Startseite Technik Effect of drain pipes on seepage and slope stability through a zoned earth dam
Artikel Open Access

Effect of drain pipes on seepage and slope stability through a zoned earth dam

  • Waqed H. Hassan ORCID logo EMAIL logo , Thaer T. Atshan und Rifqa F. Thiab
Veröffentlicht/Copyright: 29. Oktober 2024
Veröffentlichen auch Sie bei De Gruyter Brill

Abstract

Earth dams must be supplied with seepage control devices to prevent piping and sloughing. One such device used for this purpose is the so-called drain pipe. This study focuses on the influence of drain pipes on seepage and slope stability analysis in a zoned earth dam; here, for the specific case study of the Al-Adhaim dam, Iraq. The purpose of this study is to demonstrate the beneficial effects of drain pipes in the control of seepage and improving slope stability in zoned earth dams, thus allowing for specific recommendations for the optimal location(s) of any drain pipes. SEEP/W software was used to evaluate the steady-state seepage that occurs through and beneath the dam, and SLOPE/W software was used to analyze slope stability. In this study, two drain pipes, each with diameters of 15 cm, were used in the earth dam, with a vertical distance of 1 m between them. The effects of the drain pipes through the earth dam were investigated by varying their relative locations, specifically at X/B = 0.5, 0.6, and 0.7. The results of the study showed that the presence of the drain pipes was effective in reducing the elevation of the phreatic surface line. Additionally, the drain pipes significantly reduced the seepage flow and hydraulic exit gradient while increasing the factor of safety (FOS). Based on the findings, it was concluded that the most effective position for the drain pipes was when they were located at X/B = 0.7; in this configuration, they allowed for minimum seepage flow (70%) and hydraulic exit gradient (72%), while providing the highest FOS (17.2).

1 Introduction

Dams are constructed for various reasons, including the storage of water for domestic and agricultural use, control of flow, reduction of the risks of droughts and floods, and electrical power generation [1]. The structure known as an earthen dam is formed from soil particles linked to one another and mechanically compacted in layers to form the structure of the dam itself. Dams made of earth are typically trapezoidal in shape and have large bases. It was planned to be a segment with no overflow, and a separate spillway was built for it. The shear strength of the soil maintains the stability of this particular kind of dam. Homogeneous, zoned, and diaphragm earth dams are the three most common and essential forms of earth dams currently used [2,3].

When designing earth dams, seepage is a vital aspect of their operation, which has to be thoroughly analyzed and managed in order to prevent later problems. An excessive amount of seepage might pose a risk to the dam's stability, ultimately leading to its collapse. Sloughing and piping are the two most typical forms of failure that may occur in downstream seepage. Dams have a history of collapsing due to uncontrolled seepage, which has almost inevitably led to disastrous results. For example, one might consider the collapse of the Vajont dam in Italy in 1963, which resulted in 2,600 fatalities, the Teton dam in the United States in 1976, which resulted in 100 fatalities and economic losses of almost one billion dollars, or the collapse of the Gouhou dam in China in 1993, which resulted in 300 fatalities. Data analysis of 534 dam failures in 43 countries prior to 1976 reveals that these failures approximately accounted for the highest proportion of all failures in such structures, including 49% overtopping, 28% seepage through the dam, and 29% seepage through the foundations [4,5].

There are two primary issues that arise as a result of seepage via earth dams. The first problem pertains to assessing the quantity of seepage flow, which is always a significant cost issue for dams. The second problem is the stability of the dam in the face of high gradients, which may wash away soil particles along the seepage surface on the downstream side of the dam, which can jeopardize its stability. If seepage is prevented, the water might find another way through or build-up, resulting in unstable slope conditions. Dams that have been developed correctly should have a properly designed interior drainage system. Dam stability can be improved by adding drains and filters, which significantly reduce the volume of water that seeps through and prevent the erosion of soil particles. Toe drains, horizontal blanket drains, and chimney drains are three distinct types of drains that can be distinguished based on their position and form [6,7]. The proper design and implementation of drains are crucial to managing seepage in dams. By controlling seepage and preventing soil erosion, these measures contribute to the stability of the dam, reducing the risk of slope failure and other potential hazards.

