Abstract
The Qingshuitang Bridge is a steel truss arch bridge with a very small side-to-mid span ratio, which cannot be constructed by traditional weight balancing methods and closure techniques. Applying vertical prestress at the edge support point can meet the anti-overturning requirements of cantilever construction. By adopting the hoisting process of each member, taking into account the impact of each member hoisting on the length of the closure section, as well as the effects of construction errors, installation errors, and temperature changes, the length of each member is corrected. Compared to using traditional closure method, this can make the internal forces and line shapes of the bridge closer to the design state.
1 Introduction
The construction methods of steel truss arch bridges generally include cantilever hoisting, cable hoisting [1,2], and integral hoisting [3]. Cable hoisting is generally suitable for deck arch bridges, and its process cost is generally higher than cantilever hoisting [4]. Integral hoisting is suitable for small spans. The large-span steel truss arch bridge is generally constructed using cantilever assembly technology, and the closure construction is carried out by adjusting the overall posture of the main arch or adjusting the length of the members.
For steel truss arch bridges with small side-to-mid span ratios, it is feasible to adjust the posture of the main arch and perform the closure process according to the designed length of the closure section. For example, Chaotianmen Bridge [5], Hengqin Second Bridge [6], and Jianghan Seventh Bridge [7] all adopt this closure method. But if the side piers of the steel truss arch bridge are anchored, it is impossible to adjust the posture of the main arch for closure.
If the influence of stress deformation and construction errors is not considered and the closure construction is directly carried out based on temperature changes, it may cause the stress state after the bridge is completed to deviate from the design goals.
The Qingshuitang Bridge is situated in Zhuzhou City, Hunan Province, spanning the Xiang River in a north–south orientation. This steel truss arch bridge features a span combination of 100 + 408 + 100 m, ranking third in China for main span length among similar structures. The main arch is made up of web members, wind-bracing structure, upper and lower chord members, and a truss crossbeam positioned every two sections. There is also horizontal bracing in between the chord members. The horizontal distance between the chord members on each side is 27.5 m, with a truss height of 10 m at the mid-span and 40 m at the main pier. The steel type for the main arch is Q370qD. All components of the main arch are connected using bolts. Rendering of Qingshuitang Bridge is shown in Figure 1.

Qingshuitang Bridge.
1.1 Overall construction process
The main arch of this bridge consists of 49 nodes. Steel pipe supports are installed for the side spans A1–A10 and A40–A49, with assembly conducted using floating cranes. The main span arch is installed segment by segment when the cantilever crane crawls upward along the arch, and when the cantilever crane crawls downward along the arch, the main beam is installed in sections. To ensure construction safety and minimize structural deformation, a cable-stayed system is implemented during the main arch construction phase. Three pairs of prestressed cables A, B, and C are installed on each side of the main arch, while the south-side prestressed cables installed at nodes A15, A18, and A22, and the back cables installed at node A1. The cables on the north side are symmetrically arranged. For the closing section, a staggered assembly approach is used, where each member is hoisted individually, to lessen the strain on the main arch members during closure. The lower chord members are installed first, followed by the diagonal web members, then the vertical web members, and finally the upper chord members. The construction process is shown in Figures 2 and 3.

Construction process of the Qingshuitang Bridge.

Hoisting sequence for the closure section members of the Qingshuitang Bridge.
1.2 Construction challenges
According to statistics on three-span steel truss arch bridges in China, the side-to-mid span ratio is generally greater than 1/3 (Table 1). The side-to-mid span ratio of this bridge is 1/4.1, making it the smallest side to mid span steel truss arch bridge with a span of over 360 m in China [8]. Among similar bridge types, only the Hengqin Second Bridge comes close, but its side span structure is heavier than this bridge, with the end vertical rods and end transverse beams at the abutment designed as concrete structures for construction-phase counterweight, reducing the temporary counterweight. The upper and lower chord arch axes of the side spans of the Qingshuitang Bridge are both second-order parabolic curves, with the lower chord integrated with the main beam in the middle of the side span, designed to be lightweight, thus posing higher demands for counterweight construction.
Large-span steel truss arch bridge in China
| Bridge name | Span (m) | Side-to-mid span ratio |
|---|---|---|
| Chaotianmen Bridge | 190 + 552 + 190 | 1/2.9 |
| Mingzhu Bay Bridge | 164 + 436 + 164 | 1/2.7 |
| Wanyi Yangtze River Bridge | 168 + 360 + 168 | 1/2.1 |
| Hengqin Second Bridge | 100 + 400 + 100 | 1/4 |
| Jianghan Seventh Bridges | 132 + 408 + 132 | 1/3.1 |
| Qingshuitang Bridge | 100 + 408 + 100 | 1/4.1 |
2 Methodology
Based on the structural characteristics of Qingshuitang Bridge, the following processes are adopted for closure construction:
Vertical temporary prestressing is set at the edge support points to ensure the overturning safety of the arch bridge with an ultra-small side to mid span ratio before the closure of the main arch.
According to the anchoring requirements of the edge support points, set a reasonable pre-deflection and pre-settlement value for the main arch, and do not adjust it during the entire construction process.
Before closure, the distances and relative height differences on both sides of the closure joint are measured, and the vertical relative height differences on both sides of the closure joint are adjusted using anchorage cables; considering the temperature effects, construction errors, and structural deformations during the lifting of the members, the length of the closure members is corrected, and the closure members are lifted one by one to complete the closure of the main arch.
2.1 Temporary anchoring of edge support points
According to the design drawings and specifications [9], to ensure structural stability against overturning, a load of 29,740 kN is applied at the side span end. The most critical anti-overturning safety factor is 1.22, slightly below the code limit. Despite all this, the stress on the end crossbeam structure is nearing the material’s ultimate stress, making further loading unfeasible. To enhance structural safety, temporary vertical prestressing is implemented at the end crossbeam to anchor the main beam to the pier temporarily, thereby improving the overall anti-overturning stability of the structure. The specific method involves utilizing 4 × 16-φ15.24 steel strands on each side, with a steel strand strength grade of 1,860 MPa. The design tension for each side is 5,000 kN, resulting in a safety factor of 3.33 for the steel strands.
The moment that keeps the structure in balance and stability is defined as the balancing moment, while the moment that causes the structure to overturn is defined as the overturning moment. The ratio of the balancing moment to the overturning moment is defined as the anti-overturning safety factor. The anti-overturning safety factors are calculated in Table 2.
Calculation of anti-overturning safety factor
| Position | Side span | Mid span | ||||
|---|---|---|---|---|---|---|
| Type of load | Weight (kN) | Lever arm (m) | Balancing moment (kNm) | Weight (kN) | Lever arm (m) | Overturning Moment (kNm) |
| Self-weight | 4,295,211 | 4,732,498 | ||||
| Load | 29,740 | 92 | 2,736,080 | 5,800 | 180 | 1,044,000 |
| Total | 7,031,291 | 5,776,498 | ||||
| Anti-overturning safety factor 1 | 1.22 | |||||
| Vertical prestress | 5,000 | 100 | 500,000 | |||
| Anti-overturning safety factor 2 | 1.39 | |||||
Table 2 shows that the anti-overturning safety factor of the main arch is at 1.39.
Utilizing vertical temporary prestressing as counterweight (Figures 4 and 5), as a result, significantly decreases the quantity of counterweight, enhances anchoring efficiency, and lowers construction expenses. But this also makes it impossible to use method of adjusting the main arch posture for joint construction.

