Home Physical Sciences Bioconvection transport of upper convected Maxwell nanoliquid with gyrotactic microorganism, nonlinear thermal radiation, and chemical reaction
Article Open Access

Bioconvection transport of upper convected Maxwell nanoliquid with gyrotactic microorganism, nonlinear thermal radiation, and chemical reaction

  • Shuguang Li , Muhammad Nasir , Muhammad Waqas EMAIL logo , Shaimaa A. M. Abdelmohsen , Sayed M. Eldin , Sherzod Shukhratovich Abdullaev and Waqar Azeem Khan
Published/Copyright: July 31, 2023
Become an author with De Gruyter Brill

Abstract

The microorganisms’ concept has appealed substantial consideration of modern researchers because of its utilization in commercial and industrial products, for illustration, biofuel (prepared from the waste), drug delivery, and fertilizers. Keeping such utilizations of microorganisms in mind, an analysis based on gyrotactic microorganisms featuring the mixed convective nonlinear radiative Maxwell nanoliquid stagnation point flow configured by permeable stretching surface is presented. Boundary layer stretching flow subjected to transpiration effects is formulated. Modeling is based on Buongiorno’s nanoliquid model. This model captures Brownian diffusion along with thermophoresis aspects. Energy expression is formulated under nonlinear version of radiative heat-flux, heat source, thermal Robin conditions, and heat sink. Mass transport analysis is presented considering solutal Robin conditions and chemical reaction. In addition, the Robin conditions for motile microorganisms are also considered. The complex mathematical expressions of Maxwell liquid are simplified utilizing the Boundary layer concept and then suitable transformations assist to obtain the mathematical problems in ordinary differential forms. The analytical approach (that is homotopy analysis methodology) is utilized for computational analysis. The outcomes obtained are presented graphically and numerically. The detailed description of emerging physical non-dimensional parameters is included. Our findings indicate that the motile density field strongly boosted with the increment in Peclet number and microorganisms Biot number; however, they are suppressed with the increase in the values of bioconvection Schmidt number and motile microorganism concentration difference parameter.

Nomenclature

A

ratio of rates

C f

heated fluid concentration

C

ambient fluid concentration

D t

thermophoretic diffusion coefficient (m2 s–1)

D B

Brownian diffusion coefficient (m2 s–1)

f

dimensionless velocity

Gr x

thermal buoyancy number

Gr x

concentration buoyancy number

N

thermophoresis parameter

N

buoyancy ratio parameter

N b

Brownian motion parameter

N t

thermophoresis parameter

Nu x

local Nusselt number

Pe

bioconvection Peclet number

Pr

Prandtl number

R

radiation parameter

Rb

bioconvection Rayleigh number

Re x

local Reynolds number

Sc n

bioconvection Schmidt number

T

fluid temperature ( K )

T

ambient fluid temperature ( K )

u , v

velocity components ( m s 1 )

x , y

coordinate axes (m)

θ R

temperature ratio parameter

Ω

concentration motile microorganisms’ parameter

σ

chemical reaction parameter

η

similarity variable

γ 1

thermal Biot number

θ

dimensionless temperature

ϕ

volume fraction of nano-particles

ρ f

density of base fluid ( k gm 3 )

λ

mixed convection parameter

β

Deborah number

γ 3

motile microorganisms conjugate parameter

γ 2

solutal Biot number

ξ

dimensionless motile microorganisms

1 Introduction

Owing to their exceptionally reliable rheological characteristics, non-Newtonian liquids have acquired remarkable attraction among engineers, scientists, and researchers. Their utilization in distinct biomedical, pharmaceutical, technological, and other disciplines of science is growing every day. Different models featuring non-Newtonian characteristics are suggested. The model considered here (Maxwell fluid) is the rate type non-Newtonian model which captures viscoelastic aspects in terms of stress relaxation time factor and this model has ample usage in mechanical engineering, computers, automobiles, polymer, and medical industries. Researchers considered this model under diverse physical aspects. For illustration, Hayat et al. [1] evaluated Maxwell liquid stagnation point laminar flow configured by moving convective surface. They employed homotopy analysis methodology (HAM) for computational outcomes. They noticed temperature reduction subjected to larger Prandtl number. Analysis of mixed convective Maxwell liquid based on Buongiorno’s model was scrutinized by Nadeem et al. [2]. Their outcomes indicate increase in velocity when material parameter (Deborah number) is augmented. Megahed [3] analyzed variable properties effectiveness in magnetized Maxwell liquid incompressible flow under porous medium and Robin conditions. According to his findings, larger Eckert number yields higher temperature. Transport of hybrid Maxwell nanoliquid considering buoyancy forces and improved Fourier–Fickian relations is reported by Madkhali et al. [4]. They declared that thermal memory aspects play vital contribution in augmenting the wall heat flux. Waqas [5] explored variable properties based on temperature and concentration in flow of chemically reactive Maxwell liquid laminar flow. It is examined that Prandtl number and heat sink factor corresponds to lower temperature when compared with variable conductivity and heat source parameters.

Nanoliquids upsurge the transportation of heat transfer utilized in intensification procedure of reactors and heat exchangers. Consideration of bioconvection in nanoliquids convalesce mass transportation, enhance stability, induce microvolume fraternization, and prevent nanoparticles clustering [6,7]. The nanoliquids together with bioconvection aspect find relevance in medical filtration, microfluidic devices, microbial fuel cells, modernized energy conservation mechanisms, and bio-nano coolant structures. The gyrotactic microorganisms significance in nanoliquid stagnant point flow is evaluated by Zaimi et al. [8]. Xu and Pop [9] modeled the mixed convective gyrotactic microorganisms based nanoliquid flow employing homotopic scheme. Their outcomes signify concentration augmentation subject to increasing thermophoresis variable. Magnetohydrodynamic laminar flow based on Oldroyd-B model capturing Buongiorno’s nanoliquid and stratifications was inspected by Waqas et al. [10]. It is noticed that higher Peclet number yields diminution of microorganisms’ density. Further analyses featuring gyrotactic microorganisms in stretching flow of rheological liquids are mentioned in previous studies [1113]. In these investigations, multi-physical effects along with distinct geometries are considered. From these studies, it is concluded that nanoliquid consideration together with gyrotactic microorganisms stabilize the adjourned nanoparticles.

Undoubtedly, numerous engineering and geological structures capturing double-diffusive convection effects encompass the phenomenon of chemical reaction. Geochemical flows involve rainfall reaction (for example a calcium feldspar and acidic brine), pollutant leaching [14], mineralogical dissolution, and brine chemo-geothermics [15]. Further examples based on industrial technologies comprise catalytic conversion, manipulation of polymer radical, materials synthesis [16], and exothermic type chemical reactions featuring porous media based reactors [17]. Rheological liquid models subjected to chemical reactions are scrutinized by various researchers considering multi-physical effects and geometries. In this direction, Reddy et al. [18] examined chemically reactive magnetized laminar flow subjected to porous medium and viscous dissipation. They considered micropolar model for flow formulation. They inspected higher thermal field for increasing radiation factor and Eckert number. Chemically reactive Eyring–Powell liquid incompressible stretching flow confined by heated convective surface is scrutinized by Hussain et al. [19]. They computed nonlinear problems using bvp4c algorithm. They found significant impact of chemical reaction factor on mass transportation. Chu et al. [20] evaluated Maxwell nanoliquid stagnation point reactive flow considering cylindrical geometry. They declared that consideration of exponential heat source together with nonlinear radiation is significant when improvement in thermal processes is required.

The literature mentioned above witness that Darcy–Forchheimer concept of porous medium in rate type stretching liquids subjected to gyrotactic microorganisms is less considered. With this objective, our focus here is to develop a mathematical model featuring nonlinear rheological Maxwell liquid. The current study accounts the novel aspects like thermal radiation, stagnant point flow, chemical reaction, and Robin conditions. The boundary layer approach yielding parabolic expressions is used. Various computational algorithms [21,22,23,24] are available. Here the governing mathematical problems of Maxwell liquid are analytically solved through HAM [25,26,27,28]. The outcomes of significant variables against dimensionless quantities are presented and elaborated comprehensively. The considered non-Newtonian nanoliquid stagnation model encompasses coating fabricating procedures for biomimetic sensors [29] and optical fiber nano-coatings [30,31].

2 Flow model

Consider a laminar boundary layer stretching flow based on rate type rheological Maxwell liquid [26] confined by vertical convective permeable surface. Stagnation point incompressible flow is modeled in vertical direction considering buoyancy forces and velocity u w ( x ) = c x . The Maxwell nanoliquid is electrically conductive and is exposed to a uniform magnetic field B 0 . The dispersion of nanoparticles is homogeneous, which prevents agglomeration and accumulation, resulting in a dilute nanofluid suspension. In addition, the model assumes that the swimming direction and velocity of gyrotactic microorganisms are not impacted by nanoparticles presence. The density variation in buoyancy term is determined utilizing the Boussinesq approximation. The flow configuration is illustrated in Figure 1.

Figure 1 
               Flow diagram and coordinate system.
Figure 1

Flow diagram and coordinate system.

