Home Physical Sciences Dynamic recrystallization behavior and nucleation mechanism of dual-scale SiCp/A356 composites processed by P/M method
Article Open Access

Dynamic recrystallization behavior and nucleation mechanism of dual-scale SiCp/A356 composites processed by P/M method

  • Yahu Song , Aiqin Wang EMAIL logo , Douqin Ma , Jingpei Xie and Wenyan Wang
Published/Copyright: February 17, 2023
Become an author with De Gruyter Brill

Abstract

Thermal deformation can improve the properties of aluminum matrix composites (AMCs) prepared by powder metallurgy (P/M) due to the dense and uniform microstructures. And the final microstructure of the AMCs is related to the dynamic recrystallization (DRX) behavior and nucleation mechanism in the thermal forming process. In this regard, the hot compression tests of dual-scale SiC particles reinforced A356 (SiCp/A356) composites prepared by P/M method were carried out at temperatures of 460–520°C and strain rates of 0.01–5 s−1 on a thermal simulation tester. The corresponding microstructure evolution was analyzed by electron back-scattered diffraction and transmission electron microscopy. The results indicated that the stress–strain curve was a typical DRX unimodal stress curve. The comprehensive influences of the strain rate and deformation temperature on the stress were investigated using the Zener–Hollomon parameter (Z), where the deformation activation energy was 443.204 kJ/mol. The DRX critical strain model and DRX volume fraction model were established. DRX behavior of the SiCp/A356 composites was sensitive to the deformation temperatures and strain rates. The micro and nano SiCp can promote the DRX nucleation of Al matrix due to the particle-stimulated nucleation.

1 Introduction

Aluminum matrix composites (AMCs) reinforced by particles are wildly used in aerospace, national defense industry, automobile industry, electronic packaging, and other high-tech fields due to their excellent mechanical and physical properties [1,2,3]. Generally, the properties of the AMCs may be improved by adding a single micron or nanoparticle as the reinforcing phase. The research shows that micron particle significantly enhances the strength, hardness, and wear resistance of AMCs, while leading to a sharp decline in their plasticity and toughness [4,5]. For the nanoparticles, they have apparent size effects, which can enhance the strength, plasticity, and toughness of AMCs. However, the AMCs reinforced by high-volume fraction nanoparticles are challenging to prepare due to the easy agglomerate of nanoparticles, which significantly limits the application [6,7]. However, more attention has been paid to developing micron and nanoparticle hybrid aluminum matrix composites (HAMCs) with good comprehensive properties due to the different strengthening mechanisms of the reinforcements [8,9,10]. Zhang et al. [8] have investigated the effects of SiCp with varying scales on the microstructure and properties of Al2014 composites. The research shows that compared with Al2014 alloy, micron SiCp composite and nano SiCp composite, and dual-scale SiCp/Al2014 composites present more excellent mechanical properties. The creep resistance of the different-sized TiCp/Al–Cu composites has been studied by Tian et al. [9]. Their results demonstrate that the creep resistance of the dual-scale (micron + nano) TiCp/Al–Cu composite is 10–38 times and 3–6 times higher than that of the Al–Cu matrix alloy and single-scale composites, respectively.

To improve the performance of AMCs prepared by powder metallurgy (P/M), further processing, such as hot extrusion, forging, and rolling, should be proceeded to obtain the dense and uniform microstructure. However, the hot workability of AMCs is usually poor due to the difference in hardness and thermal expansion coefficient between the particles and the Al matrix [11,12]. Researchers have revealed that dynamic recrystallization (DRX) behavior is advantageous to the refinement and homogenization of the grain in AMCs, which is a crucial deformation mechanism to reconstitute the microstructure and enhance its properties during the hot working process [13,14]. Therefore, it is significant to research the DRX behavior of HAMCs during hot deformation to improve the microstructure and enhance the properties.

Presently, it is commonly accepted that the addition of reinforcement particles has an essential effect on the DRX behavior of aluminum matrix. When the particle size is greater than 1 μm, due to the mismatch between the deformation of the particle and matrix, the deformation zone with high dislocation density and orientation gradient will be formed near the particle, which can promote the nucleation of DRX. This is called particle-stimulated nucleation (PSN) [15,16]. As the particle size is less than 1 μm, the small-scale particles have a strong pinning effect on the grain boundaries, delaying the recrystallization process and inhibiting the recrystallization nucleation to a certain extent [17]. However, the research on AMCs by Zhao et al. [18] and Kai et al. [19] shows that nanoparticles can promote the nucleation of DRX. Meanwhile, Radi and Mahmudi [20] also obtained the same results in nanoparticle-reinforced magnesium matrix composites. Therefore, when micro and nano scale particles coexist in HAMCs, the DRX behavior and nucleation mechanism will be more complex in the thermal forming process, due to the influence of SiCp at different scales on the DRX behavior of composites.

Until now, there have been few reports about the DRX behavior of HAMCs in the available literature. Consequently, in the present study, based on the stress–strain curves and the relationship of the work hardening rate-strain of dual-scale SiCp/A356 composites, the critical strain model and kinetic model of DRX were determined to describe the DRX behaviors of HAMCs. Meanwhile, the microstructure evolution of the studied composites was explored by electron back-scattered diffraction (EBSD) and transmission electron microscopy (TEM). The DRX behavior and nucleation mechanism were investigated. It provides significant data support for improving the microstructure and comprehensive performance of HAMCs accurately.

2 Experimental materials and procedures

The material used in this experiment was A356 composites reinforced with dual-scale SiCp. One scale of SiCp was 10 μm with a fraction of 23 vol%, and the other was 80 nm with a fraction of 2 vol%. The matrix material was A356 alloy powders with a mean size of 7 μm, and the chemical compositions of the A356 alloy are listed in Table 1.

Table 1

The chemical compositions of the A356 alloy used

Element Si Mg Cu Fe Al
Weight percent (wt%) 7.0 0.3 0.1 0.1 Bal.

Figure 1 displays the fabrication process of the composites used. The A356 powders were mixed with nano-sized SiCp by the high-energy ball milling for 12 h with a rotation speed of 150 rpm and a ball-to-powder weight ratio of 8:1, and then the pre-prepared composite powders were mixed with micro-sized SiCp using the same process. After that, an LDJ 200/600-300 YS cold isostatic pressing equipment was employed to press the mixed powders with a 240 MPa pressure for 15 s, and then the cold-pressed specimens were sintered in a VAF-7720 furnace with 2 × 10−2 Pa at 550°C for 4 h. The specimens were hot extruded by an XJ-500 type extruder at 500°C. The extrusion ratio was 15:1, and the speed was 1 mm/s. At last, the bars were annealed at 300°C for 2 h.

Figure 1 
                The fabrication process of dual-scale SiCp/A356 composites used.
Figure 1

The fabrication process of dual-scale SiCp/A356 composites used.

Morphologies of the composites were observed using a ZEISS EVO 18 scanning electron microscopy (SEM) operated at 20 kV and a JEOL JEM-2100 transmission electron microscope (TEM) operated at 200 kV. The samples for TEM observation were thin foils with a diameter of 3 mm and thickness of about 50 μm, which were twin-jet electropolished in a 75% methanol and 25% nitric acid solution at about −30°C. Figure 2a–e reveals the microstructure of raw material powders and mixed powders. The microstructures of the studied composites are shown in Figure 2f–h. Obviously, micro-SiCp are uniformly distributed in the Al matrix (Figure 2f). Meanwhile, no agglomerations of nano-SiCp are observed (Figure 2g).

Figure 2 
               Morphologies of the preparation process of dual-scale SiCp/A356 composites used: (a) A356 powders; (b) nano-SiCp powders; (c) micro-SiCp powders; (d) mixed powders after ball milling; (e) high-magnification image of the mixed powders showing the uniform distribution of nano- SiCp on the A356 particles; (f) SEM images of the composites; (g) TEM images of the composites; and (h) corresponding diffraction pattern of the nano-SiCp.
Figure 2

Morphologies of the preparation process of dual-scale SiCp/A356 composites used: (a) A356 powders; (b) nano-SiCp powders; (c) micro-SiCp powders; (d) mixed powders after ball milling; (e) high-magnification image of the mixed powders showing the uniform distribution of nano- SiCp on the A356 particles; (f) SEM images of the composites; (g) TEM images of the composites; and (h) corresponding diffraction pattern of the nano-SiCp.

