Home Technology Mathematical analysis of Jeffrey ferrofluid on stretching surface with the Darcy–Forchheimer model
Article Open Access

Mathematical analysis of Jeffrey ferrofluid on stretching surface with the Darcy–Forchheimer model

  • Musharafa Saleem , Majid Hussain EMAIL logo and Aun Haider
Published/Copyright: May 16, 2025
Become an author with De Gruyter Brill

Abstract

The study examines the laminar two-dimensional flow with heat and mass transfer of Jeffrey fluid having thermal radiation and heat source–sink effects past a linearly inclined vertical stretched sheet under Stefan blowing. The impact of a magnetic dipole is also examined on two different thermal processes: prescribed surface temperature (PST) and prescribed heat flux (PHF). Furthermore, the Darcy–Forchheimer model, mixed convection, Buongiorno fluid model, and slip conditions are incorporated to enhance these thermal and concentration characteristics. With their unique combination of liquid and magnetic properties, ferromagnetic fluids are useful in a variety of scientific and industrial fields. The purpose of this study is to investigate how viscous dissipation, Soret and Dufour effects, and a magnetic dipole affect fluid flow, heat transfer, and concentration transfers in Jeffrey fluid over an inclined vertical stretching surface. For the concentration profile, the rheological model (a system of partial differential equations) incorporates partial slip effects, thermophoresis, and Brownian motion effects. Using similarity transformations, the model equations are transformed into coupled nonlinear ordinary differential equations. The BVP4C method is employed to obtain solutions to the fluid’s velocity, temperature, and concentration profiles. Various parameters are analyzed to determine their influence, with effects represented in tables and graphs for both PST and PHF thermal processes. Results for specific cases are compared with previously published results, showing good agreement. Thermal radiation increases the temperature for PHF processes, while the magnetic dipole reduces the fluid’s velocity and increases the temperature for PST.

Nomenclature

a 1

stretching constant

C f

skin friction coefficient

C

ambient concentration of nanoparticle

C w

concentration of nanoparticles at surface

D B

Brownian diffusion parameter

Dr

Dufour number

D T

thermophoresis diffusion parameter

Fr

Darcy–Forchheimer parameter

f ( ζ )

velocity profile

f

dimensionless velocity stream function

GC

Grashof number for concentration

GT

Grashof number for temperature

H

magnetic field

k

thermal conductivity

M

magnetic parameter

Nt

thermophoretic parameter

Nb

Brownian parameter

Nu

local Nusselt number

Q

heat source–sink parameter

Pr

Prandtl number

Re

Reynolds number

Rd

thermal radiation parameter

Sc

Schmidt number

Sh

local Sherwood number

T

ambient temperature

T 0

reference temperature

T c

Curie temperature

u , v

velocities

U

free stream velocity

U w

velocity at the wall

Greeks

α

thermal diffusivity

α 1

magnetic field strength

β 1

ferromagnetic interaction parameter

γ

dimensionless distance from the origin to the magnetic dipole

λ

viscous dissipation parameter

μ

dynamic viscosity

ν

kinematic viscosity

Ω 1

slip parameter

ϕ

dimensionless concentration function

ψ

stream function

ϕ ( ζ )

concentration profile

ρ

density

θ

dimensionless temperature

θ 1 ( ζ )

temperature profile

ε

Curie temperature ratio

ζ

dimensionless similarity variable

Subscripts

w

conditions at the surface

conditions at the free stream

0

conditions at the reference surface

1 Introduction

Ferromagnetic fluids (FMFs), or ferrofluids, are liquids that become strongly magnetized when exposed to a magnetic field. These fluids are colloidal suspensions of nanoscale ferromagnetic, or ferrimagnetic particles (usually magnetite, hematite, or some other compound containing iron) suspended in a carrier fluid, typically water or an organic solvent. A surfactant coats the particles to prevent clumping and ensure even dispersion. This can be water, oil, or other suitable solvents that allow the suspension to remain stable. When exposed to a magnetic field, the nanoparticles align along the magnetic field lines, causing the fluid to exhibit magnetic properties. Magnetic fluids [1,2] consist of super-paramagnetic, ferromagnetic, or non-magnetic carrier liquid particles suspended in an organic solvent. FMFs typically comprise nanometer-sized particles, while magneto-rheological fluids contain micrometer-sized particles. The fluid can change its shape and behavior under the influence of a magnetic field. It is used in rotary seals on computer hard drives to keep dust and other particles out while allowing the spindle to rotate. It has potential applications in drug delivery and magnetic resonance imaging (MRI). It is used in loudspeakers to dampen vibrations and improve sound quality, and in heat transfer applications. In the presence of a strong magnetic field, ferrofluids can form spike-like structures due to magnetic field lines, a phenomenon known as normal-field instability. They exhibit super-paramagnetic, meaning they have magnetic properties only in the presence of an external magnetic field and do not retain residual magnetism when the field is removed. The hydrodynamic, rheological, thermophysical, and magnetic properties of FMF are harnessed to develop sealers [35], heat-transfer devices [6], dampers [7], as well as inclination angle and pressure sensors [8,9]. To date, numerous studies have explored the potential applications of FMFs in medicine, such as drug delivery [1012], magnetic hyperthermia, and as a difference medium for medical diagnostics, including MRI [13,14].

Andersson and Valnes [15] examined the flow of FMFs carried out on a flat sheet influenced by a magnetic dipole system. FMFs play a crucial role in various electrochemical, mechanical, and electrical devices, such as computer hard disk seals, lithographic designs, and rotating rods and shafts [16,17]. Zeeshan et al. [18] considered the possession of a magnetic dipole on the radiative flow of viscous FMFs over an elastic sheet. Sohail et al. [19] analyzed the manipulation of FMFs in the context of magnetic drug targeting. Kumar et al. [20] studied the impact of a magnetic dipole on the flow of FMF above extending surface. Almaneea [21] discussed the thermal characteristics of FMFs with hybrid nano-metallic structures in a Forchheimer absorbent medium under the impact of a magnetic dipole. Gowda et al. [22] investigated the influence of Stefan blowing and magnetic dipole effects on the flow of FMFs over a stretching sheet. They solved the resulting equations using the Runge–Kutta–Fehlberg 45 method in combination with the shooting technique. Hussain et al. [23] examined the properties of magnetic dipole contributions to the radiative flow of FMFs, considering the aspects of viscous dissipation.

On the other hand, considering non-Newtonian fluids is of significant real-world importance, it requires mathematical imagination to report the highly non-linear partial differential equations involved. Nowadays, it is understood that fluids generally exhibit viscoelastic behavior under stress. Consequently, both industrial and biological fluids are predictable as non-Newtonian. Many studies have been conducted to explore the effects of relevant parameters in non-Newtonian models, especially on the incidence of a magnetic dipole. Zeeshan and Majeed [24], for instance, examined the heat transfer breakdown of Jeffrey fluid flow over a stretching sheet with suction/injection and the influence of a magnetic dipole. The Jeffrey fluid is of interest due to its linear viscoelastic properties, prompting the exploration of nonlinear viscoelastic fluids. Qualitative and quantitative approaches to Hartmann boundary layer (BL) peristaltic flow of Jeffrey fluid have been performed by Yasmeen et al. [25]. The boundary value problem (BVP) is explained systematically by means of a remarkable perturbation method together with a higher-order identical technique. They discussed the problem of large magnetic fields using both an applied and theoretical point of view. In a study conducted by Abbas et al. [26], Jeffrey fluid was considered under Soret and Dufour and stretched over a curved Riga surface. They reported that the velocity function becomes smaller due to improved values of the modified Hartmann number. Ashraf et al. [27] discussed horizontal Jeffrey fluid film flow in n -immiscible layers with heat transfer. Moreover, they provided evaluation between non-miscible layers of Jeffrey fluid films and Newtonian fluids in terms of velocity and temperature. Non-Newtonian Jeffrey fluids were discussed in recent studies [2830].

Recent advancements in engineering and geophysical methods have provided new insights into fluid movement inside absorbent materials. These approaches are applied in various fields, including grain preservation, groundwater management, porous bearing systems, air refinement in filtration systems, blood movement in lungs or arteries, and transport through permeable tubes. Scientists and engineers from multiple fields have shown a solid curiosity with these applications. A study on absorbent media frequently trusts on Darcy’s supposition [31], which is applicable only for small velocities with low permeability. However, many practical scenarios feature irregular porosity disseminations and improved movement rates, where Darcy’s theory fails to accurately represent the physical singularities. To address this limitation, non-Darcian possessions are incorporated to more precisely represent the actual behavior of the system. Forchheimer [32] reported for these possessions by accumulation a term that comprises the square of the velocity to the Darcian rate equation. Al-arabi et al. [33] investigated the Darcy–Forchheimer model and electromagnetic effects over a rotating cone and an expandable disk moving surface in a thermally hybrid nanofluid flow. Prakash et al. [34] examined the dynamics of irreversibility and melting heat transfer of Casson fluid inside an absorbent medium using Darcy–Forchheimer law. Ramana et al. [35] conducted numerical imitations to study the influences of Darcy–Forchheimer and Hall currents on dissipative Newtonian liquid flow over a thinner surface. Furthermore, Salahuddin et al. [36] analyzed the Darcy–Forchheimer behavior of viscous dissipation on radially tangent hyperbolic fluid with activation energy.

When forced and natural convection processes happen concurrently, the phenomenon called mixed convection occurs in fluid flow. This phenomenon is widely applicable in areas such as heating and ventilation systems, food processing, electronics cooling, solar collectors, glass production, building ventilation, furnaces, chemical reactors, and vehicle cooling. Yang and Du [37] have provided an extensive assessment of forced, free, and mixed convection phenomena in various fluids with different geometries. Current research is focused on investigating mixed convection with heat transfer procedures in composite symmetrical shapes, taking into account factors such as magnetohydrodynamics (MHD), porous media, flow control variables, and the use of nanofluids/hybrid nanofluids [3840]. Another crucial area of study is the generation of irreversibility, which is vital for optimizing heat transfer efficiency. Many revisions have discovered mixed convection phenomena in variously shaped geometries beneath different thermal gradients and external or sliding wall motions [4143]. Additionally, numerous scholars have examined hydrothermal phenomena in a range of multiphysical scenarios [4446].

While linear thermal radiation is further common in many unremarkable applications, nonlinear thermal radiation plays a crucial role in certain situations somewhere a more accurate illustration of radiative heat transfer is necessary. Furthermore, studies have explored the utilization of nonlinear radiation. Thermal radiation is a type of electromagnetic radiation unconstrained by a material outstanding to the heat it produces, and its properties are determined by the material’s temperature. In previous studies [47,48], the stability analysis and the impact of thermal and concentration slip on hybrid Casson–Maxwell nanofluid over a stretched sheet affected by thermal radiation were addressed. Yedhiri et al. [49] investigated the time-dependent mixed convective MHD flow over an infinite vertical plate with thermal absorption. They observed that fluid velocity and temperature increase with rising radiation absorption factor, while temperature tends to reduction as thermal radiation increases. Rao and Deka [50] provided a numerical analysis of hybrid nanofluid utilizing thermal radiation in porous media. Madhu et al. [51] discussed the impacts of quadratic thermal radiation on oblique stagnation points across a cylinder in hybrid nanofluid flow. Alamirew and Awgichew [52] examined the nonlinear radiation effects on the mixed convective flow of Casson nanofluid past a vertically extending surface. Jiann et al. [53] studied the quadratic radiation impacts of melting phenomena on Carreau fluid flow about a stretchable cylinder.