2 Literature review

Several research groups have concentrated their efforts on seepage behavior through earthen dams or other related topics. Mansuri and Salmasi [8] investigated the efficacy of employing horizontal drains and cut-off walls to minimize the amount of water that seeps through heterogeneous earth dams. In order to accomplish this goal, many potential lengths of horizontal drain and cut-off wall depths were investigated beneath the dam in several locations around the foundations. Seepage, exit gradient, and uplift pressure were all computed via numerical simulations utilizing the SEEP/W subprogram of the GeoStudio software suite. According to the findings, extending the length of the horizontal drain will lead to a minor increase in seepage flow, as well as an increase in the exit gradient. The center of the dam’s foundation is the ideal place for the cut-off wall since this helps to reduce the amount of water that seeps through. Also, it has been found that seepage from earth dams and their foundations decreases when the cut-off wall is increased. Arshad et al. [9] developed a finite element model of a nonhomogeneous earth dam using the SEEP/W software, with the Hub dam in India chosen as the subject for their model. In order to evaluate the behavior of the dam with regard to seepage flow and hydraulic gradient, two distinct scenarios were investigated and studied: one with a cut-off wall and the other without. Additionally, the program was used to illustrate the behavior of the phreatic line in both scenarios. As a result of the simulation, it was determined that the dam is secure against piping for case 2 since the construction of the cut-off wall was successful in terms of lowering the pore pressure of water inside the dam and its foundations. Hence, it is possible to conclude that cut-off walls in earth dams play a vital role in decreasing the internal pore pressure of water at the surface of the dam foundation, which in turn reduces the seepage flux and hydraulic gradient. Ade et al. [10] determined the amount of seepage for various water heads upstream of the Kas dam, which is a zoned earth dam located in India, using the GeoStudio program with the SEEP/W subprogram. In addition, an investigation into the dam’s stability was performed using the SLOPE/W subprogram, with the factor of safety (FOS) thus calculated. The results indicated that the dam was not presently in any danger of collapse due to seepage, as determined by seepage analysis performed using the GeoStudio program. Attia et al. [11] investigated how the decrease in water head and the length of the filter were influenced by the depth of the penetration and the cut-off distance, respectively. In addition, the thickness of the previous layer that lies under the dam was analyzed to determine its influence on the length of the filter and seepage flow. The ideal location for the cut-off was also determined by analyzing the outcomes of the experiments. It was determined that the optimal location for the cut-off was the point that resulted in the least amount of seepage flow being directed toward the filter while simultaneously allowing for the greatest decrease in the phreatic surface. Additionally, it was discovered that there is no requirement to install a filter downstream; nevertheless, in order to maintain downstream safety, it is essential to build a filter on the downstream side. The depth of the previous layer is increased, which results in an increase in the water head. Torabi Haghighi et al. [12] developed a somewhat original approach to estimating the effectiveness of seepage control methods in earth dams using a combination of monitoring data. They validated their concept by implementing it at the Doroudzan dam in Iran, where they analyzed the effectiveness of the seepage control components. According to their findings, the total efficacy of the seepage control methods at the dam ranged between 51 and 70%, depending on the water that was released from the reservoir. The effectiveness of the seepage control methods for the chimney drain was 76–82%, for the cut-off wall was 68–74%, and for the grouting diaphragm was 16–19%. Malik and Karim [13] investigated the seepage and slope stability of the Hadith earth dam in Iraq. The SEEP/W software was used to create a flow net, which displays the phreatic, equipotential, and streamlines. Additionally, the program calculated the amount of seepage. The actual design of the dam was explored by checking the water elevation at the highest, lowest, and normal. It was concluded that the existence of an asphaltic concrete diaphragm and grout curtain would lead to a significant reduction in the quantity of water seeping through the dam body, and the FOS for upstream and downstream fulfill the minimum requirements for such at all water elevations. Onyelowe et al. [14] used an optimized geostabilization numerical model for a 37 m-high slope embankment on a soft clay watershed. Their study’s aim was to address slope failure, which contributes to climate change concerns and conflicts with the United Nations Sustainable Development Goals (UNSDGs) for 2050. The model considers safety, cost optimization, and environmental goals. Monitoring wells were installed, and soil samples were tested to determine water level conditions and soil properties. Seven simulation alternatives were evaluated, including slope reduction, dewatering, jet grouting, and combinations thereof. Three alternatives were discarded due to inadequate stability, leaving four alternatives for further optimization. Factors such as cost, constructability, reliability, and environmental impact were considered. Based on these factors, alternative-1, with an FOS of 1.505, was chosen as the optimal solution in terms of reliability, constructability, and environmental impact despite not being the cheapest option. Alternative-6 and alternative-7 were the most economical alternatives but ranked lower in terms of reliability and environmental impact considerations. Hassan et al. [15] conducted a steady-state seepage analysis and determined the downstream FOS using the modified Bishop’s method for a poorly compacted earth dam. The aim of their study was to optimize the embankment of the reservoir located near Sadiyavav village in Junaga district, Gujarat, India. The analysis and optimization were conducted by introducing a double-textured high-density polyethylene (HDPE) geomembrane barrier. Two improvement techniques were studied using the limit equilibrium-finite element method (LS-FEM). The first technique involved stabilizing the HDPE membrane. The study results indicated improvements in downstream slope stability for the two alternatives, with a 3% improvement for the first alternative and a 10% improvement for the second. Fadhil and Hassan [16] addressed water seepage issues in hydraulic structures, such as concrete dams and barrages, which can lead to soil erosion, increased uplift pressure, and potential failure of the foundations. The objective was to minimize such problems by optimizing the location, number, and diameter of any drain pipes beneath the structure’s foundation. Using the GeoStudio software and FEM, an optimization methodology was employed to determine the optimal position, number, and diameter of the drain pipes. The study found that the position of any drain pipes significantly affects the exit gradient and uplift pressure, particularly at specific locations along the dam’s foundations. The optimal positions for the drain pipes were identified as 35 and 50% along the dam foundation, measured from the dam’s heel side. By installing the drain pipes at these locations, a notable reduction of approximately 50% in the exit gradient and a 48% decrease in uplift pressure could be achieved compared to the reference condition, that is, without drain pipes. Furthermore, the study revealed that increasing the number and diameter of the drain pipes would lead to a considerable reduction in uplift pressure head and exit gradient.

This article focuses on investigating the impact of drain pipes on the seepage and slope stability of the Al-Adhaim dam in Iraq, which is an earth dam with zoned construction. The GeoStudio software was utilized for simulations via its SEEP/W and SLOPE/W subprograms to compare the results between scenarios with and without drain pipes [17]. Figure 1 shows the step sequence in which this study was conducted, from beginning to end. X represents the horizontal position of the drain pipes from the upstream, and B represents the base width of the dam. SEEP/W is a numerical modeling tool used for analyzing groundwater flow and seepage problems, while SLOPE/W is employed in slope stability analysis. These software programs were used to assess how the presence of drain pipes might influence seepage patterns and the overall stability of the earth dam. The methodology involved developing a numerical model of the dam in GeoStudio, considering its geometric and material properties. The results obtained from the simulations were compared and evaluated to determine the effects of the drain pipes. The presence of drain pipes in an earth dam can enhance its seepage characteristics by providing an additional route through which water can flow and dissipate pore pressures. This can potentially reduce the risk of internal erosion and improve the overall stability of the dam, as per the following:

  1. Prevention of water seepage: The pipes redirect the flow of water away from the outer slope of the dam, reducing the risk of water away from surrounding areas.

  2. Protection against corrosion: Water can cause corrosion and erosion of the soil and materials used in dam construction. Using drain pipes thus reduces exposure to potential sources of corrosion.

  3. Maintenance of dam stability: The drainage system helps maintain the stability of the dam. When the water seeps into the dam and exceeds allowable levels, its weight increases and may affect the stability of the dam as a whole, in turn increasing the risk of collapse. By using drain pipes, seepage water can be controlled, and dam stability can be effectively preserved.

  4. Preservation of surrounding land: By properly directing the flow of water, the negative impacts on the land surrounding the dam can be minimized. This includes reducing land excavation, soil erosion, and changes to the ecosystem.

  5. Water redirection for agricultural or industrial use: Drainage pipes can be used to redirect water discharged from the dam for agricultural or industrial purposes. This helps maximize the utilization of available resources and meet the water needs of surrounding communities.

Figure 1 
               Flow chart of Geo-Studio model.
Figure 1

Flow chart of Geo-Studio model.

3 Seepage analysis

The difference in water elevation between the upstream and downstream sides of the earth dam, combined with the hydraulic conductivity of the respective embankment material, is used to inform the calculation used to estimate the quantity of seepage flow that occurs through earth dams. The quantity of seepage flow through a saturated soil media can be calculated via the Darcy law as follows [18,19]:

(1) Q = K i e A ,

where Q represents seepage flow via porous media (m3/s), k is the hydraulic conductivity of the soil (m/s), i e is the hydraulic exit gradient, and A is the cross-sectional area (m2).

The purpose of the Darcy law is to calculate flow rates through saturated soil. According to subsequent studies, it can also be used to determine the seepage rate across unsaturated porous media [20,21,22,23].

The theory of fluid flow via porous materials can be used to calculate the amount of water that seeps through the earth dam as well as the distribution of water pressure. The two-dimensional differential equation known as the Laplace equation can be used to predict the seepage flow as follows [24,25,26]:

(2) x k x H x + y k y H y + Q = θ τ ,

where H represents the total head (m), k x and k y are the hydraulic conductivities in x and y directions (m/s), respectively, Q is the seepage rate (m3/s), θ is the volumetric water content, and t is the time (s).