The hot compressed samples with a length of 12 mm and a diameter of 8 mm were prepared. The hot deformation was tested at temperatures of 460–520°C and strain rates of 0.01–5 s−1 by a Gleeble-1500D thermal simulation tester. The true strain was 0.7 in the trial. The schematic diagram of the hot compression process is shown in Figure 3. In addition, to analyze the microstructure evolution of the composites during thermal deformation, compression specimens with the true strains of 0.1, 0.3, and 0.5 at the temperature of 500°C and strain rate of 1 s−1 were water quenched immediately. The microstructures of the compressed specimens were analyzed by EBSD and TEM. EBSD images were tested by the JMS-7800F field emission SEM operated at 20 kV. The EBSD data were analyzed by the Transmission Channel 5 software. The samples for EBSD measurements were electro-polished using 25 vol% HNO3 in methanol at 20°C and 5 V, and then the observation surface was carried out in a Precision ion polishing system.

Figure 3 
               Schematic diagram of the hot compression process.
Figure 3

Schematic diagram of the hot compression process.

3 Results and discussion

3.1 True stress–strain curves

The true stress–strain curves of the used composites under different deformation conditions are presented in Figure 4. The temperatures and strain rates significantly affect the flow stress of the HAMCs. The curves show typical DRX characteristics with single peak stress [21]. During the hot deformation process, with the increase in the strain, the true stress rapidly reaches a peak value due to the work hardening. It then decreases slowly owing to the dynamic recovery (DRV) and DRX.

Figure 4 
                  The true stress–strain curves at different strain rates: (a) 
                        
                           
                           
                              
                                 
                                    ε
                                 
                                 ̇
                              
                           
                           \dot{\varepsilon }
                        
                      = 0.01 s−1; (b) 
                        
                           
                           
                              
                                 
                                    ε
                                 
                                 ̇
                              
                           
                           \dot{\varepsilon }
                        
                      = 0.1 s−1; (c) 
                        
                           
                           
                              
                                 
                                    ε
                                 
                                 ̇
                              
                           
                           \dot{\varepsilon }
                        
                      = 1 s−1; and (d) 
                        
                           
                           
                              
                                 
                                    ε
                                 
                                 ̇
                              
                           
                           \dot{\varepsilon }
                        
                      = 5 s−1.
Figure 4

The true stress–strain curves at different strain rates: (a) ε ̇ = 0.01 s−1; (b) ε ̇ = 0.1 s−1; (c) ε ̇ = 1 s−1; and (d) ε ̇ = 5 s−1.

The peak stress of the composites used under various deformation conditions is displayed in Figure 5. The peak stress decreases as the temperature increases. It indicates that the composites are sensitive to the deformation temperatures, which is similar to that of single-scale micro or nano-SiCp/Al composites as reported in refs [22,23]. It is attributed to the stronger dynamic softening at high temperatures. Figure 5 also demonstrates that the peak stress increases with the strain rate at the same temperature. Because of the increased strain rate, the time for the deformation structure nucleation and growth is insufficient, and the dislocation multiplication increases rapidly. It is evident that work hardening occurs, suggesting that the flow stress increases. Thus, the composites studied have a positive sensitivity to strain rate.

Figure 5 
                  Peak stress under different deformation conditions.
Figure 5

Peak stress under different deformation conditions.

3.2 Constitutive equation

For the hot deformation behavior of AMCS, the equations (1)–(3) are generally employed to demonstrate the relationship between the strain rate ( ε ̇ ), deformation temperature (T), and flow stress ( σ ) [24,25,26]. Besides, as a temperature-compensated strain rate factor, the Zener–Holloman parameter (Z) can be used to describe the combined effects of the temperature and strain rate during the hot deformation process, which is expressed using equation (4) [24].

(1) ε ̇ = A 1 σ n exp Q RT , ( α σ 0 . 8 ) ,

(2) ε ̇ = A 2 exp ( β σ ) exp Q RT , ( α σ 1 . 2 ) ,

(3) ε ̇ = A [ sinh ( α σ ) ] n exp Q RT , ( for all σ ) ,

(4) Z = ε ̇ exp Q RT = A [ sinh ( α σ ) ] n ,

where A 1, A 2, A, α, n, β, and are constant ( α = β / n ); R, T, and Q stand for the gas constant (8.314 J/mol K), deformation temperature (K), and deformation activation energy (kJ/mol), respectively.

Taking the natural logarithms on both sides for equations (1)–(4), we get

(5) ln ε ̇ = ln A 1 + n ln σ Q RT ,

(6) ln ε ̇ = ln A 2 + β σ Q RT ,

(7) ln ε ̇ = ln A + n ln [ sinh ( α σ ) ] Q RT ,

(8) ln Z = ln ε ̇ + Q / RT = ln A + n ln [ sinh ( α σ ) ] .

Substituting the peak stress and corresponding strain rate values in equations (5) and (6). Scatter diagrams and linear regression fits of the ln σ ln ε ̇ , σ ln ε ̇ , ln [ sinh ( α σ ) ] ln ε ̇ , and T 1 / 10 3 K 1 ln [ sinh ( α σ ) ] are shown in Figure 6. By calculating the average slopes of various fitting lines (Figure 6a and b), n´ and β can be obtained to be 11.88984 and 0.15909, respectively. Therefore, this gives a value of α = β/n´ = 0.01338.

Figure 6 
                  Scatter diagrams and linear regression fits: (a) 
                        
                           
                           
                              ln
                              σ
                              −
                              ln
                              
                                 
                                    ε
                                 
                                 ̇
                              
                           
                           {\rm{ln}}\sigma -{\rm{ln}}\dot{\varepsilon }
                        
                     ; (b) 
                        
                           
                           
                              σ
                              −
                              ln
                              
                                 
                                    ε
                                 
                                 ̇
                              
                           
                           \sigma -{\rm{ln}}\dot{\varepsilon }
                        
                     ; (c) 
                        
                           
                           
                              ln
                              [
                              sinh
                              (
                              α
                              σ
                              )
                              ]
                              −
                              ln
                              
                                 
                                    ε
                                 
                                 ̇
                              
                           
                           {\rm{ln}}\left[{\rm{\sinh }}\left(\alpha \sigma \left)]-{\rm{ln}}\dot{\varepsilon }
                        
                     ; and (d) 
                        
                           
                           
                              
                                 
                                    T
                                 
                                 
                                    −
                                    1
                                 
                              
                              /
                              
                                 
                                    10
                                 
                                 
                                    −
                                    3
                                 
                              
                              
                                 
                                    K
                                 
                                 
                                    −
                                    1
                                 
                              
                              −
                              ln
                              [
                              sinh
                              (
                              α
                              σ
                              )
                              ]
                           
                           {T}^{-1}/{10}^{-3}{{K}}^{-1}\left-{\rm{ln}}\left[{\rm{\sinh }}\left(\alpha \sigma \left)]
                        
                     .
Figure 6

Scatter diagrams and linear regression fits: (a) ln σ ln ε ̇ ; (b) σ ln ε ̇ ; (c) ln [ sinh ( α σ ) ] ln ε ̇ ; and (d) T 1 / 10 3 K 1 ln [ sinh ( α σ ) ] .

According to equation (7), Q can be obtained from equation (9).

(9) Q = R ln [ sinh ( α σ ) ] ( 1 / T ) ε ̇ · ln ε ̇ ln sinh ( α σ ) T = nRK ,

where n and K are the slopes of ln ε ̇ ln [ sinh ( α σ ) ] and ln [ sinh ( α σ ) ] 1 , 000 / T curves. According to equation (7), their calculated results are 8.9168 and 5.9784 (Figure 6c and d), respectively. Using equation (9), the value of Q can be calculated as 443.204 kJ/mol.

According to equation (8) and Q value, the values of ln Z under the different T and ε ̇ are summarized in Table 2. ln Z and ln [ sinh ( α σ ) ] exhibit a linear relationship determined by Figure 7 with a correlation coefficient of 0.986, meaning that all σ values in equation (3) are reliable. Moreover, the ln Z value increases gradually with the decrease in deformation temperatures or the increase in strain rates, which is like the evolution characteristic of peak stress. Therefore, the Z parameter synthesizes the hot deformation conditions of materials, representing the relationship between flow stress, deformation temperature, and strain rate during hot deformation.

Table 2

The values of ln Z under different deformation conditions

ε ̇ (s−1) T (°C)
460 480 500 520
0.01 68.12082028 66.18918707 64.35750900 62.61822327
0.1 70.42340537 68.49177216 66.66009409 64.92080836
1 72.72599047 70.79435725 68.96267919 67.22339346
5 74.33542838 72.40379516 70.57211710 68.83283137
Figure 7 
                  The relationship between the peak stress and Z parameter.
Figure 7

The relationship between the peak stress and Z parameter.

