Home Physical Sciences Thermohydraulic performance of thermal system integrated with twisted turbulator inserts using ternary hybrid nanofluids
Article Open Access

Thermohydraulic performance of thermal system integrated with twisted turbulator inserts using ternary hybrid nanofluids

  • Omer A. Alawi EMAIL logo , Haslinda Mohamed Kamar EMAIL logo , Mayadah W. Falah , Omar A. Hussein , Ali H. Abdelrazek , Waqar Ahmed , Mahmoud Eltaweel , Raad Z. Homod , Nadhir Al-Ansari and Zaher Mundher Yaseen
Published/Copyright: March 4, 2023
Become an author with De Gruyter Brill

Abstract

Mono, hybrid, and ternary nanofluids were tested inside the plain and twisted-tape pipes using k-omega shear stress transport turbulence models. The Reynolds number was 5,000 ≤ Re ≤ 15,000, and thermophysical properties were calculated under the condition of 303 K. Single nanofluids (Al2O3/distilled water [DW], SiO2/DW, and ZnO/DW), hybrid nanofluids (SiO2 + Al2O3/DW, SiO2 + ZnO/DW, and ZnO + Al2O3/DW) in the mixture ratio of 80:20, and ternary nanofluids (SiO2 + Al2O3 + ZnO/DW) in the mixture ratio of 60:20:20 were estimated in different volumetric concentrations (1, 2, 3, and 4%). The twisted pipe had a higher outlet temperature than the plain pipe, while SiO2/DW had a lower T out value with 310.933 K (plain pipe) and 313.842 K (twisted pipe) at Re = 9,000. The thermal system gained better energy using ZnO/DW with 6178.060 W (plain pipe) and 8426.474 W (twisted pipe). Furthermore, using SiO2/DW at Re = 9,000, heat transfer improved by 18.017% (plain pipe) and 21.007% (twisted pipe). At Re = 900, the pressure in plain and twisted pipes employing SiO2/DW reduced by 167.114 and 166.994%, respectively. In general, the thermohydraulic performance of DW and nanofluids was superior to one. Meanwhile, with Re = 15,000, DW had a higher value of η Thermohydraulic = 1.678.

Nomenclature

Ag

silver

Al₂O₃

aluminum oxide

CMC

containing carboxymethyl cellulose

CoTs

co-twisted tapes

C p

specific heat capacity (J/kg K)

CTs

counter-twisted tapes

Cu

copper

CuO

copper oxide

D h

hydraulic diameter (m)

DW

distilled water

f

friction factor

Fe

iron

FOM

figure of merit

k

thermal conductivity (W/m K)

L

pipe’s total length (m)

04-03-2023 m ̇

mass flow rate (kg/s)

MgO

magnesium oxide

MWCNTs

multi-walled carbon nanotubes

nf

nanofluids

np

nanoparticles

Nuavg

average Nusselt number

PCM

phase change material

PEC

performance assessment criteria

P out

pressure outlet (Pa)

PP

plain pipe

Pt

platinum

Re

Reynolds number

SiO₂

silicon dioxide

SST

shear stress transport

SWCNTs

single-walled carbon nanotubes

T in

inlet fluid temperature (K)

TiO2

titanium dioxide

T out

outlet fluid temperature (K)

TP

twisted pipe

TPF

thermal performance factor

T w

wall temperature (K)

ZnO

zinc oxide

α

twist ratio

β

width/depth

η

enhancement Index

ρ

density (kg/m3)

Φ

mass fraction of nanoparticles

µ

dynamic viscosity (Ns/m2)

1 Introduction

1.1 Study background and motivation

Pipes are the thermal system to exchange (dissipate) the heat from different engineering, industrial, and manufacturing applications. Tremendous energy is extensively consumed using heat exchangers in power plants, heating, and cooling systems, leading to global warming. New heat-exchanging systems with better thermal efficiency are needed in this matter [1,2]. Heat can be transported by three mechanisms: active, passive, and compound [3]. The active method uses external energy sources like mechanical support, resulting in a more complex/heavy system and higher production costs [4]. Meanwhile, the passive method utilizes the internal energy of the system to enhance heat transport efficiency by changing the flow pattern of the circulating medium or selecting high thermal conductivity fluids [5]. The combination of twisted-tape inserts and nanofluid is the technical solution within a heat exchanger [6]. Despite the significant advantages of applying the passive approach, such as higher heat transfer performance, low cost, and less maintenance, it still shows higher pressure loss [7,8]. As a result, the compound approach incorporates active and passive procedures into a single system.

1.2 Adopted literature review on nanofluid-based twisted pipes

Laboratory work and numerical simulations were performed using the passive methodology to evaluate the thermal efficiency of twisted-tape tubular heat exchangers [9]. Khoshvaght-Alabadi et al. [10] tested experimentally three twist ratios (α = 0.33, 0.67, and 1) with different values of width/depth for peripheral cuts (β = 0.33, 0.5, 0.67, 1, 1.5, 2, and 3) and three metallic nanofluids (Cu/distilled water [DW], Fe/DW, and Ag/DW). A maximum enhancement of 18.2% was identified using Ag/DW compared with base fluid, while the maximum rise in the pressure drop is only 8.5%. Also, 25 and 39 mm pitch wire coil turbulators were examined experimentally in heat transfer and pressure loss in the presence of Al2O3/DW in different concentrations [11]. The increase in heat transfer was larger when a 25 mm pitch wire coil was used in the fluid than when a 39 mm pitch wire coil was used. Meanwhile, the friction factor of the heat exchanger with turbulators was greater than that of the heat exchanger without turbulators. Furthermore, TiO2/DW nanofluid was tested in twisted-tape inserts in a dimpled pipe [12]. The maximum thermo-hydraulic performance of 1.258 was attained by inserting twisted tape with a twist ratio of 3 and 0.15vol%-TiO2/DW in a dimple angle of 45°. The heat transfer and CuO/DW nanofluid flow were simulated through a helical profiled pipe under turbulent single-phase and two-phase scenarios [13]. The most excellent performance efficiency coefficient in a tube with one twisted tape was 2.18, but it was 2.04 in a tube with two twisted tapes under the conditions of two-phase flow, Re = 36,000 and 4vol%-CuO/DW. The turbulent flow and heat transfer of a non-Newtonian aqueous solution containing carboxymethyl cellulose (CMC) and CuO nanoparticles in plain and helical profiled tubes were numerically investigated [14]. The averaged total thermal performance criterion using a twist ratio of 5 and 1.5% nanofluids was 2.02, with an enhancement of 38% relative to that at a twist ratio of 83 and 0.1% nanofluids. The effects of twisted-tape inserts on heat transfer parameters and pressure drop using graphene oxide nanofluid were computationally discussed and optimized through an artificial neural network and genetic algorithm [15]. Based on the results, the optimal inputs are Re = 19,471, the twist pitch is 0.0376, and the volume fraction is 0.0383, producing Nu of 263.57 and a friction factor of 0.0725.

Meanwhile, investigators need much attention to evaluate nanocomposites inside pipes with twisted-tape turbulators. The hydrothermal properties (Nuavg = 132%) and (f = 55%) increased by reducing the twist ratio, reducing the V-cut width ratio, and increasing the V-cut depth ratio in the presence of Al2O3@TiO2/DW [16]. Maddah et al. [17] concluded that applying Al2O3@TiO2 hybrid nanofluid inside a double pipe heat exchanger modified with twisted-tape insertion increased the exergy efficiency. A higher V-cut depth or lower width ratio yielded more heat transfer and pressure drop in the presence of DW-based Al2O3 and phase change material (PCM) nanofluids and Al2O3 + PCM hybrid nanofluids [18]. Bahiraei et al. [19] analyzed the entropy generation of graphene–platinum (Gr@Pt) hybrid nanofluid in double co-twisted tapes (CoTs) and double counter-twisted tapes (CTs) with various twisted ratios. The CoTs were recommended based on the outcomes since they demonstrated a reduced entropy production rate. Also, experimental reports on Al2O3@MgO hybrid nanofluid utilizing a tapered wire coil turbulator were investigated by Singh and Sarkar [20]. They observed that the maximum value of thermal performance factor (TPF) was 1.69 for D-type wire coil. The heat transfer properties, pressure loss, and hydrothermal efficiency were experimentally examined using various V-cut twisted-tape and tapered wire coil configurations in the presence of Al2O3@MWCNT hybrid nanofluid [9]. For all arrangements, the performance assessment criteria (PEC) and figure of merit (FOM) were found to be >1. The V-cut twisted tape with a twist ratio of 5, a depth ratio of 0.5, and a width ratio of 0.5 represented the maximum values of PEC and FOM, whereas the least values were found in C- and D-type tapered wire coil. The thermal performance of MoS2–Ag/DW hybrid nanofluid was tested inside a solar collector having wavy strips in the absorber tube [21]. The results revealed that using composite nanofluid with a 5% concentration in a twisted strip with a height of 40 mm provided the highest heat transfer rate. Moreover, the energy (η th), exergy (η ex), and PEC of DW-based MWCNT-MgO hybrid nanofluid were discussed inside a parabolic solar collector having a symmetrical twisted turbulator [22]. Their two-phase mixed model showed that the values of PEC are more than 1 for all cases. In addition, for case of φ = 3%, as Re increased from 10,000 to 25,000, η th and η ex were enhanced by 45.98 and 31.67% for pitch ratio (PR) = 1 and 0.25, respectively. In another numerical study, the maximum value of PEC is 4.7 and belongs to Re = 12,000 for a pipe with a lower number of turns (case 2), where Φ = 1% [23]. They utilized ((CH2OH)2)/Cu–SWCNT hybrid nanofluid with different volume concentrations and Reynolds numbers. In this regard, the simulation of ternary hybrid nanofluids is carried out by suspending six different nanoparticle combinations and four different surface profiles of regenerative evaporative coolers [24]. Compared with the flat surface, the maximum energy performance, coefficient of performance, and exergy efficiency were 30, 10.68, and 0.29%, respectively. Moreover, the performances of different water-based binary hybrid nanofluids (Al2O3–Cu, Al2O3–CNTs, Al2O3–graphene, Cu–graphene, and Cu–CNTs, CNTs + graphene) and tri-hybrid nanofluids (Al2O3–Cu–CNTs–water, Al2O3–Cu–graphene, Al2O3–CNTs–graphene, Cu–CNTs–graphene–water) at 100 W and 0.9vol% were tested for single‐phase natural circulation loop [25]. It can be observed that the ternary nanofluid shows better performance than the binary nanofluids [26,27]. The ternary nanofluids have a lower reduction in mass flow rate, higher enhancement in effectiveness, and higher reduction in the entropy generation rate as compared to water [28].

