Startseite Parametric simulation of hybrid nanofluid flow consisting of cobalt ferrite nanoparticles with second-order slip and variable viscosity over an extending surface
Artikel Open Access

Parametric simulation of hybrid nanofluid flow consisting of cobalt ferrite nanoparticles with second-order slip and variable viscosity over an extending surface

  • Saqib Murtaza , Poom Kumam EMAIL logo , Muhammad Bilal , Thana Sutthibutpong , Nopporn Rujisamphan und Zubair Ahmad
Veröffentlicht/Copyright: 21. April 2023
Veröffentlichen auch Sie bei De Gruyter Brill

Abstract

This study explores the unsteady hybrid nanofluid (NF) flow consisting of cobalt ferrite (CoFe2O4) and copper (Cu) nano particulates with natural convection flow due to an expanding surface implanted in a porous medium. The Cu and CoFe2O4 nanoparticles (NPs) are added to the base fluid water to synthesize the hybrid NF. The effects of second-order velocity slip condition, chemical reaction, heat absorption/generation, temperature-dependent viscosity, and Darcy Forchheimer are also assessed in the present analysis. An ordinary differential equation system is substituted for the modeled equations of the problem. Further computational processing of the differential equations is performed using the parametric continuation method. A validation and accuracy comparison are performed with the Matlab package BVP4C. Physical constraints are used for presenting and reviewing the outcomes. With the increase in second-order velocity slip condition and unsteady viscosity, the rates of heat and mass transition increase significantly with the variation in Cu and Fe2O4 NPs. The findings suggest that the uses of Cu and Fe2O4 in ordinary fluids might be useful in the aerodynamic extrusion of plastic sheets and extrusion of a polymer sheet from a dye.

Nomenclature

A = ( ζ / u 0 )

unsteadiness coefficient

C ˜

concentration of the fluid

C ˜

concentration at infinity

D hnf

mass diffusion

Fr = C b k 1 / 2

Forchheimer number

g

gravitational force

κ = υ f ( 1 ζ t ) K u ˜ 0

permeability constant

k hnf

thermal conductivity

Kr

chemical reaction

K n

Knudsen number

N 0

thermal slip term

Pr = υ f ( ρ C p ) k f ,

Prandtl number

Q 0

heat absorption/generation

R

varying viscosity

Sc = υ f D f

Schmidt number

T ˜

temperature of the fluid

T ˜ s

surface temperature

T ˜

fluid temperature at infinity

u ˜

velocity component on x-axis

u ˜ slip

velocity slip

ν hnf

kinematic viscosity

v ˜

velocity component on y-axis

μ f

dynamic viscosity of fluid

λ

free path molecular mean

α

momentum accommodation constant

μ hnf

dynamic viscosity

β = N 0 u ˜ 0 / ν f

thermal slip

γ = a u ˜ 0 / ν f

slip velocity term of 1st-order

Γ = ( ( 1 ζ t ) Q 0 / u ˜ 0 ( ρ C p ) f )

heat source term

μ 0

reference viscosity of carrier fluid

ρ hnf

density

β hnf

volumetric expansion

( ρ C p ) hnf

specific heat capacity

δ = b ( u ˜ 0 / ν f )

slip velocity term of second-order

τ = ( g β t ( T ˜ b T ˜ s ) / x u ˜ 0 2 )

Grashof number

1 Introduction

Various applications of fluid flow analysis across an extending sheet have been achieved in various sectors, including polymer manufacturing and aerodynamic extrusion of plastics and so on [1]. To simulate the behavior of simple and hybrid nanomaterials, Gul et al. [2] used a stretching sheet. Relative to simple nanofluids (NFs), the hybrid nanoliquid is more efficacious in heat conduction. Bilal et al. [3] documented the ferrofluid flow on a stretchy substratum with suction and injection influences. Puneeth et al. [4] evaluated the effects of mass transfer on the dynamics of a Casson hybrid NF on an asymmetrical nonlinear stretchy sheet. In a systematic review, Hussain et al. [5] investigated the heat transference properties of magneto-hydro-dynamic (MHD) nanofluid (NF) flow across an expanding surface. Rotation is known to promote heat flux, while lowering skin friction. Shuaib et al. [6] observed the fluid dynamics and heat distribution. As compared to a classical model, the fractional model seems to be more accurate. The poroelastic rotatory nanoliquid flow across a linearly increasing surface under magnetic impact was studied by Raza et al. [7]. The energy transmission through NF flow over a contracting sheet was considered by Uddin et al. [8]. Rasool et al. [9] theoretically studied the Darcy-Forchheimer MHD NF flow with a non-linear extending sheet. The findings show that when the intensity of heat radiation increases, the thermal layer undergoes considerable changes in the progressive manner. An analysis of the effects of a 3D flow of Casson nano liquid over a Riga plate was published by Upreti et al. [10]. An analysis of Cu–Ag/H2OC2H6O2 hybrid NF flow was conducted by Joshi et al. [11]. They examined the considered phenomena in the presence of dissipation of viscosity. Upreti et al. [12] evaluated the nanoliquid flow between two parallel surfaces. They analyzed the entropy generation phenomena in the hybrid NF.

Hybrid NF is a revolutionary variant of liquid that surpasses regular fluids at energy transfers. Thermodynamic implications for hybrid NFs include chilling in elevated temperature [13]. In addition to renewable radiation, hybrid nuclear reactors are used in heating systems, heat exchangers, air conditioning units, automobiles, electrical refrigerators, turbines, radioactivity equipment, broadcasters, spacecraft, and biotech. Copper (Cu) and cobalt ferrite (CoFe2O4) NPs in the global solvent water are the purposes of this research. Electrodeposition, a “green” chemical approach, may be used to make Cu NPs from plant water extracts. New antitubercular medicines are being carried by Cu NPs [14]. Cu acts as an antiseptic, antibacterial, and antiviral ingredient when introduced to aquatic for varnishes, polymeric, and fibers. Cu-containing dietary supplements have a high absorption rate. Tensile strength is strong in Cu alloys and metals [15]. Metallic compounds encompass iron and cobalt NPs. Iron reduces interstitial endurance, permitting charge/ion mobility on the surface [16]. Imaging methods have shown to be critical in accurately identifying disorders. MRI is the most flexible of them all because it can give you morphological and physiological information. Bi-magnetic granules are used to make it more effective. Bi-magnetic NPs can be utilized for therapeutic agents and photoacoustic imaging, making them interesting candidates for development as enhanced MRI contrast agents. Bi-magnetic NPs can also be applied in therapeutic agents and photoacoustic imaging. Magnetic therapy is employed to cure tumors because cancerous cells are much more susceptible to less heat than normal tissues. Energy elevation produced by magnetic NPs accumulation can prevent cancer while exhibiting little consequences on adjacent tissues [17].

Numerous scientists and academics focus on the quantitative perspective to the abovementioned issues and challenges. Bilal et al. [18] evaluated the influence of electric and ferromagnetic effects on the hybrid NF flow across two rotary interfaces. The momentum boundary layer is enhanced by the electric factor. A hybrid NF was assessed with CoFe2O4 and Fe3O4 in ethylene glycol by Ramesh et al. [19]. The results of metallic cushions and nanostructured materials were calculated with an MWCNT-Fe3O4 hybrid NF by Wang et al. [20]. Using a transparent extendable sheet with heat and momentum transitions, Bilal et al. [21] explored the effect of radiant energy on unsteady peristaltic flow. The distribution of microrotations is influenced by the porosity factor. In their study of NF flow, Algehyne et al. [22] used motile microbes and nanoparticles on porous moveable substrates. Few of the earlier studies [2327] include some related literature of NFs and hybrid NFs.

The constant fluid physical parameters have been considered in various NF flow simulations. NFs, however, have variably viscous properties, which are critical to NF flow because they vary greatly with temperature. Internal resistance, for example, generates heat, which raises the temperature and hence influences the viscosity of NFs. To accurately assess the flow characteristics of NFs, it is crucial to take into account the viscosity–temperature discrepancy. Kuttan et al. [28] investigated the effects of temperature-dependent viscosity on fluid flow across a smooth surface. Shafiq et al. [29] investigated the NF flow on thin slandering needles. The authors dispersed carbon nanotubes in ethylene glycol to make homogenous suspension. Udawattha et al. [30] used the viscoelasticity of solid particle dispersion to determine the effective viscosity of NFs. There is currently a scarcity of data on the flow of Cu–CoFe2O4/H2O hybrid NFs when temperature-dependent viscosity is considered.

There are many cases whereby a no-slip boundaries condition is not appropriate. For example, polymer melts exhibit some wall slips for distinct non-Newtonian fluids, and these slips tend to follow a monotonous and nonlinear relationship between slip velocity and adhesion friction mathematical problems [31]. Fluids with a slip boundary condition are beneficial in a range of technical and biomedical disciplines, including costly lubrication, optical coatings, cooling apparatus, purification of prosthetic heart valves, internal chambers, and other industrial operations. As a result, some researchers have looked into the implication of the slip boundary condition [32]. For instance, Oyelakin et al. [33] and Tlili et al. [34] investigated the impact of slip conditions on NF flow and energy conversion across a rigid sheet. Khan et al. [35] extensively documented the impact of slip conditions on NF flow. They discovered that when the value of second-order velocity slip conditions increases, the thermal allocation and thermal pressure gradient rise. However, nothing is known regarding the effect of second-order slip on the flow of Cu–C0Fe2O4/H2O hybrid NFs overstretched surfaces. One of the goals of this research is to fill up the gaps in the previously mentioned information.