3.3 The critical strain for DRX

In general, the appearance of peak stress in stress–strain curves of a material suggests that DRX occurs. Moreover, the DRX has occurred before it reaches the peak strain. Therefore, the determination of critical strain has a great significance on the hot working process [27,28]. The work hardening rate-flow stress ( θ σ ) curves may be employed to describe the microstructure evolution of materials during hot deformation [29]. Meanwhile, the work hardening rate is defined as θ = σ / ε . Based on the approach of Poliak and Jonas [30], the θ σ curve shows a distinct inflection point, which is described as 2 θ / σ = 0 . The inflection points of θ σ curves indicate the initiation of DRX. According to the relationship of partial derivatives, ( ln θ ) / ε = θ / σ equation can be deduced. It suggests that the curves of ln θ ε also render corresponding inflection point features [31]. Therefore, according to the stress–strain curves, the ln θ ε and ( ln θ ) / ε ε curves can be obtained. Then, the corresponding critical strain value ( ε c ) can be directly acquired by the minimum value of the ( ln θ ) / ε ε curves.

Figure 8 presents the relationship curves between ln θ and ε of the composites used under various deformation conditions. The curves of ln θ ε show a similar trend. The variation law of the work hardening rate decreases quickly with the increase in strain, then decreases slowly, and finally enters a rapidly decreasing stage again. Meanwhile, the inflection point can be obtained at the corresponding strain place.

Figure 8 
                  The relationship curves between 
                        
                           
                           
                              ln
                              θ
                           
                           {\rm{ln}}\theta 
                        
                      and ε under different deformation conditions; (a) 
                        
                           
                           
                              
                                 
                                    ε
                                 
                                 ̇
                              
                           
                           \dot{\varepsilon }
                        
                      = 0.01 s−1; (b) 
                        
                           
                           
                              
                                 
                                    ε
                                 
                                 ̇
                              
                           
                           \dot{\varepsilon }
                        
                      = 0.1 s−1; (c) 
                        
                           
                           
                              
                                 
                                    ε
                                 
                                 ̇
                              
                           
                           \dot{\varepsilon }
                        
                      = 1 s−1; and (d) 
                        
                           
                           
                              
                                 
                                    ε
                                 
                                 ̇
                              
                           
                           \dot{\varepsilon }
                        
                      = 5 s−1.
Figure 8

The relationship curves between ln θ and ε under different deformation conditions; (a) ε ̇ = 0.01 s−1; (b) ε ̇ = 0.1 s−1; (c) ε ̇ = 1 s−1; and (d) ε ̇ = 5 s−1.

The relationship curves between ( ln θ ) / ε and ε under various deformation conditions are displayed in Figure 9. With the increase in strain, the values of ( ln θ ) / ε gradually decrease, and then slowly rise after the minimum values appear. The minimum value of the ( ln θ ) / ε ε curve corresponds to the critical strain causing DRX. Combining with the peak strain in Figure 4, the vital strains and peak strain under various deformation conditions can be captured, which are listed in Table 3.

Figure 9 
                  The relationship curves between 
                        
                           
                           
                              −
                              ∂
                              (
                              ln
                              θ
                              )
                              /
                              ∂
                              ε
                           
                           -\left\partial \left({\rm{ln}}\theta )/\partial \varepsilon 
                        
                      and ε under different deformation conditions: (a) 
                        
                           
                           
                              
                                 
                                    ε
                                 
                                 ̇
                              
                           
                           \dot{\varepsilon }
                        
                      = 0.01 s−1; (b) 
                        
                           
                           
                              
                                 
                                    ε
                                 
                                 ̇
                              
                           
                           \dot{\varepsilon }
                        
                      = 0.1 s−1; (c) 
                        
                           
                           
                              
                                 
                                    ε
                                 
                                 ̇
                              
                           
                           \dot{\varepsilon }
                        
                      = 1 s−1; and (d) 
                        
                           
                           
                              
                                 
                                    ε
                                 
                                 ̇
                              
                           
                           \dot{\varepsilon }
                        
                      = 5 s−1.
Figure 9

The relationship curves between ( ln θ ) / ε and ε under different deformation conditions: (a) ε ̇ = 0.01 s−1; (b) ε ̇ = 0.1 s−1; (c) ε ̇ = 1 s−1; and (d) ε ̇ = 5 s−1.

Table 3

Critical strain (ε c) and peak strain (ε p) of DRX under different deformation conditions

ε ̇ (s−1) Parameter T (°C)
460 480 500 520
0.01 ε c 0.01911 0.01757 0.01446 0.01265
ε p 0.03942 0.03548 0.03048 0.02597
0.1 ε c 0.02198 0.01915 0.0155 0.01328
ε p 0.04529 0.04083 0.03111 0.02715
1 ε c 0.02496 0.0225 0.01995 0.01815
ε p 0.05325 0.04505 0.04095 0.0374
5 ε c 0.02781 0.02467 0.0224 0.02128
ε p 0.05785 0.05062 0.0452 0.0429

The critical model of DRX proposed by Sellars et al. [26] is used to demonstrate the influence of temperatures and strain rates on the essential strain of DRX in the present work. The equation can be described as follows:

(10) ε c = k ε p ,

(11) ε c = a Z b ,

where k, a, and b are constants, ε c, ε p, and Z are critical strain, peak strain, and Zener–Hollomon parameter, respectively. According to the data in Table 3, there is a certain relationship between the critical strain and peak strain of DRX. As shown in Figure 10a, the ratio of the two (ε c/ε p) is 0.486. Based on the critical strain values and their corresponding Z values under different deformation conditions, the relationship diagram of ln ε c ln Z is drawn, as shown in Figure 10b. Obviously, there is an ideal linear relationship between ln ε c and ln Z by linear fitting. Therefore, the critical strain model for DRX can be expressed as follows: ε c = 1.604 × 10−4 Z 0.07.

Figure 10 
                  Relationship of (a) 
                        
                           
                           
                              
                                 
                                    ε
                                 
                                 
                                    c
                                 
                              
                              −
                              
                                 
                                    ε
                                 
                                 
                                    p
                                 
                              
                           
                           {{\varepsilon }}_{{\rm{c}}}-{{\varepsilon }}_{{\rm{p}}}
                        
                      and (b) 
                        
                           
                           
                              ln
                              
                                 
                                    ε
                                 
                                 
                                    c
                                 
                              
                              −
                              ln
                              Z
                           
                           {\rm{ln}}{{\varepsilon }}_{{\rm{c}}}-{\rm{ln}}Z
                        
                     .
Figure 10

Relationship of (a) ε c ε p and (b) ln ε c ln Z .

According to the above analysis, the peak strain lags behind the critical strain, meaning that DRX occurs prior to the peak strain. The increase in Z value will lead to the increase in the critical strain, which is a disadvantage for the occurrence of DRX. Therefore, increasing the deformation temperature and reducing the strain rate will be a large favor to the microstructure uniformity and grain refinement, which will also improve the comprehensive properties of the materials.

3.4 DRX kinetic model

It can be seen from Figure 4 that DRX is the most important softening mechanism of the studied composites. Because of the important role of DRX in improving the plastic formability and performance of materials, it is an effective approach to explore the deformation mechanism of the composites by constructing DRX kinetic model. At present, the most widely used DRX dynamic model is the Johnson–Mehl–Avrami (JMA) equation [32,33].

(12) X DRX = 1 exp B ( ε ε c ε p ) m ,

where X DRX is the DRX volume fraction; B and m are constants; ε is the true strain; ε c and ε p represent the critical strain and peak strain of DRX, respectively. It is well known that the softening behavior of DRX can effectively reduce the flow stress during hot deformation. Accordingly, the X DRX can be calculated based on the characteristic stress value in the flow stress curves, which can be represented as follows [34]:

(13) X DRX = σ p σ σ p σ ss ,

where σ, σ p, and σ ss are the transient stress, peak stress, and steady-state stress, respectively. Equation (14) can be expressed by taking the natural logarithms on both sides of equation (12).

(14) ln [ ln ( 1 X DRX ) ] = ln B + m ln ε ε c ε p .

According to equation (14), linear regression is performed for ln [ ( ε ε c ) / ε p ] and ln [ ln ( 1 X DRX ) ] , as shown in Figure 11. Therefore, the values of B and m can be obtained to be 0.0248 and 2.0306, respectively. By substituting B and m in equation (12), the DRX kinetic model of the composites can be described as follows:

(15) X DRX = 1 exp 0 . 0248 ( ε ε c ε p ) 2.0306 .