1.3 Research novelty and objectives

According to the previous studies and works of researchers, it can be easily recognized that less attention was paid to the problems of twisted tapes using ternary hybrid nanofluids. Accordingly, one of the motivations of the current research is to examine a new type of twisted tape based on ternary hybrid nanofluids. In the current research, single nanofluids (Al₂O₃/DW, SiO₂/DW, and ZnO/DW), hybrid nanofluids (SiO2 + Al2O3/DW, SiO2 + ZnO/DW, and ZnO + Al2O3/DW) in the mixture ratio of 80:20, and ternary nanofluids (SiO₂ + Al2O3 + ZnO/DW) in the mixture ratio of 60:20:20 were compared with different volumetric concentrations (1, 2, 3, and 4%). The shear stress transport (SST k-ω) three-dimensional turbulence model was used to solve the thermohydraulic performance. The favorable properties (heat transfer) and negative properties (frictional pressure drop) were optimized to select the practical working fluids in engineering systems. The previous experimental and numerical investigations on nanofluids as working fluids in twisted pipes are summarized in Table 1.

Table 1

Previous experimental and numerical investigations on the use of nanofluids as working fluids in twisted pipes

Ref. Nanofluids Type of study Specifications Remarks
[10] Cu/DW, Fe/DW, and Ag/DW Experimental U-tube heat exchanger using spiky TT Maximum η at α = β = 0.33
[13] CuO–DW Computational One–two TT PEC = 2.18 (1-TT) and PEC = 2.04 (2-TT)
[14] CMC@CuO–DW Computational TT with H/D = 5, 10, 15, and 83 PEC = 2.02, using 1.5vol% and H/D = 5
[15] Graphene oxide–DW Computational TT with P/W = 7.03, 3.51, and 2.34 Maximum PEC value at P/W = 2.34
[16] Al2O3@TiO2–DW Experimental TT with different H/D, V-cut depth ratios, and V-cut width ratios TPF >1 for hybrid nanofluid for all modified twisted-tape inserts
[18] Al2O3@PCM–DW Experimental TT with different H/D, V-cut depth ratios, and V-cut width ratios A higher V-cut depth or lower width ratio yields more heat transfer and pressure drop
[19] GNPs@Pt–DW Computational TT with CoTs and CTs CTs reduced total entropy generation rate more than CoTs
[21] MoS2@Ag–DW Computational Simple, wavy, and twisted tapes Wavy and twisted tapes had the lowest and highest PEC
[22] MWCNT–MgO–DW Computational PSC integrated with TTs with various pitch ratios As Re increased from 10,000 to 25,000, η th and η ex were enhanced by 45.98 and 31.67% for PR = 1 and 0.25, respectively
[23] EG–Cu–SWCNTs Computational PTC integrated with helical axial fines The maximum PEC value was 4.7 and belonged to Re = 12,000 for a pipe with a lower number of turns (case 2), in which φ = 1%
Current study Al₂O₃/DW, SiO₂/DW, and ZnO/DW; SiO2 + Al₂O₃/DW and SiO₂ + ZnO/DW; and ZnO + Al₂O₃/DW, and SiO₂ + Al₂O₃ + ZnO/DW Computational Tilted TT with 45° DW showed higher η Thermohydraulic values than nanofluids

2 Numerical methodology

2.1 Physical model and numerical method

The basic configuration under examination is a plain pipe with L = 900 mm and D h = 20 mm. Meanwhile, the twisted pipe has the same total length and hydraulic diameter. The helical profile length, width, and path were 20 mm, 0.5 mm, and 30 mm, respectively. Meanwhile, the twisted-tape angle was 45°. Different heat transfer fluids such as DW, single nanofluids, hybrid nanofluids, and ternary nanofluids enter the heat exchangers under the conditions of T in = 303 K, different volumetric concentrations, and different Reynolds numbers. The external walls of plain and twisted-tape pipes were heated under a constant heat flux to study the heat transfer enhancement parameters.

The schematic diagram of the twisted-tape insert pipe is illustrated in Figure 1, along with the applied boundary conditions and the grid domain. Here, the input variables are the inlet temperature T in; the wall temperature T w; the inlet velocity v in; the outlet pressure P out, which is set to atmospheric pressure; and the different geometrical parameters. As for the output parameters, P in is set to be the pressure at the inlet, which is compared against P out, the pressure at the end of the twisted pipe, which is the relevant section of the simulation. Temperature T out is also taken at the end of the twisted pipe. The twisted tape does not cover the full length of the pipe because pressure outlets near obstacles can produce backflow errors, leading to poor convergence [29]. The pressure-based solver has been applied in this simulation. Meanwhile, the partial differential equations have been solved (discretized) by the second-order upwind method using ANSYS FLUENT 2020R1 software based on the finite volume method. All computational fluid dynamics simulations in this study are run with double-precision variables to avoid such inaccuracies. Iteration errors occur when solutions are not completely converged or oscillate between values. This error is frequently addressed by performing enough iterations to ensure convergence. Furthermore, the SIMPLE (Semi-Implicit Method for Pressure-Linked Equations) Consistent algorithm is implemented to couple the velocity and pressure. It should be noted that the convergence for the residual of mass and momentum and energy equations is considered below 10−3 and 10−6, respectively.

Figure 1 
                  Physical problem and computational domain of pipe with twisted-tape inserts.
Figure 1

Physical problem and computational domain of pipe with twisted-tape inserts.

2.2 Mathematical formulations and assumptions

The nanofluids employed to improve heat transport are typically diluted solid–liquid blends. These metallic particles can roughly be said to act like a fluid because they are fluidizable and ultrafine (less than 100 nm). The nanofluid can be considered a regular pure fluid if it is assumed that there is no motion slip between the discontinuous phase of the scattered ultrafine particles and the continuous liquid and that there is local thermal equilibrium between the nanoparticles and the fluid [30,31]. In this study, the effective single-phase flow works due to the above assumptions and hypotheses.

The nanofluid flow is assumed to be turbulent, incompressible, Newtonian, and steady-state conditions. In this study, compression work and viscous heating are not significant. The thicknesses of the inner and outer pipe walls are not considered. All the equations of continuity, motion, and energy for the pure fluid are directly extended to the nanofluid [32]:

Governing equation for mass:

(1) · ( ρ V ) = 0 ,

Governing equation for momentum:

(2) · ( ρ V V ) = P + · ( ( u + u t ) ( V + V T ) ) + ρ g ,

Governing equation for energy transport:

(3) · ( ρ C p V ) = · ( k eff T ) + ρ ϵ ,

where V is the mean velocity vector, K eff  =  K  +  K t is the effective thermal conductivity of covalent and non-covalent nanofluids, and ϵ is the energy dissipation rate.

The turbulent nanofluid flow in plain and twisted pipes was simulated in this work for Reynolds numbers ranging from 5,000 to 15,000. These simulations and the convective heat transfer coefficient were calculated using Menter’s two-equation SST k-ω turbulence model, which uses the benefits of the k-ω model and the k-ε model by defining weight functions [33,34]. Governing equations of the SST k-ω turbulence model are as follows:

Kinematic eddy viscosity:

(4) ν T = a 1 k max ( a 1 ω , S F 2 ) ,

Turbulence kinetic energy:

(5) k t + U j k x j = P k β * k ω + x j ( ν + σ k ν T ) k x j ,

Specific dissipation rate:

(6) ω t + U j ω x j = α S 2 β ω 2 + x j ( ν + σ ω ν T ) ω x j + 2 ( 1 F 1 ) σ ω 2 1 ω k x i ω x i ,

Closure coefficients and auxiliary relations:

(7) F 2 = tanh max 2 k β * ω y , 500 ν y 2 ω 2 ,

(8) P k = min τ ij U i x i , 10 β * k ω ,

(9) F 1 = tanh min max 2 k β * ω y , 500 ν y 2 ω , 4 σ ω 2 k C D k ω y 2 4 ,

(10) C D k ω = max 2 ρ σ ω 2 1 ω k x i ω x i , 10 10 ,

(11) ϕ = ϕ 1 F 1 + ϕ 2 ( 1 F 1 ) ,

α 1 = 5 9 , α 2 = 0 . 44 ,

β 1 = 3 40 , β 2 = 0 . 0828 ,

β * = 9 100 ,

σ k 1 = 0 . 85 , σ k 2 = 1 ,

(12) σ ω 1 = 0 . 5 , σ ω 2 = 0 . 856 ,

where S is the strain rate magnitude and y is the distance to the next surface. Meanwhile, α 1 , α 2 , β 1 , β 2 , β * , σ k 1 , σ k 2 , σ ω 1 , and σ ω 2 represent all model constants. F 1 and F 2 refer to the blending functions. Note that F 1 = 1 inside the boundary layer and 0 in the free stream.

The turbulent convective heat transfer and nanofluid flow are examined through several parameters as follows [35]:

Reynolds number:

(13) Re = ρ v D h μ ,

Prandtl number:

(14) Pr = μ C p k ,

Heat gain (W):

(15) Q Gain = m ̇ × C p × ( T out T in ) ,

Heat transfer coefficient (W/m2. K):

(16) h tc = Q Gain A × ( T ̅ w T ̅ f ) ,

Nusselt number:

(17) Nu avg = h D h k ,

Friction factor:

(18) f = 2 × Δ P × D h ρ × v 2 × L ,

Pressure drop:

(19) P = P in P out ,

Dittus–Boelter equation:

(20) Nu avg = 0 . 023 × Re 0 . 8 × Pr 0 . 4 ,

Blasius equation:

(21) f = 0 . 3164 Re 0 . 25 ,

Thermohydraulic performance:

(22) η Thermohydraulic = Nu TP Nu PP / f TP f PP 1 / 3 ,

where ρ, v, D h, and μ refer to the density, working fluid velocity, hydraulic diameter, and dynamic viscosity. C p and k are the specific heat capacity and thermal conductivity of the working fluid. Also, m ̇ refers to the mass flow rate and T out T in represents the outlet/inlet difference temperatures. TP and PP refer to twisted and plain pipes. A = π DL , T ̅ f = ( T out T in ) 2 , and T ̅ w = T w n .

3 Thermophysical properties of mono, hybrid, and ternary nanofluids

The thermophysical properties of single, hybrid, and ternary nanofluids were estimated empirically through a set of equations and models under 303 K. Nanofluids are preferred because nanoparticles have a larger surface-to-volume ratio than bulk materials [36], resulting in unique behavior. The suspension of nanoparticles into base fluids augments the thermophysical properties of heat transfer fluids [37]. In the literature, several studies have discussed the thermophysical properties of single and double nanofluids [38,39,40]. The development of innovative triple nanofluids has recently gained considerable interest [41,42]. In this research, three different nanomaterials, such as Al2O3, SiO2, and ZnO, were suspended in DW in different volumetric concentrations (1, 2, 3, and 4%) (Table 2). The hybrid nanofluids were SiO2@Al2O3/DW, SiO2@ZnO/DW, and ZnO@Al2O3/DW in the mixture ratio of 80:20. Meanwhile, the ternary nanofluids were SiO2@Al2O3 + ZnO/DW in the mixture ratio of 60:20:20. The current mixing ratios are optimized using Prandtl number values. As a result, the selected mixing cases have a higher Prandtl number than base fluids, resulting in improved heat transfer mechanisms. The density of single, hybrid, and ternary nanofluids can be predicted via the following set of equations [41]:

(23a) ρ nf = Φ np ρ np + ( 1 Φ np ) ρ DW ,

(23b) ρ nf = Φ np 1 ρ np 1 + Φ np 2 ρ np 2 + ( 1 Φ np 1 Φ np 2 ) ρ DW ,

(23c) ρ nf = Φ np 1 ρ np 1 + Φ np 2 ρ np 2 + Φ np 3 ρ np 3 + ( 1 Φ np 1 Φ np 2 Φ np 3 ) ρ DW .

