Home Technology Dynamics and prevention of gemini virus infection in red chili crops studied with generalized fractional operator: Analysis and modeling
Article Open Access

Dynamics and prevention of gemini virus infection in red chili crops studied with generalized fractional operator: Analysis and modeling

  • Kottakkaran Sooppy Nisar EMAIL logo , Muhammad Farman and Fahad Sameer Alshammari
Published/Copyright: September 24, 2025
Become an author with De Gruyter Brill

Abstract

The gemini virus, a major obstacle to red chili production, is exacerbated by yellow virus propagation. This study explores the potential of an epidemic model using generalized fractal fractional operators to observe dynamics and develop prevention strategies to control infections. The fractional-ordering system is analyzed quantitatively and qualitatively, including positiveness, boundedness, unique solution, and reproductive analysis under equilibrium points to ensure bounded and positive solutions. The proposed model’s uniqueness is demonstrated through global effects analysis using Lipschitz and linear growth techniques, and local and global stability was assessed using the Lyapunov function and the first derivative test. The study utilizes a two-level Lagrange polynomial, specifically the Mittag–Leffler kernel, to explore the impact of fractional operators on plant diseases. The fractional-order model’s behavior is verified through numerical simulations at disease-free and equilibrium points, and results are compared to demonstrate its efficacy and memory effect. The study visually illustrates the impact of various proposed operators on the proposed red chilli model, providing numerical data for each operator with varying fractional parameters. By comparing non-integer orders to integer orders, we obtain a more comparable result to support its stance. The study found that the fractal fractional operator is more effective than the usual integer order for disease eradication because it efficiently reduces gemini virus infection rates by lowering the fractional-order parameter ϑ . This study will allow us to develop mitigating techniques for afflicted plants and gain a better understanding of the virus’s behavior.

1 Introduction

An important agricultural crop in Indonesia is red chili (Capsicum annuum). Being one of the most expensive agricultural crops, C. annuum can improve farmers’ income in addition to being used as a vegetable or cooking spice [14]. The call for C. annuum is rising year after year after 12 months in Indonesia, along with the population increase and the increase of industries that use uncooked materials from C. annuum. This is a result of pest troubles and plant diseases that reduce productivity [57]. The gemini virus, a yellow virus that could damage C. annuum and is spread through insect vectors, is one of the problems in the manufacturing of this plant. Human can contract the disease by sucking on an infected C. annuum, and after it has propagated throughout his body. Stunted, yellow, and curved (cupping) leaves are only a few of the symptoms of this viral disease [2,3, 8,9]. Insect pathogenic fungus (Verticillium lecanii) can be used to solve this issue. For suppressing Bemisia tabaci, the entomopathogen V. lecanii is a useful fungus. V. lecanii has recently gained widespread use as a pesticide substitute [1012]. V. lecanii is applied to C. annuum by misting suspensions on the underside of the leaves [13]. However, if V. lecanii is used excessively, the growth of the chilli plant may be inhibited. It takes further information to conduct a more detailed examination of the effectiveness of using V. lecanii. A mathematical model is employed by one of them [14].

Numerous scientists have created mathematical models for plant diseases, some of which take into account the relationship between the vector and the host in disease transmission [1517]. Shi and colleagues [18] examined the mathematical prey–predator model in connection with the host–vector theory. Seema Khekare and Sujatha Janardhan [19] examined a host–vector epidemic model with non-linear and bilinear events. Anggriani et al. [20] developed a mathematical model of plant disease by taking both preventative and remedial measures into account, examined the use of insecticides to control Tungro disease vectors [21], and examined the application of fungicides for both prevention and treatment [22]. Wang et al. [23] have examined how the age of infection and worldwide prevalence rates affect models of vector-borne disease dynamics. Researchers [24,25] reported on how to best manage fungicide effects. The possibility of microbe-based biological control as environmentally benign substitutes for chemical pesticides in chili growing is assessed in the study by Sam On et al. [26]. Chemical pesticides are extremely dangerous for both the environment and human health. The research highlights the significance of sustainable disease control strategies, host–pathogen interaction, and integrated disease management approaches [27]. Recent research has shown RNA structures that impact virus replication and need to migrate from cell to cell to enter nearby cells [28]. Previous studies [29,30] list some recent developments and potential paths forward.

Studying mathematical models with fractional derivatives rather than regular derivatives produces more meaningful findings and facilitates comprehension of challenging issues. In the literature, a wide range of fractional-order derivatives have been introduced and applied. Numerous real-world applications [3136] of fractional calculus exist. Convolutions are used to define fractional derivatives; as a specific instance, they contain ordinary derivatives. Due to its many attributes and realistic solutions to problems in engineering and physics, fractional calculus is attracting the interest of researchers everywhere on the globe. The simplest model with a fractional-order device lets in for the observation of hereditary characteristics, memory, and crossover conduct [37,38]. There is a new approach to the fractal fractional derivative in fractional calculus, and it was recently developed by Atangana [39]. The core ideas in this area are well suited to dealing with complex problems in numerous contexts. This new approach to calculating fractal fractions outperforms the standard approach by a significant margin [4043]. The significant benefit of this operator is that it facilitates the development of models that more adequately account for the occurrence of memory effects in complex systems. Furthermore, there are other practical concerns where understanding the information capacity of a system is essential. Researchers suggested a few developments in fractal-fractional differential equations, making use of novel programs and diverse kernels [4446].

This study uses a fractal-fractional mathematical model to investigate the transmission of yellow viruses in red chilli plants, focusing on the dynamics of yellow virus transmission in C. annuum, a plant disease that has gained significant attention in recent years. The rest of this article is organized as follows: The main important factors of red chili plant viruses with vector transmission disorders are covered in Section 2, along with the fractional-order red chili plant virus version. We demonstrate the bondedness and positiveness effects. We discuss the implications of global derivatives. Results are developed for strong points and lifestyles. Reproduction range, equilibrium factors, and local and global stability analyses with Lyapunov characteristic are all evaluated in Section 3; a numerical scheme using the Newton polynomial is given in Section 4; we discuss the results of the simulation in Section 5 and the findings in Section 6.

2 Fractional-order model of the spread of the yellow virus in red chili plants

Recent research indicates that fractional calculus and fractional-order model methodologies have greatly enhanced real-world processes in science and engineering. This has resulted in the use of classical identification techniques to these fields. The flexibility of fractional differential equations, which can work in any order, benefits first- and lower-order models alike. These transfer function models are critical for recognizing real-time behavioral characteristics.

Definition 2.1

[48] The Mittag–Leffler function is defined as follows:

(1) E ϑ = n = 0 t n Γ ( ϑ n + 1 ) .

Definition 2.2

[49] For a function g H 1 ( 0 , C ) and 0 < ϑ 1 , the Atangana–Baleanu–Caputo (ABC) derivative can be defined as

(2) D t ϑ 0 A B C [ g ( t ) ] = A B ( ϑ ) 1 ϑ 0 t g ( υ ) E ϑ ϑ ( t υ ) ϑ 1 ϑ d υ ,

where the space of square-integrable functions, H 1 ( 0 , C ) , with C > 0 , is defined as follows:

(3) H 1 ( 0 , C ) = { g ( t ) L 2 ( 0 , C ) f ( t ) L 2 ( 0 , C ) } ,

and A B ( ϑ ) = 1 ϑ + ϑ Γ ( ϑ ) with A B ( 0 ) = A B ( 1 ) = 1 .

The corresponding ABC integral can be defined as

(4) I t ϑ 0 A B C [ g ( t ) ] = 1 ϑ A B ( ϑ ) g ( t ) + ϑ A B ( ϑ ) Γ ( ϑ ) 0 t g ( υ ) ( t υ ) ϑ 1 d υ .

Atangana [39] developed a new class of fractional concepts for rationalizing systems by integrating fractal derivatives with power-law, exponential law, and modified Mittag–Leffler equation. This research looks into a unique fractal-like starting value problem employing a fractal-fractional operator with a Mittag–Leffler kernel.

Definition 2.3

[39,43,50] Consider g : ( a , b ) [ 0 , ) as a continuous, fractal differentiable map with dimension ζ . The fractal-fractional derivative of g with a generalized Mittag–Leffler kernel of order ϑ is as follows:

(5) D t ϑ , ζ 0 F F M [ g ( t ) ] = A B ( ϑ ) 1 ϑ d d t ζ 0 t g ( υ ) E ϑ ϑ ( t υ ) ϑ 1 ϑ d υ ,

where E ϑ is the Mittag–Leffler kernel and the fractal derivative is given by

(6) d g ( υ ) d υ ζ = lim t υ g ( t ) g ( υ ) t ζ υ ζ .

The corresponding integral is as follows:

(7) I t ϑ , ζ 0 F F M [ g ( t ) ] = ( 1 ϑ ) ζ t ζ 1 A B ( ϑ ) g ( t ) + ϑ ζ A B ( ϑ ) Γ ( ϑ ) 0 t υ ζ 1 ( t υ ) ϑ 1 g ( υ ) d υ .

We present deterministic compartmental model [47] of yellow virus in red chili plants as a deeper study of the data is required to determine the spread of the yellow virus in the red chili plant, and one method is using mathematical modeling. The population of red chilli plants is divided into four classes:

  • Red chilli plants that are susceptible in the vegetative stage ( S v ( t ) ) ;

  • Red chilli plants with infection in the vegetative stage ( I v ( t ) ) ;

  • Red chilli plants that are susceptible in the generative stage ( S g ( t ) ) ;

  • Red chilli plants with infection in the generative stage ( I g ( t ) ) ;

Also, there are two classes of insect vectors:
  • Susceptible insects ( S B T ( t ) ) ;

  • Infected insects ( I B T ( t ) ) .

The total population of red chili plants and insects vectors are denoted by

N α = S v + I v + S g + I g , N β = S B T + I B T .

Here, we present a fractional-order model for the spread of the yellow virus in red chili plants in the modified form:

(8) D t ϑ , ζ 0 F F M S v ( t ) = C λ S v μ 1 ( 1 σ p ) S v I B T ψ p S v , D t ϑ , ζ 0 F F M I v ( t ) = μ 1 ( 1 σ p ) S v I B T ψ p I v , D t ϑ , ζ 0 F F M S g ( t ) = λ S v μ 2 ( 1 σ p ) S g I B T ψ p S g , D t ϑ , ζ 0 F F M I g ( t ) = μ 2 ( 1 σ p ) S g I B T ψ p I g , D t ϑ , ζ 0 F F M S B T ( t ) = E N β ν 1 ( 1 σ p ) I v S B T ν 2 ( 1 σ p ) I g S B T φ I σ p S B T N α ψ I S B T , D t ϑ , ζ 0 F F M I B T ( t ) = ν 1 ( 1 σ p ) I v S B T + ν 2 ( 1 σ p ) I g S B T φ I σ p I B T N α ψ I I B T ,

with initial conditions (Table 1)

(9) S v ( 0 ) 0 , I v ( 0 ) 0 , S p ( 0 ) 0 , I p ( 0 ) 0 , S B T ( 0 ) 0 , I B T ( 0 ) 0 .

Table 1

Parameters of the recommended model

N α The total population of red chili plants
N β The total population of insect vectors (B. tabaci)
C Population recruitment of red chili plants
E N β Population recruitment of B. tabaci
λ The rate of plant growth when it moves from the vegetative phase to the generative phase
μ 1 ( 1 σ p ) The efficiency of applying V. lecanii affects how frequently plants become infected during the vegetative period
μ 2 ( 1 σ p ) The efficiency of applying V. lecanii affects how frequently plants become infected during the generative period
ν 1 ( 1 σ p ) The efficiency of using V. lecanii influences the rate of B. tabaci infection when infected red chilli plants are interacted with during the vegetative stage
ν 2 ( 1 σ p ) The efficiency of using V. lecanii influences the rate of B. tabaci infection when infected red chilli plants are interacted with during the generative stage
σ p Use of V. lecanii effectiveness
ψ p Red chilli plant mortality rates
ψ I The proportion of B. tabaci natural deaths
φ I The success of V. lecanii when applied to red chilli plants
σ p The mortality rate of B. tabaci

3 Proposed model analysis

3.1 Positive bounded solutions

For the model’s population description to be valid, the state parameters must be non-negative for any t > 0 . The solution should be limited and positive for all time values greater than or equal to zero if the original data are positive. To prevent negative values in a population system, it is necessary to demonstrate the positivity of solutions and maintain the positive beginning value in feasible region. Positivity and boundedness are critical features for population systems, with boundedness preferred due to resource constraints.

3.1.1 Positiveness

Theorem 3.1

[50] Suppose that t 0 . For model (8), if the initial conditions fulfill

S v ( 0 ) , I v ( 0 ) , S g ( 0 ) , I g ( 0 ) , S B T ( 0 ) , I B T ( 0 ) > 0 ,

then S v ( t ) , I v ( t ) , S g ( t ) , I g ( t ) , S B T ( t ) , and I B T ( t ) will remain positive in R + 6 .

Proof

The basic analysis discusses conditions that guarantee the positivity of the proposed model’s solutions and seeks to ascertain the preferability of solutions based on their actual difficulties with positive values. First, we start from I v ( t ) class

(10) D t ϑ , ζ 0 F F M I v ( t ) ψ p I v t 0 I v ( t ) I V ( 0 ) E ϑ c 1 ζ ϑ ( ψ p ) t ϑ A B ( ϑ ) ( 1 ϑ ) ( ψ p ) , t 0 ,

where c represents a time component. We shall define the norm

(11) θ = sup t D θ θ ( t ) ,

where D θ is the domain of θ . We have

(12) D t ϑ , ζ 0 F F M S g ( t ) ( μ 2 ( 1 σ p ) sup t D I B T I B T ψ p ) S g ( t ) , t 0 ( μ 2 ( 1 σ p ) I B T ψ p ) S g ( t ) , t 0 S g ( t ) S g ( 0 ) E ϑ c 1 ζ ϑ ( μ 2 ( 1 σ p ) I B T + ψ p ) t ϑ A B ( ϑ ) ( 1 ϑ ) ( μ 2 ( 1 σ p ) I B T + ψ p ) , t 0 ,

(13) D t ϑ , ζ 0 F F M I g ( t ) ψ p I g , t 0 I g ( t ) I g ( 0 ) E ϑ c 1 ζ ϑ ( ψ p ) t ϑ A B ( ϑ ) ( 1 ϑ ) ( ψ p ) , t 0 .

