Home Technology Generalized (ψ,φ)-contraction to investigate Volterra integral inclusions and fractal fractional PDEs in super-metric space with numerical experiments
Article Open Access

Generalized (ψ,φ)-contraction to investigate Volterra integral inclusions and fractal fractional PDEs in super-metric space with numerical experiments

  • Syed Khayyam Shah , Muhammad Sarwar EMAIL logo , Manel Hleili , Mohammad Esmael Samei and Thabet Abdeljawad EMAIL logo
Published/Copyright: February 10, 2025
Become an author with De Gruyter Brill

Abstract

This article demonstrates the behavior of generalized ( ψ , φ )-type contraction mappings involving expressions of rational-type in the context of super-metric spaces. In this direction, we obtained unique and common fixed point results for a pair of mappings. The obtained results are then utilized to establish some corollaries. Moreover, numerical examples and applications related to the system of integral inclusions and fractal fractional partial differential equations have been presented to validate the established results. The central objective of this research is to provide a more comprehensive framework for generalizing classical results in the context of super-metric space.

MSC 2010: 34A08; 34A12; 34B15

1 Introduction

Integral inclusions and fractal fractional differential equations ( FDE s) have attracted the attention of researchers due to their utilization in many scientific fields. These mathematical structures are particularly significant because they allow for modeling complex phenomena that cannot be precisely described using classical differential equations. Integral inclusions benefit mathematical models, making them valid for systems with unknown or changing parameters, notably in control theory and optimization problems. FDE s, conversely, provide a framework to delineate the phenomena that exhibit anomalous diffusion or fractal characteristics commonly seen in disciplines like physics, biology, and finance. These mathematical constructs help analyze and describe mathematical dynamic systems in physics, engineering, biology, economics, etc. [17].

Integral inclusions help model dynamic systems properly because they can effectively describe the reasoning behind the processes. Particularly, integral inclusions of Volterra type

(1) ϶ ( x ) 0 x ( x , u ) ( u , ϶ ( u ) ) d u + ζ ( x ) , x J [ 0 , λ ] , ζ C ( J ) ,

with non-empty compact values multivalued C ( J × R ) , ϶ ( x , ϶ ) is lower semi-continuous for almost every x J , ( x , u ) is measurable on [ 0 , x ] , for each x J , are widely applicable in many disciplines notably in modeling physical system, population dynamics, image processing, economics and finance, chemical and biomedical engineering [8,9].

Conversely, the introduction of the concept of fractal geometry into the equation of fractal fractional partial DE s ( FPDE s) provides a natural extension of the traditional FPDE s. This modification shows significant benefits in describing complex systems that exhibit irregular geometries and multi-scale capabilities [1013]. Many processes are part of these systems. For example, flow through porous stuff, turbulent flow, and diffusion in varied environments. Fractal FPDE s provide a more comprehensive representation of natural systems’ intricate geometry and scale invariance

(2) D ϶ 0 FF y ( υ , ϶ ) = F ( υ , ϶ , y ( υ , ϶ ) ) , 0 < < 1 , y ( υ , 0 ) = 0 ,

where ( υ , ϶ ) J × [ 0 , £ ] , y ( υ , ϶ ) C ( V , R ) , V = J × [ 0 , £ ] , F is a continuous function and non-linear, i.e. F ( 0 , 0 , y ( 0 , 0 ) ) = 0 . Equations of this nature effectively represent the complex details and unchanging patterns in natural and artificial systems [1418].

Fixed point theory (FPT) serves as a powerful tool in studying integral inclusions and fractal FPDE s. Solutions’ stability, uniqueness, and existence can be investigated using the theory of fixed points (FPs). The existence of FPs indicates links between integral inclusion/ PDE dynamics and the associated operators. The established FP results provided conditions that ensured distinct solutions. This link enables researchers to demonstrate the behavior of complex models such as integral inclusions and fractal FPDE s. Examining many diverse areas becomes trivial by combining integral inclusions, fractal FPDE s, and FPT. Multiple disciplines progressed because of this link. This is because they can shape flexible mathematical systems. These frameworks help us picture and comprehend intricate phenomena.

Furthermore, the concept of contraction has been expanded in several ways with regard to the domain of space. Karapinar and Khojasteh recently presented a new method to expand the metric structure, known as the super-metric space ( S -M-S) [19]. The study of S -M-S has garnered considerable attention in the disciplines of nonlinear analysis and FPT. In [20], Karapinar and Fulga presented a substantial foundation for investigating different contraction mappings and their corresponding characteristics. Similarly, Gourh et al. [21] discussed FP results via interpolation and rational contractions in the framework of super-metric spaces. In situations when ordinary metric spaces may not represent appropriate, S -M-Ss provide a valuable option due to their inherent flexibility.

This article presents the characteristics of generalized ( ψ , φ ) -type contractions in the context of S -M-S. These conceptual frameworks present novel opportunities for investigating the characteristics of mappings in S -M-Ss and offer a more comprehensive structure for generalizing classical results. The findings of this study hold substantial potential for future scholars in the fields of FPTs and nonlinear analysis. The results obtained from this research will significantly contribute to our understanding of the dynamics of mappings within versatile contexts.

2 Preliminaries

In 1969, Wong and Boyd [22] introduced a novel category of contractive mappings referred to as φ -contraction, which serves as a generalization of the Banach contraction principle. Moreover, the idea of weak φ -contraction was introduced by Alber and Guerre-Delabriere [23] in 1997, extending its application to Hilbert spaces. Nevertheless, Rhoades [24] has demonstrated that the findings of Alber and Guerre-Delabriere [23] remain applicable in entire metric spaces (M-S), as indicated below.

Theorem 2.1

[24] Consider a complete metric space ( X , d m ) , represent a mapping T : X X and a non-decreasing, continuous function φ : [ 0 , ) [ 0 , ) with φ ( 0 ) = 0 and φ ( x ) > 0 for every x > 0 . Then, T ensures a unique, FP, whenever

(3) d m ( T x , T y ) d m ( x , y ) φ ( d m ( x , y ) ) , x , y X .

Furthermore, Dutta and Choudhary [25] established the generalization of Theorem 2.1 as below.

Theorem 2.2

[25] Consider a complete M-S ( X , d m ) and a represent mapping T : X X , a monotonic, non-decreasing, continuous function ψ : [ 0 , ) [ 0 , ) with ψ ( x ) = 0 iff x = 0 and a lower semi-continuous function φ : [ 0 , ) [ 0 , ) s.t φ ( x ) = 0 iff x = 0 . Then, T possesses a unique, FP, whenever

(4) ψ ( d m ( T x , T y ) ) ψ ( d m ( x , y ) ) φ ( d m ( x , y ) ) , x , y X .

Moreover, in 2009, Zhang and Song [26] obtained the below generalization of Theorem 2.1.

Theorem 2.3

[26] Suppose ( X , d m ) represent a complete M-S and suppose T , S : X X represent two mappings. Let

(5) d m ( T x , S y ) M ( T x , S y ) φ ( M ( T x , S y ) ) , x , y X ,

whereas Theorem 2.2defines φ and

(6) M ( x , y ) = max { d m ( x , y ) , d m ( x , T x ) , d m ( y , S y ) , d m ( y , T x ) + d m ( x , S y ) 2 .

Then, there must be a unique point x X s.t x = T x = S x .

Dorić [27] have established a similar common FP theorem for two mappings, further extending the findings as mentioned above.

Theorem 2.4

[27] Suppose ( X , d m ) represent a complete M-S and suppose T , S : X X represent two mappings. Let

(7) ψ ( d m ( T x , S y ) ) ψ ( M ( T x , S y ) ) φ ( M ( T x , S y ) ) , x , y X ,

where Theorem2.2define ψ , φ , and (6). Then, there must be a unique point x X s.t. x = T x = S x .

Similarly, in 2017, He et al. [28] demonstrated the common FP theorem for two mappings that meet a generalized weak contractive-type condition of ( ψ , φ ) in complete M-S.

Theorem 2.5

[28] Suppose ( X , d m ) represent a complete M-S and T , S : X X represent two mappings. Let for every x , y X , 1 2 min { d m ( x , T x ) , d m ( y , S y ) } d m ( x , y ) implies

(8) ψ ( d m ( T x , S y ) ) ψ ( M ( T x , S y ) ) φ ( M ( T x , S y ) ) ,

whereas Theorem2.2defines ψ , φ , and (6). Then, there must be a unique point x X s.t x = T x = S x .

Currently, in 2020, the researchers [29] under a rational expression obtained the result below for the generalized ( ψ , φ ) -Suzuki weak contraction.

Theorem 2.6

[29] Suppose X represent a complete M-S and T : X X represents a mapping. Let for every x , y X , 1 2 d m ( x , T x ) d m ( x , y ) implies

(9) ψ ( d m ( T x , T y ) ) ψ ( N ( T x , T y ) ) φ ( N ( T x , T y ) ) ,

whereas Theorem2.2defines ψ , φ , and

(10) N ( x , y ) = max d m ( x , y ) , d m ( y , S y ) 1 + d m ( x , T x ) 1 + d m ( x , y ) .

Then, T has a uniqueFP.

Recently, Arya et al. [30] obtained two common FP results for mappings justifying the generalized ( ψ , φ ) -contractive-type conditions with a rational expression on a complete M-S.