The governing nonlinear expressions subjected to mixed convection, gyrotactic microorganisms, thermal radiation, Robin conditions, and heat source/sink are as follows [27]:

(1) u x + v y = 0 ,

(2) u u x + v u y + λ 1 u 2 2 u x 2 + v 2 2 v y 2 + 2 u v 2 u x y = v 2 u y 2 + u e d u e d x + 1 ρ f [ ( 1 C ) ρ f g β ( T T ) ( ρ p ρ f ) g ( C C ) ( ρ m ρ f ) g γ ( n n ) ] ,

(3) u T x + v T y = α 2 T y 2 + τ D B C y T y + D T T T y 2 + 16 σ 3 k ( ρ c ) f y T 3 T y + Q 0 ( ρ c ) f ( T T ) ,

(4) u C x + v C y = D B 2 C y 2 + D T T 2 T y 2 k r ( C C ) ,

(5) u n x + v n y + b W c ( C w C ) y n C y = D n 2 n y 2 ,

(6) u = u w ( x ) = c x , v = v w = v 0 , k T y = h f ( T f T ) , D B C y = h g ( C f C ) , D n n y = h n ( n f n )  at  y = 0 , u u e ( x ) = e x , T T , C C  , n n when y ,

where ν = μ ρ f represents the kinematic viscosity, ρ f represents the liquid density, μ denotes the dynamic viscosity, Q 0 stands for the heat absorption (sink)/generation (source) coefficient, γ is the average volume of microorganisms, ρ p and ρ m stand for the particle microorganisms densities, ( u w ( x ) , v w ) stand for the (stretching, suction/injection) velocity, λ 1 is the relaxation time, g is the gravitational acceleration, D B is the Brownian diffusion coefficient, b is the chemotaxis constant, W c is the maximum cell swimming speed, D n is the microorganisms diffusion coefficients, C is the liquid concentration, u e ( x ) is free stream velocity, C f is the heated liquid concentration, thermal diffusivity α = k ( ρ c ) f , heat capacity ratio τ = ( ρ c ) P ( ρ c ) f with liquid heat ( ρ c ) f , ( ρ c ) p stands for the nanoparticles effective heat capacity, ( h f , h g , h n ) stand for the heat, mass, and motile microorganisms transfer coefficients, σ is the Stefan–Boltzmann constant, D T is the thermophoresis diffusion coefficient, C is the ambient liquid concentration, k is the mean absorption coefficient, n is the motile microorganisms concentration, T is the liquid temperature, T f is the heated liquid temperature, k is the thermal conductivity, c is the dimensional constant, k r is the reaction rate, T is ambient liquid temperature, n f is the microorganisms transfer coefficient, b is the chemotaxis constant, and u , v are the components of velocity in the ( x , y ) direction, respectively.

Implementing [27]

(7) η = y c ν , u = c x f ( η ) , v = c ν f ( η ) , θ ( η ) = T T T f T , ϕ ( η ) = C C C f C , ξ ( η ) = n n n f n ,

continuity equation (that is equation (1)) is fulfilled and other equations in dimensionless form become

(8) f + f f + β ( 2 f f f f 2 f ) f 2 + λ ( θ N ϕ Rb ξ ) + A 2 = 0 ,

(9) ( 1 + R ) θ + 4 3 R [ ( θ R 1 ) 3 ( 3 θ 2 ( θ ) 2 + θ 3 θ ) + 3 ( θ R 1 ) 2 ( 2 θ ( θ ) 2 + θ 2 θ ) + 3 ( θ R 1 ) ( ( θ ) 2 + θ θ ) ] + Pr f θ + Pr ( N t θ 2 + N b ϕ θ + S θ ) = 0 ,

(10) ϕ + Sc f ϕ + N t N b θ Sc σ ϕ = 0 ,

(11) ξ + Sc n f ξ Pe [ ξ ϕ + ( ξ + Ω ) ϕ ] = 0 ,

(12) f = h , f = 1 , θ = γ 1 ( 1 θ ( η ) ) ϕ = γ 2 ( 1 ϕ ( η ) ) , ξ = γ 3 ( 1 ξ ( η ) )  at  η = 0 ,

(13) f A , θ 0 , ϕ 0 , ξ 0  as  η ,

where ( ) signifies the differentiation concerning η , λ is the mixed convection parameter, Sc is the Schmidt number, Sc n is the bioconvection Schmidt number, S < 0 is the heat absorption variable, Rb is the bioconvection Rayleigh number, Gr x is the concentration buoyancy number, A is the ratio of rates, N t is the thermophoresis parameter, Pr is the Prandtl number, Gr x is the thermal buoyancy number, N b is the Brownian motion parameter, R is the radiation variable, S > 0 is the heat generation variable, θ R is the temperature ratio parameter, γ 1 is the thermal Biot number, β is the Deborah number, N is the buoyancy ratio parameter, σ = k r 2 c is the dimensionless reaction rate, γ 3 is the motile microorganisms conjugate parameter, σ > 0 is the destructive reaction variable, Ω is the concentration motile microorganisms parameter, Pe is the bioconvection Peclet number, σ < 0 is the generative reaction variable, γ 2 is the concentration Biot number, h > 0 is the suction, and h < 0 is the injection. These parameters are defined as follows:

(14) β = λ 1 c , λ = ( 1 C ) β g ( T f T ) c 2 x , Re x = x u w ν , Pr = ν α , γ 3 = h n ν c , N = ( ρ p ρ f ) ( C f C ) ρ f β ( T f T ) ( 1 C ) , N t = τ D T ( T f T ) T α , R b = r ( n f n ) ( ρ m ρ f ) β ρ f ( 1 C ) ( T f T ) , S = Q 0 ( ρ c ) f c , Sc = ν D B , Sc n = ν D n , Pe = b W c D n , γ 1 = h f k ν c , N b = τ D B ( C f C ) α , A = e c , θ R = T f T , h = v 0 ν c , γ 2 = h g D B ν c , σ = k r 2 c , Ω = n n f n .

Heat-mass transportation and microorganism diffusion rates ( Nu x , Sh x , Nn x ) in mathematical forms are defined as follows:

(15) Nu x = x ( T f T ) T y 16 σ x 3 k k ( T f T ) T 3 T y y = 0 ,

(16) Sh x = x q m D B ( C f C ) , q m = D B C y y = 0 ,

(17) Nn x = x q n D n ( n f n ) , q n = D n ξ y y = 0 ,

(18) Nu x Re x 0.5 = 1 + 4 3 R ( 1 + ( θ R 1 ) θ ( 0 ) ) 3 θ ( 0 ) ,

(19) Sh x Re x 1 2 = ϕ ( 0 ) , Nn x Re x 1 / 2 = ξ ( 0 ) .

3 Analytical solution procedure

In numerous engineering and industrial applications, the resultant coupled ordinary differential equations are extremely nonlinear, which is always a difficult task for engineers and researchers. Such difficult problems are frequently addressed either analytically or numerically. Beyond the analytical approaches, HAM approach is one that efficiently calculates the required convergence series solution of the system. One of the prominent features of this approach is that it does not impose the restriction of big or small parameter in the problem. The convergence domain associated with this approach can be managed more effectively as related to other methodologies. It provides a lot of flexibility to build the necessary functions to calculate the solution. Liao [25] initiated the pioneering study on this approach. Later on, several researchers used this approach to solve highly nonlinear problems [26,27,28]. Following initial estimations, ( f o ( η ) , θ o ( η ) , ϕ o ( η ) , ξ o ( η ) ) are proposed to start the computations.

(20) f 0 ( η ) = h + A η + ( 1 A ) ( 1 e η ) , θ 0 ( η ) = γ 1 1 + γ 1 e η , ϕ 0 ( η ) = γ 2 1 + γ 2 e η , ξ 0 ( η ) = γ 3 1 + γ 3 e η .

Let us assume the essential linear operators ( L f , L θ , L f , L ξ ) as follows:

(21) L f = f f , L θ = θ θ , L ϕ = ϕ ϕ , L ξ = ξ ξ .

with

(22) L f ( A 1 + A 2 e η + A 3 e η ) = 0 , L θ ( A 4 e η + A 5 e η ) = 0 , L ϕ ( A 6 e η + A 7 e η ) = 0 , L ξ ( A 8 e η + A 9 e η ) = 0 ,

where A i ( i = 1 9 ) indicate the arbitrary constants.

