Home A mathematical approach for modeling the blood flow containing nanoparticles by employing the Buongiorno’s model
Article Open Access

A mathematical approach for modeling the blood flow containing nanoparticles by employing the Buongiorno’s model

  • Shuo Li , Sohail Ahmad EMAIL logo , Kashif Ali , Ahmed M. Hassan , Waleed Hamali and Wasim Jamshed
Published/Copyright: October 28, 2023
Become an author with De Gruyter Brill

Abstract

A mathematical model has been suggested for the numerical study of blood flow in a vessel due to the pumping action of the heart. Blood is assumed to contain some impurities in the form of chemically reactive species (undergoing a first-order irreversible reaction) and, being a hybrid nanofluid, also contains the nano-sized solid particles, thus forming a homogeneous mixture which is subjected to a pressure gradient (of trigonometric nature) in the horizontal direction. Human vessel is subjected to a transverse magnetic field and is presumed to be filled with plaque which is considered as a porous medium, and is mathematically modeled by applying the Darcy–Forchheimer theory. The nonlinear nature of the governing equations steered toward the decision of using the numerical approach to obtain the solution of the governing system, which led to the discovery of a linear concentration variation across the vessel at higher values of the Reynolds number. Finally, a 38% rise in the heat transfer has been noted due to the presence of solid particles in the human blood.

Nomenclature

B 0

magnetic field strength ( kg s 1 A 1 )

D

molecular diffusivity ( m 2 s 1 )

g

acceleration due to gravity ( m s 2 )

k

rate of chemical reaction (s 1 )

k hnf

thermal conductivity ( W m 1 k 1 )

k P

permeability ( m 2 )

Pr

dimensionless Prandtl number

Re

dimensionless Reynolds number

u , v

velocities ( m s 1 )

v hnf

kinematic viscosity ( m 2 s 1 )

σ hnf

electrical conductivity ( S m 1 )

ρ hnf

density ( kg m 3 )

ψ 1

volume fraction of Cu ( mol m 3 )

ξ

stream function ( m 2 s 1 )

α hnf

thermal diffusivity ( m 2 s 1 )

ψ 2

volume fraction of Fe3O4 (mol m 3 )

1 Introduction

The pulsatile flow involves periodic variations and, due to this fact, it has several important uses in the fields of science and biomechanics. A periodic pressure fluctuation is essential for the integrity of the tissues which cause the smooth blood flow. It is comprehensive to interpret the pulsatile flow, so that, the prominent benefits in the biomechanics as well as blood flow may be characterized. Thomas et al. [1] assessed perforator veins by means of arterial pulsations in the lower limbs of heat-stressed and healthy humans. The superficial veins were connected with perforator veins that drained into the deep veins. They noted pulsatility in ten different persons which was normal for blood flow. Ryu et al. [2] used a flexible strain sensor in order to measure the circumferential strain generated by a pulsating fluid flow. This sensor comprised of a Triton-X treatment with polydimethylsiloxane that enhanced the adhesive property of carbon nanotubes nanoparticles. It was noticed from experiment that pulsating fluids’ flow rate could be accurately measured by the flexible strain sensor. Versatile applications of the several fluid flows, that are beneficial in the modern technology, can be studied from the literature [37].

An axisymmetric non-Newtonian pulsatile flow was simulated by Cheffar et al. [8]. They found the numerical solutions by employing the finite difference technique. They investigated the wall shear stress distribution, external acceleration, pressure gradient and structural properties. A mathematical model was established by Praljak et al. [9] to explore the interaction of fluid with elastic kidney tubule provided that pressure was pulsatile. In this study, an idea to prevent the chronic kidney diseases using dynamic pathology is presented. Mittal et al. [10] studied the pulsatile flow using large-eddy simulation and direct numerical simulation. The flow was taken in a one-sided constricted channel. The results revealed that the Reynolds number caused an increase in the characteristic shear-layer frequency. Painter et al. [11] established relations between energy dissipation, shear force and pulsatile blood flow using Murray’s law. According to this law, moving blood encompasses shear force which is constant on the inner vessel walls. However, they derived the results for constant blood flow.

Recently, bio-magnetic fluids have been extensively studied due to their bioengineering and biomedical applications. Examples of bio-magnetic fluids involve: magnetic hyperthermia and medical devices (blood pumps and magnetic tracers), reduction in bleeding during surgeries, magnetic wound treatment, cell separation and targeted drug delivery. The blood comprises of intercellular protein, hemoglobin compound and cell membrane; therefore, it is a prominent example of biomagnetic fluid. An application of magnetohydrodynamic (MHD) effect on blood flow is to reduce the blood flow friction which not only controls the blood pressure but also controls the cholesterol level. A numerical investigation on the MHD pulsatile flow was conducted by Amos and Ogulu [12]. They noticed that the fluid speed decreased with an enhancement in the magnetic field. This phenomenon might increase the work load on heart and give rise to heart attack. However, they suggested to increase flow pressure to circumvent this problem. MHD pulsatile flow in a different shaped channel was scrutinized by Bandyopadhyay and Layek [13]. It was claimed that the axial velocity would flatten with an increase in magnetic field parameter. Eldesoky [14] examined the impact of periodic body acceleration on MHD pulsatile flow by changing the relaxation time. Blood was considered to act as an electrically conducting and incompressible fluid. Their results designated that the relaxation time had a substantial effect on axial velocity and shear stress. Abbas et al. [15] and Ali et al. [16] presented numerical analysis of pulsatile flow under MHD environment using explicit finite difference scheme and explicit Runge–Kutta method, respectively.

The distinct types of nanoparticles have their own thermal characteristics which possess enhanced thermal features. A non-Newtonian flow of nanoparticles, on the horizontal surface, was elaborated by Zeeshan et al. [17] taking the impact of catalytic chemical reaction. Ahmad et al. [18] developed an algorithm to determine the numerical solution of hybrid nanofluids containing graphene oxide and iron oxide particles together with engine oil as base fluid. They used order reduction method to simulate the governing problem. An axisymmetric flow involving the homogeneous/heterogeneous reactions over a cylinder was studied by Pattnaik [19]. The cylinder contained the Darcy–Forchheimer porous medium through which the fluid was flowing. Different types of fluid flows such as Carreau fluid flow, Maxwell fluid and Sutterby nanofluid were investigated by Salahuddin et al. [20,21,22]. Karmakar et al. [23] scrutinized the hybrid nano-blood flow with trihybrid nanoparticles.

An artificial suspension of hybrid nanoparticles in the pulsatile flow can provide assistance to magnetize and stabilize the flow. An electrically conducting blood flow together with nanoparticles can also act as ferromagnetic fluid and, as a consequence, velocity of fluid increases gradually. An utmost attention by the research community has been given to investigate the pulsatile flow comprising of hybrid nanoparticles. The blood-based hydromagnetic pulsatile flow through porous channel involving couple stress hybrid nanofluid was investigated by Rajamani and Reddy [24]. The hybrid nanoparticles copper oxide (CuO) and gold (Au) were suspended in the blood which was the base fluid. The perturbation technique was used to convert the partial differential equations into ordinary differential equations and then shooting method together with RK fourth-order approach was adopted to determine the numerical solution of the problem. The MHD pulsatile flow of hybrid nanoparticles (gold and alumina) was probed by Govindarajulu and Reddy [25]. The blood was assumed to be a third-grade base fluid. An increase in non-Newtonian parameter and Hartmann number caused a reduction in the velocity. Selimefendigil [26] examined water hybrid nanofluid pulsatile flow subject to oscillating rectangular double slot jets whereas Manchi and Ponalagusamy [27] analyzed the pulsatile hybrid nanofluid flow (Ag-TiO2/blood) subject to uniform magnetic field. Pulsatile flow of non-Newtonian Casson fluid in a channel having symmetric walls was considered by Bukhari et al. [28]. The vorticity-stream function form was obtained from governing model equations which was then solved numerically. Further aspects of the pulsatile flow can be studied from previous studies [2934].