Under steady-state flow, storage changes are unaffected by time, and continuity requires the quantity of flow entering and leaving the element volume to be equal. If the flow through the earth dam is steady and the dam materials are anisotropic, Equation (2) can be expressed as follows [27]:

(3) x k x H x + y k y H y + Q = 0 .

The SEEP/W software uses the FEM to find the solution to (3) [24,28].

4 Slope stability analysis

In the field of geotechnical engineering, the general limit equilibrium analysis is employed to evaluate the slope stability of earth dams. The traditional technique of analysis when determining slope stability is to calculate the FOS. The FOS is defined as the ratio of the total resistance of shear to the total shear that has been generated for individual slices [17,20].

(4) FOS = τ f τ d ,

where the FOS represents the factor of safety against sliding, τ f is the total shear strength of the soil (kN/m2), and T d is the total shear stress generated along the surface that could fail (kN/m2).

Cohesion and friction are the two main components contributing to the soil's shear strength, which can be represented as:

(5) τ f = c + σ tan ϕ ,

where c represents cohesion (kN/m2), ϕ is the friction angle, and σ′ is the normal stress on the surface of potential failure (kN/m2).

SLOPE/W uses the theory of limit equilibrium of forces and moments to find the FOS [29]. Various GLE methods have been used to calculate the FOS, such as the Bishop, Morgenstern-Price, Spencer, Janbu simplified, and Corps of Engineers approaches. This research uses the Spencer method to compute the FOS; this method assumes that all forces from the side are sloped at the same angle and the normal pressure at the slice bottom operates at the base center. Thus, this method meets all the criteria for the equilibrium of forces and moments [3033].

5 Case study

The case study selected was the Al-Adhaim dam, shown in Figure 2, which represents a zoned earth-type dam. The location of the dam is around 100 km northeast of Baghdad, Iraq. The dam itself is located about 1.5 km from the confluence of two rivers, the Tuz Jay and the Taq Jay, which join to create the Al-Adhaim River [34]. The reservoir's surface area is 270 km2 at an elevation of 143.5 m and 122 km2 at a level of 132 m. The maximum capacity of the Al-Adhaim dam is 3,750 km3 at an elevation of 143.5 m [30,35].

Figure 2 
               Al-Adhaim dam (Al-Labban, [30]).
Figure 2

Al-Adhaim dam (Al-Labban, [30]).

The maximum flood design level of the dam is 143.5 m. The dam's base elevation is 70 m above sea level, while the dam's crest height is 146.5 m. The dam's primary components are the shell, core, and filters, while its foundation soil consists of slope layers and a series of overlays, marl, and sandstone of varying thicknesses [30].

6 Al-Adhaim dam components

The Al-Adhaim earth dam, illustrated in Figure 3, is filled with three basic layers: filters, shell, and core. The thicknesses of these infills vary with the height of the dam, being thickest at the base and progressively decreasing as height increases. The dam height varies according to the ground level, ranging from some meters to several tens of meters, such as at 70 m [30,36]. The shell consists of sand and gravel, with a top width of 12 m and side slopes of 1:2.5 and 1:2 for upstream and downstream, respectively. The core is made up of silty clay, which slides upstream with slopes of 1:1 and 1:2. The form of the core section is that of a chimney, having a thickness of 8 m at a height of 143.5 m. This thickness gradually increases to 33 m at an elevation of 70 m. It may be noted that the core thickness at any point is 50% of the water level at that point, which is ideal to prevent water from leaking. At a level of 70 m, the core and marl soils have been combined to produce an obstacle to stop water from seeping under the dam. The drainage system is composed of vertical and horizontal filters. The core is protected by utilizing a vertical filter composed of two layers. The first layer, referred to as filter (F), has a 2 m thickness, while the second layer, referred to as filter (T), also has a 2 m thickness. The horizontal drainage is made up of three layers: the first layer is filter (F) with a thickness of 0.3 m, the second layer is filter (T) with a thickness of 2.5 m, and the third layer is filter (F) with a thickness of 0.5 m. The material properties of the Al-Adhaim dam are summarized in Tables 1 and 2.

Figure 3 
               Cross-section of the Al-Adhaim dam [30].
Figure 3

Cross-section of the Al-Adhaim dam [30].

Table 1

Material permeability of the Al-Adhaim dam [37]

Permeability coefficient (m/s)
Material Horizontal (k x ) Vertical (k y )
Shell 1.25 × 10−5 1.25 × 10−5
Core 2.25 × 10−10 1 × 10−10
Filters Filter (F) 1.2 × 10−3 1.2 × 10−3
Filter (T) 1 × 10−2 1 × 10−2
Foundation Marl 1 × 10−10 1 × 10−10
Sandstone 5.5 × 10−6 5.5 × 10−6
Table 2

Material properties of the Al-Adhaim dam [30]

Material Unit weight (γ) (kN/m3) Hydraulic conductivity (k) (m/day) Cohesion (c) (kPa) Elastic modulus (E) (kPa) Friction angle (ϕ) (o)
Shell 17 1.08 0 19,000 37
Core 17 1.944 × 10−5 0 9,000 25
Filter F 20 1.0368 0 19,000 35
Filter T 16 8.64 0 19,000 35
Marl 19.5 8.64 × 10−6 600 350,000 10
Sandstone 19.5 4.752 × 10−3 0 300,000 38

7 Analysis of seepage and slope stability of the Al-Adhaim dam

The steady-state seepage that occurs through and beneath the Al-Adhaim dam was evaluated utilizing the SEEP/W software, while SLOPE/W was used to analyze the slope stability. Figure 4 illustrates the finite element mesh that was utilized in this study. The total number of nodes is 3,167, whereas there are 3,050 elements. The boundary nodes upstream were defined as head boundaries, with the total head equal to the reservoir's water of 132 m. In contrast, the boundary nodes downstream were defined as the tail boundaries with a total head of 93 m. The nodes at the foundation's bottom edge have been designated as zero discharge (no flow) [38,39]. A saturated/unsaturated method was employed for material models of the shell and the core soils, respectively. The completely saturated option was chosen for the foundation and the filter soils.

Figure 4 
               Al-Adhaim dam finite element mesh.
Figure 4

Al-Adhaim dam finite element mesh.

8 Results and discussion

This section presents the analysis of the Al-Adhaim dam section under various scenarios, including the presence or absence of drain pipes, with different positions for the drain pipes. In all cases, the use of two drain pipes was assumed; the first was located at coordinates (X,73), while the second was located at (X,74), passing through the dam. The horizontal position of the drain pipes varied, represented by relative position X/B with values of 0.5, 0.6, and 0.7. Here, X represents the horizontal position of the drain pipes upstream, and B represents the base width of the dam, as shown in Figure 5. The diameter of the drain pipes used in all cases was 15 cm. Figure 6 illustrates the different scenarios, demonstrating how the installation of drain pipes through the earth dam leads to a lowering of the phreatic surface line. The effects of the drain pipes’ presence on seepage flow (Q), exit gradient (i e), and FOS were investigated and compared to the case without drain pipes.