Now defining the problems at zeroth order, we have

(23) ( 1 w ) L f [ f ˆ ( η ; w ) f 0 ( η ) ] = w f N f [ f ˆ ( η ; w ) , θ ˆ ( η , w ) , ϕ ˆ ( η ; w ) , ξ ˆ ( η ; w ) ] ,

(24) ( 1 w ) L θ [ θ ˆ ( η ; w ) θ 0 ( η ) ] = w θ N θ [ f ˆ ( η ; w ) , θ ˆ ( η , w ) , ϕ ˆ ( η ; w ) , ξ ˆ ( η ; w ) ] ,

(25) ( 1 w ) L φ [ ϕ ˆ ( η ; w ) ϕ 0 ( η ) ] = w ϕ N ϕ [ f ˆ ( η ; w ) , θ ˆ ( η , w ) , ϕ ˆ ( η ; w ) , ξ ˆ ( η ; w ) ] ,

(26) ( 1 w ) L ξ [ ξ ˆ ( η ; w ) ξ 0 ( η ) ] = w ξ N ξ [ f ˆ ( η ; w ) , θ ˆ ( η , w ) , ϕ ˆ ( η ; w ) , ξ ˆ ( η ; w ) ] ,

(27) f ˆ ( 0 ; w ) = h , f ˆ ( 0 ; w ) = 1 , f ˆ ( ; w ) = A , θ ˆ ( 0 ; w ) = γ 1 ( 1 θ ˆ ( 0 ; w ) ) , θ ˆ ( ; w ) = 0 , ϕ ˆ ( 0 ; w ) = γ 2 ( 1 ϕ ˆ ( 0 ; w ) ) , ϕ ˆ ( ; w ) = 0 , ξ ˆ ( 0 ; w ) = γ 3 ( 1 ξ ˆ ( 0 ; w ) ) , ξ ˆ ( ; w ) = 0 ,

(28) N f [ f ˆ ( η ; w ) , θ ˆ ( η ; w ) , ϕ ˆ ( η ; w ) , ξ ˆ ( η ; w ) ] = 3 f ˆ ( η ; w ) η 3 + ( f ˆ ( η , w ) 2 f ˆ ( η ; w ) η 2 f ˆ ( η ; w ) η 2 + β 2 f ˆ ( η , w ) f ˆ ( η ; w ) η 2 f ˆ ( η ; w ) η 2 ( ( f ˆ ( η , w ) ) 2 3 f ˆ ( η ; w ) η 3 + 2 λ ( θ ˆ ( η ; w ) N ϕ ˆ ( η ; w ) Rb ξ ˆ ( η ; w ) ) + A 2 ,

(29) N θ [ f ˆ ( η ; w ) , θ ˆ ( η ; w ) , ϕ ˆ ( η ; w ) , ξ ˆ ( η ; w ) ] = ( 1 + R ) 2 θ ˆ ( η ; w ) η 2 + 4 3 R ( θ R 1 ) 3 3 ( θ ˆ ( η ; w ) ) 2 θ ˆ ( η ; w ) η 2 + ( θ ˆ ( η ; w ) ) 3 2 θ ˆ ( η ; w ) η 2 + 3 ( θ R 1 ) 2 2 ( θ ˆ ( η ; w ) ) θ ˆ ( η ; w ) η 2 + ( θ ˆ ( η ; w ) ) 2 2 θ ˆ ( η ; w ) η 2 + 3 ( θ R 1 ) θ ˆ ( η ; w ) η 2 + ( θ ˆ ( η ; w ) ) 2 θ ˆ ( η ; w ) η 2 + Pr f ˆ ( η , p ) θ ˆ ( η ; w ) η + Pr N t θ ˆ ( η ; w ) η 2 + N b θ ˆ ( η ; w ) η ϕ ˆ ( η ; w ) η + S θ ˆ ( η ; w ) ,

(30) N φ [ f ˆ ( η ; w ) , θ ˆ ( η ; w ) , ϕ ˆ ( η ; w ) , ξ ˆ ( η ; w ) ] = 2 ϕ ˆ ( η ; w ) η 2 + Sc f ˆ ( η ; w ) ϕ ˆ ( η ; w ) η + N t N b 2 θ ˆ ( η ; w ) η 2 Sc σ ϕ ˆ ( η ; w ) ,

(31) N ξ [ f ˆ ( η ; w ) , θ ˆ ( η ; w ) , ϕ ˆ ( η ; w ) , ξ ˆ ( η ; w ) ] = 2 ξ ˆ ( η ; w ) η 2 + Sc n f ˆ ( η ; w ) ξ ˆ ( η ; w ) η Pe ξ ˆ ( η ; w ) η ϕ ˆ ( η ; w ) η + ( ξ ˆ ( η ; w ) + Ω ) 2 ϕ ˆ ( η ; w ) η 2 .

The embedding variable is shown by w while f , θ , ϕ , and ξ are non-zero auxiliary variables.

4 Convergence analysis of HAM

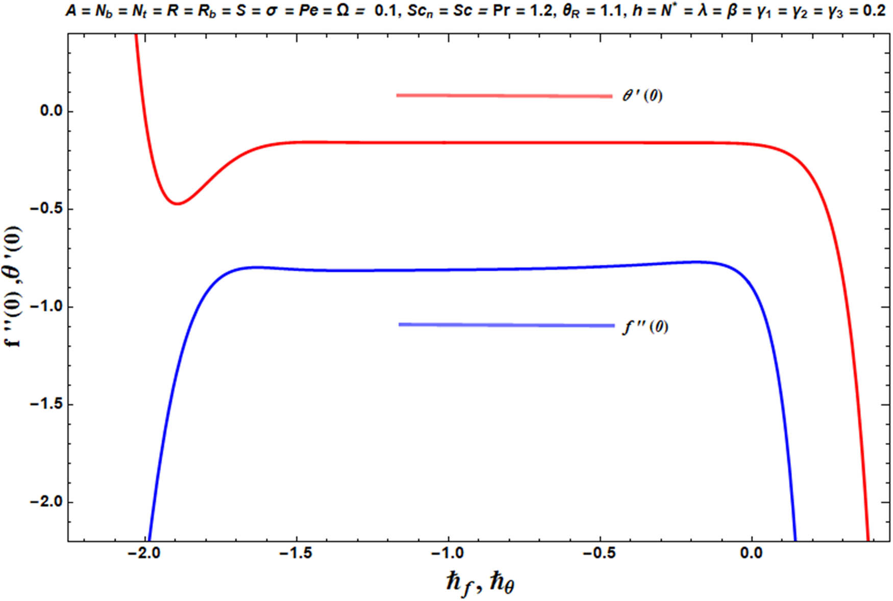
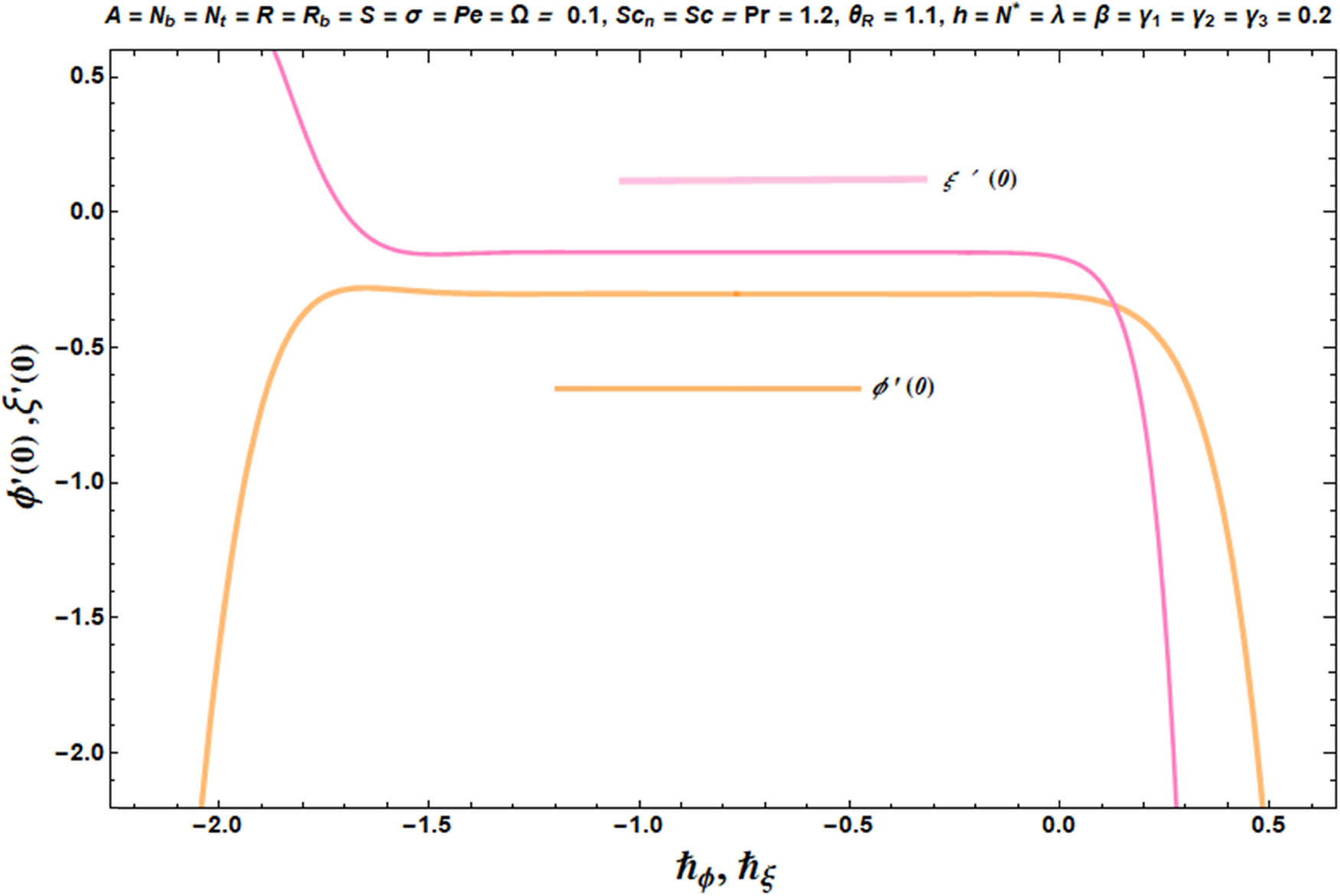
The analytical scheme known as HAM is deployed for computational outcomes. It comprises the auxiliary factors f , θ , ϕ , and ξ which assist in controlling convergence of homotopy solutions. Here the -curves for velocity distribution f ( 0 ) , temperature distribution θ ( 0 ) , concentration distribution ϕ ( 0 ) , and motile density distribution ξ ( 0 ) are depicted for particular values of prominent parameters in Figures 2 and 3. These figures witness that f , θ , ϕ , and ξ lie in 1.3 h f 0.4 , 1.2 h θ 0.6 , 1.2 ϕ 0.2 , and 1.3 ξ 0.2 . Convergence is numerically presented in Table 1.