Vertical temporary prestressing.

Construction photo.
2.2 Pre-deflection and pre-settlement
The only overall adjustment of the main arch posture for the entire bridge is the overall pre-deflecting and pre-settling of the structure when the side span main arch truss is assembled.
Given that the pre-deflection and pre-settlement directly dictate the posture of the main arch before closure, precise calculations and implementation of these adjustments are crucial. The bridge employed the Midas Civil to establish a construction calculation model for the entire structure. To ensure calculation accuracy, sensitivity analysis was conducted to manage key indicators influencing structural deformations. The cantilever crane and member self-weight have a substantial influence, according to the analysis results, necessitating precise weighing of them and modification of the calculation model. Through calculations and analysis, the arch on the south side was shifted toward the north by 741 mm (Figure 6), while the side supports of the arch on both sides were simultaneously settled by 940 mm (Figure 7), guaranteeing nearly equal displacements on both sides during the hoisting of the closure section (Figure 8).

Pre-deflection at the main support point.

Pre-settlement of side support point.

Displacement of the main arch before closure.
2.3 Sensitivity analysis of closure error adjustment
During the construction of the main arch, errors are inevitable, and adjustments need to be made based on the error situation before closure. Therefore, a sensitivity analysis of closure error adjustment is essential. Since this bridge uses a method of closing by raising each member individually, it is necessary to perform a sensitivity analysis of the closure error correction under two distinct conditions: prior to and subsequent to the installation of the lower chord members. The analysis indicates that prior to the installation of the lower chord members, the influence of cable adjustment and load application on structural displacement is significant, following the installation of the lower chord members, the bridge forms a more stable overall structure, resulting in a significant reduction in the space for structural deformation adjustments (Table 3).
Sensitivity of closure error adjustment (mm)
| Load case | Before installing of lower chord | After installing of lower chord | |||
|---|---|---|---|---|---|
| Distance of upper chord | Distance of lower chord | Arch altitude | Distance of upper chord | Arch altitude | |
| Cable A + 10% | +17.8 | +16.2 | +17.2 | −0.2 | −1.0 |
| Cable B + 10% | +30.1 | +26.5 | +31.9 | +0.7 | +2.1 |
| Cable C + 10% | +40.7 | +34.0 | +46.9 | +3.0 | +8.7 |
| Downward loading 100 t | −42.6 | −33.5 | −110.6 | −10.9 | −35.2 |
| Tension 100 t | −19.7 | −16.5 | −42.6 | −2.7 | −5.4 |
| Temperature rise 10°C | −44.6 | −44.7 | +13.2 | +5.0 | +63.5 |
Adjustment of distance error at the closure mouth is primarily achieved through the temperature method. When the temperature deformation cannot meet the construction requirements, hydraulic jacks are employed to pull or push individual members for forced closure (Figure 9).

Alignment tool for adjusting distance errors.
2.4 Elimination of elevation errors
Due to the vertical temporary prestressing anchorage of the main arch at the edge support, it is not feasible to adjust the relative position of the closure mouth by adjusting the overall posture of the main arch before closing. However, fine-tuning of the main arch’s posture can be achieved by adjusting the tension of the prestressed cables. The main control method is removing elevation variations at the junction by modifying the prestressed cable tension and correcting distance mistakes at the joint by deformation caused by temperature.
Following the installation of nodes A24 and A26, observations of the elevations on both sides of the closure section indicated that the members on the south were, on average, 32 mm higher than the members on the north. To ensure smooth construction of the closure section, efforts should be directed toward reducing and eliminating the elevation differences on both sides of the closure section. Based on sensitivity analysis, prestressed cable C needs to increase tension by 300 kN. The elevation difference at the joint before and after tensioning is shown in Table 4.
Results of elevation difference adjustment
| Position | Before tensioning | After tensioning | ||||||
|---|---|---|---|---|---|---|---|---|
| Upper chord | Lower chord | Upper chord | Lower chord | |||||
| Left | Right | Left | Right | Left | Right | Left | Right | |
| Elevation difference (mm) | 41 | 24 | 37 | 28 | 8 | −9 | 4 | −5 |
| Average (mm) | 32 | −1 | ||||||
The analysis of the table above reveals that by fine-tuning the tension of prestressed cable C on the north, the average elevation difference at the closure section of the main arch has been reduced from 32 to −1 mm. The maximum elevation difference of a single member is 9 mm, both of which fall below the allowable error limit of 20 mm as specified.
To ensure that the tension of the prestressed cables reaches the theoretical value, pressure rings are installed at the end of the prestressed cables, and the tension values are dynamically monitored to guarantee the precision of the tensioning process (Figure 10).