Moreover, the specific heat capacity of single, hybrid, and ternary nanofluids can be predicted via the following set of equations [41]:

(24a) C p nf = Φ np ρ np C p np + ( 1 Φ np ) ρ DW C p DW / ρ nf ,

(24b) C p nf = Φ np 1 ρ np 1 C p np 1 + Φ np 2 ρ np 2 C p np 2 + ( 1 Φ np 1 Φ np 2 ) ρ DW C p DW / ρ nf ,

(24c) C p nf = Φ np 1 ρ np 1 C p np 1 + Φ np 2 ρ np 2 C p np 2 + Φ np 3 ρ np 3 C p np 3 + ( 1 Φ np 1 Φ np 2 Φ np 3 ) ρ DW C p DW / ρ nf .

As a result, the following equations may be used to estimate the thermal conductivity of single, hybrid, and ternary nanofluids [43]:

(25a) k nf 1 k DW = k np 1 + 2 k DW + 2 Φ ( k np 1 k DW ) k np 1 + 2 k DW Φ ( k np 1 k DW ) ,

(25b) k nf 2 k DW = k np 2 + 2 k DW + 2 Φ ( k np 2 k DW ) k np 2 + 2 k DW Φ ( k np 2 k DW ) ,

(25c) k nf 3 k DW = k np 3 + 2 k DW + 2 Φ ( k np 3 k DW ) k np 3 + 2 k DW Φ ( k np 3 k DW ) ,

(25d) k nf = ( k nf 1 Φ 1 + k nf 2 Φ 2 + k nf 3 Φ 3 ) Φ .

Similarly, the dynamic viscosity of single, hybrid, and ternary nanofluids may also be calculated using the equations as follows [43]:

(26a) μ nf 1 = μ DW ( 1 + 2 . 5 Φ 1 + Φ 1 2 ) ,

(26b) μ nf 2 = μ DW ( 1 + 2 . 5 Φ 2 + Φ 2 2 ) ,

(26c) μ nf 3 = μ DW ( 1 + 2 . 5 Φ 3 + Φ 3 2 ) ,

(26d) μ nf = ( μ nf 1 Φ 1 + μ nf 2 Φ 2 + μ nf 3 Φ 3 ) Φ .

Table 2

Thermophysical properties of base fluids and nanomaterials at 303 K [44]

DW Al2O3 SiO2 ZnO
Density, ρ (kg/m³) 995.65 3,970 2,200 5,600
Specific heat, C p (J/kg K) 4178.8 765 703 495.2
Thermal conductivity, k (W/m K) 0.6182 40 1.2 13
Dynamic viscosity, μ (Ns/m²) 7.97 × 10−04 / / /

4 Results and discussion

4.1 Verification and validation with literature

Grid independence tests were carried out for three grid sizes to ensure that the simulations were independent of the grid size. Numerical instability caused by the mesh, or the model can occasionally impair the convergence. Discretization errors happen when the mesh is not precise or of appropriate quality, frequently representing the geometry incorrectly or failing to reflect the gradients present in the problem adequately. Four different grids were plotted against the Nusselt number (Nuavg) from the Dittus–Boelter equation (Figure 2a) and friction factor (f) from the Blasius equation (Figure 2b). Grids 1, 2, 3, and 4 were with a number of elements of 374,609, 228,925, 194,025, and 152,742. The average errors among grids 1, 2, 3, and 4 with Dittus–Boelter and Blasius equations were 4.233 and 2.102%, 3.244 and 4.773%, 3.124 and 5.843%, and 2.947 and 6.683%, respectively. The accuracy of Nuavg readings increased by decreasing the number of elements. Meanwhile, the accuracy of friction factor values showed completely different behaviors. Grid 2 was used to assess thermohydraulic performance as the main mesh domain in the simulation cases.

Figure 2 
                  Grid independence results between simulation and empirical correlations for DW: (a) average Nusselt number and (b) friction factor.
Figure 2

Grid independence results between simulation and empirical correlations for DW: (a) average Nusselt number and (b) friction factor.

The study of Eiamsa-ard et al. [45] was used as the validation reference. They experimentally discussed the heat transfer rate (Nuavg), friction factor (f), and thermal enhancement index (η) of DW flow in a tube fitted with twin twisted tapes. Their results demonstrated that the Nusselt number (Nuavg), friction factor (f), and thermal enhancement index (η) increase with decreasing twist ratio. In Figure 3(a and b), the experimental values of Nuavg and f were compared with the current numerical results. The average errors between the experimental and numerical results were 4.406% (Nuavg) and 10.497% (f), respectively.

Figure 3 
                  Comparison between the experimental [45] and numerical results: (a) average Nusselt number and (b) friction factor for DW.
Figure 3

Comparison between the experimental [45] and numerical results: (a) average Nusselt number and (b) friction factor for DW.

4.2 Thermophysical properties

The number of nanoparticles added to the base fluids significantly impacts the thermophysical properties of nanofluids. The thermophysical properties of single nanofluids (Al2O3/DW, SiO2/DW, and ZnO/DW), hybrid nanofluids (SiO2@Al2O3/DW, SiO2@ZnO/DW, and ZnO@Al2O3/DW) in the mixing ratio of 80:20, and ternary nanofluids (SiO2@Al2O3-ZnO/DW) in the mixture ratio of 60:20:20 were estimated using equations and correlations under the condition of 303 K. As shown in Table 3, density, thermal conductivity, and viscosity were increased by increasing the volumetric concentration. Meanwhile, the specific heat was decreased by increasing the volumetric concentration. ZnO/DW achieved the highest density enhancement with 18.554% and ZnO+Al2O3/DW with 16.946% at 4vol%. The highest drop in the specific heat was 14.514% by ZnO/DW, and the ternary nanofluid showed a slight decrement by about 1.518% at 4vol%. Also, the best improvement in thermal conductivity was presented by Al2O3/DW, ZnO/DW, and ZnO+Al2O3/DW by about 20.600, 17.785, and 14.830%, respectively, at 4vol%. The augmentation in the thermal conductivity of single, double, and triple nanofluids can be attributed to the nature of heat transport in nanoparticles and clustering phenomena, the Brownian motion of nanoparticles, and liquid layering at the particle interface [46]. Moreover, hybrid and ternary nanofluids reduced the undesired increment in the dynamic viscosity from 67.383 to 40.668 and 24.086%, respectively, at 4vol%. Meanwhile, the growth in dynamic viscosity of ternary nanofluids relative to DW can be credited to the other layer mixture in the triple nanofluid. As nanoparticle volume fraction increases, dynamic viscosity of nanofluids increases. Also, the increase in the viscosity of the triple nanofluid is attributed to the internal viscous stress and the formation of clusters in the fluid [47,48].

Table 3

Thermophysical properties of DW and different types of single, hybrid, and triple nanofluids at 303 K

Properties Al2O3/DW SiO2/DW ZnO/DW
1% 2% 3% 4% 1% 2% 3% 4% 1% 2% 3% 4%
ρ (kg/m³) 1021.694 1047.737 1073.781 1099.824 1007.694 1019.737 1031.781 1043.824 1041.694 1087.737 1133.781 1179.824
C p (J/kg K) 4058.513 3944.205 3835.443 3731.831 4103.833 4030.637 3959.150 3889.312 3980.775 3799.514 3632.976 3479.436
k (W/m K) 0.6949 0.7109 0.7286 0.7470 0.6412 0.6421 0.6457 0.6501 0.6817 0.6966 0.7127 0.7296
μ (Ns/m²) 8.79 × 10−04 9.84 × 10−04 1.12 × 10−03 1.30 × 10−03 8.79 × 10−04 9.84 × 10−04 1.12 × 10−03 1.30 × 10−03 8.79 × 10−04 9.84 × 10−04 1.12 × 10−03 1.30 × 10−03
SiO2 + Al2O3/DW [80:20] SiO2 + ZnO/DW [80:20] ZnO + Al2O3/DW [80:20]
1% 2% 3% 4% 1% 2% 3% 4% 1% 2% 3% 4%
ρ (kg/m³) 1010.494 1025.337 1040.181 1055.024 1014.494 1033.337 1052.181 1071.024 1037.694 1079.737 1121.781 1163.824
C p (J/kg K) 4094.669 4012.973 3933.609 3856.478 4078.562 3981.979 3888.856 3799.009 3996.083 3827.595 3671.737 3527.139
k (W/m K) 0.6509 0.6505 0.6526 0.6556 0.6483 0.6479 0.6500 0.6530 0.6807 0.6899 0.7003 0.7113
μ (Ns/m²) 8.51 × 10−04 9.16 × 10−04 9.96 × 10−04 1.09 × 10−03 8.51 × 10−04 9.16 × 10−04 9.96 × 10−04 1.09 × 10−03 8.51 × 10−04 9.16 × 10−04 9.96 × 10−04 1.09 × 10−03
SiO2 + Al2O3 + ZnO/DW [60:20:20] SiO2 + Al2O3 + ZnO/DW [50:30:20] SiO2 + Al2O3 + ZnO/DW [60:20:20]
1% 2% 3% 4% 1% 2% 3% 4% 1% 2% 3% 4%
ρ (kg/m³) 1017.294 1038.937 1060.581 1082.224 1017.294 1038.937 1060.581 1082.224 1017.294 1038.937 1060.581 1082.224
C p (J/kg K) 4069.528 4049.162 4028.796 4008.430 4069.528 4049.162 4028.796 4008.430 4069.528 4049.162 4028.796 4008.430
k (W/m K) 0.6583 0.6570 0.6582 0.6603 0.6583 0.6570 0.6582 0.6603 0.6583 0.6570 0.6582 0.6603
μ (Ns/m²) 8.31 × 10−04 8.70 × 10−04 9.14 × 10−04 9.65 × 10−04 8.31 × 10−04 8.70 × 10−04 9.14 × 10−04 9.65 × 10−04 8.31 × 10−04 8.70 × 10−04 9.14 × 10−04 9.65 × 10−04