To the authors’ best knowledge, no research was found dealing with the modeling of the blood as a hybrid nanofluid under an oscillating pressure gradient. Therefore, a comprehensive analysis of nanofluid flow comprising hybrid nanoparticles under the MHD environment is presented in this study. The blood flow dynamics is interpreted in either case of pure or hybrid nanofluids with the change in emerging parameters. Another objective, in the present work, is to justify how much a Darcy–Forchheimer flow is affected by the applied pressure gradient having oscillatory and static components. The available literature evidently discloses that no study is reported yet to interpret the pulsatile natured nanofluid flow with rheological properties, specifically, under the magnetic field environment. The current learning will, expectantly, fill the gap in this direction. Numerical treatment to the highly coupled and nonlinear equations is carried out via a fully implicit numerical scheme. The potential of the current study can be found in pharmacological engineering (drug delivery systems) and various biomedical systems.

2 Description of mathematical model

An electrically conducting fluid flow is assumed to be occurring inside a parallel plate channel through a porous medium. The applied pressure gradient with oscillatory and static components causes the motion of fluid. The lower channel plate encompasses the injection phenomenon whereas the suction takes place at the upper one. A suitable Cartesian coordinate system is specified on channel plates which are located at y = ± l (Figure 1a). Fluid is flowing between parallel plates of a channel with wall transpiration. The flow is two dimensional as well as incompressible and laminar. Furthermore, the nature of flow is pulsatile. The model equations also involve Joule heating and viscous dissipation.

Figure 1 
               (a) Schematic diagram of the problem. (b) The flowchart diagram of the explicit RK method. (c) Change in the CPU time with the magnetic parameter.
Figure 1

(a) Schematic diagram of the problem. (b) The flowchart diagram of the explicit RK method. (c) Change in the CPU time with the magnetic parameter.

The general form of the governing equations can be composed as follows:

(1) V = 0 ρ ( V / t + V V ) = p + μ ( ² V ) + ρ g + F ρ ( h / t + ( h v ) ) = D p / D t + ( k T ) + ϕ C / t + ( V ) C = D B 2 C .

Now, we discuss the governing model equations under the prescribed conditions.

2.1 Momentum equation

The momentum equation, in the light of Nakamura and Sawada model [35], has the following form:

(2) u τ + v 0 u y = 1 ρ hnf p x + v hnf 2 u y 2 σ hnf B 0 2 u ρ hnf v hnf k P u b u 2 ,

The above equation is interlinked with the Navier–Stokes momentum equation and the Forchheimer law. The last two terms are illustrated by the Forchheimer law. The blood is assumed to be the nanofluid, in the concerned problem, which contains two different types of solid particles.

The terms involved in equation (2) are expressed as follows:

ρ hnf denotes the density of the hybrid nanofluid,

b shows the inertial drag coefficient,

p represents the pressure,

τ signifies the dimensional time,

k P demonstrates the permeability of the porous medium,

u symbolizes the horizontal velocity component,

B 0 defines the magnetic field strength,

v 0 designates the wall transpiration velocity,

v hnf describes the kinematic viscosity of the hybrid nanofluid, and

σ hnf expresses the electrical conductivity of the hybrid nanofluid.

2.2 Energy equation

The governing energy equation of the problem has the following form:

(3) T τ + v 0 T y = α hnf 2 T y 2 + μ hnf ( ρ c p ) hnf u y 2 + σ hnf B 0 2 ( ρ c p ) hnf u 2 ,

where temperature of the fluid is represented by the symbol T and α hnf is the thermal diffusivity of the hybrid nanofluid. The term 2 T y 2 in equation (3) is used for the thermal diffusion whereas the first derivative terms of the same equation represent the thermal convection phenomenon. The involvement of diffusion is due to the temperature difference at both channel walls which occurs because walls are placed at different temperatures. It is assumed initially that wall transpiration effects (suction/injection) are negligible at plates or walls due to which a linear change in the temperature is noticed across the channel. Afterward, the suction/injection effects are imposed and temperature is noticed to be varying non-linearly (see temperature profiles in Section 4).

2.3 Concentration equation

The chemically reactive species are also contained in the blood inside the channel. Obviously, the flow involves the mass transfer due to the presence of species. The concentration is denoted by C having unit mol / m 3 and involves the homogeneous mixture. Because of the species involvement, the flow possesses first order irreversible and homogeneous reaction taking place within the fluid. The fixed concentrations C 1 and C 2 are taken, respectively, at the lower and upper walls. The mass transfer equation with concentration differences at both walls is given by

(4) C τ + v 0 C y = D 2 C y 2 k ( C C m ) ,

where k is the rate constant of chemical reaction that describes how fast the chemical reaction occurs within the channel and D expresses the mass diffusivity. The negative sign with the last term of equation (4) designates the fact that the species are being destroyed by the chemical reaction.

Finally, C m = C 1 + C 2 2 is taken as the reference concentration (used in the mathematical modeling) also known as characteristic concentration.

2.4 Boundary conditions

The proposed boundary conditions in the present case (for t > 0) are as follows:

(5) u = 0 , C = C 1 , T = T 1 at y = l u = 0 , C = C 2 , T = T 2 at y = l ,

where C 1 , T 1 , C 2 and T 2 are the constant concentrations and temperatures at the lower as well as upper channel wall, respectively.

2.5 Non-dimensional coordinates and equations

The non-dimensional coordinates are introduced as follows:

(6) U = u v 0 , ξ = x a , η = y a , t = v 0 a τ , P = p ρ f v 0 2 , θ = T T m T 2 T m , ϕ = C C m C 2 C m ,

which convert the governing equations in the following form:

(7) U t + U η = P ξ + 1 Re Δ 0 2 U η 2 Ha d 3 ( 1 / d 01 ) U 1 λ ( Δ 0 ) U F r U 2 ,

(8) θ t + θ η = 1 R Pr ( d 4 / d 5 ) 2 θ η 2 + Ec R ( 1 ψ 1 ) 2.5 × ( 1 ψ 2 ) 2.5 ( 1 / d 5 ) u η 2 + EcHa ( d 3 / d 5 ) u 2 ,

(9) ϕ t + ϕ η = 1 Sc 2 ϕ η 2 γ R ϕ ,

where

(10) Δ 0 = ( 1 ψ 1 ) 2.5 × ( 1 ψ 2 ) 2.5 ( 1 ψ 2 ) ( 1 ψ 1 + ψ 1 ρ s 1 ρ f ) + ψ 2 ρ s 2 ρ f ,

(11) d 01 = ( 1 ψ 2 ) ( 1 ψ 1 + ψ 1 ρ s 1 ρ f ) + ψ 2 ρ s 2 ρ f ,

(12) d 3 = σ s 2 + 2 σ bf 2 ψ 2 ( σ bf σ s 2 ) σ s 2 + 2 σ bf 2 ψ 2 ( σ bf σ s 2 ) × σ s 1 + 2 σ f 2 ψ 1 ( σ f σ s 1 ) σ s 1 + 2 σ f + 2 ψ 1 ( σ f σ s 1 ) ,

(13) d 4 = k s 2 + 2 k bf 2 ψ 2 ( k bf k s 2 ) k s 2 + 2 k bf + 2 ψ 2 ( k bf k s 2 ) × k s 1 + 2 k f 2 ψ 1 ( k f k s 1 ) k s 1 + 2 k f + 2 ψ 1 ( k f k s 1 ) ,

(14) d 5 = ( 1 ψ 2 ) 1 ψ 1 + ψ 1 ρ s 1 c p s 1 ρ f c p f + ψ 2 ρ s 1 c p s 1 ρ f c p f .

