Startseite Thermal analysis of Fe3O4–Cu/water over a cone: a fractional Maxwell model
Artikel Open Access

Thermal analysis of Fe3O4–Cu/water over a cone: a fractional Maxwell model

  • Hanifa Hanif ORCID logo EMAIL logo , Muhammad Saqib ORCID logo und Sharidan Shafie ORCID logo EMAIL logo
Veröffentlicht/Copyright: 11. September 2024
Veröffentlichen auch Sie bei De Gruyter Brill

Abstract

A hybrid nanofluid is a kind of nanofluid that is made by combining a base fluid with two distinct types of nanomaterials. Compared to nanofluids, they have been discovered to have better thermal properties and stability, which makes them viable options for thermal applications such as heat sinks, solar thermal systems, automotive cooling systems, and thermal energy storage. Moreover, the research of nanofluids is typically limited to models with partial differential equations of integer order, which neglect the heredity characteristics and memory effect. To overcome these shortcomings, this study seeks to enhance our understanding of heat transfer in hybrid nanofluids by considering fractional Maxwell models. In time-fractional problems, one of the most significant and useful tools is the Caputo fractional derivative. Therefore, the fractional-order derivatives are approximated using the Caputo derivative. However, the integer-order derivatives are discretized using an implicit finite difference method, namely, the Crank–Nicolson method. It is an unconditionally stable and a second-order method in time. The impact of pertinent flow parameters on fluid motion and heat transfer characteristics is examined and displayed in numerous graphs. The results indicate that the volume concentration of hybrid nanoparticles boosts temperature and Nusselt number. Moreover, increasing the magnetic parameter increases Lorentz’s resistive forces, which reduces the velocity and raises the temperature of the fluid, and these effects are more dominant at t = 5 .

Nomenclature

Roman letters

( u , v )

velocity components

ϕ 1 ϕ 6

nanofluid constants

B

magnetic field strength

C p

specific heat capacity

E

electric field

g

gravitational acceleration

Gr

Grashof number

k

thermal conductivity

L

reference length

Nu x

Nusselt number

q w

heat flux at the surface of the cone

r

radius of the cone

T

temperature

t

time

Pr

Prandtl number

Greek symbols

α

fractional order

β

volumetric thermal expansion

Δ t

time step

Δ x

grid size in x direction

Δ y

grid size in y direction

λ

relaxation time

μ

dynamic viscosity

ν

kinematic viscosity

ρ

density

σ

electrical conductivity

τ

stress tensor

φ

nanoparticles volume fraction

Subscripts/Superscripts

*

nondimensional

f

base fluid

h n f

hybrid nanofluid

i

grid point in x direction

j

grid point in y direction

k

time level

n f

nanofluid

p

nanoparticles

1 Introduction

Nanofluids are becoming a critical element of heat transfer applications primarily for their compelling features and adaptability to different circumstances. Since diffusing nanoparticles has some significant advantages, mono nanofluids can be characterized by dispersing one type of nanoparticle. In the meantime, researchers introduced a new type of heat transfer fluid called hybrid nanofluids, a mixture of two different types of nanomaterials in the base fluid, to expand the thermal characteristics of nanofluids, which already have several significant features. Hybrid nanofluids might exhibit better thermal characteristics and heat transfer when compared to regular heat transfer fluids like water, ethylene glycol, and nanofluids containing only one type of nanoparticle. Scientific research indicates that hybrid nanofluids may replace nanofluids due to their advanced heat transfer rate, especially in the manufacture of autos, solar energy, and electro–mechanical sectors [1]. Several researches have been done on considering solo and hybrid nanofluid in different circumstances, and a few will be discussed here. Smaisim et al. [2] illustrated heat transfer of a solar collector using NiO, Al2O3, and CuO. The findings demonstrated that CuO/water nanofluid outperform Al2O3/water and NiO/water nanofluids, and with 1% CuO nanoparticles, the thermal efficiency increased by up to 7% compared to water. Zainal et al. [3] explored the convective flow of hybrid nanofluid across a porous moving surface while taking into account magnetohydrodynamic (MHD) and radiation impacts. According to what they determined, the hybrid nanofluid motion is decelerated through a magnetic field and suction due to Lorentz and resistive forces. The boost in the fluid’s heat transfer rate related to thermal radiation was observed in the meantime. Abdulwahid et al. [4] found noteworthy enhancement in the thermal performance of the impingement jet on adding CuO-Cu nanoparticles in the working fluid. Taking into consideration, viscous dissipation, MHD, and radiation, Waqas et al. [5] evaluated how heat transfer occurred while a hybrid nanofluid flowed toward a stretching cylinder that was implanted in a permeable medium. They discovered that heat transfer indicates a decline in contrast to the rising volume friction. On the basis of the Casson fluid model, Alkasasbeh [6] numerically analyzed heat transport in hybrid nanofluid past a stretching while being affected by the magnetic field. He noticed that as the magnetic and Casson parameters increase, the heat flux rises and the Nusselt number and hybrid nanofluid motion diminish. Ouyang et al. [7,8] presented the dual solution of tri-hybrid nanofluid flow in the presence of viscous dissipation. Taking into consideration heat source/sink, Waqas et al. [9] examined the implication of radiation on the convective flow of Jeffery hybrid nanofluid. Their findings indicated that hybrid nanofluid motion accelerated with growing Deborah number while decelerated with the strengthening magnetic number. They also noted that the heat flux grew with declining Biot number and radiation while dropping with rising Deborah numbers. In a stagnation point MHD flow of second-grade hybrid nanofluid through a heated shrinking/stretching sheet, Nadeem et al. [10] showed fuzzy triangular membership functions analysis, which not only assisted in overcoming the computational complexity but also provided results that were more reliable than the previous results. The literature has extensively studied the heat transport problem relating convective flow of mono and hybrid nanofluids in a range of geometrical settings [1115].