D t ϑ , ζ 0 F F M S B T ( t ) ( E ν 1 ( 1 σ p ) sup t D I v I v ν 2 ( 1 σ p ) sup t D I g I g φ I σ p sup t D N α N α ψ I ) S B T , t 0 ( E + ν 1 ( 1 σ p ) I v + ν 2 ( 1 σ p ) I g + φ I σ p N α + ψ I ) S B T , t 0 .

(14) S B T ( t ) S B T ( 0 ) E ϑ c 1 ζ ϑ ( E + ν 1 ( 1 σ p ) I v + ν 2 ( 1 σ p ) I g + φ I σ p N α + ψ I ) t ϑ A B ( ϑ ) ( 1 ϑ ) ( ν 1 ( 1 σ p ) I v E + ν 2 ( 1 σ p ) I g + φ I σ p N α + ψ I ) , t 0 .

(15) D t ϑ , ζ 0 F F M I B T ( t ) ( φ I σ p sup t D N α N α ψ I ) I B T , t 0 ( φ I σ p N α + ψ I ) I B T , t 0 I B T ( t ) I B T ( 0 ) E ϑ c 1 ζ ϑ ( φ I σ p N α + ψ I ) t ϑ A B ( ϑ ) ( 1 ϑ ) ( φ I σ p N α + ψ I ) , t 0 .

(16) D t ϑ , ζ 0 F F M S v ( t ) ( λ μ 1 ( 1 σ p ) sup t D I B T I B T ψ p ) S v , t 0 ( λ + μ 1 ( 1 σ p ) I B T + ψ p ) S v t 0 S v ( t ) S v ( 0 ) E ϑ c 1 ζ ϑ ( λ + μ 1 ( 1 σ p ) I B T + ψ p ) t ϑ A B ( ϑ ) ( 1 ϑ ) ( λ + μ 1 ( 1 σ p ) I B T + ψ p ) , t 0 .

This implies that I v ( t ) , S g ( t ) , I g ( t ) , S B T ( t ) , I B T ( t ) , and S v ( t ) are all positive for all t 0 .□

Theorem 3.2

[43] Along with initial conditions, the proposed plant virus model’s solution is unique and limited in R + 6 .

Proof

We obtain

(17) D t ϑ , ζ 0 F F M ( S v ( t ) ) S v = 0 = C 0 , D t ϑ , ζ 0 F F M ( I v ( t ) ) I v = 0 = μ 1 ( 1 σ p ) S v I B T 0 , D t ϑ , ζ 0 F F M ( S g ( t ) ) S g = 0 = λ S v 0 , D t ϑ , ζ 0 F F M ( I g ( t ) ) I g = 0 = μ 2 ( 1 σ p ) S g I B T 0 , D t ϑ , ζ 0 F F M ( S B T ( t ) ) S B T = 0 = E I B T 0 , D t ϑ , ζ 0 F F M ( I B T ( t ) ) I B T = 0 = ν 1 ( 1 σ p ) I v S B T + ν 2 ( 1 σ p ) I g S B T 0 .

Since ( S v ( 0 ) , I v ( 0 ) , S g ( 0 ) , I g ( 0 ) , S B T ( 0 ) , I B T ( 0 ) ) R + 6 , the solution cannot escape from the hyperplanes of S v ( t ) = 0 , I v ( t ) = 0 , S g ( t ) = 0 , I g ( t ) = 0 , S B T ( t ) = 0 , and I B T ( t ) = 0 , and the vector field on each hyperplane is either tangent to that hyperplane or points toward the interior of domain R + 6 ; i.e., since the solution will stay in the domain R + 6 , this domain is a positive invariant set.□

3.1.2 Boundedness

Theorem 3.3

With positive initial conditions, every solution of model (8)is bounded [50].

Proof

Theorems 3.1 and 3.2 ensure the positivity of solutions; hence,

D t ϑ , ζ 0 F F M N α = C ψ p N α N α = C ψ p + N α ( 0 ) C ψ p E ϑ c 1 ζ ϑ ( ψ p ) t ϑ A B ( ϑ ) ( 1 ϑ ) ( ψ p ) M 1 ,

where M 1 = max { N α ( 0 ) , C ψ p } and

D t ϑ , ζ 0 F F M N β = ( E φ I σ p N α ψ I ) N β N β = N β ( 0 ) E ϑ c 1 ζ ϑ ( E φ I σ p N α ψ I ) t ϑ A B ( ϑ ) ( 1 ϑ ) ( E φ I σ p N α ψ I ) N β ( 0 ) .

The solutions are bounded to the region Ξ , where

Ξ = { S v ( t ) , I v ( t ) , S g ( t ) , I g ( t ) , S B T ( t ) , I B T ( t ) R + 6 N α M 1 = max N α ( 0 ) , C ψ p , N β N β ( 0 ) , t 0 .

It demonstrates that for any t 0 , all solutions remain positive invariant under the specified beginning conditions in region Ξ .□

3.2 Well-posedness and biological feasibility

Here, we determine the range and area in which the model’s solution makes perfect sense. All solutions are positive, as demonstrated by Theorems 3.1 and 3.2, which also provide suggested parameters for all t 0 . Theorem 3.3 further demonstrates the boundedness of the suggested model:

(18) Ξ = { ( S v ( t ) , I v ( t ) , S g ( t ) , I g ( t ) , S B T ( t ) , I B T ( t ) ) R + 6 : 0 N α M 1 = max N α ( 0 ) , C ψ p : 0 N β N β ( 0 ) } ,

where R + 6 represents the positive cone of R 6 in biological terms that also include its lower-dimensional faces.

3.3 Global derivative’s effect

With an emphasis on proportionate fractional definitions and compartments, this section presents a compartmental model using fractional calculus. To account for the uncertainty of disease transmission, the model is expanded to a stochastic extension and decimated to integer order. It can create standards to identify unique and constructive global solutions. Although research into qualitative fractional calculus theories is restricted, the existence of solutions to many models has pushed researchers to accelerate their efforts. They investigated epidemic models and proposed the fractional model qualitative theory, which will be discussed in this work. It has long been known in the literature that the Riemann–Stieltjes integral, of which the classical integral is a special example, is the most often occurring integral. When

F ( x ) = f ( x ) d x ,

the Riemann–Stieltjes integral is given by

F g ( x ) = f ( x ) d g ( x ) .

f ( x ) ’s global derivative in terms of g ( x ) is given by

D g f ( x ) = lim h 0 f ( x + h ) f ( x ) g ( x + h ) g ( x ) .

If classical differentiation is possible for both functions, then

D g f ( x ) = f ( x ) g ( x ) , g ( x ) 0 , x D g .

We will replace the global derivative with the classical derivative to see if it affects the plant virus model:

(19) D g S v ( t ) = C λ S v μ 1 ( 1 σ p ) S v I B T ψ p S v , D g I v ( t ) = μ 1 ( 1 σ p ) S v I B T ψ p I v , D g S g ( t ) = λ S v μ 2 ( 1 σ p ) S g I B T ψ p S g , D g I g ( t ) = μ 2 ( 1 σ p ) S g I B T ψ p I g , D g S B T ( t ) = E N β ν 1 ( 1 σ p ) I v S B T ν 2 ( 1 σ p ) I g S B T φ I σ p S B T N α ψ I S B T , D g I B T ( t ) = ν 1 ( 1 σ p ) I v S B T + ν 2 ( 1 σ p ) I g S B T φ I σ p I B T N α ψ I I B T .

We shall assume that g is differentiable for simplicity’s sake. Consequently,

(20) S v ( t ) = g [ C λ S v μ 1 ( 1 σ p ) S v I B T ψ p S v ] , I v ( t ) = g [ μ 1 ( 1 σ p ) S v I B T ψ p I v ] , S g ( t ) = g [ λ S v μ 2 ( 1 σ p ) S g I B T ψ p S g ] , I g ( t ) = g [ μ 2 ( 1 σ p ) S g I B T ψ p I g ] , S B T ( t ) = g [ E N β ν 1 ( 1 σ p ) I v S B T ν 2 ( 1 σ p ) I g S B T φ I σ p S B T N α ψ I S B T ] , I B T ( t ) = g [ ν 1 ( 1 σ p ) I v S B T + ν 2 ( 1 σ p ) I g S B T φ I σ p I B T N α ψ I I B T ] .

Let

(21) g = sup t D g g ( t ) < N .

This example will demonstrate that there is a single solution that can be accepted by the system of equations:

(22) S v ( t ) = g [ C λ S v μ 1 ( 1 σ p ) S v I B T ψ p S v ] = Z 1 Θ , I v ( t ) = g [ μ 1 ( 1 σ p ) S v I B T ψ p I v ] = Z 2 Θ , S g ( t ) = g [ λ S v μ 2 ( 1 σ p ) S g I B T ψ p S g ] = Z 3 Θ , I g ( t ) = g [ μ 2 ( 1 σ p ) S g I B T ψ p I g ] = Z 4 Θ , S B T ( t ) = g [ E N β ν 1 ( 1 σ p ) I v S B T ν 2 ( 1 σ p ) I g S B T φ I σ p S B T N α ψ I S B T ] = Z 5 Θ , I B T ( t ) = g [ ν 1 ( 1 σ p ) I v S B T + ν 2 ( 1 σ p ) I g S B T φ I σ p I B T N α ψ I I B T ] = Z 6 Θ .

Here, we look at the system’s equations that support the existence and uniqueness of fractional calculus, which requires the proof of the following:

  1. Z Θ 2 < κ ( 1 + S v 2 ) ,

  2. S v 1 , S v 2 , we have,

    Z ( t , S v 1 , I v , S g , I g , S B T , I B T ) Z ( t , S v 2 , I v , S g , I g , S B T , I B T ) 2 < κ ¯ S v 1 S v 2 2 ,

where Θ = ( t , S v , I v , S g , I g , S B T , I B T ) . Consider Θ 1 = ( t , S v 1 , I v , S g , I g , S B T , I B T ) and Θ 2 = ( t , S v 2 , I v , S g , I g , S B T , I B T ) and if

Z 1 ( Θ 1 ) Z 1 ( Θ 2 ) 2 = g ( λ μ 1 ( 1 σ p ) I B T ψ p ) ( S v 1 S v 2 ) 2 Z 1 ( Θ 1 ) Z 1 ( Θ 2 ) 2 g 2 ( 3 λ 2 + 3 ( μ 1 ( 1 σ p ) ) 2 I B T 2 + 3 ( ψ p ) 2 ) S v 1 S v 2 2 sup t D S v Z 1 ( Θ 1 ) Z 1 ( Θ 2 ) 2 sup t D g g 2 ( 3 λ 2 + 3 ( μ 1 ( 1 σ p ) ) 2 sup t D I B T I B T 2 + 3 ( ψ p ) 2 ) sup t D S v S v 1 S v 2 2 Z 1 ( Θ 1 ) Z 1 ( Θ 2 ) 2 g 2 ( 3 λ 2 + 3 ( μ 1 ( 1 σ p ) ) 2 I B T 2 + 3 ( ψ p ) 2 ) S v 1 S v 2 2 Z 1 ( Θ 1 ) Z 1 ( Θ 2 ) 2 κ ¯ 1 S v 1 S v 2 2 ,

where

κ ¯ 1 = g 2 ( 3 λ 2 + 3 ( μ 1 ( 1 σ p ) ) 2 I B T 2 + 3 ( ψ p ) 2 ) .

Now consider Θ 3 = ( t , S v , I v 1 , S g , I g , S B T , I B T ) and Θ 4 = ( t , S v , I v 2 , S g , I g , S B T , I B T ) and if

Z 2 ( Θ 3 ) Z 2 ( Θ 4 ) 2 = g ( ψ p ) ( I v 1 I v 2 ) 2 , Z 2 ( Θ 3 ) Z 2 ( Θ 4 ) 2 g 2 ( ψ p ) 2 ( I v 1 I v 2 ) 2 , sup t D I v Z 2 ( Θ 3 ) Z 2 ( Θ 4 ) 2 sup t D g g 2 ( ψ p ) 2 sup t D I v ( I v 1 I v 2 ) 2 , Z 2 ( Θ 3 ) Z 2 ( Θ 4 ) 2 g 2 ( ψ p ) 2 ( I v 1 I v 2 ) 2 , Z 2 ( Θ 3 ) Z 2 ( Θ 4 ) 2 κ ¯ 2 ( I v 1 I v 2 ) 2 ,

where

κ ¯ 2 = g 2 ( ψ p ) 2 .

Now, consider Θ 5 = ( t , S v , I v , S g 1 , I g , S B T , I B T ) and Θ 6 = ( t , S v , I v , S g 1 , I g , S B T , I B T ) and if

Z 3 ( Θ 5 ) Z 3 ( Θ 6 ) 2 = g ( μ 2 ( 1 p ) I B T ψ p ) ( S g 1 S g 2 ) 2 , Z 3 ( Θ 5 ) Z 3 ( Θ 6 ) 2 g 2 ( 2 ( μ 2 ( 1 p ) ) 2 I B T 2 + 2 ( ψ p ) 2 ) ( S g 1 S g 2 ) 2 , sup t D S g Z 3 ( Θ 5 ) Z 3 ( Θ 6 ) 2 sup t D g g 2 ( 2 ( μ 2 ( 1 p ) ) 2 sup t D I B T I B T 2 + 2 ( ψ p ) 2 ) sup t D S g ( S g 1 S g 2 ) 2 , Z 3 ( Θ 5 ) Z 3 ( Θ 6 ) 2 g 2 ( 2 ( μ 2 ( 1 p ) ) 2 I B T 2 + 2 ( ψ p ) 2 ) ( S g 1 S g 2 ) 2 , Z 3 ( Θ 5 ) Z 3 ( Θ 6 ) 2 κ ¯ 3 ( S g 1 S g 2 ) 2 ,

where

κ ¯ 3 = g 2 ( 2 ( μ 2 ( 1 p ) ) 2 I B T 2 + 2 ( ψ p ) 2 ) .

Now, consider Θ 7 = ( t , S v , I v , S g , I g 1 , S B T , I B T ) and Θ 8 = ( t , S v , I v , S g , I g 2 , S B T , I B T ) and if

Z 4 ( Θ 7 ) Z 2 ( Θ 8 ) 2 = g ( ψ p ) ( I g 1 I g 2 ) 2 , Z 4 ( Θ 7 ) Z 2 ( Θ 8 ) 2 g 2 ( ψ p ) 2 ( I g 1 I g 2 ) 2 , sup t D I v Z 4 ( Θ 7 ) Z 2 ( Θ 8 ) 2 sup t D g g 2 ( ψ p ) 2 sup t D I v ( I g 1 I g 2 ) 2 , Z 4 ( Θ 7 ) Z 2 ( Θ 8 ) 2 g 2 ( ψ p ) 2 ( I g 1 I g 2 ) 2 , Z 4 ( Θ 7 ) Z 2 ( Θ 8 ) 2 κ ¯ 4 ( I g 1 I g 2 ) 2 ,

where

κ ¯ 4 = g 2 ( ψ p ) 2 .