4.3 Thermohydraulic enhancement of plain pipe

In this section, single, hybrid, and ternary nanofluids with 4vol% are tested in the plain pipe under different Reynolds numbers through various parameters, including outlet temperature, heat gain, heat transfer coefficient, average Nusselt number, friction factor, and pressure loss. The outlet temperature of the base fluid and nanofluids decreases by increasing the working fluid velocity inside the plain pipe (Figure 4a). The higher outlet temperature was presented by base fluid (DW); meanwhile, SiO₂/DW nanofluids show a lower T out value. This behavior is due to a change in nanofluid properties (i.e., density and dynamic viscosity) by increasing the Reynolds number at the constant volumetric fraction. The thermal system gains more heat by increasing the Reynolds number for base fluid and all types of nanofluids (single, hybrid, and ternary) (Figure 4b). ZnO/DW and Al2O3/DW nanofluids show the best energy gain. Meanwhile, base fluid and SiO₂+Al2O3+ZnO/DW offer the worst heat gain performance. Figure 4c and d exhibits the heat transfer enhancement parameters (h tc and Nuavg) for base fluid and nanofluids at different Reynolds numbers. h tc and Nuavg enhance by increasing Reynolds number for DW, single, hybrid, and ternary nanofluids. Al₂O₃/DW nanofluid shows a higher heat transfer coefficient. Meanwhile, SiO₂/DW nanofluid presents higher values of Nuavg. The heat transfer is enhanced by using higher nanoparticle volumetric fraction and nanofluids with better thermal conductivity. The condition of constant Reynolds number for base fluid and nanofluids leads to an increase in dynamic velocity and density values. Therefore, the lower temperature gradients enhance the heat transfer efficiency [35]. Figure 4(e and f) illustrates the pressure drop and friction factor values of DW, single, hybrid, and ternary nanofluids in 4vol% at different Reynolds numbers. The pressure loss increases as the Reynolds number increases, but the friction factor decreases. As shown in Figure 4e, DW presents the lower pressure loss against Re, and single nanofluids show higher pressure reduction values in the order of SiO2/DW, Al2O3/DW, and ZnO/DW, respectively. Because the friction factor is only determined by the Reynolds number, using different working fluids (DW and nanofluids) has no effect.

Figure 4 
                  Thermohydraulic parameters of plain pipe using DW, single, hybrid, and ternary nanofluids: (a) outlet temperature, (b) heat gain, (c) heat transfer coefficient, (d) average Nusselt number, (e) pressure loss, and (f) friction factor.
Figure 4

Thermohydraulic parameters of plain pipe using DW, single, hybrid, and ternary nanofluids: (a) outlet temperature, (b) heat gain, (c) heat transfer coefficient, (d) average Nusselt number, (e) pressure loss, and (f) friction factor.

4.4 Thermohydraulic enhancement of twisted pipe

In this section, single, hybrid, and ternary nanofluids with 4vol% are tested in the twisted pipe under different Reynolds numbers through various parameters, including outlet temperature, heat gain, heat transfer coefficient, average Nusselt number, friction factor, and pressure loss. The outlet temperature of the water and nanofluids decreases by increasing the working fluid velocity inside the plain pipe (Figure 5a), which can be attributed to short heat exchange duration. The higher outlet temperature was presented by base fluid (DW); meanwhile, SiO2/DW nanofluid shows a lower value of T out. The thermal system gains more heat by increasing Reynolds numbers for base liquid and all types of nanofluids (single, hybrid, and ternary) (Figure 5b). ZnO/DW and Al2O₃/DW nanofluids show the best energy gain. Meanwhile, water and SiO₂ + Al2O₃ + ZnO/DW show the worst heat gain performance. According to equation (15), and because the inlet temperature for DW and nanofluids has been fixed, three primary parameters are playing a major role in the system absorbing more heat and energy, which are mass flow rate, C p, and working fluid outlet temperature. Figure 5c and d exhibits the heat transfer enhancement parameters (h tc and Nuavg) for base fluid and nanofluids at different Reynolds numbers. h tc and Nuavg enhance by increasing Reynolds number for DW, single, hybrid, and ternary nanofluids. Al₂O₃/DW nanofluid shows a higher heat transfer coefficient. Meanwhile, SiO₂/DW nanofluid presents higher values of Nuavg. The use of twisted-tape turbulator has significantly influenced flow directions in heated pipes. The helical shape twisted-tape turbulator may induce swirl fluid flow in pipes and promote fluid mixing along the walls. Turbulators can be used to destroy turbulent fluid layers in twisted pipes, improving heat transfer performance [49,50]. However, this phenomenon might result in a larger pressure drop penalty in twisted pipes with nanofluids. The values of pressure drop and friction factor of DW, single, hybrid, and ternary nanofluids in 4vol% at various Reynolds numbers are shown in Figure 5(e and f). The pressure loss increases as the Reynolds number increases, but the friction factor decreases. As shown in Figure 5e, DW has a more minor pressure loss than Re, but single nanofluids have larger pressure reduction values in the order of SiO2/DW, Al2O3/DW, and ZnO/DW. Employing various working fluids, such as DW and different types of nanofluids, has little impact because the friction factor is solely dictated by the Reynolds number (Figure 5f). Furthermore, inserting twisted tape causes more significant pressure decreases. The increase in pressure drop with increasing Reynolds number is because of the rise in nanofluid viscosity, which produces more friction loss and a greater, more significant pressure drop [35].

Figure 5 
                  Thermohydraulic parameters of twisted pipe using DW, single, hybrid, and ternary nanofluids: (a) outlet temperature, (b) heat gain, (c) heat transfer coefficient, (d) average Nusselt number, (e) pressure loss, and (f) friction factor.
Figure 5

Thermohydraulic parameters of twisted pipe using DW, single, hybrid, and ternary nanofluids: (a) outlet temperature, (b) heat gain, (c) heat transfer coefficient, (d) average Nusselt number, (e) pressure loss, and (f) friction factor.

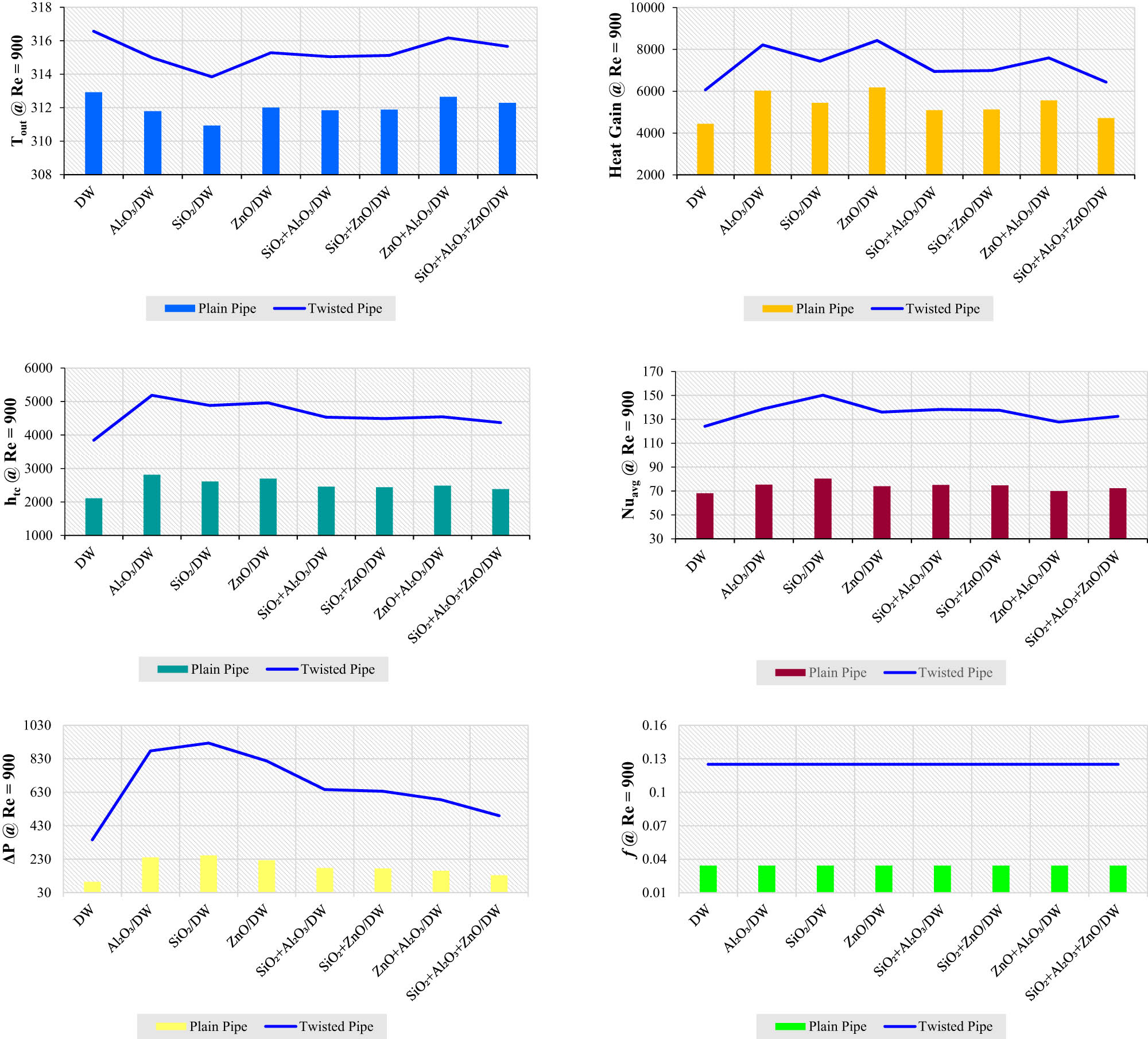
4.5 Comparison of plain and twisted pipes