Figure 2 
               
                  
                     
                        
                        
                           ℏ
                        
                        \hslash 
                     
                  –curve impact on 
                     
                        
                        
                           
                              
                                 f
                              
                              ″
                           
                           
                              
                                 (
                                 
                                    0
                                 
                                 )
                              
                           
                           
                           and
                           
                           θ
                           '
                           
                              
                                 (
                                 
                                    0
                                 
                                 )
                              
                           
                           .
                        
                        f^{\prime\prime} (0)\hspace{.25em}\text{and}\hspace{.25em}\theta \text{'}(0).
Figure 2

–curve impact on f ( 0 ) and θ ' ( 0 ) .

Figure 3 
               
                  
                     
                        
                        
                           ℏ
                        
                        \hslash 
                     
                  –curve impact on 
                     
                        
                        
                           
                              ϕ
                              ′
                           
                           
                              
                                 (
                                 
                                    0
                                 
                                 )
                              
                           
                           
                           and
                           
                           
                              ξ
                              ′
                           
                           
                              
                                 (
                                 
                                    0
                                 
                                 )
                              
                           
                           .
                        
                        \phi ^{\prime} (0)\hspace{.25em}\text{and}\hspace{.25em}\xi ^{\prime} (0).
Figure 3

–curve impact on ϕ ( 0 ) and ξ ( 0 ) .

Table 1

Assessment of convergence series solutions for the various orders of approximations when A = N b = N t = R = R b = S = σ = Pe = Ω = 0.1, Sc n = Sc = Pr = 1.2, θ R = 1.1, h = N* = λ = β = γ 1 = γ 2 = γ 3 = 0.2

Order of approximations f ( 0 ) θ ( 0 ) ϕ ( 0 ) ξ ( 0 )
1 0.80568 0.1611 0.1531 0.1623
5 0.76479 0.1588 0.1479 0.1611
10 0.76484 0.1586 0.1477 0.1611
15 0.79737 0.1584 0.1474 0.1609
20 0.80194 0.1584 0.1474 0.1609
25 0.80194 0.1584 0.1474 0.1609
30 0.80194 0.1584 0.1474 0.1609
35 0.80194 0.1584 0.1474 0.1609

5 Results and discussions

This segment is presented to clarify the importance of various pertinent parameters like Deborah number β , buoyancy ratio parameter N , Prandtl number Pr , radiation parameter R , thermophoresis parameter N t , heat generation (source)/(sink) absorption parameter S , temperature ratio parameter θ R , mixed convection parameter λ , bioconvection Schmidt number Sc n , bioconvection Rayleigh number Rb , thermal Biot number γ 1 , Schmidt number Sc , Brownian motion parameter N b , concentration Biot number γ 2 , motile microorganisms Biot number γ 3 , bioconvection Peclet number Pe , motile microorganisms concentration difference parameter Ω , and chemical reaction parameter γ on the fluid velocity f ( η ) , temperature θ ( η ) , concentration ϕ ( η ) , and motile density field ξ ( η ) .

5.1 Velocity profile

Figures 4 and 5 illustrate the aspect of β , λ , Rb , and N on velocity f ( η ) . It is noticed from Figure 4 that the Maxwell fluid velocity f ( η ) displays diminishing behavior with increasing values of β , while it upsurges with increasing λ . The reducing trend in f ( η ) is noticed for increasing β . Clearly Deborah number encompasses relaxation time and when this factor upsurges, Deborah number becomes greater which engenders resistance in liquid flow and as a result velocity decreases. Moreover, the ratio of acting viscous and buoyant forces in the flow regime is taken into account by the mixed convection parameter λ . Higher values of λ corresponds to a lower viscous force which ultimately accelerates f ( η ) . Figure 5 depicts the impact of Rb and N on the velocity f ( η ) . This figure displays that the increasing values of Rb diminish f ( η ) . This diminishing trend is noticed because Rb and N are associated with the buoyant force induced by bioconvection which permits the velocity field to fall.

Figure 4 
                  Variation in 
                        
                           
                           
                              
                                 f
                                 ′
                              
                              
                                 
                                    (
                                    
                                       η
                                    
                                    )
                                 
                              
                           
                           f^{\prime} (\eta )
                        
                      
                     via 
                     
                        
                           
                           
                              β
                           
                           \beta 
                        
                      and 
                        
                           
                           
                              λ
                           
                           \lambda 
                        
                     .
Figure 4

Variation in f ( η ) via β and λ .

Figure 5 
                  Variation in 
                        
                           
                           
                              
                                 f
                                 ′
                              
                              
                                 
                                    (
                                    
                                       η
                                    
                                    )
                                 
                              
                           
                           f^{\prime} (\eta )
                        
                      
                     via 
                     
                        
                           
                           
                              Rb
                              
                           
                           \text{Rb}\hspace{.25em}
                        
                      and 
                        
                           
                           
                              N
                              ⁎
                           
                           N\ast 
                        
                     .
Figure 5

Variation in f ( η ) via Rb and N .

5.2 Temperature profile

Figures 69 display the effect of R , Pr , γ 1 , N t , θ R , S , and N b on temperature θ ( η ) . The decline in temperature field θ ( η ) is detected for increasing Pr (Figure 6). Pr is a non-dimensional parameter and it is described as the ratio of diffusivities (i.e., momentum and thermal diffusivity). Larger Pr yields lower thermal diffusion due to which θ ( η ) decays. On the other hand, a rise in R produces θ ( η ) enhancement. Physically, the transportation of heat with the assistance of liquid elements transpires because of radiation aspect. For that reason, certain heat amount is augmented in flow field. It is evident from Figure 7 that larger values of N b and N t cause an enhancement of temperature field θ ( η ) . The thermophoresis process comprises of relocated fluid particles from hotter to a cooler surface area. In thermophoresis phenomenon, the heated fluid particles shift in the boundary domain from a lower to higher temperature area, causing the temperature to rise. On the other hand, the Brownian motion diffusion N b depicts the chaotic fluid particles motion in the regime of flow. With higher values of N b , the stochastic fluid particles movement upsurges which outcomes an improved temperature field θ ( η ) . Figure 8 is sketched to elucidate on the effects of heat generation ( S > 0 ) /absorption ( S < 0 ) against θ ( η ) . Here θ ( η ) is enhanced when S > 0 whereas it reduces when S < 0 . It is investigated that consideration of heat source/sink tends to hasten the liquid movement. Note that S > 0 signifies the generation of heat, while S < 0 means absorption of heat. Physically the heat source indicates heat generation which upsurges θ ( η ) . Therefore, as heat source variable upsurges, θ ( η ) increases. On the other hand, θ ( η ) decays for S < 0 . Figure 9 illustrates the consequences of θ R and γ 1 on temperature θ ( η ) . As expected, larger θ R and γ 1 corresponds to θ ( η ) enhancement. Higher θ R implies a boost in convective liquid temperature, which produces deeper thermal penetration depth into the boundary layer. Heat transfer into flow towards wall is consequently promoted. Furthermore, when T f surpasses T , a larger thermal differential is generated across the boundary layer, which strengthens thermal diffusion from wall towards free-stream and results in a rise in θ ( η ) . On the other hand, it is investigated that the temperature field θ ( η ) escalates with a rise in γ 1 . In fact, increasing γ 1 increases the strength of the coefficient of heat transmission which contributes to accelerating the heat transfer rate.

Figure 6 
                  Variation in 
                        
                           
                           
                              θ
                              
                                 
                                    (
                                    
                                       η
                                    
                                    )
                                 
                              
                           
                           \theta (\eta )
                        
                      
                     via 
                     
                        
                           
                           
                              Pr
                              
                           
                           \Pr \hspace{.25em}
                        
                      and 
                        
                           
                           
                              R
                           
                           R
                        
                     .
Figure 6

Variation in θ ( η ) via Pr and R .

Figure 7 
                  Variation in 
                        
                           
                           
                              θ
                              
                                 
                                    (
                                    
                                       η
                                    
                                    )
                                 
                              
                           
                           \theta (\eta )
                        
                      
                     via 
                     
                        
                           
                           
                              
                                 
                                    N
                                 
                                 
                                    b
                                 
                              
                           
                           {N}_{\text{b}}
                        
                      and 
                        
                           
                           
                              
                                 
                                    N
                                 
                                 
                                    t
                                 
                              
                           
                           {N}_{t}
                        
                     .
Figure 7

Variation in θ ( η ) via N b and N t .