Now, consider Θ 9 = ( t , S v , I v , S g , I g , S B T 1 , I B T ) and Θ 10 = ( t , S v , I v , S g , I g , S B T 2 , I B T ) and if

Z 5 ( Θ 9 ) Z 5 ( Θ 10 ) 2 = g ( ν 1 ( 1 σ p ) I v ν 2 ( 1 σ p ) I g φ I σ p N α ψ I ) ( S g 1 S g 2 ) 2 Z 5 ( Θ 9 ) Z 5 ( Θ 10 ) 2 4 g 2 ( ( 1 σ p ) 2 ( ν 1 2 I v 2 + ν 2 2 I g 2 ) + ( φ I σ p ) 2 N α 2 + ( ψ I ) 2 ) ( S B T 1 S B T 2 ) 2 sup t D S B T Z 5 ( Θ 9 ) Z 5 ( Θ 10 ) 2 4 sup t D g g 2 ( ( 1 σ p ) 2 ( ν 1 2 sup t D I v I v 2 + ν 2 2 ) sup t D I g I g 2 + ( φ I σ p ) 2 sup t D N α N α 2 + ( ψ I ) 2 ) sup t D S B T ( S B T 1 S B T 2 ) 2 Z 5 ( Θ 9 ) Z 5 ( Θ 10 ) 2 4 g 2 ( ( 1 σ p ) 2 ( ν 1 2 I v 2 + ν 2 2 I g 2 ) + ( φ I σ p ) 2 N α 2 + ψ I 2 ) ( S B T 1 S B T 2 ) 2 κ ¯ 5 ( S B T 1 S B T 2 ) 2 ,

where

κ ¯ 5 = g 2 ( 4 ( ν 1 ( 1 σ p ) ) 2 I v 2 + 4 ( ν 2 ( 1 σ p ) ) 2 I g 2 + 4 ( φ I σ p ) 2 N α 2 + 4 ( ψ I ) 2 ) .

Now, consider Θ 11 = ( t , S v , I v , S g , I g , S B T , I B T 1 ) and Θ 12 = ( t , S v , I v , S g , I g , S B T , I B T 2 ) and if

Z 6 ( Θ 11 ) Z 6 ( Θ 12 ) 2 = g ( φ I σ p N α ψ I ) ( I B T 1 I B T 2 ) 2 Z 6 ( Θ 11 ) Z 6 ( Θ 12 ) 2 2 g 2 ( ( φ I σ p ) 2 N α 2 + ψ I 2 ) ( I B T 1 I B T 2 ) 2 sup t D I B T Z 6 ( Θ 11 ) Z 6 ( Θ 12 ) 2 2 sup t D g g 2 ( ( φ I σ p ) 2 sup t D N α N α 2 + ψ I 2 ) sup t D I B T ( I B T 1 I B T 2 ) 2 Z 6 ( Θ 11 ) Z 6 ( Θ 12 ) 2 2 g 2 ( ( φ I σ p ) 2 N α 2 + ψ I 2 ) ( I B T 1 I B T 2 ) 2 Z 6 ( Θ 11 ) Z 6 ( Θ 12 ) 2 κ ¯ 6 ( I B T 1 I B T 2 ) 2 ,

where

κ ¯ 6 = g 2 ( 2 ( φ I σ p ) 2 N α 2 + 2 ( ψ I ) 2 ) .

This demonstrates that function satisfies the first requirement. We then confirm that the second criterion is met:

Z 1 ( Θ ) 2 = g [ C λ S v μ 1 ( 1 σ p ) S v I B T ψ p S v ] 2 2 g 2 C 2 + 2 g 2 λ S v μ 1 ( 1 σ p ) S v I B T ψ p S v 2 2 g 2 C 2 + 6 g 2 λ 2 S v 2 + 6 g 2 ( μ 1 ( 1 σ p ) ) 2 S v 2 I B T 2 + 6 g 2 ψ p 2 S v 2 2 g 2 C 2 1 + ( 6 λ 2 + 6 ( μ 1 ( 1 σ p ) ) 2 I B T 2 + 6 ψ p 2 ) S v 2 2 C 2 κ 1 ( 1 + S v 2 ) ,

under the condition

( 6 λ 2 + 6 ( μ 1 ( 1 σ p ) ) 2 I B T 2 + 6 ψ p 2 ) 2 C 2 < 1 ,

where

κ 1 = 2 g 2 C 2 .

Z 2 ( Θ ) 2 = g [ μ 1 ( 1 σ p ) S v I B T ψ p I v ] 2 2 g 2 μ 1 ( 1 σ p ) S v I B T 2 + 2 g 2 ψ p I v 2 2 g 2 μ 1 2 ( 1 σ p ) 2 S v 2 I B T 2 + 2 g 2 ψ p 2 I v 2 2 g 2 μ 1 2 ( 1 σ p ) 2 S v 2 I B T 2 1 + 2 ψ p 2 I v 2 2 μ 1 2 ( 1 σ p ) 2 S v 2 I B T 2 κ 2 ( 1 + I v 2 ) ,

under the condition

2 ψ p 2 2 μ 1 2 ( 1 σ p ) 2 S v 2 I B T 2 < 1 ,

where

κ 2 = 2 g 2 μ 1 2 ( 1 σ p ) 2 S v 2 I B T 2 .

Z 3 ( Θ ) 2 = g [ λ S v μ 2 ( 1 σ p ) S g I B T ψ p S g ] 2 2 g 2 λ S v 2 + 2 g 2 μ 2 ( 1 σ p ) S g I B T ψ p S g 2 2 g 2 λ 2 S v 2 + 4 g 2 μ 2 2 ( 1 σ p ) 2 S g 2 I B T 2 + 4 g 2 ψ p 2 S g 2 2 g 2 λ 2 S v 2 1 + 4 ( μ 2 2 ( 1 σ p ) 2 I B T 2 + 4 ψ p 2 ) S g 2 2 S v 2 κ 3 ( 1 + S g 2 ) ,

under the condition

4 ( μ 2 2 ( 1 σ p ) 2 I B T 2 + 4 ψ p 2 ) 2 S v 2 < 1 ,

where

κ 3 = 2 g 2 S v 2 .

Z 4 ( Θ ) 2 = g [ μ 2 ( 1 σ p ) S g I B T ψ p I g ] 2 2 g 2 μ 2 ( 1 σ p ) S g I B T 2 + 2 g 2 ψ p I g 2 2 g 2 μ 2 2 ( 1 σ p ) 2 S g 2 I B T 2 + 2 g 2 ψ p 2 I g 2 2 g 2 μ 2 2 ( 1 σ p ) 2 S g 2 I B T 2 ( 1 + f r a c 2 ψ p 2 I g 2 2 μ 2 2 ( 1 σ p ) 2 S g 2 I B T 2 ) κ 4 ( 1 + I g 2 ) ,

under the condition

2 ψ p 2 2 μ 2 2 ( 1 σ p ) 2 S g 2 I B T 2 < 1 ,

where

κ 4 = 2 g 2 μ 2 2 ( 1 σ p ) 2 S g 2 I B T 2 .

Z 5 ( Θ ) 2 = g [ E N β ν 1 ( 1 σ p ) I v S B T ν 2 ( 1 σ p ) I g S B T φ I σ p S B T N α ψ I S B T ] 2 2 g 2 [ E N β 2 + ν 1 ( 1 σ p ) I v S B T + ν 2 ( 1 σ p ) I g S B T + φ I σ p S B T N α + ψ I S B T 2 ] 2 g 2 E 2 N β 2 + 8 g 2 [ ( ν 1 ( 1 σ p ) ) 2 I v 2 + ( ν 2 ( 1 σ p ) ) 2 I g 2 + ( φ I σ p ) 2 N α 2 + ( ψ I ) 2 ] S B T 2 2 g 2 E 2 N β 2 × 1 + 8 [ ( ν 1 ( 1 σ p ) ) 2 I v 2 + ( ν 2 ( 1 σ p ) ) 2 I g 2 + ( φ I σ p ) 2 N α 2 + ( ψ I ) 2 ] S B T 2 2 E 2 N β 2 κ 5 ( 1 + S B T 2 ) ,

under the condition

8 [ ( ν 1 ( 1 σ p ) ) 2 I v 2 + ( ν 2 ( 1 σ p ) ) 2 I g 2 + ( φ I σ p ) 2 N α 2 + ( ψ I ) 2 ] 2 E 2 N β 2 < 1 ,

where

κ 5 = 2 g 2 E 2 N β 2 .

Z 6 ( Θ ) 2 = g [ ν 1 ( 1 σ p ) I v S B T + ν 2 ( 1 σ p ) I g S B T φ I σ p I B T N α ψ I I B T ] 2 2 g 2 ν 1 ( 1 σ p ) I v S B T + ν 2 ( 1 σ p ) I g S B T 2 + 2 g 2 φ I σ p I B T N α ψ I I B T 2 4 g 2 ( ν 1 2 ( 1 σ p ) 2 I v 2 S B T 2 + ν 2 2 ( 1 σ p ) 2 I g 2 S B T 2 + φ I 2 σ p 2 I B T 2 N α 2 + ψ I 2 I B T 2 ) 4 g 2 ( ( 1 σ p ) 2 ( ν 1 2 I v 2 S B T 2 + 4 ν 2 2 I g 2 S B T 2 ) ) 1 + 4 φ I 2 σ p 2 I B T 2 N α 2 + 4 ψ I 2 I B T 2 4 ( 1 σ p ) 2 ( ν 1 2 I v 2 S B T 2 + ν 2 2 I g 2 S B T 2 ) κ 6 ( 1 + I B T 2 ) ,

under the condition

4 φ I 2 σ p 2 I B T 2 N α 2 + 4 ψ I 2 4 ν 1 2 ( 1 σ p ) 2 I v 2 S B T 2 + 4 ν 2 2 ( 1 σ p ) 2 I g 2 S B T 2 < 1 ,

where

κ 6 = 4 g 2 ν 1 2 ( 1 σ p ) 2 I v 2 S B T 2 + 4 ν 2 2 ( 1 σ p ) 2 I g 2 S B T 2 .

As a result, our system has a solution that is unique given the following circumstances:

(23) Max 2 ψ p 2 2 μ 1 2 ( 1 σ p ) 2 S v 2 I B T 2 , 2 ψ p 2 2 μ 1 2 ( 1 σ p ) 2 S v 2 I B T 2 , 4 ( μ 2 2 ( 1 σ p ) 2 I B T 2 + 4 ψ p 2 ) 2 S v 2 , 2 ψ p 2 2 μ 2 2 ( 1 σ p ) 2 S g 2 I B T 2 , 8 [ ( ν 1 ( 1 σ p ) ) 2 I v 2 + ( ν 2 ( 1 σ p ) ) 2 I g 2 + ( φ I σ p ) 2 N α 2 + ( ψ I ) 2 ] 2 E 2 N β 2 , 4 φ I 2 σ p 2 I B T 2 N α 2 + 4 ψ I 2 4 ν 1 2 ( 1 σ p ) 2 I v 2 S B T 2 + 4 ν 2 2 ( 1 σ p ) 2 I g 2 S B T 2 . < 1

3.4 Equilibrium points

In order to determine equilibrium points, we must set the system’s equations (8) to zero. The disease-free equilibrium point is obtained from model [8] as follows:

(24) E 0 ( S v 1 , I v 1 , S g 1 , I g 1 , S B T 1 , I B T 1 ) = C ψ p + λ , 0 , C λ ψ p + λ , 0 , E N β φ I σ p N α + ψ I , 0 .

The endemic equilibrium is given by E 1 ( S v * , I v * , S g * , I g * , S B T * , I B T * ) , where

(25) S v * = C ( ψ p + λ ) + μ 1 ( 1 σ p ) I B T * , I v * = μ 1 ( 1 σ p ) S v * I B T * ψ p , S g * = λ S v * μ 2 ( 1 σ p ) I B T * + ψ p , I g * = μ 2 ( 1 σ p ) S g * I B T * ψ p , S B T * = E N β ν 1 ( 1 σ p ) I v * + ν 2 ( 1 σ p ) I g * + φ I σ p N α + ψ I ,

and I B T * , unique positive solution of the following equation is given as

(26) h ( I B T * ) = a ( I B T * ) 2 + b I B T * + c ,

where

(27) a = μ 1 μ 2 ( 1 σ p ) 2 ( φ I σ p N α + ψ I ) ( C ν 1 ( 1 σ p ) + ( φ I σ p N α + ψ I ) ψ p ) > 0 , b = ( 1 σ p ) { [ ( φ I σ p N α + ψ I ) 2 ψ p ( ψ p ( μ 1 + μ 2 ) + λ μ 2 ) ] + C ( 1 σ p ) [ ( ψ p μ 1 ν 1 + ψ p μ 2 ν 2 ) ( φ I σ p N α + ψ I ) + E N β μ 1 μ 2 ν 1 ( 1 σ p ) ] } > 0 , c = ( 1 R 0 2 ) < 0 .

3.5 Reproduction number

To continue with our prior analysis, here we shall derive the reproductive number. Reproduction number plays an important role in the field of epidemiological modeling, as it helps to understand the stability conditions. The vectors F and V stand in for the genesis of new illnesses and the spread of already-existing infections, respectively. Let the system be

(28) D t ϑ , ζ 0 F F M I v ( t ) = μ 1 ( 1 σ p ) S v I B T ψ p I v , D t ϑ , ζ 0 F F M I g ( t ) = μ 2 ( 1 σ p ) S g I B T ψ p I g , D t ϑ , ζ 0 F F M I B T ( t ) = ν 1 ( 1 σ p ) I v S B T + ν 2 ( 1 σ p ) I g S B T φ I σ p I B T N α ψ I I B T .

Then,

F = μ 1 ( 1 σ p ) S v I B T μ 2 ( 1 σ p ) S g I B T ν 1 ( 1 σ p ) I v S B T + ν 2 ( 1 σ p ) I g S B T , V = ψ p I v ψ p I g φ I σ p I B T N p + ψ I I B T .