The nanoparticles volume fraction of copper is ψ 1 and that of iron oxide is ψ 2 . The thermo-physical properties of both nanoparticles as well as base fluid are provided in Table 1.

Table 1

Thermophysical attributes of nanoparticles and blood

Properties Cu ( s 1 ) Blood ( f ) Fe3O4 ( s 2 )
σ ( S m 1 ) 5.96 × 10 7 0.8 25,000
k ( W m 1 K 1 ) 401 3,594 6
ρ ( kg m 3 ) 8,933 1,063 5,200
C p ( J kg 1 K 1 ) 385 0.492 670

2.6 Parameters of the problem

The governing non-dimensional parameters of the problem are as follows:

λ = k p v 0 a v f is the Darcy parameter,

Re = a v 0 v f is the Reynolds number,

F r = a b is the Forchheimer quadratic drag parameter,

Sc = a v 0 D is the Schmidt number,

Ha = σ f B 0 a ρ f v 0 is the magnetic parameter,

Pr = v f α f is the Prandtl number,

γ = k a 2 v f is the chemical reaction parameter,

Ec = v 0 2 c p Δ T is the Eckert number.

The pressure gradient P ξ in terms of its frequency ω can be stated as follows:

(15) P ξ = P s + P 0 ( cos ω t ) ,

where the static and the oscillatory components of the pressure gradient are, respectively, represented by P 0 and P s .

The boundary constraints now take the form

(16) η = 1 : U = 0 , θ = φ = 1 , η = 1 : u = 0 , θ = φ = 1 t > 0 .

At the beginning, when the fluid is at rest, the concentration and temperature vary linearly with η (across the channel); however, the initial conditions at this stage take the form

(17) U = 0 , θ = φ = η 1 η 0 1 at t = 0 .

3 Numerical solution and methodology

The appearance of systems (6)–(8) is complex natured which involves highly nonlinear and coupled equations. Nevertheless, the analytic solution of such system is almost impossible. If so, it might be so much time consuming. Therefore, we follow a completely implicit numerical approach which is based on the forward difference approximation for the time derivative, and central differences for spatial derivatives appearing in the governing equations. The discretized form of the governing Eqs. (6)–(8) may thus be written as follows:

(18) u i n + 1 u i n d t + u i + 1 n + 1 u i 1 n + 1 2 h = p ξ n + 1 Δ 0 Re u i + 1 n + 1 2 u i n + 1 + u i 1 n + 1 h 2 Ha d 3 ( 1 d 0 1 ) u i n + 1 Δ 0 λ u i n + 1 F r u i ( n + 1 ) 2 ,

(19) θ i n + 1 θ i n d t + θ i + 1 n + 1 θ i 1 n + 1 2 h = 1 Re Pr d n d J θ i + 1 n + 1 2 θ i n + 1 + θ i 1 n + 1 h 2 ,

(20) ϕ i n + 1 ϕ i n d t + ϕ i + 1 n + 1 ϕ i 1 n + 1 2 h = 1 Sc ϕ i + 1 n + 1 2 ϕ i n + 1 + ϕ i 1 n + 1 h 2 γ Re ϕ i n + 1 .

The numerical scheme configuration is described in Figure 1b.

The code is validated by means of a numerical data comparison (Table 2) which not only appraises the code efficiency but also makes us confident to develop the result effectually. Figure 1c depicts the change in CPU time against different values of the magnetic parameter.

Table 2

Comparison of velocity u ( η ) variation across the channel for a certain limiting case

η u ( η )
Ashraf et al. [36] Present
−0.8 0.447484 0.447595
−0.4 1.014633 1.014744
0 1.212160 1.212271
0.4 1.065582 1.065693
0.8 0.496384 0.496495

4 Results and discussion

With blood as a base fluid containing two different types of nanoparticles, this section is devoted to the primary understanding of the way the relevant parameters tend to influence the momentum, thermal and concentration profiles for the present problem when a periodic force drives the flow in a horizontal channel. With the physical domain being shown in Figure 1a, following values of the governing parameters have been considered throughout the present investigation:

λ = 0.5 , F r = 0.75 , Re = 1 , Pr = 21 , Sc = 2 , γ = 0.5 , p 0 = 5 , p s = 7 , ω = 2 , Ha = 0.5 , ψ 1 = 0.05 and ψ 2 = 0.05 , unless otherwise mentioned.

The numerical outcomes are monitored (for velocity, temperature and concentration) subject to distinct spatial step sizes, at a certain time level. Variation in the velocity profile with time, across the channel, is given in Figure 2a. We notice a sort of repetitive behavior or cycles in the flow field, with ω being the parameter determining the frequency of such cycles. It is easy to note that, compared to the forthcoming cycles, the maximum flow velocity during the first cycle is relatively lower, as the fluid was initially stagnant and the applied force due to the pressure gradient was relatively less effective compared to the case when the flow acquires certain momentum after some time. This is the reason why the initial cycle is not symmetric compared to the forthcoming ones. Contours of velocity field across the channel can be examined from Figure 2b.

Figure 2 
               (a) Variation in the velocity field, with time and (b) contours of velocity field across the channel.
Figure 2

(a) Variation in the velocity field, with time and (b) contours of velocity field across the channel.

Initially the two channel walls have stagnant fluid in between, and consequently two different (fixed) wall temperatures lead to a linear temperature variation. However, as the driving force comes into play, we notice a flattening effect on the thermal distribution in a major part of the channel which means that most of the fluid is at the same temperature as that of the lower channel wall (Figure 3a). This, in turn, leads to higher thermal gradient near the upper wall of the channel, as shown in Figure 3b. From Figure 4a and b, we notice that the concentration surface is somewhat similar to that of thermal distribution. But, contrarily, the gradient near the upper channel wall is not as much dominating.

Figure 3 
               (a) Variation in the temperature field, with time and (b) isotherms across the channel.
Figure 3

(a) Variation in the temperature field, with time and (b) isotherms across the channel.

Figure 4 
               (a) Variation in the concentration field, with time and (b) contours of concentration field across the channel.
Figure 4

(a) Variation in the concentration field, with time and (b) contours of concentration field across the channel.

