solid surfaces within the flow system significantly impact the overall energy exchange. The absorption of radiation by the fluid can increase its temperature, while the emission of radiation from the fluid and solid surfaces affects the overall heat transfer. The emissivity and absorptivity of the surfaces determine the extent of these interactions. To analyze fluid flow with the effects of thermal radiation, mathematical models such as the radiative transfer equation are employed [35]. These models incorporate the radiative heat transfer mechanisms and interactions within the system, allowing for predicting temperature distributions, flow patterns, and overall system behavior. Dharmaiah et al. [36] applied Jeffery MHD fluid flow factor to the nuclear reactor with Brownian motion and thermophoresis effects and thermal radiations on a wedge and noted that fluid velocity panels have reduced and thermal panels have boosted with growth in magnetic factor. Suresh Kumar et al. [37] analyzed computationally the MHD fluid flow with impacts of microorganisms and thermally radiative effects and Hall current. Pandey et al. [38] discussed the relation between thermal radiations with mixed convection for a fluid flow on a stretching surface. Alrehili [39] analyzed the upgradation of applications regarding the field of engineering and technology for dissipative nanofluid flow on a nonlinear elongating sheet using thermally radiative effects. Sharma et al. [40] studied the generation of entropy and thermally radiative effects for Jeffery electro magnetohydrodynamics fluid flow with impacts of nanoparticles and have noted that velocity distribution has retarded while thermal panels have boosted with growth in magnetic factor and concentration of nanoparticles.

When a force is applied to a fluid, the fluid undergoes a deformation or a change in shape or structure. Non-Newtonian fluids include things such as toothpaste, ketchup, paint, blood, starch, and so forth, while Newtonian fluids have a linear relationship between applied force and deformation. There are a wide variety of mathematical models available for investigating the characteristics of these non-Newtonian fluids. Many models have been proposed to explain fluid behavior, including Burger’s, Jeffery’s, Ree-Eyring, Power law, and many others. Cross [41] used the cross-fluid model to represent the characteristics of any fluid at both high and low shear rates. Rehman et al. [42] explained the force convection flow subject to the effect of thermal diffusion and mass diffusion with cross-flow through a variable needle. Azam et al. [43] examined the solar aspect of the magnetic flow of cross nanofluid due to convective flow. Yao et al. [44] investigated the impact of an orthogonal magnetic dipole on cross-fluid, which exhibits numerous characteristics. Khan et al. [45] illustrated the activation energy and thermophoretic effect on cross-fluid. Sharma and Mishra [46] provided an interpretation of the higher-order mechanism of chemical reaction and the effect of Lorentz force on cross-fluid.

The main aim of this analysis is to examine the cross-nanofluid flow caused by cylinder’s stretching. Because of the presence of mixed convection, it is presumed that the flow is vertical. Based on the aforementioned review of the literature and to the best of the author’s knowledge, no research has been done on the interaction of cross-nanomaterial with microorganisms. As a result, closing this gap is the primary focus of our argument. So, our investigation explains the cross fluid in the presence of thermal radiative, mixed convective flow, and microorganisms. Convective boundary conditions are imposed along with impacts of Brownian motion and thermophoresis motile microorganisms. In this work, we used the Bvp4c technique to calculate the numerical solutions. Plots are also elaborated to interpret the features of other physical variables.

2 Modeled formulation

We investigate the 2D cross-mixed convective flow of an incompressible viscoelastic nanoliquid comprising chemical reaction and convective condition on a stretched cylinder, taking into account the effects of thermal radiation, as shown in Figure 1. The symbols T , C , and Y , respectively, represent the temperature, the concentration, and concentration of microorganism at free stream. The physical nature of the model is outlined below.

Figure 1 
               Geometry of the flow problem.
Figure 1

Geometry of the flow problem.

Therefore, the constitutive equation of the flow model expression is described as follows [43,44,45]:

(1) ru x + rv r = 0 ,

(2) u u x + v u r = v f u r 1 1 + Γ u y n + v f r r u r 1 + Γ u y n + ( ( 1 Φ ) ρ f β ( T T ) ( ρ p ρ f ) g ( C C ) γ ( ρ m ρ f ) g ( Y Y ) ) ,

(3) u T x + v T r α f + 16 σ * T 3 3 k ( ρ C p ) f 2 T r 2 + 1 r T r = τ D B C r T r + D T T T r 2 + Q 0 ( ρ C p ) f ( T T ) ,

(4) u C x + v C r = D B 1 r C r + 2 C r 2 + D T T 2 T r 2 + 1 r T r K 0 ( C C ) ,

(5) u Y x + v Y r + b W c ( C w C ) 1 r r ( Y C r ) = D m 2 Y r 2 .

The boundary constraints are applied as follows [43,44,45]:

(6) u = u 0 l x , v = 0 , k T r = h ( T f T ) , C = C w , Y = Y w at r = R , u 0 , T T , C C , Y Y as r ,

where u and v represent the velocity component along the x - and r-axis. Γ is represented by the relaxation time, n is the power index, ρ f is the density of the fluid, ρ p describes the density of nanoparticles, ρ m denotes the density of microorganisms, ( ρ C p ) f denotes the specific heat capacity of the fluid, T is the temperature of the fluid, D m describes microorganism diffusion, b W c displays cell’s swimming speed, D B defines the thermophoretic diffusion, τ is defined as the heat capacity ratio of nanofluid, v f defines as the kinematics viscosity, and μ defines the dynamic viscosity.

Similarity transformation is [43,44,45]

(7) ξ = u o v f l r 2 R 2 2 R , u = u o x l F ( ξ ) , v = R r u o v f l F ( ξ ) , ϑ ( ξ ) = T T T f T , Φ ( ξ ) = C C C w C , Π ( ξ ) = Y Y Y w Y .

After applying above-mentioned transformation to equations (2)–(6), the nonlinear dimensionless ordinary differential equations (ODEs) are obtained as follows:

(8) ( 1 + 2 δ ξ ) [ ( 1 + ( 1 n ) ( We F '' ) n ) F ''' ] + 2 δ F '' 1 + 1 n 2 ( We F '' ) n + [ F F '' F 2 ] { 1 + ( We F '' ) n } 2 + δ 2 λ ( ϑ Nc Φ Rm Π ) { 1 + ( We F '' ) n } 2 = 0 ,

(9) ϑ '' ( 1 + 2 δ ξ ) 1 + 4 3 Rd + δ ϑ + Pr F ϑ + PrNb ϑ Φ + PrNt ϑ 2 = 0 ,

(10) Φ '' ( 1 + 2 δ ξ ) + δ Φ + Sc F Φ + Nt Nb [ ( 1 + 2 δ ξ ) ϑ '' + δ Φ ] Sc δ Φ = 0 ,

(11) Π '' ( 1 + 2 δ ξ ) + δ Π + Lb F Π Pe [ Π Φ + ( 1 + δ ξ ) Φ '' + δ Φ ) ( Π + ω ) ] .