Figure 6 discusses the enhancements/improvements in the thermohydraulic parameters using plain and twisted pipes under 4vol% and Re = 900. In general, T out increases in the twisted pipe by about 1.056% relative to the plain pipe using the same working fluids. In both plain and twisted pipes, SiO₂/DW presents the lower increment in the outlet temperature, followed by Al2O3/DW, SiO₂ + Al2O3/DW, SiO₂ + ZnO/DW, ZnO/DW, SiO₂ + Al2O3 + ZnO/DW, and ZnO + Al2O3/DW. This can be attributed to the formation of rotational flow throughout the tube, good flow mixing, and subsequently better heat transfer in the twisted-tape tube. Also, heat gain increases in the twisted pipe by about 36.469% relative to the plain pipe using the same working fluids. ZnO/DW presents the best enhancements in the heat gain values with 39.259% (plain pipe relative to DW) and 38.914% (twisted pipe relative to DW) followed by Al₂O₃/DW with 35.841% (plain pipe relative to DW) and 35.406% (twisted pipe relative to DW). Moreover, hybrid (ZnO + Al2O3/DW) nanofluid shows 25.360% (plain pipe relative to DW) and 25.186% (twisted pipe relative to DW). Heat transfer parameters (h tc and Nuavg) enhance the twisted pipe by about 84.009% relative to the plain pipe using the same working fluids (DW and different nanofluids). Al2O3/DW presents best enhancements in the heat transfer parameter values with 33.427% (plain pipe relative to DW) and 34.928% (twisted pipe relative to DW). Meanwhile, lowest enhancements in the heat transfer parameters values are presented by SiO2 + Al2O3 + ZnO/DW with 13.122% (plain pipe relative to DW) and 13.720% (twisted pipe relative to DW). Heat transfer parameters improved as the Reynolds number increased due to the rising turbulence level in the twisted pipe and a higher mixing of the working fluid. Inserting twisted tapes inside the pipe significantly improved heat transfer (relative to plain pipe). The fluid moving through the small gaps has a more incredible velocity, resulting in a thinning of the thermal/velocity boundary layer and, consequently, an increase in heat transfer [50]. Moreover, the heat transfer depends on the changes in thermal conductivity values using different nanofluids and the increment in the Prandtl number for the same Re [51]. Furthermore, the hydrodynamic properties (ΔP and f) increase in the twisted pipe by 265.454% relative to the plain pipe using the same working fluids (DW and different nanofluids). SiO₂/DW presents the maximum augmentations in the hydrodynamic property values with 167.114% (plain pipe relative to DW) and 166.994% (twisted pipe relative to DW). Meanwhile, the lowest augmentations in the hydrodynamic property values are presented by SiO₂ + Al2O3 + ZnO/DW with 41.588% (plain pipe relative to DW) and 41.518% (twisted pipe relative to DW). Helical profiled pipe suffering of high-pressure loss because of the swirling flows and turbulent intensities due to the larger surface area, which enhanced the interaction of the pressure forces with inertial forces in the boundary layers. Meanwhile, the increased flow resistance created by the counter-collision of fluid streams is attributed to the more considerable friction losses [50]. This phenomenon may lead to the division of the cross-sectional area in the tube; thus, the flow velocity increases, and the complicated pipeline structure enhances the disturbance, which leads to the increase in the flow resistance [52].

Figure 6 
                  Thermohydraulic parameters of plain and twisted pipes using DW, single, hybrid, and ternary nanofluids at Re = 900 and 4vol%.
Figure 6

Thermohydraulic parameters of plain and twisted pipes using DW, single, hybrid, and ternary nanofluids at Re = 900 and 4vol%.

Figure 7(a and b) depicts the local Nusselt number against axial position for plain and twisted-tape pipes filled with various nanofluids at 4vol% and Re = 9,000. The collected data, comprising the bulk and wall temperatures, as well as the heat flow of the test area, could be used to compute the local Nusselt number. The results clearly reveal insignificant variations in the Nusselt number data of the nanofluids in the plain pipe under the fully developed condition of the turbulent flow region and the local Nusselt number in the thermally developing region because the local Nusselt number is somewhat enhanced [53]. Meanwhile, because the axial locations are measured at the helical cross sections of twisted-tape pipe, Figure 7(b) displays more variations than Figure 7(a).

Figure 7 
                  Comparison of the local Nusselt number and the non-dimensional axial distance (x/D) at Re = 9,000 and 4vol% of various nanofluid types: (a) plain pipe and (b) twisted tape pipe.
Figure 7

Comparison of the local Nusselt number and the non-dimensional axial distance (x/D) at Re = 9,000 and 4vol% of various nanofluid types: (a) plain pipe and (b) twisted tape pipe.

The double effects of thermal and frictional properties should be considered in engineering applications. The thermohydraulic efficiency (η Thermohydraulic) was proposed to evaluate the total performance of plain and helical profiled pipes in more depth. The formula for calculating the (η Thermohydraulic) value is presented in equation (22). Overall, η Thermohydraulic > 1 for all tested working fluids (DW, single, hybrid, and ternary nanofluids) versus Reynolds numbers (Figure 8). When the Reynolds number is increased, the η Thermohydraulic rises quickly at first, then gradually declines. As a result, there is a crucial Reynolds number, and the largest value of η Thermohydraulic may be produced. The heat transfer augmentation effect supplied by the nanoparticle suspension is no longer noticeable at Reynolds numbers of 7,000 and 9,000 or greater than 15,000, and the impact of frictional pressure drop progressively rises, resulting in a decline in thermohydraulic efficiency values [52]. The negative effect of frictional pressure drop in the helical pipe on the η Thermohydraulic is the smallest. The heat exchanging effect caused by its disturbance is the maximum; therefore, the η Thermohydraulic value peaks at the moment. Different types of nanofluids show almost the same thermohydraulic trends/behaviors. In general, the suspension of nanoparticles in DW shows the opposing effects as follows [54]:

  1. increased thermal conductivity and nanoparticle collisions improve the heat transport rate,

  2. the increase in working fluid viscosity reduces fluid flow and, therefore, the heat transfer rate decreases.

Figure 8 
                  Thermohydraulic performance of plain and twisted pipes using DW, single, hybrid, and ternary nanofluids at 4vol%.
Figure 8

Thermohydraulic performance of plain and twisted pipes using DW, single, hybrid, and ternary nanofluids at 4vol%.

The current result indicates that improved thermal conductivity and increased nanoparticle collisions at the current range are more significant than the effect of increased viscosity. In this study, DW shows higher η Thermohydraulic values than nanofluids. DW achieves the highest η Thermohydraulic value at Re = 15,000 with 1.678. The lowest η Thermohydraulic value is achieved by SiO₂/DW at Re = 7,000 with 1.181.

4.6 Velocity contours and profiles

Figure A1 shows the velocity contours and profile of DW, single nanofluids (Al2O3/DW, SiO2/DW, and ZnO/DW), hybrid nanofluids (SiO2 + Al2O3/DW, SiO2 + ZnO/DW, and ZnO + Al2O3/DW), and ternary nanofluids (SiO2 + Al2O3 + ZnO/DW). Velocity contours of twisted pipe under different planes (slices), namely, P-1, P-2, P-13, P-14, and P-27 were presented at Re = 9,000. The five planes were chosen to represent various twisted-tape directions. Figure A1 indicates that the insertion of the twisted tape leads to the significant increase in the velocity of the flow near it. Moreover, figures illustrate that the velocity at the center of the tube near the twisted tape is larger, and consequently, the flow resistance increases. Clearly, because of the geometry of twisted tapes and the fluid having to overcome additional barriers to flow through the pipe, the ΔP of the twisted tape is greater than the smooth one.

5 Conclusions

Plain and tilted twisted-tape pipes were computationally evaluated via k-omega SST turbulence models in the 5,000 ≤ Re ≤ 15,000. Single nanofluids (Al₂O₃/DW, SiO₂/DW, and ZnO/DW), hybrid nanofluids (SiO₂ + Al₂O₃/DW, SiO₂ + ZnO/DW, and ZnO + Al₂O₃/DW) in the mixture ratio of 80:20, and ternary nanofluids (SiO₂ + Al₂O₃ + ZnO/DW) in the mixture ratio of (60:20:20) were estimated in different volumetric concentrations (1, 2, 3, and 4%). Other thermohydraulic parameters were studied, and the most significant conclusions are as follows:

  1. Thermophysical properties were estimated at 303 K. The higher increments in thermal density, thermal conductivity, and viscosity were 18.554% for 4vol%-ZnO/DW, 20.600% for 4vol%-Al₂O₃/DW, and 67.383% for 4vol%-Al₂O₃/DW, respectively. Meanwhile, the higher reduction in specific heat was presented by 4vol%-ZnO/DW with 14.514%.

  2. The average errors among grids 1, 2, 3, and 4 with Dittus–Boelter and Blasius equations were 4.233 and 2.102%, 3.244 and 4.773%, 3.124 and 5.843%, and 2.947 and 6.683%, respectively.

  3. SiO₂/DW recorded the lower outlet temperature at 4vol% and Re = 900 such as 310.933 K (plain pipe) and 313.842 K (twisted pipe).

  4. ZnO/DW presented the highest increment of heat gain at 4vol% and Re = 900 with 39.259% (plain pipe) and 38.914% (twisted pipe) relative to DW.

  5. Heat transfer parameters enhanced by about 86.978% when using SiO₂/DW at 4vol% and Re = 900 through twisted pipe relative to plain pipe.

  6. SiO₂/DW presented the higher pressure drop at 4vol% and Re = 900 with 167.114% (plain pipe) and 166.994% (twisted pipe) relative to DW.

  7. The plots of local Nusselt number versus the axial locations revealed insignificant variations in both plain and twisted-tape pipes using different types of working fluids.

  8. All tested heat transfer fluids showed η Thermohydraulic > 1. At Re = 900, DW recorded the best η Thermohydraulic with 1.496 followed by SiO₂/DW with 1.214. Meanwhile, the higher η Thermohydraulic value was 1.678 using water at Re = 15,000.

  1. Funding information: This work was funded by Universiti Teknologi Malaysia (UTM), operated by Research Management Center (RMC), under the Research University Grant number (06E10).

  2. Author contributions: Omer A. Alawi: conceptualization, formal analysis, writing – original draft; Haslinda Mohamed Kamar and Nadhir Al-Ansari: funding acquisition; Omer A. Alawi, Omar A. Hussein, Raad Z. Homod: investigation; Omer A. Alawi, Ali H. Abdelrazek, Waqar Ahmed: methodology; Haslinda Mohamed Kamar, Omer A. Alawi, Nadhir Al-Ansari: project administration; Haslinda Mohamed Kamar: supervision; Zaher Mundher Yaseen, Ali M. Ahmed, Mahmoud Eltaweel: writing – review and editing. All authors have accepted responsibility for the entire content of this manuscript and approved its submission.

  3. Conflict of interest: The authors state no conflict of interest.

Appendix

Figure A1 
                  Velocity profiles of DW, single, hybrid, and triple nanofluids under different planes at Re = 9,000.
Figure A1 
                  Velocity profiles of DW, single, hybrid, and triple nanofluids under different planes at Re = 9,000.
Figure A1 
                  Velocity profiles of DW, single, hybrid, and triple nanofluids under different planes at Re = 9,000.
Figure A1 
                  Velocity profiles of DW, single, hybrid, and triple nanofluids under different planes at Re = 9,000.
Figure A1

Velocity profiles of DW, single, hybrid, and triple nanofluids under different planes at Re = 9,000.