Heat and mass transfer receive considerable influence from the Soret and Dufour effects during non-Newtonian fluid flows under conditions of thermal and concentration gradients. Researchers describe the Soret effect when species diffuse because of thermal gradients and the Dufour effect applies when chemical gradients produce thermal transport. The Soret and Dufour effects matter in three main application areas, including stretched surface flows porous media and MHD systems, because they combine thermal and mass diffusion behavior. Chemical reactions modify the effects through changes to concentration and temperature fields when present. The Soret effect receives reinforcement from exothermic reactions since these reactions elevate temperature gradients but endothermic reactions minimize heat availability, which impacts Dufour-driven heat transfer. The nonlinear interactions present between these components require proper examination during research involving nanofluids as well as biomedical flows and industrial cooling systems. The boundary conditions imposed on the system also have a strong impact on these transport phenomena. Placing the boundary under prescribed surface temperature (PST) control creates a constant temperature environment that directly controls both thermal diffusion and Soret influences. The Dufour effect receives influence from the thermal energy dedicated to diffusion through a process called prescribed heat flux (PHF). The choice of boundary conditions will either increase or decrease heat and mass transfer when implemented during chemical reactions. MHD flows through porous media experience substantial temperature variations when heat flux is prescribed at the boundary because reaction kinetics and mass transport patterns change resulting from these temperature changes. The interactions play vital roles in various applications that include polymer manufacturing alongside peristaltic operation in biological structures and energy system thermal management. Hussain et al. [54] studied the pseudo-plastic properties flow of a nanofluid with about a tall vertical cylinder, focusing on the interaction between thermophoresis and Brownian motion. Shafey et al. [55] conducted a theoretical analysis of the impact of these phenomena on the flow of Newtonian fluid past a nonlinearly stretching cylinder. Tawade et al. [56] inspected the effects of thermophoresis and Brownian motion on the flow of Casson nanofluid over a linearly stretching sheet. Sarfraz et al. [57] researched nanofluid flow and thermal energy transfer in the stagnation area involving the radial impingement of a rotating spherical cylinder. Jawad and Ghazwani [58] analyzed thermophoresis and Brownian motion in MHD flow over a cylinder secure with a porous medium. Sharma et al. [59] inspected the significance of these phenomena on the flow of water carrying Fe3O4 and Mn–ZnFe2O4 nanoparticles over a revolving disk. In a study conducted by Khan et al. [60], the unsteady MHD slip flow of a ternary hybrid Casson fluid through a nonlinear stretching disk embedded in a porous medium was analyzed, highlighting the significant role of slip conditions in heat transfer characteristics. Similarly, Khan et al. [61] explored the heat and mass transfer effects for the MHD flow of a Brinkman-type dusty fluid between fluctuating parallel vertical plates, considering arbitrary wall shear stress. Khan et al. [62] employed Laplace and Sumudu transforms to analyze the unsteady rotating MHD flow of second-grade hybrid nanofluids passing through porous media, thereby studying fluid behavior under these conditions. According to Khan et al. [63], the application of Poincaré–Lighthill perturbation analysis revealed how boundary conditions relating to Newtonian heating generate substantial effects on the temperature distribution of such dusty two-phase fluctuating flow. Khan et al. [64] developed a generalized analysis of electroosmotic MHD flow for hybrid ferrofluids inside an inclined microchannel through models based on Fourier and Fick laws. They showed the predictive power of fractional-order derivatives using a time-fractional model to examine the free convection of vertical plates carrying a dusty two-phase couple stress fluid [65]. The research conducted by Khan et al. [66] showed that heat transfer enhancements occur in MHD Falkner–Skan flow between parallel plates through the analysis of thermal radiation together with free convection and dusty fluid effects; the research demonstrated that thermal BL thickness changes significantly because of radiation. The research of Chen [67] established fundamental knowledge about how stretching surfaces affect buoyancy and external flow during laminar mixed convection. The researchers of Abel et al. [68] investigated viscoelastic MHD flow combined with heat transfer features across stretching sheets while studying viscous and Ohmic dissipations to reveal that these dissipation effects modify the thermal BL features. The research of Agarwal et al. [69] explored the Jeffrey slip fluid flow with magnetic dipole effect over a melting or permeable stretching sheet and demonstrated that slip operation modifies both velocity and temperature distributions.

The objectives of this study are as follows:

  1. Investigate the continuous two-dimensional flow and heat transfer of Jeffrey fluid over a linearly inclined vertical stretched sheet.

  2. Analyze the effects of thermal radiation and heat source–sink effects on the flow and heat transfer.

  3. Examine the impact of a magnetic dipole on the flow and heat transfer processes.

  4. Compare two different thermal processes: PST and PHF, and their effects on flow and heat transfer.

  5. Explore the influence of viscous dissipation, Soret and Dufour effects, and magnetic dipole on the flow and heat transfer characteristics.

  6. Enhance the rheological model by incorporating additional effects such as thermophoresis, Brownian motion, and activation energy to improve concentration profile predictions.

  7. Transform model equations into coupled nonlinear ordinary differential equations (ODEs) using similarity transformations for numerical solution.

  8. Utilize the BVP4C method to obtain solutions for fluid velocity and temperature profiles.

  9. Analyze various parameters to determine their influence on the flow and heat transfer processes.

  10. Present results through tables and graphs, comparing specific cases with previously published results to validate the model.

  11. Investigate the specific impact of thermal radiation and magnetic dipole on fluid velocity and temperature profiles for both PST and PHF thermal processes.

No struggle has yet been made to examine mixed convective flow and Darcy–Forchheimer effects of Jeffrey FMFs on vertically inclined stretched surface. Addressing this gap, this article aims to develop research on non-Newtonian Jeffrey FMFs with heat transport under an outwardly applied magnetic field. Numerical solutions are obtained, and the simplified ODEs are solved numerically using BVP4C. The results are compared with existing literature, demonstrating excellent agreement. The impacts of various significant parameters on fluid velocity, temperature, including concentration, are analyzed and illustrated with graphical representations.

2 Mathematical modeling

2.1 Flow assumptions

The key aims of this study are as follows:

1. Investigate flow with Darcy–Forchheimer effects and heat transfer:

To analyze the continuous two-dimensional flow with Darcy–Forchheimer effects and heat transfer characteristics of Jeffrey fluid over a linearly inclined vertical stretched sheet.

2. Examine thermal radiation and heat source–sink effects:

To understand the impact of thermal radiation and heat source–sink effects under different suction/injection conditions.

3. Explore the influence of magnetic dipole:

To determine the effects of a magnetic dipole on the flow and heat transfer for two thermal processes: PST and PHF.

4. Understand mixed convection:

To study the BL flow and heat transfer with mixed convection, essential for various industrial applications.

5. Assess viscous dissipation, Soret and Dufour effects:

To establish the impact of viscous dissipation, Soret and Dufour effects on the flow and heat transfer characteristics.

6. Enhance rheological model:

To enhance the Jeffrey fluid model by incorporating thermophoresis, Brownian motion, and activation energy effects, thereby improving the concentration profile.

7. Transform and solve model equations:

To transform the model equations into coupled nonlinear ODEs using similarity transformations and solve them using the BVP4C method.

8. Analyze the effects of various parameters:

To study how different parameters affect the flow and heat transfer, presenting these effects through tables and graphs for both PST and PHF conditions.

9. Compare with previous results:

To compare the results of specific cases with previously published results to validate the findings and ensure consistency.

10. Determine thermal radiation and magnetic dipole effects:

To determine that thermal radiation increases the temperature for both PST and PHF processes, and to study how the magnetic dipole influences the fluid’s velocity and temperature differently for PST and PHF processes.

2.2 Flow modeling

An electrically nonconducting, steady, and incompressible two-dimensional Jeffrey FMF flows over an inclined vertical linearly stretching sheet (Figure 1). The sheet stretches with a velocity U w ( x ) alongside a partial slip effects due to a force applied at y = 0 , with this velocity being directly proportional to the distance from the origin. A magnetic dipole is positioned outside the fluid at a distance from it, specifically at a point on the y -axis at a distance b from the x -axis. The magnetic field lines are generated by this dipole point in the positive x -direction. The ferrofluid demonstrates a significant magnetic response, which is relevant up to the Curie temperature T c . This temperature is higher than the temperature of the sheet T w . The temperature of the fluid far from the sheet is denoted as T , where T c > T > T w . The magnetic effects disappear beyond T c . The temperature at the stretching sheet, T w , varies with position as T w = T 0 + c 1 x , and the temperature far from the sheet, T , varies as T = T 0 + c 2 x . The influence of heat generation within the fluid is considered negligibly small. The Jeffrey fluid model is a rheological model used to describe the flow behavior of certain non-Newtonian fluids. It is named after George Barker Jeffrey, who made significant contributions to the field of fluid dynamics and the study of suspensions of ellipsoidal particles in a viscous fluid. The Jeffrey model is particularly useful for characterizing fluids that exhibit both viscous and elastic behavior. The Jeffrey fluid model is defined by the following constitutive equation [24,25]:

(1) τ + λ 1 τ t = η γ ˙ + λ 2 γ ˙ t ,

τ is the shear stress, λ 1 and λ 2 are the time constants that characterize the fluid effects, η is the viscosity of the fluid, and γ ˙ is the shear rate.

Figure 1 
                  Schematic of two-dimensional Jaffery ferrofluid flow with inclined vertical stretched surface.
Figure 1

Schematic of two-dimensional Jaffery ferrofluid flow with inclined vertical stretched surface.

The Jeffrey model captures both viscous and elastic properties of the fluid. The parameters λ 1 and λ 2 allow the model to account for the fluid’s ability to “remember” past deformations, which is a characteristic of viscoelastic materials.

When λ 1 = 0 and λ 2 = 0 , the Jeffrey model reduces to the Newtonian fluid model, which describes purely viscous fluids with a constant viscosity.

When λ 2 = 0 , the model reduces to the Maxwell fluid model, which describes a fluid with elastic and viscous components in series.

The Jeffrey fluid model is used to describe the behavior of various complex fluids, such as polymer solutions, biological fluids, and other materials that exhibit both viscous and elastic properties. It is particularly useful in applications where the fluid’s response to deformation involves time-dependent effects. The Jeffrey fluid model provides a more accurate description of certain non-Newtonian fluids compared to simpler models such as the Newtonian or purely viscous models. It can capture the time-dependent behavior of fluids, making it suitable for modeling processes where fluid memory effects are significant. In summary, the Jeffrey fluid model is a versatile and useful tool in rheology for characterizing the behavior of complex fluids that exhibit both viscous and elastic properties, and it finds applications in various scientific and engineering fields. The governing BL equations for this Jeffrey ferrofluid system are expressed as follows [28,29]:

(2) u x + v y = 0 ,

(3) v u y + u u x = ν 1 + λ 2 2 u y 2 + λ 1 u 3 u x y 2 + v 3 u y 3 + u y 2 u x y u x 2 u y 2 υ K 1 u F u 2 + μ ρ M H x + g β T ( T c T ) cos α + g β c ( C C ) cos α ,

(4) ( ρ C ρ ) f u T x + v T y + μ T M T u H x + u H y = k 2 T x 2 + 2 T y 2 + μ 2 u y 2 + 2 v y 2 q r y + Q ( T c T ) + ρ D B K T C S 2 C y 2 + ( ρ C ρ ) p D B C y T y + D T T C T y 2 ,

(5) u C x + v C y = D B 2 C y 2 + D T K T T 2 T y 2 K 3 ( C C ) ,

here, u and v represent the velocity components along the x and y directions, respectively. The parameter α represents the inclination of the surface, ρ denotes the fluid density, ν signifies the kinematic viscosity of the fluid, λ 1 a viscoelastic fluid parameter that accounts for the elastic effects in the fluid, signifies the, λ 2 another viscoelastic parameter, often related to relaxation or retardation time, K 1 represents the ability of the porous material to allow fluid to pass through, F accounts for nonlinear drag in porous media, influencing flow resistance at high velocities, β T determines how much the fluid density changes with temperature variations, β c represents the change in fluid density due to concentration variations, and Q defines the internal heat source or sink in the system. A positive Q indicates the heat generation, while a negative Q implies the heat absorption, q r y represents the heat transfer due to thermal radiation, D B represents the diffusion of nanoparticles due to their random motion, C S represents the tendency of solute concentration to affect heat and mass transfer properties, K T describes the influence of temperature gradients on nanoparticles migration, D T accounts for particle movement due to temperature gradients, K 3 , defines the strength of the chemical reaction in the concentration equation, C ρ represents the specific heat, and again, μ 0 signifies the magnetic permeability, T symbolizes the temperature, H represents the magnetic field, C s represents the tendency of solute concentration to affect heat and mass transfer properties, and T c is the reference or surface temperature in the problem, and M denotes magnetization.

The relevant boundary conditions take the following form [36,37]:

u ( 0 ) = U w ( x ) + U slip = a 1 x + L u y , v ( 0 ) = V w ( x ) = D B 1 C w C y , C ( 0 ) = C w , u 0 , u y 0 , C C as y ,

T ( 0 ) = T w = T c + A x l 2 , for the PST case,

k T y ( 0 ) = q w = D x l 2 , for the PHF case,

(6) T T c , y , for the both cases ,

where U w ( x ) = a 1 x represents the stretching velocity, a 1 is the stretching constant, T 0 denotes the reference temperature, and T signifies the temperature of the ambient fluid. This equation specifies that the surface temperature varies along the x -direction in a parabolic manner, controlled by the parameter A . A is a constant that determines the strength of temperature variation along the surface. Here, q w represents the surface heat flux (the rate of heat transfer per unit area) applied at y = 0 . The equation states that the heat flux at the surface varies parabolically along the x -direction, governed by D .

2.3 Magnetic dipole moment

The magnetic dipole moment [22,23] can influence the flow patterns and stability of the fluid, as the magnetic forces can either enhance or suppress turbulence depending on the configuration of the magnetic field and the properties of the fluid. In applications involving magnetic fluids or FMFs, the magnetic dipole moment of the particles affects their behavior in a flow. When subjected to an external magnetic field, these particles align along the field lines, which can alter the viscosity and flow characteristics of the fluid. The torque experienced by magnetic dipoles in a fluid can lead to rotational motions, which are significant in processes like mixing or in the design of magnetic stirrers. In summary, the magnetic dipole moment is a key parameter in understanding the interactions between magnetic fields and fluid flows, influencing both the dynamics of the fluids and the behavior of magnetic materials within them. The magnetic dipole generates a magnetic field that impacts the flow of the FMFs, which is represented mathematically by a magnetic scalar potential denoted as

(7) Ω = α 1 2 π x x 2 + ( y + b ) 2 ,

where α 1 illustrates the magnetic field strength at the source. The components of the magnetic field H are given by

(8) H x = Ω x = α 1 2 π x 2 ( y + b ) 2 ( ( y + b ) + x 2 ) 2 ,

(9) H y = Ω y = α 1 2 π 2 x ( y + b ) ( ( y + b ) 2 + x 2 ) .