Subject to the boundary conditions

(12) F ( 0 ) = 0 , F ( 0 ) = 1 , ϑ ( 0 ) = B i ( 1 ϑ ( 0 ) ) , Φ ( 0 ) = 1 , Π ( 0 ) = 1 as ξ = 0 F 0 , ϑ 0 , Φ 0 , Π 0 as ξ , .

where We is the Weissenberg number, δ denotes the curvature variable, λ denotes the mixed convective parameter, Nc represents the buoyancy parameter, Rm denotes the bioconvection Rayleigh number, Pr denotes the Prandtl number, Nb denotes the Brownian motion, Sc is the Schmidt number, Nt is the thermophoretic diffusion, Lb denotes the bioconvection Lewis number, Pe denotes the Peclet number, ω denotes the microorganism difference, Bi denotes the Biot number, and Rd exhibits the thermal radiation factor

We = Γ u o l 1 / 2 Re x 1 / 2 , δ = v f l u o R 2 1 / 2 , λ = ( 1 C f ) ( T f T ) β g z u o l 2 , Nc = ( ρ p ρ f ) ( C w C ) β ( 1 C f ) ( T f T ) ρ f

Rm = ( ρ m ρ f ) ( Y w Y ) γ β ( 1 C f ) ( T f T ) ρ f , Pr = C p k , Nb = τ D B ( C w C ) v f , Sc = v f D B , Nt = τ D T ( T f T ) v f T ,

Lb = v f D m , Pe = bWc D m , ω = Y Y w Y , B i = h k v f l u o , Rd = 4 σ * T 3 k k * .

Engineering quantities of interest are [43,44,45]

(13) C f = τ xr ρ F U W 2 , Nu = x q w k ( T f T ) , Sh = x q m D B ( C w C ) , Nh = x q n D m ( Y w Y ) .

τ xr , q w , q m , and q n are described as follows:

(14) τ xr = μ o u r 1 1 + Γ u r n q w = k 1 + 4 3 Rd T r , q m = D B C r , q n = D m Y r .

Using similarity transformation to equation (14), we obtain

(15) Cf Re 1 / 2 = F '' ( 0 ) 1 1 + ( We F '' ( 0 ) ) n , Nu Re 1 / 2 = ϑ ( 0 ) 1 + 4 3 Rd , Sh Re 1 / 2 = Φ ( 0 ) , Nh Re 1 / 2 = Π ( 0 ) ,

where R e x = x U w / ν F is the local Reynolds number.

2.1 Numerical procedure

It is vital to compute the technique after reducing the problem to a lower order. Examining the given equations shows their highly nonlinear nature, posing challenges in maintaining analytical expressions. Initially, the conditions are estimated using a shooting approach. To achieve this, we utilize the finite difference technique with the bvp4c code in computer models and simulations. With these assumptions, we are able to convert the initial problem into a first-order system

(16) F = A 1 , F = A 2 , F '' = A 3 , F''' = A 3 ϑ = A 4 , ϑ = A 5 , ϑ '' = A 5 Φ = A 6 , Φ = A 7 , Φ '' = A 7 , Π = A 8 , Π = A 9 , Π '' = A 9 ,

(17) A 3 = 2 α A 3 1 + 1 n 2 ( We A 3 ) n [ A 1 A 3 ( A 2 ) 2 ] { 1 + ( We A 3 ) n } 2 δ 2 λ ( A 4 Nc A 6 Rm A 8 ) { 1 + ( We A 3 ) n } 2 ( 1 + 2 δ ξ ) ( 1 + ( 1 n ) ( We A 3 ) n ) ,

(18) A 5 = δ A 5 Pr A 1 A 5 PrNb A 5 A 7 PrNt A 5 2 ( 1 + 2 δ ξ ) ( 1 + 4 3 Rd ) ,

(19) A 7 = δ A 7 Sc A 1 A 5 Nt Nb [ ( 1 + 2 δ ξ ) A 5 + δ A 7 ] Sc δ A 7 ( 1 + 2 δ ξ ) ,

(20) A 9 = δ A 9 Lb A 1 A 9 + Pe [ A 7 A 9 + ( 1 + δ ξ ) A 7 + δ A 7 ) ( A 8 + ω ) ] ( 1 + 2 δ ξ ) .

Subject to the boundary conditions

(21) A 1 = 0 , A 2 = 1 , A 5 = B i ( 1 A 4 ) , A 6 = 1 , A 8 = 1 as ξ = 0 A 2 0 , A 4 0 , A 6 0 , A 8 0 as ξ 0 .

3 Results and discussion

This portion comprised the mechanism of various physical factors’ impacts on profiles F ( ξ ) , ϑ ( ξ ) , Φ ( ξ ) , and Π ( ξ ) . The range of all these factors are given as 0.1 < We < 1.2 , 0.1 < δ < 0.7 , 0.1 < Nb < 0.4 , 0.1 < Nt < 0.5 , 1.0 < Pr < 2.5 , 1.0 < Sc < 2.0 , 1.0 < Pe < 2.0 , 1.0 < ω < 2.0 , 1.0 < Lb < 2.0 .

Figure 2(a–c) shows the variations in velocity ( F ( ξ ) ), temperature ( ϑ ( ξ ) ), and concentration ( Φ ( ξ ) ) profiles via Weissenberg number (We). It is clear to note that there are two cases at all: i.e., when n > 1 , then it is called shear thickening case while when n < 1 then this case is called shear thickening case. It is understood that the Weissenberg number reduces the fluid velocity for the case of shear thinning, which is focused in the present analysis (Figure 2(a)). However, in general, the fluid velocity increases via the Weissenberg number for the case of shear thickening. Figure 2(b) shows the variation in ϑ ( ξ ) via Weissenberg number (We). The temperature boundary thickness expands with the increasing We because the increasing We conduct low resistive force to the flow temperature and can take an infinite time to meet the ambient temperature. Thus, the increasing We heightens the temperature boundary layer thickness and temperature profile as well. The same is the case for the concentration profile, as shown in Figure 2(c).

Figure 2 
               (a–c) Impact of Weissenberg number (We) on (a) 
                     
                        
                        
                           
                              F
                              ′
                           
                           
                              
                                 (
                                 
                                    ξ
                                 
                                 )
                              
                           
                        
                        F^{\prime} (\xi )
                     
                  , (b) 
                     
                        
                        
                           ϑ
                           
                              
                                 (
                                 
                                    ξ
                                 
                                 )
                              
                           
                        
                        {\vartheta }(\xi )
                     
                  , and (c) 
                     
                        
                        
                           Φ
                           
                              
                                 (
                                 
                                    ξ
                                 
                                 )
                              
                           
                        
                        \Phi (\xi )
                     
                  .
Figure 2

(a–c) Impact of Weissenberg number (We) on (a) F ( ξ ) , (b) ϑ ( ξ ) , and (c) Φ ( ξ ) .

Figure 3(a–c) shows the impact of curvature factor (δ) on F ( ξ ) , ϑ ( ξ ) , and Φ ( ξ ) , respectively. From these figures, we see that the higher curvature factor causes an increase in fluid velocity as well as in thermal distribution while reducing the concentration profiles. The higher curvature factor means that the cylindrical surface converts to a flat surface when δ tends to infinity. By the fact that velocity and thermal distribution are always dominant in the case of flat surfaces as compared to the cylindrical surface. The same is the case for the velocity and thermal layer of the nanofluid flow over a cylindrical surface (Figure 3(a and b)). On the other hand, the higher curvature factor declines the concentration boundary layer thickness which declines the concentration profile of the nanofluid flow.

Figure 3 
               (a–c) Impact of curvature parameter δ on (a) 
                     
                        
                        
                           
                              F
                              ′
                           
                           
                              
                                 (
                                 
                                    ξ
                                 
                                 )
                              
                           
                        
                        F^{\prime} (\xi )
                     
                  , (b) 
                     
                        
                        
                           ϑ
                           
                              
                                 (
                                 
                                    ξ
                                 
                                 )
                              
                           
                        
                        {\vartheta }(\xi )
                     
                  , and (c) 
                     
                        
                        
                           Φ
                           
                              
                                 (
                                 
                                    ξ
                                 
                                 )
                              
                           
                        
                        \Phi (\xi )
                     
                  .
Figure 3

(a–c) Impact of curvature parameter δ on (a) F ( ξ ) , (b) ϑ ( ξ ) , and (c) Φ ( ξ ) .