Figure 5 
               Al-Adhaim dam section when using drain pipes.
Figure 5

Al-Adhaim dam section when using drain pipes.

Figure 6 
               Cases of the Al-Adhaim dam with and without drain pipes.
Figure 6

Cases of the Al-Adhaim dam with and without drain pipes.

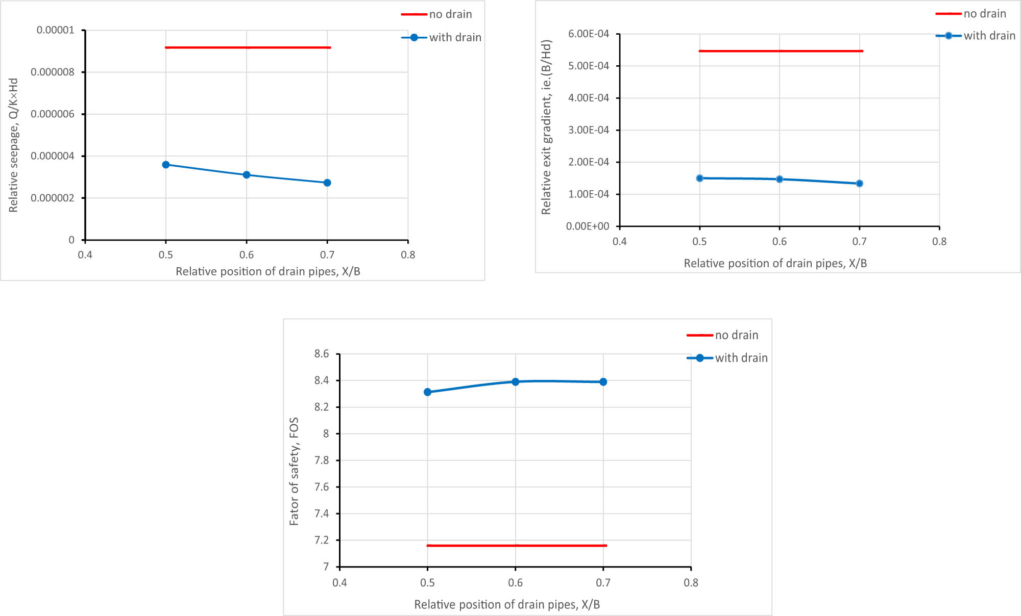
The information shown in Figure 7 illustrates the effects of different drain pipe positions on various parameters in specific cases as follows:

Figure 7 
               Influence of drain pipes.
Figure 7

Influence of drain pipes.

For case 1, when the drain pipes are located at X/B = 0.5,

  • The relative seepage flow (Q/kH d) (where H d represents the height of the dam) is reduced by approximately 60%.

  • The relative exit gradient i e(B/H d) is decreased by around 72%.

  • The FOS is increased by nearly 16%.

For case 2, when the drain pipes are located at X/B = 0.6,

  • The relative seepage flow (Q/kH d) is reduced by approximately 66%.

  • The relative exit gradient i e(B/H d) is lowered by around 73%.

  • The FOS is increased by nearly 17.2%.

For case 3, when the drain pipes are located at X/B = 0.7

  • The relative seepage flow (Q/kH d) is reduced by approximately 70%.

  • The relative exit gradient i e(B/H d) is lowered by around 75%.

  • The FOS is increased by nearly 17.2%.

Based on previous results, it seems that the presence of drain pipes in an earth dam has a positive effect in terms of reducing seepage flow and enhancing the stability of the dam. For all cases shown in Figure 6, there are significant reductions in the relative seepage flow (Q/kH d). This means that the drain pipes effectively intercept and divert the seepage flow, preventing excessive water from flowing downstream through the dam. By reducing seepage flow, the drain pipes help mitigate the potential for excessive pore water pressure within the dam. This is beneficial because excessive pore water pressure can have adverse effects on the dam’s stability and performance. By implementing the use of drain pipes, the seepage flow can be managed, reducing the risk of pore water pressure buildup and its associated consequences. Also, it may be noted that there is a decrease in the relative exit gradient i e(B/H d). The exit gradient refers to the slope of the seepage path as it exits the dam. A lower exit gradient indicates a flatter seepage path, which means that the drain pipes help distribute the seepage flow more evenly and prevent concentrated flow paths. This can help reduce the potential for erosion and development of preferential flow channels, further contributing to improved slope stability. In addition, it can be seen that the FOS increases in each case, where an increase in such indicates an improvement in the stability of the dam. The drain pipes help to reduce the pore water pressure, which can decrease the effective stress acting on the soil particles and increase the overall stability of the dam.

9 Conclusions

Based on the seepage and slope stability analysis of the Al-Adhaim dam using the FEM, the following conclusions can be drawn:

  • The presence of drain pipes in the earth dam has beneficial effects on seepage flow (Q) and hydraulic exit gradient (i e). The drain pipes help to lower these values, indicating a reduction in the amount of water seeping through the dam and the hydraulic gradient.

  • The installation of drain pipes through the earth dam significantly reduces the phreatic surface line. This means that the drain pipes effectively lower the water table within the dam, minimizing the potential for seepage-related issues.

  • The presence the drain pipes through the earth dam results in an increase in the FOS on the earth dam. This means that the dam is less prone to slope failure and can withstand external loads and hydraulic pressure more effectively.

  • The analysis shows that the best location for the drain pipes within the dam is when the relative position is X/B = 0.7. At this location, the dam experiences the lowest seepage flows (Q) and hydraulic exit gradient (i e), including minimal water seepage and hydraulic pressure. Additionally, this location corresponds to the highest FOS, including the highest level of slope stability. Therefore, placing the drain pipes at X/B = 0.7 within the dam is recommended to ensure optimal seepage control and slope stability.

  1. Funding information: This study was funded by the University of Warith Al-Anbiyaa.

  2. Author contributions: All authors accepted responsibility for the content of the manuscript, consented to its submission, reviewed all the results, and approved the final version of the manuscript. WHH and TTA: design and methodology and simulation of the models; TTA and RFT: formal analysis and investigation; TTA: writing – original draft preparation; WHH and RFT: writing – review and editing; WHH: supervision.

  3. Conflict of interest: Authors state no conflict of interest.

  4. Data availability statement: The datasets generated during and/or analyzed during the current study are available from the corresponding author on reasonable request.