Nanofluids are becoming a critical element of heat transfer applications primarily for their compelling features and adaptability to different circumstances. Since diffusing nanoparticles has some significant advantages, mono nanofluids can be characterized by dispersing one type of nanoparticle. In the meantime, researchers introduced a new type of heat transfer fluid called hybrid nanofluids, a mixture of two different types of nanomaterials in the base fluid, to expand the thermal characteristics of nanofluids, which already have several significant features. Hybrid nanofluids might exhibit better thermal characteristics and heat transfer when compared to regular heat transfer fluids like water, ethylene glycol, and nanofluids containing only one type of nanoparticle. Scientific research indicates that hybrid nanofluids may replace nanofluids due to their advanced heat transfer rate, especially in the manufacture of autos, solar energy, and electro–mechanical sectors [1]. Several researches have been done on considering solo and hybrid nanofluid in different circumstances, and a few will be discussed here. Smaisim et al. [2] illustrated heat transfer of a solar collector using NiO, Al2O3, and CuO. The findings demonstrated that CuO/water nanofluid outperform Al2O3/water and NiO/water nanofluids, and with 1% CuO nanoparticles, the thermal efficiency increased by up to 7% compared to water. Zainal et al. [3] explored the convective flow of hybrid nanofluid across a porous moving surface while taking into account magnetohydrodynamic (MHD) and radiation impacts. According to what they determined, the hybrid nanofluid motion is decelerated through a magnetic field and suction due to Lorentz and resistive forces. The boost in the fluid’s heat transfer rate related to thermal radiation was observed in the meantime. Abdulwahid et al. [4] found noteworthy enhancement in the thermal performance of the impingement jet on adding CuO-Cu nanoparticles in the working fluid. Taking into consideration, viscous dissipation, MHD, and radiation, Waqas et al. [5] evaluated how heat transfer occurred while a hybrid nanofluid flowed toward a stretching cylinder that was implanted in a permeable medium. They discovered that heat transfer indicates a decline in contrast to the rising volume friction. On the Casson fluid model, Alkasasbeh [6] numerically analyzed heat transport in hybrid nanofluid past a stretching while being affected by the magnetic field. He noticed that as the magnetic and Casson parameters increase, the heat flux rises and the Nusselt number and hybrid nanofluid motion diminish. Ouyang et al. [7,8] presented the dual solution of tri-hybrid nanofluid flow in the presence of viscous dissipation. Taking into consideration heat source/sink, Waqas et al. [9] examined the implication of radiation on the convective flow of Jeffery hybrid nanofluid. Their findings indicated that hybrid nanofluid motion accelerated with growing Deborah number while decelerated with strengthening magnetic number. They also noted that the heat flux grew with declining Biot number and radiation while dropping with rising Deborah numbers. In a stagnation point MHD flow of second-grade hybrid nanofluid through a heated shrinking/stretching sheet, Nadeem et al. [10] showed fuzzy triangular membership functions analysis, which not only assisted in overcoming the computational complexity but also provided results that were more reliable than the previous results. The literature has extensively studied the heat transport problem relating convective flow of mono and hybrid nanofluids in a range of geometrical settings [1115].

According to the published literature, the flows of hybrid nanofluid related to convective heat transfer are extensively studied using several models based on partial differential equations of integer order. However, during the earlier period, the experimental measuring methods and instruments achieved a high degree of precision. Thus, experimental finding discloses notable inconsistencies between the theoretical and experimental outcomes for several thermal processes. For instance, there appear to be many discrepancies between the theoretical and experimental findings provided by Cattaneo’s and Jeffery’s type models for non-Fourier heat conduction processes [16]. To get over the limitations of classical mathematical models, fractional derivatives are proposed because a fractional mathematical model can accurately depict a variety of complex transport phenomena. For example, the exponential relaxation moduli of a classical model cannot accurately capture the algebraic decay throughout the relaxation process of many materials. However, experiments demonstrate that fractional models are capable of accurately capturing and correlating these occurrences [17]. Depending on the memory kernel that is being utilized in the fractional operator, these models can accurately describe heat transfer phenomena [1821]. Since then, it has come to light that fractional derivatives and integrals may be utilized to accurately describe the complex characteristics, including memory, nonlocality, and fractionality [22]. Meanwhile, in the formulation of the constitutive relationship of viscoelastic materials (fluids), fractional derivatives have been demonstrated to be incredibly adaptable. The memory characteristics of viscoelastic materials (fluids) can be accurately depicted by the nonlocal character of fractional differential operators, which can predict stress relaxation [23].

Multiple mathematical models for viscoelastic fluids have already been offered in the published literature. The fundamental viscoelastic fluid model among many is the Maxwell fluid that can predict stress relaxation, introduced by Maxwell [24]. Being the first and simplest viscoelastic fluid model, the Maxwell fluid model has received a great deal of attention. It continues to be frequently used, particularly to explain how some polymeric fluids interact. However, the Maxwell fluid model does have significant limitations like other models. For instance, in a simple shear flow, this model does not accurately capture the typical relationship between shear rate and shear stress [25]. Due to the fact that the Maxwell fluid model could not match the data to be investigated, the fractional Maxwell model was developed. Friedrich [26] was the first who fractionalized the regular Maxwell model with multiple order derivatives of stress and strain, which indicated that viscoelastic fluid behaved like a fluid when the strain derivative is taken into consideration. The fractional Maxwell model can show better agreement with empirical observations compared to the regular Maxwell fluid model [27].

Maxwell fluid has gained significant attention due to its significance as one of the fundamental viscoelastic fluids. By using the second-order slip model, Yang et al. [28] explored the flow and heat transfer of dual fractional Maxwell fluid. According to their findings, the fractional Maxwell fluid shows greater viscosity/elasticity for various fractional order, and oscillation behavior gradually declines as the slip parameter grow. Zhang et al. [29] proposed a novel heat conduction model with time and spatial fractional derivatives to convection heat transfer in Maxwell nanofluid. They argued that the new heat conduction model reduces the thickness of the thermal boundary resulting in less heat loss. Besides this, Shen et al. [30] reported on how the shape of nanoparticles affects the motion and heat transfer in fractional Maxwell nanofluid. They demonstrated that the spherical shape nanoparticles provide the optimum boost for heat conduction and the lowest for Nusselt number. Madhura and Makinde [31] examined fractional Maxwell carbon nanotubes (CNTs) nanofluid while accounting for electric, magnetic, heating, and buoyancy impacts. They disclosed that the Maxwell nanofluid with single wall CNTs has higher surface drag than nanofluid with multi wall CNTs, whereas the opposite pattern was observed for the ascending Grashof number. Several authors including [3236] have also studied the topic of fractional Maxwell nanofluid flow with the influence of various physical factors.