For presenting an understanding of the influence of the relevant parameters on different aspects of the problem, we study how, at any arbitrary time level (we have considered t = 2 in our work), these parameters affect the different profiles. A rise in the value of the rheological parameter β physically means that the fluid acquires Newtonian character, thus meaning a lowering of the viscosity which in turn translates into the flow acceleration under the same magnitude of the driving force (external pressure gradient), as the parameter β increases. This phenomenon may be observed from Figure 5.

Figure 5 
               Variation in the velocity profile (at t = 2) for different values of the Casson parameter.
Figure 5

Variation in the velocity profile (at t = 2) for different values of the Casson parameter.

It may be noted from Figure 6 that the Darcy parameter λ facilitates the flow velocity. The reason behind this is the weakening of the Darcian force (which acts as a frictional or resistive force) with increasing λ, appearing in the mathematical model, which turns into a greater impact of the pressure gradient on the flow. The term F r u 2 arises in the governing equations due to the application of the Forchheimer law for modeling the porous media in the present geometry. A stronger role of this term would translate into an increased resistance to the flow, which ultimately slows down the flow across the channel (Figure 7). In order to interpret the role of the Reynolds number (Re) for the flow across the physical domain, we refer to Figure 8 which clearly indicates an addition in the flow velocity. We notice a tilt in the velocity profiles toward the upper wall. An increase in the Reynolds number translates into a rise in the suction velocity, subject to the condition that the fluid properties remain invariant. This increased suction is responsible for the tilt in the velocity profile.

Figure 6 
               Variation in the velocity profile (at t = 2) for different values of the Darcy parameter.
Figure 6

Variation in the velocity profile (at t = 2) for different values of the Darcy parameter.

Figure 7 
               Variation in the velocity profile (at t = 2) for different values of the Forchheimer parameter.
Figure 7

Variation in the velocity profile (at t = 2) for different values of the Forchheimer parameter.

Figure 8 
               Variation in the velocity profile (at t = 2) for different values of the Reynolds number.
Figure 8

Variation in the velocity profile (at t = 2) for different values of the Reynolds number.

A closer look at Figure 9 shows that, once the flow starts, there is a smaller region near the upper wall where the temperature distribution exhibits higher gradient, thus eliminating the initial linear thermal distribution across the channel. Figures 10 and 11 show a notable decrease in the concentration profiles, with both the parameters Re and Sc. On the contrary, the chemical reaction parameter has raised the profiles, as may be seen from Figure 12. With the concentration of both type of nanoparticles, a rise in the thermal distribution is seen (Figures 13 and 14), as expected.

Figure 9 
               Variation in the temperature distribution (at t = 2) for different values of the Reynolds number.
Figure 9

Variation in the temperature distribution (at t = 2) for different values of the Reynolds number.

Figure 10 
               Variation in the concentration distribution (at t = 2) for different values of the Reynolds number.
Figure 10

Variation in the concentration distribution (at t = 2) for different values of the Reynolds number.

Figure 11 
               Variation in the concentration distribution (at t = 2) for different values of the Schmidt number.
Figure 11

Variation in the concentration distribution (at t = 2) for different values of the Schmidt number.

Figure 12 
               Variation in the concentration distribution (at t = 2) for different values of the chemical reaction parameter.
Figure 12

Variation in the concentration distribution (at t = 2) for different values of the chemical reaction parameter.

Figure 13 
               Variation in the temperature distribution (at t = 2) for different values of the Cu nanoparticles volume concentration.
Figure 13

Variation in the temperature distribution (at t = 2) for different values of the Cu nanoparticles volume concentration.

Figure 14 
               Variation in the temperature distribution (at t = 2) for different values of the Fe3O4 nanoparticles volume concentration.
Figure 14

Variation in the temperature distribution (at t = 2) for different values of the Fe3O4 nanoparticles volume concentration.

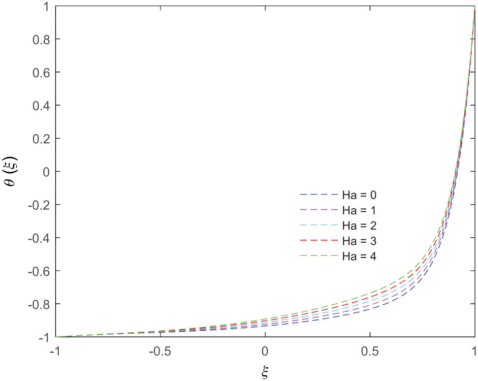
The consequences of Figures 15 and 16 evidently portray that the effect of both parameters (Hartmann number as well as Eckert number) is to upsurge the temperature in the flow regime. It is to point out that the pressure gradient (which is the only deriving force for the flow, in the present problem) possesses both the steady and oscillatory components (denoted by p s and p 0 , respectively). It is obvious that the steady component contributes to the flow velocity whereas the role of the oscillatory component is dependent on the nature of the term cos(ωt). When the term is negative, it reduces the external force acting on the system, and thus slows down the flow. However, in the other case, it simply accelerates the flow. No figure has been drawn for the purpose, as the phenomenon may be well understood from the physics of the problem.

Figure 15 
               Variation in the temperature distribution (at t = 2) for different values of the Hartmann number.
Figure 15

Variation in the temperature distribution (at t = 2) for different values of the Hartmann number.

Figure 16 
               Variation in the temperature distribution (at t = 2) for different values of the Eckert number.
Figure 16

Variation in the temperature distribution (at t = 2) for different values of the Eckert number.

It has come to notice that shear stress got reduced at both channel walls with the positive change in the values of magnetic field parameter. On the other side, heat transfer rate significantly enhances with the effect of solid nanoparticles volume fraction ϕ 1 (Tables 3 and 4).

Table 3

Change in shear stress and heat transfer rate with M and ϕ 1 at upper wall

M λ = 1 λ = 2 λ = 3 λ = 4 ϕ 1 ϕ 2 = 0 ϕ 2 = 0.05 ϕ 2 = 0.10 ϕ 2 = 0.20
Shear stress at the upper wall Heat transfer rate at the upper wall
0 1.2942 1.4326 1.4877 1.5172 0.0 4.1304 4.1813 4.2424 4.4028
1 1.1503 1.2496 1.2880 1.3084 0.05 4.1984 4.2636 4.3408 4.5388
2 1.0422 1.1173 1.1457 1.1606 0.10 4.2833 4.3646 4.4594 4.6973
3 0.9576 1.0167 1.0387 1.0501 0.15 4.3891 4.4881 4.6018 4.8811
4 0.8893 0.9372 0.9548 0.9639 0.20 4.5206 4.6385 4.7722 5.0936
Table 4

Change in shear stress and heat transfer rate with M and ϕ 1 at lower wall

M λ = 1 λ = 2 λ = 3 λ = 4 ϕ 1 ϕ 2 = 0 ϕ 2 = 0.05 ϕ 2 = 0.10 ϕ 2 = 0.20
Shear stress at the lower wall Heat transfer rate at the lower wall
0 0.9251 1.0038 1.0349 1.0515 0.0 0.0800 0.1194 0.1720 0.3267
1 0.8418 0.8994 0.9215 0.9331 0.05 0.1317 0.1883 0.2607 0.4611
2 0.7781 0.8225 0.8391 0.8479 0.10 0.2054 0.2820 0.3762 0.6238
3 0.7272 0.7628 0.7760 0.7828 0.15 0.3060 0.4045 0.5215 0.8163
4 0.6853 0.7147 0.7255 0.7310 0.20 0.4385 0.5598 0.6999 1.0406

5 Conclusion

In the present work, the features of fluid flow subject to Dracy Forchheimer medium under the combined effects of MDH and pressure gradients are investigated. The interaction of various preeminent parameters with the rheological properties is noticed and prescribed for velocity and temperature distributions through the boundary layer regions. An explicit RK method is utilized for the numerical simulations. Significant outcomes of the current study are enlisted as follows:

  • The maximum flow velocity during the first cycle is relatively lower, due to the pressure gradient, as compared to the case when the flow acquires certain momentum after some time.