Theorem 2.7

[30] Suppose X represent a complete M-S and suppose T , S : X X represent two mappings. Let

(11) ψ ( d m ( T x , S y ) ) ψ ( M 1 ( T x , S y ) ) φ ( M 1 ( T x , S y ) ) , x , y X ,

whereas Theorem2.2 defines ψ , φ , and

(12) M 1 ( x , y ) = max d m ( x , y ) , d m ( x , T x ) , d m ( y , S y ) , × d m ( y , T x ) + d m ( x , S y ) 2 , × d m ( x , T x ) + d m ( y , S y ) 2 , × d m ( y , S y ) 1 + d m ( x , T x ) 1 + d m ( x , y ) , × d m ( x , T x ) 1 + d m ( y , S x ) 1 + d m ( x , y ) .

Then, there exists a unique point x X s.t x = T x = S x .

Definition 2.8

[19] For a non-empty set Y , d s : Y × Y [ 0 , + ) is termed as a super-metric if the following conditions hold

  1. If d s ( ν , ω ) = 0 , then ν = ω for all ν , ω Y ;

  2. d s ( ν , ω ) = d s ( ω , ν ) for all ν , ω Y ;

  3. There we have s 1 in a sense that for all ω Y , distinct sequences ( ν η ) , ( ω η ) Y with d s ( ν η , ω η ) 0 as η tends to infinity, s.t

    (13) limsup η d s ( ω n , ω ) s limsup η d s ( ν η , ω ) .

Then, we call ( Y , d s ) a S -M-S.

Example 2.9

[20] Suppose the set Y = [ 0 , + ] and d s : Y × Y [ 0 , + ) represent an application, defined as follows:

(14) d s ( ν , ω ) = ν ω 1 ν + ω + 1 , ν , ω [ 0 , 1 ) ( 1 , + ] , ν ω , 0 , ν , ω [ 0 , + ] , ν = ω , ν 1 , ν [ 0 , + ] , ω = 1 .

Then, we can say ( Y , d s ) forms a S -M-S.

Example 2.10

[19] Suppose Y = [ 2 , 3 ] and define d s ( ν , ω ) = ν ω whenever ν ω and d s ( ν , ω ) = 0 whenever ν = ω . Suppose ( ν η ) , ( ω η ) be two distinct sequences s.t d s ( ν η , ω η ) 0 as η . As we the sequences are distinct, d s ( ν η , ω η ) = ν η ω η 0 . It can be chosen that ω η 0 and ν η t as η , where t Y . Furthermore, for any ω Y ,

(15) limsup η d s ( ω η , ω ) = limsup η ω η ω = 0 limsup η , d s ( ν η , ω ) = limsup η υ η ω = t ω ,

so, ( Y , d s ) is a S -M-S.

For this sequel, the concepts and notations listed below are essential. For a S -M-S ( Y , d s ) a sequence ( ν η ) in Y converges to ω in Y , iff d s ( υ η , ω ) tends to zero, as η goes to [19]. For a S -M-S ( Y , d s ) , a sequence ( ν η ) in Y can be claimed as a Cauchy sequence in Y , iff lim η sup d s ( ν η , ν m ) : m > η = 0 [19]. A space ( Y , d s ) can be claimed as a complete super-metric space iff, every Cauchy sequence in Y converges [19].

3 Main results

This section will focus on establishing novel results of generalized ( ψ , φ ) -rational-type contractions in the framework of super-metric spaces.

Here is our first result in this direction.

Theorem 3.1

Consider a complete S -M-S, Y , and two mappings T , S : Y Y . Let

(16) ψ ( d s ( T x , S y ) ) ψ ( M 2 ( T x , S y ) ) φ ( M 2 ( T x , S y ) ) , x , y Y ,

whereas Theorem2.2defines ψ , φ , and

(17) M 2 ( x , y ) = max d s ( x , y ) , d s ( x , T x ) , d s ( y , S y ) , d s ( x , T x ) + d s ( x , S y ) 2 , d s ( x , T y ) + d s ( y , S y ) 2 , d s ( y , S y ) 1 + d s ( x , T x ) 1 + d s ( x , y ) , d s ( x , T x ) 1 + d s ( y , S x ) 1 + d s ( x , y ) .

Then, there exists a unique point g Y s.t g = T g = S g .

Proof

Suppose y 0 Y is an arbitrary. Then, we can choose y 1 = S y 0 , y 2 = T y 1 , y 3 = S y 2 , and y 4 = T y 3 . In this way, a sequence can be constructed generally, y n in Y in a sense that y 2 n + 2 = T y 2 n + 1 and y 2 n + 1 = S y 2 n . Now, if x = y n and y = y n 1 , for odd values of n , then by inequality (16), we have

(18) ψ ( d s ( T y n , S y n 1 ) ) ψ ( M 2 ( T y n , S y n 1 ) ) φ ( M 2 ( T y n , S y n 1 ) ) ,

where

(19) M 2 ( T y n , S y n 1 ) = max { d s ( y n , y n 1 ) , d s ( y n , T y n ) , d s ( y n 1 , S y n 1 ) , d s ( y n , T y n ) + d s ( y n , S y n 1 ) 2 , d s ( y n , T y n 1 ) + d s ( y n 1 , S y n 1 ) 2 , d s ( y n 1 , S y n 1 ) 1 + d s ( y n , T y n ) 1 + d s ( y n , y n 1 ) , d s ( y n , T y n ) 1 + d s ( y n 1 , S y n ) 1 + d s ( y n , y n 1 ) = max { d s ( y n , y n 1 ) , d s ( y n , y n + 1 ) , d s ( y n 1 , y n ) , d s ( y n , y n + 1 ) + d s ( y n , y n ) 2 , d s ( y n , y n ) + d s ( y n 1 , y n ) 2 , d s ( y n 1 , y n ) 1 + d s ( y n , y n + 1 ) 1 + d s ( y n , y n 1 ) , d s ( y n , y n + 1 ) 1 + d s ( y n 1 , y n + 1 ) 1 + d s ( y n , y n 1 ) = d s ( y n , y n + 1 ) , d s ( y n 1 , y n ) .

It implies that

(20) ψ ( d s ( y n + 1 , y n ) ) ψ ( max { d s ( y n , y n + 1 ) , d s ( y n 1 , y n ) } ) φ ( max { d s ( y n , y n + 1 ) , d s ( y n 1 , y n ) } ) .

If d s ( y n , y n + 1 ) > d s ( y n 1 , y n ) , then inequality (20) can give

(21) ψ ( d s ( y n , y n + 1 ) ) ψ ( d s ( y n , y n + 1 ) ) φ ( d s ( y n , y n + 1 ) ) < ψ ( d s ( y n , y n + 1 ) ) ,

which is a contradiction. Hence, for all n , we obtain

(22) ψ ( d s ( y n , y n + 1 ) ) ψ ( d s ( y n , y n 1 ) ) φ ( d s ( y n , y n 1 ) ) .

Consequently, we have ψ ( d s ( y n , y n + 1 ) ) ψ ( d s ( y n , y n 1 ) ) . In analogue way, this inequality can be verified for those values of n which are even. Utilizing the property of ψ , for every n N , we have d s ( y n , y n + 1 ) d s ( y n , y n 1 ) . Moreover, the sequence { d s ( y n , y n + 1 ) } n 1 is monotonic, non-increasing, and is bounded below, so there must be r 0 in a sense that

(23) lim n d s ( y n , y n + 1 ) = r = lim n d s ( y n 1 , y n ) .

Utilizing the lower semi-continuity of φ , we have

(24) φ ( r ) liminf n φ ( d s ( y n 1 , y n ) ) .

Now, claiming r = 0 . Indeed, taking upper limit as n on the below inequality and utilizing 23, we obtain

(25) ψ ( d s ( y n , y n + 1 ) ) ψ ( d s ( y n 1 , y n ) ) φ ( d s ( y n 1 , y n ) ) ψ ( r ) ψ ( r ) φ ( r ) .

That is, φ ( r ) 0 implies φ ( r ) = 0 , and φ ( r ) = 0 implies r = 0 . Hence, lim n d s ( y n , y n + 1 ) = 0 . Now suppose that κ , n N and κ > n . If y n = y κ , we have T κ ( y 0 ) = T n ( y 0 ) . So, T κ n ( T η ( y 0 ) ) = T η ( y 0 ) . Thus, T n ( y 0 ) is the FP of T κ n . Also,

(26) T ( T κ n ( T n ( y 0 ) ) ) = T κ n ( T ( T n ( y 0 ) ) ) = T ( T n ( y 0 ) ) .

This means that T ( T n ( y 0 ) ) is the FP of T κ n as well. Thus, T ( T n ( y 0 ) ) = T n ( y 0 ) . So T n ( y 0 ) is the FP of T . By following a similar approach for mapping S , S n ( y 0 ) is the FP of S . Now, maintaining generality, it can be supposed that, y n y κ . Therefore,

(27) limsup n + d s ( y n , y n + 2 ) limsup n + d s ( y n + 1 , y n + 2 ) .

Thus, as limsup n + d s ( y n , y n + 2 ) = 0 , we have

(28) limsup n + d s ( y n , y n + 3 ) limsup n + d s ( y n + 2 , y n + 3 ) = 0 .