Pressure ring.
2.5 Analysis of the data of the closure distance
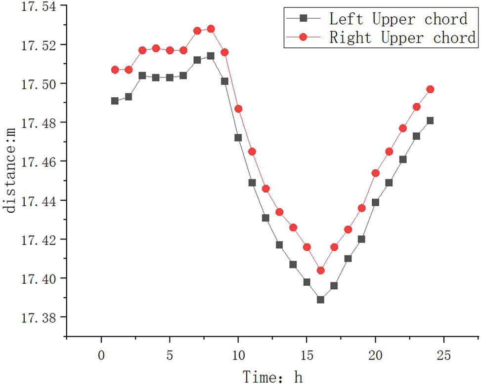
In order to analyze the impact of environmental factors such as temperature and sunlight on the distance at the closure, a thermometer was used to measure the temperature, and a laser rangefinder was used to measure the variation of the closure distance within a day (Table 5). The curve of temperature is displayed in Figure 11. The distance variation curves at both ends of the closure are shown in Figures 12–15.
Data of the closure distance
| Time | Temperature | Upper chord | Lower chord | ||
|---|---|---|---|---|---|
| Left | Right | Left | Right | ||
| 0:00:00 | 18 | 17.491 | 17.507 | 20.662 | 20.682 |
| 1:00:00 | 18 | 17.493 | 17.507 | 20.661 | 20.682 |
| 2:00:00 | 17 | 17.504 | 17.517 | 20.673 | 20.689 |
| 3:00:00 | 17 | 17.503 | 17.518 | 20.672 | 20.689 |
| 4:00:00 | 17 | 17.503 | 17.517 | 20.671 | 20.690 |
| 5:00:00 | 17 | 17.504 | 17.517 | 20.672 | 20.691 |
| 6:00:00 | 16 | 17.512 | 17.527 | 20.681 | 20.698 |
| 7:00:00 | 16 | 17.514 | 17.528 | 20.681 | 20.698 |
| 8:00:00 | 17 | 17.501 | 17.516 | 20.672 | 20.691 |
| 9:00:00 | 20 | 17.472 | 17.487 | 20.642 | 20.660 |
| 10:00:00 | 22 | 17.449 | 17.465 | 20.625 | 20.641 |
| 11:00:00 | 24 | 17.431 | 17.446 | 20.604 | 20.623 |
| 12:00:00 | 25 | 17.417 | 17.434 | 20.597 | 20.614 |
| 13:00:00 | 26 | 17.407 | 17.426 | 20.586 | 20.604 |
| 14:00:00 | 27 | 17.398 | 17.416 | 20.576 | 20.592 |
| 15:00:00 | 28 | 17.389 | 17.404 | 20.569 | 20.583 |
| 16:00:00 | 27 | 17.396 | 17.416 | 20.576 | 20.594 |
| 17:00:00 | 26 | 17.410 | 17.425 | 20.586 | 20.603 |
| 18:00:00 | 25 | 17.420 | 17.436 | 20.595 | 20.613 |
| 19:00:00 | 23 | 17.439 | 17.454 | 20.614 | 20.630 |
| 20:00:00 | 22 | 17.449 | 17.465 | 20.625 | 20.644 |
| 21:00:00 | 21 | 17.461 | 17.477 | 20.632 | 20.650 |
| 22:00:00 | 20 | 17.473 | 17.488 | 20.644 | 20.662 |
| 23:00:00 | 19 | 17.481 | 17.497 | 20.655 | 20.671 |

Curve of temperature.

Distance of upper chord.

Distance of lower chord.

Scatter plot of upper chord distance.

Scatter plot of lower chord distance.
From the measurement results, it is evident that the most stable temperature period occurs between 0:00 and 6:00 each day, with an average temperature of around 17°C. The relationship between the closure mouth distance and structural temperature is linear, indicating that a higher structural temperature leads to a shorter closure mouth distance, aligning with the thermal expansion and contraction characteristics of the structure. The four nodes at the closing mouth exhibit a constant relative distance change curve, indicating that variations in temperature have no effect on the relative inaccuracy among the members. There is a relatively consistent relative error between the members on the left side and right side, with a slightly smaller error observed on the left side. The upper chord on the left side exhibits a smaller error of approximately 14 mm, while the lower chord on the left side has a smaller error of around 17 mm.
The members are connected using bolts, with a 3 mm difference between the bolt and bolt hole diameters. Errors occur during the assembly of the members, and manufacturing inaccuracies are also present within the members themselves. Throughout the main arch assembly process, the assembly and manufacturing errors of the members will accumulate.
2.6 Member lengths based on lifting sequence
Due to the construction method of incremental member lifting employed in the closure process, the lifting of each member will result in changes to the closure mouth distance. To accurately predict the calculated length of each member, it is essential to calculate the variation in closure mouth distance for each member based on its lifting sequence (Table 6).
Closure distance during construction
| Construction procedure | Closure distance (mm) | |
|---|---|---|
| Upper chord | Lower chord | |
| Lifting lower chord | −44 | −34.4 |
| Lifting inclined strut | −1.6 | 0 |
| Lifting upper chord | −6.6 | 0 |
| Total | −52.2 | −34.4 |
Based on the measured data, from midnight to 6 am, the ambient temperature is relatively stable, and the closure mouth distance is also stable, which is conducive to the closure operation. The lengths of each member are calculated in Table 7.
Closure member length
| Member | Left of upper chord | Right of upper chord | Left of lower chord | Right of lower chord |
|---|---|---|---|---|
| Distance | 17.503 | 17.517 | 20.672 | 20.69 |
| Lifting deformation correction | −0.052 | −0.052 | −0.034 | −0.034 |
| Joint gap width of member | 0.08 | 0.08 | 0.08 | 0.08 |
| Calculated length | 17.371 | 17.385 | 20.558 | 20.576 |
| Design length | 17.352 | 17.352 | 20.567 | 20.567 |
| Error | 0.019 | 0.033 | −0.009 | 0.009 |
Due to the high precision requirements for closure, the thermal expansion and contraction of the members themselves must be considered. When the closure temperature is determined, the length of the member should be determined under that temperature condition, otherwise the member length should be temperature-corrected (Table 8).
Temperature-corrected
| Member name | Length (mm) | Temperature rise (°C) | Thermal expansion coefficient | Change in length (mm) |
|---|---|---|---|---|
| Upper chord | 17,431 | 10 | 0.000012 | 2.09 |
| Lower chord | 20,647 | 10 | 0.000012 | 2.48 |
3 Results
According to the method in this article, the closure section of this bridge has been successfully installed (Figures 16 and 17).