As a result of the abovementioned literature review, we examined the flow and heat transmission of Cu–C0Fe2O4/H2O hybrid NF surfaces over stretching surfaces. In addition to temperature-dependent viscosity, heat source, free convection, Darcy Forchheimer, second-order slip, and chemical reaction are taken into account. A spectral parametric continuation method (PCM) is used to evaluate the governing equations. It is a highly accurate and fast-convergent method. Tables and graphs are also presented to illustrate how controlling factors affect hybrid NF flow velocity and temperature gradients. In biological domains, such as enzymatic biosensors, drug delivery, cancer therapy, and enzymatic biosensors, the proposed model has promising implications. So far, no assessment has been conducted on this topic. In comparison with other studies that have been conducted, this work is unique and innovative.

2 Mathematical formulation

We illustrated a 2D unsteady hybrid NF flow with velocity and thermal slip conditions passing over linearly extending texture embedded in the permeable medium. The Cu and CoFe2O4 nanoparticles are equally dispersed in water, to reform hybrid NF. The flow regime is y > 0 , where x-axis and y-axis are along the flow direction and normal to the flow field, respectively. Initially, the hybrid NF is at rest with a consistent temperature T ˜ s at t = 0. But at t > 0 , the surface starts stretching linearly with velocity u ˜ w = ( u ˜ 0 / 1 ξ t ) x , where u ˜ 0 < 0 show surface shrinking and u ˜ 0 > 0 represent surface stretching. On behalf of the above presumption and Boussinesq approximation, the modeled equations for the fluid flow are calculated as follows [36,37]:

(1) u ˜ x + v ˜ y = 0 ,

(2) ρ hnf u ˜ t + u u ˜ x + v u ˜ y = μ hnf 2 u ˜ y 2 + u ˜ y y ( μ hnf ) μ hnf K u ˜ + g ( ρ β t ) hnf ( T ˜ T ˜ s ) + ( ρ β c ) hnf ( C ˜ C ˜ s ) Fu 2 ,

(3) ( ρ C p ) hnf T ˜ t + u ˜ T ˜ x + v ˜ T ˜ y = k hnf 2 T ˜ y 2 + Q 0 ( T ˜ T ˜ ) ,

(4) C ˜ t + u ˜ C ˜ x + v ˜ C ˜ y = D hnf 2 C y 2 + Kr ( C ˜ C ˜ ) .

The boundary conditions are as follows:

(5) u ˜ ( x , t ) = u ˜ w + u ˜ slip , v ˜ = 0 , T ˜ = T ˜ b + N 0 T ˜ y , C = C b at y = 0 , u ˜ ( x , t ) 0 , v ˜ 0 , T ˜ T ˜ s , C C s as y ,

where ρ hnf , μ hnf , D hnf , and ν hnf show density, dynamic viscosity, mass diffusivity, and kinematic viscosity of hybrid NF. Here N 0 , Q 0 , β hnf , Kr , and g are the thermal slip term, heat absorption/generation, volumetric expansion of hybrid NF, chemical reaction, and gravitational force, respectively.

(6) μ f = μ 0 e R θ ( ζ ) ,

(7) u ˜ slip = a u ˜ y + b 2 u ˜ y 2 ,

where a and b are expressed as follows:

(8) a = 2 3 3 α r 2 α 3 2 1 r 2 K n λ , a b = 1 4 r 4 + 2 K n 2 ( 1 r 2 ) λ 2 .

Here λ is the free path molecular mean and K n is the Knudsen number. R is the varying viscosity ( R < 0 for liquid & R > 0 for gas), and μ 0 is the reference viscosity of carrier fluid (Tables 1 and 2).

Table 1

Experimental values of Cu, CoFe2O4, and water [38]

ρ ( kg / m 3 ) C p ( J / kg K ) k ( W / mK )
Water 997.1 4,179 0.613
Cu 8,933 385 401
CoFe2O4 4,907 700 3.7
Table 2

Mathematical model for hybrid nanoliquid ( ϕ 1 = ϕ Cu , ϕ 2 = ϕ CoFe 2 O 4 ) [38]

Properties
Viscosity μ hnf μ bf = 1 ( 1 ϕ Cu ϕ CoFe 2 O 4 ) 2
Density ρ hnf ρ bf = ϕ Cu ρ Cu ρ bf + ϕ CoFe 2 O 4 ρ COFe 2 O 4 ρ bf + ( 1 ϕ Cu ϕ CoFe 2 O 4 )
Thermal capacity ( ρ C p ) hnf ( ρ C p ) bf = ϕ Cu ( ρ C p ) Cu ( ρ C p ) bf + ϕ CoFe 2 O 4 ( ρ C p ) CoFe 2 O 4 ( ρ C p ) bf + ( 1 ϕ Cu ϕ CoFe 2 O 4 )
Thermal conductivity k hnf k bf = ϕ Cu k Cu + ϕ CoFe 2 O 4 k CoFe 2 O 4 ϕ Cu + ϕ CoFe 2 O 4 + 2 k bf + 2 ( ϕ Cu k Cu + ϕ CoFe 2 O 4 k CoFe 2 O 4 ) 2 ( ϕ Cu + ϕ COFe 2 O 4 ) k bf ϕ Cu k Cu + ϕ CoFe 2 O 4 k CoFe 2 O 4 ϕ Cu + ϕ CoFe 2 O 4 + 2 k bf 2 ( k Cu ϕ Cu + k COFe 2 O 4 ϕ CoFe 2 O 4 ) + ( ϕ Cu + ϕ CoFe 2 O 4 ) 2 k bf
Electrical conductivity σ hnf σ bf = ϕ Cu σ Cu + σ CoFe 2 O 4 ϕ CoFe 2 O 4 ϕ CoFe 2 O 4 + ϕ Cu + 2 σ bf + 2 ( ϕ Cu σ Cu + ϕ CoFe 2 O 4 σ CoFe 2 O 4 ) 2 ( ϕ Cu + ϕ CoFe 2 O 4 ) σ bf ϕ Cu σ Cu + ϕ CoFe 2 O 4 σ CoFe 2 O 4 ϕ Cu + ϕ CoFe 2 O 4 + 2 σ bf ( ϕ Cu σ Cu + ϕ CoFe 2 O 4 σ CoFe 2 O 4 ) + ( ϕ Cu + ϕ CoFe 2 O 4 ) σ bf

The similarity variables are as follows:

(9) u ˜ = u ˜ 0 1 ζ t x f ( ζ ) , v ˜ = u ˜ 0 ν f 1 ζ t f ( ζ ) , ζ = u ˜ 0 ν f ( 1 ζ t ) y , φ ( ζ ) = C ˜ C ˜ s C ˜ b C ˜ s , θ ( ζ ) = T ˜ T ˜ s T ˜ b T ˜ s .

Substituting equation (8) in equations (1)–(7), we get

(10) f ( ζ ) + 1 2 f ( ζ ) f ( ζ ) A f ( ζ ) + ζ 2 f ( ζ ) f 2 ( ζ ) + 3 τ θ ( ζ ) R θ ( ζ ) κ f ( ζ ) Fr = 0 ,

(11) k hnf k f θ ( ζ ) + 4 Pr f ( ζ ) θ ( ζ ) A 2 θ ( ζ ) + ζ 2 θ ( ζ ) + Pr Γ θ ( ζ ) = 0 ,

(12) D hnf D f 1 Sc φ + A f φ K c φ = 0 .

The transform conditions are as follows:

(13) f ( 0 ) = 0 , f ( 0 ) = 1 + δ f ( 0 ) + γ f ( 0 ) , θ ( 0 ) = 1 + β θ ( 0 ) , φ ( 0 ) = 1 , f ( ) 0 , θ ( ) 0 , φ ( ) 0 .

Here

(14) 1 = μ hnf μ bf , 2 = ρ hnf ρ bf , 3 = k hnf k bf , 4 = ( ρ C p ) hnf ( ρ C p ) bf ,

where Pr = υ f ( ρ C p ) k f , is the Prandtl number, Fr = C b k 1 / 2 is the Darcy Forchheimer number, Sc = υ f D f is the Schmidt number, β = N 0 u ˜ 0 / ν f is the thermal slip, δ = b ( u ˜ 0 / ν f ) is the slip velocity term of second-order, γ = a u ˜ 0 / ν f is the slip velocity term of first-order, τ = ( g β t ( T ˜ b T ˜ s ) / b u ˜ 0 2 ) is the Grashof number, Γ = ( ( 1 ζ t ) Q 0 / u ˜ 0 ( ρ C p ) f ) is the heat source, A = ( ζ / u 0 ) is the unsteadiness coefficient, and κ = υ f ( 1 ζ t ) K u ˜ 0 is the permeability constant.

The non-dimensional physical interest quantities are as follows:

(15) Re x 1 / 2 C f x = f ( 0 ) ( 1 ϕ 1 ) 2.5 ( 1 ϕ 2 ) 2.5 , Re x 1 / 2 Nu x = k hnf k f θ ( 0 ) , Re x 1 / 2 Sh x = φ ( 0 ) .

3 Numerical solution

The basic steps while using PCM are as follows [39,40].

Step 1: Simplifying the BVP to a 1st system of ordinary differential equations (ODEs)

(16) 1 = f ( ζ ) , 2 = f ( ζ ) , 3 = f ( ζ ) , 4 = θ ( ζ ) , 5 = θ ( ζ ) , 6 = φ ( ζ ) , 7 = φ ( ζ ) .

By substituting equation (9) in equations (1)–(5), we get

(17) 3 + 1 2 1 3 A 2 + ζ 2 3 2 2 + 3 τ 4 R 5 κ 2 Fr = 0 ,

(18) k hnf k f 5 + 4 Pr 1 5 A 2 4 + ζ 2 5 + Pr Γ 4 = 0 ,

(19) D hnf D f 1 Sc 7 + A f 7 K c 6 = 0 .