The significance of Brownian movement Nb over temperature profile ϑ ( ξ ) and concentration of Cross-fluid Φ ( ξ ) is acknowledged in Figure 4(a and b). The intensifying magnitude of Nb strengthened the liquid temperature. Due to the increased heat generated by the random motion of nanoparticle components with varying temperatures, Nb grows and the thickness of the related thermal layers upsurges. Moreover, enhancing Nb depreciates the concentration profiles Φ ( ξ ) . Physically, Nb increases due to collisions between material particles and lowers the concentration profile.

Figure 4 
               Impact of Brownian motion Nb on (a) 
                     
                        
                        
                           ϑ
                           
                              
                                 (
                                 
                                    ξ
                                 
                                 )
                              
                           
                        
                        {\vartheta }(\xi )
                     
                   and (b) 
                     
                        
                        
                           Φ
                           
                              
                                 (
                                 
                                    ξ
                                 
                                 )
                              
                           
                        
                        \Phi (\xi )
                     
                  .
Figure 4

Impact of Brownian motion Nb on (a) ϑ ( ξ ) and (b) Φ ( ξ ) .

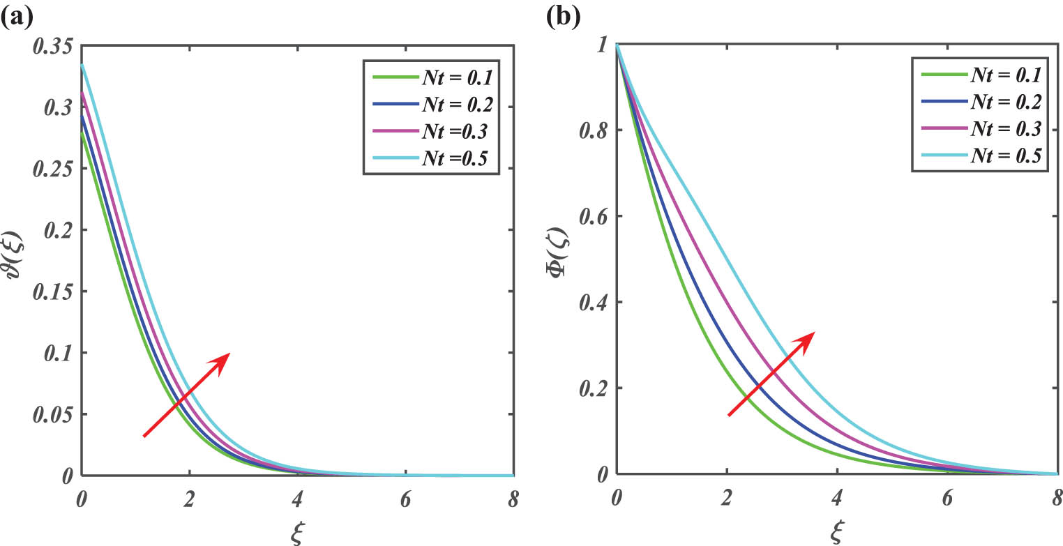
Figure 5(a) and (b) shows the impact of Nt on ϑ ( ξ ) and Φ ( ξ ) , respectively. Larger values of Nt cause improvement in both the temperature and concentration field. Physically, the thermophoresis factor plays a vital role. Thermophoretic forces are generated with increasing Nt. These forces tend to move the fluid nanoparticles from hot to colder surface regions. Due to this transport phenomenon, both the nanoparticle’s concentration and temperature boundary layer thicknesses heighten, which causes augmentation in the temperature and concentration profiles of the nanofluid flow.

Figure 5 
               Impact of Nt on (a) 
                     
                        
                        
                           ϑ
                           
                              
                                 (
                                 
                                    ξ
                                 
                                 )
                              
                           
                        
                        {\vartheta }(\xi )
                     
                   and (b) 
                     
                        
                        
                           Φ
                           
                              
                                 (
                                 
                                    ξ
                                 
                                 )
                              
                           
                        
                        \Phi (\xi )
                     
                  .
Figure 5

Impact of Nt on (a) ϑ ( ξ ) and (b) Φ ( ξ ) .

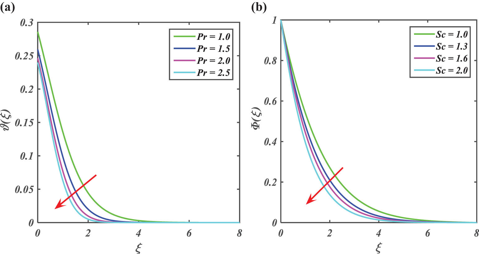
Figure 6(a) shows the variation in temperature profile via Prandtl number (Pr). The ratio of momentum to thermal diffusivity is known as the Pr. The increasing Pr means that the momentum diffusivity is greater than the thermal diffusivity, which shows that the thermal boundary thickness reduces and, hence, the temperature profile reduces. Thus, a decreasing impact in the temperature profile via Pr is perceived. Figure 6(b) shows the impact of Sc on the concentration profile. The higher the Sc, the lower the concentration profile. Actually, the higher Sc means the low Brownian diffusivity, which results in a reduction in the concentration boundary layer thickness. Thus, a higher Sc decays the concentration boundary layer thickness and concentration profile as well.

Figure 6 
               Impact of Pr on (a) 
                     
                        
                        
                           ϑ
                           
                              
                                 (
                                 
                                    ξ
                                 
                                 )
                              
                           
                        
                        {\vartheta }(\xi )
                     
                   and (b) 
                     
                        
                        
                           Φ
                           
                              
                                 (
                                 
                                    ξ
                                 
                                 )
                              
                           
                        
                        \Phi (\xi )
                     
                  .
Figure 6

Impact of Pr on (a) ϑ ( ξ ) and (b) Φ ( ξ ) .

For higher estimates of ( Lb ) , Figure 7(a) shows the deprecation in the motile density. Physically, when ( Lb ) is greater, as microorganisms are less likely to move through a fluid, so Π ( ξ ) goes down. Figure 7(b) makes it easy to see that when ( Pe ) grows, Π ( ξ ) decreases. Since the diffusivity of higher ( Pe ) microorganisms diminishes, so does the thickness of the corresponding layer. To verify the impact of (ω) on microbial concentration Π ( ξ ) , Figure 7(c) is sketched. We found that as the temperature of cross-fluid has increased, its viscosity (ω) decreased. Motile density decreases as the concentration of microorganisms in ambient fluids grows with ω.

Figure 7 
               (a) Impact of Lb on 
                     
                        
                        
                           Π
                           
                              
                                 (
                                 
                                    ξ
                                 
                                 )
                              
                           
                        
                        \Pi (\xi )
                     
                  , (b) impact of Pe on 
                     
                        
                        
                           Π
                           
                              
                                 (
                                 
                                    ξ
                                 
                                 )
                              
                           
                        
                        \Pi (\xi )
                     
                  , and (c) impact of ω on 
                     
                        
                        
                           Π
                           
                              
                                 (
                                 
                                    ξ
                                 
                                 )
                              
                           
                        
                        \Pi (\xi )
                     
                  .
Figure 7

(a) Impact of Lb on Π ( ξ ) , (b) impact of Pe on Π ( ξ ) , and (c) impact of ω on Π ( ξ ) .

Figure 8(a and b) shows the contour graphs for fluid flow with and without mixed convection characteristics. Greater values of mixed convective parameters get larger in the pattern of flow and cause enhanced viscosity of the fluid. Figure 9(a and b) shows streamlines created at various values assigned to We, λ , Rm , and Nc . For larger values, flow is enhanced more rapidly and is moved away from the origin.