Since the magnetic body force is generally proportional to the gradient of the magnitude of H , it can be expressed as

(10) H = Ω x 2 + Ω y 2 .

By substituting Eqs (8) and (9) into Eq. (10) and expanding in powers of x , we obtain the following equations, retaining terms up to the order of x 2 :

(11) H x = α 1 2 π 2 x ( y + b ) 4 ,

(12) H y = α 1 2 π 4 x 2 ( y + b ) 5 2 ( y + b ) 3 .

The relationship between magnetization M and temperature T is described by the following linear expression:

(13) M = K 2 ( T C T ) ,

where K 2 represents the pyromagnetic coefficient. The physical depiction of a heated FMF is illustrated in Figure 1, where the circular lines represent the magnetic field.

2.4 Similarity transformations

Here, we define the dimensionless variables as follows:

(14) ψ ( ζ 1 , ξ ) = ζ 1 μ ρ f ( ξ ) , θ ( ζ 1 , ξ ) = T c T T c T W = θ 1 ( ξ ) + ζ 1 2 θ 2 ( ξ ) , ϕ ( ζ 1 , ξ ) = C C C w C = ϕ 1 ( ξ ) + ζ 1 2 ϕ 2 ( ξ ) ,

where θ 1 ( ξ ) and θ 2 ( ξ ) represent the dimensionless temperature, and μ denotes the dynamic viscosity. The corresponding dimensionless coordinates are:

(15) ζ 1 = ρ a 1 μ 1 2 x , ξ = ρ a 1 μ 1 2 y .

2.5 Stream function

The stream function ψ ( ζ 1 , ξ ) is defined to automatically satisfy the continuity equation. The corresponding velocity components u and v are given by

(16) u = ψ y = x a 1 f ( ξ ) , v = ψ x = ( ν a 1 ) 1 2 f ( ξ ) .

Use the prime notation to denote differentiation with respect to ξ , and apply the BL approximation (where O ( x ) = O ( u ) = O ( 1 ) and O ( y ) = O ( v ) = O ( δ ) ), along with employing the similarity variables described in Eqs (14)–(15). Moreover, Eqs (2) and (5) along with the boundary conditions in Eq. (6) are simplified to yield the following system of equations and corresponding boundary conditions:

In order to obtain the solution for momentum equation, finally, we obtain the momentum equation as

(17) f ( 1 + λ 2 ) ( f 2 f f ) + γ 1 ( f 2 f f ) 2 θ 1 β 1 ( ξ + γ ) 4 ( 1 + λ 2 ) K f ( 1 + λ 2 ) Fr f 2 ( 1 + λ 2 ) + G T ( 1 + λ 2 ) ( θ 1 + ζ 1 2 θ 2 ) cos α + G C ϕ ( 1 + λ 2 ) cos α = 0 .

Similarly, we will follow the same process for temperature and concentration. Now, the final BL equations in terms of ODEs are

ζ 1 0 :

(18) θ 1 ( 1 + Rd ) + Pr f θ 1 + 2 β 1 λ ( θ 1 ε ) f ( ξ + γ ) 3 + 2 θ 2 2 λ f 2 + Pr D r ϕ + Pr Q θ 1 + Nb Pr θ 1 ϕ + Pr Nt θ 1 2 = 0 ,

ζ 1 2 :

(19) θ 2 ( 1 + Rd ) + Pr ( f θ 2 2 f θ 2 ) 2 β 1 λ ( θ 1 ε ) f ( ξ + γ ) 4 4 β 1 λ ( θ 1 ε ) f ( ξ + γ ) 5 2 λ f 2 + 2 β 1 λ θ 2 f ( ξ + γ ) 3 + Q Pr θ 2 + Nb Pr θ 2 ϕ + Nt Pr θ 2 2 = 0 .

Similarly,

(20) ϕ 1 + Sc ( f ϕ Kr ϕ + Sr θ 1 ) = 0 ,

(21) ϕ 2 + Sc ( f ϕ Kr ϕ + Sr θ 2 ) = 0 ,

with dimensionless boundary conditions

f = S Sc ϕ 1 , f = 1 + Ω 1 f , ϕ 1 = 1 , ϕ 2 = 1 , at ξ = 0 ,

f 0 , f 0 , ϕ 1 0 , ϕ 2 0 , when ξ ,

(22) θ 1 = 1 , θ 2 = 0 , for the PST case , θ 1 = 1 , θ 2 = 0 , for the PHF case , θ 1 0 , θ 2 0 , for the both cases ,

and the developing parameters are defined as

(23) Pr = ρ ν C p k , Rd = 16 T 3 σ 1 3 K r k , β 1 = α 1 2 π ( T c T w ) μ K 2 ρ ν 2 , γ 1 = λ 1 a 1 , λ = ρ a 1 ν 2 ( T c T w ) k , GT = g β T ( T c T w ) a 1 U w ( x ) , Q = Q ρ C ρ a 1 , K = υ K 1 a 1 , Fr = C b x K 1 , GC = g β c ( C w C ) a 1 U w ( x ) , Ω 1 = L 1 a 1 υ , γ = a 1 ρ μ b , Dr = D B K T ( C w C ) C s C p ( T c T w ) , Nb = τ D B ( C w C ) υ , ε = T c T c T w , q r y = 16 σ 1 T 3 3 K r , Nt = τ D T ( T C T w ) T c υ .

The aforementioned quantities can be defined as the Prandtl number, thermal radiation, ferromagnetic interaction parameter, Deborah number, viscous dissipation parameter, Grashof number for temperature, heat source–sink parameter, permeability parameter, Darcy–Forchheimer parameter, Grashof number for concentration, slip parameter, dimensionless distance from the origin to the magnetic dipole, Dufour number, Brownian motion parameter, Curie temperature ratio, and thermophoretic parameter.

3 Physical quantities

Skin friction, Nusselt number, and Sherwood number have significant applications across various engineering fields. Skin friction is crucial in aerospace, automotive, maritime, and pipeline engineering, where it helps minimize drag and optimize performance and fuel efficiency. The Nusselt number is vital in heat transfer analysis, which is used in the design of heat exchangers, cooling of electronic devices, heating, ventilation, and air conditioning systems, chemical processes, and solar collectors, ensuring effective thermal management. The Sherwood number plays a key role in mass transfer operations, aiding in the design of equipment for chemical engineering, environmental engineering, bioprocessing, food processing, and the pharmaceutical industry, optimizing processes such as drying, extraction, and pollutant dispersion. These dimensionless numbers help engineers characterize and improve the efficiency of various physical processes. In addition, the following categories have been established for the local expressions of skin friction coefficient ( C f ) and local Nusselt number:

(24) C f = 2 τ w ρ U w 2 , Nu = q r x T c T w T y y = 0 , τ w = μ u y y = 0 .

After using the similarity variables, the following dimensionless expressions are obtained as:

(25) Re 1 2 C f = 2 f ( 0 ) , Re 1 2 Nu = ( 1 + Rd ) ( θ 1 ( 0 ) + ζ 1 2 θ 2 ( 0 ) ) , for PST , Re 1 2 Nu = ( 1 + Rd ) [ ( θ 1 ( 0 ) + ζ 1 2 θ 2 ( 0 ) ) ] 1 , for PHF , Re 1 2 Sh = ϕ ( 0 ) ,

where Re = a 1 x 2 ν represents the local Reynolds number.

4 Results, discussion, and applications

4.1 Numerical technique

The results demonstrate the effective representation of the underlying physical principles governing the dynamics of momentum, heat, and concentration profiles using the employed numerical model. Moreover, these thermal and concentration characteristics are further enhanced by incorporating the Darcy–Forchheimer model, mixed convection, the Buongiorno fluid model, and slip conditions. This study holds the potential to contribute significantly to the advancement of engineering applications related to magnetic dipole moments. The findings are visually presented through plots and tables, aiding in a comprehensive understanding and comparison of the outcomes. Specifically, Figure 1 offers a graphical exploration of the considered assumptions within distinct flow transport scenarios, as outlined in Figure 2. This graphical analysis facilitates a clearer comprehension of the various factors at play in different flow conditions. The numerical solution for the given problem was implemented using MATLAB and the BVP4C method. The provided MATLAB code serves the purpose of generating graphs and exploring tabulated values for various physical parameters within this study. The mesh generation and error control mechanisms are dependent on the residuals obtained during the ongoing solution process. A relative error tolerance of 1 0 9 has been set to ensure accurate results. Notably, a finite value of 10 has been employed to replace “infinity.” A systematic approach was adopted, commencing with a low value, such as 10, for the parameter ξ . The method is simple to use and has a quick convergence rate.

Figure 2 
                  Graphical abstract.
Figure 2

Graphical abstract.

Let us define the following functions as:

(26) f ( ξ ) = Y ( 1 ) , f ( ξ ) = Y ( 2 ) , f ( ξ ) = Y ( 3 ) , f ( ξ ) = Y ( 4 ) , θ ( ξ ) = Y ( 5 ) , θ ( ξ ) = Y ( 6 ) , ϕ ( ξ ) = Y ( 7 ) , ϕ ( ξ ) = Y ( 8 ) , f ( ξ ) = Y Y 1 , θ ( ξ ) = Y Y 2 , ϕ ( ξ ) = Y Y 3 .

The set of equations are reduced to

f ( 1 + λ 2 ) ( f 2 f f ) + γ 1 ( f 2 f f ) 2 θ 1 β 1 ( ε + α 1 ) 4 ( 1 + λ 2 ) K f ( 1 + λ 2 ) ,

(27) f = f 2 f 1 f γ 1 f + ( 1 + λ 2 ) ( f 2 f f ) + 2 θ 1 β 1 ( ε + α 1 ) 4 ( 1 + λ 2 ) + K f ( 1 + λ 2 ) + Fr f 2 ( 1 + λ 2 ) G T ( 1 + λ 2 ) ( θ 1 + ζ 1 2 θ 2 ) cos α G C ϕ ( 1 + λ 2 ) cos α ,

(28) Y Y 1 = ( Y ( 3 ) ) 2 Y ( 1 ) 1 Y ( 1 ) γ 1 Y ( 4 ) + ( 1 + λ 2 ) ( Y ( 2 ) 2 Y ( 1 ) Y ( 3 ) ) + 2 Y 1 ( 4 ) β 1 ( ε + α 1 ) 4 ( 1 + λ 2 ) + K Y ( 2 ) ( 1 + λ 2 ) + Fr ( Y ( 2 ) ) 2 ( 1 + λ 2 ) G T ( 1 + λ 2 ) ( Y 1 ( 5 ) + ζ 1 2 Y 2 ( 5 ) ) cos α G C Y ( 7 ) ( 1 + λ 2 ) cos α ,

(29) θ 1 ( 1 + Rd ) + Pr f θ 1 + 2 β 1 λ ( θ 1 ε ) f ( ε + γ ) 3 + 2 θ 2 2 λ f 2 + Pr Q θ 1 + Nb Pr θ 1 ϕ + Pr Nt θ 1 2 = 0 ,

(30) θ 1 = 1 ( 1 + Rd ) Pr f θ 1 2 β λ ( θ 1 ε ) f ( ε + γ ) 3 2 θ 2 2 λ f 2 Pr Q θ 1 Nb Pr θ 1 ϕ Pr Nt θ 1 2 ) ,

(31) ( Y Y 2 ) 1 = 1 ( 1 + Rd ) Pr Y ( 1 ) Y 1 ( 6 ) 2 β λ ( Y 1 ( 5 ) ε ) Y ( 1 ) ( ε + γ ) 3 2 Y 2 ( 5 ) 2 λ ( Y ( 2 ) ) 2 Pr Q Y 1 ( 5 ) Nb Pr Y 1 ( 6 ) Y ( 8 ) Pr Nt ( Y 1 ( 6 ) ) 2 , ,

(32) θ 2 ( 1 + Rd ) + Pr ( f θ 2 2 f θ 2 ) 2 β 1 λ ( θ 1 ε ) f ( ε + γ ) 4 4 β 1 λ ( θ 1 ε ) f ( ε + γ ) 5 2 λ f 2 + 2 β 1 λ θ 2 f ( ε + γ ) 3 + Q Pr θ 2 + Nb Pr θ 2 ϕ + Nt Pr θ 2 2 = 0 ,

(33) θ 2 = 1 ( 1 + Rd ) Pr ( f θ 2 2 f θ 2 ) + 2 β λ ( θ 1 ε ) f ( ε + γ ) 4 + 2 λ f 2 + 4 β 1 λ ( θ 1 ε ) f ( ε + γ ) 5 2 β 1 λ θ 2 f ( ε + γ ) 3 Q Pr θ 2 Nb Pr θ 2 ϕ Nt Pr θ 2 2 ,

(34) ( Y Y 2 ) 2 = 1 ( 1 + Rd ) Pr ( Y ( 1 ) Y ( 6 ) 2 2 Y ( 2 ) Y ( 5 ) 2 ) + 2 β λ ( Y 1 ( 5 ) ε ) ( ε + γ ) 4 Y ( 1 ) + 4 β 1 λ ( Y 1 ( 5 ) ε ) ( ε + γ ) 5 Y ( 1 ) + 2 λ Y ( 3 ) 2 2 β 1 λ Y 2 ( 5 ) Y ( 1 ) ( ε + γ ) 3 Q Pr Y 2 ( 5 ) Nb Pr Y 2 ( 6 ) Y ( 8 ) Nt Pr ( Y 2 ( 6 ) ) 2 , ,

(35) ϕ 1 + Sc ( f ϕ Kr ϕ + Sr θ 1 ) = 0 ,

(36) ϕ 1 = Sc ( f ϕ Kr ϕ + Sr θ 1 ) ,

(37) ( Y Y 3 ) 1 = Sc ( Y ( 1 ) Y ( 8 ) Kr Y ( 7 ) + Sr ( Y Y 2 ) 1 ) ,

(38) ϕ 2 + Sc ( f ϕ Kr ϕ + Sr θ 2 ) = 0 ,

(39) ϕ 2 = Sc ( f ϕ Kr ϕ + Sr θ 2 ) ,

(40) ( Y Y 3 ) 2 = Sc ( Y ( 1 ) Y ( 8 ) Kr Y ( 7 ) + Sr ( Y Y 2 ) 2 ) ,

with the transformed boundary conditions

(41) Y ( 1 ) [ ζ ] = 0 , Y ( 2 ) [ ζ ] = 1 , Y ( 7 ) 1 [ ζ ] = 1 S 1 , Y ( 5 ) 2 [ ζ ] = 0 , at ζ = 0 ,

(42) Y ( 2 ) [ ζ ] R , Y ( 7 ) 1 [ ζ ] 0 Y ( 5 ) 2 [ ζ ] 0 , when ζ .