The transform conditions are as follows:

(20) 1 ( 0 ) = 0 , 2 ( 0 ) = 1 + γ 3 ( 0 ) + δ 3 ( 0 ) , 4 ( 0 ) = 1 + β 5 , 6 ( 0 ) = 1 , 2 ( ) 0 , 4 ( ) 0 , 6 ( ) 0 .

Step 2: Introducing parameter p

(21) 3 + 1 2 1 ( 3 1 ) p A 2 + ζ 2 3 2 2 + 3 τ 4 R 5 κ 2 Fr = 0 ,

(22) k hnf k f 5 + 4 Pr 1 ( 5 1 ) p A 2 4 + ζ 2 5 + Pr Γ 4 = 0 ,

(23) D hnf D f 1 Sc 7 + A f ( 7 1 ) p K c 6 = 0 .

Step 3: Applying Cauchy principal

Equations (21)–(23) are further discretized and manipulated through PCM Matlab code.

4 Results and discussion

The purpose of this section is to explain the physics behind the graphical results and tables. Results are displayed using figures. Cu NF is represented by solid lines, while CoFe2O4 NF is represented by dashes. The mechanical process of hybrid NF flow across a permeable elongating sheet is described in Figure 1. The default values of parameters are taken as A = 1.0 , ϕ 1 = ϕ 2 = 0.01 , Fr = 0.5 , R = 0.1 , τ = 0.01 , κ = δ = 0.1 , β = 0.2 , Γ = 0.1 .

Figure 1 
               Physical sketch of the hybrid NF flow through stretching sheet.
Figure 1

Physical sketch of the hybrid NF flow through stretching sheet.

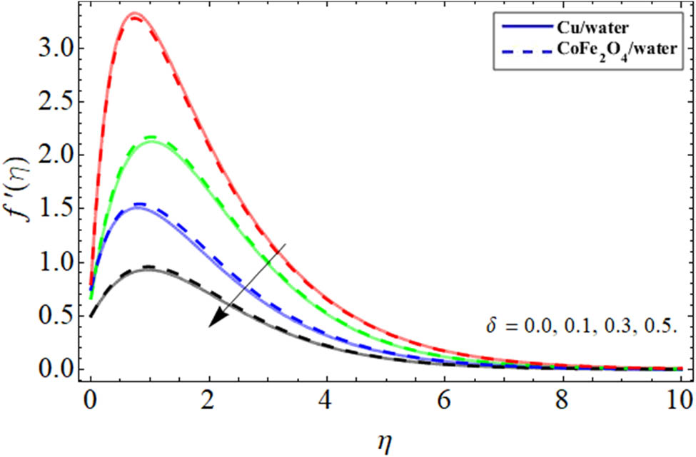
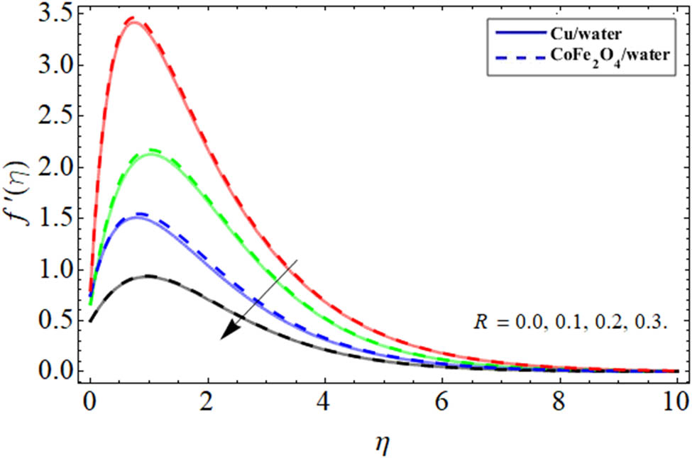
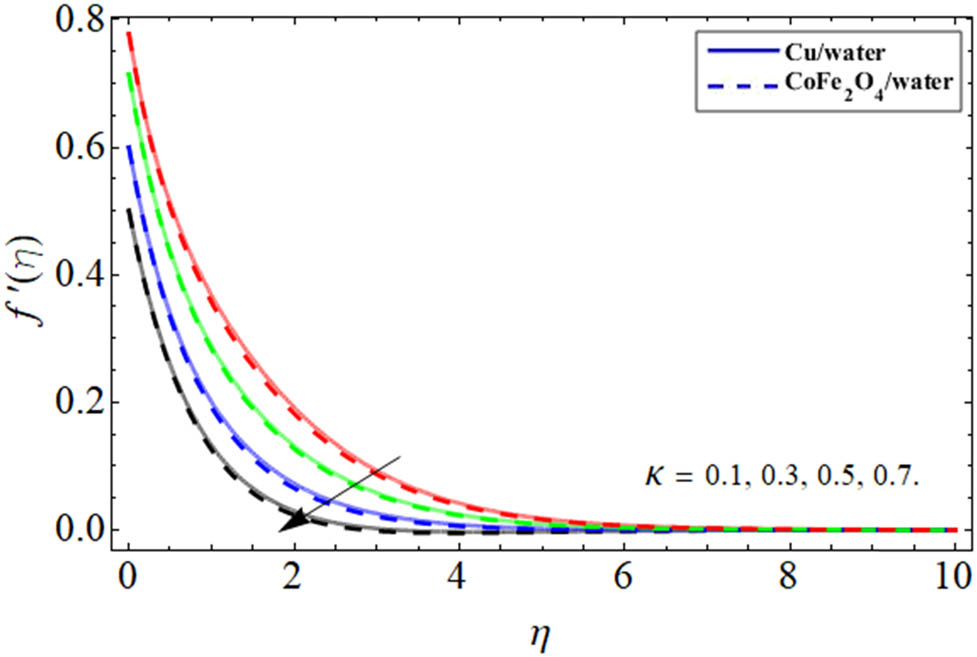
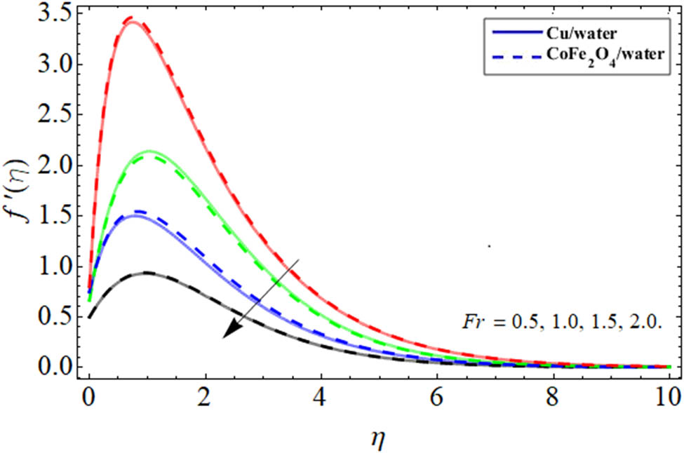
Figures 29 highlight the behavior of velocity f ( η ) outlines vs Cu NPs, CoFe2O4 NPs, unsteadiness term A, Forchheimer number Fr, variable viscosity R, Grashof number τ , permeability factor κ , and second-order slip δ , respectively. Figures 2 and 3 reveal that the velocity contour enhances with the inclusion of ϕ 1 and ϕ 2 NPs. Because water has a significantly higher specific heat capability than Cu and CoFe2O4 NPs, while having a lower thermal efficiency, the addition of hybrid NPs, particularly Cu, diminishes its average heat-absorbing efficiency, resulting in an increase in velocity field. Figures 4 and 5 reveal that the velocity outlines decline with the upshot of unsteadiness term A and Forchheimer number Fr. Figures 6 and 7 describe that the velocity curve declines with the upshot of variable viscosity R, while enhancing Gr. Over time the viscosity of fluid develops, which produces resistance opposite to the flow field, that’s why this phenomenon happened as shown in Figure 6. Physically, the heat generation capability of the fluid improves with the effect of Grashof number, which results in the enhancement of fluid velocity. Figures 8 and 9 display that the velocity field lessens under the impact of permeability factor κ and second-order slip δ . The second-order slip component improves fluid motion resistance, reducing the fluid flow field and the thickness of the momentum boundary layer. Furthermore, a higher value δ improves the energy transference.

Figure 2 
               Velocity outlines 
                     
                        
                        
                           
                              f
                              ′
                           
                           
                              
                                 (
                                 
                                    η
                                 
                                 )
                              
                           
                        
                        f^{\prime} (\eta )
                     
                   
                  vs Cu NPs.
Figure 2

Velocity outlines f ( η ) vs Cu NPs.

Figure 3 
               Velocity outlines 
                     
                        
                        
                           
                              f
                              ′
                           
                           
                              
                                 (
                                 
                                    η
                                 
                                 )
                              
                           
                        
                        f^{\prime} (\eta )
                     
                   
                  vs CoFe2O4 NPs.
Figure 3

Velocity outlines f ( η ) vs CoFe2O4 NPs.

Figure 4 
               Velocity outlines 
                     
                        
                        
                           
                              f
                              ′
                           
                           
                              
                                 (
                                 
                                    η
                                 
                                 )
                              
                           
                        
                        f^{\prime} (\eta )
                     
                   
                  vs unsteadiness constraint.
Figure 4

Velocity outlines f ( η ) vs unsteadiness constraint.

Figure 5 
               Velocity outlines 
                     
                        
                        
                           
                              f
                              ′
                           
                           
                              
                                 (
                                 
                                    η
                                 
                                 )
                              
                           
                        
                        f^{\prime} (\eta )
                     
                   
                  vs Darcy Forchheimer number.
Figure 5

Velocity outlines f ( η ) vs Darcy Forchheimer number.