Figure 8 
                  Variation in 
                        
                           
                           
                              θ
                              
                                 
                                    (
                                    
                                       η
                                    
                                    )
                                 
                              
                           
                           \theta (\eta )
                        
                      
                     via 
                     
                        
                           
                           
                              S
                           
                           S
                        
                     .
Figure 8

Variation in θ ( η ) via S .

Figure 9 
                  Variation in 
                        
                           
                           
                              θ
                              
                                 
                                    (
                                    
                                       η
                                    
                                    )
                                 
                              
                           
                           \theta (\eta )
                        
                      
                     via 
                     
                        
                           
                           
                              
                                 
                                    θ
                                 
                                 
                                    R
                                 
                              
                           
                           {\theta }_{\text{R}}
                        
                      and 
                        
                           
                           
                              
                                 
                                    γ
                                 
                                 
                                    1
                                 
                              
                           
                           {\gamma }_{1}
                        
                     .
Figure 9

Variation in θ ( η ) via θ R and γ 1 .

5.3 Concentration profile

Figures 1012 show the impacts of Sc, σ , N t , γ 2 , and N b on ϕ ( η ) . Figure 10 illustrates that an intensification in Sc leads to a decline in volumetric concentration ϕ ( η ) of nanoparticles. In fact, Sc has an inverse relationship with Brownian diffusion. Higher values of Sc corresponds to a lower Brownian diffusion which causes a depletion in the nanoparticle’s concentration profile ϕ ( η ) . From this Figure, it is also found that the concentration of nanoparticles ϕ ( η ) increases when γ 2 is augmented. The mass transfer quantity increases for higher values of γ 2 which accelerates the liquid concentration of nanoparticles. Figure 11 portrays the concentration distribution ϕ ( η ) for distinct values of N t and N b . A diminishing trend is observed when N b is enlarged. The fluid particle collision accelerates for greater values of N b . Hence, the concentration of Maxwell nanofluid reduces. On the other hand, contradictory behavior is noticed for N t on the concentration profile ϕ ( η ) . Physically, the thermophoretic body force elevates which causes the nanoparticles transportation from upper to lower region when N t is increased. Therefore, ϕ ( η ) reduces. Figure 12 demonstrates that with higher destructive chemical reaction parameter σ > 0 , concentration ϕ ( η ) of nanoparticles is suppressed since a larger amount of the nanoparticles are transformed to another species in the domain. The inverse trend is reported with greater generative chemical reaction parameter σ < 0 for which nanoparticle concentrations are elevated and thickness of solutal boundary layer is also improved.

Figure 10 
                  Variation in 
                        
                           
                           
                              ϕ
                              
                                 
                                    (
                                    
                                       η
                                    
                                    )
                                 
                              
                           
                           \phi (\eta )
                        
                      
                     via 
                     
                        
                           
                           
                              Sc
                              
                           
                           \text{Sc}\hspace{.25em}
                        
                      and 
                        
                           
                           
                              
                                 
                                    γ
                                 
                                 
                                    2
                                 
                              
                           
                           {\gamma }_{2}
                        
                     .
Figure 10

Variation in ϕ ( η ) via Sc and γ 2 .

Figure 11 
                  Variation in 
                        
                           
                           
                              ϕ
                              
                                 
                                    (
                                    
                                       η
                                    
                                    )
                                 
                              
                           
                           \phi (\eta )
                        
                      
                     via 
                     
                        
                           
                           
                              
                                 
                                    N
                                 
                                 
                                    b
                                 
                              
                           
                           {N}_{\text{b}}
                        
                      and 
                        
                           
                           
                              
                                 
                                    N
                                 
                                 
                                    t
                                 
                              
                           
                           {N}_{\text{t}}
                        
                     .
Figure 11

Variation in ϕ ( η ) via N b and N t .

Figure 12 
                  Variation in 
                        
                           
                           
                              ϕ
                              
                                 
                                    (
                                    
                                       η
                                    
                                    )
                                 
                              
                           
                           \phi (\eta )
                        
                      
                     via 
                     
                        
                           
                           
                              σ
                           
                           \sigma 
                        
                     .
Figure 12

Variation in ϕ ( η ) via σ .

5.4 Motile microorganism profile

Figures 13 and 14 show the impacts of Sc n , Pe , γ 3 , and Ω on ξ ( η ) . From Figure 13, it is examined that an enhancement in Sc n causes a decay in the diffusivity of microbes in polymeric liquid, which results in the depletion of the microorganism field. Moreover, Figure 13 displays the aspect of Pe on the microorganism profile ξ ( η ) . In fact, Pe is the key parameter to evaluate the microorganisms swimming in the liquid regime. Pe is defined as the ratio of high cell swimming velocity to microorganism diffusion rate. Diffusion is the mechanism in which a molecule transfers from a region of high concentration to a region of low concentration. It proves the movement of the fluid particles in the boundary regime. It is noted that microbe’s diffusivity is suppressed in the case of an enhancement in Pe . Hence, the microorganism profile ξ ( η ) decreases. Figure 14 describes the influence of Ω on the microorganism field ξ ( η ) . It is detected that by enhancing the values of Ω , the concentration of motile microorganisms in ambient liquid is reduced. Also, Figure 14 shows the performance of γ 3 on motile microorganism profile ξ ( η ) . It is found that the microorganism distribution ξ ( η ) enlarges when γ 3 is accelerated.

Figure 13 
                  Variation in 
                        
                           
                           
                              ξ
                              
                                 
                                    (
                                    
                                       η
                                    
                                    )
                                 
                              
                           
                           \xi (\eta )
                        
                      
                     via 
                     
                        
                           
                           
                              
                                 
                                    Sc
                                 
                                 
                                    n
                                 
                              
                              
                           
                           {\text{Sc}}_{n}\hspace{.25em}
                        
                      and 
                        
                           
                           
                              Pe
                           
                           \text{Pe}
                        
                     .
Figure 13

Variation in ξ ( η ) via Sc n and Pe .

Figure 14 
                  Variation in 
                        
                           
                           
                              ξ
                              
                                 
                                    (
                                    
                                       η
                                    
                                    )
                                 
                              
                           
                           \xi (\eta )
                        
                      
                     via 
                     
                        
                           
                           
                              Ω
                              
                           
                           \Omega \hspace{.25em}
                        
                      and 
                        
                           
                           
                              
                                 
                                    γ
                                 
                                 
                                    3
                                 
                              
                           
                           {\gamma }_{3}
                        
                     .
Figure 14

Variation in ξ ( η ) via Ω and γ 3 .

5.5 Physical quantities

The variation in the rates of heat transfer, mass transfer, and microorganism diffusion for flow parameters are presented through Table 2. Here it is found that a diminishing trend in these physical quantities for Rayleigh factor, buoyancy ratio, and thermophoresis parameters is observed, while increasing behavior is observed for the temperature ratio parameter. Furthermore, increasing N b and γ 2 cause a decrease in heat transfer rate; however increasing behavior is observed for γ 1 . An enhancement is observed in the rate of mass transfer with the growing values of N b and γ 2 . Increasing γ 1 , γ 2 , and γ 3 cause an elevation in microorganism diffusion rate.

Table 2

Numerical values of Nu x Re x 1 2 , Sh x Re x 1 2 , and Nn x Re x 1 / 2 for different flow parameters

Rb N θ R N t N b γ 1 γ 2 γ 3 Nu x Re x 1 2 Sh x Re x 1 2 Nn x Re x 1 / 2
1.0 0.1 0.1 0.2 0.2 0.2 0.2 0.2 0.1376 0.1469 0.1617
2.0 0.1374 0.1467 0.1616
3.0 0.1372 0.1465 0.1615
0.1 1.0 0.1373 0.1466 0.1616
2.0 0.1366 0.1462 0.1612
3.0 0.1357 0.1457 0.1608
0.1 1.0 0.1524 0.1470 0.1617
2.0 0.1713 0.1474 0.1618
3.0 0.3038 0.1488 0.1619
0.1 0.3 0.1373 0.1386 0.1618
0.4 0.1368 0.1305 0.1617
0.5 0.1363 0.1226 0.1616
0.2 0.3 0.1374 0.1527 0.1619
0.4 0.1371 0.1555 0.1619
0.5 0.1367 0.1573 0.1619
0.2 0.3 0.1844 0.1414 0.1618
0.4 0.2215 0.1370 0.1619
0.5 0.2518 0.1335 0.1620
0.2 0.3 0.1376 0.2022 0.1621
0.4 0.1373 0.2492 0.1624
0.5 0.1371 0.2894 0.1626
0.2 0.3 0.1378 0.1469 0.2214
0.4 0.1378 0.1469 0.2713
0.5 0.1378 0.1469 0.3137

6 Conclusion

The present study captures the thermophoresis body force and Brownian motion aspects in the flow of upper convected Maxwell nanofluid subjected to gyrotactic motile microorganisms. The flow is considered over a porous vertical surface. Nonlinear radiative stagnated flow is formulated considering chemical reaction. The convergence series solutions are obtained through HAM. The key findings are elaborated below:

  1. The fluid velocity is an increasing function of the mixed convection parameter but opposite outcomes are obtained for the Deborah number.