4.2 Comparison

By comparing the numerical values of the Nusselt number for varying Prandtl numbers in Table 1, the accuracy of the modified approach is demonstrated. The table confirms the effectiveness of the improved method.

Table 1

Comparison of the Nusselt number for different values of the Prandtl number (Pr), with all other parameters set to zero

Pr θ 1 ( 0 ) [67] θ 1 ( 0 ) [68] θ 1 ( 0 ) [69] Present values
0.72 1.0885 1.088548 1.088527 1.0885252
1 1.3330 1.333333 1.333334 1.3333333
3 2.5097 2.5097134 2.509725 2.50977266
10 4.7968 4.796864 4.796873 4.796856998

4.3 Discussion

4.3.1 Velocity distribution on various pertinent parameters

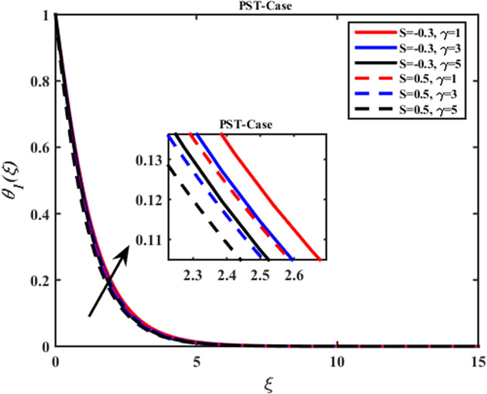
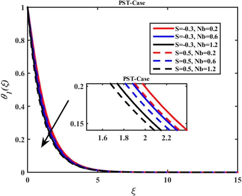
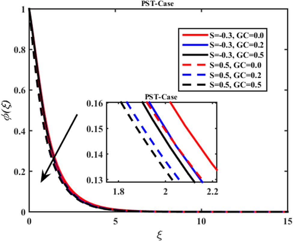
This parameter γ defines the spatial variation of the magnetic field in FMFs. A higher γ modifies the strength and influence of the applied magnetic dipole, affecting velocity distribution. In magnetic-based fluid transport and control systems, tuning this parameter allows for precise manipulation of flow behavior. In Figure 3, as the γ parameter increases, the fluid velocity rises for both the values of S = 0.3 or S = 0.5 in PST case. Moreover, fluctuation in velocity is higher at S = 0.3 . The ferromagnetic interaction parameter governs the response of FMFs to externally applied magnetic fields. It accounts for the interplay between magnetic and fluid flow properties. A higher β 1 strengthens the magnetic forces, leading to increased resistance in fluid motion due to the Lorentz force, which tends to slow down velocity. However, the additional magnetic energy can enhance thermal conduction, increasing the fluid temperature. This parameter is crucial in magnetic drug targeting, cooling systems, and MHD applications. Figure 4 portrays the influences of β 1 parameter on velocity distribution. Here, the velocity declines due to growing values of β 1 for both the values of S 0 for PST case. Fluctuation is similar, as depicted in Figure 3. The permeability parameter describes the ability of a porous medium to allow fluid flow. A high value indicates less resistance in the porous structure, enabling easier fluid movement. In contrast, a lower K suggests that the medium is more restrictive, leading to reduced velocity. This parameter is vital in petroleum engineering, groundwater flow analysis, and biomedical applications such as drug delivery through porous tissues. The Darcy parameter impacts are shown in Figure 5. For suction, as we raise the values of K is the fluid velocity rises, but for injection, it decreases. The Dr impacts for positive and negative values of S are shown in Figure 6. In this figure, the fluid velocity decreases for bigger values of Dr. The Darcy–Forchheimer parameter governs the resistance to fluid motion within a porous medium, considering both linear (Darcy) and nonlinear (Forchheimer) effects. As Fr increases, the permeability improves, facilitating higher velocity. However, for injection cases, an increase in Fr can lead to a decline in velocity due to flow redistribution. This parameter is crucial in enhanced oil recovery, filtration systems, and subsurface water transport. The Darcy–Forchheimer parameter impressions on velocity are depicted in Figure 7. This figure explains that for injection, the velocity rises, and for suction, it decreases as the Fr values go up. The Deborah number represents the elasticity of the fluid, quantifying the ratio of relaxation time to observation time. It characterizes the viscoelastic behavior of non-Newtonian fluids, such as polymeric or Jeffrey fluids. A higher value indicates a more elastic fluid, which resists rapid deformation. This leads to a decrease in velocity as the fluid takes longer to respond to applied forces. Additionally, elasticity can contribute to increased internal energy storage, affecting temperature distribution within the fluid. The interactions of γ 1 on the ferro Jeffrey fluid are shown in Figure 8 for suction/injection cases (PST). The fluid velocity declines as γ 1 upsurges. The thermal Grashof number quantifies the effect of buoyancy forces due to temperature differences within the fluid. It measures the ratio of buoyancy to viscous forces. A higher GT value signifies stronger natural convection, which accelerates fluid motion and enhances heat transfer. When GT is large, thermal-induced buoyancy dominates, leading to an increase in velocity and a redistribution of temperature profiles. This parameter is crucial in meteorology, industrial cooling, and energy-efficient building designs. Figures 9 and 10 display the influences of GC and GT Jeffrey ferro magnetic fluids, respectively. Fluid velocity increases for GC parameter and decreases for GT parameter. The concentration Grashof number quantifies buoyancy effects caused by concentration gradients. A higher GC value enhances mass transfer by promoting convective motion due to solutal buoyancy forces. This leads to an increase in velocity and affects the concentration distribution. This parameter is relevant in chemical engineering, environmental pollution modeling, and mass transport processes in biological systems. The parameters Nt, Nb, and Ω 1 have similar impacts on the fluid velocity as obvious from Figures 11, 12, and 13, respectively. The slip parameter represents the extent to which the fluid adheres to the surface. In a no-slip condition Ω 1 = 0 , the fluid sticks to the boundary, experiencing maximum resistance. As Ω 1 increases, slip effects allow the fluid to move more freely, leading to an increase in velocity. This parameter is significant in microfluidics, lubrication theory, and biomedical applications such as blood flow in narrow vessels. The impression of Pr on velocity for PHF is sketched in Figure 14. The distribution of velocity decreases as Pr goes up at S = 0.1 . The PHF case of velocity profiles is made in Figure 15 at S = 0.1 . The fluid velocity rises at Rd = 2.0 , 2.2, and 2.4.

Figure 3 
                     Interaction of suction and injection on Ferro–Jaffery fluid within the 
                           
                              
                              
                                 γ
                              
                              \gamma 
                           
                         on velocity profile 
                           
                              
                              
                                 
                                    
                                       f
                                    
                                    
                                       ′
                                    
                                 
                                 
                                    (
                                    
                                       ξ
                                    
                                    )
                                 
                              
                              {f}^{^{\prime} }(\xi )
                           
                        .
Figure 3

Interaction of suction and injection on Ferro–Jaffery fluid within the γ on velocity profile f ( ξ ) .

Figure 4 
                     Interaction of suction and injection on Ferro–Jaffery fluid within the 
                           
                              
                              
                                 
                                    
                                       β
                                    
                                    
                                       1
                                    
                                 
                              
                              {\beta }_{1}
                           
                         on velocity profile 
                           
                              
                              
                                 
                                    
                                       f
                                    
                                    
                                       ′
                                    
                                 
                                 
                                    (
                                    
                                       ξ
                                    
                                    )
                                 
                              
                              {f}^{^{\prime} }(\xi )
                           
                        .
Figure 4

Interaction of suction and injection on Ferro–Jaffery fluid within the β 1 on velocity profile f ( ξ ) .

Figure 5 
                     Interaction of suction and injection on Ferro–Jaffery fluid within the 
                           
                              
                              
                                 K
                              
                              K
                           
                         on velocity profile 
                           
                              
                              
                                 
                                    
                                       f
                                    
                                    
                                       ′
                                    
                                 
                                 
                                    (
                                    
                                       ξ
                                    
                                    )
                                 
                              
                              {f}^{^{\prime} }(\xi )
                           
                        .
Figure 5

Interaction of suction and injection on Ferro–Jaffery fluid within the K on velocity profile f ( ξ ) .

Figure 6 
                     Interaction of suction and injection on Ferro–Jaffery fluid within the Dr on velocity profile 
                           
                              
                              
                                 
                                    
                                       f
                                    
                                    
                                       ′
                                    
                                 
                                 
                                    (
                                    
                                       ξ
                                    
                                    )
                                 
                              
                              {f}^{^{\prime} }(\xi )
                           
                        .
Figure 6

Interaction of suction and injection on Ferro–Jaffery fluid within the Dr on velocity profile f ( ξ ) .

Figure 7 
                     Interaction of suction and injection on Ferro–Jaffery fluid within the Fr on velocity profile 
                           
                              
                              
                                 
                                    
                                       f
                                    
                                    
                                       ′
                                    
                                 
                                 
                                    (
                                    
                                       ξ
                                    
                                    )
                                 
                              
                              {f}^{^{\prime} }(\xi )
                           
                        .
Figure 7

Interaction of suction and injection on Ferro–Jaffery fluid within the Fr on velocity profile f ( ξ ) .

Figure 8 
                     Interaction of suction and injection on Ferro–Jaffery fluid within the 
                           
                              
                              
                                 
                                    
                                       γ
                                    
                                    
                                       1
                                    
                                 
                              
                              {\gamma }_{1}
                           
                         on velocity profile 
                           
                              
                              
                                 
                                    
                                       f
                                    
                                    
                                       ′
                                    
                                 
                                 
                                    (
                                    
                                       ξ
                                    
                                    )
                                 
                              
                              {f}^{^{\prime} }(\xi )
                           
                        .
Figure 8

Interaction of suction and injection on Ferro–Jaffery fluid within the γ 1 on velocity profile f ( ξ ) .

Figure 9 
                     Interaction of suction and injection on Ferro–Jaffery fluid within the GC on velocityprofile 
                           
                              
                              
                                 
                                    
                                       f
                                    
                                    
                                       ′
                                    
                                 
                                 
                                    (
                                    
                                       ξ
                                    
                                    )
                                 
                                 .
                              
                              {f}^{^{\prime} }(\xi ).
Figure 9

Interaction of suction and injection on Ferro–Jaffery fluid within the GC on velocityprofile f ( ξ ) .

Figure 10 
                     Interaction of suction and injection on Ferro–Jaffery fluid within the GT on velocity profile 
                           
                              
                              
                                 
                                    
                                       f
                                    
                                    
                                       ′
                                    
                                 
                                 
                                    (
                                    
                                       ξ
                                    
                                    )
                                 
                                 .
                              
                              {f}^{^{\prime} }(\xi ).
Figure 10

Interaction of suction and injection on Ferro–Jaffery fluid within the GT on velocity profile f ( ξ ) .

Figure 11 
                     Interaction of suction and injection on Ferro–Jaffery fluid within the 
                           
                              
                              
                                 Nb
                              
                              {\rm{Nb}}
                           
                         on velocity profile 
                           
                              
                              
                                 
                                    
                                       f
                                    
                                    
                                       ′
                                    
                                 
                                 
                                    (
                                    
                                       ξ
                                    
                                    )
                                 
                                 .
                              
                              {f}^{^{\prime} }(\xi ).
Figure 11

Interaction of suction and injection on Ferro–Jaffery fluid within the Nb on velocity profile f ( ξ ) .

Figure 12 
                     Interaction of suction and injection on Ferro–Jaffery fluid within the 
                           
                              
                              
                                 Nt
                              
                              {\rm{Nt}}
                           
                         on velocity profile 
                           
                              
                              
                                 
                                    
                                       f
                                    
                                    
                                       ′
                                    
                                 
                                 
                                    (
                                    
                                       ξ
                                    
                                    )
                                 
                                 .
                              
                              {f}^{^{\prime} }(\xi ).
Figure 12

Interaction of suction and injection on Ferro–Jaffery fluid within the Nt on velocity profile f ( ξ ) .