Despite the enormous importance and frequent application in science and engineering, according to earlier research, the flow of fractional Maxwell hybrid nanofluid past an inverted cone has not yet been examined. To fill this research gap, the flow of fractional Maxwell hybrid nanofluid under the impact of a magnetic field is taken into account in this research article. In mathematical modeling of the flow phenomenon, the fractional constitutive equations of Friedrich for shear stress are employed. The L1 algorithm and Crank–Nicolson numerical techniques are used to tackle the problem for numerical solutions. It is important to note that solving the Navier–Stokes equations is a challenging task, and an analytical solution is not always available. Therefore, numerical approaches such as the Crank–Nicolson method can be used to estimate the numerical solutions [37]. Furthermore, the Crank–Nicolson method for solving the Navier–Stokes equations has the benefit of being unconditionally stable since an explicit approach can become unstable if the time step size is too great. The results are presented in graphs and the impacts of pertinent flow parameters on the fluid motion and temperature distribution are addressed. This study aims to address:

  1. How do a fractional derivative and relaxation time influence the flow and heat transfer behavior of a fluid?

  2. How does a combination of hybrid nanoparticles improve the thermal performance of Maxwell fluid?

  3. How does Maxwell hybrid nanofluid correlate with the magnetic field?

2 Mathematical formulation

The detailed mathematical modeling of the Maxwell hybrid nanofluid with time-fractional derivative is the emphasis of this section.

2.1 Stress tensor

The extra stress tensor τ for Maxwell fluid is described mathematically as follows [26]:

(1) ( τ + λ α t α τ ) = μ ϒ ˙ ,

where ϒ ˙ represents shear stress, λ is time relaxation, and μ is the viscosity of the fluid. The well-known Caputo derivative t α is defined as follows:

(2) t α f ( t ) = α t α f ( t ) = 1 Γ ( n α ) 0 t ( t ω ) n α 1 n ω n f ( ω ) d ω ,

n 1 < α < n , n N . The Gamma function Γ ( ) is

(3) Γ ( ξ ) = R e ω ω ξ 1 d ω , ξ C , ξ > 0 .

2.2 Maxwell equations

Let J be the current density, E denotes the electric field, and B = B 0 + B 1 is the magnetic field strength then Maxwell’s set of equations may be used to define the Lorentz force:

(4) B = 0 , × B = μ 0 J , × E = B t .

If a fluid with electrical conductivity σ experiences an electric field, then the relationship between current density J and electric field E is given by Oham’s law as follows:

(5) J = σ E .

In the presence of magnetic field B , an additional term must be introduced to account for the current produced by the Lorentz force, which leads us to

(6) J = σ ( E + U × B ) .

2.3 Hybrid nanofluid properties

Let us add two distinct nanoparticles p 1 and p 2 of volume fraction φ p 1 and φ p 2 , respectively, in a water-based fluid. Then the thermal physical properties of the resultant fluid, i.e., hybrid nanofluid are modified as follows [38,39]:

(7) ρ h n f = ( 1 φ p 2 ) ρ n f + φ p 2 ρ p 2 , μ h n f = μ f ( 1 φ p 1 ) 2.5 ( 1 φ p 2 ) 2.5 , σ h n f σ n f = ( σ p 2 + 2 σ n f ) + 2 φ p 2 ( σ p 2 σ n f ) ( σ p 2 + 2 σ n f ) φ p 2 ( σ p 2 σ n f ) , ( ρ β ) h n f = ( 1 φ p 2 ) ( ρ β ) n f + φ p 2 ( ρ β ) p 2 , ( ρ C p ) h n f = ( 1 φ p 2 ) ( ρ C p ) n f + φ p 2 ( ρ C p ) p 2 , k h n f k n f = ( k p 2 + 2 k n f ) + 2 φ p 2 ( k p 2 k n f ) ( k p 2 + 2 k n f ) φ p 2 ( k p 2 k n f ) .

In this study, we considered Fe3O4 and Cu nanoparticles and water base fluid, see Table 1.

Table 1

Thermo-physical properties of base fluid and nanoparticles [35]

Materials ρ σ β C p k
( kg m 3 ) ( S m 1 ) ( K 1 ) (J ( kg K ) 1 ) ( W ( mK ) 1 )
Water 997.1 0.05 21 × 1 0 5 4,179 0.613
Fe 3 O 4 5,200 2.5 × 1 0 4 1.3 × 1 0 5 670 6
Cu 8,933 5.96 × 1 0 7 1.67 × 1 0 5 385 401

2.4 Governing equations

The governing equations of fluid flow along a cone in the presence of electromagnetic forces are described as follows:

(8) ρ t + ( ρ r U ) = 0 .

(9) ρ U t + U U = p + τ + J × B + F g .

The following energy equation helps us to characterize the heat transfer of the fluid

(10) ( ρ C p ) T t + U T = k Δ T + τ : U .

2.5 Problem description

In this study, we consider that an incompressible fluid ( ρ = constant ) is moving along a vertical cone. The considered fluid is a dilute suspension of Fe3O4 and Cu in pure water, named a hybrid nanofluid. The surface of the cone is taken as the x -axis and the y -axis is considered normal to the cone (Figure 1). A magnetic field is imposed in the y direction assuming that the induced magnetic field B 1 = 0 and electric field E = 0 . Moreover, the viscous dissipation effects are supposed to be insignificant, and no pressure gradient is applied. Bearing the aforementioned assumptions in mind, the boundary layer and Boussenisq approximations yield us to

(11) x ( r u ) + y ( r v ) = 0 ,

(12) ρ h n f u t + u u x + v u y = τ x y y σ h n f B 0 2 u + g ( ρ β ) h n f ( T T ) cos γ ,

(13) ( ρ C p ) h n f T t + u T x + v T y = k h n f 2 T y 2 .

For the considered hybrid nanofluid the Equation (1) provides us

(14) ( 1 + λ α t α ) τ x y = μ h n f u y .

Evaluating shear stress τ x y from Equations (12) and (14) leads us to

(15) ρ h n f ( 1 + λ α t α ) u t + u u x + v u y = μ h n f 2 u y 2 σ h n f B 0 2 ( 1 + λ α t α ) u + g ( ρ β ) h n f ( 1 + λ α t α ) ( T T ) cos γ .