References

[1] Abdel-Kawy AO, AboulAtta NM, El-Molla DA. Effects of core characteristics on seepage through earth dams. Water Pract Technol. 2021;16(4):1248–64.10.2166/wpt.2021.053Suche in Google Scholar

[2] Salem MN, Eldeeb HM, Nofal SA. Analysis of seepage through earth dams with internal core. Int J Eng Res. 2019;8(1):768–77.10.17577/IJERTV8IS080168Suche in Google Scholar

[3] Jawad AA, Hassan WH, Fattah MY. Numerical analysis of a zoned earth dam considering hydrodynamic force during the earthquake excitation. J Phys: Conf Ser. 2021;1973(1):012183.10.1088/1742-6596/1973/1/012183Suche in Google Scholar

[4] Shahba S, Soltani F. Analysis of stress and displacement of Taham earth dam. Indian J Sci Technol. 2016;9(45):1.10.17485/ijst/2016/v9i45/104182Suche in Google Scholar

[5] Hassan WH, Attea ZH, Mohammed SS. Optimum layout design of sewer networks by hybrid genetic algorithm. J Appl Water Eng Res. 2020;8(2):108–24.10.1080/23249676.2020.1761897Suche in Google Scholar

[6] Faisal AA, Taha DS, Hassan WH, Lakhera SK, Ansar S, Pradhan S. Subsurface flow constructed wetlands for treating of simulated cadmium ions-wastewater with presence of Canna indica and Typha domingensis. Chemosphere. 2023;338:139469.10.1016/j.chemosphere.2023.139469Suche in Google Scholar PubMed

[7] Jawad AA, Hassan WH, Fattah MY. Finite element analysis of a zoned earth dam under earthquake excitation. IOP Conf Ser: Mater Sci Eng. 2021;1067(1):012074.10.1088/1757-899X/1067/1/012074Suche in Google Scholar

[8] Mansuri B, Salmasi F. Effect of horizontal drain length and cutoff wall on seepage and uplift pressure in heterogeneous earth dam with numerical simulation. J Civ Eng Urbanism. 2013;3(3):114–21.Suche in Google Scholar

[9] Arshad I, Babar MM, Vallejera CA. Computation of seepage and exit gradient through a non-homogeneous earth dam without cut-off walls by using Geo-slope (SEEP/W) software. PSM. Biol Res. 2019;4(1):40–50.Suche in Google Scholar

[10] Ade P, Choudhary P, Dabhade S, Kad G, Changade JN. Seepage Analysis of Earthen Dam using Geo-Studio Software – A Case Study. Int J Res Eng Sci Manag. 2019;2:179–87.Suche in Google Scholar

[11] Attia M, Abdel Razek M, Salam AA. Seepage through earth dams with internal cut off. Geotech Geol Eng. 2021;39(8):5767–74.10.1007/s10706-021-01865-1Suche in Google Scholar

[12] Torabi Haghighi A, Tuomela A, Hekmatzadeh AA. Assessing the efficiency of seepage control measures in earthfill dams. Geotech Geol Eng. 2020;38:5667–80.10.1007/s10706-020-01371-wSuche in Google Scholar

[13] Malik MK, Karim IR. Seepage and slope stability analysis of Haditha Dam using Geo-Studio Software. IOP Conf Ser: Mater Sci Eng. 2020;928(2):022074.10.1088/1757-899X/928/2/022074Suche in Google Scholar

[14] Onyelowe KC, Ebid AM, Mahdi HA, Baldovino JA. Selecting the safety and cost optimized geo-stabilization technique for soft clay slopes. Civ Eng J. 2023;9(2):453–64.10.28991/CEJ-2023-09-02-015Suche in Google Scholar

[15] Hassan W, Faisal A, Abed E, Al-Ansari N, Saleh B. New composite sorbent for removal of sulfate ions from simulated and real groundwater in the batch and continuous tests. Molecules. 2021;26(14):4356.10.3390/molecules26144356Suche in Google Scholar PubMed PubMed Central

[16] Fadhil MH, Hassan WH. Optimising design of the location and diameter of drain pipes under hydraulic structures using a numerical model. AIP Conf Proc. 2023;2631(1):13.10.1063/5.0131189Suche in Google Scholar

[17] Hassan WH, Hussein HH, Khashan DH, Alshammari MH, Nile BK. Application of the coupled simulation–optimization method for the optimum cut-off design under a hydraulic structure. Water Resour Manag. 2022;36(12):4619–36.10.1007/s11269-022-03269-zSuche in Google Scholar

[18] Harr ME. Groundwater and seepage. New York: McGraw-Hill Book Company; 1991.Suche in Google Scholar

[19] Hassan WH. Application of a genetic algorithm for the optimization of a location and inclination angle of a cut-off wall for anisotropic foundations under hydraulic structures. Geotech Geol Eng. 2019;37(2):883–95.10.1007/s10706-018-0658-9Suche in Google Scholar

[20] Himanshu N, Burman A. Seepage and stability analysis of Durgawati earthen dam: a case study. Indian Geotech J. 2019;49:70–89.10.1007/s40098-017-0283-1Suche in Google Scholar

[21] Wadi WM, Nile BK, Hassan WH Climate change effect on the south Iraq stormwater network. In 2022 International Congress on Human-Computer Interaction, Optimization and Robotic Applications (HORA). 2022 Jun. p. 1–7. IEEE.10.1109/HORA55278.2022.9799860Suche in Google Scholar

[22] Hassan WH, Hashim FS. The effect of climate change on the maximum temperature in Southwest Iraq using HadCM3 and CanESM2 modelling. SN Appl Sci. 2020;2(9):1494.10.1007/s42452-020-03302-zSuche in Google Scholar

[23] Hassan WH, Hashim FS. Studying the impact of climate change on the average temperature using CanESM2 and HadCM3 modelling in Iraq. Int J Glob Warm. 2021;24(2):131–48.10.1504/IJGW.2021.115898Suche in Google Scholar

[24] SEEP/W. Seepage Modeling with SEEP/W. Canada: GEO-SLOPE International, Ltd; 2015.Suche in Google Scholar

[25] Khashan DH, Hassan WH. evaluation of seepage under hydraulic structures using gene expression programming. IOP Conf Ser: Mater Sci Eng. 2021;1067(1):012085.10.1088/1757-899X/1067/1/012085Suche in Google Scholar

[26] Mohammed SR, Nile BK, Hassan WH. Modelling stilling basins for sewage networks. IOP Conf Ser: Mater Sci Eng. 2020;671(1):012111.10.1088/1757-899X/671/1/012111Suche in Google Scholar

[27] Mishal UR, Khayyun TS. Stability analysis of an earth dam using GEO-SLOPE model under different soil conditions. Eng Technol J. 2018;36(5A):523–32.10.30684/etj.36.5A.8Suche in Google Scholar

[28] Hassan WH. Application of a genetic algorithm for the optimization of a cutoff wall under hydraulic structures. J Appl Water Eng Res. 2017;5(1):22–30.10.1080/23249676.2015.1105161Suche in Google Scholar

[29] Jalal HK, Hassan WH. Effect of bridge pier shape on depth of scour. IOP Conf Ser: Mater Sci Eng. 2020;671(1):012001.10.1088/1757-899X/671/1/012001Suche in Google Scholar

[30] Al-Labban S. Seepage and Stability Analysis of the Earth Dams Under Drawdown Conditions by using the Finite Element Method. Ph.D. Dissertation. University of Central Florida; 2018.Suche in Google Scholar