Figure 6 
               Velocity outlines 
                     
                        
                        
                           
                              f
                              ′
                           
                           
                              
                                 (
                                 
                                    η
                                 
                                 )
                              
                           
                        
                        f^{\prime} (\eta )
                     
                   
                  vs variable viscosity term.
Figure 6

Velocity outlines f ( η ) vs variable viscosity term.

Figure 7 
               Velocity outlines 
                     
                        
                        
                           
                              f
                              ′
                           
                           
                              
                                 (
                                 
                                    η
                                 
                                 )
                              
                           
                        
                        f^{\prime} (\eta )
                     
                   
                  vs Grashof number.
Figure 7

Velocity outlines f ( η ) vs Grashof number.

Figure 8 
               Velocity outlines 
                     
                        
                        
                           
                              f
                              ′
                           
                           
                              
                                 (
                                 
                                    η
                                 
                                 )
                              
                           
                        
                        f^{\prime} (\eta )
                     
                   
                  vs permeability term.
Figure 8

Velocity outlines f ( η ) vs permeability term.

Figure 9 
               Velocity outlines 
                     
                        
                        
                           
                              f
                              ′
                           
                           
                              
                                 (
                                 
                                    η
                                 
                                 )
                              
                           
                        
                        f^{\prime} (\eta )
                     
                   
                  vs second-order slip constraint.
Figure 9

Velocity outlines f ( η ) vs second-order slip constraint.

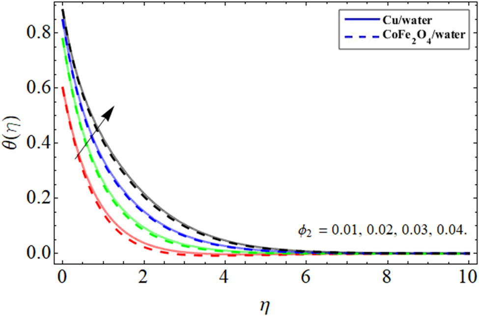
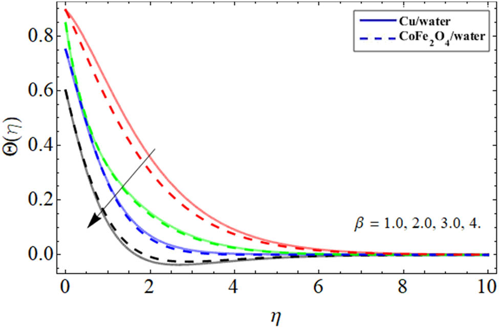
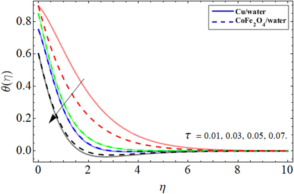
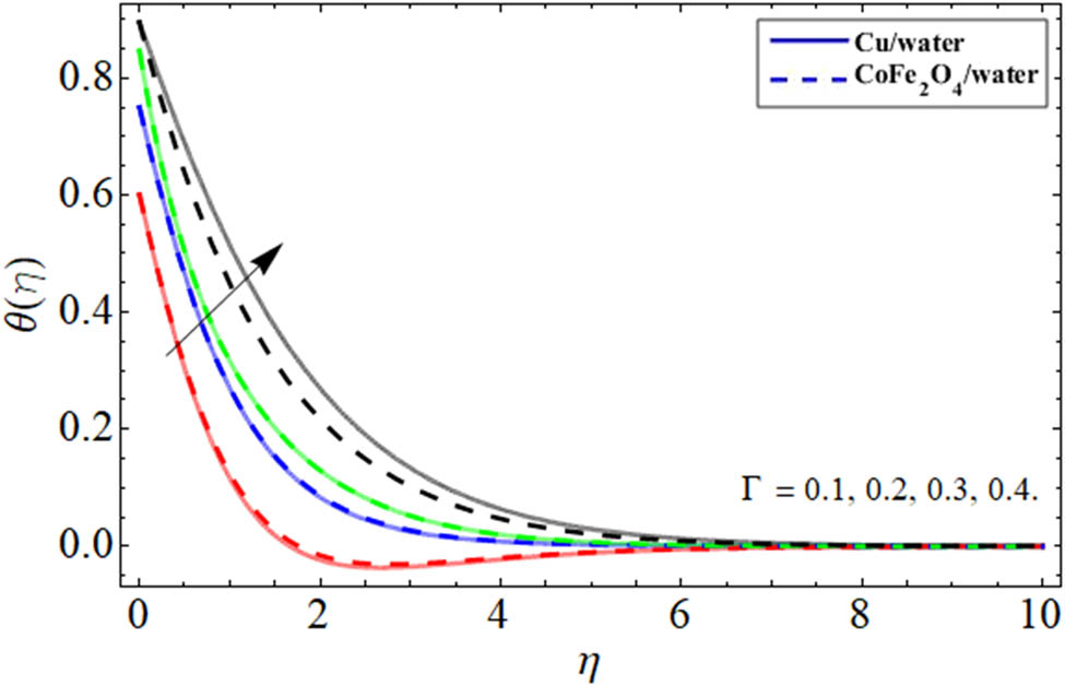
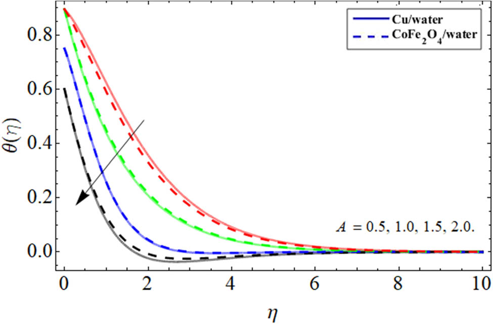
Figures 1015 report the compartment of energy contour against the variation in Cu, CoFe2O4, unsteadiness term A, Grashof number τ , thermal slip β , heat source term Γ , respectively. Figures 10 and 11 depict that the variation in Cu and CoFe2O4 boosts the energy transference rate. The addition of Cu and CoFe2O4 reduces the average heat capacity of hybrid NF, which causes an advancement of the energy outline. Figures 12 and 13 emphasize that the energy curve decreases with the upshot of unsteadiness term A and Grashof number. Free convection flows are continuously carried from the stretched surface to the free stream and a rise in τ shows that free convection is progressing currents of convection. Figures 14 and 15 report that the energy curve diminishes with the outcome of thermal slip term β and enhances with the action of the heat source term. The impact of heat source term encourages fluid particles and increases their kinetic energy, which results in the elevation of the energy field.

Figure 10 
               Energy outlines 
                     
                        
                        
                           θ
                           
                              
                                 (
                                 
                                    η
                                 
                                 )
                              
                           
                        
                        \theta (\eta )
                     
                   
                  vs Cu NPs.
Figure 10

Energy outlines θ ( η ) vs Cu NPs.

Figure 11 
               Energy outlines 
                     
                        
                        
                           θ
                           
                              
                                 (
                                 
                                    η
                                 
                                 )
                              
                           
                        
                        \theta (\eta )
                     
                   
                  vs CoFe2O4 NPs.
Figure 11

Energy outlines θ ( η ) vs CoFe2O4 NPs.

Figure 12 
               Energy outlines 
                     
                        
                        
                           θ
                           
                              
                                 (
                                 
                                    η
                                 
                                 )
                              
                           
                        
                        \theta (\eta )
                     
                   
                  vs unsteadiness term.
Figure 12

Energy outlines θ ( η ) vs unsteadiness term.

Figure 13 
               Energy outlines 
                     
                        
                        
                           θ
                           
                              
                                 (
                                 
                                    η
                                 
                                 )
                              
                           
                        
                        \theta (\eta )
                     
                   
                  vs Grashof number.
Figure 13

Energy outlines θ ( η ) vs Grashof number.

Figure 14 
               Energy outlines 
                     
                        
                        
                           θ
                           
                              
                                 (
                                 
                                    η
                                 
                                 )
                              
                           
                        
                        \theta (\eta )
                     
                   
                  vs thermal slip term.
Figure 14

Energy outlines θ ( η ) vs thermal slip term.

Figure 15 
               Energy outlines 
                     
                        
                        
                           θ
                           
                              
                                 (
                                 
                                    η
                                 
                                 )
                              
                           
                        
                        \theta (\eta )
                     
                   
                  vs heat absorption/generation constraint.
Figure 15

Energy outlines θ ( η ) vs heat absorption/generation constraint.