Lower chord of closure segment.

Upper chord of closure segment.
By conducting stress measurements on the C2–C3 members on the south throughout the construction process, it was found that the stress variation of the members matched the theoretical expectations. When using the method described in this document for the closure of the main arch, the maximum measured member stress was slightly lower than the theoretical value, indicating that the structure is safe (Figure 18).

Stress of C2–C3.
4 Discussion
The stress-free state control method [10] is a bridge construction control technique developed by Academician Qin Shunquan. It is also a traditional method of bridge closure construction. Many arch bridges are constructed according to this principle [11,12]. It emphasized that the final state of a bridge constructed in stages is determined by factors such as the load, boundary conditions, and the stress-free length and curvature of the structural components. To achieve stress-free closure of the main arch, the stress-free length of the closure segment members should match the theoretical value.
During construction, errors in member assembly and manufacturing, as well as deviations in external loads, can lead to deviations in the structural posture before closure from the theoretical values. Adjusting the closure member lengths can correct errors in member assembly to achieve stress-free closure. In order to attain a stress-free state in the finished bridge, deviations brought on by external loads may call for the use of external forces, temperature adjustments, or other strategies.
However, measurements and analysis revealed that the errors in the first four chord members before closure were varied, with relatively small absolute values, making it challenging to differentiate between assembly errors and external load errors. Ignoring the impact of assembly errors and solely relying on design member lengths for forced closure can result in significant changes in structural internal forces (Figure 19).

Stress of forced closure.
Midas Civil was used to calculate the stress of members in different closure construction processes. Through comparative calculations, it was found that using the method described in this study, installing each arch closure member one by one resulted in a smaller variation in maximum structural stress compared to the theoretical value. If the traditional method described in ref. [11] is used for stress-free state closure construction, it would lead to a significant increase in stress in the arch during construction, posing a greater construction risk. Particularly, the stress increase in the chord members of section A25–A26 reached 20.2% (Table 9). Additionally, traditional method can also cause the arch axis to deviate from the design value by 26.9 mm (Figure 20).
Comparison of structural stress
| Stress | Completion of the bridge (MPa) | Main arch closure (MPa) | ||||
|---|---|---|---|---|---|---|
| Member | B14B15 | A25A26 | C2C3 | B14B15 | A25A26 | C5C6 |
| Theoretical value | −137.6 | −112.3 | 221 | −134.3 | −10.9 | −191.7 |
| Method of this study | −131.9 | −116.1 | 224.2 | −135.1 | −11.1 | — |
| Error rate | −4.1% | 3.4% | 1.4% | 0.6% | 1.8% | — |
| Ref. [11] | −132.1 | −135.0 | 227.2 | −143.1 | −37.0 | −207.7 |
| Error rate | −4.0% | 20.2% | 2.8% | 6.6% | 239.4% | 8.3% |