[31] Mohammed MH, Zwain HM, Hassan WH. Modeling the quality of sewage during the leaking of stormwater surface runoff to the sanitary sewer system using SWMM: a case study. AQUA—Water Infrastructure. Ecosyst Soc. 2022;71(1):86–99.10.2166/aqua.2021.227Suche in Google Scholar

[32] Hassan WH, Khalaf RM. Optimum groundwater use management models by genetic algorithms in Karbala Desert, Iraq. IOP Conf Ser: Mater Sci Eng. 2020;928(2):022141.10.1088/1757-899X/928/2/022141Suche in Google Scholar

[33] Mohsen KA, Nile BK, Hassan WH. Experimental work on improving the efficiency of storm networks using a new galley design filter bucket. IOP Conf Ser: Mater Sci Eng. 2020;671(1):012094.10.1088/1757-899X/671/1/012094Suche in Google Scholar

[34] Al-Labban SN. Seepage analysis of earth dams by finite elements. Iraq: The College of Engineering of University of Kufa; 2007.Suche in Google Scholar

[35] Hassan WH. Climate change projections of maximum temperatures for southwest Iraq using statistical downscaling. Clim Res. 2021;83:187–200.10.3354/cr01647Suche in Google Scholar

[36] Mohammed ZM, Hassan WH. Climate change and the projection of future temperature and precipitation in southern Iraq using a LARS-WG model. Model Earth Syst Environ. 2022;8(3):4205–18.10.1007/s40808-022-01358-xSuche in Google Scholar

[37] Fattah MY, Al-Labban SN, Salman FA. Seepage analysis of a zoned earth dam by finite elements. Int J Civ Eng Technol (IJCIET). 2014;5(8):128–39.Suche in Google Scholar

[38] Khalaf RM, Hussein HH, Hassan WH, Mohammed ZM, Nile BK. Projections of precipitation and temperature in Southern Iraq using a LARS-WG Stochastic weather generator. Phys Chem Earth, Parts A/B/C. 2022;128:103224.10.1016/j.pce.2022.103224Suche in Google Scholar

[39] Hassan WH, Nile BK, Mahdi K, Wesseling J, Ritsema C A feasibility assessment of potential artificial recharge for increasing agricultural areas in the kerbala desert in iraq using numerical groundwater modeling. Water. 2021;13(22):3167.10.3390/w13223167Suche in Google Scholar

Received: 2024-03-10
Revised: 2024-04-18
Accepted: 2024-04-23
Published Online: 2024-10-29

© 2024 the author(s), published by De Gruyter

This work is licensed under the Creative Commons Attribution 4.0 International License.