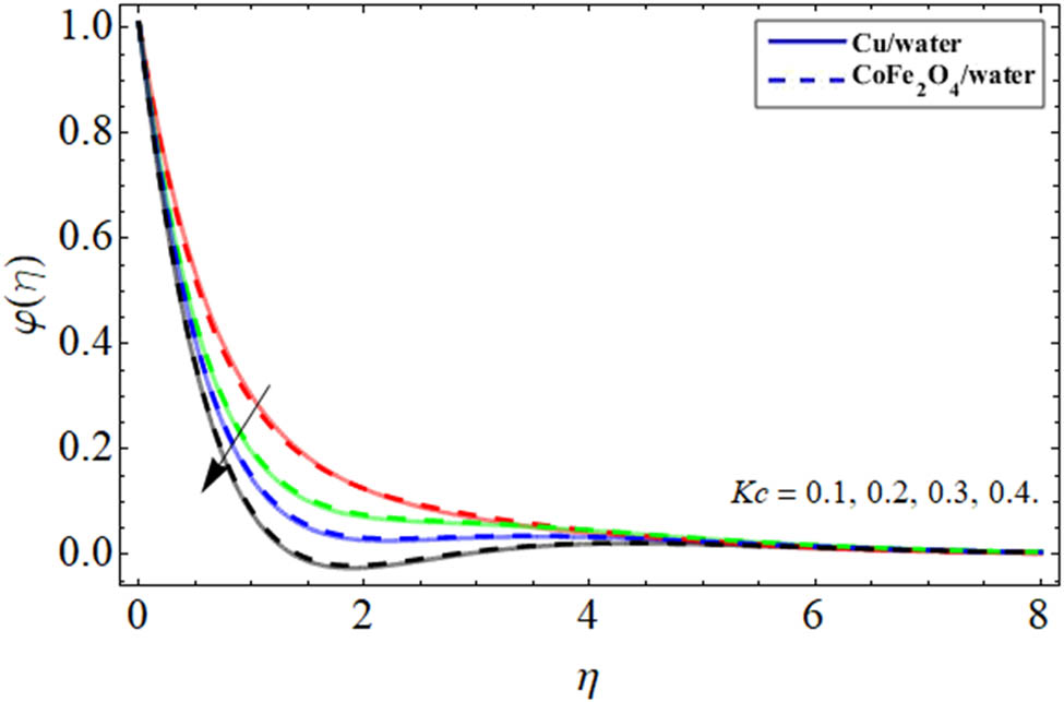
Figures 16 and 17 reveal the mass transmission trend vs the variation in chemical reaction Kr and Schmidt number Sc. It has been noticed from Figures 16 and 17 that the mass propagation profile significantly declines with the variation in Kr and Sc. It is believed that the growing values of Sc and Kr reduce the mass outline. Figure 18 ensures the accuracy of the present results with the published work, while using the value of β = 0 for no slip condition.

Figure 16 
               Energy outlines 
                     
                        
                        
                           θ
                           
                              
                                 (
                                 
                                    η
                                 
                                 )
                              
                           
                        
                        \theta (\eta )
                     
                   
                  vs chemical reaction.
Figure 16

Energy outlines θ ( η ) vs chemical reaction.

Figure 17 
               Energy outlines 
                     
                        
                        
                           θ
                           
                              
                                 (
                                 
                                    η
                                 
                                 )
                              
                           
                        
                        \theta (\eta )
                     
                   
                  vs Schmidt number.
Figure 17

Energy outlines θ ( η ) vs Schmidt number.

Figure 18 
               Validation of the present outcome with the published work.
Figure 18

Validation of the present outcome with the published work.

Tables 1 and 2 show Cu and CoFe2O4 NPs and their thermochemical properties, respectively. To confirm the validity of the current report, Table 3 presents the quantitative evaluation of PCM and BVP4C approaches. In the calculation, the heat and momentum domains are related. Table 4 expresses the relative comparison between the present results and the published literature. It can be observed that the present outcomes are accurate and reliable. Tables 5 and 6 illustrate the numerical outputs for Nusselt number and Sherwood number vs the variation in physical parameters.

Table 3

Statistical assessments of Sherwood and Nusselt numbers

PCM BVP4C
η θ ( 0 ) φ ( 0 ) θ ( 0 ) φ ( 0 )
0.00 1.4854 1.5953 1.4781 1.5934
0.03 1.3562 1.5361 1.3232 1.5315
0.06 1.2482 1.4481 1.2221 1.4217
0.09 1.0114 1.2010 2.0073 1.1032
Table 4

Relative comparison of the present outcomes vs the published literature

Parameters Hayat et al. [41] Khashi’ie et al. [42] Present work Hayat et al. [41] Khashi’ie et al. [42] Present work
M S f ( 0 ) f ( 1 )
0.0 0.5 −7.412153 −7.4121525 −7.4121531 4.714303 4.7143028 4.7143032
1.0 −7.592618 −7.5926177 −7.5926182 4.738017 4.7380165 4.7380173
4.0 −8.111334 −8.1113342 −8.1113361 4.821251 4.8212511 4.8212543
9.0 −8.911096 −8.9110956 −8.9110971 4.965870 4.9658698 4.9658723
0.0 −4.588891 −4.5888911 −4.5888942 1.843447 1.8434469 1.8434483
0.3 −6.666662 −6.6666620 −6.6666647 3.654695 3.6546948 3.6546974
0.6 −8.852444 −8.8524442 −8.8524462 5.392248 5.3922475 5.3922488
1.0 −11.949584 −11.9495843 −11.9495873 7.594426 7.5944262 7.5944291
Table 5

Numerical values for Nusselt number θ ( 0 )

Parameters NF Hybrid
ϕ 1 ϕ 1 τ β Pr CoFe 2 O 3 Cu CoFe 2 O 3
0.01 0.01 0.2 0.1 6.2 2.1327595 2.3327595
0.02 2.0074208 2.2074204
0.03 1.4196705 1.5196702
0.04 0.01 2.8247303 2.9247305
0.02 2.5824944 2.5824976
0.03 1.1319745 1.2319784
0.04 0.2 1.9454874 1.9454974
0.3 2.5824944 2.6825692
0.4 2.1300553 2.3302493
0.5 0.1 2.0984188 2.2984354
0.3 2.5824944 2.7826235
0.5 1.5330137 1.6335359
0.7 6.2 1.1675688 1.4697365
6.4 0.8303698 1.9342547
6.6 1.6068036 2.6268491
6.8 2.4090316 3.4509078
Table 6

Numerical values for Sherwood number φ ( 0 )

Parameters NF Hybrid
ϕ 1 ϕ 1 Kc Sc Pr CoFe 2 O 3 Cu CoFe 2 O 3
0.01 0.01 0.2 0.1 6.2 3.327573 2.3275956
0.02 3.07428 2.074205
0.03 2.196723 1.196704
0.01 3.247323 2.347306
0.02 3.824943 2.824977
0.03 2.319746 1.319785
0.1 2.454875 1.454975
0.4 3.824945 2.825693
0.7 3.300554 2.302494
0.1 3.984189 2.984355
0.2 3.824945 2.826236
0.3 2.330138 1.335378
6.2 2.675689 1.697376
6.4 1.303699 1.342564
6.6 2.068038 2.268582

5 Conclusion

An extended surface of Cu–CoFe2O4/H2O hybrid NFs has been studied to determine its flow and heat transmission characteristics. Reliability substitutions are used to summarize the modeled equations of the problem. The obtained set of differential equations is further processed computationally by employing the PCM approach. This methodology is highly accurate and fast converging. The proposed model has promising implications in biological domains such as cancer therapy, enzymatic biosensors, and drug delivery. The key conclusions of this study are as follows:

  • The energy and velocity contour significantly enhances with the variation in Grashof number, Cu nanomaterials ϕ 1 = ϕ Cu and CoFe2O4 ϕ 2 = ϕ CoFe 2 O 4 nano particulates.

  • The influence of permeability factor κ and second-order slip δ diminishes the velocity field.

  • The velocity field declines with the effect of unsteadiness term A, variable viscosity R, and Forchheimer number Fr.

  • The energy profile decreases with the upshot of unsteadiness term A, Grashof number, thermal slip term β , and enhances with the action of the heat source.

  • The mass propagation profile significantly declines with the variation in a chemical reaction and Schmidt number.

  • The inclusion of Cu and CoFe2O4 nanosize crystals has a huge tendency to boost the energy transmission for the biomedical and industrial purposes.

  • In future, the present model may be modified to non-Newtonian fluid and can be solved with the other numerical, analytical, and fractional techniques.

Acknowledgments

The authors acknowledge the financial support provided by the Center of Excellence in Theoretical and Computational Science (TaCS-CoE), KMUTT. Saqib Murtaza is supported by the Petchra Pra Jom Klao Ph.D. Moreover, this research project is supported by Thailand Science Research and Innovation (TSRI) Basic Research Fund: Fiscal year 2023 under project number FRB660073/0164.

  1. Funding information: The financial support is provided by the Center of Excellence in Theoretical and Computational Science (TaCS-CoE), KMUTT. Saqib Murtaza is supported by the Petchra Pra Jom Klao Ph.D. Moreover, this research project is supported by Thailand Science Research and Innovation (TSRI) Basic Research Fund: Fiscal year 2023 under project number FRB660073/0164.

  2. Author contributions: All authors have accepted responsibility for the entire content of this manuscript and approved its submission.

  3. Conflict of interest: The authors state no conflict of interest.

  4. Data availability statement: The authors confirm that the data supporting the findings of this study are available within the article.

References

[1] Mjankwi MA, Masanja VG, Mureithi EW, James MNO. Unsteady MHD flow of nanofluid with variable properties over a stretching sheet in the presence of thermal radiation and chemical reaction. Int J Math Math Sci. 2019;2019:1–14.10.1155/2019/7392459Suche in Google Scholar

[2] Gul T, Khan A, Bilal M, Alreshidi NA, Mukhtar S, Shah Z, et al. Magnetic dipole impact on the hybrid nanofluid flow over an extending surface. Sci Rep. 2020;10(1):1–13.10.1038/s41598-020-65298-1Suche in Google Scholar PubMed PubMed Central

[3] Bilal M, Saeed A, Selim MM, Gul T, Ali I, Kumam P. Comparative numerical analysis of Maxwell’s time-dependent thermo-diffusive flow through a stretching cylinder. Case Stud Therm Eng. 2021;27:1–11.10.1016/j.csite.2021.101301Suche in Google Scholar

[4] Puneeth V, Manjunatha S, Madhukesh JK, Ramesh GK. Three dimensional mixed convection flow of hybrid Casson nanofluid past a non-linear stretching surface: A modified Buongiorno’s model aspects. Chaos Solitons Fractals. 2021;152:111428.10.1016/j.chaos.2021.111428Suche in Google Scholar

[5] Hussain A, Arshad M, Rehman A, Hassan A, Elagan SK, Ahmad H, et al. Three-dimensional water-based magneto-hydrodynamic rotating nanofluid flow over a linear extending sheet and heat transport analysis: A numerical approach. Energies. 2021;14(16):5133.10.3390/en14165133Suche in Google Scholar