Inductively, it can be concluded that limsup n + { d s ( y n , y κ ) : κ > n } = 0 . This leads to the fact that sequence { y n } is Cauchy. Provided with Y as a complete S -M-S, there must be g s.t y n g . Next, we verify that g is the common FP of T and S . Utilizing (16), we have

(29) ψ ( d s ( T g , S y n ) ) ψ ( M 2 ( T g , S y n ) ) φ ( M 2 ( T g , S y n ) ) = ψ ( max { d s ( g , y n ) , d s ( g , T g ) , d s ( y n , S y n ) , d s ( g , T g ) + d s ( g , S y n ) 2 , d s ( g , T y n ) + d s ( y n , S y n ) 2 , φ ( max { d s ( g , y n ) , d s ( g , T g ) , d s ( y n , S y n ) , d s ( g , T g ) + d s ( g , S y n ) 2 , d s ( g , T y n ) + d s ( y n , S y n ) 2 .

Making n , we have ψ ( d s ( g , T g ) ) ψ ( d s ( g , T g ) ) φ ( d s ( g , T g ) ) , which yields g = T g . Furthermore, we obtain

(30) ψ ( d s ( T g , S g ) ) ψ ( M 2 ( T g , S g ) ) φ ( M 2 ( T g , S g ) ) = ψ ( max { d s ( g , g ) , d s ( g , T g ) , d s ( g , S g ) , d s ( g , T g ) + d s ( g , S g ) 2 , d s ( g , T g ) + d s ( g , S g ) 2 , φ ( max { d s ( g , g ) , d s ( g , T g ) , d s ( g , S g ) , d s ( g , T g ) + d s ( g , S g ) 2 , d s ( g , T g ) + d s ( g , S g ) 2 .

It implies that ψ ( d s ( g , S g ) ) ψ ( d s ( g , S g ) ) φ ( d s ( g , S g ) ) , which yields g = S g . Hence, S and T have common FP g . To verify uniqueness, we assume that w is another FP of T and S , and we obtain

(31) ψ ( d s ( g , w ) ) = ψ ( d s ( T g , S w ) ) ψ ( M 2 ( T g , S w ) ) φ ( M 1 ( T g , S w ) ) = ψ ( d s ( g , w ) ) φ ( d s ( g , w ) ) ,

and so φ ( d s ( w , g ) ) = 0 . Therefore, w = g . This completes the result.□

The above result can yield the following corollaries.

Corollary 3.2

Suppose Y represents a complete S -M-S and T , S : Y Y represent two mappings. Let for every x , y Y ,

(32) d s ( T x , S y ) M 2 ( T x , S y ) φ ( M 2 ( T x , S y ) ) ,

whereas Theorem2.2defines ψ , φ , and (17). Then, there exists a unique point g Y s.t g = T g = S g .

Proof

The proof is quite simple by plugging ψ = I (Identity) in Theorem 3.1.□

Corollary 3.3

Suppose Y represents a complete S -M-S and T : Y Y represents two mappings. Let for every x , y Y ,

(33) ψ ( d s ( T x , T y ) ) ψ ( M 2 ( T x , T y ) ) φ ( M 2 ( T x , T y ) ) ,

whereas Theorem2.2defines ψ and φ . Then, there exists a unique point g Y s.t g = T g .

Proof

Plugging S = T in Theorem 3.1, we will obtain the result.□

Corollary 3.4

Suppose Y represents a complete S -M-S and T : Y Y represents s mappings. Let for every x , y Y ,

(34) d s ( T x , T y ) M 2 ( T x , T y ) φ ( M 2 ( T x , T y ) ) ,

whereas Theorem2.2defines ψ , φ , and (17). Then, there exists a unique point g Y s.t g = T g .

Proof

This can be proved simply by plugging S = T and taking ψ = I (Identity) in Theorem 3.1.□

Corollary 3.5

Suppose Y represent a complete S -M-S and T , S : Y Y represent two mappings. Let for every x , y Y ,

(35) ψ ( d s ( T x , S y ) ) ψ ( d s ( x , y ) ) φ ( d s ( x , y ) ) ,

whereas Theorem 2.2defines ψ and φ . Then there exists a unique point g Y s.t. g = T g = S g .

Proof

The proof is quite simple by plugging M 2 ( T x , S y ) = d ( x , y ) in Theorem 3.1.□

Corollary 3.6

Suppose Y represents a complete S -M-S and T : Y Y represent two mappings. Let for every x , y Y ,

(36) d s ( T x , S y ) ( d s ( x , y ) ) φ ( d s ( x , y ) ) ,

whereas Theorem 2.2 define ψ and φ . Then there exists a unique point g Y s.t. g = T g = S g .

Proof

The proof is quite simple by plugging M 2 ( T x , S y ) = d ( x , y ) and ψ = I (Identity) in Theorem 3.1.□

Remark 3.7

The corollary 3.6 is the result (2.1) of [24] in the context of super-metric spaces.

Remark 3.8

The corollary 3.5 is the result (2.2) of [25] in the context of S -M-Ss.

Corollary 3.9

Suppose Y represent a complete S -M-S and T , S : Y Y represent two mappings. Let for every x , y Y ,

(37) ψ ( d s ( T x , S y ) ) ψ ( N ( T x , S y ) ) φ ( N ( T x , S y ) ) ,

whereas Theorem 2.2defines ψ , φ , and (10). Then there must be a unique point g Y in a sense that g = T g = S g .

Example 3.10

Suppose Y = [ 2 , 3 ] with super-metric be defined as

(38) d s ( x , y ) = x y , x y , 0 , x = y .

Now, consider T : Y Y and S : Y Y , as follows:

(39) T ( x ) = 2 , x 3 , 5 2 , x = 3 , S ( x ) = 1 , x 3 , 1 2 , x = 3 .

Then, proving the below is not tedious, for choosing ψ ( x ) = 2 x and φ ( x ) = x 7 ,

(40) ψ ( d s ( T x , S y ) ) ψ ( M 2 ( T x , S y ) ) φ ( M 2 ( T x , S y ) ) .

All the necessities of Theorem 3.1, Corollaries 3.5 and 3.9 are fulfilled. Thus, the FP of S and T is common and for sure would be unique.

Furthermore, following the same flow, we would like to prove a common FP theorem for the ( ψ , φ ) -rational contraction in the Suzuki-type context.

Theorem 3.11

Suppose Y represents a complete S -M-S and T , S : Y Y represent two mappings. Let for every x , y Y , 1 2 min d s ( x , T x ) , d s ( y , S y ) d s ( x , y ) and

(41) ψ ( d s ( T x , S y ) ) ψ ( M 2 ( T x , S y ) ) φ ( M 2 ( T x , S y ) ) ,

whereas Theorem2.2defines ψ , φ , and (17). Then, there exists a unique point g Y s.t g = T g = S g .

Proof

Suppose y 0 Y is an arbitrary. Then, a sequence y n in Y can be constructed in a way y 2 n 1 = T y 2 n 2 and y 2 n = S y 2 n 1 . The below fact will be considered in this sequel, 1 2 min d s ( x , T x ) , d s ( y , S y ) d s ( x , y ) iff d s ( x , T x ) d s ( x , y ) and d s ( y , S y ) d s ( x , y ) . If for some n y n = y n 1 , then a common FP must be represented. The reason is if we consider y 2 n = y 2 n 1 , then y 2 n 1 is a common FP of the mappings. Indeed, utilizing Eq. (41)

(42) 1 2 d s ( y 2 n 1 , S y 2 n 1 ) = 1 2 d s ( y 2 n 1 , y 2 n ) = 0 d s ( y 2 n , y 2 n 1 ) ,

implies

(43) ψ ( d s ( T y 2 n , S y 2 n 1 ) ) ψ ( M 1 ( T y 2 n , S y 2 n 1 ) ) φ ( M 1 ( T y 2 n , S y 2 n 1 ) ) ,

where M 1 ( T y 2 n , S y 2 n 1 ) = d s ( y 2 n , y 2 n + 1 ) = d s ( y 2 n , T y 2 n ) . Then, we have

(44) ψ ( d s ( T y 2 n , y 2 n ) ) ψ ( d s ( T y 2 n , y 2 n ) ) φ ( d s ( T y 2 n , y 2 n ) ) ,

which implies φ ( d s ( T y 2 n , y 2 n ) ) 0 . Using the property of φ , we obtain T y 2 n = y 2 n . Thus, by S y 2 n 1 = y 2 n = y 2 n 1 , it implies that S y 2 n 1 = y 2 n 1 = T y 2 n 1 , i.e., y 2 n 1 is a common FP of T and S . In the same way, if y 2 n 1 = y 2 n 2 for some n , then y 2 n 2 is a common FP of T and S . Thus, we suppose that y n y n 1 for all n N . Observe that, all n N , have

(45) 1 2 d s ( y 2 n 1 , S y 2 n 1 ) = 1 2 d s ( y 2 n 1 , y 2 n ) d s ( y 2 n , y 2 n 1 ) .

Then, by (41),

(46) ψ ( d s ( T y 2 n , S y 2 n 1 ) ) ψ ( M 1 ( T y 2 n , S y 2 n 1 ) ) φ ( M 1 ( T y 2 n , S y 2 n 1 ) ) ,

where

(47) M 1 ( T y 2 n , S y 2 n 1 ) = max { d s ( y 2 n , y 2 n 1 ) , d s ( y 2 n , y 2 n + 1 ) } .