Figure 8 
               Contour plot for (a) mixed convective flow and (b) without mixed convective flow.
Figure 8

Contour plot for (a) mixed convective flow and (b) without mixed convective flow.

Figure 9 
               Streamline for the (a) mixed convective and (b) without mixed convective.
Figure 9

Streamline for the (a) mixed convective and (b) without mixed convective.

Table 1 consists of the comparison of our results with published work. Table 2 summarizes the data of skin friction measured at a cylindrical surface. From this table, it has been noticed that when We and δ are increased, skin friction is reduced, but when λ is increased, skin friction is escalated. Greater values of the dimensionless parameters Rd , Nt , Nb , Pe , Lb , Pr , and Sc reduced the heat, mass, and motile microorganism density, as observed in Tables 35.

Table 1

Comparative analysis of ϑ ( 0 ) when Nb = 0, Nt = 0, Rd = 0

Pr Bidin and Nazar [47] Rafique et al. [48] Current result
1 0.9548 0.9548 0.95481
2 1.4714 1.4714 1.86912
3 1.8691 1.8691 1.86915
Table 2

Numeric data for Skin friction against variations in various factors

δ We λ Nc Rm Re x 1 / 2 Cf
1.1 0.5 0.1 0.1 0.1 1.6861
1.3 1.6341
1.5 1.6027
1.8 1.5599
1 1.9861
1.4 0.9012
1.6 0.7345
1.9 0.5783
1.0 0.2 1.6920
1.2 1.7464
2.1 1.7897
3.2 1.8353
0.1 3.4716
0.3 3.1512
0.5 2.8879
0.7 2.6659
0.1 2.6239
0.3 2.5041
0.5 2.3949
0.7 2.2949
Table 3

Numeric data for Nusselt number against variations in various factors

Nb Nt Pr δ Rd Re . 1 / 2 Nu
0.1 0.5 1 0.1 0.3 0.2073
0.3 0.1980
0.5 0.1840
0.8 0.1702
1 0.1389
1.4 0.1276
1.6 0.1116
1.9 0.1056
0.3 0.1583
1.2 0.1470
2.1 0.1348
3.2 0.1218
0.1 0.3098
0.3 0.2949
0.5 0.2891
0.7 0.2722
0.1 0.3498
0.3 0.3349
0.5 0.3291
0.7 0.3143
Table 4

Numeric data of Sherwood number against variations in various factors

Nb Nt Kr δ Sc Re . 1 / 2 Sh
1.1 0.5 1 0.1 0.3 1.1623
1.6 0.9809
2.1 0.8970
2.6 0.8495
1 1.2250
1.4 1.0350
1.6 0.9809
1.9 0.9244
1.1 1.1517
1.2 1.4243
1.3 1.5415
1.4 1.6997
0.1 1.1845
0.3 1.2180
0.5 1.2531
0.7 1.2831
1.1 1.4840
1.3 1.4978
1.5 1.5117
1.7 1.5255
Table 5

Numeric data of motile density against variations in various factors

Pe Lb ω δ Sc Re . 1 / 2 Nh
1.1 0.5 1 0.1 0.3 2.5994
1.6 2.5362
2.1 2.4665
2.6 2.3909
1 2.5994
1.4 2.6109
1.6 2.6221
1.9 2.6332
1.1 3.6269
1.2 3.7781
1.3 3.9266
1.4 4.0750
0.1 3.5144
0.3 3.5487
0.5 3.5863
0.7 3.6238
1.1 3.4617
1.3 3.4428
1.5 3.4066
1.7 3.4046

4 Conclusion

The influence of linearly radiative and bio-convective cross-nanofluid flow across a vertical cylinder under convective conditions at the boundary is investigated numerically. The heat and mass transfer features of nanofluids are shown in the associated tables and figures. Below is a list of some salient points:

  • Growth in We reduces the velocity profiles while an upsurge in δ   boosts the velocity curve.

  • As the curvature parameter is increased, the velocity field and temperature field decreased, close to the surface of the cylinder.

  • The temperature has increased for both Brownian movement and thermophoresis force, whereas these variables behave differently on the concentration profiles.

  • The temperature and concentration fields of nanoparticles are diminished by augmentation in the Pr and the Sc, while growth in B i enhances the temperature profiles.

  • Upsurge in the Peclet number decays the microorganism density profiles.

  • Increases in the curvature parameter and the Weissenberg number caused skin friction to decrease.

  • The Sherwood number declines with the escalation in the chemical reaction and the Sc.

Acknowledgments

The authors extend their appreciation to the Deanship of Scientific Research at King Khalid University, Abha, Saudi Arabia, for funding this work through the Research Group Project under Grant No. RGP.1/505/44. This work was supported by the Deanship of Scientific Research, the Vice Presidency for Graduate Studies and Scientific Research, King Faisal University, Saudi Arabia (Grant No. 4475).

  1. Funding information: This work was funded through the Deanship of Scientific Research at King Khalid University, Abha, Saudi Arabia, the Research Group Project under Grant Number RGP.1/505/44. This work was supported by the Deanship of Scientific Research, the Vice Presidency for Graduate Studies and Scientific Research, King Faisal University, Saudi Arabia (Grant No. 4475).

  2. Author contributions: All authors have accepted responsibility for the entire content of this manuscript and approved its submission.

  3. Conflict of interest: The authors state no conflict of interest.

  4. Data availability statement: All data generated or analyzed during this study are included in this published article (and its supplementary information files).

References

[1] Hosseinzadeh J, Roghani S, Mogharrebi AR, Asadi A, Waqas M, Ganji DD, et al. Investigation of cross-fluid flow containing motile gyrotactic microorganisms and nanoparticles over a three-dimensional cylinder. Alex Eng J. 2020;59:3297–307.10.1016/j.aej.2020.04.037Search in Google Scholar

[2] Ali M, Sultan F, Khan WA, Shahzad M, Arif H. Important features of expanding/contracting cylinder for Cross magneto-nanofluid flow. Chaos Solit Fractal. 2020;133:109656.10.1016/j.chaos.2020.109656Search in Google Scholar

[3] Xiao Q, Cheng J, Zhang B, Zhou J, Chen W. Schlieren visualization of the interaction of jet in crossflow and deflagrated flame in hydrogen-air mixture. Fuel. 2021;292:120380.10.1016/j.fuel.2021.120380Search in Google Scholar

[4] Azam M, Xu T, Khan M. Numerical simulation for variable thermal properties and heat source/sink in flow of Cross nanofluid over a moving cylinder. Int Commun Heat Mass Transf. 2020;118:104832.10.1016/j.icheatmasstransfer.2020.104832Search in Google Scholar

[5] Zhang G, Si Z, Zhai C, Luo H, Ogata Y, Nishida K, et al. Characteristics of wall-jet vortex development during fuel spray impinging on flat-wall under cross-flow conditions. Fuel. 2022;317:123507.10.1016/j.fuel.2022.123507Search in Google Scholar

[6] Khan U, Zaib A, Bakar SA, Ishak A, Baleanu D, Sherif ESM, et al. Computational simulation of cross-flow of Williamson fluid over a porous shrinking/stretching surface comprising hybrid nanofluid and thermal radiation. AIMS Math. 2022;7(4):6489–515.10.3934/math.2022362Search in Google Scholar

[7] Khosravi M, Javan M. Three-dimensional features of the lateral thermal plume discharge in the deep cross-flow using dynamic adaptive mesh refinement. Theor Comput Fluid Dyn. 2022;36(3):405–22.10.1007/s00162-022-00612-3Search in Google Scholar