The imposed initial and boundary conditions are as follows:

(16) u ( x , y , 0 ) = 0 , v ( x , y , 0 ) = 0 , T ( x , y , 0 ) = T , u ( 0 , y , t ) = 0 , T ( 0 , y , t ) = T , u ( x , 0 , t ) = 0 , v ( x , 0 , t ) = 0 , T ( x , 0 , t ) = T w ( x ) , u ( x , , t ) = 0 , T ( x , , t ) = T .

Figure 1 
                  Graphical representation.
Figure 1

Graphical representation.

2.6 Nondimensional problem

To completely comprehend the mechanics of flow, we require a nondimensional version of our suggested model. Therefore, we will introduce a set of nondimensional parameters [35]:

(17) x * = x L , y * = y L Gr 1 4 , r * = r L , t * = ν f t L 2 Gr 1 2 , u * = u L ν f Gr 1 2 , v * = v L ν f Gr 1 4 , T * = T T T w T , λ * = ν f λ L 2 Gr 1 2 , Gr = g β f ( T w T ) L 3 ν f 2 .

Employing the hybrid nanofluid properties (7) and the nondimensional variables (17) in Equations (11), (13), and (15) yields us to (after removing * ):

(18) x ( r u ) + y ( r v ) = 0 ,

(19) ϕ 1 ( 1 + λ α t α ) u t + u u x + v u y = ϕ 2 2 u y 2 ϕ 3 M ( 1 + λ α t α ) u + ϕ 4 cos γ ( 1 + λ α t α ) T ,

(20) ϕ 5 T t + u T x + v T y = ϕ 6 Pr 2 T y 2 ,

subject to initial boundary conditions:

(21) u ( x , y , 0 ) = 0 , v ( x , y , 0 ) = 0 , T ( x , y , 0 ) = 0 , u ( 0 , y , t ) = 0 , T ( 0 , y , t ) = 0 , u ( x , 0 , t ) = 0 , v ( x , 0 , t ) = 0 , T ( x , 0 , t ) = x n , u ( x , , t ) = 0 , T ( x , , t ) = 0 .

Here, ϕ 1 ϕ 6 , Pr, and M , are the nanofluid constants, Prandtl number, and magnetic parameter defined as follows:

(22) ϕ 1 = ρ h n f ρ f , ϕ 2 = μ h n f μ f , ϕ 3 = σ h n f σ f , ϕ 4 = ( ρ β ) h n f ( ρ β ) f , ϕ 5 = ( ρ C p ) h n f ( ρ C p ) f , ϕ 6 = k h n f k f , Pr = ( μ C p ) f k f , M = σ f B 0 2 L 2 μ f Gr 1 2 .

2.7 Physical quantities

This section aims to discuss some important physical quantities like shear stress and Nusselt number.

2.7.1 Wall shear stress

Shear stress is described as a form of stress that acts coplanar with a specific material cross-section and is extremely important because it explains material and fluid behavior. It is worthwhile to investigate how the active parameters affect the wall shear stress. For an ordinary integer system, wall shear stress is defined as follows:

(23) τ s = μ h n f u y y = 0 .

In reference to Equation (1), shear stress τ w in fractional form is given by:

(24) ( 1 + λ α t α ) τ s = μ h n f u y y = 0 .

If τ w = L 2 τ s μ f ν f Gr 1 4 , then with the help of nondimensional variables (17), we can have

(25) ( 1 + λ α t α ) τ w = ϕ 2 u y y = 0 .

2.7.2 Nusselt number

The Nusselt number is a dimensionless quantity that represents the rate of energy conversion at the surface [40]. It is an essential metric that can help improve the rate of heat exchange. Therefore, it is worth examining how the Nusselt number is influenced by the active parameters. Mathematically, it can be expressed as follows:

(26) Nu = x q w k f ( T w T ) ,

where q w = k h n f T y y = 0 . Equation (17) helps us to obtained the nondimensional form of Equation (26):

(27) Nu x = Nu Gr 1 4 = ϕ 6 x T y y = 0 .

3 Discrete model

The discrete form of nondimensional Equations (18)–(20) are obtained using the L1 algorithm of Caputo time fractional derivative and Crank–Nicolson method, and for more details, please see [21,27]:

(28) u i , j 1 k + 1 u i 1 , j 1 k + 1 + u i , j k + 1 u i 1 , j k + 1 + u i , j 1 k u i 1 , j 1 k + u i , j k u i 1 , j k 4 Δ x + v i , j k + 1 v i , j 1 k + 1 + v i , j k v i , j 1 k 2 Δ y = 0 .

(29) u i , j k + 1 u i , j k Δ t + u i , j k u i , j k + 1 u i 1 , j k + 1 + u i , j k u i 1 , j k 2 Δ x + v i , j k u i , j + 1 k + 1 u i , j 1 k + 1 + u i , j + 1 k u i , j 1 k 4 Δ y χ 1 m = 1 k b m u i , j k + 1 m u i , j k m Δ t + m = 1 k b m u i , j k m u i , j k + 1 m u i 1 , j k + 1 m 2 Δ x + m = 1 k b m v i , j k m u i , j + 1 k + 1 m u i , j 1 k + 1 m 4 Δ y + m = 1 k 1 b m u i , j k m u i , j k m u i 1 , j k m 2 Δ x + m = 1 k 1 b m v i , j k m u i , j + 1 k m u i , j 1 k m 4 Δ y = χ 2 u i , j + 1 k + 1 2 u i , j k + 1 + u i , j 1 k + 1 + u i , j + 1 k 2 u i , j k + u i , j 1 k 2 Δ y 2 χ 3 u i , j k + 1 + u i , j k 2 + χ 4 T i , j k + 1 + T i , j k 2 + χ 5 m = 1 k b m u i , j k + 1 m 2 + m = 1 k 1 b m u i , j k m 2 χ 6 m = 1 k b m T i , j k + 1 m 2 + m = 1 k 1 b m T i , j k m 2 .

(30) T i , j k + 1 T i , j k Δ t + u i , j k T i , j k + 1 T i 1 , j k + 1 + T i , j k T i 1 , j k 2 Δ x + v i , j k T i , j + 1 k + 1 T i , j 1 k + 1 + T i , j + 1 k T i , j 1 k 4 Δ y = χ 7 T i , j + 1 k + 1 2 T i , j k + 1 + T i , j 1 k + 1 + T i , j + 1 k 2 T i , j k + T i , j 1 k 2 Δ y 2 .