If M 1 ( T y 2 n , S y 2 n 1 ) = d s ( y 2 n , y 2 n + 1 ) , then (46) becomes

(48) ψ ( d s ( y 2 n , y 2 n + 1 ) ) ψ ( d s ( y 2 n , y 2 n + 1 ) ) φ ( d s ( y 2 n , y 2 n + 1 ) ) ,

which implies φ ( d s ( y 2 n , y 2 n + 1 ) ) 0 and so d s ( y 2 n , y 2 n + 1 ) = 0 . This led to a contradiction to our assumption y n y n 1 . As a result (46) becomes

(49) ψ ( d s ( y 2 n , y 2 n + 1 ) ) ψ ( d s ( y 2 n , y 2 n 1 ) ) φ ( d s ( y 2 n , y 2 n 1 ) ) .

Similarly, we can find that

(50) ψ ( d s ( y 2 n + 1 , y 2 n + 2 ) ) ψ ( d s ( y 2 n , y 2 n + 1 ) ) φ ( d s ( y 2 n , y 2 n + 1 ) ) .

Now, combining Eqs. (49) and (50)

(51) ψ ( d s ( y n , y n + 1 ) ) ψ ( d s ( y n , y n 1 ) ) φ ( d s ( y n , y n 1 ) )

for all n N . Since φ ( d s ( y n , y n 1 ) ) > 0 , we have ψ ( d s ( y n + 1 , y n ) ) < ψ ( d s ( y n , y n 1 ) ) . Utilizing the property of ψ , for all n N , we have d s ( y n + 1 , y n ) < d s ( y n , y n 1 ) . Moreover, the sequence { d s ( y n , y n + 1 ) } n = 0 is non-increasing, monotonic, and bounded below, and so there exists r 0 in a sense that

(52) lim n d s ( y n , y n + 1 ) = r = lim n d s ( y n 1 , y n ) .

Utilizing the lower semi-continuity of φ , we have φ ( r ) liminf n φ ( d s ( y n 1 , y n ) ) . Now, we claim that r = 0 . Indeed, taking upper limit as n on the following inequality and using (52), we obtain

(53) ψ ( d s ( y n , y n + 1 ) ) ψ ( d s ( y n 1 , y n ) ) φ ( d s ( y n 1 , y n ) ) ψ ( r ) ψ ( r ) φ ( r ) .

That is, φ ( r ) 0 implies φ ( r ) = 0 , and φ ( r ) = 0 implies r = 0 . Hence, lim n d s ( y n , y n + 1 ) = 0 . Now, suppose that κ , n N and κ > n . If y n = y κ , we have T κ ( y 0 ) = T n ( y 0 ) . Indeed, T κ n ( T η ( y 0 ) ) = T η ( y 0 ) . Thus, T n ( y 0 ) is the FP of T κ n . Also,

(54) T ( T κ n ( T n ( y 0 ) ) ) = T κ n ( T ( T n ( y 0 ) ) ) = T ( T n ( y 0 ) ) .

This means that T ( T n ( y 0 ) ) is the FP of T κ n as well. Thus, T ( T n ( y 0 ) ) = T n ( y 0 ) . So T n ( y 0 ) is the FP of T . By following similar approach for mapping S , S n ( y 0 ) is the FP of S . Now, maintaining generality, it can be supposed that, y n y κ . Therefore, limsup n + d s ( y n , y n + 2 ) limsup n + d s ( y n + 1 , y n + 2 ) . Thus, as limsup n + d s ( y n , y n + 2 ) = 0 . We have

(55) limsup n + d s ( y n , y n + 3 ) limsup n + d s ( y n + 2 , y n + 3 ) = 0 .

Inductively, it can be concluded that limsup n + { d s ( y n , y κ ) : κ > n } = 0 . This leads to the fact that sequence { y n } is Cauchy. Provided with Y as a complete S -M-S, there must be a g Y s.t y n g . Next, we want to verify that g is the common FP of T and S . Utilizing (41), we have

(56) ψ ( d s ( T g , S y n ) ) ψ ( M 2 ( T g , S y n ) ) φ ( M 2 ( T g , S y n ) ) = ψ ( max { d s ( g , y n ) , d s ( g , T g ) , d s ( y n , S y n ) , d s ( g , T g ) + d s ( g , S y n ) 2 , d s ( g , T y n ) + d s ( y n , S y n ) 2 , φ ( max { d s ( g , y n ) , d s ( g , T g ) , d s ( y n , S y n ) , d s ( g , T g ) + d s ( g , S y n ) 2 , d s ( g , T y n ) + d s ( y n , S y n ) 2 .

Making n , we have ψ ( d s ( g , T g ) ) ψ ( d s ( g , T g ) ) φ ( d s ( g , T g ) ) , which yields g = T g . Furthermore, we obtain

(57) ψ ( d s ( T g , S g ) ) ψ ( M 2 ( T g , S g ) ) φ ( M 2 ( T g , S g ) ) = ψ ( max { d s ( g , g ) , d s ( g , T g ) , d s ( g , S g ) , d s ( g , T g ) + d s ( g , S g ) 2 , d s ( g , T g ) + d s ( g , S g ) 2 , φ ( max { d s ( g , g ) , d s ( g , T g ) , d s ( g , S g ) , d s ( g , T g ) + d s ( g , S g ) 2 , d s ( g , T g ) + d s ( g , S g ) 2 .

It implies that ψ ( d s ( g , S g ) ) ψ ( d s ( g , S g ) ) φ ( d s ( g , S g ) ) , which yields g = S g . Hence, the mappings S and T have common FP g . To verify the uniqueness, assume that w is another FP of T and S , and we obtain

(58) ψ ( d s ( g , w ) ) = ψ ( d s ( T g , S w ) ) ψ ( M 2 ( T g , S w ) ) φ ( M 1 ( T g , S w ) ) = ψ ( d s ( g , w ) ) φ ( d s ( g , w ) ) ,

and so φ ( d s ( w , g ) ) = 0 . Therefore, w = g . This completes the proof.□

The above result (3.11) yields the following corollaries. If S = T in the above result, we have the below corollary.

Corollary 3.12

Suppose Y represents a complete S -M-S and T : Y Y represents a mappings. Let for every x , y Y , 1 2 min { d s ( x , T x ) , d s ( y , T y ) } d s ( x , y ) and

(59) ψ ( d s ( T x , T y ) ) ψ ( M 2 ( T x , T y ) ) φ ( M 2 ( T x , T y ) ) ,

whereas Theorem2.2defines ψ , φ and (17). Then, there exists a unique element g Y s.t. g = T g .

Putting ψ = I (Identity) in (3.11), we have the following corollary.

Corollary 3.13

Suppose Y represent a complete S -M-S and T , S : Y Y represent two mappings. Let for every x , y Y , 1 2 min { d s ( x , T x ) , d s ( y , S y ) } d s ( x , y ) and

(60) d s ( T x , S y ) M 2 ( T x , S y ) φ ( M 2 ( T x , S y ) ) ,

whereas Theorem2.2defines ψ , φ , and (17). Then, there exists a unique element g Y s.t g = T g = S g .

4 Applications

In the following sections, we demonstrate the practical applications of the established findings. These applications aim to examine the validity of the established findings and offer assurance of the existence of common and unique solutions for integral inclusions of the Volterra type, as well as solutions for nonlinear DE s involving fractal fractional operators. The applications presented in this study serve to illustrate the practical importance and resilience of the theoretical findings, hence highlighting their use in the modeling and analysis of intricate dynamic systems characterized by memory effects and non-local interactions. The description of these applications strengthens the validity of the built theoretical framework and highlights its usefulness in tackling practical issues in various scientific fields.

4.1 Application to Volterra integral inclusions

In this subsection, the existence of a solution to the system of Volterra integral inclusions is demonstrated in the frame work of super-metric space. Motivated by the works of [1,3] an existence result demonstrating the existence of the system of Volterra integral inclusions has been presented

(61) ϶ 1 ( x ) 0 x 1 ( x , u ) 1 ( u , ϶ 1 ( u ) ) d u + ζ ( x ) , ϶ 2 ( x ) 0 x 2 ( x , u ) 2 ( u , ϶ 2 ( u ) ) d u + ζ ( x ) ,

for x J , ζ C ( J ) where multivalued 1 , 2 C ( J × R ) have non-empty compact values. Throughout this section, the map ϶ i ( x , ϶ ) , i = 1 , 2 , is lower semi-continuous at x J . Define a super-metric d s : Y × Y Y by

(62) d s ( ϶ 1 , ϶ 2 ) = ϶ 1 ϶ 2 ϶ 1 ϶ 2 , 0 , ϶ 1 = ϶ 2 .

Next, we present the proof as follows.

Theorem 4.1

Suppose that, for all ϶ , w C ( J ) , the following conditions hold:

  1. There exists a continuous function 1 , 2 J × R s.t.

    (63) 1 ( x , ϶ 1 ( u ) ) 2 ( x , ϶ 2 ( u ) ) M 2 ( ϶ 1 ( u ) , ϶ 2 ( u ) ) φ ( M 2 ( ϶ 1 ( u ) , ϶ 2 ( u ) ) ) ,

    where M 2 is obtained by substituting d in (17);

  2. There exist x , u J and τ > 0 s.t.

    (64) 0 x 1 ( x , u ) d u 0 x 2 ( x , u ) d u 1 , ζ ( τ ) = 0 .