[8] Sarbazi Z, Hormozi F. Numerical study of entropy generation and forced convection heat transfer of a nanofluid in a channel with different fin cross-sections. Int J Numer Method Heat Fluid Flow. 2022;32(1):62–98.10.1108/HFF-11-2020-0705Search in Google Scholar

[9] Darvesh A, Altamirano GC, Salas SAH, Sánchez Chero M, Carrión Barco G, Bringas Salvador JL, et al. Infinite shear rate viscosity model of cross fluid flow containing nanoparticles and motile gyrotactic microorganisms over 3-D cylinder. J Nanofluids. 2023;12(4):930–41.10.1166/jon.2023.1968Search in Google Scholar

[10] Choi SU, Eastman JA. Enhancing thermal conductivity of fluids with nanoparticles (No. ANL/MSD/CP-84938; CONF-951135-29). Argonne National Lab. (ANL): Argonne, IL, United States; 1995.Search in Google Scholar

[11] Dinarvand S, Berrehal H, Pop I, Chamkha AJ. Blood-based hybrid nanofluid flow through converging/diverging channel with multiple slips effect: a development of Jeffery-Hamel problem. Int J Numer Method Heat Fluid Flow. 2023;33(3):1144–60.10.1108/HFF-08-2022-0489Search in Google Scholar

[12] Shamshuddin MD, Akkurt N, Saeed A, Kumam P. Radiation mechanism on dissipative ternary hybrid nanoliquid flow through rotating disk encountered by Hall currents: HAM solution. Alex Eng J. 2023;65:543–59.10.1016/j.aej.2022.10.021Search in Google Scholar

[13] Madhukesh JK, Sarris IE, Prasannakumara BC, Abdulrahman A. Investigation of thermal performance of ternary hybrid nanofluid flow in a permeable inclined cylinder/plate. Energies. 2023;16(6):2630.10.3390/en16062630Search in Google Scholar

[14] Nanda P, Sandeep N, Sulochana C, Ashwinkumar GP. Enhanced heat transmission in methanol-based AA7072/AA7075 tangent hyperbolic hybrid nanofluid flow along a nonlinear expandable surface. Numer Heat Transf A-Appl. 2023;83(7):711–25.10.1080/10407782.2022.2157916Search in Google Scholar

[15] Sharma P, Said Z, Kumar A, Nizetic S, Pandey A, Hoang AT, et al. Recent advances in machine learning research for nanofluid-based heat transfer in renewable energy system. Energy Fuels. 2022;36(13):6626–58.10.1021/acs.energyfuels.2c01006Search in Google Scholar

[16] Mohammed HA, Bhaskaran G, Shuaib NH, Saidur R. Heat transfer and fluid flow characteristics in microchannels heat exchanger using nanofluids: a review. Renew Sustain Energy Rev. 2011;15(3):1502–12.10.1016/j.rser.2010.11.031Search in Google Scholar

[17] Khan A, Alyami MA, Alghamdi W, Alqarni MM, Yassen MF, Tag Eldin E, et al. Thermal examination for the micropolar gold–blood nanofluid flow through a permeable channel subject to gyrotactic microorganisms. Front Energy Res. 2022;10:993247.10.3389/fenrg.2022.993247Search in Google Scholar

[18] Khan A, Iqbal Z, Ahammad NA, Sidi MO, Elattar S, Awad S, et al. Bioconvection Maxwell nanofluid flow over a stretching cylinder influenced by chemically reactive activation energy surrounded by a permeable medium. Front Phys. 2023;10:1348.10.3389/fphy.2022.1065264Search in Google Scholar

[19] Bhatti MM, Ellahi R. Numerical investigation of non-Darcian nanofluid flow across a stretchy elastic medium with velocity and thermal slips. Numer Heat Tr A-Appl Fund. 2023;83(5):323–43.10.1080/10407790.2023.2174624Search in Google Scholar

[20] Mahmood Z, Iqbal Z, Alyami MA, Alqahtani B, Yassen MF, Khan U, et al. Influence of suction and heat source on MHD stagnation point flow of ternary hybrid nanofluid over convectively heated stretching/shrinking cylinder. Adv Mech Eng. 2022;14(9):16878132221126278.10.1177/16878132221126278Search in Google Scholar

[21] Li J, Wang B, Qiu X, Wu J, Zhou Q, Fu S, et al. Three-dimensional vortex dynamics and transitional flow induced by a circular cylinder placed near a plane wall with small gap ratios. J Fluid Mech. 2022;953.10.1017/jfm.2022.930Search in Google Scholar

[22] Pattnaik PK, Mishra SR, Bég OA, Khan UF, Umavathi JC. Axisymmetric radiative titanium dioxide magnetic nanofluid flow on a stretching cylinder with homogeneous/heterogeneous reactions in Darcy-Forchheimer porous media: Intelligent nanocoating simulation. Mater Sci Eng B. 2022;277:115589.10.1016/j.mseb.2021.115589Search in Google Scholar

[23] Reddy YD, Goud BS, Nisar KS, Alshahrani B, Mahmoud M, Park C. Heat absorption/generation effect on MHD heat transfer fluid flow along a stretching cylinder with a porous medium. Alex Eng J. 2023;2023(64):659–66.10.1016/j.aej.2022.08.049Search in Google Scholar

[24] Othman A, Ali H, Jubair B, Yahya Almusawa MM, Aldin S. Numerical simulation of the nanofluid flow consists of gyrotactic microorganism and subject to activation energy across an inclined stretching cylinder. Sci Rep. 2023;13(1):7719.10.1038/s41598-023-34886-2Search in Google Scholar PubMed PubMed Central

[25] Shaheen N, Ramzan M, Kadry S, Abbas M, Saleel CA. Bioconvective unsteady fluid flow across concentric stretching cylinders with thermal-diffusion and diffusion-thermo effects. Numer Heat Tr A-Appl. 2023;2020:1–17.10.1080/10407782.2023.2188329Search in Google Scholar

[26] Ahmad B, Ahmad MO, Farman M, Akgül A, Riaz MB. A significance of multi slip condition for inclined MHD nano-fluid flow with non linear thermal radiations, Dufuor and Sorrot, and chemically reactive bio-convection effect. S Afr J Chem Eng. 2023;43:135–45.10.1016/j.sajce.2022.10.009Search in Google Scholar

[27] Liu Z, Li S, Sadaf T, Khan SU, Alzahrani F, Khan MI, et al. Numerical bio-convective assessment for rate type nanofluid influenced by Nield thermal constraints and distinct slip features. Case Stud Therm Eng. 2023;44:102821.10.1016/j.csite.2023.102821Search in Google Scholar

[28] Fathollahi R, Alizadeh AA, Safari Y, Nabi H, Shamsborhan M, Taghinia F. Examination of bio convection with nanoparticles containing microorganisms under the influence of magnetism fields on vertical sheets by five-order Runge-Kutta method. Heliyon. 2023;9(5):e15982.10.1016/j.heliyon.2023.e15982Search in Google Scholar PubMed PubMed Central

[29] Kada B, Hussain I, Pasha AA, Khan WA, Tabrez M, Juhany KA, et al. Significance of gyrotactic microorganism and bioconvection analysis for radiative Williamson fluid flow with ferromagnetic nanoparticles. Therm Sci Eng Prog. 2023;39:101732.10.1016/j.tsep.2023.101732Search in Google Scholar

[30] Saraswathy M, Prakash D, Muthtamilselvan M, Al-Mdallal QM. Theoretical study on bio-convection of micropolar fluid with an exploration of Cattaneo–Christov heat flux theory. Int J Mod Phys B. 2023;2450016.10.1142/S0217979224500164Search in Google Scholar