Here, the superscript k represents the time level, and the subscripts ( i , j ) denote the regularly spaced grid point in the ( x , y ) -directions with mesh size ( Δ x , Δ y ) , respectively. The constant coefficients χ 1 χ 7 are given as follows:

(31) χ 1 = ϕ 1 R 1 R 2 , χ 2 = ϕ 2 R 2 , χ 3 = ϕ 3 M R 2 , χ 4 = ϕ 4 cos γ R 2 , χ 5 = χ 3 R 1 , χ 6 = χ 4 R 1 , R 1 = λ 1 α Δ t α Γ ( 2 α ) , R 2 = ϕ 1 ( 1 + R 1 ) .

4 Results and discussion

The primary objective of this section is to demonstrate the variability of fluid motion, temperature, shear stress, and Nusselt number for varying pertinent flow parameters including fractional parameter α , relaxation time λ , magnetic parameter M , volume fraction φ , and power index parameter n .

4.1 Velocity

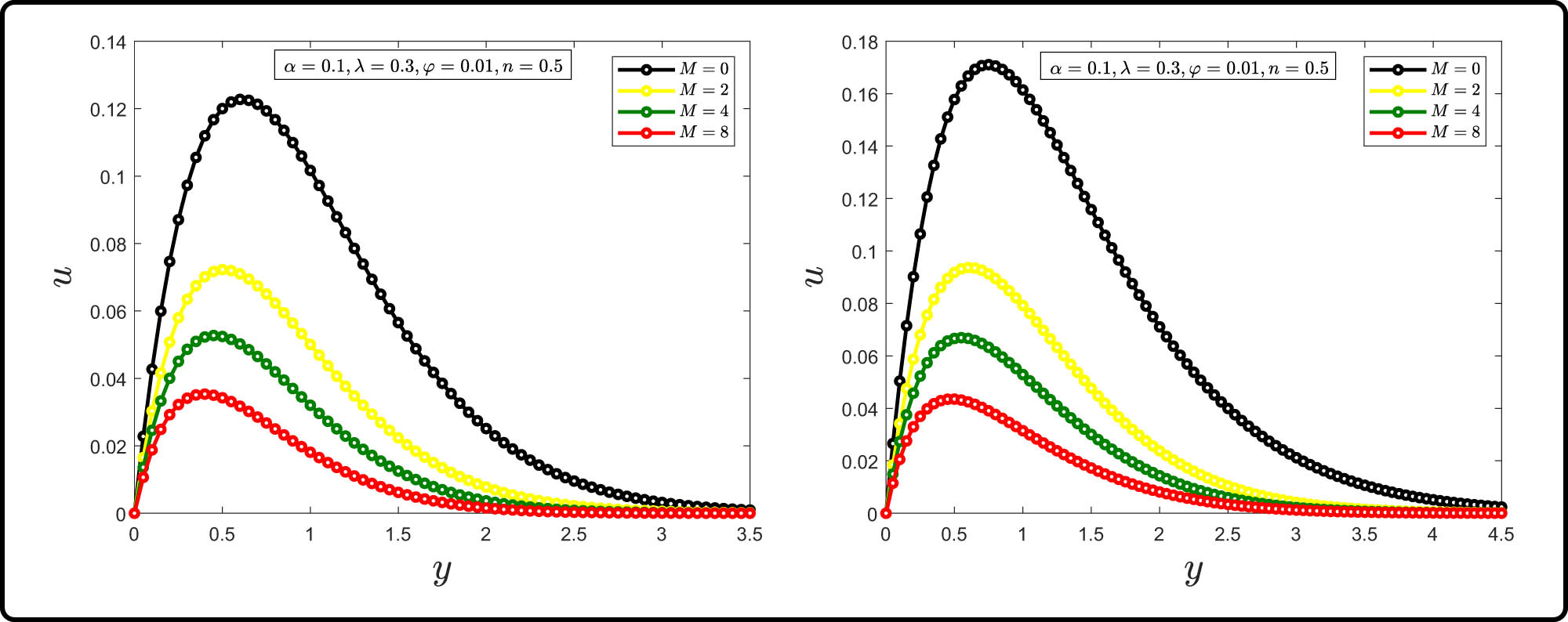
To demonstrate how nanoparticle volume fraction affects the velocity profile, Figure 2 is plotted at different times t = 2 and t = 5 . The results show that the velocity of the fluid decreases when the concentration of Fe3O4–Cu increases. This is partially due to the viscosity of the fluid, which increases by adding more nanoparticles. It is worth mentioning that fluids with high viscosity are frequently employed in applications that need flow resistance, such as lubricating oils. Figure 3 displays the velocity profile for varying α when t = 2 and t = 5 . For both t = 2 and t = 5 , it is seen that the fluid motion decreases uniformly with growing values of α . However, under greater α , the momentum boundary layer is bigger, demonstrating that the viscoelasticity enhances flow resistance as α grows. This finding is significant because if we wish to have a certain velocity at a given time in a specified position/point (say a 0 ), then the model with fractional derivatives is beneficial. For varying λ , Figure 4 illustrates the fluid motion at t = 2 and t = 5 . When λ rises, the fluid motion accelerated for both t = 2 and t = 5 . The impact of the magnetic parameter M on the fluid motion is depicted in Figure 5. As an increment in M strengthens the Lorentz forces opposing the flow direction, as a result, it demonstrates a reduction in fluid velocity.

Figure 2 
                  Velocity profile for various values of 
                        
                           
                           
                              φ
                           
                           \varphi 
                        
                     ; left: 
                        
                           
                           
                              t
                              =
                              2
                           
                           t=2
                        
                     , right: 
                        
                           
                           
                              t
                              =
                              5
                           
                           t=5
                        
                     .
Figure 2

Velocity profile for various values of φ ; left: t = 2 , right: t = 5 .

Figure 3 
                  Velocity profile for various values of 
                        
                           
                           
                              α
                           
                           \alpha 
                        
                     ; left: 
                        
                           
                           
                              t
                              =
                              2
                           
                           t=2
                        
                     , right: 
                        
                           
                           
                              t
                              =
                              5
                           
                           t=5
                        
                     .
Figure 3

Velocity profile for various values of α ; left: t = 2 , right: t = 5 .