  • The greater impact of the pressure gradient on the flow is noticed, and the Darcy parameter λ facilitates the flow velocity.

  • An increased resistance in the flow is due to the Darcian drag force which ultimately slows down the flow across the channel.

  • It is obvious, from the consequences, that the steady component of the pressure gradient contributes to the flow velocity whereas the role of the oscillatory component is dependent on the nature of the term cos(ωt).

  • An increase in the Reynolds number translates into a rise in the suction velocity which is responsible for the tilt in the velocity profile.

  • A significant decrease in the concentration profiles is noticed for both the parameters Re and Sc.

  1. Funding information: This work is supported by the Natural Science Foundation of Xinjiang, China (2021D01C003).

  2. Author contributions: All authors have accepted responsibility for the entire content of this manuscript and approved its submission.

  3. Conflict of interest: The authors state no conflict of interest.

References

[1] Thomas KN, Gibbons TD, Campbell HA, Cotter JD, Aan Rij AM. Pulsatile flow in venous perforators of the lower limb. Am J Physiol, Reg Integr Comp Physiol. 2022;323(1):R59–67. 10.1152/ajpregu.00013.2022.Search in Google Scholar PubMed

[2] Ryu C, Park J, Jung SI, Jang IR, Kim HJ. Measurement of pulsating flow using a self-attachable flexible strain sensor based on adhesive PDMS and CNT. Chemosensors. 2022;10:187. 10.3390/chemosensors10050187.Search in Google Scholar

[3] Siddique JI, Ahmed A, Aziz A, Khalique CM. A Review of mixture theory for deformable porous media and applications. Appl Sci. 2017;7:917. 10.3390/app7090917.Search in Google Scholar

[4] Shamshuddin MD, Mishra SR, Anwar Beg O, Kadir A. Adomian decomposition method simulation of von Kármán swrling bioconvection nanofluid flow. J Cent South Univ. 2019;26:2797–813.10.1007/s11771-019-4214-4Search in Google Scholar

[5] Ali K, Ahmad S, Tayebi T, Ashraf M, Jamshed W, Abd-Elmonem A, et al. Thermal attributes of hybrid (MWCNT-NiZnFe2O4) nanofluid flow having motile microbes and activation energy: A computational approach. Case Stud Therm Eng. 2023;47:103088. 10.1016/j.csite.2023.103088.Search in Google Scholar

[6] Ahmad G, Abd-Elkader, Allam DF, Tag El Din ESM. Islanding detection method for DFIG wind turbines using artificial neural networks. Int J Electr Power Energy Syst. 2014;62:335–43. 10.1016/j.ijepes.2014.04.052.Search in Google Scholar

[7] Afzal K, Aziz A. Transport and heat transfer of time dependent MHD slip flow of nanofluids in solar collectors with variable thermal conductivity and thermal radiation. Res Phys. 2016;6:746–53. 10.1016/j.rinp.2016.09.017.Search in Google Scholar

[8] Cheffar L, Benslimane A, Sadaoui D, Benchabane A, Bekkour K. Pulsatile flow of thixotropic blood in artery under external body acceleration. Comput Meth Biomech Biomed Eng. 2023;26:927–40. 10.1080/10255842.2022.2098677.Search in Google Scholar PubMed

[9] Praljak N, Ryan SD, Resnick A. Pulsatile flow through idealized renal tubules: Fluid-structure interaction and dynamic pathologies. Math Biosci Eng. 2020;17(2):1787–807. 10.3934/mbe.2020094.Search in Google Scholar PubMed PubMed Central

[10] Mittal R, Simmons S, Najjar F. Numerical study of pulsatile flow in a constricted channel. J Fluid Mech. 2003;485:337–78. 10.1017/S002211200300449X.Search in Google Scholar

[11] Painter PR, Edén P, Bengtsson HU. Pulsatile blood flow, shear force, energy dissipation and Murray’s Law. Theor Biol Med Model. 2006;3:31. 10.1186/1742-4682-3-31.Search in Google Scholar PubMed PubMed Central

[12] Amos E, Ogulu A. Modeling pulsatile blood flow within a homogeneous porous bed in the presence of a uniform magnetic field. Int Commun Heat Mass Transf. 2002;34:989–95.10.1016/j.icheatmasstransfer.2007.05.012Search in Google Scholar

[13] Bandyopadhyay S, Layek GC. Study of magnetohydrodynamic pulsatile flow in a constricted channel. Commun Nonlinear Sci Numer Simul. 2012;17(6):2434–46.10.1016/j.cnsns.2011.09.040Search in Google Scholar

[14] Eldesoky IM. Effect of relaxation time on MHD pulsatile flow of blood through porous medium in an artery under the effect of periodic body acceleration. J Biol Syst. 2013;21(2):1350011.10.1142/S0218339013500113Search in Google Scholar

[15] Abbas Z, Shabbir MS, Ali N. Numerical study of magnetohydrodynamic pulsatile flow of Sutterby fluid through an inclined overlapping arterial stenosis in the presence of periodic body acceleration. Res Phys. 2018;9:753–62.10.1016/j.rinp.2018.03.020Search in Google Scholar

[16] Ali K, Ahmad S, Ashraf M. Numerical simulation of MHD pulsatile flow of a biofluid in a channel. AIP Adv. 2015;5:087130. 10.1063/1.4928574.Search in Google Scholar

[17] Zeeshan A, Awais M, Alzahrani F, Shehzad N. Energy analysis of non-Newtonian nanofluid flow over parabola of revolution on the horizontal surface with catalytic chemical reaction. Heat Transf. 2021;50(6):6189–6209.10.1002/htj.22168Search in Google Scholar

[18] Ahmad S, Ali K, Ashraf M, Khalifa HAE, ElSeabee FAZ, Tag El Din ESM. Analysis of pure nanofluid (GO/engine oil) and hybrid nanofluid (GO–Fe3O4/engine oil): Novel thermal and magnetic features. Nanotechnol Rev. 2022;11:2903–15.10.1515/ntrev-2022-0486Search in Google Scholar

[19] Pattnaik PK, Mishra SR, Anwar Bég O, Khan UF, Umavathi JC. Axisymmetric radiative titanium dioxide magnetic nanofluid flow on a stretching cylinder with homogeneous/heterogeneous reactions in Darcy-Forchheimer porous media: Intelligent nanocoating simulation. Mater Sci Eng B. 2022;277:115589.10.1016/j.mseb.2021.115589Search in Google Scholar

[20] Salahuddin T, Awais M, Xia F. Variable thermo-physical characteristics of Carreau fluid flow by means of stretchable paraboloid surface with activation energy and heat generation. Case Stud Therm Eng. 2021;25:100971. 10.1016/j.csite.2021.100971.Search in Google Scholar