Figure 11 
                  Relationship between 
                        
                           
                           
                              ln
                              
                                 
                                    [
                                    
                                       −
                                       ln
                                       
                                          
                                             (
                                             
                                                1
                                                −
                                                
                                                   
                                                      X
                                                   
                                                   
                                                      DRX
                                                   
                                                
                                             
                                             )
                                          
                                       
                                    
                                    ]
                                 
                              
                           
                           {\rm{ln}}{[}-{\rm{ln}}(1-{X}_{{\rm{DRX}}})]
                        
                      and 
                        
                           
                           
                              ln
                              [
                              (
                              ε
                              −
                              
                                 
                                    ε
                                 
                                 
                                    c
                                 
                              
                              )
                              /
                              
                                 
                                    ε
                                 
                                 
                                    p
                                 
                              
                              ]
                           
                           {\rm{ln}}\left[(\varepsilon \left-{\varepsilon }_{{\rm{c}}})\left/{\varepsilon }_{{\rm{p}}}]
                        
                     .
Figure 11

Relationship between ln [ ln ( 1 X DRX ) ] and ln [ ( ε ε c ) / ε p ] .

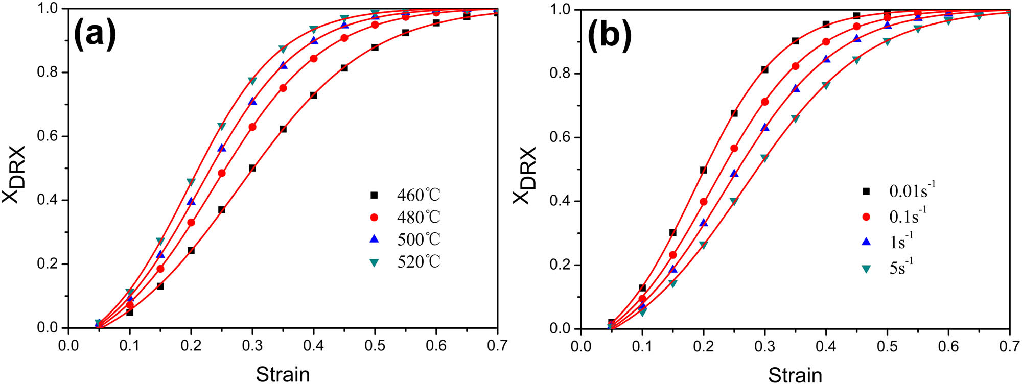
Figure 12 displays the relationship curves of X DRX and strain under various deformation conditions. It can be found that the curves are similar and present the characteristics of S-type curves. In the initial stage of deformation, X DRX grows at a relatively low rate and then increases rapidly. After reaching a certain value, X DRX tends to grow slowly. Additionally, when the strain remains constant, X DRX increases with the increase in the deformation temperatures and decrease in the strain rates.

Figure 12 
                  The relationship curves between X
                     DRX and the strain based on equation (11): (a) 
                        
                           
                           
                              
                                 
                                    ε
                                 
                                 ̇
                              
                           
                           \dot{\varepsilon }
                        
                      = 1 s−1 and (b) T = 500°C.
Figure 12

The relationship curves between X DRX and the strain based on equation (11): (a) ε ̇ = 1 s−1 and (b) T = 500°C.

To verify the accuracy of the DRX kinetic model, the experimental values measured are regressed linearly with the predicted values calculated by the model, and the fitting precision is 0.989 (Figure 13). It means that the X DRX of the composites can be well predicted by the kinetic model.

Figure 13 
                  Experimental and predicted values of DRX volume fraction.
Figure 13

Experimental and predicted values of DRX volume fraction.

3.5 Microstructure evolution

Figure 14 displays the inverse pole figure (IPF) maps and misorientation angle distributions of the used composites at the temperature of 500°C, strain rate of 1 s−1, and strain of 0.1, 0.3, and 0.5. In the initial deformation stage, the original grain boundaries bulge and form a sawtooth shape (Figure 14a). With the increase in strain, the grain morphology of HACMs changes obviously. The initial grains are flattened or elongated, resulting in a color gradient between adjacent sub-grains in the slender grain (Figure 14b). With the further increase in strain, many fine equiaxed DRX grains are formed, and their orientation is obviously different from their adjacent grains (Figure 14c).

Figure 14 
                  IPF maps and misorientation angle distributions of HAMCs at 500°C with a strain rate of 1 s−1 and strains of (a) 0.1, (b) 0.3, (c) 0.5, and (d) misorientation angle distributions in (a–c).
Figure 14

IPF maps and misorientation angle distributions of HAMCs at 500°C with a strain rate of 1 s−1 and strains of (a) 0.1, (b) 0.3, (c) 0.5, and (d) misorientation angle distributions in (a–c).

Additionally, it can be seen from misorientation angle distributions (Figure 14d), with the increase in strain, that the proportion of high-angle grain boundaries (HAGBs) is 33.6, 53.1, and 63.2%, respectively. This result illustrates that with the increase in strain, the HAGBs always increase, and the low-angle grain boundaries (LAGBs) gradually transform into HAGBs. Therefore, the increase in strain will promote the continuous migration from LAGBs to HAGBs, resulting in a higher recrystallization degree [35]. This is also consistent with the prediction trend of the DRX kinetic model.

Figure 15 shows the EBSD images of the HAMCs after hot deformation. Blue color represents recrystallized, yellow color represents substructure, and red color represents deformed in Figure 15d. It confirms that the DRX occurs during the deformation. The proportion of X DRX in Figure 15(a–c) are 13.2, 50.9, and 82.6%, respectively. The X DRX gradually increases with the strain. Although there is a certain gap between the actual detection results and the theoretical calculation value through the DRX kinetic model (Figure 12), the overall change trend is consistent, which further verifies the applicability of the DRX kinetic model.

Figure 15 
                  EBSD maps of HAMCs at 500°C with a strain rate of 1 s−1 and strains of (a) 0.1, (b) 0.3, (c) 0.5, and (d) fractions of three types of microstructures in (a–c).
Figure 15

EBSD maps of HAMCs at 500°C with a strain rate of 1 s−1 and strains of (a) 0.1, (b) 0.3, (c) 0.5, and (d) fractions of three types of microstructures in (a–c).

To further explore the DRX behavior of the composites, the microstructures of different strains are investigated by TEM, as shown in Figure 16. At the beginning of hot deformation (ε = 0.1), severe dislocation accumulation occurs around the particles, owing to the deformation mismatch between the SiC particles and Al matrix. Thus, high-density dislocations can be easily found in the deformed grains (Figure 16a). At the same time, the deformed grain boundaries are uneven, and the original grain boundaries bulge as marked using the red arrow in Figure 16b. With the increase in strain (ε = 0.3), dislocations gather near grain boundaries and particles through climbing and crossing slip, and obvious sub-grain structures are formed. The sub-grain boundaries are clear and have the trend of merging and combination-grow up (Figure 16c). With the further increase in strain (ε = 0.5), the sub-grain boundaries gradually transform into grain boundaries with the clear and sharp large angles through merging and rotation. Finally, the new recrystallized grains occur, and the dislocations inside the grain basically disappear (Figure 16d). According to the results of these microstructural observations, the primary softening mechanism of the HACMs is DRX during hot deformation obviously [36,37,38]. However, there is a difference about the softening mechanism of the HACMs reported in ref. [39]. Their results indicate that the dominant softening mechanism of Al–Si/(SiCp + TiB2) HAMCs is DRV, accompanied by partial DRX. This may be related to the thermal deformation parameters and the content of reinforcing particles.

Figure 16 
                  TEM microstructures of the HAMCs at different strains (T = 500°C, 
                        
                           
                           
                              
                                 
                                    ε
                                 
                                 ̇
                              
                           
                           \dot{\varepsilon }
                        
                      = 1 s−1): (a) and (b) ε = 0.1; (c) ε = 0.3; (d) ε = 0.5; (e) and (f) are selected-area electron diffraction patterns of particles A and B in (c), respectively.
Figure 16

TEM microstructures of the HAMCs at different strains (T = 500°C, ε ̇ = 1 s−1): (a) and (b) ε = 0.1; (c) ε = 0.3; (d) ε = 0.5; (e) and (f) are selected-area electron diffraction patterns of particles A and B in (c), respectively.