[31] Chu YM, Khan MI, Khan NB, Kadry S, Khan SU, Tlili I, et al. Significance of activation energy, bio-convection and magnetohydrodynamic in flow of third grade fluid (non-Newtonian) towards stretched surface: A Buongiorno model analysis. Int Commun Heat Mass Transf. 2020;118:104893.10.1016/j.icheatmasstransfer.2020.104893Search in Google Scholar

[32] Hussain Z, Alam MM, Pasha AA, Khan WA, Ali M, Khan AI, et al. Gyrotaticmicroorganisms analysis for radiative 3D Carreau nanofluid flow configured by activation energy and viscous dissipation. Therm Sci Eng Prog. 2023;2023(42):101898.10.1016/j.tsep.2023.101898Search in Google Scholar

[33] Yu D, Wang R. An optimal investigation of convective fluid flow suspended by carbon nanotubes and thermal radiation impact. Mathematics. 2022;10(9):1542.10.3390/math10091542Search in Google Scholar

[34] Huang Y, Xiao X, Kang H, Lv J, Zeng R, Shen J. Thermal management of polymer electrolyte membrane fuel cells: A critical review of heat transfer mechanisms, cooling approaches, and advanced cooling techniques analysis. Energy Convers Manag. 2022;254:115221.10.1016/j.enconman.2022.115221Search in Google Scholar

[35] Said Z, Arora S, Farooq S, Sundar LS, Li C, Allouhi A. Recent advances on improved optical, thermal, and radiative characteristics of plasmonic nanofluids: Academic insights and perspectives. Sol Energy Mater Sol Cells. 2022;236:111504.10.1016/j.solmat.2021.111504Search in Google Scholar

[36] Dharmaiah G, Mebarek-Oudina F, Kumar MS, Kala KC. Nuclear reactor application on Jeffrey fluid flow with Falkner-skan factor, Brownian and thermophoresis, non linear thermal radiation impacts past a wedge. J Indian Chem Soc. 2023;100(2):100907.10.1016/j.jics.2023.100907Search in Google Scholar

[37] Suresh Kumar Y, Hussain S, Raghunath K, Ali F, Guedri K, Eldin SM, et al. Numerical analysis of magnetohydrodynamics Casson nanofluid flow with activation energy, Hall current and thermal radiation. Sci Rep. 2023;13(1):4021.10.1038/s41598-023-28379-5Search in Google Scholar PubMed PubMed Central

[38] Pandey AK, Bhattacharyya K, Gautam AK, Rajput S, Mandal MS, Chamkha AJ, et al. Insight into the relationship between non-linear mixed convection and thermal radiation: The case of Newtonian fluid flow due to non-linear stretching. Propuls Power Res. 2023;12(1):153–65.10.1016/j.jppr.2022.11.002Search in Google Scholar

[39] Alrehili M. Improvement for engineering applications through a dissipative Carreau nanofluid fluid flow due to a nonlinearly stretching sheet with thermal radiation. Case Stud Therm Eng. 2023;2023(42):102768.10.1016/j.csite.2023.102768Search in Google Scholar

[40] Sharma BK, Kumar A, Gandhi R, Bhatti MM, Mishra NK. Entropy generation and thermal radiation analysis of EMHD Jeffrey nanofluid flow: Applications in solar energy. Nanomaterials. 2023;13(3):544.10.3390/nano13030544Search in Google Scholar PubMed PubMed Central

[41] Cross MM. Rheology of non-Newtonian fluids: a new flow equation for pseudoplastic systems. J Colloid Sci. 1965;20(5):417–37.10.1016/0095-8522(65)90022-XSearch in Google Scholar

[42] Rehman M, Israr UrHC, Aamir H, Sajid Q, Wasim J, Zehba R, et al. Soret and dufour influences on forced convection of cross radiative nanofluid flowing via a thin movable needle. Sci Rep. 2022;12(1):18666.10.1038/s41598-022-23563-5Search in Google Scholar PubMed PubMed Central

[43] Azam M, Shakoor A, Rasool HF, Khan M. Numerical simulation for solar energy aspects on unsteady convective flow of MHD Cross nanofluid: A revised approach. Int J Heat Mass Transf. 2019;131:495–505.10.1016/j.ijheatmasstransfer.2018.11.022Search in Google Scholar

[44] Yao L, Grishaev A, Cornilescu G, Bax A. The impact of hydrogen bonding on amide 1H chemical shift anisotropy studied by cross-correlated relaxation and liquid crystal NMR spectroscopy. J Am Chem Soc. 2010;132(31):10866–75.10.1021/ja103629eSearch in Google Scholar PubMed PubMed Central

[45] Khan MI, Hayat T, Khan MI, Alsaedi A. Activation energy impact in nonlinear radiative stagnation point flow of Cross nanofluid. Int Commun Heat Mass Transf. 2018;91:216–24.10.1016/j.icheatmasstransfer.2017.11.001Search in Google Scholar

[46] Sharma RP, Mishra SR. Effect of higher order chemical reaction on magnetohydrodynamic micropolar fluid flow with internal heat source. Int J Fluid Mech Res. 2020;47(2).10.1615/InterJFluidMechRes.2019027201Search in Google Scholar

[47] Bidin B, Nazar R. Numerical solution of the boundary layer flow over an exponentially stretching sheet with thermal radiation. Eur J Sci Res. 2009;33:710–7.Search in Google Scholar

[48] Rafique K, Alotaibi H, Ibrar N, Khan I. Stratified flow of micropolar nanofluid over riga plate: Numerical analysis. Energies. 2022;15:316.10.3390/en15010316Search in Google Scholar

Received: 2023-08-13
Revised: 2023-09-28
Accepted: 2023-10-11
Published Online: 2023-11-22

© 2023 the author(s), published by De Gruyter

This work is licensed under the Creative Commons Attribution 4.0 International License.