Axial displacement of forced closure.
5 Conclusion
For a steel truss arch bridge with relatively small side spans, utilizing vertical prestressing anchorage on the side spans to replace some of the dead load counterweights can effectively enhances the anti-overturning force, significantly improves construction efficiency, and reduces construction costs compared to using dead load counterweights.
Due to assembly errors and manufacturing inaccuracies in the members, using forced closure techniques for the main arch closure during construction will increase structural stress and lead to additional permanent stress, which is detrimental to structural safety. Furthermore, if there is inconsistency in the upper and lower chord errors of the main arch, forced closure will result in deviations in the main arch axis.
The method described in this article enables the rapid and precise closure of the main arch, avoiding the application of additional loads or forced displacements on the structure during the closure process. It also avoids the phenomenon of difficulty in aligning bolt holes caused by the simultaneous closure of multiple members, ensuring a safer construction process. Through the analysis and measurement of member stress, the structural stress state meets the requirements of the specifications.
Acknowledgments
The authors would like to express their appreciation for the invaluable support from CCCC Third Harbor Engineering Co., LTD, funded by Grant Numbers 2020-14, 2022-10.
-
Funding information: This study was supported by CCCC Third Harbor Engineering Co., LTD, grant number 2020-14, 2022-10.
-
Author contributions: Conceptualization, Laifa Wang and Yexun Li; methodology, Laifa Wang; software, Laifa Wang; validation, Jiyang Xu, Yexun Li, and Sicheng Zhou; formal analysis, Jiyang Xu; investigation, Jiyang Xu; resources, Laifa Wang; data curation, Sicheng Zhou; writing – original draft preparation, Jiyang Xu; writing – review & editing, Jiyang Xu; visualization, Laifa Wang; supervision, Jiyang Xu; project administration, Jiyang Xu; funding acquisition, Yexun Li. All authors have accepted responsibility for the entire content of this manuscript and approved its submission.
-
Conflict of interest: Authors state no conflict of interest.
-
Data availability statement: All data generated or analyzed during this study are included in this published article.
References
[1] Mo L. Safety analysis of cable hoisting construction for over 600 meter steel pipe arch bridge. West China Commun Sci Technol. 2023;11:136–9.Search in Google Scholar
[2] Gao X, Wang X. Study and practice of key construction technology for the large-span basket-type steel truss arched bridge in mountainous area. J Lanzhou Jiaotong Univ. 2020;6:5–13.Search in Google Scholar
[3] Miao C. Key technologies for transportation and offshore hoisting of large-span steel truss arch bridges. China Harb Eng. 2024;5:86–91.Search in Google Scholar
[4] Chen M. Comparison of construction and installation costs for two steel arch installation plans for Jianghan Bay Bridge. Urban Roads Bridges Flood Control. 2024;3:266–8.Search in Google Scholar
[5] Sun J. Closure technology about steel truss arch of Chaotianmen Yangze River Bridge. Mod Transp Technol. 2007;4(2):46–7.Search in Google Scholar
[6] You R, Liu Y, Zhou R. Research on erection control technology of the main steel truss arch of Hengqin Second Bridge. Constr Technol. 2017;46:869–73.Search in Google Scholar
[7] Du C, Dou X, Li S. Key technologies for construction positioning of three span continuous steel box tied arch of Jianghan Seventh Bridge. China Water Transp. 2022;2:149–153.Search in Google Scholar
[8] Wang C. Stability and joint local stress analysis of wide continuous steel truss arch bridge. Nanjing: Nanjing Forestry University; 2023.Search in Google Scholar
[9] JTG/T 3651-2022. Specification for manufacture and installation of highway steel bridge[s]. Ministry of Transport of the People’s Republic of China. 2022.Search in Google Scholar
[10] Qin S. Unstressed state control method for bridges constructed in stages. Bridge Constr. 2008;1:8–14.Search in Google Scholar
[11] Zhao J, Yin G, An L. Central span closure techniques for main bridge of Mingzhu Bay Bridge in Guangzhou. Bridge Constr. 2021;4:127–33.Search in Google Scholar
[12] Li J. Key construction control technologies for the tiansheng port special channel bridge of the Shanghai Suzhou Nantong Yangtze River Highway and Railway Bridge. World Bridges. 2023;3:43–50.Search in Google Scholar
© 2025 the author(s), published by De Gruyter
This work is licensed under the Creative Commons Attribution 4.0 International License.
Articles in the same Issue
- Research Articles
- Generalized (ψ,φ)-contraction to investigate Volterra integral inclusions and fractal fractional PDEs in super-metric space with numerical experiments
- Solitons in ultrasound imaging: Exploring applications and enhancements via the Westervelt equation
- Stochastic improved Simpson for solving nonlinear fractional-order systems using product integration rules
- Exploring dynamical features like bifurcation assessment, sensitivity visualization, and solitary wave solutions of the integrable Akbota equation
- Research on surface defect detection method and optimization of paper-plastic composite bag based on improved combined segmentation algorithm
- Impact the sulphur content in Iraqi crude oil on the mechanical properties and corrosion behaviour of carbon steel in various types of API 5L pipelines and ASTM 106 grade B
- Unravelling quiescent optical solitons: An exploration of the complex Ginzburg–Landau equation with nonlinear chromatic dispersion and self-phase modulation
- Perturbation-iteration approach for fractional-order logistic differential equations
- Variational formulations for the Euler and Navier–Stokes systems in fluid mechanics and related models
- Rotor response to unbalanced load and system performance considering variable bearing profile
- DeepFowl: Disease prediction from chicken excreta images using deep learning
- Channel flow of Ellis fluid due to cilia motion
- A case study of fractional-order varicella virus model to nonlinear dynamics strategy for control and prevalence
- Multi-point estimation weldment recognition and estimation of pose with data-driven robotics design
- Analysis of Hall current and nonuniform heating effects on magneto-convection between vertically aligned plates under the influence of electric and magnetic fields
- A comparative study on residual power series method and differential transform method through the time-fractional telegraph equation
- Insights from the nonlinear Schrödinger–Hirota equation with chromatic dispersion: Dynamics in fiber–optic communication
- Mathematical analysis of Jeffrey ferrofluid on stretching surface with the Darcy–Forchheimer model
- Exploring the interaction between lump, stripe and double-stripe, and periodic wave solutions of the Konopelchenko–Dubrovsky–Kaup–Kupershmidt system
- Computational investigation of tuberculosis and HIV/AIDS co-infection in fuzzy environment
- Signature verification by geometry and image processing
- Theoretical and numerical approach for quantifying sensitivity to system parameters of nonlinear systems
- Chaotic behaviors, stability, and solitary wave propagations of M-fractional LWE equation in magneto-electro-elastic circular rod
- Dynamic analysis and optimization of syphilis spread: Simulations, integrating treatment and public health interventions
- Visco-thermoelastic rectangular plate under uniform loading: A study of deflection
- Threshold dynamics and optimal control of an epidemiological smoking model
- Numerical computational model for an unsteady hybrid nanofluid flow in a porous medium past an MHD rotating sheet
- Regression prediction model of fabric brightness based on light and shadow reconstruction of layered images
- Dynamics and prevention of gemini virus infection in red chili crops studied with generalized fractional operator: Analysis and modeling
- Qualitative analysis on existence and stability of nonlinear fractional dynamic equations on time scales