According to the above observation and analysis, Figure 17 depicts the microstructure evolution mechanism of the composites in the DRX process. In the initial stage of hot deformation, high density and orientation gradient deformation zones appear near the micro-SiCp due to deformation mismatch between the Al matrix and these particles. Besides, dense dislocations can also be found around the nano-SiCp owing to the pinning effect of these particles [40,41]. So many dislocations will occur around these micro-SiCp and nano-SiCp particles. At the same time, the original grain boundaries bulge because of the strain (Figure 17b). When the dislocation accumulation and proliferation in the material reach a certain degree, DRX will preferentially nucleate around grain boundaries and reinforcing particles as the strain increases (Figure 17c). With the further increase in strain, the misorientation angle of new DRX grains gradually increases due to the accumulation and reorganization of dislocations. Then, the LAGBs can be transformed into the HAGBs. Finally, uniform and fine equiaxed grains are formed due to the pinning impact of nano-SiCp (Figure 17d). In conclusion, the DRX mechanism of the studied composites mainly consists of grain boundary bulging mechanism, PSN mechanism, and sub-grain rotation induced nucleation mechanism. With the increase in strain, the DRX characteristics of sub-grain rotation and combination-grow up were further revealed [42,43].

Figure 17 
                  Schematic illustration of microstructure evolution mechanism of the used composites during hot deformation: (a) initial microstructure; (b) dislocations pile-up around reinforced particles and grain boundary bulging; (c) DRX nucleuses around grain boundaries and reinforcing particles; and (d) microstructure after deformation.
Figure 17

Schematic illustration of microstructure evolution mechanism of the used composites during hot deformation: (a) initial microstructure; (b) dislocations pile-up around reinforced particles and grain boundary bulging; (c) DRX nucleuses around grain boundaries and reinforcing particles; and (d) microstructure after deformation.

Furthermore, it indicates that both micro-SiCp and nano-SiCp can facilitate the DRX nucleation of the aluminum matrix in the PSN mechanism. The existence of micro-SiCp plays a primary role in stimulating the DRX nucleation by forming the particle deformation zone (PDZ) [16]. However, PDZ by nano-SiCp is relatively small, which has a minor impact on DRX nucleation. The addition of nano-SiCp increases the dislocation density in the Al matrix continuously, resulting in the dislocations pile-up, thereby stimulating DRX nucleation. Thus, the dual-scale particles both play a role in promoting DRX nucleation of the HACMs. Meanwhile, the pinning effect of nanoparticles on grain boundaries leads to grain refinement. Similar behavior has been reported in SiCp reinforced Mg matrix composites [44].

4 Conclusion

The hot compression tests of dual-scale SiCp/A356 matrix composites were performed under different deformation conditions. DRX behavior and mechanisms were carefully investigated. The main conclusions are summarized as follows:

  1. The stress–strain curves show typical DRX characteristics with single peak stress. The comprehensive influences of the strain rate and deformation temperature on the stress are investigated using the Z parameter, in which the deformation activation energy is 443.204 kJ/mol.

  2. The critical strain causing DRX is obtained by the inflection of ln θ ε . The relationship between the critical strain and peak strain is described as ε c = 0.486ε p. Furthermore, the model for the critical strain of DRX is determined as ε c = 1.604 × 10−4 Z 0.07.

  3. Based on the stress–strain curve data, the DRX kinetic model of composites can be constructed by the classical Avrami equation as follows:

    X DRX = 1 exp 0 . 0248 ε ε c ε p 2.0306

  4. The dominant softening mechanism of dual-scale SiCp/A356 composites during the hot deformation is the DRX mechanism, which includes grain boundaries bulging mechanism, particle stimulated nucleation mechanism, and sub-grain rotation induced nucleation mechanism. Both micro-SiCp and nano-SiCp can stimulate the DRX nucleation of the Al matrix because of the PSN mechanism.

  1. Funding information: The authors acknowledge the financial support from the National Natural Science Foundation of China (Grant No. 52171138).

  2. Author contributions: Yahu Song: methodology, investigation, and writing – original draft. Aiqin Wang: supervision and writing – review and editing. Douqin Ma: writing – review and editing. Jingpei Xie: writing – review and editing. Wenyan Wang: writing –review and editing. All authors have accepted responsibility for the entire content of this manuscript and approved its submission.

  3. Conflict of interest: The authors state no conflict of interest.

  4. Data availability statement: The raw/processed data required to reproduce these findings cannot be shared at this time as the data also form part of an ongoing study.

References

[1] Wu C, Gao T, Liu X. In situ SiC reinforced Si-SiC 3D skeletons in SiC/Al–Si composites. J Alloy Compd. 2019;810:151730.10.1016/j.jallcom.2019.151730Search in Google Scholar

[2] Yuan D, Yang X, Wu S, Lü S, Hu K. Development of high strength and toughness nano-SiCp/A356 composites with ultrasonic vibration and squeeze casting. J Mater Process Tech. 2019;269:1–9.10.1016/j.jmatprotec.2019.01.021Search in Google Scholar

[3] Lakshmikanthan A, Bontha S, Krishna M, Koppad PG, Ramprabhu T. Microstructure, mechanical and wear properties of the A357 composites reinforced with dual-sized SiC particles. J Alloy Compd. 2019;786:570–80.10.1016/j.jallcom.2019.01.382Search in Google Scholar

[4] Chen HS, Wang WX, Nie HH, Zhou J, Li YL, Liu RF, et al. Microstructure evolution and mechanical properties of B4C/6061Al neutron absorber composite sheets fabricated by powder metallurgy. J Alloy Compd. 2018;730:342–51.10.1016/j.jallcom.2017.09.312Search in Google Scholar

[5] Steinman AE, Corthay S, Firestein KL, Kvashnin DG, Kovalskii AM, Matveev AT, et al. Al-based composites reinforced with AlB2, AlN and BN phases: Experimental and theoretical studies. Mater Des. 2018;141:88–98.10.1016/j.matdes.2017.12.022Search in Google Scholar

[6] Mousavian RT, Behnamfard S, Khosroshahi RA, Zavašnik J, Ghosh P, Krishnamurthy S, et al. Strength-ductility trade-off via SiC nanoparticle dispersion in A356 aluminium matrix. Mater Sci Eng A. 2020;771:138639.10.1016/j.msea.2019.138639Search in Google Scholar

[7] Dong X, Wang A, Xie J, Wang Z. Optimization of volume fraction and microstructure evolution during thermal deformation of nano-SiCp/Al-7Si composites. Nanotechnol Rev. 2021;10:1306–17.10.1515/ntrev-2021-0088Search in Google Scholar

[8] Zhang LJ, Qiu F, Wang JG, Wang HY, Jiang QC. Microstructures and mechanical properties of the Al2014 composites reinforced with bimodal sized SiC particles. Mater Sci Eng A. 2015;637:70–4.10.1016/j.msea.2015.04.012Search in Google Scholar

[9] Tian WS, Zhao QL, Geng R, Qiu F, Jiang QC. Improved creep resistance of Al–Cu alloy matrix composite reinforced with bimodal-sized TiCp. Mater Sci Eng A. 2018;713:190–4.10.1016/j.msea.2017.12.071Search in Google Scholar

[10] Tan A, Teng J, Zeng X, Fu D, Zhang H. Fabrication of aluminium matrix hybrid composites reinforced with SiC microparticles and TiB2 nanoparticles by powder metallurgy. Powder Metall. 2017;60(1):66–72.10.1080/00325899.2016.1274816Search in Google Scholar

[11] Jahedi M, Mani B, Shakoorian S, Pourkhorshid E, Hossein Paydar M. Deformation rate effect on the microstructure and mechanical properties of Al–SiCp composites consolidated by hot extrusion. Mater Sci Eng A. 2012;556:23–30.10.1016/j.msea.2012.06.054Search in Google Scholar

[12] Srivastava VC, Jindal V, Uhlenwinkel V, Bauckhage K. Hot-deformation behavior spray-formed 2014 Al + SiCp metal matrix composites. Mater Sci Eng A. 2008;477:86–95.10.1016/j.msea.2007.06.086Search in Google Scholar

[13] Zhang P, Li F. Dynamic recrystallization model of SiC particle reinforced aluminum matrix composites. Rare Met Mater Eng. 2010;39(7):1166–70.Search in Google Scholar

[14] Sun Y, Xie J, Hao S, Wang A, Liu P, Li M. Dynamic recrystallization model of 30% SiCp/Al composite. J Alloy Compd. 2015;649:865–71.10.1016/j.jallcom.2015.04.111Search in Google Scholar