The Jacobian matrices of F and V are found at E 0 . We then have

F = 0 0 C μ 1 ( 1 σ p ) ψ p + λ 0 0 C λ μ 2 ( 1 σ p ) ψ p + λ E N β ν 1 ( 1 σ p ) φ I σ p N α + ψ I E N β ν 2 ( 1 σ p ) φ I σ p N α + ψ I 0 and V = ψ p 0 0 0 ψ p 0 0 0 C φ I σ p + ψ I ψ p ψ p

F V 1 = 0 0 C ψ p μ 1 ( 1 σ p ) ( ψ p + λ ) ( φ I σ p C + ψ I ψ p ) 0 0 C λ μ 2 ( 1 σ p ) ( ψ p + λ ) ( φ I σ p C + ψ I ψ p ) E N β ν 1 ( 1 σ p ) ψ p ( φ I σ p N α + ψ I ) E N β ν 2 ( 1 σ p ) ψ p ( φ I σ p N α + ψ I ) 0

Thus, det ( F V 1 ξ I ) = ξ ξ 2 C E λ N β μ 2 ν 2 ( 1 σ p ) 2 ψ p ( ψ p + λ ) ( φ I σ p N α + ψ I ) ( φ I σ p C + ψ I ψ p ) + ξ C E N β μ 1 ν 1 ( 1 σ p ) 2 ( ψ p + λ ) ( φ I σ p N α + ψ I ) ( φ I σ p C + ψ I ψ p ) , where ξ 1 = 0 and ξ 2,3 = ± ( 1 σ p ) C E N β ( ψ p μ 1 ν 1 + λ μ 2 ν 2 ) ψ p ( φ I σ p N α + ψ I ) ( φ I σ p C + ψ I ψ p )

As the reproduction number is dominant eigenvalue of matrix F V 1 , so

(29) R 0 = R ( E 0 ) = ± ( 1 σ p ) C E N β ( ψ p μ 1 ν 1 + λ μ 2 ν 2 ) ψ p ( φ I σ p N α + ψ I ) ( φ I σ p C + ψ I ψ p ) .

The R 0 is the threshold frequency of infectious cases due to an infected specie, with the passage of time, in a red chilli plant population that is only susceptible. The population may get infected from virus when R 0 is greater than 1, but not when R 0 is less than 1.

3.6 Local stability analyses of equilibrium points

Here, we present theorems with proofs that describe local stability of equilibria.

Theorem 3.4

The disease-free equilibrium point of the proposed model is unstable if R 0 > 1 and locally asymptotically stable if R 0 < 1 [47].

Proof

System (8)’s Jacobian matrix at the disease-free equilibrium point is

J 0 = ψ p 0 C μ 1 ( σ p 1 ) ψ p + λ 0 0 0 0 ψ p C λ μ 2 ( σ p 1 ) ψ p ( ψ p + λ ) 0 0 0 E N β ν 1 ( σ p 1 ) ψ I + N α σ p φ I E N β ν 2 ( σ p 1 ) ψ I + N α σ p φ I C σ p φ I ψ p ψ I 0 0 0 0 C μ 1 ( σ p 1 ) ψ p + λ ( ψ p + λ ) 0 0 0 0 C λ μ 1 ( σ p 1 ) ψ p ( ψ p + λ ) λ ψ p 0 E N β ( ν 1 ( 1 σ p ) + σ p φ I ) ψ I + N α σ p φ I E N β ( ν 1 ( 1 σ p ) + σ p φ I ) ψ I + N α σ p φ I E ( E N β σ p φ I ) ψ I + N α σ p φ I ( E N β σ p φ I ) ψ I + N α σ p φ I E C σ p φ I ψ p ψ I

The disease free equilibrium is locally asymptotically stable if all eigenvalues ξ i , i = 1 , 2 , 3 , 4 of matrix J 0 satisfy condition

(30) arg ( eig ( J 0 ) ) = arg ( ξ i ) > υ Π 2 , i = 1 , 2 , 3 , 4 .

The characteristic equation is given as

( ( ψ p + ξ ) 2 ( ξ + λ + ψ p ) ( ξ + C σ p φ I + ( 1 ψ I E ) ψ p ) ( a ξ 2 + b ξ + c ) ) ψ p 2 ( ψ p + λ ) ( ψ I + σ p φ I N α ) = 0 ,

where

a = ψ p ( ψ p + λ ) ( σ p φ I N α + ψ I ) , b = ( ψ p + λ ) ( σ p φ I N α + ψ I ) ( C φ I σ p + ψ p ( ψ p + ψ I ) ) , c = ψ p ( ψ p + λ ) ( σ p φ I N α + ψ I ) ( C φ I σ p + ψ p ψ I ) C E N β ( ψ p μ 1 ν 1 + λ μ 2 ν 2 ) ( 1 σ p ) 2 ,

eigenvalues can be found out by solving the characteristic equation. Eigenvalues are given as

ξ 1,2 = ψ p , ξ 3 = ψ p λ , ξ 4 = ( C σ p φ I + ( ψ I E + 1 ) ψ p ) , ξ 5,6 = b ± b 2 4 a c 2 a .

From the aforementioned eigenvalues, it is clear that ξ 1,2,3 are negative. The system is stable if the values ξ 4,5,6 are also negative. To see this, consider the characteristic equation ( C σ p φ I + ( ψ I E + 1 ) ψ p ) ( a ξ 2 + b ξ + c ) = 0 , the system will be stable if the coefficients a, b, c and ( C σ p φ I + ( ψ I E + 1 ) ψ p ) are positive. So

a = ψ p ( ψ p + λ ) ( σ p φ I N α + ψ I ) > 0 , b = ( ψ p + λ ) ( σ p φ I N α + ψ I ) ( C φ I σ p + ψ p ( ψ p + ψ I ) ) > 0 , c = ψ p ( ψ p + λ ) ( σ p φ I N α + ψ I ) ( C φ I σ p + ψ p ψ I ) C E N β ( ψ p μ 1 ν 1 + λ μ 2 ν 2 ) ( 1 σ p ) 2 = ( 1 R 0 ) 2 > 0 .

From the coefficients for the characteristic equation ( a ξ 2 + b ξ + c ) = 0 , it can be seen that ξ 4,5,6 will be negative if E < C σ p φ I ψ p + ( ψ I + 1 ) and R 0 < 1 . This completes the proof.□

3.7 Global stability analysis

We now prove a few results related to global stability. One common Lyapunov candidate function for proving integer system stability is the quadratic function. Nevertheless, applying such functions is not simple in the fractional case. We put up the following lemma to prove the global stability of the fractional system (8).

Lemma 3.1

Let Z R + be a continuous function in which for each t t 0 ;

(31) D t ϑ , ζ 0 F F M Z Z Z ln Z Z 1 Z Z D t ϑ , ζ 0 F F M Z ( t ) , Z R + , ϑ , ζ ( 0 , 1 ) .

We define all independent variables for the Lyapunov function. For { S v 1 , I v 1 , S g 1 , I g 1 , S B T 1 , I B T 1 } , L < 0 is the endemic equilibrium.

Theorem 3.1

The endemic equilibrium points of a fractional-order red chilli plant’s system 8 are globally asymptotically stable if the reproductive number is greater than 1.

Proof

In this case, the Lyapunov function is defined as follows:

L ( S v * , I v * , S g * , I g * , S B T * , I B T * ) = l 1 S v S v * S v * log S v S v * + l 2 I v I v * I v * log I v I v * + l 3 S g S g * S g * log S g S g * + l 4 I g I g * I g * log I g I g * + l 5 S B T S B T * S B T * log S B T S B T * + l 6 I B T I B T * I B T * log I B T I B T * ,

where l 1 , l 2 , l 3 , l 4 , l 5 , and l 6 are the positive constants. By applying equation (32) to system (8), we obtain

(32) D t ϑ , ζ 0 F F M L S v S v * S v D t ϑ , ζ 0 F F M S v + I v I v * I v D t ϑ , ζ 0 F F M I v + S g S g * S g S g ˙ + I g I g * I g D t ϑ , ζ 0 F F M I g + S B T S B T * S B T D t ϑ , ζ 0 F F M S B T + I B T I B T * I B T D t ϑ , ζ 0 F F M I B T .

Writing their derivative values as

D t ϑ , ζ 0 F F M L S v S v * S v ( C λ S v μ 1 ( 1 σ p ) S v I B T ψ p S v ) + I v I v * I v ( μ 1 ( 1 σ p ) S v I B T ψ p I v ) + S g S g * S g ( λ S v μ 2 ( 1 σ p ) S g I B T ψ p S g ) + I g I g * I g ( μ 2 ( 1 σ p ) S g I B T ψ p I g ) + S B T S B T * S B T ( E N β ν 1 ( 1 σ p ) I v S B T ν 2 ( 1 σ p ) I g S B T φ I σ p S B T N α ψ I S B T ) + I B T I B T * I B T ( ν 1 ( 1 σ p ) I v S B T + ν 2 ( 1 σ p ) I g S B T φ I σ p I B T N α ψ I I B T ) .

Let S v = S v S v * , I v = I v I v * , S g = S g S g * , I g = I g I g * , S B T = S B T S B T * , I B T = I B T I B T * , then

D t ϑ , ζ 0 F F M L S v S v * S v ( C λ ( S v S v * ) μ 1 ( 1 σ p ) ( S v S v * ) ( I B T I B T * ) ψ p ( S v S v * ) ) + I v I v * I v ( μ 1 ( 1 σ p ) ( S v S v * ) ( I B T I B T * ) ψ p ( I v I v * ) ) + S g S g * S g ( λ ( S v S v * ) μ 2 ( 1 σ p ) ( S g S g * ) ( I B T I B T * ) ψ p ( I g I g * ) ) + I g I g * I g ( μ 2 ( 1 σ p ) ( S g S g * ) ( I B T I B T * ) ψ p ( S g S g * ) ) + S B T S B T * S B T ( E N β ν 1 ( 1 σ p ) ( I v I v * ) ( S B T S B T * ) ν 2 ( 1 σ p ) ( I g I g * ) ( S B T S B T * ) φ I σ p ( S B T S B T * ) N α ψ I ( S B T S B T * ) ) + I B T I B T * I B T ( ν 1 ( 1 σ p ) ( I v I v * ) ( S B T S B T * ) + ν 2 ( 1 σ p ) ( I g I g * ) ( S B T S B T * ) φ I σ p ( I B T I B T * ) N α ψ I ( I B T I B T * ) ) .

Using l 1 = l 2 = l 3 = l 4 = l 5 = l 6 = 1 and simplifying, we can write

(33) D t ϑ , ζ 0 F F M L Σ Ω ,

where

(34) Σ = C + μ 1 ( I B T * + σ p I B T ) ( S v S v * ) 2 S v + μ 1 ( S v I B T + S v * I B T * ) + μ 1 σ p ( S v I B T * + S v * I B T ) + μ 1 ( S v I B T * + S v * I B T ) I v * I v + μ 1 σ p ( S v I B T + S v * I B T * ) I v * I v + λ S v + λ S v * S g * S g + μ 2 ( I B T * + σ p I B T ) ( S g S g * ) 2 S g + ψ p I g * + ψ p I g S g * S g + μ 2 ( S g I B T + S g * I B T * ) + μ 2 σ p ( S g I B T * + S g * I B T ) + μ 2 ( S g I B T * + S g * I B T ) I g * I g + μ 2 σ p ( S g I B T + S g * I B T * ) I g * I g + ψ p S g * + ψ p S g I g * I g + E N β + ν 1 ( I v * σ p I v ) ( S B T S B T * ) 2 S B T + ν 2 ( I g * σ p I g ) ( S B T S B T * ) 2 S B T + ν 1 ( I v S B T + I v * S B T * ) + ν 1 ( I v S B T * + I v * S B T ) I B T * I B T + ν 2 ( I g S B T + I g * S B T * ) + ν 2 ( I g S B T * + I g * S B T ) I B T * I B T ,

and

(35) Ω = C S v * S v + λ ( S v S v * ) 2 S v + μ 1 ( I B T + σ p I B T * ) ( S v S v * ) 2 S v + ψ p ( S v S v * ) 2 S v + μ 1 ( S v I B T * + S v * I B T ) + μ 1 σ p ( S v I B T * + S v * I B T * ) + μ 1 ( S v I B T + S v * I B T * ) I v * I v + μ 1 σ p ( S v I B T * + S v * I B T ) I v * I v + ψ p ( I v I v * ) 2 I v + λ S v * + λ S v S g * S g + μ 2 ( I B T + σ p I B T * ) ( S g S g * ) 2 S g + ψ p I g + ψ p I g * S g * S g + μ 1 ( I B T + σ p I B T * ) ( S v S v * ) 2 S v + ψ p ( S v S v * ) 2 S v + μ 2 ( S g I B T * + S g * I B T ) + μ 2 σ p ( S g I B T * + S g * I B T * ) + μ 2 ( S g I B T + S g * I B T * ) I g * I g + μ 2 σ p ( S g I B T * + S g * I B T ) I g * I g + ψ p S g + ψ p S g * I g * I g + E N β S B T * S B T + ν 1 ( I v + σ p I v * ) S B T S B T * S B T + ν 2 ( I g + σ p I g * ) ( S B T S B T * ) 2 S B T + φ I σ p N α ( S B T S B T * ) 2 S B T + ψ I ( S B T S B T * ) 2 S B T + ν 1 ( I v S B T * + I v * S B T ) + ν 1 ( I v S B T + I v * S B T ) I B T * I B T + ν 1 ( I g S B T * + I g * S B T ) + ν 1 ( I g S B T + I g * S B T ) I B T * I B T + φ I σ p N α ( I B T I B T * ) 2 I B T + ψ I ( I B T I B T * ) 2 I B T .

We observe that

if Σ < Ω D t ϑ , ζ 0 F F M L < 0 .

However, if S v = S v * , I v = I v * , S g = S g * , I g = I g * , S B T = S B T * , I B T = I B T * then

(36) Σ Ω = 0 D t ϑ , ζ 0 F F M L = 0 .