Articles in the same Issue

  1. Research Articles
  2. Preparation of CdS–Ag2S nanocomposites by ultrasound-assisted UV photolysis treatment and its visible light photocatalysis activity
  3. Significance of nanoparticle radius and inter-particle spacing toward the radiative water-based alumina nanofluid flow over a rotating disk
  4. Aptamer-based detection of serotonin based on the rapid in situ synthesis of colorimetric gold nanoparticles
  5. Investigation of the nucleation and growth behavior of Ti2AlC and Ti3AlC nano-precipitates in TiAl alloys
  6. Dynamic recrystallization behavior and nucleation mechanism of dual-scale SiCp/A356 composites processed by P/M method
  7. High mechanical performance of 3-aminopropyl triethoxy silane/epoxy cured in a sandwich construction of 3D carbon felts foam and woven basalt fibers
  8. Applying solution of spray polyurea elastomer in asphalt binder: Feasibility analysis and DSR study based on the MSCR and LAS tests
  9. Study on the chronic toxicity and carcinogenicity of iron-based bioabsorbable stents
  10. Influence of microalloying with B on the microstructure and properties of brazed joints with Ag–Cu–Zn–Sn filler metal
  11. Thermohydraulic performance of thermal system integrated with twisted turbulator inserts using ternary hybrid nanofluids
  12. Study of mechanical properties of epoxy/graphene and epoxy/halloysite nanocomposites
  13. Effects of CaO addition on the CuW composite containing micro- and nano-sized tungsten particles synthesized via aluminothermic coupling with silicothermic reduction
  14. Cu and Al2O3-based hybrid nanofluid flow through a porous cavity
  15. Design of functional vancomycin-embedded bio-derived extracellular matrix hydrogels for repairing infectious bone defects
  16. Study on nanocrystalline coating prepared by electro-spraying 316L metal wire and its corrosion performance
  17. Axial compression performance of CFST columns reinforced by ultra-high-performance nano-concrete under long-term loading
  18. Tungsten trioxide nanocomposite for conventional soliton and noise-like pulse generation in anomalous dispersion laser cavity
  19. Microstructure and electrical contact behavior of the nano-yttria-modified Cu-Al2O3/30Mo/3SiC composite
  20. Melting rheology in thermally stratified graphene-mineral oil reservoir (third-grade nanofluid) with slip condition
  21. Re-examination of nonlinear vibration and nonlinear bending of porous sandwich cylindrical panels reinforced by graphene platelets
  22. Parametric simulation of hybrid nanofluid flow consisting of cobalt ferrite nanoparticles with second-order slip and variable viscosity over an extending surface
  23. Chitosan-capped silver nanoparticles with potent and selective intrinsic activity against the breast cancer cells
  24. Multi-core/shell SiO2@Al2O3 nanostructures deposited on Ti3AlC2 to enhance high-temperature stability and microwave absorption properties
  25. Solution-processed Bi2S3/BiVO4/TiO2 ternary heterojunction photoanode with enhanced photoelectrochemical performance
  26. Electroporation effect of ZnO nanoarrays under low voltage for water disinfection
  27. NIR-II window absorbing graphene oxide-coated gold nanorods and graphene quantum dot-coupled gold nanorods for photothermal cancer therapy
  28. Nonlinear three-dimensional stability characteristics of geometrically imperfect nanoshells under axial compression and surface residual stress
  29. Investigation of different nanoparticles properties on the thermal conductivity and viscosity of nanofluids by molecular dynamics simulation
  30. Optimized Cu2O-{100} facet for generation of different reactive oxidative species via peroxymonosulfate activation at specific pH values to efficient acetaminophen removal
  31. Brownian and thermal diffusivity impact due to the Maxwell nanofluid (graphene/engine oil) flow with motile microorganisms and Joule heating
  32. Appraising the dielectric properties and the effectiveness of electromagnetic shielding of graphene reinforced silicone rubber nanocomposite
  33. Synthesis of Ag and Cu nanoparticles by plasma discharge in inorganic salt solutions
  34. Low-cost and large-scale preparation of ultrafine TiO2@C hybrids for high-performance degradation of methyl orange and formaldehyde under visible light
  35. Utilization of waste glass with natural pozzolan in the production of self-glazed glass-ceramic materials
  36. Mechanical performance of date palm fiber-reinforced concrete modified with nano-activated carbon
  37. Melting point of dried gold nanoparticles prepared with ultrasonic spray pyrolysis and lyophilisation
  38. Graphene nanofibers: A modern approach towards tailored gypsum composites
  39. Role of localized magnetic field in vortex generation in tri-hybrid nanofluid flow: A numerical approach
  40. Intelligent computing for the double-diffusive peristaltic rheology of magneto couple stress nanomaterials
  41. Bioconvection transport of upper convected Maxwell nanoliquid with gyrotactic microorganism, nonlinear thermal radiation, and chemical reaction
  42. 3D printing of porous Ti6Al4V bone tissue engineering scaffold and surface anodization preparation of nanotubes to enhance its biological property
  43. Bioinspired ferromagnetic CoFe2O4 nanoparticles: Potential pharmaceutical and medical applications
  44. Significance of gyrotactic microorganisms on the MHD tangent hyperbolic nanofluid flow across an elastic slender surface: Numerical analysis
  45. Performance of polycarboxylate superplasticisers in seawater-blended cement: Effect from chemical structure and nano modification
  46. Entropy minimization of GO–Ag/KO cross-hybrid nanofluid over a convectively heated surface
  47. Oxygen plasma assisted room temperature bonding for manufacturing SU-8 polymer micro/nanoscale nozzle
  48. Performance and mechanism of CO2 reduction by DBD-coupled mesoporous SiO2
  49. Polyarylene ether nitrile dielectric films modified by HNTs@PDA hybrids for high-temperature resistant organic electronics field
  50. Exploration of generalized two-phase free convection magnetohydrodynamic flow of dusty tetra-hybrid Casson nanofluid between parallel microplates
  51. Hygrothermal bending analysis of sandwich nanoplates with FG porous core and piezomagnetic faces via nonlocal strain gradient theory
  52. Design and optimization of a TiO2/RGO-supported epoxy multilayer microwave absorber by the modified local best particle swarm optimization algorithm
  53. Mechanical properties and frost resistance of recycled brick aggregate concrete modified by nano-SiO2
  54. Self-template synthesis of hollow flower-like NiCo2O4 nanoparticles as an efficient bifunctional catalyst for oxygen reduction and oxygen evolution in alkaline media
  55. High-performance wearable flexible strain sensors based on an AgNWs/rGO/TPU electrospun nanofiber film for monitoring human activities
  56. High-performance lithium–selenium batteries enabled by nitrogen-doped porous carbon from peanut meal
  57. Investigating effects of Lorentz forces and convective heating on ternary hybrid nanofluid flow over a curved surface using homotopy analysis method
  58. Exploring the potential of biogenic magnesium oxide nanoparticles for cytotoxicity: In vitro and in silico studies on HCT116 and HT29 cells and DPPH radical scavenging
  59. Enhanced visible-light-driven photocatalytic degradation of azo dyes by heteroatom-doped nickel tungstate nanoparticles
  60. A facile method to synthesize nZVI-doped polypyrrole-based carbon nanotube for Ag(i) removal
  61. Improved osseointegration of dental titanium implants by TiO2 nanotube arrays with self-assembled recombinant IGF-1 in type 2 diabetes mellitus rat model
  62. Functionalized SWCNTs@Ag–TiO2 nanocomposites induce ROS-mediated apoptosis and autophagy in liver cancer cells
  63. Triboelectric nanogenerator based on a water droplet spring with a concave spherical surface for harvesting wave energy and detecting pressure
  64. A mathematical approach for modeling the blood flow containing nanoparticles by employing the Buongiorno’s model
  65. Molecular dynamics study on dynamic interlayer friction of graphene and its strain effect
  66. Induction of apoptosis and autophagy via regulation of AKT and JNK mitogen-activated protein kinase pathways in breast cancer cell lines exposed to gold nanoparticles loaded with TNF-α and combined with doxorubicin
  67. Effect of PVA fibers on durability of nano-SiO2-reinforced cement-based composites subjected to wet-thermal and chloride salt-coupled environment
  68. Effect of polyvinyl alcohol fibers on mechanical properties of nano-SiO2-reinforced geopolymer composites under a complex environment
  69. In vitro studies of titanium dioxide nanoparticles modified with glutathione as a potential drug delivery system
  70. Comparative investigations of Ag/H2O nanofluid and Ag-CuO/H2O hybrid nanofluid with Darcy-Forchheimer flow over a curved surface
  71. Study on deformation characteristics of multi-pass continuous drawing of micro copper wire based on crystal plasticity finite element method
  72. Properties of ultra-high-performance self-compacting fiber-reinforced concrete modified with nanomaterials