Figure 4 
                  Velocity profile for various values of 
                        
                           
                           
                              λ
                           
                           \lambda 
                        
                     ; left: 
                        
                           
                           
                              t
                              =
                              2
                           
                           t=2
                        
                     , right: 
                        
                           
                           
                              t
                              =
                              5
                           
                           t=5
                        
                     .
Figure 4

Velocity profile for various values of λ ; left: t = 2 , right: t = 5 .

Figure 5 
                  Velocity profile for various values of 
                        
                           
                           
                              M
                           
                           M
                        
                     ; left: 
                        
                           
                           
                              t
                              =
                              2
                           
                           t=2
                        
                     , right: 
                        
                           
                           
                              t
                              =
                              5
                           
                           t=5
                        
                     .
Figure 5

Velocity profile for various values of M ; left: t = 2 , right: t = 5 .

4.2 Temperature

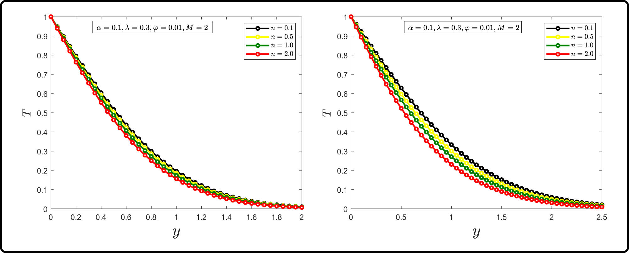
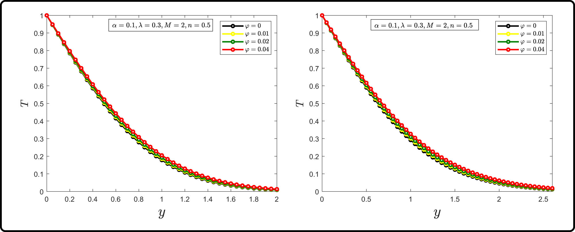
Figure 6 depicts the effects of φ on the temperature field when t = 2 and t = 5 . From this figure, it is perceived that the increased thermal conductivity increases the temperature of the fluid. In general, the thermal conductivity of nanoparticles is higher than that of fluids, and obviously, the thermal conductivity of the fluid increases upon adding nanoparticles to it. Figure 7 illustrates how magnetic parameter M affects the temperature field when t = 2 and t = 5 . A rise in the temperature profile is seen to be caused by a growth in M . The physical explanation for this phenomenon is that when M grows, the resistive forces are generated, which causes the temperature profile to increase. Figure 8 provides the temperature profile for various values of n . It is clear from the findings that increasing the n causes the thermal boundary layer to shrink, which drives the temperature profile to tend to drop.

Figure 6 
                  Temperature profile for various values of 
                        
                           
                           
                              φ
                           
                           \varphi 
                        
                     ; left: 
                        
                           
                           
                              t
                              =
                              2
                           
                           t=2
                        
                     , right: 
                        
                           
                           
                              t
                              =
                              5
                           
                           t=5
                        
                     .
Figure 6

Temperature profile for various values of φ ; left: t = 2 , right: t = 5 .

Figure 7 
                  Temperature profile for various values of 
                        
                           
                           
                              M
                           
                           M
                        
                     ; left: 
                        
                           
                           
                              t
                              =
                              2
                           
                           t=2
                        
                     , right: 
                        
                           
                           
                              t
                              =
                              5
                           
                           t=5
                        
                     .
Figure 7

Temperature profile for various values of M ; left: t = 2 , right: t = 5 .

Figure 8 
                  Temperature profile for various values of 
                        
                           
                           
                              n
                           
                           n
                        
                     ; left: 
                        
                           
                           
                              t
                              =
                              2
                           
                           t=2
                        
                     , right: 
                        
                           
                           
                              t
                              =
                              5
                           
                           t=5
                        
                     .
Figure 8

Temperature profile for various values of n ; left: t = 2 , right: t = 5 .

4.3 Wall shear stress

Figure 9 demonstrates that the wall shear stress develops with growing α because the friction among the nearby layer reduces. Besides this, Figure 10 indicates that wall shear stress diminishes with rising λ . In addition, Figure 11 presents that wall shear stress diminishes with increasing M , and the Lorentz forces strengthen causing resistance among the neighboring layers.

Figure 9 
                  Wall shear stress for various values of 
                        
                           
                           
                              α
                           
                           \alpha 
                        
                     ; left: 
                        
                           
                           
                              t
                              =
                              2
                           
                           t=2
                        
                     , right: 
                        
                           
                           
                              t
                              =
                              5
                           
                           t=5
                        
                     .
Figure 9

Wall shear stress for various values of α ; left: t = 2 , right: t = 5 .

Figure 10 
                  Wall shear stress for various values of 
                        
                           
                           
                              λ
                           
                           \lambda 
                        
                     ; left: 
                        
                           
                           
                              t
                              =
                              2
                           
                           t=2
                        
                     , right: 
                        
                           
                           
                              t
                              =
                              5
                           
                           t=5
                        
                     .
Figure 10

Wall shear stress for various values of λ ; left: t = 2 , right: t = 5 .

Figure 11 
                  Wall shear stress for various values of 
                        
                           
                           
                              M
                           
                           M
                        
                     ; left: 
                        
                           
                           
                              t
                              =
                              2
                           
                           t=2
                        
                     , right: 
                        
                           
                           
                              t
                              =
                              5
                           
                           t=5
                        
                     .
Figure 11

Wall shear stress for various values of M ; left: t = 2 , right: t = 5 .

4.4 Nusselt number

A graph for the Nusselt number that correlates to the variation in φ is displayed in Figure 12. The thermal conductivity is related to φ . The thermal conductivity rises as φ rises, resulting in a boost in the Nusselt number. It is worth noting that high thermal conductivity fluids are utilized to increase efficiency and production in a variety of sectors such as heat exchangers, solar energy, and thermal management. Variation in Nusselt number for varying M is presented in Figure 13 when t = 2 and t = 5 . The temperature of the fluid increases when M grows, which ultimately reduces the Nusselt number. This tells us that the maximum heat transfer rate of a hybrid nanofluid can be achieved in the absence of a magnetic field for this particular problem. Likewise, the exponent n diminishes the Nusselt number (Figure 14).