Figure 13 
                     Interaction of suction and injection on Ferro–Jaffery fluid within the 
                           
                              
                              
                                 
                                    
                                       Ω
                                    
                                    
                                       1
                                    
                                 
                              
                              {\Omega }_{1}
                           
                         on velocity profile 
                           
                              
                              
                                 
                                    
                                       f
                                    
                                    
                                       ′
                                    
                                 
                                 
                                    (
                                    
                                       ξ
                                    
                                    )
                                 
                                 .
                              
                              {f}^{^{\prime} }(\xi ).
Figure 13

Interaction of suction and injection on Ferro–Jaffery fluid within the Ω 1 on velocity profile f ( ξ ) .

Figure 14 
                     Interaction of suction and injection on Ferro–Jaffery fluid within the Pr on velocity profile 
                           
                              
                              
                                 
                                    
                                       f
                                    
                                    
                                       ′
                                    
                                 
                                 
                                    (
                                    
                                       ξ
                                    
                                    )
                                 
                                 .
                              
                              {f}^{^{\prime} }(\xi ).
Figure 14

Interaction of suction and injection on Ferro–Jaffery fluid within the Pr on velocity profile f ( ξ ) .

Figure 15 
                     Interaction of suction and injection on Ferro–Jaffery fluid within the 
                           
                              
                              
                                 Rd
                              
                              {\rm{Rd}}
                           
                         on velocity profile 
                           
                              
                              
                                 
                                    
                                       f
                                    
                                    
                                       ′
                                    
                                 
                                 
                                    (
                                    
                                       ξ
                                    
                                    )
                                 
                                 .
                              
                              {f}^{^{\prime} }(\xi ).
Figure 15

Interaction of suction and injection on Ferro–Jaffery fluid within the Rd on velocity profile f ( ξ ) .

4.3.2 Temperature distribution on various pertinent parameters

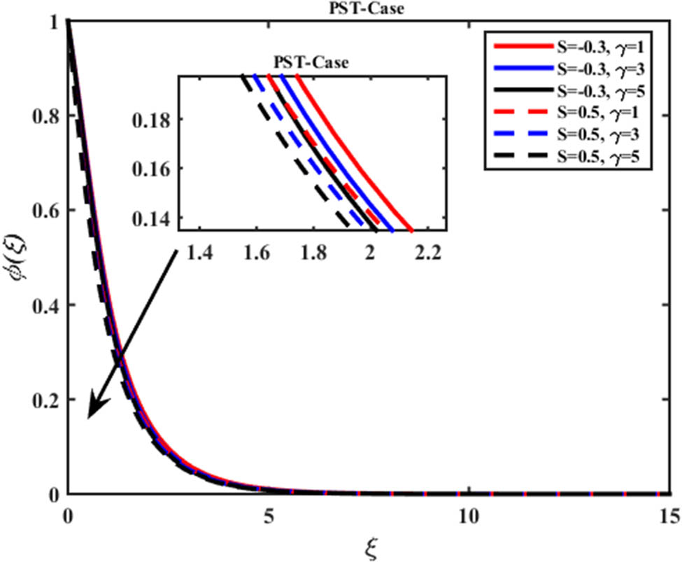
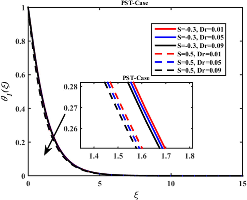
Figures 16, 17, 18, 19, 20, 21, 22, 23, 24, 25 are sketched to see the influences of important parameters on temperature velocity for PST/PHF cases in the occurrence of suction/injection. Here, θ 1 ( ξ ) represents PST case and θ 2 ( ξ ) for PHF case. The interaction of β 1 considering suction and injection on Jeffery ferro fluid temperature velocity is depicted in Figure 16. Temperature grows slowly with the rise of β 1 parameter. A slow decline is observed in temperature velocity for GT parameter (Figure 17). The Dufour number represents the cross-diffusion effect, where mass flux influences the thermal transport. A higher Dr value means that concentration gradients significantly impact heat transfer. This results in an increase in temperature distribution within the fluid. The Dufour effect is relevant in isotope separation, combustion processes, and multi-species fluid flows. However, in Figure 18, the opposite trend is observed due to the influence of Stefan blowing effects. Similarly, Figure 19 illustrates the impact of the Grashof number for concentration in the PST case, exhibiting the same trend as shown in Figure 18. The parameters Nt and γ have similar impacts on θ 1 ( ξ ) as it rises with the rise in the values of both the parameters, as obvious from Figures 20 and 21. The thermophoretic parameter measures the migration of particles due to temperature gradients. A higher Nt value means that nanoparticles tend to move from hot regions to cooler regions, redistributing concentration and heat transfer patterns. This effect is essential in aerosol dynamics, semiconductor processing, and nanoparticle-based drug delivery systems. The Prandtl number is a dimensionless parameter that represents the ratio of momentum diffusivity (kinematic viscosity) to thermal diffusivity. It determines the relative thickness of the velocity BL to the thermal BL. A higher Pr value implies that the fluid has lower thermal diffusivity, meaning that heat takes longer to diffuse through the medium. This results in a steeper temperature gradient and higher temperature near the surface. Conversely, a lower Pr indicates that heat diffuses quickly, leading to a more uniform temperature distribution in the fluid. The interaction of Nb and Pr on temperature profile is shown in Figures 22 and 23. Upon analysis of both the figures, θ 1 ( ξ ) shows a declining behavior when both the parameters become larger. Communication of Pr and Rd on θ 2 ( ξ ) within suction is portrayed in Figures 24 and 25. From these figrues, we can say that θ 2 ( ξ ) rises with the increase in the Pr values and decreases with the bigger values of Rd. The thermal radiation parameter quantifies the contribution of radiative heat transfer in the energy equation. In high-temperature environments, radiative heat flux plays a significant role in thermal energy transport. An increase in Rd enhances heat loss through radiation, which reduces the temperature of the fluid. This leads to a reduction in the temperature gradient, affecting overall heat transfer efficiency. Thermal radiation is particularly significant in applications involving high-temperature plasmas, space technology, and combustion processes.

Figure 16 
                     Interaction of suction and injection on Ferro–Jaffery fluid within the 
                           
                              
                              
                                 
                                    
                                       β
                                    
                                    
                                       1
                                    
                                 
                              
                              {\beta }_{1}
                           
                         on thermal profile 
                           
                              
                              
                                 
                                    
                                       θ
                                    
                                    
                                       1
                                    
                                 
                                 
                                    (
                                    
                                       ξ
                                    
                                    )
                                 
                                 .
                              
                              {\theta }_{1}(\xi ).
Figure 16

Interaction of suction and injection on Ferro–Jaffery fluid within the β 1 on thermal profile θ 1 ( ξ ) .

Figure 17 
                     Interaction of suction and injection on Ferro–Jaffery fluid within the GT on thermal profile 
                           
                              
                              
                                 
                                    
                                       θ
                                    
                                    
                                       1
                                    
                                 
                                 
                                    (
                                    
                                       ξ
                                    
                                    )
                                 
                                 .
                              
                              {\theta }_{1}(\xi ).
Figure 17

Interaction of suction and injection on Ferro–Jaffery fluid within the GT on thermal profile θ 1 ( ξ ) .

Figure 18 
                     Interaction of suction and injection on Ferro–Jaffery fluid within the Dr on thermal profile 
                           
                              
                              
                                 
                                    
                                       θ
                                    
                                    
                                       1
                                    
                                 
                                 
                                    (
                                    
                                       ξ
                                    
                                    )
                                 
                                 .
                              
                              {\theta }_{1}(\xi ).
Figure 18

Interaction of suction and injection on Ferro–Jaffery fluid within the Dr on thermal profile θ 1 ( ξ ) .

Figure 19 
                     Interaction of suction and injection on Ferro–Jaffery fluid within the GC on thermal profile 
                           
                              
                              
                                 
                                    
                                       θ
                                    
                                    
                                       1
                                    
                                 
                                 
                                    (
                                    
                                       ξ
                                    
                                    )
                                 
                                 .
                              
                              {\theta }_{1}(\xi ).
Figure 19

Interaction of suction and injection on Ferro–Jaffery fluid within the GC on thermal profile θ 1 ( ξ ) .

Figure 20 
                     Interaction of suction and injection on Ferro–Jaffery fluid within the Nt on thermal profile 
                           
                              
                              
                                 
                                    
                                       θ
                                    
                                    
                                       1
                                    
                                 
                                 
                                    (
                                    
                                       ξ
                                    
                                    )
                                 
                                 .
                              
                              {\theta }_{1}(\xi ).
Figure 20

Interaction of suction and injection on Ferro–Jaffery fluid within the Nt on thermal profile θ 1 ( ξ ) .

Figure 21 
                     Interaction of suction and injection on Ferro–Jaffery fluid within the 
                           
                              
                              
                                 γ
                              
                              \gamma 
                           
                         on thermal profile 
                           
                              
                              
                                 
                                    
                                       θ
                                    
                                    
                                       1
                                    
                                 
                                 
                                    (
                                    
                                       ξ
                                    
                                    )
                                 
                                 .
                              
                              {\theta }_{1}(\xi ).
Figure 21

Interaction of suction and injection on Ferro–Jaffery fluid within the γ on thermal profile θ 1 ( ξ ) .

Figure 22 
                     Interaction of suction and injection on Ferro–Jaffery fluid within the Nb on thermal profile 
                           
                              
                              
                                 
                                    
                                       θ
                                    
                                    
                                       1
                                    
                                 
                                 
                                    (
                                    
                                       ξ
                                    
                                    )
                                 
                                 .
                              
                              {\theta }_{1}(\xi ).
Figure 22

Interaction of suction and injection on Ferro–Jaffery fluid within the Nb on thermal profile θ 1 ( ξ ) .

Figure 23 
                     Interaction of suction and injection on Ferro–Jaffery fluid within the 
                           
                              
                              
                                 Pr
                              
                              {\rm{\Pr }}
                           
                         on thermal profile 
                           
                              
                              
                                 
                                    
                                       θ
                                    
                                    
                                       1
                                    
                                 
                                 
                                    (
                                    
                                       ξ
                                    
                                    )
                                 
                                 .
                              
                              {\theta }_{1}(\xi ).
Figure 23

Interaction of suction and injection on Ferro–Jaffery fluid within the Pr on thermal profile θ 1 ( ξ ) .

Figure 24 
                     Interaction of suction and injection on Ferro–Jaffery fluid within the 
                           
                              
                              
                                 Pr
                              
                              {\rm{\Pr }}
                           
                         on thermal profile 
                           
                              
                              
                                 
                                    
                                       θ
                                    
                                    
                                       2
                                    
                                 
                                 
                                    (
                                    
                                       ξ
                                    
                                    )
                                 
                                 .
                              
                              {\theta }_{2}(\xi ).
Figure 24

Interaction of suction and injection on Ferro–Jaffery fluid within the Pr on thermal profile θ 2 ( ξ ) .

Figure 25 
                     Interaction of suction and injection on Ferro–Jaffery fluid within the 
                           
                              
                              
                                 Rd
                              
                              {\rm{Rd}}
                           
                         on thermal profile 
                           
                              
                              
                                 
                                    
                                       θ
                                    
                                    
                                       2
                                    
                                 
                                 
                                    (
                                    
                                       ξ
                                    
                                    )
                                 
                                 .
                              
                              {\theta }_{2}(\xi ).
Figure 25

Interaction of suction and injection on Ferro–Jaffery fluid within the Rd on thermal profile θ 2 ( ξ ) .

4.3.3 Concentration distribution on various pertinent parameters

Interactions of various parameters on ϕ ( ξ ) are demonstrated through Figures 26, 27, 28, 29, 30, 31, 32, respectively. γ lines are shown via Figure 26 on concentration profile (PST case). This velocity decreases with increasing the values of pertinent parameter for suction/injection cases. Figure 27 is prepared to see the influences of β 1 on ϕ ( ξ ) when suction/injection presents. Here, profiles of concentration velocity go up with the rising values of β 1 . Figure 28 demonstrates the special impacts of GC on the concentration velocity. ϕ ( ξ ) slowly decreases with the increase in the values of GC. Figure 29 is established to see the influences of GT on ϕ ( ξ ) . From this figrue, we can say that concentration profile grows as the GT value upsurges. The conventional impacts of Kr are shown in Figure 30. It is noted that ϕ ( ξ ) declines with growing values of Kr. The influences of Pr are verified via Figure 31. Figure 28 shows that ϕ ( ξ ) increases with increasing values of Pr. The Brownian motion parameter quantifies the impact of random nanoparticle movement due to molecular collisions. An increase in Nb enhances diffusion effects, influencing heat and mass transfer. Higher Nb values generally lead to decreased velocity and increased temperature due to intensified thermal energy transport. This parameter is significant in nanotechnology, cooling systems, and biomedical imaging. The effect of Nb on concentration velocity is depicted in Figure 32. The concentration lines of ϕ ( ξ ) upsurge with higher values of Nb.

Figure 26 
                     Interaction of suction and injection on Ferro–Jaffery fluid within the 
                           
                              
                              
                                 γ
                              
                              \gamma 
                           
                         on concentration profile 
                           
                              
                              
                                 ϕ
                                 
                                    (
                                    
                                       ξ
                                    
                                    )
                                 
                                 .
                              