  73. Prediction of lap shear strength of GNP and TiO2/epoxy nanocomposite adhesives
  74. A novel exploration of how localized magnetic field affects vortex generation of trihybrid nanofluids
  75. Fabrication and physicochemical characterization of copper oxide–pyrrhotite nanocomposites for the cytotoxic effects on HepG2 cells and the mechanism
  76. Thermal radiative flow of cross nanofluid due to a stretched cylinder containing microorganisms
  77. In vitro study of the biphasic calcium phosphate/chitosan hybrid biomaterial scaffold fabricated via solvent casting and evaporation technique for bone regeneration
  78. Insights into the thermal characteristics and dynamics of stagnant blood conveying titanium oxide, alumina, and silver nanoparticles subject to Lorentz force and internal heating over a curved surface
  79. Effects of nano-SiO2 additives on carbon fiber-reinforced fly ash–slag geopolymer composites performance: Workability, mechanical properties, and microstructure
  80. Energy bandgap and thermal characteristics of non-Darcian MHD rotating hybridity nanofluid thin film flow: Nanotechnology application
  81. Green synthesis and characterization of ginger-extract-based oxali-palladium nanoparticles for colorectal cancer: Downregulation of REG4 and apoptosis induction
  82. Abnormal evolution of resistivity and microstructure of annealed Ag nanoparticles/Ag–Mo films
  83. Preparation of water-based dextran-coated Fe3O4 magnetic fluid for magnetic hyperthermia
  84. Statistical investigations and morphological aspects of cross-rheological material suspended in transportation of alumina, silica, titanium, and ethylene glycol via the Galerkin algorithm
  85. Effect of CNT film interleaves on the flexural properties and strength after impact of CFRP composites
  86. Self-assembled nanoscale entities: Preparative process optimization, payload release, and enhanced bioavailability of thymoquinone natural product
  87. Structure–mechanical property relationships of 3D-printed porous polydimethylsiloxane films
  88. Nonlinear thermal radiation and the slip effect on a 3D bioconvection flow of the Casson nanofluid in a rotating frame via a homotopy analysis mechanism
  89. Residual mechanical properties of concrete incorporated with nano supplementary cementitious materials exposed to elevated temperature
  90. Time-independent three-dimensional flow of a water-based hybrid nanofluid past a Riga plate with slips and convective conditions: A homotopic solution
  91. Lightweight and high-strength polyarylene ether nitrile-based composites for efficient electromagnetic interference shielding
  92. Review Articles
  93. Recycling waste sources into nanocomposites of graphene materials: Overview from an energy-focused perspective
  94. Hybrid nanofiller reinforcement in thermoset and biothermoset applications: A review
  95. Current state-of-the-art review of nanotechnology-based therapeutics for viral pandemics: Special attention to COVID-19
  96. Solid lipid nanoparticles for targeted natural and synthetic drugs delivery in high-incidence cancers, and other diseases: Roles of preparation methods, lipid composition, transitional stability, and release profiles in nanocarriers’ development
  97. Critical review on experimental and theoretical studies of elastic properties of wurtzite-structured ZnO nanowires
  98. Polyurea micro-/nano-capsule applications in construction industry: A review
  99. A comprehensive review and clinical guide to molecular and serological diagnostic tests and future development: In vitro diagnostic testing for COVID-19
  100. Recent advances in electrocatalytic oxidation of 5-hydroxymethylfurfural to 2,5-furandicarboxylic acid: Mechanism, catalyst, coupling system
  101. Research progress and prospect of silica-based polymer nanofluids in enhanced oil recovery
  102. Review of the pharmacokinetics of nanodrugs
  103. Engineered nanoflowers, nanotrees, nanostars, nanodendrites, and nanoleaves for biomedical applications
  104. Research progress of biopolymers combined with stem cells in the repair of intrauterine adhesions
  105. Progress in FEM modeling on mechanical and electromechanical properties of carbon nanotube cement-based composites
  106. Antifouling induced by surface wettability of poly(dimethyl siloxane) and its nanocomposites
  107. TiO2 aerogel composite high-efficiency photocatalysts for environmental treatment and hydrogen energy production
  108. Structural properties of alumina surfaces and their roles in the synthesis of environmentally persistent free radicals (EPFRs)
  109. Nanoparticles for the potential treatment of Alzheimer’s disease: A physiopathological approach
  110. Current status of synthesis and consolidation strategies for thermo-resistant nanoalloys and their general applications
  111. Recent research progress on the stimuli-responsive smart membrane: A review
  112. Dispersion of carbon nanotubes in aqueous cementitious materials: A review
  113. Applications of DNA tetrahedron nanostructure in cancer diagnosis and anticancer drugs delivery
  114. Magnetic nanoparticles in 3D-printed scaffolds for biomedical applications
  115. An overview of the synthesis of silicon carbide–boron carbide composite powders
  116. Organolead halide perovskites: Synthetic routes, structural features, and their potential in the development of photovoltaic
  117. Recent advancements in nanotechnology application on wood and bamboo materials: A review
  118. Application of aptamer-functionalized nanomaterials in molecular imaging of tumors
  119. Recent progress on corrosion mechanisms of graphene-reinforced metal matrix composites
  120. Research progress on preparation, modification, and application of phenolic aerogel
  121. Application of nanomaterials in early diagnosis of cancer
  122. Plant mediated-green synthesis of zinc oxide nanoparticles: An insight into biomedical applications
  123. Recent developments in terahertz quantum cascade lasers for practical applications
  124. Recent progress in dielectric/metal/dielectric electrodes for foldable light-emitting devices
  125. Nanocoatings for ballistic applications: A review
  126. A mini-review on MoS2 membrane for water desalination: Recent development and challenges
  127. Recent updates in nanotechnological advances for wound healing: A narrative review
  128. Recent advances in DNA nanomaterials for cancer diagnosis and treatment
  129. Electrochemical micro- and nanobiosensors for in vivo reactive oxygen/nitrogen species measurement in the brain
  130. Advances in organic–inorganic nanocomposites for cancer imaging and therapy
  131. Advancements in aluminum matrix composites reinforced with carbides and graphene: A comprehensive review
  132. Modification effects of nanosilica on asphalt binders: A review
  133. Decellularized extracellular matrix as a promising biomaterial for musculoskeletal tissue regeneration
  134. Review of the sol–gel method in preparing nano TiO2 for advanced oxidation process
  135. Micro/nano manufacturing aircraft surface with anti-icing and deicing performances: An overview
  136. Cell type-targeting nanoparticles in treating central nervous system diseases: Challenges and hopes
  137. An overview of hydrogen production from Al-based materials
  138. A review of application, modification, and prospect of melamine foam
  139. A review of the performance of fibre-reinforced composite laminates with carbon nanotubes
  140. Research on AFM tip-related nanofabrication of two-dimensional materials
  141. Advances in phase change building materials: An overview
  142. Development of graphene and graphene quantum dots toward biomedical engineering applications: A review
  143. Nanoremediation approaches for the mitigation of heavy metal contamination in vegetables: An overview
  144. Photodynamic therapy empowered by nanotechnology for oral and dental science: Progress and perspectives
  145. Biosynthesis of metal nanoparticles: Bioreduction and biomineralization
  146. Current diagnostic and therapeutic approaches for severe acute respiratory syndrome coronavirus-2 (SARS-COV-2) and the role of nanomaterial-based theragnosis in combating the pandemic
  147. Application of two-dimensional black phosphorus material in wound healing
  148. Special Issue on Advanced Nanomaterials and Composites for Energy Conversion and Storage - Part I
  149. Helical fluorinated carbon nanotubes/iron(iii) fluoride hybrid with multilevel transportation channels and rich active sites for lithium/fluorinated carbon primary battery
  150. The progress of cathode materials in aqueous zinc-ion batteries
  151. Special Issue on Advanced Nanomaterials for Carbon Capture, Environment and Utilization for Energy Sustainability - Part I
  152. Effect of polypropylene fiber and nano-silica on the compressive strength and frost resistance of recycled brick aggregate concrete
  153. Mechanochemical design of nanomaterials for catalytic applications with a benign-by-design focus
Downloaded on 27.12.2025 from https://www.degruyterbrill.com/document/doi/10.1515/ntrev-2023-0147/html
Scroll to top button