    φ and ψ are defined in Theorem 2.2.

Then, the system of Volterra integral inclusions (61) have a unique solution.

Proof

Using the Volterra integral inclusion (61), we can define two operators S , T : Y Y as follows:

(65) T ϶ ( x ) 0 x 1 ( x , u ) 1 ( u , ϶ ( u ) ) d u + ζ ( x ) , S ϶ ( x ) 0 x 2 ( x , u ) 2 ( u , ϶ ( u ) ) d u + ζ ( x ) ,

for x J , ζ Y , which implies that ϶ is the common and unique FP of the operator T and S , if and only if it is a solution of Eq. (61). Now, for all ϶ 1 , ϶ 2 Y , using conditions (6), (10), and (65), we obtain

(66) d s ( T ϶ 1 , S ϶ 2 ) = J 1 ( x , u ) 1 ( u , ϶ 1 ( u ) ) d u J 2 ( x , u ) 2 ( u , ϶ 2 ( u ) ) d u = J 1 ( x , u ) d u J 2 ( x , u ) d u 1 ( u , ϶ 1 ( u ) ) 2 ( u , ϶ 2 ( u ) ) M 2 ( ϶ 1 ( u ) , ϶ 2 ( u ) ) φ ( M 2 ( ϶ 1 ( u ) , ϶ 2 ( u ) ) .

Now, by taking ψ ( x ) = x ,

(67) ψ ( d s ( T ϶ 1 , S ϶ 2 ) ) ψ ( M 2 ( ϶ 1 ( u ) , ϶ 2 ( u ) ) ) φ ( M 2 ( ϶ 1 ( u ) , ϶ 2 ( u ) ) ) .

Hence, by Theorem 3.1, a is the unique and common FP of S and T . Thus, (65) has a unique solution, which is also a solution of the Volterra integral inclusion (61). This completes our proof.□

4.2 Application to fractal FPDE s

In this section, we established existence results for investigation of the unique theoretical solution for general PDE s involving fractal fractional derivative operators in the context of S -M-S:

(68) D ϶ 0 FF y ( υ , ϶ ) = F ( υ , ϶ , y ( υ , ϶ ) ) , 0 < < 1 , y ( υ , 0 ) = 0 ,

where ( υ , ϶ ) J × [ 0 , £ ] , y ( υ , ϶ ) C ( V , R ) , V = J × [ 0 , £ ] , F is a function continuous and non-linear, i.e. F ( 0 , 0 , y ( 0 , 0 ) ) = 0 . Let us consider Y = C ( V , R ) and d ( y , ω ) = y ( υ ) ω ( ϶ ) , for y ω .

Theorem 4.2

Let us assume that the following holds in a way that:

  1. for ( υ , ϶ ) J and y ( υ , ϶ ) , ω ( υ , ϶ ) Y ,

    (69) F ( υ , ϶ , y ( υ , ϶ ) ) F ( υ , ϶ , ω ( υ , ϶ ) ) ς 2 2 1 ( , ) M 2 ( y ( υ , ϶ ) ω ( υ , ϶ ) ) φ ( M 2 ( y ( υ , ϶ ) ω ( υ , ϶ ) ) ) ,

    with d ( y , ω ) 0 ; where ψ and φ are defined as in Theorem 2.2;

  2. There exists y 1 Y with d ( y , T y 1 ) 0 , where T : C C defined as

    (70) T ( y ) = 1 ς ( ) 0 t 1 ( ϶ ) 1 F ( υ , , y 1 ( υ , ) ) d ;

  3. 0 0 ( 1 ( ϶ ) 1 ) 2 d d 2 1 ( , ) and ( υ , ϶ ) ς and y , ω Y , d ( y , ω ) 0 emphasizes the fact that d ( T y , T ω ) 0 ;

  4. { y n } C , y n y , where y C and d ( y n , y n + 1 ) 0 , for n N .

Then, there exists at least one solution of problem (59).

Proof

In problem (59), F is nonlinear mapping and

(71) D ϶ 0 FF y ( υ , ϶ ) = 1 ς ( 1 ) d d ϶ 0 ϶ y ( υ , ) ( ϶ ) d .

Since 0 y ( υ , ) ( ϶ ) d is differentiable, Eq. (71) can be converted into

(72) 1 ϶ 1 1 ς ( 1 ) d d ϶ 0 ϶ y ( υ , ) ( ϶ ) d .

Consequently, Eq. (68) could be transformed into

(73) y ( υ , ϶ ) y ( υ , 0 ) = 1 ( ϶ ) 1 F ( , , y ) d , 1 ( ϶ ) 1 F ( υ , , y ) d .

Consequently y ( υ , ϶ ) = 1 ς ( ) 0 1 ( ϶ ) 1 F ( υ , , y ) = T y . Here, we show that ϒ has an FP.

(74) T y T ω = 1 ς ( ) 0 ϶ 0 ϶ ( 1 ( ϶ ) 1 ) 2 ( F ( υ , , y ) F ( υ , , ω ) ) d d 1 ς ( ) 0 ϶ 0 ϶ ( 1 ( ϶ ) 1 ) 2 F ( υ , , y ) F ( υ , , ω ) d d 1 2 1 ( , ) 0 ϶ 0 ϶ ( 1 ( ϶ ) 1 ) 2 d d × ( M 2 ( y ( υ , ϶ ) ω ( υ , ϶ ) ) ) φ ( M 2 ( y ( υ , ϶ ) ω ( υ , ϶ ) ) ) = 1 2 1 ( , ) M 2 ( y ( υ , ϶ ) ω ( υ , ϶ ) ) φ ( M 2 ( y ( υ , ϶ ) ω ( υ , ϶ ) ) ) × 0 ϶ 0 ϶ ( 1 ( ϶ ) 1 ) 2 d d 1 2 1 ( , ) M 2 ( y ( υ , ϶ ) ω ( υ , ϶ ) ) φ ( M 2 ( y ( υ , ϶ ) ω ( υ , ϶ ) ) ) 2 1 ( , ) = M 2 ( y ( υ , ϶ ) ω ( υ , ϶ ) ) φ ( M 2 ( y ( υ , ϶ ) ω ( υ , ϶ ) ) ) .

Now, for ψ ( k ) = k we have ψ ( d ( T y , T ω ) ) ψ ( M 2 ( y , ω ) ) φ ( M 2 ( y , ω ) ) . Since all the conditions of Corollary 3.3 are satisfied. Thus, equation (68) has a unique solution.□

In the sequel, an example is presented to verify the validity of the obtained theoretical results.

Example 4.3

Based on system (61), by taking 1 ( x , u ) = cos ( π x ) 5 ( 1 + u 2 ) , 2 ( x , u ) = cos ( π x ) 5 ( 3 + u ) , and

1 ( u , ϶ 1 ( u ) ) = ( 1 + u 2 ) sin ( π u ϶ 1 3 ( u ) ) , 1 ( u , ϶ 2 ( u ) ) = ( 3 + u ) sin ( π u ϶ 2 3 ( u ) ) ,

we have the system of Volterra integral inclusions as follows:

(75) ϶ 1 ( x ) 0 , 1 5 0 x cos ( π x ) sin ( π u ϶ 1 3 ( u ) ) d u + sin ( π x ) , ϶ 2 ( x ) 0 , 1 5 0 x cos ( π x ) sin ( π u ϶ 2 3 ( u ) ) d u + sin ( π x ) ,

for x J , λ = 1 , where ζ = sin ( π x ) C ( J ) , multivalued 1 , 2 C ( J × R ) have non-empty compact values. The exact solution of the integral equation

(76) 1 5 0 x cos ( π x ) sin ( π u ϶ 3 ( u ) ) d u + sin ( π x ) , x J ,

is ϶ ( x ) = sin ( π x ) + 1 3 ( 20 391 ) cos ( π x ) . Now, we can define two operators S , T : Y Y as follows:

(77) T ϶ ( x ) = 1 5 0 x cos ( π x ) sin ( π u ϶ 1 3 ( u ) ) d u + sin ( π x ) , S ϶ ( x ) = 1 5 0 x cos ( π x ) sin ( π u ϶ 2 3 ( u ) ) d u + sin ( π x ) .

It follows that

(78) d s ( T ϶ 1 , S ϶ 2 ) = d s 1 5 0 x cos ( π x ) sin ( π u ϶ 1 3 ( u ) ) d u + sin ( π x ) , 1 5 0 x cos ( π x ) sin ( π u ϶ 2 3 ( u ) ) d u + sin ( π x ) = d s 1 5 0 x cos ( π x ) sin ( π u ϶ 1 3 ( u ) ) d u , 1 5 0 x cos ( π x ) sin ( π u ϶ 2 3 ( u ) ) d u ) = 1 5 d s 0 x cos ( π x ) sin ( π u ϶ 1 3 ( u ) ) d u , 0 x cos ( π x ) sin ( π u ϶ 2 3 ( u ) ) d u = 1 5 0 x cos ( π x ) sin ( π u ϶ 1 3 ( u ) ) d u 0 x cos ( π x ) sin ( π u ϶ 2 3 ( u ) ) d u 1 5 0 x cos ( π x ) d u 2 sin ( π u ϶ 1 3 ( u ) ) sin ( π u ϶ 2 3 ( u ) ) .