Figure 12 
                  Nusselt number for various values of 
                        
                           
                           
                              φ
                           
                           \varphi 
                        
                     ; left: 
                        
                           
                           
                              t
                              =
                              2
                           
                           t=2
                        
                     , right: 
                        
                           
                           
                              t
                              =
                              5
                           
                           t=5
                        
                     .
Figure 12

Nusselt number for various values of φ ; left: t = 2 , right: t = 5 .

Figure 13 
                  Nusselt number for various values of 
                        
                           
                           
                              M
                           
                           M
                        
                     ; left: 
                        
                           
                           
                              t
                              =
                              2
                           
                           t=2
                        
                     , right: 
                        
                           
                           
                              t
                              =
                              5
                           
                           t=5
                        
                     .
Figure 13

Nusselt number for various values of M ; left: t = 2 , right: t = 5 .

Figure 14 
                  Nusselt number for various values of 
                        
                           
                           
                              n
                           
                           n
                        
                     ; left: 
                        
                           
                           
                              t
                              =
                              2
                           
                           t=2
                        
                     , right: 
                        
                           
                           
                              t
                              =
                              5
                           
                           t=5
                        
                     .
Figure 14

Nusselt number for various values of n ; left: t = 2 , right: t = 5 .

5 Conclusion

Investigations are made into the boundary layer flow of fractional Maxwell hybrid nanofluid with variable temperature when a magnetic field is present. To provide numerical solutions for the proposed problem, the Crank–Nicolson method and the L1 algorithm are used. In various figures, the effects of relevant flow parameters on fluid velocity, heat transfer, wall shear stress, and Nusselt number are explored. Following is a list of the study’s key findings:

  • The friction between the adjacent layers of a moving fluid increases as the φ rises, increasing the viscosity, which is important in the lubrication process. Furthermore, the thermal conductivity boosts as the φ increases, which increases the Nusselt number or heat transfer rate. High heat transfer rates can assist in increasing industrial process efficiency by lowering the amount of energy required to get a given output. This can result in considerable economic savings as well as environmental advantages.

  • Higher α causes the momentum boundary layer to grow, indicating that when viscoelasticity rises, fluid motion is reduced, and wall shear stress increases.

  • The fluid motion speeds up when λ rises. Since the momentum boundary layer thickens with an increase in λ , the fluid motion increases and wall shear stress decreases.

  • An increase in M causes a decrease in fluid velocity and wall shear stress because it strengthens the Lorentz forces that oppose the direction of the flow. Besides this, the temperature profile increases along with the thermal boundary layer’s expansion as M grows.

This study can be expanded in the future for a ternary nanofluid with the second law of thermodynamics.

Acknowledgement

The authors would like to acknowledge the financial support from Universiti Teknologi Malaysia for the funding under UTM Fundamental Research (UTMFR: Q.J130000.3854.23H22).

  1. Funding information: The authors would like to acknowledge the financial support from Universiti Teknologi Malaysia for the funding under UTM Fundamental Research (UTMFR: Q.J130000.3854.23H22).

  2. Author contributions: All authors have accepted responsibility for the entire content of this manuscript and consented to its submission to the journal, reviewed all the results and approved the final version of the manuscript. HH: Conceptualization, Methodology, Investigation, Writing original draft. MS: Formal Analysis, Writing original draft. SS: Supervision, Resources.

  3. Conflict of interest: Authors state no conflict of interest.

  4. Data availability statement: No data associated with the article.

References

[1] Kshirsagar DP, Venkatesh M. A review on hybrid nanofluids for engineering applications. Materials Today Proc. 2021;44:744–55. 10.1016/j.matpr.2020.10.637. Suche in Google Scholar

[2] Smaisim GF, AbdulHussein WA, Abed AM. Enhancement of heat transfer from solar thermal collector using nanofluid. Open Eng. 2022;12(1):968–76. 10.1515/eng-2022-0337. Suche in Google Scholar

[3] Zainal NA, Nazar R, Naganthran K, Pop I. MHD flow and heat transfer of hybrid nanofluid over a permeable moving surface in the presence of thermal radiation. Int J Numer Methods Heat Fluid Flow. 2020;31(3):858–79 10.1108/HFF-03-2020-0126. Suche in Google Scholar

[4] Abdulwahid AF, Kareem ZS, Balla HH, Hashim NA, Abbud LH. CuO-Cu/water hybrid nonofluid potentials in impingement jet. Open Eng. 2022;12(1):1097–105. 10.1515/eng-2022-0350. Suche in Google Scholar

[5] Waqas H, Naqvi SMRS, Alqarni M Muhammad M. Thermal transport in magnetized flow of hybrid nanofluids over a vertical stretching cylinder. Case Stud Thermal Eng. 2021;27:101219. 10.1016/j.csite.2021.101219. Suche in Google Scholar

[6] Alkasasbeh H. Numerical solution of heat transfer flow of Casson hybrid nanofluid over vertical stretching sheet with magnetic field effect. CFD Lett. 2022;14(3):39–52. 10.37934/cfdl.14.3.3952. Suche in Google Scholar

[7] Ouyang Y, Md Basir MF, Naganthran K, Pop I. Dual solutions in Maxwell ternary nanofluid flow with viscous dissipation and velocity slip past a stretching/shrinking sheet, Alexandr Eng J. 2024;105:437–48. 10.1016/j.aej.2024.07.093. Suche in Google Scholar

[8] Ouyang Y, MdBasir MF, Naganthran K, Pop I. Unsteady magnetohydrodynamic tri-hybrid nanofluid flow past a moving wedge with viscous dissipation and joule heating. Phys Fluids. 2024;36(6):062009. 10.1063/5.0208608. Suche in Google Scholar

[9] Waqas H, Farooq U, Liu D, Abid M, Imran M, Muhammad T. Heat transfer analysis of hybrid nanofluid flow with thermal radiation through a stretching sheet: A comparative study. Int Commun Heat Mass Transfer. 2022;138:106303. 10.1016/j.icheatmasstransfer.2022.106303. Suche in Google Scholar

[10] Nadeem M, Siddique I, Awrejcewicz J, Bilal M. Numerical analysis of a second-grade fuzzy hybrid nanofluid flow and heat transfer over a permeable stretching/shrinking sheet. Sci Rep. 2022;12(1):1–17. 10.1038/s41598-022-05393-7. Suche in Google Scholar PubMed PubMed Central