References

[1] Alawi OA, Kamar HM, Hussein OA, Mallah AR, Mohammed HA, Khiadani M, et al. Effects of binary hybrid nanofluid on heat transfer and fluid flow in a triangular-corrugated channel: An experimental and numerical study. Powder Technol. 2022;395:267–79 10.1016/j.powtec.2021.09.046.Search in Google Scholar

[2] Homod RZ, Togun H A, Ateeq A, Al-Mousawi F M, Yaseen Z, Al-Kouz W, et al. An innovative clustering technique to generate hybrid modeling of cooling coils for energy analysis: A case study for control performance in HVAC systems. SSRN Electron J. 2022;166:112676. 10.2139/ssrn.4037290 Search in Google Scholar

[3] Saadah A, Abdullah S, Sopian K. The effect of linearly increasing/decreasing pitch ratio twisted tape with various progression rate and nanofluid towards the system performance. Therm Sci Eng Prog. 2021;25:100979.10.1016/j.tsep.2021.100979Search in Google Scholar

[4] Zhang J, Zhu X, Mondejar ME, Haglind F. A review of heat transfer enhancement techniques in plate heat exchangers. Renewable Sustainable Energy Rev. 2019;101:305–28.10.1016/j.rser.2018.11.017Search in Google Scholar

[5] Awais M, Ullah N, Ahmad J, Sikandar F, Ehsan MM, Salehin S, et al. Heat transfer and pressure drop performance of nanofluid: A state-of-the-art review. Int J Thermofluids. 2021;9:100065.10.1016/j.ijft.2021.100065Search in Google Scholar

[6] Ajeel RK, Salim WSI, Sopian K, Yusoff MZ, Hasnan K, Ibrahim A, et al. Turbulent convective heat transfer of silica oxide nanofluid through corrugated channels: An experimental and numerical study. Int J Heat Mass Transf. 2019;145:118806. 10.1016/j.ijheatmasstransfer.2019.118806 Search in Google Scholar

[7] Vallejo JP, Prado JI, Lugo L. Hybrid or mono nanofluids for convective heat transfer applications. A critical review of experimental research. Appl Therm Eng. 2021;203:117926.10.1016/j.applthermaleng.2021.117926Search in Google Scholar

[8] Tao H, Alawi OA, Hussein OA, Ahmed W, Abdelrazek AH, Homod RZ, et al. Thermohydraulic analysis of covalent and noncovalent functionalized graphene nanoplatelets in circular tube fitted with turbulators. Sci Rep. 2022;12:1–24. 10.1038/s41598-022-22315-9 Search in Google Scholar PubMed PubMed Central

[9] Singh SK, Sarkar J. Hydrothermal performance comparison of modified twisted tapes and wire coils in tubular heat exchanger using hybrid nanofluid. Int J Therm Sci. 2021;166:106990.10.1016/j.ijthermalsci.2021.106990Search in Google Scholar

[10] Khoshvaght-Aliabadi M, Davoudi S, Dibaei MH. Performance of agitated-vessel U tube heat exchanger using spiky twisted tapes and water based metallic nanofluids. Chem Eng Res Des. 2018;133:26–39.10.1016/j.cherd.2018.02.030Search in Google Scholar

[11] Akyürek EF, Geliş K, Şahin B, Manay E. Experimental analysis for heat transfer of nanofluid with wire coil turbulators in a concentric tube heat exchanger. Results Phys. 2018;9:376–89.10.1016/j.rinp.2018.02.067Search in Google Scholar

[12] Eiamsa-ard S, Wongcharee K, Kunnarak K, Kumar M, Chuwattabakul V. Heat transfer enhancement of TiO2-water nanofluid flow in dimpled tube with twisted tape insert. Heat Mass Transf. 2019;55:2987–3001.10.1007/s00231-019-02621-1Search in Google Scholar

[13] He W, Toghraie D, Lotfipour A, Pourfattah F, Karimipour A, Afrand M. Effect of twisted-tape inserts and nanofluid on flow field and heat transfer characteristics in a tube. Int Commun Heat Mass Transf. 2020;110:104440.10.1016/j.icheatmasstransfer.2019.104440Search in Google Scholar

[14] Bazdidi-Tehrani F, Khanmohamadi SM, Vasefi SI. Evaluation of turbulent forced convection of non-Newtonian aqueous solution of CMC/CuO nanofluid in a tube with twisted tape inserts. Adv Powder Technol. 2020;31:1100–13.10.1016/j.apt.2019.12.022Search in Google Scholar

[15] Miandoab AR, Bagherzadeh SA, Isfahani AHM. Numerical study of the effects of twisted-tape inserts on heat transfer parameters and pressure drop across a tube carrying graphene oxide nanofluid: An optimization by implementation of artificial neural network and genetic algorithm. Eng Anal Bound Elem. 2022;140:1–11.10.1016/j.enganabound.2022.04.006Search in Google Scholar

[16] Singh SK, Sarkar J. Improving hydrothermal performance of double-tube heat exchanger with modified twisted tape inserts using hybrid nanofluid. J Therm Anal Calorim. 2021;143:4287–98.10.1007/s10973-020-09380-wSearch in Google Scholar

[17] Maddah H, Aghayari R, Mirzaee M, Ahmadi MH, Sadeghzadeh M, Chamkha AJ. Factorial experimental design for the thermal performance of a double pipe heat exchanger using Al2O3–TiO2 hybrid nanofluid. Int Commun Heat Mass Transf. 2018;97:92–102.10.1016/j.icheatmasstransfer.2018.07.002Search in Google Scholar

[18] Singh SK, Sarkar J. Experimental hydrothermal characteristics of concentric tube heat exchanger with V-cut twisted tape turbulator using PCM dispersed mono/hybrid nanofluids. Exp Heat Transf. 2020;34:1–22.10.1080/08916152.2020.1772412Search in Google Scholar

[19] Bahiraei M, Mazaheri N, Aliee F. Second law analysis of a hybrid nanofluid in tubes equipped with double twisted tape inserts. Powder Technol. 2019;345:692–703.10.1016/j.powtec.2019.01.060Search in Google Scholar

[20] Singh SK, Sarkar J. Improving hydrothermal performance of hybrid nanofluid in double tube heat exchanger using tapered wire coil turbulator. Adv Powder Technol. 2020;31:2092–100.10.1016/j.apt.2020.03.002Search in Google Scholar

[21] Sani FH, Pourfallah M, Gholinia M. The effect of MoS2–Ag/H2O hybrid nanofluid on improving the performance of a solar collector by placing wavy strips in the absorber tube. Case Stud Therm Eng. 2022;30:101760.10.1016/j.csite.2022.101760Search in Google Scholar

[22] Almitani KH, Alzaed A, Alahmadi A, Sharifpur M, Momin M. The influence of the geometric shape of the symmetrical twisted turbulator on the performance of parabolic solar collector having hybrid nanofluid: Numerical approach using two-phase model. Sustainable Energy Technol Assess. 2022;51:101882.10.1016/j.seta.2021.101882Search in Google Scholar

[23] Suliman M, Ibrahim M, Saeed T. Improvement of efficiency and PEC of parabolic solar collector containing EG–Cu–SWCNT hybrid nanofluid using internal helical fins. Sustainable Energy Technol Assess. 2022;52:102111.10.1016/j.seta.2022.102111Search in Google Scholar

[24] Kashyap S, Sarkar J, Kumar A. Performance enhancement of regenerative evaporative cooler by surface alterations and using ternary hybrid nanofluids. Energy. 2021;225:120199.10.1016/j.energy.2021.120199Search in Google Scholar

[25] Sahu M, Sarkar J, Chandra L. Steady‐state and transient hydrothermal analyses of single‐phase natural circulation loop using water‐based tri‐hybrid nanofluids. AIChE J. 2021;67:e17179.10.1002/aic.17179Search in Google Scholar

[26] Alawi OA, Kamar HM, Mallah AR, Mohammed HA, Sabrudin MAS, Newaz KMS, et al. Experimental and theoretical analysis of energy efficiency in a flat plate solar collector using monolayer graphene nanofluids. Sustainability. 2021;13(10):5416. 10.3390/su13105416 Search in Google Scholar

[27] Mohammad RS, Aldlemy MS, Al Hassan MS, Abdulla AI, Scholz M, Yaseen ZM. Frictional pressure drop and cost savings for graphene nanoplatelets nanofluids in turbulent flow environments. Nanomaterials. 2021;11:1–17.10.3390/nano11113094Search in Google Scholar PubMed PubMed Central

[28] Aldlemy M, Ahammed SJ, Obando ED, Bayatvarkeshi M. Numerical simulation on the effect of pipe roughness in turbulent flow. Knowl Eng Sci. 2022;3:37–44.Search in Google Scholar

[29] Cabello R, Popescu AEP, Bonet-Ruiz J, Cantarell DC, Llorens J. Heat transfer in pipes with twisted tapes: CFD simulations and validation. Comput Chem Eng. 2022;166:107971.10.1016/j.compchemeng.2022.107971Search in Google Scholar

[30] Xuan Y, Roetzel W. Conceptions for heat transfer correlation of nanofluids. Int J Heat Mass Transf. 2000;43:3701–7. 10.1016/S0017-9310(99)00369-5 Search in Google Scholar

[31] Abdelrazek AH, Kazi SN, Alawi OA, Yusoff N, Oon CS, Ali HM. Heat transfer and pressure drop investigation through pipe with different shapes using different types of nanofluids. J Therm Anal Calorim. 2020;139:1637–53. 10.1007/s10973-019-08562-5 Search in Google Scholar

[32] Sadri R, Mallah AR, Hosseini M, Ahmadi G, Kazi SN, Dabbagh A, et al. CFD modeling of turbulent convection heat transfer of nanofluids containing green functionalized graphene nanoplatelets flowing in a horizontal tube: Comparison with experimental data. J Mol Liq. 2018;269:152–9.10.1016/j.molliq.2018.06.011Search in Google Scholar

[33] Menter FR. Two-equation eddy-viscosity turbulence models for engineering applications. AIAA J. 1994;32:1598–605.10.2514/3.12149Search in Google Scholar

[34] Bashtani I, Esfahani JA, Kim KC. Effects of water-aluminum oxide nanofluid on double pipe heat exchanger with gear disc turbulators: A numerical investigation. J Taiwan Inst Chem Eng. 2021;124:63–74.10.1016/j.jtice.2021.05.001Search in Google Scholar

[35] Bahiraei M, Mazaheri N, Aliee F, Safaei MR. Thermo-hydraulic performance of a biological nanofluid containing graphene nanoplatelets within a tube enhanced with rotating twisted tape. Powder Technol. 2019;355:278–88. 10.1016/j.powtec.2019.07.053 Search in Google Scholar

[36] Le Ba T, Mahian O, Wongwises S, Szilágyi IM. Review on the recent progress in the preparation and stability of graphene-based nanofluids. J Therm Anal Calorim. 2020;142:1145–72.10.1007/s10973-020-09365-9Search in Google Scholar

[37] Adun H, Kavaz D, Dagbasi M. Review of ternary hybrid nanofluid: Synthesis, stability, thermophysical properties, heat transfer applications, and environmental effects. J Clean Prod. 2021;328:129525.10.1016/j.jclepro.2021.129525Search in Google Scholar

[38] Giwa SO, Sharifpur M, Ahmadi MH, Sohel Murshed SM, Meyer JP. Experimental investigation on stability, viscosity, and electrical conductivity of water-based hybrid nanofluid of MWCNT-Fe2O3. Nanomaterials. 2021;11:136.10.3390/nano11010136Search in Google Scholar PubMed PubMed Central

[39] Venkateswarlu B, Satya Narayana PV. Cu‐Al2O3/H2O hybrid nanofluid flow past a porous stretching sheet due to temperature‐dependent viscosity and viscous dissipation. Heat Transf. 2021;50:432–9.10.1002/htj.21884Search in Google Scholar