Thanks to Eq. (17), we obtain

M 2 ( ϶ 1 ( x ) , ϶ 2 ( x ) ) = max { d s ( ϶ 1 ( x ) , ϶ 2 ( x ) ) , d s ( ϶ 1 ( x ) , T ϶ 1 ( x ) ) , d s ( ϶ 2 ( x ) , S ϶ 2 ( x ) ) , d s ( ϶ 1 ( x ) , T ϶ 1 ( x ) ) + d s ( ϶ 1 ( x ) , S ϶ 2 ( x ) ) 2 , d s ( ϶ 1 ( x ) , T ϶ 2 ( x ) ) + d s ( ϶ 2 ( x ) , S ϶ 2 ( x ) ) 2 , d s ( ϶ 2 ( x ) , S ϶ 2 ( x ) ) 1 + d s ( ϶ 1 ( x ) , T ϶ 1 ( x ) ) 1 + d s ( ϶ 1 ( x ) , ϶ 2 ( x ) ) , d s ( ϶ 1 ( x ) , T ϶ 1 ( x ) ) 1 + d s ( ϶ 2 ( x ) , S ϶ 1 ( x ) ) 1 + d s ( ϶ 1 ( x ) , ϶ 2 ( x ) ) = max ϶ 1 ( x ) ϶ 2 ( x ) , ϶ 1 ( x ) 5 0 x cos ( π x ) sin ( π u ϶ 1 3 ( u ) ) d u + ϶ 1 ( x ) sin ( π x ) , ϶ 2 ( x ) 5 0 x cos ( π x ) sin ( π u ϶ 2 3 ( u ) ) d u + ϶ 2 ( x ) sin ( π x ) ,

(79) 1 2 ϶ 1 ( x ) 5 0 x cos ( π x ) sin ( π u ϶ 1 3 ( u ) ) d u + ϶ 1 ( x ) sin ( π x ) + ϶ 1 ( x ) 5 0 x cos ( π x ) sin ( π u ϶ 2 3 ( u ) ) d u + ϶ 1 ( x ) sin ( π x ) , 1 2 ϶ 1 ( x ) 5 0 x cos ( π x ) sin ( π u ϶ 2 3 ( u ) ) d u + ϶ 1 ( x ) sin ( π x ) + ϶ 2 ( x ) 5 0 x cos ( π x ) sin ( π u ϶ 2 3 ( u ) ) d u + ϶ 2 ( x ) sin ( π x ) , ϶ 2 ( x ) 5 0 x cos ( π x ) sin ( π u ϶ 2 3 ( u ) ) d u + ϶ 2 ( x ) sin ( π x ) 1 + d s ( ϶ 1 ( x ) , T ϶ 1 ( x ) ) 1 + d s ( ϶ 1 ( x ) , ϶ 2 ( x ) ) , ϶ 1 ( x ) 5 0 x cos ( π x ) sin ( π u ϶ 1 3 ( u ) ) d u + ϶ 1 ( x ) sin ( π x ) 1 + d s ( ϶ 2 ( x ) , S ϶ 1 ( x ) ) 1 + d s ( ϶ 1 ( x ) , ϶ 2 ( x ) ) ϶ 1 ( x ) ϶ 2 ( x ) .

Hence, by taking ψ ( x ) = x , we have

(80) ψ ( d s ( T ϶ 1 , S ϶ 2 ) ) ψ ( M 2 ( ϶ 1 ( u ) , ϶ 2 ( u ) ) ) φ ( M 2 ( ϶ 1 ( u ) , ϶ 2 ( u ) ) ) .

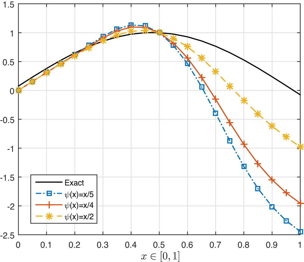
Table 1 displays the values of exact and suitable solutions of system (75) in Example 4.3 for ψ ( x ) = x 2 , x 4 , x 5 . Also, one can see the 2D plot of the results in Figure 1.

Therefore, system (75) has a solution based on common FPT for multi-valued operators.

Table 1

Results of exact and suitable solutions of system (75) in Example 4.3 for ψ ( x ) = x 2 , x 4 , x 5

x Exact solution ψ ( x ) = x 5 ψ ( x ) = x 4 ψ ( x ) = x 2
Suitable solution Error Suitable solution Error Suitable solution Error
0.00 0.0754 0.0000 0.0754 0.0000 0.0754 0.0000 0.0754
0.05 0.2309 0.1566 0.0744 0.1565 0.0744 0.1565 0.0744
0.10 0.3808 0.3110 0.0698 0.3106 0.0702 0.3098 0.0710
0.15 0.5212 0.4643 0.0569 0.4623 0.0589 0.4581 0.0631
0.20 0.6488 0.6201 0.0287 0.6137 0.0351 0.6007 0.0481
0.25 0.7604 0.7795 0.0191 0.7650 0.0046 0.7361 0.0244
0.30 0.8534 0.9344 0.0810 0.9093 0.0559 0.8592 0.0058
0.35 0.9253 1.0629 0.1377 1.0285 0.1033 0.9598 0.0345
0.40 0.9744 1.1336 0.1592 1.0971 0.1227 1.0241 0.0497
0.45 0.9995 1.1176 0.1181 1.0916 0.0921 1.0397 0.0402
0.50 1.0000 1.0000 0.0000 1.0000 0.0000 1.0000 0.0000
0.55 0.9759 0.7797 0.1962 0.8213 0.1546 0.9045 0.0714
0.60 0.9277 0.4630 0.4647 0.5606 0.3671 0.7558 0.1719
0.65 0.8568 0.0623 0.7944 0.2281 0.6287 0.5595 0.2972
0.70 0.7647 0.3968 1.1615 0.1556 0.9203 0.3267 0.4380
0.75 0.6538 0.8722 1.5260 0.5563 1.2101 0.0754 0.5784
0.80 0.5268 1.3171 1.8439 0.9361 1.4629 0.1742 0.7009
0.85 0.3868 1.6997 2.0865 1.2689 1.6557 0.4075 0.7943
0.90 0.2373 2.0107 2.2480 1.5468 1.7841 0.6189 0.8562
0.95 0.0819 2.2563 2.3382 1.7737 1.8557 0.8086 0.8906
1.00 0.0754 2.4428 2.3674 1.9542 1.8788 0.9771 0.9017
Figure 1 
                  Exact and suitable solution of system (75) in Example 4.3 when 
                        
                           
                           
                              ψ
                              
                                 (
                                 
                                    x
                                 
                                 )
                              
                              =
                              
                                 
                                    x
                                 
                                 
                                    2
                                 
                              
                              ,
                              
                                 
                                    x
                                 
                                 
                                    4
                                 
                              
                              ,
                              
                                 
                                    x
                                 
                                 
                                    5
                                 
                              
                           
                           \psi \left({\mathbb{x}})=\frac{{\mathbb{x}}}{2},\frac{{\mathbb{x}}}{4},\frac{{\mathbb{x}}}{5}
                        
                     .
Figure 1

Exact and suitable solution of system (75) in Example 4.3 when ψ ( x ) = x 2 , x 4 , x 5 .

5 Conclusion

This article explores the generalization of the ( ψ , φ ) -type contraction in the context of super-metric space. The existence and uniqueness of specific rational-type contractions are ensured using the iteration technique and the characteristics of the super-metric spaces. Several corollaries have been deduced from the main results. Furthermore, the authenticity and reliability of the findings are achieved by an example. Moreover, the applications to an integral inclusion and fractal fractional partial differential equation are demonstrated. A numerical example and graph are also provided to strengthen the established existence results. These allow us to visually represent the solutions and demonstrate the behavior of the solutions. The presented results in this article improve our understanding of how mapping behaves in the context of super-metric space and highlight their use in the modeling and analysis of intricate dynamic systems.



Acknowledgements

Muhammad Sarwar and Thabet Abdeljawad would like to thank Prince Sultan University for APC.

  1. Funding information: The authors state no funding involved.

  2. Author contributions: S. Khayyam Shah and M. Sarwar developed the concept of the original draft. Further they both performed theoretical formalism, and analytic calculations. M. Hleili and Mohammad Esmael Samei performed the numerical simulations and also reviewed and edited the final drafts. T. Abdelajwad completed the formal analysis and Visualization for the manuscript. M. Sarwar and T. Abdeljawad supervised the project. All authors read and approved the final manuscript.

  3. Conflict of interest: The authors declare that they have no competing interests.

  4. Data availability statement: Data sharing not applicable to this article as no datasets were generated or analyzed during the current study.