                              \phi (\xi ).
Figure 26

Interaction of suction and injection on Ferro–Jaffery fluid within the γ on concentration profile ϕ ( ξ ) .

Figure 27 
                     Interaction of suction and injection on Ferro–Jaffery fluid within the 
                           
                              
                              
                                 
                                    
                                       β
                                    
                                    
                                       1
                                    
                                 
                              
                              {\beta }_{1}
                           
                         on concentration profile 
                           
                              
                              
                                 ϕ
                                 
                                    (
                                    
                                       ξ
                                    
                                    )
                                 
                                 .
                              
                              \phi (\xi ).
Figure 27

Interaction of suction and injection on Ferro–Jaffery fluid within the β 1 on concentration profile ϕ ( ξ ) .

Figure 28 
                     Interaction of suction and injection on Ferro–Jaffery fluid within the GC on concentration profile 
                           
                              
                              
                                 ϕ
                                 
                                    (
                                    
                                       ξ
                                    
                                    )
                                 
                                 .
                              
                              \phi (\xi ).
Figure 28

Interaction of suction and injection on Ferro–Jaffery fluid within the GC on concentration profile ϕ ( ξ ) .

Figure 29 
                     Interaction of suction and injection on Ferro–Jaffery fluid within the GT on concentration profile 
                           
                              
                              
                                 ϕ
                                 
                                    (
                                    
                                       ξ
                                    
                                    )
                                 
                                 .
                              
                              \phi (\xi ).
Figure 29

Interaction of suction and injection on Ferro–Jaffery fluid within the GT on concentration profile ϕ ( ξ ) .

Figure 30 
                     Interaction of suction and injection on Ferro–Jaffery fluid within the 
                           
                              
                              
                                 Kr
                              
                              {\rm{Kr}}
                           
                         on concentration profile 
                           
                              
                              
                                 ϕ
                                 
                                    (
                                    
                                       ξ
                                    
                                    )
                                 
                                 .
                              
                              \phi (\xi ).
Figure 30

Interaction of suction and injection on Ferro–Jaffery fluid within the Kr on concentration profile ϕ ( ξ ) .

Figure 31 
                     Interaction of suction and injection on Ferro–Jaffery fluid within the 
                           
                              
                              
                                 Pr
                              
                              {\rm{\Pr }}
                           
                         on concentration profile 
                           
                              
                              
                                 ϕ
                                 
                                    (
                                    
                                       ξ
                                    
                                    )
                                 
                                 .
                              
                              \phi (\xi ).
Figure 31

Interaction of suction and injection on Ferro–Jaffery fluid within the Pr on concentration profile ϕ ( ξ ) .

Figure 32 
                     Interaction of suction and injection on Ferro–Jaffery fluid within the 
                           
                              
                              
                                 Nb
                              
                              {\rm{Nb}}
                           
                         on concentration profile 
                           
                              
                              
                                 ϕ
                                 
                                    (
                                    
                                       ξ
                                    
                                    )
                                 
                                 .
                              
                              \phi (\xi ).
Figure 32

Interaction of suction and injection on Ferro–Jaffery fluid within the Nb on concentration profile ϕ ( ξ ) .

5 Conclusion

This research signifies into the two-dimensional flow with heat and mass transfers of Jeffrey fluid encountering thermal radiation and heat source–sink effects over a linearly inclined vertical stretched sheet under Stefan blowing conditions. It examines the influence of a magnetic dipole under two distinct thermal processes: PST and PHF. Moreover, these thermal and concentration characteristics are further enhanced by incorporating the Darcy–Forchheimer model, mixed convection, the Buongiorno fluid model, and slip conditions. The comprehension of BL flow and heat transfer with mixed convection holds significant importance across various industries due to the challenges in achieving desired product outcomes from these processes. The study aims to elucidate the impact of viscous dissipation, Soret and Dufour effects, and a magnetic dipole on flow and heat transfer in Jeffrey fluid along an inclined vertical stretching surface. To enhance the rheological model, it incorporates thermophoresis, Brownian motion, and chemical reaction effects for an improved concentration profile. Utilizing similarity transformations, the model equations are converted into coupled nonlinear ODEs. The BVP4C method is then applied to derive solutions for the fluid’s velocity and temperature. The analysis conducted through the similarity transformations sheds light on the influence of various physical parameters on the flow field, as described by the BVP equations. Key findings from the discussion and figures can be summarized as follows:

  1. Fluid velocity rises with increasing γ values for both ( S = 0.3 ) and ( S = 0.5 ), with higher fluctuation at ( S = 0.3 ) (Figure 3).

  2. Velocity decreases with higher β 1 values for both ( S > 0 ) and ( S < 0 ) (Figure 4).

  3. Velocity increases with higher Da values during suction and decreases during injection (Figure 5).

  4. Velocity rises with higher Fr values during injection and falls during suction (Figure 7).

  5. Temperature increases slowly with higher β 1 values for both suction and injection (Figure 16).

  6. Temperature increases with higher Nt and γ values (Figures 20 and 21).

  7. Temperature rises with higher Pr values and falls with higher Rd values (Figures 24 and 25).

  8. Concentration decreases with higher γ values for both suction and injection (Figure 26).

  9. Concentration increases with higher β 1 values for both suction and injection (Figure 27).

  10. Concentration increases with higher Pr and Nb values (Figures 31 and 32).

6 Applications

The mathematical analysis of Jeffrey FMFs on vertical inclined stretched surfaces with Darcy–Forchheimer and mixed convection effects has several applications, including:

Magnetic drug targeting: FMFs can be used to deliver drugs to specific locations in the body using magnetic fields. The analysis of their flow behavior is crucial for optimizing the drug delivery process.

Heat transfer enhancement: FMFs can be used as coolants in various applications due to their enhanced heat transfer properties. The analysis helps in designing efficient cooling systems.

Lubrication and bearing systems: FMFs can be used as lubricants in bearings and other mechanical systems. The analysis helps in understanding their behavior under different operating conditions.

Microfluidics and lab-on-a-chip devices: FMFs can be used in microfluidic devices for various applications, such as valves and pumps. The analysis helps in designing and optimizing these devices.

The mathematical analysis of Jeffrey FMFs on vertical inclined stretched surfaces with Darcy–Forchheimer and mixed convection effects provides valuable insights into the behavior of these fluids under specific conditions. It helps in understanding the complex interactions between the fluid, magnetic field, and the surrounding environment, which is crucial for developing and optimizing various applications involving FMFs.

7 Future direction

The ongoing research needs to examine Jeffrey’s FMF flow behavior under unsteady three-dimensional conditions with advanced boundary setups. A study of thermal transport mechanisms would benefit from analyzing non-Fourier heat transfer models including the Cattaneo–Christov heat flux. The thermal and concentration characteristics become stronger through research incorporation of adjustable magnetic field strength together with anisotropic porous permeability and hybrid nanofluids solutions. The prediction and optimization of actual-world flow behavior could be achieved through machine learning methods that select appropriate parameters. Laboratory testing of research-based findings will prove beneficial for developing real-world cooling applications that serve biomedical medicine and aerospace and industrial sectors.

Acknowledgment

The authors gratefully acknowledge the support of their respective institutions for providing the necessary resources and research environment that facilitated the completion of this work. The authors also thank the reviewers and editors of Nonlinear Engineering for their valuable feedback and constructive comments, which have significantly improved the quality of this manuscript.

  1. Funding information: The authors state no funding involved.

  2. Author contributions: All authors have accepted responsibility for the entire content of this manuscript and approved its submission.

  3. Conflict of interest: The authors state no conflict of interest.

  4. Data availability statement: All data generated or analysed during this study are included in this published article.

References

[1] Guo N, Du H, Li W. Finite element analysis and simulation evaluation of a magnetorheological valve. Int J Adv Manuf Technol. 2003;21:438–45. 10.1007/s001700300051Search in Google Scholar

[2] Kumar JS, Paul PS, Raghunathan G, Alex DG. A review of challenges and solutions in the preparation and use of magnetorheological fluids. Int J Mech Mater Eng. 2019;14(1):13. 10.1186/s40712-019-0109-2Search in Google Scholar

[3] Mitamura Y, Sekine K, Okamoto E. Magnetic fluid seals working in liquid environments: factors limiting their life and solution methods. J Magn Magn Mater. 2020;500:166293. 10.1016/j.jmmm.2019.166293Search in Google Scholar

[4] Nakatsuka K. Trends of magnetic fluid applications in Japan. J Magn Magn Mater. 1993;122(1–3):387–94. 10.1016/0304-8853(93)91116-OSearch in Google Scholar

[5] Arefyev MI, Demidenko VO, Saikin MS. Assessment of magnetic fluid stability in non-homogeneous magnetic field of a single-tooth magnetic fluid sealer. J Magn Magn Mater. 2017;431:20–3. 10.1016/j.jmmm.2016.10.017Search in Google Scholar

[6] Yamaguchi H, Bessho T. Long distance heat transport device using temperature sensitive magnetic fluid. J Magn Magn Mater. 2020;499:166248. 10.1016/j.jmmm.2019.166248. Search in Google Scholar

[7] Khan SA, Suresh A, Ramaiah NS. Principles, characteristics and applications of magneto rheological fluid damper in flow and shear mode. Proc Mat Sci. 2014;6:1547–56. 10.1016/j.mspro.2014.07.136Search in Google Scholar

[8] Lagutkina DY, Saikin MS. The research and development of inclination angle magnetic fluid detector with a movable sensing element based on permanent magnets. J Magn Magn Mater. 2017;431:149–51. 10.1016/j.jmmm.2016.11.040Search in Google Scholar

[9] Xie J, Li D, Xing YA. The theoretical and experimental investigation on the vertical magnetic fluid pressure sensor. Sensor Actuat A-Phys. 2015;229:42–9. 10.1016/j.sna.2015.03.007Search in Google Scholar

[10] Kumar CSSR, Mohammad F. Magnetic nanomaterials for hyperthermia-based therapy and controlled drug delivery. Adv Drug Deliver Rev. 2011;63(9):789–808. 10.1016/j.addr.2011.03.008Search in Google Scholar PubMed PubMed Central

[11] Hedayati N, Ramiar A, Larimi MM. Investigating the effect of external uniform magnetic field and temperature gradient on the uniformity of nanoparticles in drug delivery applications. J Mol Liq. 2018;272:301–12. 10.1016/j.molliq.2018.09.031Search in Google Scholar

[12] Bernad SI, Craciunescu I, Sandhu GS, Dragomir-Daescu D, Tombacz E, Vekas L, et al. Fluid targeted delivery of functionalized magnetoresponsive nanocomposite particles to a ferromagnetic stent. J Magnet Magnetic Mater. 2021;519:167489. 10.1016/j.jmmm.2020.167489Search in Google Scholar

[13] Kandasamy G, Khan S, Giri J, Bose S, Veerapu NS, Maity D. One-pot synthesis of hydrophilic flower-shaped iron oxide nanoclusters (IONCs) based ferrofluids for magnetic fluid hyperthermia applications. J Mol Liq. 2019;275:699–712. 10.1016/j.molliq.2018.11.108Search in Google Scholar

[14] Liu XL, Fan HM, Innovative magnetic nanoparticle platform for magnetic resonance imaging and magnetic fluid hyperthermia applications. Curr Opin Chem Eng. 2014;4:38–46. 10.1016/j.coche.2013.12.010Search in Google Scholar

[15] Andersson HI, Valnes OA. Flow of a heated ferrofluid over a stretching sheet in the presence of a magnetic dipole. Acta Mech. 1998;128(1):39–47. 10.1007/BF01463158Search in Google Scholar

[16] Yellen BB, Fridman G, Friedman G. Ferrofluid lithography. Nanotechnology. 2004;15(10):S562–5. 10.1088/0957-4484/15/10/011Search in Google Scholar

[17] Chang CH, Tan CW, Miao J, Barbastathis G. Self-assembled ferrofluid lithography: patterning micro and nanostructures by controlling magnetic nanoparticles. Nanotechnology. 2009;20(49):495301. 10.1088/0957-4484/20/49/495301Search in Google Scholar PubMed

[18] Zeeshan A, Majeed A, Ellahi R. Effect of magnetic dipole on viscous ferro-fluid past a stretching surface with thermal radiation. J Mol Liq. 2016;215:549–54. 10.1016/j.molliq.2015.12.110Search in Google Scholar

[19] Sohail A, Fatima M, Ellahi R, Akram KB. A videographic assessment of ferrofluid during magnetic drug targeting: an application of artificial intelligence in nanomedicine. J Mol Liq. 2019;285:47–57. 10.1016/j.molliq.2019.04.022Search in Google Scholar

[20] Kumar RN, Gowda RJP, Abusorrah AM, Mahrous MY, Abu-Hamdeh NH, Issakhov A, et al. Impact of magnetic dipole on ferromagnetic hybrid nanofluid flow over a stretching cylinder. Phys Scr. 2021;96(4):045215. 10.1088/1402-4896/abe324Search in Google Scholar

[21] Almaneea A. Thermal analysis for ferromagnetic fluid with hybrid nano-metallic structures in the presence of Forchheirmer porous medium subjected to a magnetic dipole. Case Stud Thermal Eng. 2021;26:100961. 10.1016/j.csite.2021.100961Search in Google Scholar