[15] Doherty RD, Hughes, DA, Humphreys, FJ, Hughes DA, Humphreys FJ, Jonas JJ, Jensen D, Kassner ME, et al. Current issues in recrystallization: a review. Mater Sci Eng A. 1997;238:219–74.10.1016/S0921-5093(97)00424-3Search in Google Scholar

[16] Humphreys FJ. The nucleation of recrystallization at second phase particles in deformed aluminium. Acta Metall. 1977;25(11):1323–44.10.1016/0001-6160(77)90109-2Search in Google Scholar

[17] Chan HM, Humphreys FJ.The recrystallization of Aluminum-Silicon alloys containing a bimodal particle distribution. Acta Mater. 1984;32:235–43.10.1016/0001-6160(84)90052-XSearch in Google Scholar

[18] Wu Y, Yu Y, Zhang Q, Zhu T, Zhai R, Zhao X. Hot deformation behavior and processing map of in situ nano ZrB2 reinforced AA6111 matrix composites. Mater Res Exp. 2019;6(2):026528.10.1088/2053-1591/aaed02Search in Google Scholar

[19] Kai X, Zhao Y, Wang A, Wang C, Mao Z. Hot deformation behavior of in situ nano ZrB2 reinforced 2024Al matrix composite. Compos Sci Technol. 2015;116:1–8.10.1016/j.compscitech.2015.05.006Search in Google Scholar

[20] Radi Y, Mahmudi R. Effect of Al2O3 nano-particles on the microstructural stability of AZ31 Mg alloy after equal channel angular pressing. Mater Sci Eng A. 2010;527:2764–71.10.1016/j.msea.2010.01.029Search in Google Scholar

[21] Wei H, Liu G, Xiao X, Zhang M. Dynamic recrystallization behavior of a medium carbon vanadium microalloyed steel. Mater Sci Eng A. 2013;573:215–21.10.1016/j.msea.2013.03.009Search in Google Scholar

[22] Mcqueen HJ, Myshlyaev M, Konopleva E. High temperature mechanical and microstructural behavior of A356/15 vol% SiCp and A356 alloy. Can Metall Quart. 2013;37(2):125–39.10.1179/cmq.1998.37.2.125Search in Google Scholar

[23] Wang Z, Wang A, Xie J, Liu P. Hot deformation behavior and strain-compensated constitutive equation of nano-sized SiC particle-reinforced Al–Si matrix composites. Materials. 2020;13(8):1812.10.3390/ma13081812Search in Google Scholar PubMed PubMed Central

[24] Zener C, Hollomon JH. Effect of strain rate upon plastic flow of steel. J Appl Phys. 1944;15(1):22–32.10.1063/1.1707363Search in Google Scholar

[25] Wang Y, Ling DL, Law CC. A correlation between tensile flow stress and Zener-Hollomon factor in TiAl alloys at high temperatures. J Mater Sci Lett. 2000;19(13):1185–8.10.1023/A:1006723629430Search in Google Scholar

[26] Sellars CM, Mc WJ, Tegart G. Hot workability. Int Metall Rev. 1972;17:1–24.10.1179/095066072790137765Search in Google Scholar

[27] Li B, Chu ZJ, Du Y, Zhou W, Zhou X. Hot deformation behavior and dynamic recrystallization kinetics of a novel Sc and Zr modified ultra-high-strength Al-Zn-Mg-Cu alloy. J Mater Eng Perform. 2020;29(12):7774–84.10.1007/s11665-020-05255-1Search in Google Scholar

[28] Zhang H, Chen G, Chen Q, Han F, Zhao Z. A physically-based constitutive modelling of a high strength aluminum alloy at hot working conditions. J Alloy Compd. 2018;743:283–93.10.1016/j.jallcom.2018.02.039Search in Google Scholar

[29] Zambrano OA, Logé RE. Dynamic recrystallization study of a Fe-Mn-Si based shape memory alloy in constant and variable thermo mechanical conditions. Mater Charact. 2019;152:151–61.10.1016/j.matchar.2019.04.016Search in Google Scholar

[30] Poliak EI, Jonas JJ. A one-parameter approach to determining the critical conditions for the initiation of dynamic recrystallization. Acta Mater. 1996;44(1):127–36.10.1016/1359-6454(95)00146-7Search in Google Scholar

[31] Rouzegar R, Azadbeh M, Danninger H. High-temperature flow behaviour modelling of stress-strain curves of the sintered Cu-28Zn pre-alloyed powder compacts considering dynamic recrystallisation. Powder Metall. 2017;61(2):1–7.10.1080/00325899.2017.1377383Search in Google Scholar

[32] Jonas JJ, Quelennec X, Jiang L, Martin É. The Avrami kinetics of dynamic recrystallization. Acta Mater. 2009;57:2748–56.10.1016/j.actamat.2009.02.033Search in Google Scholar

[33] Wen DX, Lin YC, Zhou Y. A new dynamic recrystallization kinetics model for a Nb containing Ni-Fe-Cr-base super alloy considering influences of initial δ phase. Vacuum. 2017;141:316–27.10.1016/j.vacuum.2017.04.030Search in Google Scholar

[34] Chen MS, Yuan WQ, Lin YC, Li HB, Zou ZH. Modeling and simulation of dynamic recrystallization behavior for 42CrMo steel by an extended cellular automaton method. Vacuum. 2017;146:142–51.10.1016/j.vacuum.2017.09.041Search in Google Scholar

[35] Lin YC, Wu XY, Chen XM, Chen J, Wen DX, Zhang JL, et al. EBSD study of a hot deformed nickel-based super alloy. J Alloy Compd. 2015;640:101–13.10.1016/j.jallcom.2015.04.008Search in Google Scholar

[36] Wang Y, Zhao G, Xu X, Chen X, Zhang C. Constitutive modeling, processing map establishment and microstructure analysis of spray deposited Al–Cu–Li alloy 2195. J Alloy Compd. 2019;779:735–51.10.1016/j.jallcom.2018.11.289Search in Google Scholar

[37] Sun ZC, Wu HL, Cao J, Yin ZK. Modeling of continuous dynamic recrystallization of Al-Zn-Cu-Mg alloy during hot deformation based on the internal-state-variable (ISV) method. Int J Plast. 2018;106:73–87.10.1016/j.ijplas.2018.03.002Search in Google Scholar

[38] Luo L, Liu Z, Bai S, Zhao J, Zeng D, Wang J, et al. Hot deformation behavior considering strain effects and recrystallization mechanism of an Al-Zn-Mg-Cu alloy. Materials. 2020;13(7):1743.10.3390/ma13071743Search in Google Scholar PubMed PubMed Central

[39] Chen X, Fu D, Teng J, Zhang H. Hot deformation behavior and mechanism of hybrid aluminum-matrix composites reinforced with micro-SiC and nano-TiB2. J Alloy Compd. 2018;753:566–75.10.1016/j.jallcom.2018.04.223Search in Google Scholar

[40] Robson JD, Henry DT, Davis B. Particle effects on recrystallization in magnesium-manganese alloys: Particle-stimulated nucleation. Acta Mater. 2009;57(9):2739–47.10.1016/j.actamat.2009.02.032Search in Google Scholar

[41] Deng K, Shi J, Wang C, Wang X, Wu Y, Nie K, et al. Microstructure and strengthening mechanism of bimodal size particle reinforced magnesium matrix composite. Compos Part A. 2012;43(8):1280–4.10.1016/j.compositesa.2012.03.007Search in Google Scholar

[42] Sun ZC, Zheng LS, Yang H. Softening mechanism and microstructure evolution of as-extruded 7075 aluminum alloy during hot deformation. Mater Charact. 2014;90:71–80.10.1016/j.matchar.2014.01.019Search in Google Scholar

[43] Chen K, Tang J, Jiang F, Teng J, Fu D, Zhang H. The role of various Zr additions in static softening behavior of Al-Zn-Mg-Cu alloys during interval holding of double-stage hot deformation. J Alloy Compd. 2019;792:1112–21.10.1016/j.jallcom.2019.04.090Search in Google Scholar

[44] Wang CJ, Deng KK, Zhou SS, Liang W. Dynamic recrystallization behavior of bimodal size SiCp reinforced Mg matrix composite during hot deformation. Acta Metall Sin (Engl Lett). 2016;29(6):527–37.10.1007/s40195-016-0415-0Search in Google Scholar

Received: 2022-05-22
Revised: 2022-10-03
Accepted: 2023-01-02
Published Online: 2023-02-17

© 2023 the author(s), published by De Gruyter

This work is licensed under the Creative Commons Attribution 4.0 International License.