- Fractional-order super-twisting sliding mode active disturbance rejection control for electro-hydraulic position servo systems
- Analytical exploration and parametric insights into optical solitons in magneto-optic waveguides: Advances in nonlinear dynamics for applied sciences
- Bifurcation dynamics and optical soliton structures in the nonlinear Schrödinger–Bopp–Podolsky system
- User profiling in university libraries by combining multi-perspective clustering algorithm and reader behavior analysis
- Exploring bifurcation and chaos control in a discrete-time Lotka–Volterra model framework for COVID-19 modeling
- Review Article
- Haar wavelet collocation method for existence and numerical solutions of fourth-order integro-differential equations with bounded coefficients
- Special Issue: Nonlinear Analysis and Design of Communication Networks for IoT Applications - Part II
- Silicon-based all-optical wavelength converter for on-chip optical interconnection
- Research on a path-tracking control system of unmanned rollers based on an optimization algorithm and real-time feedback
- Analysis of the sports action recognition model based on the LSTM recurrent neural network
- Industrial robot trajectory error compensation based on enhanced transfer convolutional neural networks
- Research on IoT network performance prediction model of power grid warehouse based on nonlinear GA-BP neural network
- Interactive recommendation of social network communication between cities based on GNN and user preferences
- Application of improved P-BEM in time varying channel prediction in 5G high-speed mobile communication system
- Construction of a BIM smart building collaborative design model combining the Internet of Things
- Optimizing malicious website prediction: An advanced XGBoost-based machine learning model
- Economic operation analysis of the power grid combining communication network and distributed optimization algorithm
- Sports video temporal action detection technology based on an improved MSST algorithm
- Internet of things data security and privacy protection based on improved federated learning
- Enterprise power emission reduction technology based on the LSTM–SVM model
- Construction of multi-style face models based on artistic image generation algorithms
- Research and application of interactive digital twin monitoring system for photovoltaic power station based on global perception
- Special Issue: Decision and Control in Nonlinear Systems - Part II
- Animation video frame prediction based on ConvGRU fine-grained synthesis flow
- Application of GGNN inference propagation model for martial art intensity evaluation
- Benefit evaluation of building energy-saving renovation projects based on BWM weighting method
- Deep neural network application in real-time economic dispatch and frequency control of microgrids
- Real-time force/position control of soft growing robots: A data-driven model predictive approach
- Mechanical product design and manufacturing system based on CNN and server optimization algorithm
- Application of finite element analysis in the formal analysis of ancient architectural plaque section
- Research on territorial spatial planning based on data mining and geographic information visualization
- Fault diagnosis of agricultural sprinkler irrigation machinery equipment based on machine vision
- Closure technology of large span steel truss arch bridge with temporarily fixed edge supports
- Intelligent accounting question-answering robot based on a large language model and knowledge graph
- Analysis of manufacturing and retailer blockchain decision based on resource recyclability
- Flexible manufacturing workshop mechanical processing and product scheduling algorithm based on MES
- Exploration of indoor environment perception and design model based on virtual reality technology
- Tennis automatic ball-picking robot based on image object detection and positioning technology
- A new CNN deep learning model for computer-intelligent color matching
- Design of AR-based general computer technology experiment demonstration platform
- Indoor environment monitoring method based on the fusion of audio recognition and video patrol features
- Health condition prediction method of the computer numerical control machine tool parts by ensembling digital twins and improved LSTM networks
- Establishment of a green degree evaluation model for wall materials based on lifecycle
- Quantitative evaluation of college music teaching pronunciation based on nonlinear feature extraction
- Multi-index nonlinear robust virtual synchronous generator control method for microgrid inverters
- Manufacturing engineering production line scheduling management technology integrating availability constraints and heuristic rules
- Analysis of digital intelligent financial audit system based on improved BiLSTM neural network
- Attention community discovery model applied to complex network information analysis
- A neural collaborative filtering recommendation algorithm based on attention mechanism and contrastive learning
- Rehabilitation training method for motor dysfunction based on video stream matching
- Research on façade design for cold-region buildings based on artificial neural networks and parametric modeling techniques
- Intelligent implementation of muscle strain identification algorithm in Mi health exercise induced waist muscle strain
- Optimization design of urban rainwater and flood drainage system based on SWMM
- Improved GA for construction progress and cost management in construction projects
- Evaluation and prediction of SVM parameters in engineering cost based on random forest hybrid optimization
- Museum intelligent warning system based on wireless data module
- Optimization design and research of mechatronics based on torque motor control algorithm
- Special Issue: Nonlinear Engineering’s significance in Materials Science
- Experimental research on the degradation of chemical industrial wastewater by combined hydrodynamic cavitation based on nonlinear dynamic model
- Study on low-cycle fatigue life of nickel-based superalloy GH4586 at various temperatures
- Some results of solutions to neutral stochastic functional operator-differential equations
- Ultrasonic cavitation did not occur in high-pressure CO2 liquid
- Research on the performance of a novel type of cemented filler material for coal mine opening and filling
- Testing of recycled fine aggregate concrete’s mechanical properties using recycled fine aggregate concrete and research on technology for highway construction
- A modified fuzzy TOPSIS approach for the condition assessment of existing bridges
- Nonlinear structural and vibration analysis of straddle monorail pantograph under random excitations
- Achieving high efficiency and stability in blue OLEDs: Role of wide-gap hosts and emitter interactions
- Construction of teaching quality evaluation model of online dance teaching course based on improved PSO-BPNN
- Enhanced electrical conductivity and electromagnetic shielding properties of multi-component polymer/graphite nanocomposites prepared by solid-state shear milling
- Optimization of thermal characteristics of buried composite phase-change energy storage walls based on nonlinear engineering methods
- A higher-performance big data-based movie recommendation system
- Nonlinear impact of minimum wage on labor employment in China
- Nonlinear comprehensive evaluation method based on information entropy and discrimination optimization
- Application of numerical calculation methods in stability analysis of pile foundation under complex foundation conditions
- Research on the contribution of shale gas development and utilization in Sichuan Province to carbon peak based on the PSA process
- Characteristics of tight oil reservoirs and their impact on seepage flow from a nonlinear engineering perspective
- Nonlinear deformation decomposition and mode identification of plane structures via orthogonal theory
- Numerical simulation of damage mechanism in rock with cracks impacted by self-excited pulsed jet based on SPH-FEM coupling method: The perspective of nonlinear engineering and materials science