References

[1] Ali MU, Kamran T, Postolache M. Solution of Volterra integral inclusion in b-metric spaces via new fixed point theorem. Nonl Anal Model Control. 2017;22(1):17–30. 10.15388/NA.2017.1.2Search in Google Scholar

[2] Karapiiinar E, Abdeljawad T. Applying new fixed point theorems on fractional and ordinary differential equations. Adv Differ Equations. 2019;2019:421. 10.1186/s13662-019-2354-3Search in Google Scholar

[3] Dhage BC. A functional integral inclusion involving Carathéodories. Electron J Qualit Theory Differ Equ. 2003;14:1–18. 10.14232/ejqtde.2003.1.14Search in Google Scholar

[4] Singh R, Mishra J, Gupta VK. The dynamical analysis of a Tumor Growth model under the effect of fractal fractional Caputo-Fabrizio derivative. Int J Math Comput Eng. 2023;1:115–26. 10.2478/ijmce-2023-0009Search in Google Scholar

[5] O’Regan D. Integral inclusions of upper semi-continuous or lower semi-continuous type. Proceedings of the American Mathematical Society. 1996. p. 2391–9. 10.1090/S0002-9939-96-03456-9Search in Google Scholar

[6] Abodayeh K, Shah SK, Sarwar M, Promsakon C, Sitthiwirattham T. Ćirić-type generalized F-contractions with integral inclusion in super-metric spaces. Results Control Optimiz. 2024;16:100443. 10.1016/j.rico.2024.100443Search in Google Scholar

[7] Jan R, Boulaaras S, Alyobi S, Jawad M. Transmission dynamics of Hand-Foot-Mouth Disease with partial immunity through non-integer derivative. Int J Biomath. 2023;16(06):2250115. 10.1142/S1793524522501157Search in Google Scholar

[8] O’Regan D, Meehan M. Existence theory for nonlinear integral and integrodifferential equations. Netherlands: Springer; 2012. Search in Google Scholar

[9] Ata E, Kıymaz IO. New generalized Mellin transform and applications to partial and fractional differential equations. Int J Math Comput Eng. 2023;1(1):45–66. 10.2478/ijmce-2023-0004Search in Google Scholar

[10] Jan R, Boulaaras S, Alyobi S, Rajagopal K, Jawad M. Fractional dynamics of the transmission phenomena of dengue infection with vaccination. Discrete Contin Dyn Syst Ser S. 2022;16(8):2096–117. 10.3934/dcdss.2022154Search in Google Scholar

[11] Fatmawati F, Jan R, Khan MA, Khan Y, Ullah S. A new model of dengue fever in terms of fractional derivative. Math Biosci Eng. 2020;17(5):5267–88. 10.3934/mbe.2020285Search in Google Scholar PubMed

[12] Mlaiki N, Sagheer DeS, Noreen S, Batul S, Aloqaily A. Recent advances in proximity point theory applied to fractional differential equations. Axioms. 2024;13(6):395. 10.3390/axioms13060395Search in Google Scholar

[13] Erdogan F. A second order numerical method for singularly perturbed Volterra integro-differential equations with delay. Int J Math Comput Eng. 2024;2(1):85–96. 10.2478/ijmce-2024-0007Search in Google Scholar

[14] Jan A, Boulaaras S, Abdullah FA, Jan R. Dynamical analysis, infections in plants, and preventive policies utilizing the theory of fractional calculus. Europ Phys J Special Topics. 2023;232(14):2497–512. 10.1140/epjs/s11734-023-00926-1Search in Google Scholar

[15] Ali G, Khan RU, Kamran, Aloqaily A, Mlaiki N. On qualitative analysis of a fractional hybrid Langevin differential equation with novel boundary conditions. Boundary Value Problems. 2024;2024(1):62. 10.1186/s13661-024-01872-0Search in Google Scholar

[16] Jan R, Hinçal E, Hosseini K, Razak NNA, Abdeljawad T, Osman M. Fractional view analysis of the impact of vaccination on the dynamics of a viral infection. Alexandr Eng J. 2024;102:36–48. 10.1016/j.aej.2024.05.080Search in Google Scholar

[17] Abbas S, Ramzan M, Shafique A, Nazar M, Metwally ASM, Abduvalieva D, et al. Analysis of heat and mass transfer on nanofluid: An application of hybrid fractal-fractional derivative. Taylor & Francis: Numerical Heat Transfer, Part A: Applications. 2024. p. 1–14. 10.1080/10407782.2024.2366442Search in Google Scholar

[18] Kamran, SubhanA, Shah K, Subhi Aiadi S, Mlaiki N, Alotaibi FM. Analysis of Volterra integrodifferential equations with the fractal-fractional differential operator. Complexity. 2023;2023(1):7210126. 10.1155/2023/7210126Search in Google Scholar

[19] Karapinar E, Khojasteh F. Super metric spaces. Filomat. 2022;36(10):3545–9. 10.2298/FIL2210545KSearch in Google Scholar

[20] Karapinar E, Fulga A. Contraction in rational forms in the framework of super-metric spaces. Mathematics. 2022;10:3077. 10.3390/math10173077Search in Google Scholar

[21] Gourh R, Ughade M, Kumar Shukla M. On unique fixed-point theorems via interpolative and rational contractions in super-metric spaces. J Adv Math Comput Sci. 2024;39(2):11–9. 10.9734/jamcs/2024/v39i21865Search in Google Scholar

[22] Boyd DW, Wong JS. On nonlinear contractions. Proc Amer Math Soc. 1969;20:458–64. 10.2307/2035677Search in Google Scholar

[23] Alber YI, Guerre-Delabriere S. Principles of weakly contractive maps in Hilbert spaces. New Results Operat Theory Its Appl. 1997;98:7–22. 10.1007/978-3-0348-8910-0_2Search in Google Scholar

[24] Rhoades BE. Some theorems on weakly contractive maps. Nonl Anal Theory Methods Appl. 2001;47(4):2683–93. 10.1016/S0362-546X(01)00388-1Search in Google Scholar

[25] Dutta PN, Choudhary BS. A generalization of contraction principle in metric space. Fixed Point Theory Algorithms Sci Eng. 2008;2008:406368. 10.1155/2008/406368Search in Google Scholar

[26] Zhang Q, Song Y. Fixed point theory for generalized (ϕ)-weak contractions. Appl Math Lett. 2009;22(1):75–8. 10.1016/j.aml.2008.02.007Search in Google Scholar

[27] Dorić D. Common fixed point for generalized (ψ,ϕ)-weak contraction. Appl Math Lett. 2009;22(12):1896–900. 10.1016/j.aml.2009.08.001Search in Google Scholar

[28] He F, Sun YQ, Zhao XY. A common fixed point theorem for generalized (ψ,ϕ)-weak contractions of Suzuki type. J Math Anal. 2017;8(2):80–8. Search in Google Scholar

[29] Arya MC, Chandra N, Joshi MC. Fixed point of (ψ,ϕ)-contractions on metric spaces. J Anal. 2020;28(2):461–9. 10.1007/s41478-019-00181-5Search in Google Scholar

[30] Arya MC, Chandra N, Joshi MC. Common fixed point results for a generalized (ψ,ϕ)-rational contraction. Appl General Topol. 2023;24:129–44. 10.4995/agt.2023.18320Search in Google Scholar

Received: 2024-07-14
Revised: 2024-07-25
Accepted: 2024-08-12
Published Online: 2025-02-10

© 2025 the author(s), published by De Gruyter

This work is licensed under the Creative Commons Attribution 4.0 International License.