As a result, we conclude that the endemic equilibrium points ( E * ) are globally asymptotically stable in feasible domain R + 6 if Σ < Ω .□

4 Numerical scheme

This section uses the generalized version of the fractal-fractional derivative in the Mittag–Leffler function to give a numerical algorithm for simulations and findings of the proposed system. Utilizing a Newton polynomial interpolation scheme [50], this research gives a numerical solution for interprets that shift from stretched exponential to power law without a steady-state and self-similarities. We can write model (8) as follows:

(37) D 0 ϑ , ζ 0 F F M S v ( t ) = S v 1 ( t , ϖ ) , D 0 ϑ , ζ 0 F F M I v ( t ) = I v 1 ( t , ϖ ) , D 0 ϑ , ζ 0 F F M S g ( t ) = S g 1 ( t , ϖ ) , D 0 ϑ , ζ 0 F F M I g ( t ) = I g 1 ( t , ϖ ) , D 0 ϑ , ζ 0 F F M S B T ( t ) = S B T 1 ( t , ϖ ) , D 0 ϑ , ζ 0 F F M I B T ( t ) = I B T 1 ( t , ϖ ) ,

where ϖ = S v , I v , S g , I g , S B T , I B T , and

(38) S v 1 ( t , ϖ ) = C λ S v μ 1 ( 1 σ p ) S v I B T ψ p S v , I v 1 ( t , ϖ ) = μ 1 ( 1 σ p ) S v I B T ψ p I v , S g 1 ( t , ϖ ) = λ S v μ 2 ( 1 σ p ) S g I B T ψ p S g , I g 1 ( t , ϖ ) = μ 2 ( 1 σ p ) S g I B T ψ p I g , S B T 1 ( t , ϖ ) = E N β ν 1 ( 1 σ p ) I v S B T ν 2 ( 1 σ p ) I g S B T φ I σ p S B T N α ψ I S B T , I B T 1 ( t , ϖ ) = ν 1 ( 1 σ p ) I v S B T + ν 2 ( 1 σ p ) I g S B T φ I σ p I B T N α ψ I I B T .

Applying integral (7), we obtain

(39) S v ( t δ + 1 ) = S v 0 + 1 ϑ A B ( ϑ ) t δ 1 ζ S v 1 ( t δ , S v ( t δ ) , I v ( t δ ) , S g ( t δ ) , I g ( t δ ) , S B T ( t δ ) , I B T ( t δ ) ) + ϑ A B ( ϑ ) Γ ( ϑ ) o = 2 δ t o t o + 1 S v 1 ( τ , S v , I v , S g , I g , S B T , I B T ) τ 1 ζ ( t δ + 1 τ ) ϑ 1 d τ ,

(40) I v ( t δ + 1 ) = I v 0 + 1 ϑ A B ( ϑ ) t δ 1 ζ I v 1 ( t δ , S v ( t δ ) , I v ( t δ ) , S g ( t δ ) , I g ( t δ ) , S B T ( t δ ) , I B T ( t δ ) ) + ϑ A B ( ϑ ) Γ ( ϑ ) o = 2 δ t o t o + 1 I v 1 ( τ , S v , I v , S g , I g , S B T , I B T ) τ 1 ζ ( t δ + 1 τ ) ϑ 1 d τ ,

(41) S g ( t δ + 1 ) = S g 0 + 1 ϑ A B ( ϑ ) t δ 1 ζ S g 1 ( t δ , S v ( t δ ) , I v ( t δ ) , S g ( t δ ) , I g ( t δ ) , S B T ( t δ ) , I B T ( t δ ) ) + ϑ A B ( ϑ ) Γ ( ϑ ) o = 2 δ t o t o + 1 S g 1 ( τ , S v , I v , S g , I g , S B T , I B T ) τ 1 ζ ( t δ + 1 τ ) ϑ 1 d τ ,

(42) I g ( t δ + 1 ) = I g 0 + 1 ϑ A B ( ϑ ) t δ 1 ζ I g 1 ( t δ , S v ( t δ ) , I v ( t δ ) , S g ( t δ ) , I g ( t δ ) , S B T ( t δ ) , I B T ( t δ ) ) + ϑ A B ( ϑ ) Γ ( ϑ ) o = 2 δ t o t o + 1 I g 1 ( τ , S v , I v , S g , I g , S B T , I B T ) τ 1 ζ ( t δ + 1 τ ) ϑ 1 d τ ,

(43) S B T ( t δ + 1 ) = S B T 0 + 1 ϑ A B ( ϑ ) t δ 1 ζ S B T 1 ( t δ , S v ( t δ ) , I v ( t δ ) , S g ( t δ ) , I g ( t δ ) , S B T ( t δ ) , I B T ( t δ ) ) + ϑ A B ( ϑ ) Γ ( ϑ ) o = 2 δ t o t o + 1 S B T 1 ( τ , S v , I v , S g , I g , S B T , I B T ) τ 1 ζ ( t δ + 1 τ ) ϑ 1 d τ ,

(44) I B T ( t δ + 1 ) = I B T 0 + 1 ϑ A B ( ϑ ) t δ 1 ζ I B T 1 ( t δ , S v ( t δ ) , I v ( t δ ) , S g ( t δ ) , I g ( t δ ) , S B T ( t δ ) , I B T ( t δ ) ) + ϑ A B ( ϑ ) Γ ( ϑ ) o = 2 δ t o t o + 1 I B T 1 ( τ , S v , I v , S g , I g , S B T , I B T ) τ 1 ζ ( t δ + 1 τ ) ϑ 1 d τ .

Substituting the Newton polynomial into the aforementioned equations, we have

(45) S v ( t δ + 1 ) = S v 0 + 1 ϑ A B ( ϑ ) t δ 1 ζ S v 1 ( Ξ ) + ϑ A B ( ϑ ) Γ ( ϑ ) o = 2 δ S v 1 ( Ξ 3 ) t o 2 1 ζ t o t o + 1 ( t δ + 1 τ ) ϑ 1 d τ + ϑ A B ( ϑ ) Γ ( ϑ ) o = 2 δ 1 Δ t × [ t o 1 1 ζ S v 1 ( Ξ 2 ) t o 2 1 ζ S v 1 ( Ξ 3 ) ] t o t o + 1 ( τ t o 2 ) ( t δ + 1 τ ) ϑ 1 d τ + ϑ A B ( ϑ ) Γ ( ϑ ) o = 2 δ 1 2 Δ t 2 [ t o 1 ζ S v 1 ( Ξ 1 ) 2 t o 1 1 ζ S v 1 ( Ξ 2 ) + t o 2 1 η S v 1 ( Ξ 3 ) ] t o t o + 1 ( τ t o 2 ) ( τ t o 1 ) ( t δ + 1 τ ) ϑ 1 d τ ,

(46) I v ( t δ + 1 ) = I v 0 + 1 ϑ A B ( ϑ ) t δ 1 ζ I v 1 ( Ξ ) + ϑ A B ( ϑ ) Γ ( ϑ ) o = 2 δ I v 1 ( Ξ 3 ) t o 2 1 ζ t o t o + 1 ( t δ + 1 τ ) ϑ 1 d τ + ϑ A B ( ϑ ) Γ ( ϑ ) o = 2 δ 1 Δ t [ t o 1 1 ζ I v 1 ( Ξ 2 ) t o 2 1 ζ I v 1 ( Ξ 3 ) ] × t o t o + 1 ( τ t o 2 ) ( t δ + 1 τ ) ϑ 1 d τ + ϑ A B ( ϑ ) Γ ( ϑ ) o = 2 δ 1 2 Δ t 2 [ t o 1 ζ I v 1 ( Ξ 1 ) 2 t o 1 1 ζ I v 1 ( Ξ 2 ) + t o 2 1 η I v 1 ( Ξ 3 ) ] t o t o + 1 ( τ t o 2 ) ( τ t o 1 ) ( t δ + 1 τ ) ϑ 1 d τ ,

(47) S g ( t δ + 1 ) = S g 0 + 1 ϑ A B ( ϑ ) t δ 1 ζ S g 1 ( Ξ ) + ϑ A B ( ϑ ) Γ ( ϑ ) o = 2 δ S g 1 ( Ξ 3 ) t o 2 1 ζ t o t o + 1 ( t δ + 1 τ ) ϑ 1 d τ + ϑ A B ( ϑ ) Γ ( ϑ ) o = 2 δ 1 Δ t × [ t o 1 1 ζ S g 1 ( Ξ 2 ) t o 2 1 ζ S g 1 ( Ξ 3 ) ] t o t o + 1 ( τ t o 2 ) ( t δ + 1 τ ) ϑ 1 d τ + ϑ A B ( ϑ ) Γ ( ϑ ) o = 2 δ 1 2 Δ t 2 [ t o 1 ζ S g 1 ( Ξ 1 ) 2 t o 1 1 ζ S g 1 ( Ξ 2 ) + t o 2 1 η S g 1 ( Ξ 3 ) ] t o t o + 1 ( τ t o 2 ) ( τ t o 1 ) ( t δ + 1 τ ) ϑ 1 d τ ,

(48) I g ( t δ + 1 ) = I g 0 + 1 ϑ A B ( ϑ ) t δ 1 ζ I g 1 ( Ξ ) + ϑ A B ( ϑ ) Γ ( ϑ ) o = 2 δ I g 1 ( Ξ 3 ) t o 2 1 ζ t o t o + 1 ( t δ + 1 τ ) ϑ 1 d τ + ϑ A B ( ϑ ) Γ ( ϑ ) o = 2 δ 1 Δ t × [ t o 1 1 ζ I g 1 ( Ξ 2 ) t o 2 1 ζ I g 1 ( Ξ 3 ) ] t o t o + 1 ( τ t o 2 ) ( t δ + 1 τ ) ϑ 1 d τ + ϑ A B ( ϑ ) Γ ( ϑ ) o = 2 δ 1 2 Δ t 2 [ t o 1 ζ I g 1 ( Ξ 1 ) 2 t o 1 1 ζ I g 1 ( Ξ 2 ) + t o 2 1 η I g 1 ( Ξ 3 ) ] t o t o + 1 ( τ t o 2 ) ( τ t o 1 ) ( t δ + 1 τ ) ϑ 1 d τ ,

(49) S B T ( t δ + 1 ) = S B T 0 + 1 ϑ A B ( ϑ ) t δ 1 ζ S B T 1 ( Ξ ) + ϑ A B ( ϑ ) Γ ( ϑ ) o = 2 δ S B T 1 ( Ξ 3 ) t o 2 1 ζ t o t o + 1 ( t δ + 1 τ ) ϑ 1 d τ + ϑ A B ( ϑ ) Γ ( ϑ ) o = 2 δ 1 Δ t [ t o 1 1 ζ S B T 1 ( Ξ 2 ) t o 2 1 ζ S B T 1 ( Ξ 3 ) ] t o t o + 1 ( τ t o 2 ) ( t δ + 1 τ ) ϑ 1 d τ + ϑ A B ( ϑ ) Γ ( ϑ ) o = 2 δ 1 2 Δ t 2 [ t o 1 ζ S B T 1 ( Ξ 1 ) 2 t o 1 1 ζ S B T 1 ( Ξ 2 ) + t o 2 1 η S B T 1 ( Ξ 3 ) ] t o t o + 1 ( τ t o 2 ) ( τ t o 1 ) ( t δ + 1 τ ) ϑ 1 d τ ,

(50) I B T ( t δ + 1 ) = I B T 0 + 1 ϑ A B ( ϑ ) t δ 1 ζ I B T 1 ( Ξ ) + ϑ A B ( ϑ ) Γ ( ϑ ) o = 2 δ I B T 1 ( Ξ 3 ) t o 2 1 ζ t o t o + 1 ( t δ + 1 τ ) ϑ 1 d τ + ϑ A B ( ϑ ) Γ ( ϑ ) o = 2 δ 1 Δ t [ t o 1 1 ζ I B T 1 ( Ξ 2 ) t o 2 1 ζ I B T 1 ( Ξ 3 ) ] t o t o + 1 ( τ t o 2 ) ( t δ + 1 τ ) ϑ 1 d τ + ϑ A B ( ϑ ) Γ ( ϑ ) o = 2 δ 1 2 Δ t 2 [ t o 1 ζ I B T 1 ( Ξ 1 ) 2 t o 1 1 ζ I B T 1 ( Ξ 2 ) + t o 2 1 η I B T 1 ( Ξ 3 ) ] t o t o + 1 ( τ t o 2 ) ( τ t o 1 ) ( t δ + 1 τ ) ϑ 1 d τ .

After some calculations, we obtain finally (Figure 1)

(51) S v ( t δ + 1 ) = 1 ϑ A B ( ϑ ) t δ 1 ζ S v 1 ( Ξ ) + ϑ ( Δ t ) ϑ A B ( ϑ ) Γ ( ϑ + 1 ) o = 2 δ S v 1 ( Ξ 3 ) t o 2 1 ζ × ϒ + ϑ ( Δ t ) ϑ A B ( ϑ ) Γ ( ϑ + 2 ) o = 2 δ 1 Δ t × [ t o 1 1 ζ S v 1 ( Ξ 2 ) t o 2 1 ζ S v 1 ( Ξ 3 ) ] × Φ + ϑ ( Δ t ) ϑ 2 A B ( ϑ ) Γ ( ϑ + 3 ) o = 2 δ 1 2 Δ t 2 [ t o 1 ζ S v 1 ( Ξ 1 ) 2 t o 1 1 ζ S v 1 ( Ξ 2 ) + t o 2 1 η S v 1 ( Ξ 3 ) ] × Ψ ,

(52) I v ( t δ + 1 ) = 1 ϑ A B ( ϑ ) t δ 1 ζ I v 1 ( Ξ ) + ϑ ( Δ t ) ϑ A B ( ϑ ) Γ ( ϑ + 1 ) o = 2 δ I v 1 ( Ξ 3 ) t o 2 1 ζ × ϒ + ϑ ( Δ t ) ϑ A B ( ϑ ) Γ ( ϑ + 2 ) o = 2 δ 1 Δ t × [ t o 1 1 ζ I v 1 ( Ξ 2 ) t o 2 1 ζ I v 1 ( Ξ 3 ) ] × Φ + ϑ ( Δ t ) ϑ 2 A B ( ϑ ) Γ ( ϑ + 3 ) o = 2 δ 1 2 Δ t 2 [ t o 1 ζ I v 1 ( Ξ 1 ) 2 t o 1 1 ζ I v 1 ( Ξ 2 ) + t o 2 1 η I v 1 ( Ξ 3 ) ] × Ψ ,

(53) S g ( t δ + 1 ) = 1 ϑ A B ( ϑ ) t δ 1 ζ S g 1 ( Ξ ) + ϑ ( Δ t ) ϑ A B ( ϑ ) Γ ( ϑ + 1 ) o = 2 δ S g 1 ( Ξ 3 ) t o 2 1 ζ × ϒ + ϑ ( Δ t ) ϑ A B ( ϑ ) Γ ( ϑ + 2 ) o = 2 δ 1 Δ t × [ t o 1 1 ζ S g 1 ( Ξ 2 ) t o 2 1 ζ S g 1 ( Ξ 3 ) ] × Φ + ϑ ( Δ t ) ϑ 2 A B ( ϑ ) Γ ( ϑ + 3 ) o = 2 δ 1 2 Δ t 2 [ t o 1 ζ S g 1 ( Ξ 1 ) 2 t o 1 1 ζ S g 1 ( Ξ 2 ) + t o 2 1 η S g 1 ( Ξ 3 ) ] × Ψ ,