- Cross-scale modeling and collaborative optimization of ethanol-catalyzed coupling to produce C4 olefins: Nonlinear modeling and collaborative optimization strategies
- Unequal width T-node stress concentration factor analysis of stiffened rectangular steel pipe concrete
- Special Issue: Advances in Nonlinear Dynamics and Control
- Development of a cognitive blood glucose–insulin control strategy design for a nonlinear diabetic patient model
- Big data-based optimized model of building design in the context of rural revitalization
- Multi-UAV assisted air-to-ground data collection for ground sensors with unknown positions
- Design of urban and rural elderly care public areas integrating person-environment fit theory
- Application of lossless signal transmission technology in piano timbre recognition
- Application of improved GA in optimizing rural tourism routes
- Architectural animation generation system based on AL-GAN algorithm
- Advanced sentiment analysis in online shopping: Implementing LSTM models analyzing E-commerce user sentiments
- Intelligent recommendation algorithm for piano tracks based on the CNN model
- Visualization of large-scale user association feature data based on a nonlinear dimensionality reduction method
- Low-carbon economic optimization of microgrid clusters based on an energy interaction operation strategy
- Optimization effect of video data extraction and search based on Faster-RCNN hybrid model on intelligent information systems
- Construction of image segmentation system combining TC and swarm intelligence algorithm
- Particle swarm optimization and fuzzy C-means clustering algorithm for the adhesive layer defect detection
- Optimization of student learning status by instructional intervention decision-making techniques incorporating reinforcement learning
- Fuzzy model-based stabilization control and state estimation of nonlinear systems
- Optimization of distribution network scheduling based on BA and photovoltaic uncertainty
- Tai Chi movement segmentation and recognition on the grounds of multi-sensor data fusion and the DBSCAN algorithm
- Special Issue: Dynamic Engineering and Control Methods for the Nonlinear Systems - Part III
- Generalized numerical RKM method for solving sixth-order fractional partial differential equations
Articles in the same Issue
- Research Articles
- Generalized (ψ,φ)-contraction to investigate Volterra integral inclusions and fractal fractional PDEs in super-metric space with numerical experiments
- Solitons in ultrasound imaging: Exploring applications and enhancements via the Westervelt equation
- Stochastic improved Simpson for solving nonlinear fractional-order systems using product integration rules
- Exploring dynamical features like bifurcation assessment, sensitivity visualization, and solitary wave solutions of the integrable Akbota equation
- Research on surface defect detection method and optimization of paper-plastic composite bag based on improved combined segmentation algorithm
- Impact the sulphur content in Iraqi crude oil on the mechanical properties and corrosion behaviour of carbon steel in various types of API 5L pipelines and ASTM 106 grade B
- Unravelling quiescent optical solitons: An exploration of the complex Ginzburg–Landau equation with nonlinear chromatic dispersion and self-phase modulation
- Perturbation-iteration approach for fractional-order logistic differential equations
- Variational formulations for the Euler and Navier–Stokes systems in fluid mechanics and related models
- Rotor response to unbalanced load and system performance considering variable bearing profile
- DeepFowl: Disease prediction from chicken excreta images using deep learning
- Channel flow of Ellis fluid due to cilia motion
- A case study of fractional-order varicella virus model to nonlinear dynamics strategy for control and prevalence
- Multi-point estimation weldment recognition and estimation of pose with data-driven robotics design
- Analysis of Hall current and nonuniform heating effects on magneto-convection between vertically aligned plates under the influence of electric and magnetic fields
- A comparative study on residual power series method and differential transform method through the time-fractional telegraph equation
- Insights from the nonlinear Schrödinger–Hirota equation with chromatic dispersion: Dynamics in fiber–optic communication
- Mathematical analysis of Jeffrey ferrofluid on stretching surface with the Darcy–Forchheimer model
- Exploring the interaction between lump, stripe and double-stripe, and periodic wave solutions of the Konopelchenko–Dubrovsky–Kaup–Kupershmidt system
- Computational investigation of tuberculosis and HIV/AIDS co-infection in fuzzy environment
- Signature verification by geometry and image processing
- Theoretical and numerical approach for quantifying sensitivity to system parameters of nonlinear systems
- Chaotic behaviors, stability, and solitary wave propagations of M-fractional LWE equation in magneto-electro-elastic circular rod
- Dynamic analysis and optimization of syphilis spread: Simulations, integrating treatment and public health interventions
- Visco-thermoelastic rectangular plate under uniform loading: A study of deflection
- Threshold dynamics and optimal control of an epidemiological smoking model
- Numerical computational model for an unsteady hybrid nanofluid flow in a porous medium past an MHD rotating sheet
- Regression prediction model of fabric brightness based on light and shadow reconstruction of layered images
- Dynamics and prevention of gemini virus infection in red chili crops studied with generalized fractional operator: Analysis and modeling
- Qualitative analysis on existence and stability of nonlinear fractional dynamic equations on time scales
- Fractional-order super-twisting sliding mode active disturbance rejection control for electro-hydraulic position servo systems
- Analytical exploration and parametric insights into optical solitons in magneto-optic waveguides: Advances in nonlinear dynamics for applied sciences
- Bifurcation dynamics and optical soliton structures in the nonlinear Schrödinger–Bopp–Podolsky system
- User profiling in university libraries by combining multi-perspective clustering algorithm and reader behavior analysis
- Exploring bifurcation and chaos control in a discrete-time Lotka–Volterra model framework for COVID-19 modeling
- Review Article
- Haar wavelet collocation method for existence and numerical solutions of fourth-order integro-differential equations with bounded coefficients
- Special Issue: Nonlinear Analysis and Design of Communication Networks for IoT Applications - Part II
- Silicon-based all-optical wavelength converter for on-chip optical interconnection
- Research on a path-tracking control system of unmanned rollers based on an optimization algorithm and real-time feedback
- Analysis of the sports action recognition model based on the LSTM recurrent neural network
- Industrial robot trajectory error compensation based on enhanced transfer convolutional neural networks
- Research on IoT network performance prediction model of power grid warehouse based on nonlinear GA-BP neural network
- Interactive recommendation of social network communication between cities based on GNN and user preferences
- Application of improved P-BEM in time varying channel prediction in 5G high-speed mobile communication system
- Construction of a BIM smart building collaborative design model combining the Internet of Things
- Optimizing malicious website prediction: An advanced XGBoost-based machine learning model
- Economic operation analysis of the power grid combining communication network and distributed optimization algorithm
- Sports video temporal action detection technology based on an improved MSST algorithm
- Internet of things data security and privacy protection based on improved federated learning
- Enterprise power emission reduction technology based on the LSTM–SVM model
- Construction of multi-style face models based on artistic image generation algorithms