Articles in the same Issue

  1. Research Articles
  2. Generalized (ψ,φ)-contraction to investigate Volterra integral inclusions and fractal fractional PDEs in super-metric space with numerical experiments
  3. Solitons in ultrasound imaging: Exploring applications and enhancements via the Westervelt equation
  4. Stochastic improved Simpson for solving nonlinear fractional-order systems using product integration rules
  5. Exploring dynamical features like bifurcation assessment, sensitivity visualization, and solitary wave solutions of the integrable Akbota equation
  6. Research on surface defect detection method and optimization of paper-plastic composite bag based on improved combined segmentation algorithm
  7. Impact the sulphur content in Iraqi crude oil on the mechanical properties and corrosion behaviour of carbon steel in various types of API 5L pipelines and ASTM 106 grade B
  8. Unravelling quiescent optical solitons: An exploration of the complex Ginzburg–Landau equation with nonlinear chromatic dispersion and self-phase modulation
  9. Perturbation-iteration approach for fractional-order logistic differential equations
  10. Variational formulations for the Euler and Navier–Stokes systems in fluid mechanics and related models
  11. Rotor response to unbalanced load and system performance considering variable bearing profile
  12. DeepFowl: Disease prediction from chicken excreta images using deep learning
  13. Channel flow of Ellis fluid due to cilia motion
  14. A case study of fractional-order varicella virus model to nonlinear dynamics strategy for control and prevalence
  15. Multi-point estimation weldment recognition and estimation of pose with data-driven robotics design
  16. Analysis of Hall current and nonuniform heating effects on magneto-convection between vertically aligned plates under the influence of electric and magnetic fields
  17. A comparative study on residual power series method and differential transform method through the time-fractional telegraph equation
  18. Insights from the nonlinear Schrödinger–Hirota equation with chromatic dispersion: Dynamics in fiber–optic communication
  19. Mathematical analysis of Jeffrey ferrofluid on stretching surface with the Darcy–Forchheimer model
  20. Exploring the interaction between lump, stripe and double-stripe, and periodic wave solutions of the Konopelchenko–Dubrovsky–Kaup–Kupershmidt system
  21. Computational investigation of tuberculosis and HIV/AIDS co-infection in fuzzy environment
  22. Signature verification by geometry and image processing
  23. Theoretical and numerical approach for quantifying sensitivity to system parameters of nonlinear systems
  24. Chaotic behaviors, stability, and solitary wave propagations of M-fractional LWE equation in magneto-electro-elastic circular rod
  25. Dynamic analysis and optimization of syphilis spread: Simulations, integrating treatment and public health interventions
  26. Visco-thermoelastic rectangular plate under uniform loading: A study of deflection
  27. Threshold dynamics and optimal control of an epidemiological smoking model
  28. Numerical computational model for an unsteady hybrid nanofluid flow in a porous medium past an MHD rotating sheet
  29. Regression prediction model of fabric brightness based on light and shadow reconstruction of layered images
  30. Dynamics and prevention of gemini virus infection in red chili crops studied with generalized fractional operator: Analysis and modeling
  31. Qualitative analysis on existence and stability of nonlinear fractional dynamic equations on time scales
  32. Fractional-order super-twisting sliding mode active disturbance rejection control for electro-hydraulic position servo systems
  33. Analytical exploration and parametric insights into optical solitons in magneto-optic waveguides: Advances in nonlinear dynamics for applied sciences
  34. Bifurcation dynamics and optical soliton structures in the nonlinear Schrödinger–Bopp–Podolsky system
  35. User profiling in university libraries by combining multi-perspective clustering algorithm and reader behavior analysis
  36. Review Article
  37. Haar wavelet collocation method for existence and numerical solutions of fourth-order integro-differential equations with bounded coefficients
  38. Special Issue: Nonlinear Analysis and Design of Communication Networks for IoT Applications - Part II
  39. Silicon-based all-optical wavelength converter for on-chip optical interconnection
  40. Research on a path-tracking control system of unmanned rollers based on an optimization algorithm and real-time feedback
  41. Analysis of the sports action recognition model based on the LSTM recurrent neural network
  42. Industrial robot trajectory error compensation based on enhanced transfer convolutional neural networks
  43. Research on IoT network performance prediction model of power grid warehouse based on nonlinear GA-BP neural network
  44. Interactive recommendation of social network communication between cities based on GNN and user preferences
  45. Application of improved P-BEM in time varying channel prediction in 5G high-speed mobile communication system
  46. Construction of a BIM smart building collaborative design model combining the Internet of Things
  47. Optimizing malicious website prediction: An advanced XGBoost-based machine learning model
  48. Economic operation analysis of the power grid combining communication network and distributed optimization algorithm
  49. Sports video temporal action detection technology based on an improved MSST algorithm
  50. Internet of things data security and privacy protection based on improved federated learning
  51. Enterprise power emission reduction technology based on the LSTM–SVM model
  52. Construction of multi-style face models based on artistic image generation algorithms
  53. Research and application of interactive digital twin monitoring system for photovoltaic power station based on global perception
  54. Special Issue: Decision and Control in Nonlinear Systems - Part II
  55. Animation video frame prediction based on ConvGRU fine-grained synthesis flow
  56. Application of GGNN inference propagation model for martial art intensity evaluation
  57. Benefit evaluation of building energy-saving renovation projects based on BWM weighting method
  58. Deep neural network application in real-time economic dispatch and frequency control of microgrids
  59. Real-time force/position control of soft growing robots: A data-driven model predictive approach
  60. Mechanical product design and manufacturing system based on CNN and server optimization algorithm
  61. Application of finite element analysis in the formal analysis of ancient architectural plaque section
  62. Research on territorial spatial planning based on data mining and geographic information visualization
  63. Fault diagnosis of agricultural sprinkler irrigation machinery equipment based on machine vision
  64. Closure technology of large span steel truss arch bridge with temporarily fixed edge supports
  65. Intelligent accounting question-answering robot based on a large language model and knowledge graph
  66. Analysis of manufacturing and retailer blockchain decision based on resource recyclability
  67. Flexible manufacturing workshop mechanical processing and product scheduling algorithm based on MES
  68. Exploration of indoor environment perception and design model based on virtual reality technology
  69. Tennis automatic ball-picking robot based on image object detection and positioning technology
  70. A new CNN deep learning model for computer-intelligent color matching
  71. Design of AR-based general computer technology experiment demonstration platform
  72. Indoor environment monitoring method based on the fusion of audio recognition and video patrol features
  73. Health condition prediction method of the computer numerical control machine tool parts by ensembling digital twins and improved LSTM networks
  74. Establishment of a green degree evaluation model for wall materials based on lifecycle
  75. Quantitative evaluation of college music teaching pronunciation based on nonlinear feature extraction
  76. Multi-index nonlinear robust virtual synchronous generator control method for microgrid inverters
  77. Manufacturing engineering production line scheduling management technology integrating availability constraints and heuristic rules
  78. Analysis of digital intelligent financial audit system based on improved BiLSTM neural network
  79. Attention community discovery model applied to complex network information analysis
  80. A neural collaborative filtering recommendation algorithm based on attention mechanism and contrastive learning
  81. Rehabilitation training method for motor dysfunction based on video stream matching
  82. Research on façade design for cold-region buildings based on artificial neural networks and parametric modeling techniques
  83. Intelligent implementation of muscle strain identification algorithm in Mi health exercise induced waist muscle strain
  84. Optimization design of urban rainwater and flood drainage system based on SWMM
  85. Improved GA for construction progress and cost management in construction projects
  86. Evaluation and prediction of SVM parameters in engineering cost based on random forest hybrid optimization
  87. Museum intelligent warning system based on wireless data module
  88. Optimization design and research of mechatronics based on torque motor control algorithm
  89. Special Issue: Nonlinear Engineering’s significance in Materials Science
  90. Experimental research on the degradation of chemical industrial wastewater by combined hydrodynamic cavitation based on nonlinear dynamic model
  91. Study on low-cycle fatigue life of nickel-based superalloy GH4586 at various temperatures
  92. Some results of solutions to neutral stochastic functional operator-differential equations
  93. Ultrasonic cavitation did not occur in high-pressure CO2 liquid
  94. Research on the performance of a novel type of cemented filler material for coal mine opening and filling
  95. Testing of recycled fine aggregate concrete’s mechanical properties using recycled fine aggregate concrete and research on technology for highway construction
  96. A modified fuzzy TOPSIS approach for the condition assessment of existing bridges
  97. Nonlinear structural and vibration analysis of straddle monorail pantograph under random excitations
  98. Achieving high efficiency and stability in blue OLEDs: Role of wide-gap hosts and emitter interactions
  99. Construction of teaching quality evaluation model of online dance teaching course based on improved PSO-BPNN
  100. Enhanced electrical conductivity and electromagnetic shielding properties of multi-component polymer/graphite nanocomposites prepared by solid-state shear milling
  101. Optimization of thermal characteristics of buried composite phase-change energy storage walls based on nonlinear engineering methods
  102. A higher-performance big data-based movie recommendation system
  103. Nonlinear impact of minimum wage on labor employment in China
  104. Nonlinear comprehensive evaluation method based on information entropy and discrimination optimization
  105. Application of numerical calculation methods in stability analysis of pile foundation under complex foundation conditions
  106. Research on the contribution of shale gas development and utilization in Sichuan Province to carbon peak based on the PSA process
  107. Characteristics of tight oil reservoirs and their impact on seepage flow from a nonlinear engineering perspective
  108. Nonlinear deformation decomposition and mode identification of plane structures via orthogonal theory
  109. Numerical simulation of damage mechanism in rock with cracks impacted by self-excited pulsed jet based on SPH-FEM coupling method: The perspective of nonlinear engineering and materials science
  110. Cross-scale modeling and collaborative optimization of ethanol-catalyzed coupling to produce C4 olefins: Nonlinear modeling and collaborative optimization strategies
  111. Unequal width T-node stress concentration factor analysis of stiffened rectangular steel pipe concrete
  112. Special Issue: Advances in Nonlinear Dynamics and Control
  113. Development of a cognitive blood glucose–insulin control strategy design for a nonlinear diabetic patient model
  114. Big data-based optimized model of building design in the context of rural revitalization
  115. Multi-UAV assisted air-to-ground data collection for ground sensors with unknown positions
  116. Design of urban and rural elderly care public areas integrating person-environment fit theory
  117. Application of lossless signal transmission technology in piano timbre recognition
  118. Application of improved GA in optimizing rural tourism routes
  119. Architectural animation generation system based on AL-GAN algorithm
  120. Advanced sentiment analysis in online shopping: Implementing LSTM models analyzing E-commerce user sentiments
  121. Intelligent recommendation algorithm for piano tracks based on the CNN model
  122. Visualization of large-scale user association feature data based on a nonlinear dimensionality reduction method
  123. Low-carbon economic optimization of microgrid clusters based on an energy interaction operation strategy
  124. Optimization effect of video data extraction and search based on Faster-RCNN hybrid model on intelligent information systems
  125. Construction of image segmentation system combining TC and swarm intelligence algorithm
  126. Particle swarm optimization and fuzzy C-means clustering algorithm for the adhesive layer defect detection
  127. Optimization of student learning status by instructional intervention decision-making techniques incorporating reinforcement learning
  128. Fuzzy model-based stabilization control and state estimation of nonlinear systems
  129. Optimization of distribution network scheduling based on BA and photovoltaic uncertainty
  130. Tai Chi movement segmentation and recognition on the grounds of multi-sensor data fusion and the DBSCAN algorithm
  131. Special Issue: Dynamic Engineering and Control Methods for the Nonlinear Systems - Part III
  132. Generalized numerical RKM method for solving sixth-order fractional partial differential equations
Downloaded on 12.12.2025 from https://www.degruyterbrill.com/document/doi/10.1515/nleng-2024-0032/html
Scroll to top button