[6] Shuaib M, Bilal M, Khan MA, Malebary SJ. Fractional analysis of viscous fluid flow with heat and mass transfer over a flexible rotating disk. Comput Model Eng Sci. 2020;123(1):377–400.10.32604/cmes.2020.08076Suche in Google Scholar

[7] Raza J, Dero S, Lund LA, Omar Z. Duality and stability of MHD Darcy–Forchheimer porous medium flow of rotating nanofluid on a linear shrinking/stretching sheet: Buongiorno model. Int J Numer Methods Heat Fluid Flow. 2021;9(2023):1–19.10.1108/HFF-01-2021-0054Suche in Google Scholar

[8] Uddin Z, Vishwak KS, Harmand S. Numerical duality of MHD stagnation point flow and heat transfer of nanofluid past a shrinking/stretching sheet: Metaheuristic approach. Chin J Phys. 2021;73:442–61.10.1016/j.cjph.2021.07.018Suche in Google Scholar

[9] Rasool G, Shafiq A, Alqarni MS, Wakif A, Khan I, Bhutta MS. Numerical scrutinization of Darcy-Forchheimer relation in convective magnetohydrodynamic nanofluid flow bounded by nonlinear stretching surface in the perspective of heat and mass transfer. Micromachines. 2021;12(4):374.10.3390/mi12040374Suche in Google Scholar PubMed PubMed Central

[10] Upreti H, Pandey AK, Uddin Z, Kumar M. Thermophoresis and Brownian motion effects on 3D flow of Casson nanofluid consisting microorganisms over a Riga plate using PSO: A numerical study. Chin J Phys. 2022;78:234–70.10.1016/j.cjph.2022.06.019Suche in Google Scholar

[11] Joshi N, Upreti H, Pandey AK. MHD Darcy-Forchheimer Cu-Ag/H2O-C2H6O2 hybrid nanofluid flow via a porous stretching sheet with suction/blowing and viscous dissipation. Int J Comput Methods Eng Sci Mech. 2022;23(6):1–9.10.1080/15502287.2022.2030426Suche in Google Scholar

[12] Upreti H, Pandey AK, Kumar M. Unsteady squeezing flow of magnetic hybrid nanofluids within parallel plates and entropy generation. Heat Transfer. 2011;50(1): 105–25.10.1002/htj.21994Suche in Google Scholar

[13] Waqas H, Imran M, Muhammad T, Sait SM, Ellahi R. Numerical investigation on bioconvection flow of Oldroyd-B nanofluid with nonlinear thermal radiation and motile microorganisms over rotating disk. J Therm Anal Calorim. 2021;145(2).10.1007/s10973-020-09728-2Suche in Google Scholar

[14] Mussabayeva B, Murzagulova K, Aripzhanova Z, Klivenko A. Preparation of silver and copper nanoparticles for biomedical application. 2017 IEEE 7th International Conference Nanomaterials: Application & Properties (NAP). IEEE; 2017, September. p. 04NB20-1.10.1109/NAP.2017.8190332Suche in Google Scholar

[15] Kart HH, Yildirim H, Kart SO, Çağin T. Physical properties of Cu nanoparticles: A molecular dynamics study. Mater Chem Phys. 2014;147(1–2):204–12.10.1016/j.matchemphys.2014.04.030Suche in Google Scholar

[16] Munjal S, Khare N, Nehate C, Koul V. Water dispersible CoFe2O4 nanoparticles with improved colloidal stability for biomedical applications. J Magn Magn Mater. 2016;404:166–9.10.1016/j.jmmm.2015.12.017Suche in Google Scholar

[17] Nica V, Caro C, Páez-Muñoz JM, Leal MP, Garcia-Martin ML. Bi-magnetic core-shell CoFe2O4@ MnFe2O4 nanoparticles for in vivo theranostics. Nanomaterials. 2020;10(5):907.10.3390/nano10050907Suche in Google Scholar PubMed PubMed Central

[18] Bilal M, Gul T, Alsubie A, Ali I. Axisymmetric hybrid nanofluid flow with heat and mass transfer amongst the two gyrating plates. ZAMM‐J Appl Math Mech/Zeitschrift für Angew Mathematik und Mechanik. 2021;101(11):e202000146.10.1002/zamm.202000146Suche in Google Scholar

[19] Ramesh GK, Madhukesh JK, Prasannakumara BC, Shehzad SA, Abbasi FM. Thermodynamics examination of Fe3O4-CoFe2O4/Water + EG Nanofluid in a Heated Plate: Crosswise and Stream-wise Aspects. Arab J Sci Eng. 2021;2022(47):1–10.10.1007/s13369-021-06265-4Suche in Google Scholar

[20] Wang J, Xu YP, Qahiti R, Jafaryar M, Alazwari MA, Abu-Hamdeh NH, et al. Simulation of hybrid nanofluid flow within a microchannel heat sink considering porous media analyzing CPU stability. J Pet Sci Eng. 2022;208:109734.10.1016/j.petrol.2021.109734Suche in Google Scholar

[21] Bilal M, Saeed A, Gul T, Kumam W, Mukhtar S, Kumam P. Parametric simulation of micropolar fluid with thermal radiation across a porous stretching surface. Sci Rep. 2022;12(1):1–11.10.1038/s41598-022-06458-3Suche in Google Scholar PubMed PubMed Central

[22] Algehyne EA, Alhusayni YY, Tassaddiq A, Saeed A, Bilal M. The study of nanofluid flow with motile microorganism and thermal slip condition across a vertical permeable surface. Waves Random Complex Media. 2022;2022(1):1–18.10.1080/17455030.2022.2071501Suche in Google Scholar

[23] Shahzad F, Jamshed W, Eid MR, El Din SM, Banerjee R. Mathematical modelling of graphene-oxide/kerosene oil nanofluid via radiative linear extendable surface. Alex Eng J. 2023;70:395–410.10.1016/j.aej.2023.02.034Suche in Google Scholar

[24] Daniel YS, Aziz ZA, Ismail Z, Salah F. Effects of thermal radiation, viscous and Joule heating on electrical MHD nanofluid with double stratification. Chin J Phys. 2017;55(3):630–51.10.1016/j.cjph.2017.04.001Suche in Google Scholar

[25] Patel VK, Pandya JU, Patel MR. Testing the influence of TiO2−Ag/water on hybrid nanofluid MHD flow with effect of radiation and slip conditions over exponentially stretching & shrinking sheets. J Magn Magn Mater. 2023;32(5):170591.10.1016/j.jmmm.2023.170591Suche in Google Scholar

[26] Guedri K, Mahmood Z, Fadhl BM, Makhdoum BM, Eldin SM, Khan U. Mathematical analysis of nonlinear thermal radiation and nanoparticle aggregation on unsteady MHD flow of micropolar nanofluid over shrinking sheet. Heliyon. 2023;572:1–11.10.1016/j.heliyon.2023.e14248Suche in Google Scholar PubMed PubMed Central

[27] Daniel YS, Aziz ZA, Ismail Z, Salah F. Double stratification effects on unsteady electrical MHD mixed convection flow of nanofluid with viscous dissipation and Joule heating. J Appl Res Technol. 2017;15(5):464–76.10.1016/j.jart.2017.05.007Suche in Google Scholar

[28] Kuttan BA, Manjunatha S, Jayanthy S, Gireesha BJ, Archana M. Effect of variable viscosity on Marangoni convective boundary layer flow of nanofluid in the presence of mixed convection. J Nanofluids. 2019;8(4):845–51.10.1166/jon.2019.1637Suche in Google Scholar

[29] Shafiq A, Çolak AB, Naz Sindhu T. Designing artificial neural network of nanoparticle diameter and solid–fluid interfacial layer on single‐walled carbon nanotubes/ethylene glycol nanofluid flow on thin slendering needles. Int J Numer Methods Fluids. 2021;93(12):3384–404.10.1002/fld.5038Suche in Google Scholar

[30] Udawattha DS, Narayana M, Wijayarathne UPL. Predicting the effective viscosity of nanofluids based on the rheology of suspensions of solid particles. J King Saud Univ—Sci. 2019;31(3):412–26.10.1016/j.jksus.2017.09.016Suche in Google Scholar

[31] Halim N, Haq RU, Noor N. Active and passive controls of nanoparticles in maxwell stagnation point flow over a slipped stretched surface. Meccanica. 2016;52:1527–39.10.1007/s11012-016-0517-9Suche in Google Scholar

[32] Krishnamurthy M, Gireesha B, Prasannakumara B, Gorla RSR. Thermal radiation and chemical reaction effects on boundary layer slip flow and melting heat transfer of nanofluid induced by a nonlinear stretching sheet. Nonlinear Eng. 2016;5(3):147–59.10.1515/nleng-2016-0013Suche in Google Scholar

[33] Oyelakin IS, Mondal S, Sibanda P. Unsteady Casson nanofluid flow over a stretching sheet with thermal radiation, convective and slip boundary conditions. Alex Eng J. 2016;55(2):1025–35.10.1016/j.aej.2016.03.003Suche in Google Scholar

[34] Tlili I, Khan WA, Khan I. Multiple slips effects on MHD SA-Al2O3 and SA-Cu non-Newtonian nanofluids flow over a stretching cylinder in porous medium with radiation and chemical reaction. Results Phys. 2018;8:213–22.10.1016/j.rinp.2017.12.013Suche in Google Scholar

[35] Khan SU, Waqas H, Shehzad SA, Imran M. Theoretical analysis of tangent hyperbolic nanoparticles with combined electrical MHD, activation energy and Wu’s slip features: a mathematical model. Phys Scr. 2019;94(12):Article ID 125211.10.1088/1402-4896/ab399fSuche in Google Scholar