[21] Salahuddin T, Mahmood Z, Khan M, Awais M. A permeable squeezed flow analysis of Maxwell fluid near a sensor surface with radiation and chemical reaction. Chem Phys. 2022;562:111627.10.1016/j.chemphys.2022.111627Search in Google Scholar

[22] Salahuddin T, Ali Z, Awais M, Khan M, Altanji M. A flow behavior of Sutterby nanofluid near the catalytic parabolic surface. Int Commun Heat Mass Transf. 2022;131:105821. 10.1016/j.icheatmasstransfer.2021.105821.Search in Google Scholar

[23] Karmakar P, Ali A, Das S. Circulation of blood loaded with trihybrid nanoparticles via electro-osmotic pumping in an eccentric endoscopic arterial canal. Int Commun Heat Mass Transf. 2023;141:106593.10.1016/j.icheatmasstransfer.2022.106593Search in Google Scholar

[24] Rajamani S, Reddy AS. Effects of Joule heating, thermal radiation on MHD pulsating flow of a couple stress hybrid nanofluid in a permeable channel. Nonlinear Analysis: Model Control. 2022;27(4):684–99. 10.15388/namc.2022.27.26741.Search in Google Scholar

[25] Govindarajulu K, Reddy AS. Magnetohydrodynamic pulsatile flow of third grade hybrid nanofluid in a porous channel with Ohmic heating and thermal radiation effects. Phys Fluids. 2022;34:013105. 10.1063/5.0074894.Search in Google Scholar

[26] Selimefendigil F. Pulsating hybrid nanofluids double slot jets impingement onto an isothermal wall. 2018;49(2):173–88. 10.1615/HeatTransRes.2017015650.Search in Google Scholar

[27] Manchi R, Ponalagusamy R. Pulsatile flow of EMHD micropolar hybrid nanofluid in a porous bifurcated artery with an overlapping stenosis in the presence of body acceleration and Joule heating. Braz J Phys. 2022;52:52.10.1007/s13538-022-01061-3Search in Google Scholar

[28] Bukhari Z, Ali A, Abbas Z, Farooq H. The pulsatile flow of thermally developed non-Newtonian Casson fluid in a channel with constricted walls. AIP Adv. 2021;11:025324. 10.1063/5.0036738.Search in Google Scholar

[29] Jamshed W, Aziz A. A comparative entropy based analysis of Cu and Fe3O4/methanol Powell-Eyring nanofluid in solar thermal collectors subjected to thermal radiation, variable thermal conductivity and impact of different nanoparticles shape. Results Phys. 2018;9:195–205. 10.1016/j.rinp.2018.01.063.Search in Google Scholar

[30] Pattnaik PK, Pattnaik JR, Mishra SR, Nisar KS. Variation of the shape of Fe3O4-nanoparticles on the heat transfer phenomenon with the inclusion of thermal radiation. J Therm Anal Calorim. 2022;147:2537–48. 10.1007/s10973-021-10605-9.Search in Google Scholar

[31] Karmakar P, Das S. Electro-blood circulation fusing gold and alumina nanoparticles in a diverging fatty artery. BioNanoSci. 2023;13:541–63.10.1007/s12668-023-01098-xSearch in Google Scholar

[32] Ali A, Barman A, Das S. EDL aspect in cilia-regulated bloodstream infused with hybridized nanoparticles via a microtube under a strong field of magnetic attraction. Therm Sci Eng Prog. 2022;36:101510. 10.1016/j.tsep.2022.101510.Search in Google Scholar

[33] Ali K, Ahmad S, Ahmad S, Jamshed W, Hussain SM, Tag El Din ESM. Molecular interaction and magnetic dipole effects on fully developed nanofluid flowing via a vertical duct applying finite volume methodology. Symmetry. 2022;14:2007. 10.3390/sym14102007.Search in Google Scholar

[34] Taha A, Aziz A, Khalique CM. Exact solutions for stokes’ flow of a non-Newtonian nanofluid model: A Lie similarity approach. Z für Naturforschung A. 2016;71(7):621–30. 10.1515/zna-2016-0031.Search in Google Scholar

[35] Nakamura M, Sawada T. Numerical study on the flow of a non-Newtonian fluid through an axisymmetric stenosis. J Biomech Eng. 1988 May;110(2):137–43. 10.1115/1.3108418PMID: 3379935.Search in Google Scholar PubMed

[36] Ashraf M, Ali K, Ashraf MM. Numerical simulation of micropolar flow in a channel under oscillatory pressure gradient. Iran J Chem Chem Eng. 2020;39:263–72.Search in Google Scholar

Received: 2023-05-23
Revised: 2023-09-22
Accepted: 2023-09-25
Published Online: 2023-10-28

© 2023 the author(s), published by De Gruyter

This work is licensed under the Creative Commons Attribution 4.0 International License.