  2. The temperature ratio factor yields higher temperature and heat transportation rate.

  3. Brownian motion and radiation parameters upsurge the nanofluid temperature.

  4. Concentration profile decays for larger Brownian motion parameter whereas it elevates for larger thermophoresis parameter.

  5. Larger solutal Biot number and Brownian motion parameter result in the augmentation of the magnitude of local Sherwood number.

  6. Microorganisms profile declines for larger bioconvection Schmidt number and motile microorganisms difference parameter whereas it improves with stronger Peclet number.

  7. Magnitude of microorganism diffusion rate boosts directly for larger γ 1 , γ 2 , and γ 3 .

The present communication provides a suitable platform to researchers regarding nanoliquid consideration in higher temperature based nano-polymeric flows subjected to coating processes. However, this research work has overlooked certain effects like activation energy, magnetohydrodynamics, Cattaneo–Christov based dual diffusive flow, entropy generation, and bio-convective flows featuring gyrotactic microorganisms. Such effects will be reported imminently.

Acknowledgments

The authors express their gratitude to Princess Nourah bint Abdulrahman University Researchers Supporting Project number (PNURSP2023R61), Princess Nourah bint Abdulrahman University, Riyadh, Saudi Arabia.

  1. Funding information: Princess Nourah bint Abdulrahman University Researchers Supporting Project number (PNURSP2023R61), Princess Nourah bint Abdulrahman University, Riyadh, Saudi Arabia.

  2. Author contributions: All authors have accepted responsibility for the entire content of this manuscript and approved its submission.

  3. Conflict of interest: The authors state no conflict of interest.

References

[1] Hayat T, Waqas M, Shehzad SA, Alsaedi A. Mixed convection radiative flow of Maxwell fluid near a stagnation point with convective condition. J Mech. 2013;29:403–9.10.1017/jmech.2013.6Search in Google Scholar

[2] Nadeem S, Akhtar S, Abbas N. Heat transfer of Maxwell base fluid flow of nanomaterial with MHD over a vertical moving surface. Alex Eng J. 2020;59:1847–56.10.1016/j.aej.2020.05.008Search in Google Scholar

[3] Megahed AM. Improvement of heat transfer mechanism through a Maxwell fluid flow over a stretching sheet embedded in a porous medium and convectively heated. Math Comput Simul. 2021;187:97–109.10.1016/j.matcom.2021.02.018Search in Google Scholar

[4] Madkhali HA, Haneef M, El-Shafay AS, Alharbi SO, Nawaz M. Mixed convective transport in Maxwell hybrid nano-fluid under generalized Fourier and Fick laws. Int Commun Heat Mass Transf. 2022;130:105714.10.1016/j.icheatmasstransfer.2021.105714Search in Google Scholar

[5] Waqas M. Chemical reaction impact in dual diffusive non-Newtonian liquid featuring variable fluid thermo-solutal attributes. Chem Phys Lett. 2022;802:139661.10.1016/j.cplett.2022.139661Search in Google Scholar

[6] Sankar M, Swamy HAK, Do Y, Altmeyer S. Thermal effects of nonuniform heating in a nanofluid-filled annulus: Buoyant transport versus entropy generation. Heat Transf Asian Res. 2021;51:1062–91. 10.1002/htj.22342.Search in Google Scholar

[7] Elayarani M, Shanmugapriya M, Kumar PS. Intensification of heat and mass transfer process in MHD carreau nanofluid flow containing gyrotactic microorganisms. Chem Eng Process - Process Intensif. 2021;160:108299.10.1016/j.cep.2021.108299Search in Google Scholar

[8] Zaimi K, Ishak A, Pop I. Stagnation-point flow toward streching/shrinking sheet in a nanofluid containing both nanoparticles and gyrotactic microorganisms. ASME J Heat Transf. 2014;136:041705.10.1115/1.4026011Search in Google Scholar

[9] Xu H, Pop I. Fully developed mixed convection flow in a horizontal channel filled by a nanofluid containing both nanoparticles and gyrotactic microorganisms. Eur J Mech - B/Fluids. 2014;46:37–45.10.1016/j.euromechflu.2014.02.005Search in Google Scholar

[10] Waqas M, Hayat T, Shehzad SA, Alsaedi A. Transport of magnetohydrodynamic nanomaterial in a stratified medium considering gyrotactic microorganisms. Phys B: Condens Matter. 2018;529:33–40.10.1016/j.physb.2017.09.128Search in Google Scholar

[11] Zohra FT, Uddin MJ, Ismail AIM. Magnetohydrodynamic bio-nanoconvective Naiver slip flow of micropolar fluid in a stretchable horizontal channel. Heat Transf Asian Res. 2019;48:3636–56. 10.1002/htj.21560.Search in Google Scholar

[12] Anjum N, Khan WA, Azam M, Ali M, Waqas M, Hussain I. Significance of bioconvection analysis for thermally stratified 3D cross nanofluid flow with gyrotactic microorganisms and activation energy aspects. Therm Sci Eng Prog. 2023;38:101596. 10.1016/j.tsep.2022.101596.Search in Google Scholar

[13] Khan AA, Arshad A, Ellahi R, Sait SM. Heat transmission in Darcy-Forchheimer flow of Sutterby nanofluid containing gyrotactic microorganisms. Int J Numer Methods Heat & Fluid Flow. 2023;33:135–52.10.1108/HFF-03-2022-0194Search in Google Scholar

[14] Ward T, Jensen O, Power H, Riley D. High-Rayleigh-number convection of a reactive solute in a porous medium. J Fluid Mech. 2014;760:95–126.10.1017/jfm.2014.594Search in Google Scholar

[15] Islam AW, Lashgari HR, Sephernoori K. Double diffusive natural convection of CO₂ in a brine saturated geothermal reservoir: Study of non-modal growth of perturbations and heterogeneity effects. Geothermics. 2014;51:325–36.10.1016/j.geothermics.2014.03.001Search in Google Scholar

[16] Rashidi MM, Ferdows M, Uddin MJ, Anwar Bég O, Rahimzadeh N. Group theory and differential transform analysis of mixed convective heat and mass transfer from a horizontal surface with chemical reaction effects. Chem Eng Commun. 2012;199:1012–43.10.1080/00986445.2011.636850Search in Google Scholar

[17] Xin F, Li XF, Xu M, Huai XL, Cai J, Guo ZX. Simulation of gas exothermic chemical reaction in porous media reactor with lattice Boltzmann method. J Therm Sci. 2013;22:42–7.10.1007/s11630-013-0590-5Search in Google Scholar

[18] Reddy NN, Rao VR, Reddy BR. Chemical reaction impact on MHD natural convection flow through porous medium past an exponentially stretching sheet in presence of heat source/sink and viscous dissipation. Case Stud Therm Eng. 2021;25:100879.10.1016/j.csite.2021.100879Search in Google Scholar

[19] Hussain M, Ranjha QA, Anwar MS, Jahan S, Ali A. Eyring-Powell model flow near a convectively heated porous wedge with chemical reaction effects. J Taiwan Inst Chem Eng. 2022;139:104510.10.1016/j.jtice.2022.104510Search in Google Scholar

[20] Chu YM, Abbasi A, Al-Khaled K, Farooq W, Khan SU, Khan MI, et al. Mathematical modeling and computational outcomes for the thermal oblique stagnation point investigation for non-uniform heat source and nonlinear chemical reactive flow of Maxwell nanofluid. Case Stud Therm Eng. 2023;41:102626.10.1016/j.csite.2022.102626Search in Google Scholar

[21] Bhatti MM, Oztop HF, Ellahi R. Study of the magnetized hybrid nanofluid flow through a flat elastic surface with applications in solar energy. Materials. 2022;15:7507.10.3390/ma15217507Search in Google Scholar PubMed PubMed Central

[22] Bhatti MM, Ellahi R. Numerical investigation of non-Darcian nanofluid flow across a stretchy elastic medium with velocity and thermal slips. Numer Heat Transfer, Part B: Fundamentals. 2023;83:323–43.10.1080/10407790.2023.2174624Search in Google Scholar

[23] Zubair M, Waqas M, Nasir M, Bafakeeh OT, Ameen HFM, Galal AM. A theoretical study on partial slip impact in radiative-hydromagnetic liquid configured by extending surface. Int J Mod Phys B. 2022;37:2350074.10.1142/S0217979223500741Search in Google Scholar

[24] Li S, Khan MI, Alzahrani F, Eldin SM. Heat and mass transport analysis in radiative time dependent flow in the presence of Ohmic heating and chemical reaction, viscous dissipation: An entropy modeling. Case Stud Therm Eng. 2023;42:102722.10.1016/j.csite.2023.102722Search in Google Scholar

[25] Liao S. Beyond Perturbation: Introduction to the Homotopy Analysis Method. New York: Chapman and Hall/CRC; 2003.Search in Google Scholar

[26] Hayat T, Sadiq MA. Darcy-Forchheimer flow of magneto Maxwell liquid bounded by convectively heated sheet. Results Phys. 2016;6:884–90.10.1016/j.rinp.2016.10.019Search in Google Scholar

[27] Pasha AA, Irshad K, Algarni S, Alqahtani T, Waqas M. Analysis of tangent-hyperbolic rheological model considering nonlinear mixed convection, Joule heating and Soret-Dufour aspects from a stretchable convective stratified surface. Int Commun Heat Mass Transf. 2023;140:106519.10.1016/j.icheatmasstransfer.2022.106519Search in Google Scholar