Articles in the same Issue

  1. Research Articles
  2. Preparation of CdS–Ag2S nanocomposites by ultrasound-assisted UV photolysis treatment and its visible light photocatalysis activity
  3. Significance of nanoparticle radius and inter-particle spacing toward the radiative water-based alumina nanofluid flow over a rotating disk
  4. Aptamer-based detection of serotonin based on the rapid in situ synthesis of colorimetric gold nanoparticles
  5. Investigation of the nucleation and growth behavior of Ti2AlC and Ti3AlC nano-precipitates in TiAl alloys
  6. Dynamic recrystallization behavior and nucleation mechanism of dual-scale SiCp/A356 composites processed by P/M method
  7. High mechanical performance of 3-aminopropyl triethoxy silane/epoxy cured in a sandwich construction of 3D carbon felts foam and woven basalt fibers
  8. Applying solution of spray polyurea elastomer in asphalt binder: Feasibility analysis and DSR study based on the MSCR and LAS tests
  9. Study on the chronic toxicity and carcinogenicity of iron-based bioabsorbable stents
  10. Influence of microalloying with B on the microstructure and properties of brazed joints with Ag–Cu–Zn–Sn filler metal
  11. Thermohydraulic performance of thermal system integrated with twisted turbulator inserts using ternary hybrid nanofluids
  12. Study of mechanical properties of epoxy/graphene and epoxy/halloysite nanocomposites
  13. Effects of CaO addition on the CuW composite containing micro- and nano-sized tungsten particles synthesized via aluminothermic coupling with silicothermic reduction
  14. Cu and Al2O3-based hybrid nanofluid flow through a porous cavity
  15. Design of functional vancomycin-embedded bio-derived extracellular matrix hydrogels for repairing infectious bone defects
  16. Study on nanocrystalline coating prepared by electro-spraying 316L metal wire and its corrosion performance
  17. Axial compression performance of CFST columns reinforced by ultra-high-performance nano-concrete under long-term loading
  18. Tungsten trioxide nanocomposite for conventional soliton and noise-like pulse generation in anomalous dispersion laser cavity
  19. Microstructure and electrical contact behavior of the nano-yttria-modified Cu-Al2O3/30Mo/3SiC composite
  20. Melting rheology in thermally stratified graphene-mineral oil reservoir (third-grade nanofluid) with slip condition
  21. Re-examination of nonlinear vibration and nonlinear bending of porous sandwich cylindrical panels reinforced by graphene platelets
  22. Parametric simulation of hybrid nanofluid flow consisting of cobalt ferrite nanoparticles with second-order slip and variable viscosity over an extending surface
  23. Chitosan-capped silver nanoparticles with potent and selective intrinsic activity against the breast cancer cells
  24. Multi-core/shell SiO2@Al2O3 nanostructures deposited on Ti3AlC2 to enhance high-temperature stability and microwave absorption properties
  25. Solution-processed Bi2S3/BiVO4/TiO2 ternary heterojunction photoanode with enhanced photoelectrochemical performance
  26. Electroporation effect of ZnO nanoarrays under low voltage for water disinfection
  27. NIR-II window absorbing graphene oxide-coated gold nanorods and graphene quantum dot-coupled gold nanorods for photothermal cancer therapy
  28. Nonlinear three-dimensional stability characteristics of geometrically imperfect nanoshells under axial compression and surface residual stress
  29. Investigation of different nanoparticles properties on the thermal conductivity and viscosity of nanofluids by molecular dynamics simulation
  30. Optimized Cu2O-{100} facet for generation of different reactive oxidative species via peroxymonosulfate activation at specific pH values to efficient acetaminophen removal
  31. Brownian and thermal diffusivity impact due to the Maxwell nanofluid (graphene/engine oil) flow with motile microorganisms and Joule heating
  32. Appraising the dielectric properties and the effectiveness of electromagnetic shielding of graphene reinforced silicone rubber nanocomposite
  33. Synthesis of Ag and Cu nanoparticles by plasma discharge in inorganic salt solutions
  34. Low-cost and large-scale preparation of ultrafine TiO2@C hybrids for high-performance degradation of methyl orange and formaldehyde under visible light
  35. Utilization of waste glass with natural pozzolan in the production of self-glazed glass-ceramic materials
  36. Mechanical performance of date palm fiber-reinforced concrete modified with nano-activated carbon
  37. Melting point of dried gold nanoparticles prepared with ultrasonic spray pyrolysis and lyophilisation
  38. Graphene nanofibers: A modern approach towards tailored gypsum composites
  39. Role of localized magnetic field in vortex generation in tri-hybrid nanofluid flow: A numerical approach
  40. Intelligent computing for the double-diffusive peristaltic rheology of magneto couple stress nanomaterials
  41. Bioconvection transport of upper convected Maxwell nanoliquid with gyrotactic microorganism, nonlinear thermal radiation, and chemical reaction
  42. 3D printing of porous Ti6Al4V bone tissue engineering scaffold and surface anodization preparation of nanotubes to enhance its biological property
  43. Bioinspired ferromagnetic CoFe2O4 nanoparticles: Potential pharmaceutical and medical applications
  44. Significance of gyrotactic microorganisms on the MHD tangent hyperbolic nanofluid flow across an elastic slender surface: Numerical analysis
  45. Performance of polycarboxylate superplasticisers in seawater-blended cement: Effect from chemical structure and nano modification
  46. Entropy minimization of GO–Ag/KO cross-hybrid nanofluid over a convectively heated surface
  47. Oxygen plasma assisted room temperature bonding for manufacturing SU-8 polymer micro/nanoscale nozzle
  48. Performance and mechanism of CO2 reduction by DBD-coupled mesoporous SiO2
  49. Polyarylene ether nitrile dielectric films modified by HNTs@PDA hybrids for high-temperature resistant organic electronics field
  50. Exploration of generalized two-phase free convection magnetohydrodynamic flow of dusty tetra-hybrid Casson nanofluid between parallel microplates
  51. Hygrothermal bending analysis of sandwich nanoplates with FG porous core and piezomagnetic faces via nonlocal strain gradient theory
  52. Design and optimization of a TiO2/RGO-supported epoxy multilayer microwave absorber by the modified local best particle swarm optimization algorithm
  53. Mechanical properties and frost resistance of recycled brick aggregate concrete modified by nano-SiO2
  54. Self-template synthesis of hollow flower-like NiCo2O4 nanoparticles as an efficient bifunctional catalyst for oxygen reduction and oxygen evolution in alkaline media
  55. High-performance wearable flexible strain sensors based on an AgNWs/rGO/TPU electrospun nanofiber film for monitoring human activities
  56. High-performance lithium–selenium batteries enabled by nitrogen-doped porous carbon from peanut meal
  57. Investigating effects of Lorentz forces and convective heating on ternary hybrid nanofluid flow over a curved surface using homotopy analysis method
  58. Exploring the potential of biogenic magnesium oxide nanoparticles for cytotoxicity: In vitro and in silico studies on HCT116 and HT29 cells and DPPH radical scavenging
  59. Enhanced visible-light-driven photocatalytic degradation of azo dyes by heteroatom-doped nickel tungstate nanoparticles
  60. A facile method to synthesize nZVI-doped polypyrrole-based carbon nanotube for Ag(i) removal
  61. Improved osseointegration of dental titanium implants by TiO2 nanotube arrays with self-assembled recombinant IGF-1 in type 2 diabetes mellitus rat model
  62. Functionalized SWCNTs@Ag–TiO2 nanocomposites induce ROS-mediated apoptosis and autophagy in liver cancer cells
  63. Triboelectric nanogenerator based on a water droplet spring with a concave spherical surface for harvesting wave energy and detecting pressure
  64. A mathematical approach for modeling the blood flow containing nanoparticles by employing the Buongiorno’s model
  65. Molecular dynamics study on dynamic interlayer friction of graphene and its strain effect
  66. Induction of apoptosis and autophagy via regulation of AKT and JNK mitogen-activated protein kinase pathways in breast cancer cell lines exposed to gold nanoparticles loaded with TNF-α and combined with doxorubicin
  67. Effect of PVA fibers on durability of nano-SiO2-reinforced cement-based composites subjected to wet-thermal and chloride salt-coupled environment
  68. Effect of polyvinyl alcohol fibers on mechanical properties of nano-SiO2-reinforced geopolymer composites under a complex environment
  69. In vitro studies of titanium dioxide nanoparticles modified with glutathione as a potential drug delivery system
  70. Comparative investigations of Ag/H2O nanofluid and Ag-CuO/H2O hybrid nanofluid with Darcy-Forchheimer flow over a curved surface
  71. Study on deformation characteristics of multi-pass continuous drawing of micro copper wire based on crystal plasticity finite element method
  72. Properties of ultra-high-performance self-compacting fiber-reinforced concrete modified with nanomaterials