[40] Rostami S, Toghraie D, Shabani B, Sina N, Barnoon P. Measurement of the thermal conductivity of MWCNT-CuO/water hybrid nanofluid using artificial neural networks (ANNs). J Therm Anal Calorim. 2021;143:1097–5.10.1007/s10973-020-09458-5Search in Google Scholar

[41] Xuan Z, Zhai Y, Ma M, Li Y, Wang H. Thermo-economic performance and sensitivity analysis of ternary hybrid nanofluids. J Mol Liq. 2021;323:114889.10.1016/j.molliq.2020.114889Search in Google Scholar

[42] Ahmed W, Kazi SN, Chowdhury ZZ, Johan MRB, Soudagar MEM, Mujtaba MA, et al. Ultrasonic assisted new Al2O3@ TiO2-ZnO/DW ternary composites nanofluids for enhanced energy transportation in a closed horizontal circular flow passage. Int Commun Heat Mass Transf. 2021;120:105018.10.1016/j.icheatmasstransfer.2020.105018Search in Google Scholar

[43] Sahoo RR. Thermo-hydraulic characteristics of radiator with various shape nanoparticle-based ternary hybrid nanofluid. Powder Technol. 2020;370:19–28.10.1016/j.powtec.2020.05.013Search in Google Scholar

[44] Alawi OA, Sidik NAC, Xian HW, Kean TH, Kazi SN. Thermal conductivity and viscosity models of metallic oxides nanofluids. Int J Heat Mass Transf. 2018;116:1314–25. 10.1016/j.ijheatmasstransfer.2017.09.133 Search in Google Scholar

[45] Eiamsa-ard S, Thianpong C, Eiamsa-ard P. Turbulent heat transfer enhancement by counter/co-swirling flow in a tube fitted with twin twisted tapes. Exp Therm Fluid Sci. 2010;34:53–62.10.1016/j.expthermflusci.2009.09.002Search in Google Scholar

[46] Hamzah MH, Sidik NAC, Ken TL, Mamat R, Najafi G. Factors affecting the performance of hybrid nanofluids: a comprehensive review. Int J Heat Mass Transf. 2017;115:630–46.10.1016/j.ijheatmasstransfer.2017.07.021Search in Google Scholar

[47] Sahoo RR, Kumar V. Development of a new correlation to determine the viscosity of ternary hybrid nanofluid. Int Commun Heat Mass Transf. 2020;111:104451.10.1016/j.icheatmasstransfer.2019.104451Search in Google Scholar

[48] Mousavi SM, Esmaeilzadeh F, Wang XP. Effects of temperature and particles volume concentration on the thermophysical properties and the rheological behavior of CuO/MgO/TiO2 aqueous ternary hybrid nanofluid. J Therm Anal Calorim. 2019;137:879–901.10.1007/s10973-019-08006-0Search in Google Scholar

[49] Alnaqi AA, Alsarraf J, Al-Rashed AAAA. Hydrothermal effects of using two twisted tape inserts in a parabolic trough solar collector filled with MgO-MWCNT/thermal oil hybrid nanofluid. Sustainable Energy Technol Assess. 2021;47:101331.10.1016/j.seta.2021.101331Search in Google Scholar

[50] Thianpong C, Wongcharee K, Safikhani H, Chokphoemphun S, Saysroy A, Skullong S, et al. Multi objective optimization of TiO2/water nanofluid flow within a heat exchanger enhanced with loose-fit delta-wing twisted tape inserts. Int J Therm Sci. 2022;172:107318.10.1016/j.ijthermalsci.2021.107318Search in Google Scholar

[51] Dagdevir T, Ozceyhan V. An experimental study on heat transfer enhancement and flow characteristics of a tube with plain, perforated and dimpled twisted tape inserts. Int J Therm Sci. 2021;159:106564.10.1016/j.ijthermalsci.2020.106564Search in Google Scholar

[52] Wang Y, Qi C, Ding Z, Tu J, Zhao R. Numerical simulation of flow and heat transfer characteristics of nanofluids in built-in porous twisted tape tube. Powder Technol. 2021;392:570–86.10.1016/j.powtec.2021.07.066Search in Google Scholar

[53] Beiki H. Developing convective mass transfer of nanofluids in fully developed flow regimes in a circular tube: modeling using fuzzy inference system and ANFIS. Int J Heat Mass Transf. 2021;173:121285.10.1016/j.ijheatmasstransfer.2021.121285Search in Google Scholar

[54] Wongcharee K, Eiamsa-ard S. Heat transfer enhancement by using CuO/water nanofluid in corrugated tube equipped with twisted tape. Int Commun Heat Mass Transf. 2012;39:251–7.10.1016/j.icheatmasstransfer.2011.11.010Search in Google Scholar

Received: 2022-08-22
Revised: 2022-10-22
Accepted: 2023-01-02
Published Online: 2023-03-04

© 2023 the author(s), published by De Gruyter

This work is licensed under the Creative Commons Attribution 4.0 International License.