- Research and application of interactive digital twin monitoring system for photovoltaic power station based on global perception
- Special Issue: Decision and Control in Nonlinear Systems - Part II
- Animation video frame prediction based on ConvGRU fine-grained synthesis flow
- Application of GGNN inference propagation model for martial art intensity evaluation
- Benefit evaluation of building energy-saving renovation projects based on BWM weighting method
- Deep neural network application in real-time economic dispatch and frequency control of microgrids
- Real-time force/position control of soft growing robots: A data-driven model predictive approach
- Mechanical product design and manufacturing system based on CNN and server optimization algorithm
- Application of finite element analysis in the formal analysis of ancient architectural plaque section
- Research on territorial spatial planning based on data mining and geographic information visualization
- Fault diagnosis of agricultural sprinkler irrigation machinery equipment based on machine vision
- Closure technology of large span steel truss arch bridge with temporarily fixed edge supports
- Intelligent accounting question-answering robot based on a large language model and knowledge graph
- Analysis of manufacturing and retailer blockchain decision based on resource recyclability
- Flexible manufacturing workshop mechanical processing and product scheduling algorithm based on MES
- Exploration of indoor environment perception and design model based on virtual reality technology
- Tennis automatic ball-picking robot based on image object detection and positioning technology
- A new CNN deep learning model for computer-intelligent color matching
- Design of AR-based general computer technology experiment demonstration platform
- Indoor environment monitoring method based on the fusion of audio recognition and video patrol features
- Health condition prediction method of the computer numerical control machine tool parts by ensembling digital twins and improved LSTM networks
- Establishment of a green degree evaluation model for wall materials based on lifecycle
- Quantitative evaluation of college music teaching pronunciation based on nonlinear feature extraction
- Multi-index nonlinear robust virtual synchronous generator control method for microgrid inverters
- Manufacturing engineering production line scheduling management technology integrating availability constraints and heuristic rules
- Analysis of digital intelligent financial audit system based on improved BiLSTM neural network
- Attention community discovery model applied to complex network information analysis
- A neural collaborative filtering recommendation algorithm based on attention mechanism and contrastive learning
- Rehabilitation training method for motor dysfunction based on video stream matching
- Research on façade design for cold-region buildings based on artificial neural networks and parametric modeling techniques
- Intelligent implementation of muscle strain identification algorithm in Mi health exercise induced waist muscle strain
- Optimization design of urban rainwater and flood drainage system based on SWMM
- Improved GA for construction progress and cost management in construction projects
- Evaluation and prediction of SVM parameters in engineering cost based on random forest hybrid optimization
- Museum intelligent warning system based on wireless data module
- Optimization design and research of mechatronics based on torque motor control algorithm
- Special Issue: Nonlinear Engineering’s significance in Materials Science
- Experimental research on the degradation of chemical industrial wastewater by combined hydrodynamic cavitation based on nonlinear dynamic model
- Study on low-cycle fatigue life of nickel-based superalloy GH4586 at various temperatures
- Some results of solutions to neutral stochastic functional operator-differential equations
- Ultrasonic cavitation did not occur in high-pressure CO2 liquid
- Research on the performance of a novel type of cemented filler material for coal mine opening and filling
- Testing of recycled fine aggregate concrete’s mechanical properties using recycled fine aggregate concrete and research on technology for highway construction
- A modified fuzzy TOPSIS approach for the condition assessment of existing bridges
- Nonlinear structural and vibration analysis of straddle monorail pantograph under random excitations
- Achieving high efficiency and stability in blue OLEDs: Role of wide-gap hosts and emitter interactions
- Construction of teaching quality evaluation model of online dance teaching course based on improved PSO-BPNN
- Enhanced electrical conductivity and electromagnetic shielding properties of multi-component polymer/graphite nanocomposites prepared by solid-state shear milling
- Optimization of thermal characteristics of buried composite phase-change energy storage walls based on nonlinear engineering methods
- A higher-performance big data-based movie recommendation system
- Nonlinear impact of minimum wage on labor employment in China
- Nonlinear comprehensive evaluation method based on information entropy and discrimination optimization
- Application of numerical calculation methods in stability analysis of pile foundation under complex foundation conditions
- Research on the contribution of shale gas development and utilization in Sichuan Province to carbon peak based on the PSA process
- Characteristics of tight oil reservoirs and their impact on seepage flow from a nonlinear engineering perspective
- Nonlinear deformation decomposition and mode identification of plane structures via orthogonal theory
- Numerical simulation of damage mechanism in rock with cracks impacted by self-excited pulsed jet based on SPH-FEM coupling method: The perspective of nonlinear engineering and materials science
- Cross-scale modeling and collaborative optimization of ethanol-catalyzed coupling to produce C4 olefins: Nonlinear modeling and collaborative optimization strategies
- Unequal width T-node stress concentration factor analysis of stiffened rectangular steel pipe concrete
- Special Issue: Advances in Nonlinear Dynamics and Control
- Development of a cognitive blood glucose–insulin control strategy design for a nonlinear diabetic patient model
- Big data-based optimized model of building design in the context of rural revitalization
- Multi-UAV assisted air-to-ground data collection for ground sensors with unknown positions
- Design of urban and rural elderly care public areas integrating person-environment fit theory
- Application of lossless signal transmission technology in piano timbre recognition
- Application of improved GA in optimizing rural tourism routes
- Architectural animation generation system based on AL-GAN algorithm
- Advanced sentiment analysis in online shopping: Implementing LSTM models analyzing E-commerce user sentiments
- Intelligent recommendation algorithm for piano tracks based on the CNN model
- Visualization of large-scale user association feature data based on a nonlinear dimensionality reduction method
- Low-carbon economic optimization of microgrid clusters based on an energy interaction operation strategy
- Optimization effect of video data extraction and search based on Faster-RCNN hybrid model on intelligent information systems
- Construction of image segmentation system combining TC and swarm intelligence algorithm
- Particle swarm optimization and fuzzy C-means clustering algorithm for the adhesive layer defect detection
- Optimization of student learning status by instructional intervention decision-making techniques incorporating reinforcement learning
- Fuzzy model-based stabilization control and state estimation of nonlinear systems
- Optimization of distribution network scheduling based on BA and photovoltaic uncertainty
- Tai Chi movement segmentation and recognition on the grounds of multi-sensor data fusion and the DBSCAN algorithm
- Special Issue: Dynamic Engineering and Control Methods for the Nonlinear Systems - Part III
- Generalized numerical RKM method for solving sixth-order fractional partial differential equations