[36] Tulu A, Ibrahim W. Effects of second-order slip flow and variable viscosity on natural convection flow of (CNTs–Fe3O4)/water hybrid nanofluids due to stretching surface. Math Probl Eng. 2021;2021:1–18.10.1155/2021/8407194Suche in Google Scholar

[37] Ahmad S, Ali K, Rizwan M, Ashraf M. Heat and mass transfer attributes of copper–aluminum oxide hybrid nanoparticles flow through a porous medium. Case Stud Therm Eng. 2021;25:100932.10.1016/j.csite.2021.100932Suche in Google Scholar

[38] Reddy PBA. Biomedical aspects of entropy generation on electromagnetohydrodynamic blood flow of hybrid nanofluid with nonlinear thermal radiation and non-uniform heat source/sink. Eur Phys J Plus. 2020;135(10):1–30.10.1140/epjp/s13360-020-00825-7Suche in Google Scholar

[39] Shuaib M, Shah RA, Durrani I, Bilal M. Electrokinetic viscous rotating disk flow of Poisson-Nernst-Planck equation for ion transport. J Mol Liq. 2020;313:113412.10.1016/j.molliq.2020.113412Suche in Google Scholar

[40] Shuaib M, Shah RA, Bilal M. Von-Karman rotating flow in variable magnetic field with variable physical properties. Adv Mech Eng. 2021;13(2):1687814021990463.10.1177/1687814021990463Suche in Google Scholar

[41] Hayat T, Muhammad T, Qayyum A, Alsaedi A, Mustafa M. On squeezing flow of nanofluid in the presence of magnetic field effects. J Mol Liq. 2016;213:179–85.10.1016/j.molliq.2015.11.003Suche in Google Scholar

[42] Khashi’ie NS, Waini I, Arifin NM, Pop I. Unsteady squeezing flow of Cu-Al2O3/water hybrid nanofluid in a horizontal channel with magnetic field. Sci Rep. 2021;11(1):1–11.10.1038/s41598-021-93644-4Suche in Google Scholar PubMed PubMed Central

Received: 2022-06-16
Revised: 2023-02-15
Accepted: 2023-03-09
Published Online: 2023-04-21

© 2023 the author(s), published by De Gruyter

This work is licensed under the Creative Commons Attribution 4.0 International License.