Artikel in diesem Heft

  1. Regular Articles
  2. Methodology of automated quality management
  3. Influence of vibratory conveyor design parameters on the trough motion and the self-synchronization of inertial vibrators
  4. Application of finite element method in industrial design, example of an electric motorcycle design project
  5. Correlative evaluation of the corrosion resilience and passivation properties of zinc and aluminum alloys in neutral chloride and acid-chloride solutions
  6. Will COVID “encourage” B2B and data exchange engineering in logistic firms?
  7. Influence of unsupported sleepers on flange climb derailment of two freight wagons
  8. A hybrid detection algorithm for 5G OTFS waveform for 64 and 256 QAM with Rayleigh and Rician channels
  9. Effect of short heat treatment on mechanical properties and shape memory properties of Cu–Al–Ni shape memory alloy
  10. Exploring the potential of ammonia and hydrogen as alternative fuels for transportation
  11. Impact of insulation on energy consumption and CO2 emissions in high-rise commercial buildings at various climate zones
  12. Advanced autopilot design with extremum-seeking control for aircraft control
  13. Adaptive multidimensional trust-based recommendation model for peer to peer applications
  14. Effects of CFRP sheets on the flexural behavior of high-strength concrete beam
  15. Enhancing urban sustainability through industrial synergy: A multidisciplinary framework for integrating sustainable industrial practices within urban settings – The case of Hamadan industrial city
  16. Advanced vibrant controller results of an energetic framework structure
  17. Application of the Taguchi method and RSM for process parameter optimization in AWSJ machining of CFRP composite-based orthopedic implants
  18. Improved correlation of soil modulus with SPT N values
  19. Technologies for high-temperature batch annealing of grain-oriented electrical steel: An overview
  20. Assessing the need for the adoption of digitalization in Indian small and medium enterprises
  21. A non-ideal hybridization issue for vertical TFET-based dielectric-modulated biosensor
  22. Optimizing data retrieval for enhanced data integrity verification in cloud environments
  23. Performance analysis of nonlinear crosstalk of WDM systems using modulation schemes criteria
  24. Nonlinear finite-element analysis of RC beams with various opening near supports
  25. Thermal analysis of Fe3O4–Cu/water over a cone: a fractional Maxwell model
  26. Radial–axial runner blade design using the coordinate slice technique
  27. Theoretical and experimental comparison between straight and curved continuous box girders
  28. Effect of the reinforcement ratio on the mechanical behaviour of textile-reinforced concrete composite: Experiment and numerical modeling
  29. Experimental and numerical investigation on composite beam–column joint connection behavior using different types of connection schemes
  30. Enhanced performance and robustness in anti-lock brake systems using barrier function-based integral sliding mode control
  31. Evaluation of the creep strength of samples produced by fused deposition modeling
  32. A combined feedforward-feedback controller design for nonlinear systems
  33. Effect of adjacent structures on footing settlement for different multi-building arrangements
  34. Analyzing the impact of curved tracks on wheel flange thickness reduction in railway systems
  35. Review Articles
  36. Mechanical and smart properties of cement nanocomposites containing nanomaterials: A brief review
  37. Applications of nanotechnology and nanoproduction techniques
  38. Relationship between indoor environmental quality and guests’ comfort and satisfaction at green hotels: A comprehensive review
  39. Communication
  40. Techniques to mitigate the admission of radon inside buildings
  41. Erratum
  42. Erratum to “Effect of short heat treatment on mechanical properties and shape memory properties of Cu–Al–Ni shape memory alloy”
  43. Special Issue: AESMT-3 - Part II
  44. Integrated fuzzy logic and multicriteria decision model methods for selecting suitable sites for wastewater treatment plant: A case study in the center of Basrah, Iraq
  45. Physical and mechanical response of porous metals composites with nano-natural additives
  46. Special Issue: AESMT-4 - Part II
  47. New recycling method of lubricant oil and the effect on the viscosity and viscous shear as an environmentally friendly
  48. Identify the effect of Fe2O3 nanoparticles on mechanical and microstructural characteristics of aluminum matrix composite produced by powder metallurgy technique
  49. Static behavior of piled raft foundation in clay
  50. Ultra-low-power CMOS ring oscillator with minimum power consumption of 2.9 pW using low-voltage biasing technique
  51. Using ANN for well type identifying and increasing production from Sa’di formation of Halfaya oil field – Iraq
  52. Optimizing the performance of concrete tiles using nano-papyrus and carbon fibers
  53. Special Issue: AESMT-5 - Part II
  54. Comparative the effect of distribution transformer coil shape on electromagnetic forces and their distribution using the FEM
  55. The complex of Weyl module in free characteristic in the event of a partition (7,5,3)
  56. Restrained captive domination number
  57. Experimental study of improving hot mix asphalt reinforced with carbon fibers
  58. Asphalt binder modified with recycled tyre rubber
  59. Thermal performance of radiant floor cooling with phase change material for energy-efficient buildings
  60. Surveying the prediction of risks in cryptocurrency investments using recurrent neural networks
  61. A deep reinforcement learning framework to modify LQR for an active vibration control applied to 2D building models
  62. Evaluation of mechanically stabilized earth retaining walls for different soil–structure interaction methods: A review
  63. Assessment of heat transfer in a triangular duct with different configurations of ribs using computational fluid dynamics
  64. Sulfate removal from wastewater by using waste material as an adsorbent
  65. Experimental investigation on strengthening lap joints subjected to bending in glulam timber beams using CFRP sheets
  66. A study of the vibrations of a rotor bearing suspended by a hybrid spring system of shape memory alloys
  67. Stability analysis of Hub dam under rapid drawdown
  68. Developing ANFIS-FMEA model for assessment and prioritization of potential trouble factors in Iraqi building projects
  69. Numerical and experimental comparison study of piled raft foundation
  70. Effect of asphalt modified with waste engine oil on the durability properties of hot asphalt mixtures with reclaimed asphalt pavement
  71. Hydraulic model for flood inundation in Diyala River Basin using HEC-RAS, PMP, and neural network
  72. Numerical study on discharge capacity of piano key side weir with various ratios of the crest length to the width
  73. The optimal allocation of thyristor-controlled series compensators for enhancement HVAC transmission lines Iraqi super grid by using seeker optimization algorithm
  74. Numerical and experimental study of the impact on aerodynamic characteristics of the NACA0012 airfoil
  75. Effect of nano-TiO2 on physical and rheological properties of asphalt cement
  76. Performance evolution of novel palm leaf powder used for enhancing hot mix asphalt
  77. Performance analysis, evaluation, and improvement of selected unsignalized intersection using SIDRA software – Case study
  78. Flexural behavior of RC beams externally reinforced with CFRP composites using various strategies
  79. Influence of fiber types on the properties of the artificial cold-bonded lightweight aggregates
  80. Experimental investigation of RC beams strengthened with externally bonded BFRP composites
  81. Generalized RKM methods for solving fifth-order quasi-linear fractional partial differential equation
  82. An experimental and numerical study investigating sediment transport position in the bed of sewer pipes in Karbala
  83. Role of individual component failure in the performance of a 1-out-of-3 cold standby system: A Markov model approach
  84. Implementation for the cases (5, 4) and (5, 4)/(2, 0)
  85. Center group actions and related concepts
  86. Experimental investigation of the effect of horizontal construction joints on the behavior of deep beams
  87. Deletion of a vertex in even sum domination
  88. Deep learning techniques in concrete powder mix designing
  89. Effect of loading type in concrete deep beam with strut reinforcement
  90. Studying the effect of using CFRP warping on strength of husk rice concrete columns
  91. Parametric analysis of the influence of climatic factors on the formation of traditional buildings in the city of Al Najaf
  92. Suitability location for landfill using a fuzzy-GIS model: A case study in Hillah, Iraq
  93. Hybrid approach for cost estimation of sustainable building projects using artificial neural networks
  94. Assessment of indirect tensile stress and tensile–strength ratio and creep compliance in HMA mixes with micro-silica and PMB
  95. Density functional theory to study stopping power of proton in water, lung, bladder, and intestine
  96. A review of single flow, flow boiling, and coating microchannel studies
  97. Effect of GFRP bar length on the flexural behavior of hybrid concrete beams strengthened with NSM bars
  98. Exploring the impact of parameters on flow boiling heat transfer in microchannels and coated microtubes: A comprehensive review
  99. Crumb rubber modification for enhanced rutting resistance in asphalt mixtures
  100. Special Issue: AESMT-6
  101. Design of a new sorting colors system based on PLC, TIA portal, and factory I/O programs
  102. Forecasting empirical formula for suspended sediment load prediction at upstream of Al-Kufa barrage, Kufa City, Iraq
  103. Optimization and characterization of sustainable geopolymer mortars based on palygorskite clay, water glass, and sodium hydroxide
  104. Sediment transport modelling upstream of Al Kufa Barrage
  105. Study of energy loss, range, and stopping time for proton in germanium and copper materials
  106. Effect of internal and external recycle ratios on the nutrient removal efficiency of anaerobic/anoxic/oxic (VIP) wastewater treatment plant
  107. Enhancing structural behaviour of polypropylene fibre concrete columns longitudinally reinforced with fibreglass bars