  73. Prediction of lap shear strength of GNP and TiO2/epoxy nanocomposite adhesives
  74. A novel exploration of how localized magnetic field affects vortex generation of trihybrid nanofluids
  75. Fabrication and physicochemical characterization of copper oxide–pyrrhotite nanocomposites for the cytotoxic effects on HepG2 cells and the mechanism
  76. Thermal radiative flow of cross nanofluid due to a stretched cylinder containing microorganisms
  77. In vitro study of the biphasic calcium phosphate/chitosan hybrid biomaterial scaffold fabricated via solvent casting and evaporation technique for bone regeneration
  78. Insights into the thermal characteristics and dynamics of stagnant blood conveying titanium oxide, alumina, and silver nanoparticles subject to Lorentz force and internal heating over a curved surface
  79. Effects of nano-SiO2 additives on carbon fiber-reinforced fly ash–slag geopolymer composites performance: Workability, mechanical properties, and microstructure
  80. Energy bandgap and thermal characteristics of non-Darcian MHD rotating hybridity nanofluid thin film flow: Nanotechnology application
  81. Green synthesis and characterization of ginger-extract-based oxali-palladium nanoparticles for colorectal cancer: Downregulation of REG4 and apoptosis induction
  82. Abnormal evolution of resistivity and microstructure of annealed Ag nanoparticles/Ag–Mo films
  83. Preparation of water-based dextran-coated Fe3O4 magnetic fluid for magnetic hyperthermia
  84. Statistical investigations and morphological aspects of cross-rheological material suspended in transportation of alumina, silica, titanium, and ethylene glycol via the Galerkin algorithm
  85. Effect of CNT film interleaves on the flexural properties and strength after impact of CFRP composites
  86. Self-assembled nanoscale entities: Preparative process optimization, payload release, and enhanced bioavailability of thymoquinone natural product
  87. Structure–mechanical property relationships of 3D-printed porous polydimethylsiloxane films
  88. Nonlinear thermal radiation and the slip effect on a 3D bioconvection flow of the Casson nanofluid in a rotating frame via a homotopy analysis mechanism
  89. Residual mechanical properties of concrete incorporated with nano supplementary cementitious materials exposed to elevated temperature
  90. Time-independent three-dimensional flow of a water-based hybrid nanofluid past a Riga plate with slips and convective conditions: A homotopic solution
  91. Lightweight and high-strength polyarylene ether nitrile-based composites for efficient electromagnetic interference shielding
  92. Review Articles
  93. Recycling waste sources into nanocomposites of graphene materials: Overview from an energy-focused perspective
  94. Hybrid nanofiller reinforcement in thermoset and biothermoset applications: A review
  95. Current state-of-the-art review of nanotechnology-based therapeutics for viral pandemics: Special attention to COVID-19
  96. Solid lipid nanoparticles for targeted natural and synthetic drugs delivery in high-incidence cancers, and other diseases: Roles of preparation methods, lipid composition, transitional stability, and release profiles in nanocarriers’ development
  97. Critical review on experimental and theoretical studies of elastic properties of wurtzite-structured ZnO nanowires
  98. Polyurea micro-/nano-capsule applications in construction industry: A review
  99. A comprehensive review and clinical guide to molecular and serological diagnostic tests and future development: In vitro diagnostic testing for COVID-19
  100. Recent advances in electrocatalytic oxidation of 5-hydroxymethylfurfural to 2,5-furandicarboxylic acid: Mechanism, catalyst, coupling system
  101. Research progress and prospect of silica-based polymer nanofluids in enhanced oil recovery
  102. Review of the pharmacokinetics of nanodrugs
  103. Engineered nanoflowers, nanotrees, nanostars, nanodendrites, and nanoleaves for biomedical applications
  104. Research progress of biopolymers combined with stem cells in the repair of intrauterine adhesions
  105. Progress in FEM modeling on mechanical and electromechanical properties of carbon nanotube cement-based composites
  106. Antifouling induced by surface wettability of poly(dimethyl siloxane) and its nanocomposites
  107. TiO2 aerogel composite high-efficiency photocatalysts for environmental treatment and hydrogen energy production
  108. Structural properties of alumina surfaces and their roles in the synthesis of environmentally persistent free radicals (EPFRs)
  109. Nanoparticles for the potential treatment of Alzheimer’s disease: A physiopathological approach
  110. Current status of synthesis and consolidation strategies for thermo-resistant nanoalloys and their general applications
  111. Recent research progress on the stimuli-responsive smart membrane: A review
  112. Dispersion of carbon nanotubes in aqueous cementitious materials: A review
  113. Applications of DNA tetrahedron nanostructure in cancer diagnosis and anticancer drugs delivery
  114. Magnetic nanoparticles in 3D-printed scaffolds for biomedical applications
  115. An overview of the synthesis of silicon carbide–boron carbide composite powders
  116. Organolead halide perovskites: Synthetic routes, structural features, and their potential in the development of photovoltaic
  117. Recent advancements in nanotechnology application on wood and bamboo materials: A review
  118. Application of aptamer-functionalized nanomaterials in molecular imaging of tumors
  119. Recent progress on corrosion mechanisms of graphene-reinforced metal matrix composites
  120. Research progress on preparation, modification, and application of phenolic aerogel
  121. Application of nanomaterials in early diagnosis of cancer
  122. Plant mediated-green synthesis of zinc oxide nanoparticles: An insight into biomedical applications
  123. Recent developments in terahertz quantum cascade lasers for practical applications
  124. Recent progress in dielectric/metal/dielectric electrodes for foldable light-emitting devices
  125. Nanocoatings for ballistic applications: A review
  126. A mini-review on MoS2 membrane for water desalination: Recent development and challenges
  127. Recent updates in nanotechnological advances for wound healing: A narrative review
  128. Recent advances in DNA nanomaterials for cancer diagnosis and treatment
  129. Electrochemical micro- and nanobiosensors for in vivo reactive oxygen/nitrogen species measurement in the brain
  130. Advances in organic–inorganic nanocomposites for cancer imaging and therapy
  131. Advancements in aluminum matrix composites reinforced with carbides and graphene: A comprehensive review
  132. Modification effects of nanosilica on asphalt binders: A review
  133. Decellularized extracellular matrix as a promising biomaterial for musculoskeletal tissue regeneration
  134. Review of the sol–gel method in preparing nano TiO2 for advanced oxidation process
  135. Micro/nano manufacturing aircraft surface with anti-icing and deicing performances: An overview
  136. Cell type-targeting nanoparticles in treating central nervous system diseases: Challenges and hopes
  137. An overview of hydrogen production from Al-based materials
  138. A review of application, modification, and prospect of melamine foam
  139. A review of the performance of fibre-reinforced composite laminates with carbon nanotubes
  140. Research on AFM tip-related nanofabrication of two-dimensional materials
  141. Advances in phase change building materials: An overview
  142. Development of graphene and graphene quantum dots toward biomedical engineering applications: A review
  143. Nanoremediation approaches for the mitigation of heavy metal contamination in vegetables: An overview
  144. Photodynamic therapy empowered by nanotechnology for oral and dental science: Progress and perspectives
  145. Biosynthesis of metal nanoparticles: Bioreduction and biomineralization
  146. Current diagnostic and therapeutic approaches for severe acute respiratory syndrome coronavirus-2 (SARS-COV-2) and the role of nanomaterial-based theragnosis in combating the pandemic
  147. Application of two-dimensional black phosphorus material in wound healing
  148. Special Issue on Advanced Nanomaterials and Composites for Energy Conversion and Storage - Part I
  149. Helical fluorinated carbon nanotubes/iron(iii) fluoride hybrid with multilevel transportation channels and rich active sites for lithium/fluorinated carbon primary battery
  150. The progress of cathode materials in aqueous zinc-ion batteries
  151. Special Issue on Advanced Nanomaterials for Carbon Capture, Environment and Utilization for Energy Sustainability - Part I
  152. Effect of polypropylene fiber and nano-silica on the compressive strength and frost resistance of recycled brick aggregate concrete
  153. Mechanochemical design of nanomaterials for catalytic applications with a benign-by-design focus
Downloaded on 21.1.2026 from https://www.degruyterbrill.com/document/doi/10.1515/ntrev-2022-0506/html
Scroll to top button