(54) I g ( t δ + 1 ) = 1 ϑ A B ( ϑ ) t δ 1 ζ I g 1 ( Ξ ) + ϑ ( Δ t ) ϑ A B ( ϑ ) Γ ( ϑ + 1 ) o = 2 δ I g 1 ( Ξ 3 ) t o 2 1 ζ × ϒ + ϑ ( Δ t ) ϑ A B ( ϑ ) Γ ( ϑ + 2 ) o = 2 δ 1 Δ t × [ t o 1 1 ζ I g 1 ( Ξ 2 ) t o 2 1 ζ I g 1 ( Ξ 3 ) ] × Φ + ϑ ( Δ t ) ϑ 2 A B ( ϑ ) Γ ( ϑ + 3 ) o = 2 δ 1 2 Δ t 2 [ t o 1 ζ I g 1 ( Ξ 1 ) 2 t o 1 1 ζ I g 1 ( Ξ 2 ) + t o 2 1 η I g 1 ( Ξ 3 ) ] × Ψ ,

(55) S B T ( t δ + 1 ) = 1 ϑ A B ( ϑ ) t δ 1 ζ S B T 1 ( Ξ ) + ( Δ t ) ϑ A B ( ϑ ) Γ ( ϑ ) o = 2 δ S B T 1 ( Ξ 3 ) t o 2 1 ζ ϒ + ϑ ( Δ t ) ϑ A B ( ϑ ) Γ ( ϑ + 2 ) o = 2 δ 1 Δ t [ t o 1 1 ζ S B T 1 ( Ξ 2 ) t o 2 1 ζ S B T 1 ( Ξ 3 ) ] Φ + ϑ ( Δ t ) ϑ 2 A B ( ϑ ) Γ ( ϑ + 3 ) o = 2 δ 1 2 Δ t 2 [ t o 1 ζ S B T 1 ( Ξ 1 ) 2 t o 1 1 ζ S B T 1 ( Ξ 2 ) + t o 2 1 η S B T 1 ( Ξ 3 ) ] Ψ ,

(56) I B T ( t δ + 1 ) = 1 ϑ A B ( ϑ ) t δ 1 ζ I B T 1 ( Ξ ) + ( Δ t ) ϑ A B ( ϑ ) Γ ( ϑ ) o = 2 δ I B T 1 ( Ξ 3 ) t o 2 1 ζ ϒ + ϑ ( Δ t ) ϑ A B ( ϑ ) Γ ( ϑ + 2 ) o = 2 δ 1 Δ t [ t o 1 1 ζ I B T 1 ( Ξ 2 ) t o 2 1 ζ I B T 1 ( Ξ 3 ) ] Φ + ϑ ( Δ t ) ϑ 2 A B ( ϑ ) Γ ( ϑ + 3 ) o = 2 δ 1 2 Δ t 2 [ t o 1 ζ I B T 1 ( Ξ 1 ) 2 t o 1 1 ζ I B T 1 ( Ξ 2 ) + t o 2 1 η I B T 1 ( Ξ 3 ) ] Ψ ,

where

(57) Ξ = ( t δ , S v ( t δ ) , I v ( t δ ) , S g ( t δ ) , I g ( t δ ) , S B T ( t δ ) , I B T ( t δ ) ) , Ξ 1 = ( t o , S v o , I v o , S g o , I g o , S B T o , I B T o ) , Ξ 2 = ( t o 1 , S v o 1 , I v o 1 , S g o 1 , I g o 1 , S B T o 1 , I B T o 1 ) , Ξ 3 = ( t o 2 , S v o 2 , I v o 2 , S g o 2 , I g o 2 , S B T o 2 , I B T o 2 ) , ϒ = [ ( δ o + 1 ) ϑ ( δ o ) ϑ ] , Φ = [ ( δ o + 1 ) ϑ ( δ o + 3 + 2 ϑ ) ( δ o ) ϑ ( δ o + 3 + 3 ϑ ) ] , Ψ = [ ( δ o + 1 ) ϑ { 2 ( δ o ) 2 + ( 3 ϑ + 10 ) ( δ o ) + 2 ϑ 2 + 9 ϑ + 12 } , ( δ o ) ϑ { 2 ( δ o ) 2 + ( 5 ϑ + 10 ) ( δ o ) + 6 ϑ 2 + 18 ϑ + 12 } ] .

Figure 1 
               Bayesian algorithm.
Figure 1

Bayesian algorithm.

5 Simulation and discussion

Using a variety of parameter settings and MATLAB methodologies, this section presents a fractal-fractional numerical simulation of a red chili plant virus model that efficiently solves fractal-fractional differential equations. Using initial points and parameter values from the study of Amelia et al. [47], the model was evaluated under various scenarios to find non-linear system results.

  • Figures 2, 3, 4, 5, 6, 7 show simulation data with different values of ϑ . Figures 27 demonstrate a graphical depiction of the red chili virus model using the suggested numerical approach with various values in the order of the fraction ϑ = 0.97,0.98,0.99 . We compare the results with the fractal-fractional number sequence in integer order. Each trajectory follows a similar pattern and leads to an actual endemic equilibrium point.

  • Figures 27 depict the dynamics of the plant and vector populations for a specific value of ϑ . The convergence rates of each graph (corresponding to ϑ ) differ, but all graph objects are in a stable state. Figure 2 shows that decreasing the order ϑ leads to an increase in the sensitive population of vegetative-phase plants.

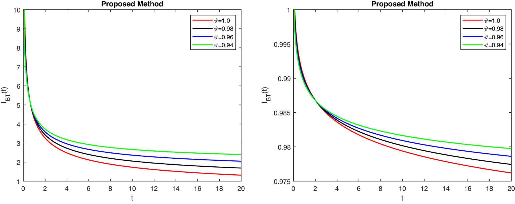
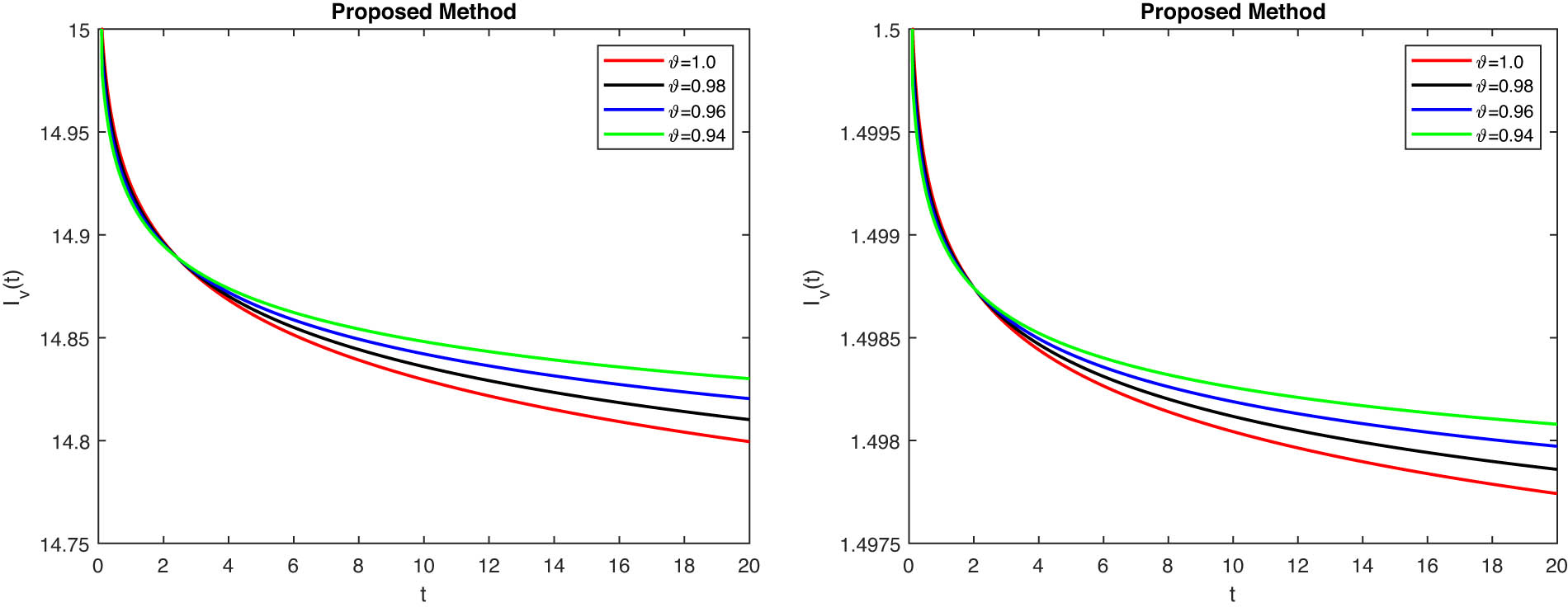
  • Figure 3 shows that when the value of fractional-order ϑ decreases, the number of infected plants in the vegetative phase increases. Figure 4 shows that as ϑ drops, so does the vulnerable population of plants during the generative phase. Figure 5 shows that the value of ϑ drops as the infected plant population increases. Figure 6 shows that the vulnerable population of insect vectors increases as ϑ declines. Figure 7 shows that the infected population of insect vectors increases as the value of ϑ declines.

  • The graphical results demonstrate how effectively the target was met and how adding terms could potentially increase efficiency. To assess the influence of the fractional-order model, observations were made using fractional parameters. After decreasing fractions, solutions achieved the required reliability and precision. When compared to typical viral dynamic transmission in plants, the results show vector influence as well as the fractional derivative’s memory effect.

  • Figures 8, 9, 10, 11, 12, 13 provide a comparison of outcomes with the power law kernel (FFP) for fractional-order values of 0.99 and 0.95. Simulations are performed on all compartments to demonstrate the efficiency and rapid convergence to the steady-state point of the suggested approaches.

  • According to the study, the memory trace appears when fractional power increases from 0 to 1 and disappears at that moment. This memory effect makes advantage of a nonlinear proliferation that begins at zero to emphasize the distinction between integer and fractional-order derivatives. This confirms the occurrence of memory effects related to fractional-order derivatives.

  • Simulations demonstrate the important system parameters’ role in eradicating this viral infection in plants.

Figure 2 
               Model (simulation of proposed 
                     
                        
                        
                           
                              
                                 S
                              
                              
                                 v
                              
                           
                           
                              (
                              
                                 t
                              
                              )
                           
                        
                        {S}_{v}\left(t)
                     
                  ) under FFM operator.
Figure 2

Model (simulation of proposed S v ( t ) ) under FFM operator.

Figure 3 
               Model (simulation of proposed 
                     
                        
                        
                           
                              
                                 I
                              
                              
                                 v
                              
                           
                           
                              (
                              
                                 t
                              
                              )
                           
                        
                        {I}_{v}\left(t)
                     
                  ) under FFM operator.
Figure 3

Model (simulation of proposed I v ( t ) ) under FFM operator.

Figure 4 
               Model (simulation of proposed 
                     
                        
                        
                           
                              
                                 S
                              
                              
                                 g
                              
                           
                           
                              (
                              
                                 t
                              
                              )
                           
                        
                        {S}_{g}\left(t)
                     
                  ) under FFM operator.
Figure 4

Model (simulation of proposed S g ( t ) ) under FFM operator.

Figure 5 
               Model (simulation of proposed 
                     
                        
                        
                           
                              
                                 I
                              
                              
                                 g
                              
                           
                           
                              (
                              
                                 t
                              
                              )
                           
                        
                        {I}_{g}\left(t)
                     
                  ) under FFM operator.
Figure 5

Model (simulation of proposed I g ( t ) ) under FFM operator.

Figure 6 
               Model (simulation of proposed 
                     
                        
                        
                           
                              
                                 S
                              
                              
                                 B
                                 T
                              
                           
                           
                              (
                              
                                 t
                              
                              )
                           
                        
                        {S}_{BT}\left(t)
                     
                  ) under FFM operator.
Figure 6

Model (simulation of proposed S B T ( t ) ) under FFM operator.

Figure 7 
               Model (simulation of proposed 
                     
                        
                        
                           
                              
                                 I
                              
                              
                                 B
                                 T
                              
                           
                           
                              (
                              
                                 t
                              
                              )
                           
                        
                        {I}_{BT}\left(t)
                     
                  ) under FFM operator.
Figure 7

Model (simulation of proposed I B T ( t ) ) under FFM operator.

Figure 8 
               Model (comparison of 
                     
                        
                        
                           
                              
                                 S
                              
                              
                                 v
                              
                           
                           
                              (
                              
                                 t
                              
                              )
                           
                        
                        {S}_{v}\left(t)
                     
                   with FFP and FFM operator) at fractional-order 0.99 and 0.95.
Figure 8

Model (comparison of S v ( t ) with FFP and FFM operator) at fractional-order 0.99 and 0.95.

Figure 9 
               Model (comparison of 
                     
                        
                        
                           
                              
                                 I
                              
                              
                                 v
                              
                           
                           
                              (
                              
                                 t
                              
                              )
                           
                        
                        {I}_{v}\left(t)
                     
                   with FFP and FFM operator) at fractional-order 0.99 and 0.95.
Figure 9

Model (comparison of I v ( t ) with FFP and FFM operator) at fractional-order 0.99 and 0.95.

Figure 10 
               Model (comparison of 
                     
                        
                        
                           
                              
                                 S
                              
                              
                                 g
                              
                           
                           
                              (
                              
                                 t
                              
                              )
                           
                        
                        {S}_{g}\left(t)
                     
                   with FFP and FFM operator) at fractional-order 0.99 and 0.95.
Figure 10

Model (comparison of S g ( t ) with FFP and FFM operator) at fractional-order 0.99 and 0.95.

Figure 11 
               Model (comparison of 
                     
                        
                        
                           
                              
                                 I
                              
                              
                                 g
                              
                           
                           
                              (
                              
                                 t
                              
                              )
                           
                        
                        {I}_{g}\left(t)
                     
                   with FFP and FFM operator) at fractional-order 0.99 and 0.95.
Figure 11

Model (comparison of I g ( t ) with FFP and FFM operator) at fractional-order 0.99 and 0.95.