  108. Sustainable road paving: Enhancing concrete paver blocks with zeolite-enhanced cement
  109. Evaluation of the operational performance of Karbala waste water treatment plant under variable flow using GPS-X model
  110. Design and simulation of photonic crystal fiber for highly sensitive chemical sensing applications
  111. Optimization and design of a new column sequencing for crude oil distillation at Basrah refinery
  112. Inductive 3D numerical modelling of the tibia bone using MRI to examine von Mises stress and overall deformation
  113. An image encryption method based on modified elliptic curve Diffie-Hellman key exchange protocol and Hill Cipher
  114. Experimental investigation of generating superheated steam using a parabolic dish with a cylindrical cavity receiver: A case study
  115. Effect of surface roughness on the interface behavior of clayey soils
  116. Investigated of the optical properties for SiO2 by using Lorentz model
  117. Measurements of induced vibrations due to steel pipe pile driving in Al-Fao soil: Effect of partial end closure
  118. Experimental and numerical studies of ballistic resistance of hybrid sandwich composite body armor
  119. Evaluation of clay layer presence on shallow foundation settlement in dry sand under an earthquake
  120. Optimal design of mechanical performances of asphalt mixtures comprising nano-clay additives
  121. Advancing seismic performance: Isolators, TMDs, and multi-level strategies in reinforced concrete buildings
  122. Predicted evaporation in Basrah using artificial neural networks
  123. Energy management system for a small town to enhance quality of life
  124. Numerical study on entropy minimization in pipes with helical airfoil and CuO nanoparticle integration
  125. Equations and methodologies of inlet drainage system discharge coefficients: A review
  126. Thermal buckling analysis for hybrid and composite laminated plate by using new displacement function
  127. Investigation into the mechanical and thermal properties of lightweight mortar using commercial beads or recycled expanded polystyrene
  128. Experimental and theoretical analysis of single-jet column and concrete column using double-jet grouting technique applied at Al-Rashdia site
  129. The impact of incorporating waste materials on the mechanical and physical characteristics of tile adhesive materials
  130. Seismic resilience: Innovations in structural engineering for earthquake-prone areas
  131. Automatic human identification using fingerprint images based on Gabor filter and SIFT features fusion
  132. Performance of GRKM-method for solving classes of ordinary and partial differential equations of sixth-orders
  133. Visible light-boosted photodegradation activity of Ag–AgVO3/Zn0.5Mn0.5Fe2O4 supported heterojunctions for effective degradation of organic contaminates
  134. Production of sustainable concrete with treated cement kiln dust and iron slag waste aggregate
  135. Key effects on the structural behavior of fiber-reinforced lightweight concrete-ribbed slabs: A review
  136. A comparative analysis of the energy dissipation efficiency of various piano key weir types
  137. Special Issue: Transport 2022 - Part II
  138. Variability in road surface temperature in urban road network – A case study making use of mobile measurements
  139. Special Issue: BCEE5-2023
  140. Evaluation of reclaimed asphalt mixtures rejuvenated with waste engine oil to resist rutting deformation
  141. Assessment of potential resistance to moisture damage and fatigue cracks of asphalt mixture modified with ground granulated blast furnace slag
  142. Investigating seismic response in adjacent structures: A study on the impact of buildings’ orientation and distance considering soil–structure interaction
  143. Improvement of porosity of mortar using polyethylene glycol pre-polymer-impregnated mortar
  144. Three-dimensional analysis of steel beam-column bolted connections
  145. Assessment of agricultural drought in Iraq employing Landsat and MODIS imagery
  146. Performance evaluation of grouted porous asphalt concrete
  147. Optimization of local modified metakaolin-based geopolymer concrete by Taguchi method
  148. Effect of waste tire products on some characteristics of roller-compacted concrete
  149. Studying the lateral displacement of retaining wall supporting sandy soil under dynamic loads
  150. Seismic performance evaluation of concrete buttress dram (Dynamic linear analysis)
  151. Behavior of soil reinforced with micropiles
  152. Possibility of production high strength lightweight concrete containing organic waste aggregate and recycled steel fibers
  153. An investigation of self-sensing and mechanical properties of smart engineered cementitious composites reinforced with functional materials
  154. Forecasting changes in precipitation and temperatures of a regional watershed in Northern Iraq using LARS-WG model
  155. Experimental investigation of dynamic soil properties for modeling energy-absorbing layers
  156. Numerical investigation of the effect of longitudinal steel reinforcement ratio on the ductility of concrete beams
  157. An experimental study on the tensile properties of reinforced asphalt pavement
  158. Self-sensing behavior of hot asphalt mixture with steel fiber-based additive
  159. Behavior of ultra-high-performance concrete deep beams reinforced by basalt fibers
  160. Optimizing asphalt binder performance with various PET types
  161. Investigation of the hydraulic characteristics and homogeneity of the microstructure of the air voids in the sustainable rigid pavement
  162. Enhanced biogas production from municipal solid waste via digestion with cow manure: A case study
  163. Special Issue: AESMT-7 - Part I
  164. Preparation and investigation of cobalt nanoparticles by laser ablation: Structure, linear, and nonlinear optical properties
  165. Seismic analysis of RC building with plan irregularity in Baghdad/Iraq to obtain the optimal behavior
  166. The effect of urban environment on large-scale path loss model’s main parameters for mmWave 5G mobile network in Iraq
  167. Formatting a questionnaire for the quality control of river bank roads
  168. Vibration suppression of smart composite beam using model predictive controller
  169. Machine learning-based compressive strength estimation in nanomaterial-modified lightweight concrete
  170. In-depth analysis of critical factors affecting Iraqi construction projects performance
  171. Behavior of container berth structure under the influence of environmental and operational loads
  172. Energy absorption and impact response of ballistic resistance laminate
  173. Effect of water-absorbent polymer balls in internal curing on punching shear behavior of bubble slabs
  174. Effect of surface roughness on interface shear strength parameters of sandy soils
  175. Evaluating the interaction for embedded H-steel section in normal concrete under monotonic and repeated loads
  176. Estimation of the settlement of pile head using ANN and multivariate linear regression based on the results of load transfer method
  177. Enhancing communication: Deep learning for Arabic sign language translation
  178. A review of recent studies of both heat pipe and evaporative cooling in passive heat recovery
  179. Effect of nano-silica on the mechanical properties of LWC
  180. An experimental study of some mechanical properties and absorption for polymer-modified cement mortar modified with superplasticizer
  181. Digital beamforming enhancement with LSTM-based deep learning for millimeter wave transmission
  182. Developing an efficient planning process for heritage buildings maintenance in Iraq
  183. Design and optimization of two-stage controller for three-phase multi-converter/multi-machine electric vehicle
  184. Evaluation of microstructure and mechanical properties of Al1050/Al2O3/Gr composite processed by forming operation ECAP
  185. Calculations of mass stopping power and range of protons in organic compounds (CH3OH, CH2O, and CO2) at energy range of 0.01–1,000 MeV
  186. Investigation of in vitro behavior of composite coating hydroxyapatite-nano silver on 316L stainless steel substrate by electrophoretic technic for biomedical tools
  187. A review: Enhancing tribological properties of journal bearings composite materials
  188. Improvements in the randomness and security of digital currency using the photon sponge hash function through Maiorana–McFarland S-box replacement
  189. Design a new scheme for image security using a deep learning technique of hierarchical parameters
  190. Special Issue: ICES 2023
  191. Comparative geotechnical analysis for ultimate bearing capacity of precast concrete piles using cone resistance measurements
  192. Visualizing sustainable rainwater harvesting: A case study of Karbala Province
  193. Geogrid reinforcement for improving bearing capacity and stability of square foundations
  194. Evaluation of the effluent concentrations of Karbala wastewater treatment plant using reliability analysis
  195. Adsorbent made with inexpensive, local resources
  196. Effect of drain pipes on seepage and slope stability through a zoned earth dam
  197. Sediment accumulation in an 8 inch sewer pipe for a sample of various particles obtained from the streets of Karbala city, Iraq
  198. Special Issue: IETAS 2024 - Part I
  199. Analyzing the impact of transfer learning on explanation accuracy in deep learning-based ECG recognition systems
  200. Effect of scale factor on the dynamic response of frame foundations
  201. Improving multi-object detection and tracking with deep learning, DeepSORT, and frame cancellation techniques
  202. The impact of using prestressed CFRP bars on the development of flexural strength
  203. Assessment of surface hardness and impact strength of denture base resins reinforced with silver–titanium dioxide and silver–zirconium dioxide nanoparticles: In vitro study
  204. A data augmentation approach to enhance breast cancer detection using generative adversarial and artificial neural networks
  205. Modification of the 5D Lorenz chaotic map with fuzzy numbers for video encryption in cloud computing
  206. Special Issue: 51st KKBN - Part I
  207. Evaluation of static bending caused damage of glass-fiber composite structure using terahertz inspection
Heruntergeladen am 20.12.2025 von https://www.degruyterbrill.com/document/doi/10.1515/eng-2024-0040/html
Button zum nach oben scrollen