Articles in the same Issue

  1. Research Articles
  2. Preparation of CdS–Ag2S nanocomposites by ultrasound-assisted UV photolysis treatment and its visible light photocatalysis activity
  3. Significance of nanoparticle radius and inter-particle spacing toward the radiative water-based alumina nanofluid flow over a rotating disk
  4. Aptamer-based detection of serotonin based on the rapid in situ synthesis of colorimetric gold nanoparticles
  5. Investigation of the nucleation and growth behavior of Ti2AlC and Ti3AlC nano-precipitates in TiAl alloys
  6. Dynamic recrystallization behavior and nucleation mechanism of dual-scale SiCp/A356 composites processed by P/M method
  7. High mechanical performance of 3-aminopropyl triethoxy silane/epoxy cured in a sandwich construction of 3D carbon felts foam and woven basalt fibers
  8. Applying solution of spray polyurea elastomer in asphalt binder: Feasibility analysis and DSR study based on the MSCR and LAS tests
  9. Study on the chronic toxicity and carcinogenicity of iron-based bioabsorbable stents
  10. Influence of microalloying with B on the microstructure and properties of brazed joints with Ag–Cu–Zn–Sn filler metal
  11. Thermohydraulic performance of thermal system integrated with twisted turbulator inserts using ternary hybrid nanofluids
  12. Study of mechanical properties of epoxy/graphene and epoxy/halloysite nanocomposites
  13. Effects of CaO addition on the CuW composite containing micro- and nano-sized tungsten particles synthesized via aluminothermic coupling with silicothermic reduction
  14. Cu and Al2O3-based hybrid nanofluid flow through a porous cavity
  15. Design of functional vancomycin-embedded bio-derived extracellular matrix hydrogels for repairing infectious bone defects
  16. Study on nanocrystalline coating prepared by electro-spraying 316L metal wire and its corrosion performance
  17. Axial compression performance of CFST columns reinforced by ultra-high-performance nano-concrete under long-term loading
  18. Tungsten trioxide nanocomposite for conventional soliton and noise-like pulse generation in anomalous dispersion laser cavity
  19. Microstructure and electrical contact behavior of the nano-yttria-modified Cu-Al2O3/30Mo/3SiC composite
  20. Melting rheology in thermally stratified graphene-mineral oil reservoir (third-grade nanofluid) with slip condition
  21. Re-examination of nonlinear vibration and nonlinear bending of porous sandwich cylindrical panels reinforced by graphene platelets
  22. Parametric simulation of hybrid nanofluid flow consisting of cobalt ferrite nanoparticles with second-order slip and variable viscosity over an extending surface
  23. Chitosan-capped silver nanoparticles with potent and selective intrinsic activity against the breast cancer cells
  24. Multi-core/shell SiO2@Al2O3 nanostructures deposited on Ti3AlC2 to enhance high-temperature stability and microwave absorption properties
  25. Solution-processed Bi2S3/BiVO4/TiO2 ternary heterojunction photoanode with enhanced photoelectrochemical performance
  26. Electroporation effect of ZnO nanoarrays under low voltage for water disinfection
  27. NIR-II window absorbing graphene oxide-coated gold nanorods and graphene quantum dot-coupled gold nanorods for photothermal cancer therapy
  28. Nonlinear three-dimensional stability characteristics of geometrically imperfect nanoshells under axial compression and surface residual stress
  29. Investigation of different nanoparticles properties on the thermal conductivity and viscosity of nanofluids by molecular dynamics simulation
  30. Optimized Cu2O-{100} facet for generation of different reactive oxidative species via peroxymonosulfate activation at specific pH values to efficient acetaminophen removal
  31. Brownian and thermal diffusivity impact due to the Maxwell nanofluid (graphene/engine oil) flow with motile microorganisms and Joule heating
  32. Appraising the dielectric properties and the effectiveness of electromagnetic shielding of graphene reinforced silicone rubber nanocomposite
  33. Synthesis of Ag and Cu nanoparticles by plasma discharge in inorganic salt solutions
  34. Low-cost and large-scale preparation of ultrafine TiO2@C hybrids for high-performance degradation of methyl orange and formaldehyde under visible light
  35. Utilization of waste glass with natural pozzolan in the production of self-glazed glass-ceramic materials
  36. Mechanical performance of date palm fiber-reinforced concrete modified with nano-activated carbon
  37. Melting point of dried gold nanoparticles prepared with ultrasonic spray pyrolysis and lyophilisation
  38. Graphene nanofibers: A modern approach towards tailored gypsum composites
  39. Role of localized magnetic field in vortex generation in tri-hybrid nanofluid flow: A numerical approach
  40. Intelligent computing for the double-diffusive peristaltic rheology of magneto couple stress nanomaterials
  41. Bioconvection transport of upper convected Maxwell nanoliquid with gyrotactic microorganism, nonlinear thermal radiation, and chemical reaction
  42. 3D printing of porous Ti6Al4V bone tissue engineering scaffold and surface anodization preparation of nanotubes to enhance its biological property
  43. Bioinspired ferromagnetic CoFe2O4 nanoparticles: Potential pharmaceutical and medical applications
  44. Significance of gyrotactic microorganisms on the MHD tangent hyperbolic nanofluid flow across an elastic slender surface: Numerical analysis
  45. Performance of polycarboxylate superplasticisers in seawater-blended cement: Effect from chemical structure and nano modification
  46. Entropy minimization of GO–Ag/KO cross-hybrid nanofluid over a convectively heated surface
  47. Oxygen plasma assisted room temperature bonding for manufacturing SU-8 polymer micro/nanoscale nozzle
  48. Performance and mechanism of CO2 reduction by DBD-coupled mesoporous SiO2
  49. Polyarylene ether nitrile dielectric films modified by HNTs@PDA hybrids for high-temperature resistant organic electronics field
  50. Exploration of generalized two-phase free convection magnetohydrodynamic flow of dusty tetra-hybrid Casson nanofluid between parallel microplates
  51. Hygrothermal bending analysis of sandwich nanoplates with FG porous core and piezomagnetic faces via nonlocal strain gradient theory
  52. Design and optimization of a TiO2/RGO-supported epoxy multilayer microwave absorber by the modified local best particle swarm optimization algorithm
  53. Mechanical properties and frost resistance of recycled brick aggregate concrete modified by nano-SiO2
  54. Self-template synthesis of hollow flower-like NiCo2O4 nanoparticles as an efficient bifunctional catalyst for oxygen reduction and oxygen evolution in alkaline media
  55. High-performance wearable flexible strain sensors based on an AgNWs/rGO/TPU electrospun nanofiber film for monitoring human activities
  56. High-performance lithium–selenium batteries enabled by nitrogen-doped porous carbon from peanut meal
  57. Investigating effects of Lorentz forces and convective heating on ternary hybrid nanofluid flow over a curved surface using homotopy analysis method
  58. Exploring the potential of biogenic magnesium oxide nanoparticles for cytotoxicity: In vitro and in silico studies on HCT116 and HT29 cells and DPPH radical scavenging
  59. Enhanced visible-light-driven photocatalytic degradation of azo dyes by heteroatom-doped nickel tungstate nanoparticles
  60. A facile method to synthesize nZVI-doped polypyrrole-based carbon nanotube for Ag(i) removal
  61. Improved osseointegration of dental titanium implants by TiO2 nanotube arrays with self-assembled recombinant IGF-1 in type 2 diabetes mellitus rat model
  62. Functionalized SWCNTs@Ag–TiO2 nanocomposites induce ROS-mediated apoptosis and autophagy in liver cancer cells
  63. Triboelectric nanogenerator based on a water droplet spring with a concave spherical surface for harvesting wave energy and detecting pressure
  64. A mathematical approach for modeling the blood flow containing nanoparticles by employing the Buongiorno’s model
  65. Molecular dynamics study on dynamic interlayer friction of graphene and its strain effect
  66. Induction of apoptosis and autophagy via regulation of AKT and JNK mitogen-activated protein kinase pathways in breast cancer cell lines exposed to gold nanoparticles loaded with TNF-α and combined with doxorubicin
  67. Effect of PVA fibers on durability of nano-SiO2-reinforced cement-based composites subjected to wet-thermal and chloride salt-coupled environment
  68. Effect of polyvinyl alcohol fibers on mechanical properties of nano-SiO2-reinforced geopolymer composites under a complex environment
  69. In vitro studies of titanium dioxide nanoparticles modified with glutathione as a potential drug delivery system
  70. Comparative investigations of Ag/H2O nanofluid and Ag-CuO/H2O hybrid nanofluid with Darcy-Forchheimer flow over a curved surface
  71. Study on deformation characteristics of multi-pass continuous drawing of micro copper wire based on crystal plasticity finite element method
  72. Properties of ultra-high-performance self-compacting fiber-reinforced concrete modified with nanomaterials