[22] Gowda RJP, Kumar RN, Prasannakumara BC, Nagaraja B, Gireesha BJ. Exploring magnetic dipole contribution on ferromagnetic nanofluid flow over a stretching sheet: An application of Stefan blowing. J Molecular Liquids. 2021;335:116215. 10.1016/j.molliq.2021.116215Search in Google Scholar

[23] Hussain I, Hobiny A, Irfan M, Tabrez M, Khan WA. Impact of magnetic dipole contribution on radiative ferromagnetic Cross nanofluid flow with viscous dissipation aspects. J Magnetism Magnetic Materials. 2023;579:170706. 10.1016/j.jmmm.2023.170706Search in Google Scholar

[24] Zeeshan A, Majeed A. Heat transfer analysis of Jeffery fluid flow over a stretching sheet with suction/injection and magnetic dipole effect. Alexandr Eng J. 2016;55:2171–81. 10.1016/j.aej.2016.06.014Search in Google Scholar

[25] Yasmeen S, Asghar S, Anjum HJ, Ehsan T. Analysis of Hartmann boundary layer peristaltic flow of Jeffrey fluid: Quantitative and qualitative approaches. Commun Nonlinear Sci Numer Simulat. 2019;76:51–65. 10.1016/j.cnsns.2019.01.007Search in Google Scholar

[26] Abbas N, Ali M, Abodayeh K, Mustafa Z, Shatanawi W. Thermal investigation of Jeffrey fluid flow past a stretching Riga curved surface under Soret and Dufour impacts. Case Stud Thermal Eng. 2023;52:103553. 10.1016/j.csite.2023.103553Search in Google Scholar

[27] Ashraf H, Shah NA, Siddiqui AM, Rehman H, Turki NB. Analysis of heat transfer in n-immiscible layers of a horizontal Jeffrey fluid film flow. Case Stud Thermal Eng. 2023;51:103662. 10.1016/j.csite.2023.103662Search in Google Scholar

[28] Ullah H, Alqahtani AM, Raja MAZ, Fiza M, Ullah M, Abdoalrahman, et al. Numerical treatment based on artificial neural network to Soret and Dufour effects on MHD squeezing flow of Jeffrey fluid in horizontal channel with thermal radiation. Int J Thermofluids. 2024;23:100725. 10.1016/j.ijft.2024.100725Search in Google Scholar

[29] Muzammal M, Farooq M, Hashim, Alotaibi H. Transportation of melting heat in stratified Jeffrey fluid flow with heat generation and magnetic field. Case Stud Thermal Eng. 2024;58:104465. 10.1016/j.csite.2024.104465Search in Google Scholar

[30] Li D, Li H, Ma L, Lan S. Oscillating flow of Jeffrey fluid in a rough circular microchannel with slip boundary condition. Chin J Phys. 2024;91:107–29. 10.1016/j.cjph.2024.07.015Search in Google Scholar

[31] Darcy H. Les Fontaines Publiques De La Ville De Dijon. Paris: VictorDalmont; 1856. Search in Google Scholar

[32] Forchheimer P. Wasserbewegung durch Boden. Spielhagen Schurich. 1901;45:1782–8. https://ci.nii.ac.jp/naid/10010395788. Search in Google Scholar

[33] Al-arabi TH, Eid MR, Alsemiry RD, Alharbi SA, Allogmany R, Elsaid EM. Electromagnetic and Darcy–Forchheimer porous model effects on hybrid nanofluid flow in conical zone of rotatable cone and expandable disc. Alex Eng J. 2004;96:206–17. 10.1016/j.aej.2024.04.007Search in Google Scholar

[34] Prakash J, Tripathi D, Tiwari AK, Pandey AK. Melting heat transfer and irreversibility analysis in Darcy–Forchheimer flow of Casson fluid modulated by EMHD over cone and wedge surfaces. Therm Sci Eng Progress. 2024;52:102680. 10.1016/j.tsep.2024.102680Search in Google Scholar

[35] Ramana RM, Dharmaiah G, Kumar MS, Fernandez-Gamiz U, Noeiaghdam S. Numerical performance of Hall current and Darcy–Forchheimer influences on dissipative Newtonian fluid flow over a thinner surface. Case Stud Thermal Eng. 2024;60:104687. 10.1016/j.csite.2024.104687Search in Google Scholar

[36] Salahuddin T, Kalsoom SM, Awais M, Khan M, Altanji M. Impact of Darcy–Forchheimer for the flow analysis of radiated tangent hyperbolic fluid with viscous dissipation and activation energy. Int J Hydrogen Energy. 2024;72:949–57. 10.1016/j.ijhydene.2024.05.425Search in Google Scholar

[37] Yang L, Du K. A comprehensive review on the natural, forced, and mixed convection of non-Newtonian fluids (nanofluids) inside different cavities. J Thermal Anal Calorim 2020;140:2033–54. 10.1007/s10973-019-08987-ySearch in Google Scholar

[38] Naveed M, Abbas Z, Sajid M. Mixed convection flow of a Casson fluid over a curved stretching surface with nonlinear Rosseland thermal radiation. J Eng Thermophys. 2023;32(4):824–34. 10.1134/S1810232823040148Search in Google Scholar

[39] Algehyne EA, Alamrani FM, Alrabaiah H, Lone SA, Yasmin H, Saeed A. Comparative analysis on the forced and mixed convection in a hybrid nanofuid fow over a stretching surface: a numerical analysis. J Thermal Anal Calorimetry. 2024. https://doi.org/10.1007/s10973-024-13178-5. Search in Google Scholar

[40] Mandal IC, Mukhopadhyay S, Mandal MS. MHD mixed convective Maxwell liquid flow passing an unsteady stretched sheet. Partial Differ Equ Appl Math. 2024;9:100644. 10.1016/j.padiff.2024.100644Search in Google Scholar

[41] Deb N, Saha S. Role of internal heat generation, magnetism and Joule heating on entropy generation and mixed convective flow in a square domain. Annals of Nuclear Energy. 2024;198:110324. 10.1016/j.anucene.2023.110324Search in Google Scholar

[42] Alali Z, Eckels SJ. 3D numerical simulations of mixed convective heat transfer and correlation development for a thermal manikin head. Heliyon. 2024;10:e30161. 10.1016/j.heliyon.2024.e30161Search in Google Scholar PubMed PubMed Central

[43] Devi MM, Sivakumar N, Noeiaghdam S, Fernandez-Gamiz U. Multiple shape factor effects of nanofluids on Marangoni mixed convection flow through porous medium. Results Eng. 2024;23:102512. 10.1016/j.rineng.2024.102512Search in Google Scholar

[44] Ibrahim IU, Sharifpur M, Meye JP. Mixed convection heat transfer characteristics of Al2O3 - MWCNT hybrid nanofluid under thermally developing flow; Effects of particles percentage weight composition. Appl Thermal Eng. 2024;249:123372. 10.1016/j.applthermaleng.2024.123372Search in Google Scholar

[45] Revathi R, Poornima T. Dynamics of stagnant Sutterby fluid due to mixed convection with an emphasis on thermal analysis. J Thermal Anal Calorimetry. 2024;149:7059–69. 10.1007/s10973-024-12943-wSearch in Google Scholar

[46] A. Hassan. Nanoparticle’s shape effect on mixed convection heat transfer and flow of Carbon nanotubes: Numerical approach. Bio Nano Sci. 2024;14:1627–43. 10.1007/s12668-024-01378-0Search in Google Scholar

[47] Sarana HL, Reddy CR. Effect of thermal radiation on aqueous hybrid nanofluid: the stability analysis. Eur Phys J. Plus. 2024;139:209. 10.1140/epjp/s13360-024-05027-zSearch in Google Scholar

[48] Alrihielia H. Thermal and concentration slip impact on the dissipative Casson-Maxwell nanofluid flow due to a stretching sheet with heat generation and thermal radiation. Eur Phys J Plus 2023;138:916. 10.1140/epjp/s13360-023-04525-wSearch in Google Scholar

[49] Yedhiri SR, Palaparthi KK, Kodi R, Asmat F. Unsteady MHD rotating mixed convective flow through an infinite vertical plate subject to Joule heating, thermal radiation, Hall current, radiation absorption. J Thermal Anal Calorimetry. 2024;149:8813–26. 10.1007/s10973-024-12954-7Search in Google Scholar

[50] Rao S, Deka PN. Numerical analysis of MHD Hybrid nanofluid flow a porous stretching sheet with thermal radiation. Int J Appl Comput Math. 2024;10:95. 10.1007/s40819-024-01734-4Search in Google Scholar

[51] Madhu J, Madhukesh JK, Sarris I, Prasannakumara BC, Ramesh GK, Shah NA, et al. Influence of quadratic thermal radiation and activation energy impacts over oblique stagnation point hybrid nanofluid flow across a cylinder. Case Stud Thermal Eng. 2024;60:104624. 10.1016/j.csite.2024.104624Search in Google Scholar

[52] Alamirew WD, Awgichew G, Haile E. Mixed convection flow of MHD Casson nanofluid over a vertically extending sheet with effects of Hall, Ion Slip and nonlinear thermal radiation. Int J Thermofluids. 2024;23:100762. 10.1016/j.ijft.2024.100762Search in Google Scholar

[53] Jiann LY, Mohamad AQ, Rawi NA, Ching DLC, Zin NAM, Shafie S. Thermal analysis of melting effect on Carreau fluid flow around a stretchable cylinder with quadratic radiation. Propulsion Power Res. 2024;13(1):132–43. 10.1016/j.jppr.2024.02.006Search in Google Scholar

[54] Hussain F, Hussain A, Nadeem S. Thermophoresis and Brownian model of pseudo-plastic nanofuid fow over a vertical slender cylinder. Math Problems Eng. 2020;2020:1–10. 10.1155/2020/8428762Search in Google Scholar

[55] Shafey AEM, Alharbi FM, Javed A, Abbas N, ALrafai HA, Nadeem, S, et al. Theoretical analysis of Brownian and thermophoresis motion effects for Newtonian fluid flow over nonlinear stretching cylinder. Case Stud Thermal Eng. 2021;28:101369. 10.1016/j.csite.2021.101369Search in Google Scholar

[56] Tawade JV, Guled CN, Noeiaghdam S, Fernandez-Gamiz U., Govindan V, Balamuralitharan S. Effects of thermophoresis and Brownian motion for thermal and chemically reacting Casson nanofluid flow over a linearly stretching sheet. Results Eng. 2022;15:100448. 10.1016/j.rineng.2022.100448Search in Google Scholar

[57] Sarfraz M, Khan M, Ahmed A. Study of thermophoresis and Brownian motion phenomena in radial stagnation flow over a twisting cylinder. Ain Shams Eng J. 2023;14(2):101869. 10.1016/j.asej.2022.101869Search in Google Scholar

[58] Jawad M, Ghazwani HA. Inspiration of Thermophoresis and Brownian motion on magneto hydrodynamic flow over a cylinder fixed with porous medium. Bio Nano Sci. 2023;13:2122–33. 10.1007/s12668-023-01229-4Search in Google Scholar

[59] Sharma K, Vijay N, D. Bhardwaj D, Jindal R. Flow of water conveying Fe3O4 and Mn-ZnFe2O4 nanoparticles over a rotating disk: Significance of thermophoresis and Brownian motion. J Magnetism Magnetic Materials. 2023;574:170710. 10.1016/j.jmmm.2023.170710Search in Google Scholar

[60] Khan D, Ali G, Kumam P, Sitthithakerngkiet K, Jarad F. Heat transfer analysis of unsteady MHD slip flow of ternary hybrid Casson fluid through nonlinear stretching disk embedded in a porous medium. Ain Shams Eng J. 2023;15(2):102419. 10.1016/j.asej.2023.102419Search in Google Scholar

[61] Khan D, Ali G, Kumam P, Jarad F. An exploration of heat and mass transfer for MHD flow of Brinkman type dusty fluid between fluctuating parallel vertical plates with arbitrary wall shear stress. Int J Thermofluids. 2024;21:100529. 10.1016/j.ijft.2023.100529Search in Google Scholar

[62] Khan D, Kumam P, Khan I, Sitthithakerngkiet K, Khan A, Ali, G. Unsteady rotating MHD flow of a second-grade hybrid nanofluid in a porous medium: Laplace and Sumudu transforms. Heat Transfer. 2022;51:8065–83. 10.1002/htj.22681Search in Google Scholar

[63] Khan I, Khan D, Ali G, Khan, A. Effect of Newtonian heating on two-phase fluctuating flow of dusty fluid: Poincaré-Lighthill perturbation technique. European Phys J Plus. 2021;136:1142. 10.1140/epjp/s13360-021-02101-8Search in Google Scholar

[64] Khan D, Ali G, Kumam P, Suttiarporn P. A generalized electro-osmotic MHD flow of hybrid ferrofluid through Fourier and Fickas law in inclined microchannel. Numer Heat Transfer Part A Appl. 2024;85:3091–109. 10.1080/10407782.2023.2232535Search in Google Scholar

[65] Khan D, Ali G, Kumam P, Almusawa M. Y, Galal A. M. Time fractional model of free convection flow and dusty two-phase couple stress fluid along vertical plates. ZAMM - J Appl Math Mechanics/Zeitschrift für Angewandte Mathematik und Mechanik. 2022;103:e202200369. 10.1002/zamm.202200369Search in Google Scholar

[66] Khan D, Ali G, Ghazwani HA. Enhancing heat transfer in MHD Falkneras-Skan flow with thermal radiation, free convection and dusty fluid between parallel plates. Heat Transfer. 2024;53:1408–24. 10.1002/htj.23002Search in Google Scholar

[67] Chen C. Laminar mixed convection adjacent to vertical, continuously stretching sheets. Heat Mass Transfer. 1998;33:471–76. 10.1007/s002310050217Search in Google Scholar

[68] Abel MS, Sanjayanand E, Nandeppanavar MM. Viscoelastic MHD flow and heat transfer over a stretching sheet with viscous and ohmic dissipations. Commun Nonl Sci Numer Simulat. 2008;13:1808–21. 10.1016/j.cnsns.2007.04.007Search in Google Scholar

[69] Agarwal K, Baghel RS, Parmar A, Dadheech A. Jeffery Slip Fluid Flow with the Magnetic Dipole Effect Over a Melting or Permeable Linearly Stretching Sheet. Int J Appl Comput Math. 2024;10:5. 10.1007/s40819-023-01629-wSearch in Google Scholar

Received: 2024-10-08
Revised: 2025-03-06
Accepted: 2025-03-24
Published Online: 2025-05-16

© 2025 the author(s), published by De Gruyter

This work is licensed under the Creative Commons Attribution 4.0 International License.