Artikel in diesem Heft

  1. Research Articles
  2. Preparation of CdS–Ag2S nanocomposites by ultrasound-assisted UV photolysis treatment and its visible light photocatalysis activity
  3. Significance of nanoparticle radius and inter-particle spacing toward the radiative water-based alumina nanofluid flow over a rotating disk
  4. Aptamer-based detection of serotonin based on the rapid in situ synthesis of colorimetric gold nanoparticles
  5. Investigation of the nucleation and growth behavior of Ti2AlC and Ti3AlC nano-precipitates in TiAl alloys
  6. Dynamic recrystallization behavior and nucleation mechanism of dual-scale SiCp/A356 composites processed by P/M method
  7. High mechanical performance of 3-aminopropyl triethoxy silane/epoxy cured in a sandwich construction of 3D carbon felts foam and woven basalt fibers
  8. Applying solution of spray polyurea elastomer in asphalt binder: Feasibility analysis and DSR study based on the MSCR and LAS tests
  9. Study on the chronic toxicity and carcinogenicity of iron-based bioabsorbable stents
  10. Influence of microalloying with B on the microstructure and properties of brazed joints with Ag–Cu–Zn–Sn filler metal
  11. Thermohydraulic performance of thermal system integrated with twisted turbulator inserts using ternary hybrid nanofluids
  12. Study of mechanical properties of epoxy/graphene and epoxy/halloysite nanocomposites
  13. Effects of CaO addition on the CuW composite containing micro- and nano-sized tungsten particles synthesized via aluminothermic coupling with silicothermic reduction
  14. Cu and Al2O3-based hybrid nanofluid flow through a porous cavity
  15. Design of functional vancomycin-embedded bio-derived extracellular matrix hydrogels for repairing infectious bone defects
  16. Study on nanocrystalline coating prepared by electro-spraying 316L metal wire and its corrosion performance
  17. Axial compression performance of CFST columns reinforced by ultra-high-performance nano-concrete under long-term loading
  18. Tungsten trioxide nanocomposite for conventional soliton and noise-like pulse generation in anomalous dispersion laser cavity
  19. Microstructure and electrical contact behavior of the nano-yttria-modified Cu-Al2O3/30Mo/3SiC composite
  20. Melting rheology in thermally stratified graphene-mineral oil reservoir (third-grade nanofluid) with slip condition
  21. Re-examination of nonlinear vibration and nonlinear bending of porous sandwich cylindrical panels reinforced by graphene platelets
  22. Parametric simulation of hybrid nanofluid flow consisting of cobalt ferrite nanoparticles with second-order slip and variable viscosity over an extending surface
  23. Chitosan-capped silver nanoparticles with potent and selective intrinsic activity against the breast cancer cells
  24. Multi-core/shell SiO2@Al2O3 nanostructures deposited on Ti3AlC2 to enhance high-temperature stability and microwave absorption properties
  25. Solution-processed Bi2S3/BiVO4/TiO2 ternary heterojunction photoanode with enhanced photoelectrochemical performance
  26. Electroporation effect of ZnO nanoarrays under low voltage for water disinfection
  27. NIR-II window absorbing graphene oxide-coated gold nanorods and graphene quantum dot-coupled gold nanorods for photothermal cancer therapy
  28. Nonlinear three-dimensional stability characteristics of geometrically imperfect nanoshells under axial compression and surface residual stress
  29. Investigation of different nanoparticles properties on the thermal conductivity and viscosity of nanofluids by molecular dynamics simulation
  30. Optimized Cu2O-{100} facet for generation of different reactive oxidative species via peroxymonosulfate activation at specific pH values to efficient acetaminophen removal
  31. Brownian and thermal diffusivity impact due to the Maxwell nanofluid (graphene/engine oil) flow with motile microorganisms and Joule heating
  32. Appraising the dielectric properties and the effectiveness of electromagnetic shielding of graphene reinforced silicone rubber nanocomposite
  33. Synthesis of Ag and Cu nanoparticles by plasma discharge in inorganic salt solutions
  34. Low-cost and large-scale preparation of ultrafine TiO2@C hybrids for high-performance degradation of methyl orange and formaldehyde under visible light
  35. Utilization of waste glass with natural pozzolan in the production of self-glazed glass-ceramic materials
  36. Mechanical performance of date palm fiber-reinforced concrete modified with nano-activated carbon
  37. Melting point of dried gold nanoparticles prepared with ultrasonic spray pyrolysis and lyophilisation
  38. Graphene nanofibers: A modern approach towards tailored gypsum composites
  39. Role of localized magnetic field in vortex generation in tri-hybrid nanofluid flow: A numerical approach
  40. Intelligent computing for the double-diffusive peristaltic rheology of magneto couple stress nanomaterials
  41. Bioconvection transport of upper convected Maxwell nanoliquid with gyrotactic microorganism, nonlinear thermal radiation, and chemical reaction
  42. 3D printing of porous Ti6Al4V bone tissue engineering scaffold and surface anodization preparation of nanotubes to enhance its biological property
  43. Bioinspired ferromagnetic CoFe2O4 nanoparticles: Potential pharmaceutical and medical applications
  44. Significance of gyrotactic microorganisms on the MHD tangent hyperbolic nanofluid flow across an elastic slender surface: Numerical analysis
  45. Performance of polycarboxylate superplasticisers in seawater-blended cement: Effect from chemical structure and nano modification
  46. Entropy minimization of GO–Ag/KO cross-hybrid nanofluid over a convectively heated surface
  47. Oxygen plasma assisted room temperature bonding for manufacturing SU-8 polymer micro/nanoscale nozzle
  48. Performance and mechanism of CO2 reduction by DBD-coupled mesoporous SiO2
  49. Polyarylene ether nitrile dielectric films modified by HNTs@PDA hybrids for high-temperature resistant organic electronics field
  50. Exploration of generalized two-phase free convection magnetohydrodynamic flow of dusty tetra-hybrid Casson nanofluid between parallel microplates
  51. Hygrothermal bending analysis of sandwich nanoplates with FG porous core and piezomagnetic faces via nonlocal strain gradient theory
  52. Design and optimization of a TiO2/RGO-supported epoxy multilayer microwave absorber by the modified local best particle swarm optimization algorithm
  53. Mechanical properties and frost resistance of recycled brick aggregate concrete modified by nano-SiO2
  54. Self-template synthesis of hollow flower-like NiCo2O4 nanoparticles as an efficient bifunctional catalyst for oxygen reduction and oxygen evolution in alkaline media
  55. High-performance wearable flexible strain sensors based on an AgNWs/rGO/TPU electrospun nanofiber film for monitoring human activities
  56. High-performance lithium–selenium batteries enabled by nitrogen-doped porous carbon from peanut meal
  57. Investigating effects of Lorentz forces and convective heating on ternary hybrid nanofluid flow over a curved surface using homotopy analysis method
  58. Exploring the potential of biogenic magnesium oxide nanoparticles for cytotoxicity: In vitro and in silico studies on HCT116 and HT29 cells and DPPH radical scavenging
  59. Enhanced visible-light-driven photocatalytic degradation of azo dyes by heteroatom-doped nickel tungstate nanoparticles
  60. A facile method to synthesize nZVI-doped polypyrrole-based carbon nanotube for Ag(i) removal
  61. Improved osseointegration of dental titanium implants by TiO2 nanotube arrays with self-assembled recombinant IGF-1 in type 2 diabetes mellitus rat model
  62. Functionalized SWCNTs@Ag–TiO2 nanocomposites induce ROS-mediated apoptosis and autophagy in liver cancer cells
  63. Triboelectric nanogenerator based on a water droplet spring with a concave spherical surface for harvesting wave energy and detecting pressure
  64. A mathematical approach for modeling the blood flow containing nanoparticles by employing the Buongiorno’s model
  65. Molecular dynamics study on dynamic interlayer friction of graphene and its strain effect
  66. Induction of apoptosis and autophagy via regulation of AKT and JNK mitogen-activated protein kinase pathways in breast cancer cell lines exposed to gold nanoparticles loaded with TNF-α and combined with doxorubicin
  67. Effect of PVA fibers on durability of nano-SiO2-reinforced cement-based composites subjected to wet-thermal and chloride salt-coupled environment
  68. Effect of polyvinyl alcohol fibers on mechanical properties of nano-SiO2-reinforced geopolymer composites under a complex environment
  69. In vitro studies of titanium dioxide nanoparticles modified with glutathione as a potential drug delivery system
  70. Comparative investigations of Ag/H2O nanofluid and Ag-CuO/H2O hybrid nanofluid with Darcy-Forchheimer flow over a curved surface
  71. Study on deformation characteristics of multi-pass continuous drawing of micro copper wire based on crystal plasticity finite element method
  72. Properties of ultra-high-performance self-compacting fiber-reinforced concrete modified with nanomaterials
  73. Prediction of lap shear strength of GNP and TiO2/epoxy nanocomposite adhesives
  74. A novel exploration of how localized magnetic field affects vortex generation of trihybrid nanofluids
  75. Fabrication and physicochemical characterization of copper oxide–pyrrhotite nanocomposites for the cytotoxic effects on HepG2 cells and the mechanism
  76. Thermal radiative flow of cross nanofluid due to a stretched cylinder containing microorganisms
  77. In vitro study of the biphasic calcium phosphate/chitosan hybrid biomaterial scaffold fabricated via solvent casting and evaporation technique for bone regeneration
  78. Insights into the thermal characteristics and dynamics of stagnant blood conveying titanium oxide, alumina, and silver nanoparticles subject to Lorentz force and internal heating over a curved surface
  79. Effects of nano-SiO2 additives on carbon fiber-reinforced fly ash–slag geopolymer composites performance: Workability, mechanical properties, and microstructure
  80. Energy bandgap and thermal characteristics of non-Darcian MHD rotating hybridity nanofluid thin film flow: Nanotechnology application
  81. Green synthesis and characterization of ginger-extract-based oxali-palladium nanoparticles for colorectal cancer: Downregulation of REG4 and apoptosis induction
  82. Abnormal evolution of resistivity and microstructure of annealed Ag nanoparticles/Ag–Mo films
  83. Preparation of water-based dextran-coated Fe3O4 magnetic fluid for magnetic hyperthermia
  84. Statistical investigations and morphological aspects of cross-rheological material suspended in transportation of alumina, silica, titanium, and ethylene glycol via the Galerkin algorithm
  85. Effect of CNT film interleaves on the flexural properties and strength after impact of CFRP composites
  86. Self-assembled nanoscale entities: Preparative process optimization, payload release, and enhanced bioavailability of thymoquinone natural product
  87. Structure–mechanical property relationships of 3D-printed porous polydimethylsiloxane films
  88. Nonlinear thermal radiation and the slip effect on a 3D bioconvection flow of the Casson nanofluid in a rotating frame via a homotopy analysis mechanism
  89. Residual mechanical properties of concrete incorporated with nano supplementary cementitious materials exposed to elevated temperature
  90. Time-independent three-dimensional flow of a water-based hybrid nanofluid past a Riga plate with slips and convective conditions: A homotopic solution
  91. Lightweight and high-strength polyarylene ether nitrile-based composites for efficient electromagnetic interference shielding
  92. Review Articles
  93. Recycling waste sources into nanocomposites of graphene materials: Overview from an energy-focused perspective
  94. Hybrid nanofiller reinforcement in thermoset and biothermoset applications: A review
  95. Current state-of-the-art review of nanotechnology-based therapeutics for viral pandemics: Special attention to COVID-19
  96. Solid lipid nanoparticles for targeted natural and synthetic drugs delivery in high-incidence cancers, and other diseases: Roles of preparation methods, lipid composition, transitional stability, and release profiles in nanocarriers’ development
  97. Critical review on experimental and theoretical studies of elastic properties of wurtzite-structured ZnO nanowires
  98. Polyurea micro-/nano-capsule applications in construction industry: A review
  99. A comprehensive review and clinical guide to molecular and serological diagnostic tests and future development: In vitro diagnostic testing for COVID-19
  100. Recent advances in electrocatalytic oxidation of 5-hydroxymethylfurfural to 2,5-furandicarboxylic acid: Mechanism, catalyst, coupling system
  101. Research progress and prospect of silica-based polymer nanofluids in enhanced oil recovery
  102. Review of the pharmacokinetics of nanodrugs
  103. Engineered nanoflowers, nanotrees, nanostars, nanodendrites, and nanoleaves for biomedical applications
  104. Research progress of biopolymers combined with stem cells in the repair of intrauterine adhesions
  105. Progress in FEM modeling on mechanical and electromechanical properties of carbon nanotube cement-based composites
  106. Antifouling induced by surface wettability of poly(dimethyl siloxane) and its nanocomposites
  107. TiO2 aerogel composite high-efficiency photocatalysts for environmental treatment and hydrogen energy production
  108. Structural properties of alumina surfaces and their roles in the synthesis of environmentally persistent free radicals (EPFRs)
  109. Nanoparticles for the potential treatment of Alzheimer’s disease: A physiopathological approach
  110. Current status of synthesis and consolidation strategies for thermo-resistant nanoalloys and their general applications
  111. Recent research progress on the stimuli-responsive smart membrane: A review
  112. Dispersion of carbon nanotubes in aqueous cementitious materials: A review
  113. Applications of DNA tetrahedron nanostructure in cancer diagnosis and anticancer drugs delivery
  114. Magnetic nanoparticles in 3D-printed scaffolds for biomedical applications
  115. An overview of the synthesis of silicon carbide–boron carbide composite powders
  116. Organolead halide perovskites: Synthetic routes, structural features, and their potential in the development of photovoltaic
  117. Recent advancements in nanotechnology application on wood and bamboo materials: A review
  118. Application of aptamer-functionalized nanomaterials in molecular imaging of tumors
  119. Recent progress on corrosion mechanisms of graphene-reinforced metal matrix composites
  120. Research progress on preparation, modification, and application of phenolic aerogel
  121. Application of nanomaterials in early diagnosis of cancer
  122. Plant mediated-green synthesis of zinc oxide nanoparticles: An insight into biomedical applications
  123. Recent developments in terahertz quantum cascade lasers for practical applications
  124. Recent progress in dielectric/metal/dielectric electrodes for foldable light-emitting devices
  125. Nanocoatings for ballistic applications: A review
  126. A mini-review on MoS2 membrane for water desalination: Recent development and challenges
  127. Recent updates in nanotechnological advances for wound healing: A narrative review
  128. Recent advances in DNA nanomaterials for cancer diagnosis and treatment
  129. Electrochemical micro- and nanobiosensors for in vivo reactive oxygen/nitrogen species measurement in the brain
  130. Advances in organic–inorganic nanocomposites for cancer imaging and therapy
  131. Advancements in aluminum matrix composites reinforced with carbides and graphene: A comprehensive review
  132. Modification effects of nanosilica on asphalt binders: A review
  133. Decellularized extracellular matrix as a promising biomaterial for musculoskeletal tissue regeneration
  134. Review of the sol–gel method in preparing nano TiO2 for advanced oxidation process
  135. Micro/nano manufacturing aircraft surface with anti-icing and deicing performances: An overview
  136. Cell type-targeting nanoparticles in treating central nervous system diseases: Challenges and hopes
  137. An overview of hydrogen production from Al-based materials
  138. A review of application, modification, and prospect of melamine foam
  139. A review of the performance of fibre-reinforced composite laminates with carbon nanotubes
  140. Research on AFM tip-related nanofabrication of two-dimensional materials
  141. Advances in phase change building materials: An overview
  142. Development of graphene and graphene quantum dots toward biomedical engineering applications: A review
  143. Nanoremediation approaches for the mitigation of heavy metal contamination in vegetables: An overview
  144. Photodynamic therapy empowered by nanotechnology for oral and dental science: Progress and perspectives
  145. Biosynthesis of metal nanoparticles: Bioreduction and biomineralization
  146. Current diagnostic and therapeutic approaches for severe acute respiratory syndrome coronavirus-2 (SARS-COV-2) and the role of nanomaterial-based theragnosis in combating the pandemic
  147. Application of two-dimensional black phosphorus material in wound healing
  148. Special Issue on Advanced Nanomaterials and Composites for Energy Conversion and Storage - Part I
  149. Helical fluorinated carbon nanotubes/iron(iii) fluoride hybrid with multilevel transportation channels and rich active sites for lithium/fluorinated carbon primary battery
  150. The progress of cathode materials in aqueous zinc-ion batteries
  151. Special Issue on Advanced Nanomaterials for Carbon Capture, Environment and Utilization for Energy Sustainability - Part I
  152. Effect of polypropylene fiber and nano-silica on the compressive strength and frost resistance of recycled brick aggregate concrete
  153. Mechanochemical design of nanomaterials for catalytic applications with a benign-by-design focus
Heruntergeladen am 19.11.2025 von https://www.degruyterbrill.com/document/doi/10.1515/ntrev-2022-0533/html
Button zum nach oben scrollen