Figure 12 
               Model (comparison of 
                     
                        
                        
                           
                              
                                 S
                              
                              
                                 B
                                 T
                              
                           
                           
                              (
                              
                                 t
                              
                              )
                           
                        
                        {S}_{BT}\left(t)
                     
                   with FFP and FFM operator) at fractional-order 0.99 and 0.95.
Figure 12

Model (comparison of S B T ( t ) with FFP and FFM operator) at fractional-order 0.99 and 0.95.

Figure 13 
               Model (comparison of 
                     
                        
                        
                           
                              
                                 I
                              
                              
                                 B
                                 T
                              
                           
                           
                              (
                              
                                 t
                              
                              )
                           
                        
                        {I}_{BT}\left(t)
                     
                   with FFP and FFM operator) at fractional-order 0.99 and 0.95.
Figure 13

Model (comparison of I B T ( t ) with FFP and FFM operator) at fractional-order 0.99 and 0.95.

6 Conclusion

This study looks into the economic and environmental effects of plant infections, specifically the fractional-order mathematical model of yellow virus transmission in C. annuum, which can result in lower crop yields, increased production costs, and the need for pesticide and control measures. The model was analyzed quantitatively and qualitatively to ensure bounded and positive solutions. The model’s existence and uniqueness were established by global impacts, and its local stability was assessed using Lipschitz and linear growth processes. The global stability was confirmed with the Lyapunov function. The impact of fractional operators on plant disease was investigated using a two-level Lagrange polynomial with the help of a Mittag–Leffler kernel. Numerical simulations are used to validate the model’s behavior, which facilitates the development of mitigation strategies and improves understanding of the virus’s activity. Finally, for additional assistance, all theoretical conclusions are graphically illustrated using Matlab software. Real-time transmission structure computations make the model extremely reliable. A new modification proposes a summary of scenarios containing singularities or not. In contrast to the classical model, the fractional model includes a memory effect in the epidemic model. The fractional derivative with Mittag–Leffler kernel provides a more practical approach to the full disease transmission scenario. We employed numerical modeling to forecast red chilli plants disease dynamics based on a variety of characteristics. It demonstrates that mathematical modeling offers a unique perspective on these processes. Key factors have been established for efficient infection control and treatment. The fractional derivative investigates the disease’s spread from its starting place, whereas the integer derivative studies the situation at a single spot. The study shows that comparable approaches can be used to a variety of real-world situations, with the goal of informing future research.

Acknowledgments

The authors extend their appreciation to Prince Sattam bin Abdulaziz University for funding this research work through the Project Number (PSAU/2024/01/29080).

  1. Funding information: The authors extend their appreciation to Prince Sattam bin Abdulaziz University for funding this research work through the Project Number (PSAU/2024/01/29080).

  2. Author contributions: All authors have accepted responsibility for the entire content of this manuscript and approved its submission. K.S.N.: conceptualization, methodology, Investigation, writing – review and editing, formal analysis, software, writing – original draft. F.S.A.: formal analysis; writing – review and editing, validation. M.F.: conceptualization, methodology, investigation, writing – original draft, writing – review and editing, visualization.

  3. Conflict of interest: The authors state no conflict of interest.

  4. Data availability statement: All data generated or analyzed during this study are included in this published article.

References

[1] Hartono R, Astuti HB. Farming feasibility of local varieties of red chili in the plateau of Mojorejo, Rejang Lebong, Bengkulu. Age. 2015;1(2):3. Search in Google Scholar

[2] Mariyono J. Impacts seed technology improvement on economic aspects of chilli production in Central Java Indonesia. J Ekonomi Pembangunan. 2016;17(1):1–14. 10.23917/jep.v17i1.1453Search in Google Scholar

[3] Kumar P, Baleanu D, Erturk VS, Inc M, Govindaraj V. A delayed plant disease model with Caputo fractional derivatives. Adv Contin Discrete Models. 2022;2022(1):11. 10.1186/s13662-022-03684-xSearch in Google Scholar PubMed PubMed Central

[4] Khan FA, Mahmood T, Ali M, Saeed A, Maalik A. Pharmacological importance of an ethnobotanical plant: Capsicum annuum L. Nat Prod Res. 2014;28(16):1267–74. 10.1080/14786419.2014.895723Search in Google Scholar PubMed

[5] Soesanto L, Prastyani N, Utami DS, Manan A. Application of raw secondary metabolites from four entomopathogenic fungi against chilli disease caused by viruses. J Hama Penyakit Tumbuhan Trop. 2020;20(2):100–7. 10.23960/j.hptt.220100-107Search in Google Scholar

[6] Hidayat Y, Fauziaty MR, Dono D. The effectiveness of vegetable oil formulations in reducing oviposition of Bactrocera dorsalis Hendel (Diptera: Tephritidae) in large red chili fruits. Indones J Entomol. 2018;15:93–100. 10.5994/jei.15.2.87Search in Google Scholar

[7] Hidayat Y, Ferera RF, Ramadhan AF, Kurniawan W, Yulia E, Rasiska S, Combination of edible vegetable oil and artificial fruit to reduce Bactrocera dorsalis oviposition in chilli fruits. J Appl Entomol. 2019;143(1–2):69–76. 10.1111/jen.12575Search in Google Scholar

[8] Hannum S. Begomovirus detection on diseased chili plant (Capsicum annum L.) in Tanah Karo North Sumatera with PCR techniques. IOP Conf Ser Earth Environ Sci. 2019 Jul;305(1):012057. 10.1088/1755-1315/305/1/012057Search in Google Scholar

[9] de MCatarino A, Sousa TF, de Lima EJ, Zerbini FM, Sande OF, Nascimento MB, et al. Molecular detection of Euphorbia yellow mosaic virus infecting chili pepper. Trop Plant Pathol. 2020;45:454–60. 10.1007/s40858-020-00365-6Search in Google Scholar

[10] Rakhmad R, Rahayu SE, Prayogo Y. Efficacy of entomopathogenic fungi Verticillium (= Lecanicillium) lecanii Zimm. (Hypocreales: Clavicipitaceae) toward controlling Bemisia tabaci Genn (Hemiptera: Aleyrodidae) on soybean. KnE Life Sci. 2015;2:410–4. 10.18502/kls.v2i1.184Search in Google Scholar

[11] Amelia R, Anggriani N, Istifadah N, Supriatna AK. Dynamic analysis of mathematical model of the spread of yellow virus in red chili plants through insect vectors with logistical functions. AIP Conf Proc. 2020 Sep;2264(1):040006-1-10. 10.1063/5.0023572Search in Google Scholar

[12] Al Basir F, Takeuchi Y, Ray S. Dynamics of a delayed plant disease model with Beddington-DeAngelis disease transmission. Math Biosci Eng. 2021;18:583–99. 10.3934/mbe.2021032Search in Google Scholar PubMed

[13] Sajjad A, Farman M, Hasan A, Nisar KS. Transmission dynamics of fractional-order yellow virus in red chili plants with the Caputo-Fabrizio operator. Math Comput Simul. 2023;207:347–68. 10.1016/j.matcom.2023.01.004Search in Google Scholar

[14] Amelia R, Anggriani N, Supriatna AK. Optimal control model of Verticillium lecanii application in the spread of yellow red chili virus. WSEAS Trans Math. 2019;18:351–8. Search in Google Scholar

[15] Cai L, Li X. Analysis of a simple vector-host epidemic model with direct transmission. Discret Dyn Nat Soc. 2010;2010:Article ID 123456. 10.1155/2010/679613Search in Google Scholar

[16] Ozair M, Hussain T. Analysis of vector-host model with latent stage having partial immunity. Appl Math Sci. 2014;8(32):1569–84. 10.12988/ams.2014.4110Search in Google Scholar

[17] Sneha P, Jain S, Khandewal R, Ujjainkar G. Modelling and analysis of a vector-host epidemic model with saturated incidence rate under treatment. Int J Appl Math Stat Sci. 2015;4:1–16. Search in Google Scholar

[18] Shi R, Zhao H, Tang S. Global dynamic analysis of a vector-borne plant disease model. Adv Differ Equ. 2014;2014:1–16. 10.1186/1687-1847-2014-59Search in Google Scholar

[19] Khekare S, Janardhan S. Stability analysis of a vector-borne disease model with nonlinear and bilinear incidences. Indian J Sci Technol. 2015;8(13):1–6. 10.17485/ijst/2015/v8i13/58749Search in Google Scholar

[20] Anggriani N, Ndii MZ, Arumi D, Istifadah N, Supriatna AK. Mathematical model for plant disease dynamics with curative and preventive treatments. In: AIP Conf Proc. 2018 Nov;2043(1):020016. 10.1063/1.5080035Search in Google Scholar

[21] Anggriani N, Istifadah N, Hanifah M, Supriatna AK. A mathematical model of protectant and curative fungicide application and its stability analysis. IOP Conf Ser Earth Environ Sci. 2016;31(1):012014. 10.1088/1755-1315/31/1/012014Search in Google Scholar

[22] Anggriani N, Yusuf M, Supriatna AK. The effect of insecticide on the vector of rice Tungro disease: Insight from a mathematical model. Information (Tokyo). 2017;20(9A):6197–206. Search in Google Scholar

[23] Wang X, Chen Y, Liu S. Global dynamics of a vector-borne disease model with infection ages and general incidence rates. Comput Appl Math. 2018;37:4055–80. 10.1007/s40314-017-0560-8Search in Google Scholar

[24] Anggriani N, Mardiyah M, Istifadah N, Supriatna AK. Optimal control issues in plant disease with host demographic factor and botanical fungicides. IOP Conf Ser Mater Sci Eng. 2018 Mar;332(1):012036. 10.1088/1757-899X/332/1/012036Search in Google Scholar

[25] Amelia R, Mardiyah M, Nahar J, Anggriani N, Supriatna AK. Optimal control for the use of botanical fungicides in the spread of plant diseases. Phys Conf Ser. 2019 Oct;1315(1):012054. 10.1088/1742-6596/1315/1/012054Search in Google Scholar

[26] Sam On MFS, Mustafa S, Yusof MT, Hashim AM, Aizuddin KNAK. Exploring the global trends of Bacillus, Trichoderma and entomopathogenic fungi for pathogen and pest control in chili cultivation. Saudi J Biol Sci. 2024;31(8):104046. 10.1016/j.sjbs.2024.104046Search in Google Scholar PubMed PubMed Central

[27] Delai C, Muhae Ud Din G, Abid R, Tian T, Liu R, Xiong Y, et al. A comprehensive review of integrated management strategies for damping off disease in chili. Front Microbiol. 2024;15:1479957. 10.3389/fmicb.2024.1479957Search in Google Scholar PubMed PubMed Central

[28] Arpaci BB, Bozbuga R, Guler PG, Ates SY, Yildiz HN, Kara PA. Molecular, genetic, and morphological interactions of viruses, viroids, bacteria, insects, and nematodes on pepper. In: Pepper Virome. Amsterdam, Netherlands: Academic Press; 2024. p. 335–70. 10.1016/B978-0-443-15576-5.00001-0Search in Google Scholar

[29] Wu J, Zhang Y, Li F, Zhang X, Ye J, Wei T, et al. Plant virology in the 21st century in China: recent advances and future directions. J Integr Plant Biol. 2024;66(3):579–622. 10.1111/jipb.13580Search in Google Scholar PubMed

[30] Shingote PR, Wasule DL, Parma VS, Holkar SK, Karkute SG, Parlawar ND, et al. An overview of chili leaf curl disease: Molecular mechanisms, impact, challenges, and disease management strategies in Indian subcontinent. Front Microbiol. 2022;13:899512. 10.3389/fmicb.2022.899512Search in Google Scholar PubMed PubMed Central

[31] Zheng Z, Xu H, Zhang K, Feng G, Zhang Q, Zhao Y. Intermittent disturbance mechanical behavior and fractional deterioration mechanical model of rock under complex true triaxial stress paths. Int J Min Sci Technol. 2024;34(1):117–36. 10.1016/j.ijmst.2023.11.007Search in Google Scholar

[32] Singh J, Agrawal R, Nisar KS. A new forecasting behavior of fractional model of atmospheric dynamics of carbon dioxide gas. Partial Differ Equ Appl Math. 2024;9:100595. 10.1016/j.padiff.2023.100595Search in Google Scholar

[33] Farman M, Gokbulut N, Hurdoganoglu U, Hincal E, Suer K. Fractional order model of MRSA bacterial infection with real data fitting: computational analysis and modeling. Comput Biol Med. 2024;173:108367. 10.1016/j.compbiomed.2024.108367Search in Google Scholar PubMed

[34] Nisar KS, Farman M, Batool M, Xu C. Mathematical analysis and modeling of fractional-order human brain information dynamics including the major effect on sensory memory. Cogent Eng. 2024;11(1):2301161. 10.1080/23311916.2023.2301161Search in Google Scholar

[35] Arshad M, Aldosary SF, Batool S, Hussain I, Hussain N. Exploring fractional-order new coupled Korteweg-de Vries system via improved Adomian decomposition method. PLoS One. 2024;19(5):e0303426. 10.1371/journal.pone.0303426Search in Google Scholar PubMed PubMed Central

[36] Arshad M, Lu D, Wang J. (N+1) dimensional fractional reduced differential transform method for fractional-order partial differential equations. Commun Nonlinear Sci Numer Simul. 2017;48:509–19. 10.1016/j.cnsns.2017.01.018Search in Google Scholar

[37] Rashid S, Sultana S, Karaca Y, Khalid A, Chu YM. Some further extensions considering discrete proportional fractional operators. Fractals. 2022;30(1):2240026. 10.1142/S0218348X22400266Search in Google Scholar

[38] He ZY, Abbes A, Jahanshahi H, Alotaibi ND, Wang Y. Fractional-order discrete time SIR epidemic model with vaccination: chaos and complexity. Mathematics. 2022;10(2):165. 10.3390/math10020165Search in Google Scholar

[39] Atangana A. Fractal fractional differentiation and integration: connecting fractal calculus and fractional calculus to predict complex system. Chaos Solitons Fractals. 2017;102:396–406. 10.1016/j.chaos.2017.04.027Search in Google Scholar

[40] Singh R, Mishra J, Gupta VK. Dynamical analysis of a tumor growth model under the effect of fractal fractional Caputo Fabrizio derivative. Int J Math Comput Eng. 2023;1(1):115–26. 10.2478/ijmce-2023-0009Search in Google Scholar

[41] Farman M, Jamil S, Nisar KS, Akgul A. Mathematical study of fractal fractional leptospirosis disease in human and rodent populations dynamical transmission. Ain Shams Eng J. 2024;15(3):102452. 10.1016/j.asej.2023.102452Search in Google Scholar