Articles in the same Issue

  1. Research Articles
  2. Generalized (ψ,φ)-contraction to investigate Volterra integral inclusions and fractal fractional PDEs in super-metric space with numerical experiments
  3. Solitons in ultrasound imaging: Exploring applications and enhancements via the Westervelt equation
  4. Stochastic improved Simpson for solving nonlinear fractional-order systems using product integration rules
  5. Exploring dynamical features like bifurcation assessment, sensitivity visualization, and solitary wave solutions of the integrable Akbota equation
  6. Research on surface defect detection method and optimization of paper-plastic composite bag based on improved combined segmentation algorithm
  7. Impact the sulphur content in Iraqi crude oil on the mechanical properties and corrosion behaviour of carbon steel in various types of API 5L pipelines and ASTM 106 grade B
  8. Unravelling quiescent optical solitons: An exploration of the complex Ginzburg–Landau equation with nonlinear chromatic dispersion and self-phase modulation
  9. Perturbation-iteration approach for fractional-order logistic differential equations
  10. Variational formulations for the Euler and Navier–Stokes systems in fluid mechanics and related models
  11. Rotor response to unbalanced load and system performance considering variable bearing profile
  12. DeepFowl: Disease prediction from chicken excreta images using deep learning
  13. Channel flow of Ellis fluid due to cilia motion
  14. A case study of fractional-order varicella virus model to nonlinear dynamics strategy for control and prevalence
  15. Multi-point estimation weldment recognition and estimation of pose with data-driven robotics design
  16. Analysis of Hall current and nonuniform heating effects on magneto-convection between vertically aligned plates under the influence of electric and magnetic fields
  17. A comparative study on residual power series method and differential transform method through the time-fractional telegraph equation
  18. Insights from the nonlinear Schrödinger–Hirota equation with chromatic dispersion: Dynamics in fiber–optic communication
  19. Mathematical analysis of Jeffrey ferrofluid on stretching surface with the Darcy–Forchheimer model
  20. Exploring the interaction between lump, stripe and double-stripe, and periodic wave solutions of the Konopelchenko–Dubrovsky–Kaup–Kupershmidt system
  21. Computational investigation of tuberculosis and HIV/AIDS co-infection in fuzzy environment
  22. Signature verification by geometry and image processing
  23. Theoretical and numerical approach for quantifying sensitivity to system parameters of nonlinear systems
  24. Chaotic behaviors, stability, and solitary wave propagations of M-fractional LWE equation in magneto-electro-elastic circular rod
  25. Dynamic analysis and optimization of syphilis spread: Simulations, integrating treatment and public health interventions
  26. Visco-thermoelastic rectangular plate under uniform loading: A study of deflection
  27. Threshold dynamics and optimal control of an epidemiological smoking model
  28. Numerical computational model for an unsteady hybrid nanofluid flow in a porous medium past an MHD rotating sheet
  29. Regression prediction model of fabric brightness based on light and shadow reconstruction of layered images
  30. Dynamics and prevention of gemini virus infection in red chili crops studied with generalized fractional operator: Analysis and modeling
  31. Qualitative analysis on existence and stability of nonlinear fractional dynamic equations on time scales
  32. Fractional-order super-twisting sliding mode active disturbance rejection control for electro-hydraulic position servo systems
  33. Analytical exploration and parametric insights into optical solitons in magneto-optic waveguides: Advances in nonlinear dynamics for applied sciences
  34. Bifurcation dynamics and optical soliton structures in the nonlinear Schrödinger–Bopp–Podolsky system
  35. User profiling in university libraries by combining multi-perspective clustering algorithm and reader behavior analysis
  36. Exploring bifurcation and chaos control in a discrete-time Lotka–Volterra model framework for COVID-19 modeling
  37. Review Article
  38. Haar wavelet collocation method for existence and numerical solutions of fourth-order integro-differential equations with bounded coefficients
  39. Special Issue: Nonlinear Analysis and Design of Communication Networks for IoT Applications - Part II
  40. Silicon-based all-optical wavelength converter for on-chip optical interconnection
  41. Research on a path-tracking control system of unmanned rollers based on an optimization algorithm and real-time feedback
  42. Analysis of the sports action recognition model based on the LSTM recurrent neural network
  43. Industrial robot trajectory error compensation based on enhanced transfer convolutional neural networks
  44. Research on IoT network performance prediction model of power grid warehouse based on nonlinear GA-BP neural network
  45. Interactive recommendation of social network communication between cities based on GNN and user preferences
  46. Application of improved P-BEM in time varying channel prediction in 5G high-speed mobile communication system
  47. Construction of a BIM smart building collaborative design model combining the Internet of Things
  48. Optimizing malicious website prediction: An advanced XGBoost-based machine learning model
  49. Economic operation analysis of the power grid combining communication network and distributed optimization algorithm
  50. Sports video temporal action detection technology based on an improved MSST algorithm
  51. Internet of things data security and privacy protection based on improved federated learning
  52. Enterprise power emission reduction technology based on the LSTM–SVM model
  53. Construction of multi-style face models based on artistic image generation algorithms
  54. Research and application of interactive digital twin monitoring system for photovoltaic power station based on global perception
  55. Special Issue: Decision and Control in Nonlinear Systems - Part II
  56. Animation video frame prediction based on ConvGRU fine-grained synthesis flow
  57. Application of GGNN inference propagation model for martial art intensity evaluation
  58. Benefit evaluation of building energy-saving renovation projects based on BWM weighting method
  59. Deep neural network application in real-time economic dispatch and frequency control of microgrids
  60. Real-time force/position control of soft growing robots: A data-driven model predictive approach
  61. Mechanical product design and manufacturing system based on CNN and server optimization algorithm
  62. Application of finite element analysis in the formal analysis of ancient architectural plaque section
  63. Research on territorial spatial planning based on data mining and geographic information visualization
  64. Fault diagnosis of agricultural sprinkler irrigation machinery equipment based on machine vision
  65. Closure technology of large span steel truss arch bridge with temporarily fixed edge supports
  66. Intelligent accounting question-answering robot based on a large language model and knowledge graph
  67. Analysis of manufacturing and retailer blockchain decision based on resource recyclability
  68. Flexible manufacturing workshop mechanical processing and product scheduling algorithm based on MES
  69. Exploration of indoor environment perception and design model based on virtual reality technology
  70. Tennis automatic ball-picking robot based on image object detection and positioning technology
  71. A new CNN deep learning model for computer-intelligent color matching
  72. Design of AR-based general computer technology experiment demonstration platform
  73. Indoor environment monitoring method based on the fusion of audio recognition and video patrol features
  74. Health condition prediction method of the computer numerical control machine tool parts by ensembling digital twins and improved LSTM networks
  75. Establishment of a green degree evaluation model for wall materials based on lifecycle
  76. Quantitative evaluation of college music teaching pronunciation based on nonlinear feature extraction
  77. Multi-index nonlinear robust virtual synchronous generator control method for microgrid inverters
  78. Manufacturing engineering production line scheduling management technology integrating availability constraints and heuristic rules
  79. Analysis of digital intelligent financial audit system based on improved BiLSTM neural network
  80. Attention community discovery model applied to complex network information analysis
  81. A neural collaborative filtering recommendation algorithm based on attention mechanism and contrastive learning
  82. Rehabilitation training method for motor dysfunction based on video stream matching
  83. Research on façade design for cold-region buildings based on artificial neural networks and parametric modeling techniques
  84. Intelligent implementation of muscle strain identification algorithm in Mi health exercise induced waist muscle strain
  85. Optimization design of urban rainwater and flood drainage system based on SWMM
  86. Improved GA for construction progress and cost management in construction projects
  87. Evaluation and prediction of SVM parameters in engineering cost based on random forest hybrid optimization
  88. Museum intelligent warning system based on wireless data module
  89. Optimization design and research of mechatronics based on torque motor control algorithm
  90. Special Issue: Nonlinear Engineering’s significance in Materials Science
  91. Experimental research on the degradation of chemical industrial wastewater by combined hydrodynamic cavitation based on nonlinear dynamic model
  92. Study on low-cycle fatigue life of nickel-based superalloy GH4586 at various temperatures
  93. Some results of solutions to neutral stochastic functional operator-differential equations
  94. Ultrasonic cavitation did not occur in high-pressure CO2 liquid
  95. Research on the performance of a novel type of cemented filler material for coal mine opening and filling
  96. Testing of recycled fine aggregate concrete’s mechanical properties using recycled fine aggregate concrete and research on technology for highway construction
  97. A modified fuzzy TOPSIS approach for the condition assessment of existing bridges
  98. Nonlinear structural and vibration analysis of straddle monorail pantograph under random excitations
  99. Achieving high efficiency and stability in blue OLEDs: Role of wide-gap hosts and emitter interactions
  100. Construction of teaching quality evaluation model of online dance teaching course based on improved PSO-BPNN
  101. Enhanced electrical conductivity and electromagnetic shielding properties of multi-component polymer/graphite nanocomposites prepared by solid-state shear milling
  102. Optimization of thermal characteristics of buried composite phase-change energy storage walls based on nonlinear engineering methods
  103. A higher-performance big data-based movie recommendation system
  104. Nonlinear impact of minimum wage on labor employment in China
  105. Nonlinear comprehensive evaluation method based on information entropy and discrimination optimization
  106. Application of numerical calculation methods in stability analysis of pile foundation under complex foundation conditions
  107. Research on the contribution of shale gas development and utilization in Sichuan Province to carbon peak based on the PSA process
  108. Characteristics of tight oil reservoirs and their impact on seepage flow from a nonlinear engineering perspective
  109. Nonlinear deformation decomposition and mode identification of plane structures via orthogonal theory
  110. Numerical simulation of damage mechanism in rock with cracks impacted by self-excited pulsed jet based on SPH-FEM coupling method: The perspective of nonlinear engineering and materials science
  111. Cross-scale modeling and collaborative optimization of ethanol-catalyzed coupling to produce C4 olefins: Nonlinear modeling and collaborative optimization strategies
  112. Unequal width T-node stress concentration factor analysis of stiffened rectangular steel pipe concrete
  113. Special Issue: Advances in Nonlinear Dynamics and Control
  114. Development of a cognitive blood glucose–insulin control strategy design for a nonlinear diabetic patient model
  115. Big data-based optimized model of building design in the context of rural revitalization
  116. Multi-UAV assisted air-to-ground data collection for ground sensors with unknown positions
  117. Design of urban and rural elderly care public areas integrating person-environment fit theory
  118. Application of lossless signal transmission technology in piano timbre recognition
  119. Application of improved GA in optimizing rural tourism routes
  120. Architectural animation generation system based on AL-GAN algorithm
  121. Advanced sentiment analysis in online shopping: Implementing LSTM models analyzing E-commerce user sentiments
  122. Intelligent recommendation algorithm for piano tracks based on the CNN model
  123. Visualization of large-scale user association feature data based on a nonlinear dimensionality reduction method
  124. Low-carbon economic optimization of microgrid clusters based on an energy interaction operation strategy
  125. Optimization effect of video data extraction and search based on Faster-RCNN hybrid model on intelligent information systems
  126. Construction of image segmentation system combining TC and swarm intelligence algorithm
  127. Particle swarm optimization and fuzzy C-means clustering algorithm for the adhesive layer defect detection
  128. Optimization of student learning status by instructional intervention decision-making techniques incorporating reinforcement learning
  129. Fuzzy model-based stabilization control and state estimation of nonlinear systems
  130. Optimization of distribution network scheduling based on BA and photovoltaic uncertainty
  131. Tai Chi movement segmentation and recognition on the grounds of multi-sensor data fusion and the DBSCAN algorithm
  132. Special Issue: Dynamic Engineering and Control Methods for the Nonlinear Systems - Part III
  133. Generalized numerical RKM method for solving sixth-order fractional partial differential equations
Downloaded on 30.12.2025 from https://www.degruyterbrill.com/document/doi/10.1515/nleng-2025-0128/html
Scroll to top button