  73. Prediction of lap shear strength of GNP and TiO2/epoxy nanocomposite adhesives
  74. A novel exploration of how localized magnetic field affects vortex generation of trihybrid nanofluids
  75. Fabrication and physicochemical characterization of copper oxide–pyrrhotite nanocomposites for the cytotoxic effects on HepG2 cells and the mechanism
  76. Thermal radiative flow of cross nanofluid due to a stretched cylinder containing microorganisms
  77. In vitro study of the biphasic calcium phosphate/chitosan hybrid biomaterial scaffold fabricated via solvent casting and evaporation technique for bone regeneration
  78. Insights into the thermal characteristics and dynamics of stagnant blood conveying titanium oxide, alumina, and silver nanoparticles subject to Lorentz force and internal heating over a curved surface
  79. Effects of nano-SiO2 additives on carbon fiber-reinforced fly ash–slag geopolymer composites performance: Workability, mechanical properties, and microstructure
  80. Energy bandgap and thermal characteristics of non-Darcian MHD rotating hybridity nanofluid thin film flow: Nanotechnology application
  81. Green synthesis and characterization of ginger-extract-based oxali-palladium nanoparticles for colorectal cancer: Downregulation of REG4 and apoptosis induction
  82. Abnormal evolution of resistivity and microstructure of annealed Ag nanoparticles/Ag–Mo films
  83. Preparation of water-based dextran-coated Fe3O4 magnetic fluid for magnetic hyperthermia
  84. Statistical investigations and morphological aspects of cross-rheological material suspended in transportation of alumina, silica, titanium, and ethylene glycol via the Galerkin algorithm
  85. Effect of CNT film interleaves on the flexural properties and strength after impact of CFRP composites
  86. Self-assembled nanoscale entities: Preparative process optimization, payload release, and enhanced bioavailability of thymoquinone natural product
  87. Structure–mechanical property relationships of 3D-printed porous polydimethylsiloxane films
  88. Nonlinear thermal radiation and the slip effect on a 3D bioconvection flow of the Casson nanofluid in a rotating frame via a homotopy analysis mechanism
  89. Residual mechanical properties of concrete incorporated with nano supplementary cementitious materials exposed to elevated temperature
  90. Time-independent three-dimensional flow of a water-based hybrid nanofluid past a Riga plate with slips and convective conditions: A homotopic solution
  91. Lightweight and high-strength polyarylene ether nitrile-based composites for efficient electromagnetic interference shielding
  92. Review Articles
  93. Recycling waste sources into nanocomposites of graphene materials: Overview from an energy-focused perspective
  94. Hybrid nanofiller reinforcement in thermoset and biothermoset applications: A review
  95. Current state-of-the-art review of nanotechnology-based therapeutics for viral pandemics: Special attention to COVID-19
  96. Solid lipid nanoparticles for targeted natural and synthetic drugs delivery in high-incidence cancers, and other diseases: Roles of preparation methods, lipid composition, transitional stability, and release profiles in nanocarriers’ development
  97. Critical review on experimental and theoretical studies of elastic properties of wurtzite-structured ZnO nanowires
  98. Polyurea micro-/nano-capsule applications in construction industry: A review
  99. A comprehensive review and clinical guide to molecular and serological diagnostic tests and future development: In vitro diagnostic testing for COVID-19
  100. Recent advances in electrocatalytic oxidation of 5-hydroxymethylfurfural to 2,5-furandicarboxylic acid: Mechanism, catalyst, coupling system
  101. Research progress and prospect of silica-based polymer nanofluids in enhanced oil recovery
  102. Review of the pharmacokinetics of nanodrugs
  103. Engineered nanoflowers, nanotrees, nanostars, nanodendrites, and nanoleaves for biomedical applications
  104. Research progress of biopolymers combined with stem cells in the repair of intrauterine adhesions
  105. Progress in FEM modeling on mechanical and electromechanical properties of carbon nanotube cement-based composites
  106. Antifouling induced by surface wettability of poly(dimethyl siloxane) and its nanocomposites
  107. TiO2 aerogel composite high-efficiency photocatalysts for environmental treatment and hydrogen energy production
  108. Structural properties of alumina surfaces and their roles in the synthesis of environmentally persistent free radicals (EPFRs)
  109. Nanoparticles for the potential treatment of Alzheimer’s disease: A physiopathological approach
  110. Current status of synthesis and consolidation strategies for thermo-resistant nanoalloys and their general applications
  111. Recent research progress on the stimuli-responsive smart membrane: A review
  112. Dispersion of carbon nanotubes in aqueous cementitious materials: A review
  113. Applications of DNA tetrahedron nanostructure in cancer diagnosis and anticancer drugs delivery
  114. Magnetic nanoparticles in 3D-printed scaffolds for biomedical applications
  115. An overview of the synthesis of silicon carbide–boron carbide composite powders
  116. Organolead halide perovskites: Synthetic routes, structural features, and their potential in the development of photovoltaic
  117. Recent advancements in nanotechnology application on wood and bamboo materials: A review
  118. Application of aptamer-functionalized nanomaterials in molecular imaging of tumors
  119. Recent progress on corrosion mechanisms of graphene-reinforced metal matrix composites
  120. Research progress on preparation, modification, and application of phenolic aerogel
  121. Application of nanomaterials in early diagnosis of cancer
  122. Plant mediated-green synthesis of zinc oxide nanoparticles: An insight into biomedical applications
  123. Recent developments in terahertz quantum cascade lasers for practical applications
  124. Recent progress in dielectric/metal/dielectric electrodes for foldable light-emitting devices
  125. Nanocoatings for ballistic applications: A review
  126. A mini-review on MoS2 membrane for water desalination: Recent development and challenges
  127. Recent updates in nanotechnological advances for wound healing: A narrative review
  128. Recent advances in DNA nanomaterials for cancer diagnosis and treatment
  129. Electrochemical micro- and nanobiosensors for in vivo reactive oxygen/nitrogen species measurement in the brain
  130. Advances in organic–inorganic nanocomposites for cancer imaging and therapy
  131. Advancements in aluminum matrix composites reinforced with carbides and graphene: A comprehensive review
  132. Modification effects of nanosilica on asphalt binders: A review
  133. Decellularized extracellular matrix as a promising biomaterial for musculoskeletal tissue regeneration
  134. Review of the sol–gel method in preparing nano TiO2 for advanced oxidation process
  135. Micro/nano manufacturing aircraft surface with anti-icing and deicing performances: An overview
  136. Cell type-targeting nanoparticles in treating central nervous system diseases: Challenges and hopes
  137. An overview of hydrogen production from Al-based materials
  138. A review of application, modification, and prospect of melamine foam
  139. A review of the performance of fibre-reinforced composite laminates with carbon nanotubes
  140. Research on AFM tip-related nanofabrication of two-dimensional materials
  141. Advances in phase change building materials: An overview
  142. Development of graphene and graphene quantum dots toward biomedical engineering applications: A review
  143. Nanoremediation approaches for the mitigation of heavy metal contamination in vegetables: An overview
  144. Photodynamic therapy empowered by nanotechnology for oral and dental science: Progress and perspectives
  145. Biosynthesis of metal nanoparticles: Bioreduction and biomineralization
  146. Current diagnostic and therapeutic approaches for severe acute respiratory syndrome coronavirus-2 (SARS-COV-2) and the role of nanomaterial-based theragnosis in combating the pandemic
  147. Application of two-dimensional black phosphorus material in wound healing
  148. Special Issue on Advanced Nanomaterials and Composites for Energy Conversion and Storage - Part I
  149. Helical fluorinated carbon nanotubes/iron(iii) fluoride hybrid with multilevel transportation channels and rich active sites for lithium/fluorinated carbon primary battery
  150. The progress of cathode materials in aqueous zinc-ion batteries
  151. Special Issue on Advanced Nanomaterials for Carbon Capture, Environment and Utilization for Energy Sustainability - Part I
  152. Effect of polypropylene fiber and nano-silica on the compressive strength and frost resistance of recycled brick aggregate concrete
  153. Mechanochemical design of nanomaterials for catalytic applications with a benign-by-design focus
Downloaded on 31.10.2025 from https://www.degruyterbrill.com/document/doi/10.1515/ntrev-2023-0139/html
Scroll to top button