[42] Khan ZA, Shah K, Abdalla B, Abdeljawad T. A numerical study of complex dynamics of a chemostat model under fractal fractional derivative. Fractals. 2023;31(8):2340181. 10.1142/S0218348X23401813Search in Google Scholar

[43] Naik PA, Farman M, Zehra A, Nisar KS, Hincal E. Analysis and modeling with fractal fractional operator for an epidemic model with reference to COVID 19 modeling. Partial Differ Equ Appl Math. 2024;10:100663. 10.1016/j.padiff.2024.100663Search in Google Scholar

[44] Addai E, Adeniji A, Peter OJ, Agbaje JO, Oshinubi K. Dynamics of age structure smoking models with government intervention coverage under fractal fractional-order derivatives. Fractal Fract. 2023;7(5):370. 10.3390/fractalfract7050370Search in Google Scholar

[45] Nwajeri UK, Asamoah JKK, Ugochukwu NR, Omame A, Jin Z. A mathematical model of corruption dynamics endowed with fractal fractional derivative. Results Phys. 2023;52:106894. 10.1016/j.rinp.2023.106894Search in Google Scholar

[46] Farman M, Shehzad A, Akgul A, Hincal E, Baleanu D, El Din SM. A fractal fractional sex structured syphilis model with three stages of infection and loss of immunity with analysis and modeling. Results Phys. 2023;54:107098. 10.1016/j.rinp.2023.107098Search in Google Scholar

[47] Amelia R, Anggriani N, Istifadah N, Supriatna AK. Stability analysis for yellow virus disease mathematical model of red chili plants. J Phys Conf Ser. 2021;1722(1):012043. 10.1088/1742-6596/1722/1/012043Search in Google Scholar

[48] Abdoon MA, Hasan FL. Advantages of the differential equations for solving problems in mathematical physics with symbolic computation. Math Model Eng Probl. 2022;9(1);268–76. 10.18280/mmep.090133Search in Google Scholar

[49] Atangana A, Baleanu D. New fractional derivatives with nonlocal and non singular kernel: theory and application to heat transfer model. 2016. arXiv: http://arXiv.org/abs/arXiv:1602.03408. 10.2298/TSCI160111018ASearch in Google Scholar

[50] Atangana A. Modelling the spread of COVID 19 with new fractal fractional operators: can the lockdown save mankind before vaccination? Chaos Solitons Fractals. 2020;136:109860. 10.1016/j.chaos.2020.109860Search in Google Scholar PubMed PubMed Central

Received: 2024-09-03
Revised: 2025-03-18
Accepted: 2025-07-29
Published Online: 2025-09-24

© 2025 the author(s), published by De Gruyter

This work is licensed under the Creative Commons Attribution 4.0 International License.

Articles in the same Issue

  1. Research Articles
  2. Generalized (ψ,φ)-contraction to investigate Volterra integral inclusions and fractal fractional PDEs in super-metric space with numerical experiments
  3. Solitons in ultrasound imaging: Exploring applications and enhancements via the Westervelt equation
  4. Stochastic improved Simpson for solving nonlinear fractional-order systems using product integration rules
  5. Exploring dynamical features like bifurcation assessment, sensitivity visualization, and solitary wave solutions of the integrable Akbota equation
  6. Research on surface defect detection method and optimization of paper-plastic composite bag based on improved combined segmentation algorithm
  7. Impact the sulphur content in Iraqi crude oil on the mechanical properties and corrosion behaviour of carbon steel in various types of API 5L pipelines and ASTM 106 grade B
  8. Unravelling quiescent optical solitons: An exploration of the complex Ginzburg–Landau equation with nonlinear chromatic dispersion and self-phase modulation
  9. Perturbation-iteration approach for fractional-order logistic differential equations
  10. Variational formulations for the Euler and Navier–Stokes systems in fluid mechanics and related models
  11. Rotor response to unbalanced load and system performance considering variable bearing profile
  12. DeepFowl: Disease prediction from chicken excreta images using deep learning
  13. Channel flow of Ellis fluid due to cilia motion
  14. A case study of fractional-order varicella virus model to nonlinear dynamics strategy for control and prevalence
  15. Multi-point estimation weldment recognition and estimation of pose with data-driven robotics design
  16. Analysis of Hall current and nonuniform heating effects on magneto-convection between vertically aligned plates under the influence of electric and magnetic fields
  17. A comparative study on residual power series method and differential transform method through the time-fractional telegraph equation
  18. Insights from the nonlinear Schrödinger–Hirota equation with chromatic dispersion: Dynamics in fiber–optic communication
  19. Mathematical analysis of Jeffrey ferrofluid on stretching surface with the Darcy–Forchheimer model
  20. Exploring the interaction between lump, stripe and double-stripe, and periodic wave solutions of the Konopelchenko–Dubrovsky–Kaup–Kupershmidt system
  21. Computational investigation of tuberculosis and HIV/AIDS co-infection in fuzzy environment
  22. Signature verification by geometry and image processing
  23. Theoretical and numerical approach for quantifying sensitivity to system parameters of nonlinear systems
  24. Chaotic behaviors, stability, and solitary wave propagations of M-fractional LWE equation in magneto-electro-elastic circular rod
  25. Dynamic analysis and optimization of syphilis spread: Simulations, integrating treatment and public health interventions
  26. Visco-thermoelastic rectangular plate under uniform loading: A study of deflection
  27. Threshold dynamics and optimal control of an epidemiological smoking model
  28. Numerical computational model for an unsteady hybrid nanofluid flow in a porous medium past an MHD rotating sheet
  29. Regression prediction model of fabric brightness based on light and shadow reconstruction of layered images
  30. Dynamics and prevention of gemini virus infection in red chili crops studied with generalized fractional operator: Analysis and modeling
  31. Qualitative analysis on existence and stability of nonlinear fractional dynamic equations on time scales
  32. Fractional-order super-twisting sliding mode active disturbance rejection control for electro-hydraulic position servo systems
  33. Analytical exploration and parametric insights into optical solitons in magneto-optic waveguides: Advances in nonlinear dynamics for applied sciences
  34. Bifurcation dynamics and optical soliton structures in the nonlinear Schrödinger–Bopp–Podolsky system
  35. User profiling in university libraries by combining multi-perspective clustering algorithm and reader behavior analysis
  36. Exploring bifurcation and chaos control in a discrete-time Lotka–Volterra model framework for COVID-19 modeling
  37. Review Article
  38. Haar wavelet collocation method for existence and numerical solutions of fourth-order integro-differential equations with bounded coefficients
  39. Special Issue: Nonlinear Analysis and Design of Communication Networks for IoT Applications - Part II
  40. Silicon-based all-optical wavelength converter for on-chip optical interconnection
  41. Research on a path-tracking control system of unmanned rollers based on an optimization algorithm and real-time feedback
  42. Analysis of the sports action recognition model based on the LSTM recurrent neural network
  43. Industrial robot trajectory error compensation based on enhanced transfer convolutional neural networks
  44. Research on IoT network performance prediction model of power grid warehouse based on nonlinear GA-BP neural network
  45. Interactive recommendation of social network communication between cities based on GNN and user preferences
  46. Application of improved P-BEM in time varying channel prediction in 5G high-speed mobile communication system
  47. Construction of a BIM smart building collaborative design model combining the Internet of Things
  48. Optimizing malicious website prediction: An advanced XGBoost-based machine learning model
  49. Economic operation analysis of the power grid combining communication network and distributed optimization algorithm
  50. Sports video temporal action detection technology based on an improved MSST algorithm
  51. Internet of things data security and privacy protection based on improved federated learning
  52. Enterprise power emission reduction technology based on the LSTM–SVM model
  53. Construction of multi-style face models based on artistic image generation algorithms
  54. Research and application of interactive digital twin monitoring system for photovoltaic power station based on global perception
  55. Special Issue: Decision and Control in Nonlinear Systems - Part II
  56. Animation video frame prediction based on ConvGRU fine-grained synthesis flow
  57. Application of GGNN inference propagation model for martial art intensity evaluation
  58. Benefit evaluation of building energy-saving renovation projects based on BWM weighting method
  59. Deep neural network application in real-time economic dispatch and frequency control of microgrids
  60. Real-time force/position control of soft growing robots: A data-driven model predictive approach
  61. Mechanical product design and manufacturing system based on CNN and server optimization algorithm
  62. Application of finite element analysis in the formal analysis of ancient architectural plaque section
  63. Research on territorial spatial planning based on data mining and geographic information visualization
  64. Fault diagnosis of agricultural sprinkler irrigation machinery equipment based on machine vision
  65. Closure technology of large span steel truss arch bridge with temporarily fixed edge supports
  66. Intelligent accounting question-answering robot based on a large language model and knowledge graph
  67. Analysis of manufacturing and retailer blockchain decision based on resource recyclability
  68. Flexible manufacturing workshop mechanical processing and product scheduling algorithm based on MES
  69. Exploration of indoor environment perception and design model based on virtual reality technology
  70. Tennis automatic ball-picking robot based on image object detection and positioning technology
  71. A new CNN deep learning model for computer-intelligent color matching
  72. Design of AR-based general computer technology experiment demonstration platform
  73. Indoor environment monitoring method based on the fusion of audio recognition and video patrol features
  74. Health condition prediction method of the computer numerical control machine tool parts by ensembling digital twins and improved LSTM networks
  75. Establishment of a green degree evaluation model for wall materials based on lifecycle
  76. Quantitative evaluation of college music teaching pronunciation based on nonlinear feature extraction
  77. Multi-index nonlinear robust virtual synchronous generator control method for microgrid inverters
  78. Manufacturing engineering production line scheduling management technology integrating availability constraints and heuristic rules
  79. Analysis of digital intelligent financial audit system based on improved BiLSTM neural network
  80. Attention community discovery model applied to complex network information analysis
  81. A neural collaborative filtering recommendation algorithm based on attention mechanism and contrastive learning
  82. Rehabilitation training method for motor dysfunction based on video stream matching
  83. Research on façade design for cold-region buildings based on artificial neural networks and parametric modeling techniques
  84. Intelligent implementation of muscle strain identification algorithm in Mi health exercise induced waist muscle strain
  85. Optimization design of urban rainwater and flood drainage system based on SWMM
  86. Improved GA for construction progress and cost management in construction projects
  87. Evaluation and prediction of SVM parameters in engineering cost based on random forest hybrid optimization
  88. Museum intelligent warning system based on wireless data module
  89. Optimization design and research of mechatronics based on torque motor control algorithm
  90. Special Issue: Nonlinear Engineering’s significance in Materials Science
  91. Experimental research on the degradation of chemical industrial wastewater by combined hydrodynamic cavitation based on nonlinear dynamic model
  92. Study on low-cycle fatigue life of nickel-based superalloy GH4586 at various temperatures
  93. Some results of solutions to neutral stochastic functional operator-differential equations
  94. Ultrasonic cavitation did not occur in high-pressure CO2 liquid
  95. Research on the performance of a novel type of cemented filler material for coal mine opening and filling
  96. Testing of recycled fine aggregate concrete’s mechanical properties using recycled fine aggregate concrete and research on technology for highway construction
  97. A modified fuzzy TOPSIS approach for the condition assessment of existing bridges
  98. Nonlinear structural and vibration analysis of straddle monorail pantograph under random excitations
  99. Achieving high efficiency and stability in blue OLEDs: Role of wide-gap hosts and emitter interactions
  100. Construction of teaching quality evaluation model of online dance teaching course based on improved PSO-BPNN
  101. Enhanced electrical conductivity and electromagnetic shielding properties of multi-component polymer/graphite nanocomposites prepared by solid-state shear milling
  102. Optimization of thermal characteristics of buried composite phase-change energy storage walls based on nonlinear engineering methods
  103. A higher-performance big data-based movie recommendation system
  104. Nonlinear impact of minimum wage on labor employment in China
  105. Nonlinear comprehensive evaluation method based on information entropy and discrimination optimization
  106. Application of numerical calculation methods in stability analysis of pile foundation under complex foundation conditions
  107. Research on the contribution of shale gas development and utilization in Sichuan Province to carbon peak based on the PSA process
  108. Characteristics of tight oil reservoirs and their impact on seepage flow from a nonlinear engineering perspective
  109. Nonlinear deformation decomposition and mode identification of plane structures via orthogonal theory
  110. Numerical simulation of damage mechanism in rock with cracks impacted by self-excited pulsed jet based on SPH-FEM coupling method: The perspective of nonlinear engineering and materials science
  111. Cross-scale modeling and collaborative optimization of ethanol-catalyzed coupling to produce C4 olefins: Nonlinear modeling and collaborative optimization strategies
  112. Unequal width T-node stress concentration factor analysis of stiffened rectangular steel pipe concrete
  113. Special Issue: Advances in Nonlinear Dynamics and Control
  114. Development of a cognitive blood glucose–insulin control strategy design for a nonlinear diabetic patient model
  115. Big data-based optimized model of building design in the context of rural revitalization
  116. Multi-UAV assisted air-to-ground data collection for ground sensors with unknown positions
  117. Design of urban and rural elderly care public areas integrating person-environment fit theory
  118. Application of lossless signal transmission technology in piano timbre recognition
  119. Application of improved GA in optimizing rural tourism routes
  120. Architectural animation generation system based on AL-GAN algorithm
  121. Advanced sentiment analysis in online shopping: Implementing LSTM models analyzing E-commerce user sentiments
  122. Intelligent recommendation algorithm for piano tracks based on the CNN model
  123. Visualization of large-scale user association feature data based on a nonlinear dimensionality reduction method
  124. Low-carbon economic optimization of microgrid clusters based on an energy interaction operation strategy
  125. Optimization effect of video data extraction and search based on Faster-RCNN hybrid model on intelligent information systems
  126. Construction of image segmentation system combining TC and swarm intelligence algorithm
  127. Particle swarm optimization and fuzzy C-means clustering algorithm for the adhesive layer defect detection
  128. Optimization of student learning status by instructional intervention decision-making techniques incorporating reinforcement learning
  129. Fuzzy model-based stabilization control and state estimation of nonlinear systems
  130. Optimization of distribution network scheduling based on BA and photovoltaic uncertainty
  131. Tai Chi movement segmentation and recognition on the grounds of multi-sensor data fusion and the DBSCAN algorithm
  132. Special Issue: Dynamic Engineering and Control Methods for the Nonlinear Systems - Part III
  133. Generalized numerical RKM method for solving sixth-order fractional partial differential equations
Downloaded on 30.12.2025 from https://www.degruyterbrill.com/document/doi/10.1515/nleng-2025-0171/html
Scroll to top button