Articles in the same Issue

  1. Research Articles
  2. Preparation of CdS–Ag2S nanocomposites by ultrasound-assisted UV photolysis treatment and its visible light photocatalysis activity
  3. Significance of nanoparticle radius and inter-particle spacing toward the radiative water-based alumina nanofluid flow over a rotating disk
  4. Aptamer-based detection of serotonin based on the rapid in situ synthesis of colorimetric gold nanoparticles
  5. Investigation of the nucleation and growth behavior of Ti2AlC and Ti3AlC nano-precipitates in TiAl alloys
  6. Dynamic recrystallization behavior and nucleation mechanism of dual-scale SiCp/A356 composites processed by P/M method
  7. High mechanical performance of 3-aminopropyl triethoxy silane/epoxy cured in a sandwich construction of 3D carbon felts foam and woven basalt fibers
  8. Applying solution of spray polyurea elastomer in asphalt binder: Feasibility analysis and DSR study based on the MSCR and LAS tests
  9. Study on the chronic toxicity and carcinogenicity of iron-based bioabsorbable stents
  10. Influence of microalloying with B on the microstructure and properties of brazed joints with Ag–Cu–Zn–Sn filler metal
  11. Thermohydraulic performance of thermal system integrated with twisted turbulator inserts using ternary hybrid nanofluids
  12. Study of mechanical properties of epoxy/graphene and epoxy/halloysite nanocomposites
  13. Effects of CaO addition on the CuW composite containing micro- and nano-sized tungsten particles synthesized via aluminothermic coupling with silicothermic reduction
  14. Cu and Al2O3-based hybrid nanofluid flow through a porous cavity
  15. Design of functional vancomycin-embedded bio-derived extracellular matrix hydrogels for repairing infectious bone defects
  16. Study on nanocrystalline coating prepared by electro-spraying 316L metal wire and its corrosion performance
  17. Axial compression performance of CFST columns reinforced by ultra-high-performance nano-concrete under long-term loading
  18. Tungsten trioxide nanocomposite for conventional soliton and noise-like pulse generation in anomalous dispersion laser cavity
  19. Microstructure and electrical contact behavior of the nano-yttria-modified Cu-Al2O3/30Mo/3SiC composite
  20. Melting rheology in thermally stratified graphene-mineral oil reservoir (third-grade nanofluid) with slip condition
  21. Re-examination of nonlinear vibration and nonlinear bending of porous sandwich cylindrical panels reinforced by graphene platelets
  22. Parametric simulation of hybrid nanofluid flow consisting of cobalt ferrite nanoparticles with second-order slip and variable viscosity over an extending surface
  23. Chitosan-capped silver nanoparticles with potent and selective intrinsic activity against the breast cancer cells
  24. Multi-core/shell SiO2@Al2O3 nanostructures deposited on Ti3AlC2 to enhance high-temperature stability and microwave absorption properties
  25. Solution-processed Bi2S3/BiVO4/TiO2 ternary heterojunction photoanode with enhanced photoelectrochemical performance
  26. Electroporation effect of ZnO nanoarrays under low voltage for water disinfection
  27. NIR-II window absorbing graphene oxide-coated gold nanorods and graphene quantum dot-coupled gold nanorods for photothermal cancer therapy
  28. Nonlinear three-dimensional stability characteristics of geometrically imperfect nanoshells under axial compression and surface residual stress
  29. Investigation of different nanoparticles properties on the thermal conductivity and viscosity of nanofluids by molecular dynamics simulation
  30. Optimized Cu2O-{100} facet for generation of different reactive oxidative species via peroxymonosulfate activation at specific pH values to efficient acetaminophen removal
  31. Brownian and thermal diffusivity impact due to the Maxwell nanofluid (graphene/engine oil) flow with motile microorganisms and Joule heating
  32. Appraising the dielectric properties and the effectiveness of electromagnetic shielding of graphene reinforced silicone rubber nanocomposite
  33. Synthesis of Ag and Cu nanoparticles by plasma discharge in inorganic salt solutions
  34. Low-cost and large-scale preparation of ultrafine TiO2@C hybrids for high-performance degradation of methyl orange and formaldehyde under visible light
  35. Utilization of waste glass with natural pozzolan in the production of self-glazed glass-ceramic materials
  36. Mechanical performance of date palm fiber-reinforced concrete modified with nano-activated carbon
  37. Melting point of dried gold nanoparticles prepared with ultrasonic spray pyrolysis and lyophilisation
  38. Graphene nanofibers: A modern approach towards tailored gypsum composites
  39. Role of localized magnetic field in vortex generation in tri-hybrid nanofluid flow: A numerical approach
  40. Intelligent computing for the double-diffusive peristaltic rheology of magneto couple stress nanomaterials
  41. Bioconvection transport of upper convected Maxwell nanoliquid with gyrotactic microorganism, nonlinear thermal radiation, and chemical reaction
  42. 3D printing of porous Ti6Al4V bone tissue engineering scaffold and surface anodization preparation of nanotubes to enhance its biological property
  43. Bioinspired ferromagnetic CoFe2O4 nanoparticles: Potential pharmaceutical and medical applications
  44. Significance of gyrotactic microorganisms on the MHD tangent hyperbolic nanofluid flow across an elastic slender surface: Numerical analysis
  45. Performance of polycarboxylate superplasticisers in seawater-blended cement: Effect from chemical structure and nano modification
  46. Entropy minimization of GO–Ag/KO cross-hybrid nanofluid over a convectively heated surface
  47. Oxygen plasma assisted room temperature bonding for manufacturing SU-8 polymer micro/nanoscale nozzle
  48. Performance and mechanism of CO2 reduction by DBD-coupled mesoporous SiO2
  49. Polyarylene ether nitrile dielectric films modified by HNTs@PDA hybrids for high-temperature resistant organic electronics field
  50. Exploration of generalized two-phase free convection magnetohydrodynamic flow of dusty tetra-hybrid Casson nanofluid between parallel microplates
  51. Hygrothermal bending analysis of sandwich nanoplates with FG porous core and piezomagnetic faces via nonlocal strain gradient theory
  52. Design and optimization of a TiO2/RGO-supported epoxy multilayer microwave absorber by the modified local best particle swarm optimization algorithm
  53. Mechanical properties and frost resistance of recycled brick aggregate concrete modified by nano-SiO2
  54. Self-template synthesis of hollow flower-like NiCo2O4 nanoparticles as an efficient bifunctional catalyst for oxygen reduction and oxygen evolution in alkaline media
  55. High-performance wearable flexible strain sensors based on an AgNWs/rGO/TPU electrospun nanofiber film for monitoring human activities
  56. High-performance lithium–selenium batteries enabled by nitrogen-doped porous carbon from peanut meal
  57. Investigating effects of Lorentz forces and convective heating on ternary hybrid nanofluid flow over a curved surface using homotopy analysis method
  58. Exploring the potential of biogenic magnesium oxide nanoparticles for cytotoxicity: In vitro and in silico studies on HCT116 and HT29 cells and DPPH radical scavenging
  59. Enhanced visible-light-driven photocatalytic degradation of azo dyes by heteroatom-doped nickel tungstate nanoparticles
  60. A facile method to synthesize nZVI-doped polypyrrole-based carbon nanotube for Ag(i) removal
  61. Improved osseointegration of dental titanium implants by TiO2 nanotube arrays with self-assembled recombinant IGF-1 in type 2 diabetes mellitus rat model
  62. Functionalized SWCNTs@Ag–TiO2 nanocomposites induce ROS-mediated apoptosis and autophagy in liver cancer cells
  63. Triboelectric nanogenerator based on a water droplet spring with a concave spherical surface for harvesting wave energy and detecting pressure
  64. A mathematical approach for modeling the blood flow containing nanoparticles by employing the Buongiorno’s model
  65. Molecular dynamics study on dynamic interlayer friction of graphene and its strain effect
  66. Induction of apoptosis and autophagy via regulation of AKT and JNK mitogen-activated protein kinase pathways in breast cancer cell lines exposed to gold nanoparticles loaded with TNF-α and combined with doxorubicin
  67. Effect of PVA fibers on durability of nano-SiO2-reinforced cement-based composites subjected to wet-thermal and chloride salt-coupled environment
  68. Effect of polyvinyl alcohol fibers on mechanical properties of nano-SiO2-reinforced geopolymer composites under a complex environment
  69. In vitro studies of titanium dioxide nanoparticles modified with glutathione as a potential drug delivery system
  70. Comparative investigations of Ag/H2O nanofluid and Ag-CuO/H2O hybrid nanofluid with Darcy-Forchheimer flow over a curved surface
  71. Study on deformation characteristics of multi-pass continuous drawing of micro copper wire based on crystal plasticity finite element method
  72. Properties of ultra-high-performance self-compacting fiber-reinforced concrete modified with nanomaterials
  73. Prediction of lap shear strength of GNP and TiO2/epoxy nanocomposite adhesives
  74. A novel exploration of how localized magnetic field affects vortex generation of trihybrid nanofluids
  75. Fabrication and physicochemical characterization of copper oxide–pyrrhotite nanocomposites for the cytotoxic effects on HepG2 cells and the mechanism
  76. Thermal radiative flow of cross nanofluid due to a stretched cylinder containing microorganisms
  77. In vitro study of the biphasic calcium phosphate/chitosan hybrid biomaterial scaffold fabricated via solvent casting and evaporation technique for bone regeneration
  78. Insights into the thermal characteristics and dynamics of stagnant blood conveying titanium oxide, alumina, and silver nanoparticles subject to Lorentz force and internal heating over a curved surface
  79. Effects of nano-SiO2 additives on carbon fiber-reinforced fly ash–slag geopolymer composites performance: Workability, mechanical properties, and microstructure
  80. Energy bandgap and thermal characteristics of non-Darcian MHD rotating hybridity nanofluid thin film flow: Nanotechnology application
  81. Green synthesis and characterization of ginger-extract-based oxali-palladium nanoparticles for colorectal cancer: Downregulation of REG4 and apoptosis induction
  82. Abnormal evolution of resistivity and microstructure of annealed Ag nanoparticles/Ag–Mo films
  83. Preparation of water-based dextran-coated Fe3O4 magnetic fluid for magnetic hyperthermia
  84. Statistical investigations and morphological aspects of cross-rheological material suspended in transportation of alumina, silica, titanium, and ethylene glycol via the Galerkin algorithm
  85. Effect of CNT film interleaves on the flexural properties and strength after impact of CFRP composites
  86. Self-assembled nanoscale entities: Preparative process optimization, payload release, and enhanced bioavailability of thymoquinone natural product
  87. Structure–mechanical property relationships of 3D-printed porous polydimethylsiloxane films
  88. Nonlinear thermal radiation and the slip effect on a 3D bioconvection flow of the Casson nanofluid in a rotating frame via a homotopy analysis mechanism
  89. Residual mechanical properties of concrete incorporated with nano supplementary cementitious materials exposed to elevated temperature
  90. Time-independent three-dimensional flow of a water-based hybrid nanofluid past a Riga plate with slips and convective conditions: A homotopic solution
  91. Lightweight and high-strength polyarylene ether nitrile-based composites for efficient electromagnetic interference shielding
  92. Review Articles
  93. Recycling waste sources into nanocomposites of graphene materials: Overview from an energy-focused perspective
  94. Hybrid nanofiller reinforcement in thermoset and biothermoset applications: A review
  95. Current state-of-the-art review of nanotechnology-based therapeutics for viral pandemics: Special attention to COVID-19
  96. Solid lipid nanoparticles for targeted natural and synthetic drugs delivery in high-incidence cancers, and other diseases: Roles of preparation methods, lipid composition, transitional stability, and release profiles in nanocarriers’ development
  97. Critical review on experimental and theoretical studies of elastic properties of wurtzite-structured ZnO nanowires
  98. Polyurea micro-/nano-capsule applications in construction industry: A review
  99. A comprehensive review and clinical guide to molecular and serological diagnostic tests and future development: In vitro diagnostic testing for COVID-19
  100. Recent advances in electrocatalytic oxidation of 5-hydroxymethylfurfural to 2,5-furandicarboxylic acid: Mechanism, catalyst, coupling system
  101. Research progress and prospect of silica-based polymer nanofluids in enhanced oil recovery
  102. Review of the pharmacokinetics of nanodrugs
  103. Engineered nanoflowers, nanotrees, nanostars, nanodendrites, and nanoleaves for biomedical applications
  104. Research progress of biopolymers combined with stem cells in the repair of intrauterine adhesions
  105. Progress in FEM modeling on mechanical and electromechanical properties of carbon nanotube cement-based composites
  106. Antifouling induced by surface wettability of poly(dimethyl siloxane) and its nanocomposites
  107. TiO2 aerogel composite high-efficiency photocatalysts for environmental treatment and hydrogen energy production
  108. Structural properties of alumina surfaces and their roles in the synthesis of environmentally persistent free radicals (EPFRs)
  109. Nanoparticles for the potential treatment of Alzheimer’s disease: A physiopathological approach
  110. Current status of synthesis and consolidation strategies for thermo-resistant nanoalloys and their general applications
  111. Recent research progress on the stimuli-responsive smart membrane: A review
  112. Dispersion of carbon nanotubes in aqueous cementitious materials: A review
  113. Applications of DNA tetrahedron nanostructure in cancer diagnosis and anticancer drugs delivery
  114. Magnetic nanoparticles in 3D-printed scaffolds for biomedical applications
  115. An overview of the synthesis of silicon carbide–boron carbide composite powders
  116. Organolead halide perovskites: Synthetic routes, structural features, and their potential in the development of photovoltaic
  117. Recent advancements in nanotechnology application on wood and bamboo materials: A review
  118. Application of aptamer-functionalized nanomaterials in molecular imaging of tumors
  119. Recent progress on corrosion mechanisms of graphene-reinforced metal matrix composites
  120. Research progress on preparation, modification, and application of phenolic aerogel
  121. Application of nanomaterials in early diagnosis of cancer
  122. Plant mediated-green synthesis of zinc oxide nanoparticles: An insight into biomedical applications
  123. Recent developments in terahertz quantum cascade lasers for practical applications
  124. Recent progress in dielectric/metal/dielectric electrodes for foldable light-emitting devices
  125. Nanocoatings for ballistic applications: A review
  126. A mini-review on MoS2 membrane for water desalination: Recent development and challenges
  127. Recent updates in nanotechnological advances for wound healing: A narrative review
  128. Recent advances in DNA nanomaterials for cancer diagnosis and treatment
  129. Electrochemical micro- and nanobiosensors for in vivo reactive oxygen/nitrogen species measurement in the brain
  130. Advances in organic–inorganic nanocomposites for cancer imaging and therapy
  131. Advancements in aluminum matrix composites reinforced with carbides and graphene: A comprehensive review
  132. Modification effects of nanosilica on asphalt binders: A review
  133. Decellularized extracellular matrix as a promising biomaterial for musculoskeletal tissue regeneration
  134. Review of the sol–gel method in preparing nano TiO2 for advanced oxidation process
  135. Micro/nano manufacturing aircraft surface with anti-icing and deicing performances: An overview
  136. Cell type-targeting nanoparticles in treating central nervous system diseases: Challenges and hopes
  137. An overview of hydrogen production from Al-based materials
  138. A review of application, modification, and prospect of melamine foam
  139. A review of the performance of fibre-reinforced composite laminates with carbon nanotubes
  140. Research on AFM tip-related nanofabrication of two-dimensional materials
  141. Advances in phase change building materials: An overview
  142. Development of graphene and graphene quantum dots toward biomedical engineering applications: A review
  143. Nanoremediation approaches for the mitigation of heavy metal contamination in vegetables: An overview
  144. Photodynamic therapy empowered by nanotechnology for oral and dental science: Progress and perspectives
  145. Biosynthesis of metal nanoparticles: Bioreduction and biomineralization
  146. Current diagnostic and therapeutic approaches for severe acute respiratory syndrome coronavirus-2 (SARS-COV-2) and the role of nanomaterial-based theragnosis in combating the pandemic
  147. Application of two-dimensional black phosphorus material in wound healing
  148. Special Issue on Advanced Nanomaterials and Composites for Energy Conversion and Storage - Part I
  149. Helical fluorinated carbon nanotubes/iron(iii) fluoride hybrid with multilevel transportation channels and rich active sites for lithium/fluorinated carbon primary battery
  150. The progress of cathode materials in aqueous zinc-ion batteries
  151. Special Issue on Advanced Nanomaterials for Carbon Capture, Environment and Utilization for Energy Sustainability - Part I
  152. Effect of polypropylene fiber and nano-silica on the compressive strength and frost resistance of recycled brick aggregate concrete
  153. Mechanochemical design of nanomaterials for catalytic applications with a benign-by-design focus
Downloaded on 21.1.2026 from https://www.degruyterbrill.com/document/doi/10.1515/ntrev-2022-0504/html
Scroll to top button