[28] Li S, Puneeth V, Saeed AM, Singhal A, Al-Yarimi FAM, Khan MI, et al. Analysis of the Thomson and Troian velocity slip for the flow of ternary nanofluid past a stretching sheet. Sci Rep. 2023;13:2340.10.1038/s41598-023-29485-0Search in Google Scholar PubMed PubMed Central

[29] Haupt K, Mosbach K. Molecularly Imprinted Polymers and Their Use in Biomimetic Sensors. Chem Rev. 2000;100:2495–504.10.1021/cr990099wSearch in Google Scholar PubMed

[30] Stolov AA, Wrubel JA, Simoff DA. Thermal stability of specialty optical fiber coatings. J Therm Anal Calorim. 2016;124:1411–23.10.1007/s10973-016-5250-zSearch in Google Scholar

[31] Rivero PJ, Goicoechea J, Arregui FJ, Optical fiber sensors based on polymeric sensitive coatings. Polymers. 2018;10:280.10.3390/polym10030280Search in Google Scholar PubMed PubMed Central

Received: 2023-02-07
Revised: 2023-05-18
Accepted: 2023-06-20
Published Online: 2023-07-31

© 2023 the author(s), published by De Gruyter

This work is licensed under the Creative Commons Attribution 4.0 International License.

Articles in the same Issue

  1. Research Articles
  2. Preparation of CdS–Ag2S nanocomposites by ultrasound-assisted UV photolysis treatment and its visible light photocatalysis activity
  3. Significance of nanoparticle radius and inter-particle spacing toward the radiative water-based alumina nanofluid flow over a rotating disk
  4. Aptamer-based detection of serotonin based on the rapid in situ synthesis of colorimetric gold nanoparticles
  5. Investigation of the nucleation and growth behavior of Ti2AlC and Ti3AlC nano-precipitates in TiAl alloys
  6. Dynamic recrystallization behavior and nucleation mechanism of dual-scale SiCp/A356 composites processed by P/M method
  7. High mechanical performance of 3-aminopropyl triethoxy silane/epoxy cured in a sandwich construction of 3D carbon felts foam and woven basalt fibers
  8. Applying solution of spray polyurea elastomer in asphalt binder: Feasibility analysis and DSR study based on the MSCR and LAS tests
  9. Study on the chronic toxicity and carcinogenicity of iron-based bioabsorbable stents
  10. Influence of microalloying with B on the microstructure and properties of brazed joints with Ag–Cu–Zn–Sn filler metal
  11. Thermohydraulic performance of thermal system integrated with twisted turbulator inserts using ternary hybrid nanofluids
  12. Study of mechanical properties of epoxy/graphene and epoxy/halloysite nanocomposites
  13. Effects of CaO addition on the CuW composite containing micro- and nano-sized tungsten particles synthesized via aluminothermic coupling with silicothermic reduction
  14. Cu and Al2O3-based hybrid nanofluid flow through a porous cavity
  15. Design of functional vancomycin-embedded bio-derived extracellular matrix hydrogels for repairing infectious bone defects
  16. Study on nanocrystalline coating prepared by electro-spraying 316L metal wire and its corrosion performance
  17. Axial compression performance of CFST columns reinforced by ultra-high-performance nano-concrete under long-term loading
  18. Tungsten trioxide nanocomposite for conventional soliton and noise-like pulse generation in anomalous dispersion laser cavity
  19. Microstructure and electrical contact behavior of the nano-yttria-modified Cu-Al2O3/30Mo/3SiC composite
  20. Melting rheology in thermally stratified graphene-mineral oil reservoir (third-grade nanofluid) with slip condition
  21. Re-examination of nonlinear vibration and nonlinear bending of porous sandwich cylindrical panels reinforced by graphene platelets
  22. Parametric simulation of hybrid nanofluid flow consisting of cobalt ferrite nanoparticles with second-order slip and variable viscosity over an extending surface
  23. Chitosan-capped silver nanoparticles with potent and selective intrinsic activity against the breast cancer cells
  24. Multi-core/shell SiO2@Al2O3 nanostructures deposited on Ti3AlC2 to enhance high-temperature stability and microwave absorption properties
  25. Solution-processed Bi2S3/BiVO4/TiO2 ternary heterojunction photoanode with enhanced photoelectrochemical performance
  26. Electroporation effect of ZnO nanoarrays under low voltage for water disinfection
  27. NIR-II window absorbing graphene oxide-coated gold nanorods and graphene quantum dot-coupled gold nanorods for photothermal cancer therapy
  28. Nonlinear three-dimensional stability characteristics of geometrically imperfect nanoshells under axial compression and surface residual stress
  29. Investigation of different nanoparticles properties on the thermal conductivity and viscosity of nanofluids by molecular dynamics simulation
  30. Optimized Cu2O-{100} facet for generation of different reactive oxidative species via peroxymonosulfate activation at specific pH values to efficient acetaminophen removal
  31. Brownian and thermal diffusivity impact due to the Maxwell nanofluid (graphene/engine oil) flow with motile microorganisms and Joule heating
  32. Appraising the dielectric properties and the effectiveness of electromagnetic shielding of graphene reinforced silicone rubber nanocomposite
  33. Synthesis of Ag and Cu nanoparticles by plasma discharge in inorganic salt solutions
  34. Low-cost and large-scale preparation of ultrafine TiO2@C hybrids for high-performance degradation of methyl orange and formaldehyde under visible light
  35. Utilization of waste glass with natural pozzolan in the production of self-glazed glass-ceramic materials
  36. Mechanical performance of date palm fiber-reinforced concrete modified with nano-activated carbon
  37. Melting point of dried gold nanoparticles prepared with ultrasonic spray pyrolysis and lyophilisation
  38. Graphene nanofibers: A modern approach towards tailored gypsum composites
  39. Role of localized magnetic field in vortex generation in tri-hybrid nanofluid flow: A numerical approach
  40. Intelligent computing for the double-diffusive peristaltic rheology of magneto couple stress nanomaterials
  41. Bioconvection transport of upper convected Maxwell nanoliquid with gyrotactic microorganism, nonlinear thermal radiation, and chemical reaction
  42. 3D printing of porous Ti6Al4V bone tissue engineering scaffold and surface anodization preparation of nanotubes to enhance its biological property
  43. Bioinspired ferromagnetic CoFe2O4 nanoparticles: Potential pharmaceutical and medical applications
  44. Significance of gyrotactic microorganisms on the MHD tangent hyperbolic nanofluid flow across an elastic slender surface: Numerical analysis
  45. Performance of polycarboxylate superplasticisers in seawater-blended cement: Effect from chemical structure and nano modification
  46. Entropy minimization of GO–Ag/KO cross-hybrid nanofluid over a convectively heated surface
  47. Oxygen plasma assisted room temperature bonding for manufacturing SU-8 polymer micro/nanoscale nozzle
  48. Performance and mechanism of CO2 reduction by DBD-coupled mesoporous SiO2
  49. Polyarylene ether nitrile dielectric films modified by HNTs@PDA hybrids for high-temperature resistant organic electronics field
  50. Exploration of generalized two-phase free convection magnetohydrodynamic flow of dusty tetra-hybrid Casson nanofluid between parallel microplates
  51. Hygrothermal bending analysis of sandwich nanoplates with FG porous core and piezomagnetic faces via nonlocal strain gradient theory
  52. Design and optimization of a TiO2/RGO-supported epoxy multilayer microwave absorber by the modified local best particle swarm optimization algorithm
  53. Mechanical properties and frost resistance of recycled brick aggregate concrete modified by nano-SiO2
  54. Self-template synthesis of hollow flower-like NiCo2O4 nanoparticles as an efficient bifunctional catalyst for oxygen reduction and oxygen evolution in alkaline media
  55. High-performance wearable flexible strain sensors based on an AgNWs/rGO/TPU electrospun nanofiber film for monitoring human activities
  56. High-performance lithium–selenium batteries enabled by nitrogen-doped porous carbon from peanut meal
  57. Investigating effects of Lorentz forces and convective heating on ternary hybrid nanofluid flow over a curved surface using homotopy analysis method
  58. Exploring the potential of biogenic magnesium oxide nanoparticles for cytotoxicity: In vitro and in silico studies on HCT116 and HT29 cells and DPPH radical scavenging
  59. Enhanced visible-light-driven photocatalytic degradation of azo dyes by heteroatom-doped nickel tungstate nanoparticles
  60. A facile method to synthesize nZVI-doped polypyrrole-based carbon nanotube for Ag(i) removal
  61. Improved osseointegration of dental titanium implants by TiO2 nanotube arrays with self-assembled recombinant IGF-1 in type 2 diabetes mellitus rat model
  62. Functionalized SWCNTs@Ag–TiO2 nanocomposites induce ROS-mediated apoptosis and autophagy in liver cancer cells
  63. Triboelectric nanogenerator based on a water droplet spring with a concave spherical surface for harvesting wave energy and detecting pressure
  64. A mathematical approach for modeling the blood flow containing nanoparticles by employing the Buongiorno’s model
  65. Molecular dynamics study on dynamic interlayer friction of graphene and its strain effect
  66. Induction of apoptosis and autophagy via regulation of AKT and JNK mitogen-activated protein kinase pathways in breast cancer cell lines exposed to gold nanoparticles loaded with TNF-α and combined with doxorubicin
  67. Effect of PVA fibers on durability of nano-SiO2-reinforced cement-based composites subjected to wet-thermal and chloride salt-coupled environment
  68. Effect of polyvinyl alcohol fibers on mechanical properties of nano-SiO2-reinforced geopolymer composites under a complex environment
  69. In vitro studies of titanium dioxide nanoparticles modified with glutathione as a potential drug delivery system
  70. Comparative investigations of Ag/H2O nanofluid and Ag-CuO/H2O hybrid nanofluid with Darcy-Forchheimer flow over a curved surface
  71. Study on deformation characteristics of multi-pass continuous drawing of micro copper wire based on crystal plasticity finite element method
  72. Properties of ultra-high-performance self-compacting fiber-reinforced concrete modified with nanomaterials
  73. Prediction of lap shear strength of GNP and TiO2/epoxy nanocomposite adhesives
  74. A novel exploration of how localized magnetic field affects vortex generation of trihybrid nanofluids
  75. Fabrication and physicochemical characterization of copper oxide–pyrrhotite nanocomposites for the cytotoxic effects on HepG2 cells and the mechanism
  76. Thermal radiative flow of cross nanofluid due to a stretched cylinder containing microorganisms
  77. In vitro study of the biphasic calcium phosphate/chitosan hybrid biomaterial scaffold fabricated via solvent casting and evaporation technique for bone regeneration
  78. Insights into the thermal characteristics and dynamics of stagnant blood conveying titanium oxide, alumina, and silver nanoparticles subject to Lorentz force and internal heating over a curved surface
  79. Effects of nano-SiO2 additives on carbon fiber-reinforced fly ash–slag geopolymer composites performance: Workability, mechanical properties, and microstructure
  80. Energy bandgap and thermal characteristics of non-Darcian MHD rotating hybridity nanofluid thin film flow: Nanotechnology application
  81. Green synthesis and characterization of ginger-extract-based oxali-palladium nanoparticles for colorectal cancer: Downregulation of REG4 and apoptosis induction
  82. Abnormal evolution of resistivity and microstructure of annealed Ag nanoparticles/Ag–Mo films
  83. Preparation of water-based dextran-coated Fe3O4 magnetic fluid for magnetic hyperthermia
  84. Statistical investigations and morphological aspects of cross-rheological material suspended in transportation of alumina, silica, titanium, and ethylene glycol via the Galerkin algorithm
  85. Effect of CNT film interleaves on the flexural properties and strength after impact of CFRP composites
  86. Self-assembled nanoscale entities: Preparative process optimization, payload release, and enhanced bioavailability of thymoquinone natural product
  87. Structure–mechanical property relationships of 3D-printed porous polydimethylsiloxane films
  88. Nonlinear thermal radiation and the slip effect on a 3D bioconvection flow of the Casson nanofluid in a rotating frame via a homotopy analysis mechanism
  89. Residual mechanical properties of concrete incorporated with nano supplementary cementitious materials exposed to elevated temperature
  90. Time-independent three-dimensional flow of a water-based hybrid nanofluid past a Riga plate with slips and convective conditions: A homotopic solution
  91. Lightweight and high-strength polyarylene ether nitrile-based composites for efficient electromagnetic interference shielding
  92. Review Articles
  93. Recycling waste sources into nanocomposites of graphene materials: Overview from an energy-focused perspective
  94. Hybrid nanofiller reinforcement in thermoset and biothermoset applications: A review
  95. Current state-of-the-art review of nanotechnology-based therapeutics for viral pandemics: Special attention to COVID-19
  96. Solid lipid nanoparticles for targeted natural and synthetic drugs delivery in high-incidence cancers, and other diseases: Roles of preparation methods, lipid composition, transitional stability, and release profiles in nanocarriers’ development
  97. Critical review on experimental and theoretical studies of elastic properties of wurtzite-structured ZnO nanowires
  98. Polyurea micro-/nano-capsule applications in construction industry: A review
  99. A comprehensive review and clinical guide to molecular and serological diagnostic tests and future development: In vitro diagnostic testing for COVID-19
  100. Recent advances in electrocatalytic oxidation of 5-hydroxymethylfurfural to 2,5-furandicarboxylic acid: Mechanism, catalyst, coupling system
  101. Research progress and prospect of silica-based polymer nanofluids in enhanced oil recovery
  102. Review of the pharmacokinetics of nanodrugs
  103. Engineered nanoflowers, nanotrees, nanostars, nanodendrites, and nanoleaves for biomedical applications
  104. Research progress of biopolymers combined with stem cells in the repair of intrauterine adhesions
  105. Progress in FEM modeling on mechanical and electromechanical properties of carbon nanotube cement-based composites
  106. Antifouling induced by surface wettability of poly(dimethyl siloxane) and its nanocomposites
  107. TiO2 aerogel composite high-efficiency photocatalysts for environmental treatment and hydrogen energy production
  108. Structural properties of alumina surfaces and their roles in the synthesis of environmentally persistent free radicals (EPFRs)
  109. Nanoparticles for the potential treatment of Alzheimer’s disease: A physiopathological approach
  110. Current status of synthesis and consolidation strategies for thermo-resistant nanoalloys and their general applications
  111. Recent research progress on the stimuli-responsive smart membrane: A review
  112. Dispersion of carbon nanotubes in aqueous cementitious materials: A review
  113. Applications of DNA tetrahedron nanostructure in cancer diagnosis and anticancer drugs delivery
  114. Magnetic nanoparticles in 3D-printed scaffolds for biomedical applications
  115. An overview of the synthesis of silicon carbide–boron carbide composite powders
  116. Organolead halide perovskites: Synthetic routes, structural features, and their potential in the development of photovoltaic
  117. Recent advancements in nanotechnology application on wood and bamboo materials: A review
  118. Application of aptamer-functionalized nanomaterials in molecular imaging of tumors
  119. Recent progress on corrosion mechanisms of graphene-reinforced metal matrix composites
  120. Research progress on preparation, modification, and application of phenolic aerogel
  121. Application of nanomaterials in early diagnosis of cancer
  122. Plant mediated-green synthesis of zinc oxide nanoparticles: An insight into biomedical applications
  123. Recent developments in terahertz quantum cascade lasers for practical applications
  124. Recent progress in dielectric/metal/dielectric electrodes for foldable light-emitting devices
  125. Nanocoatings for ballistic applications: A review
  126. A mini-review on MoS2 membrane for water desalination: Recent development and challenges
  127. Recent updates in nanotechnological advances for wound healing: A narrative review
  128. Recent advances in DNA nanomaterials for cancer diagnosis and treatment
  129. Electrochemical micro- and nanobiosensors for in vivo reactive oxygen/nitrogen species measurement in the brain
  130. Advances in organic–inorganic nanocomposites for cancer imaging and therapy
  131. Advancements in aluminum matrix composites reinforced with carbides and graphene: A comprehensive review
  132. Modification effects of nanosilica on asphalt binders: A review
  133. Decellularized extracellular matrix as a promising biomaterial for musculoskeletal tissue regeneration
  134. Review of the sol–gel method in preparing nano TiO2 for advanced oxidation process
  135. Micro/nano manufacturing aircraft surface with anti-icing and deicing performances: An overview
  136. Cell type-targeting nanoparticles in treating central nervous system diseases: Challenges and hopes
  137. An overview of hydrogen production from Al-based materials
  138. A review of application, modification, and prospect of melamine foam
  139. A review of the performance of fibre-reinforced composite laminates with carbon nanotubes
  140. Research on AFM tip-related nanofabrication of two-dimensional materials
  141. Advances in phase change building materials: An overview
  142. Development of graphene and graphene quantum dots toward biomedical engineering applications: A review
  143. Nanoremediation approaches for the mitigation of heavy metal contamination in vegetables: An overview
  144. Photodynamic therapy empowered by nanotechnology for oral and dental science: Progress and perspectives
  145. Biosynthesis of metal nanoparticles: Bioreduction and biomineralization
  146. Current diagnostic and therapeutic approaches for severe acute respiratory syndrome coronavirus-2 (SARS-COV-2) and the role of nanomaterial-based theragnosis in combating the pandemic
  147. Application of two-dimensional black phosphorus material in wound healing
  148. Special Issue on Advanced Nanomaterials and Composites for Energy Conversion and Storage - Part I
  149. Helical fluorinated carbon nanotubes/iron(iii) fluoride hybrid with multilevel transportation channels and rich active sites for lithium/fluorinated carbon primary battery
  150. The progress of cathode materials in aqueous zinc-ion batteries
  151. Special Issue on Advanced Nanomaterials for Carbon Capture, Environment and Utilization for Energy Sustainability - Part I
  152. Effect of polypropylene fiber and nano-silica on the compressive strength and frost resistance of recycled brick aggregate concrete
  153. Mechanochemical design of nanomaterials for catalytic applications with a benign-by-design focus
Downloaded on 21.1.2026 from https://www.degruyterbrill.com/document/doi/10.1515/ntrev-2022-0569/html
Scroll to top button