[11] Ojjela O. Numerical investigation of heat transport in Alumina-Silica hybrid nanofluid flow with modeling and simulation. Math Comput Simulat. 2022;193:100–22. 10.1016/j.matcom.2021.09.022. Suche in Google Scholar

[12] Hanif H, Shafie S, Jagun Z. Maximizing heat transfer and minimizing entropy generation in concentric cylinders with CuO-MgO-TiO2 nanoparticles. Chinese J Phys. 2023;89:493–503. 10.1016/j.cjph.2023.12.021. Suche in Google Scholar

[13] Zwain IM, Alithari AS. Improving the fatigue life of composite by using multiwall carbon nanotubes. Open Eng. 2023;13(1):20220490. 10.1515/eng-2022-0490. Suche in Google Scholar

[14] Ouyang Y, MdBasir MF, Naganthran K, Pop I. Effects of discharge concentration and convective boundary conditions on unsteady hybrid nanofluid flow in a porous medium, Case Stud Thermal Eng. 2024;58:104374. 10.1016/j.csite.2024.104374. Suche in Google Scholar

[15] Hanif H, Lund LA, Shafie S. Dynamics of Ag-TiO2/H2O between two coaxial cylinders: a computational approach. Europ Phys J Plus. 2023;138(12):1153. 10.1140/epjp/s13360-023-04802-8. Suche in Google Scholar

[16] Jiang F. Non-Fourier heat conduction phenomena in porous material heated by microsecond laser pulse. Microscale Thermophys Eng. 2003;6(4):331–46. 10.1080/10893950290098386. Suche in Google Scholar

[17] Hanif H, Shafie S, Roslan R, Ali A. Collision of hybrid nanomaterials in an upper-convected Maxwell nanofluid: A theoretical approach. J King Saud Univ-Sci. 2023;35(1):102389. 10.1016/j.jksus.2022.102389. Suche in Google Scholar

[18] Hristov J. On the nonlinear diffusion with exponential concentration-dependent diffusivity: integral-balance solutions and analyzes. In:A closer look at the diffusion equation. New York: NOVA Science Publishers; 2020. p. 55–92. Suche in Google Scholar

[19] Abed AM, Jafari H, Mechee MS. A comparative study to solve fractional initial value problems in discrete domain. Open Eng. 2023;13(1):20220480. 10.1515/eng-2022-0480. Suche in Google Scholar

[20] Yang XJ, Gao F, Yang J. General fractional derivatives with applications in viscoelasticity. United Kingdom: Academic Press; 2020. 10.1016/B978-0-12-817208-7.00011-XSuche in Google Scholar

[21] Hanif H. A computational approach for boundary layer flow and heat transfer of fractional Maxwell fluid. Math Comput Simulat. 2022;191:1–13. 10.1016/j.matcom.2021.07.024. Suche in Google Scholar

[22] Vieru D, Fetecau C, Shah NA, Yook SJ. Unsteady natural convection flow due to fractional thermal transport and symmetric heat source/sink. Alexandr Eng J. 2022;64:761–70. 10.1016/j.aej.2022.09.027. Suche in Google Scholar

[23] Matlob MA, Jamali Y. The concepts and applications of fractional order differential calculus in modeling of viscoelastic systems: a primer. Crit Rev Biomed Eng. 2019;47(4):249–76. 10.1615/CritRevBiomedEng.2018028368. Suche in Google Scholar PubMed

[24] Maxwell JC. On the dynamical theory of gases. Philos Trans R Soc London. 1867;157:49–88. 10.1098/rstl.1867.0004. Suche in Google Scholar

[25] Takashima M. The effect of a magnetic field on thermal instability in a layer of Maxwell fluid. Phys Lett A. 1970;33(6):371–2. 10.1016/0375-9601(70)90837-6. Suche in Google Scholar

[26] Friedrich C. Relaxation and retardation functions of the Maxwell model with fractional derivatives. Rheologica Acta. 1991;30(2):151–8. 10.1007/BF01134604. Suche in Google Scholar

[27] Hanif H. Cattaneo-Friedrich and Crank-Nicolson analysis of upper-convected Maxwell fluid along a vertical plate. Chaos Solitons Fractals. 2021;153:111463. 10.1016/j.chaos.2021.111463. Suche in Google Scholar

[28] Yang W, Chen X, Jiang Z, Zhang X, Zheng L. Effect of slip boundary condition on flow and heat transfer of a double fractional Maxwell fluid. Chin J Phys. 2020;68:214–23. 10.1016/j.cjph.2020.09.003. Suche in Google Scholar

[29] Zhang M, Shen M, Liu F, Zhang H. A new time and spatial fractional heat conduction model for Maxwell nanofluid in porous medium. Comput Math Appl. 2019;78(5):1621–36. 10.1016/j.camwa.2019.01.006. Suche in Google Scholar

[30] Shen M, Chen S, Liu F. Unsteady MHD flow and heat transfer of fractional Maxwell viscoelastic nanofluid with Cattaneo heat flux and different particle shapes. Chin J Phys. 2018;56(3):1199–211. 10.1016/j.cjph.2018.04.024. Suche in Google Scholar

[31] Madhura K, Makinde O. Computational study on heat transfer and MHD-electrified flow of fractional Maxwell nanofluids suspended with SWCNT and MWCNT. Heat Transfer. 2021;50(6):5813–34. 10.1002/htj.22150. Suche in Google Scholar

[32] Hanif H, Shafie S. Impact of Al2O3 in Electrically Conducting Mineral Oil-Based Maxwell Nanofluid: Application to the Petroleum Industry. Fractal Fract. 2022;6(4):180. https://doi.org/10.3390/fractalfract6040180. Suche in Google Scholar

[33] Hanif H, Shafie S. Interaction of multi-walled carbon nanotubes in mineral oil based Maxwell nanofluid. Scientif Reports. 2022;12(1):1–16. 10.1038/s41598-022-07958-y. Suche in Google Scholar PubMed PubMed Central

[34] Lashin M, Usman M, Asjad MI, Ali A, Jarad F, Muhammad T. Magnetic field effect on heat and momentum of fractional Maxwell nanofluid within a channel by power law kernel using finite difference method. Complexity. 2022;2022(1):3629416. 10.1155/2022/3629416. Suche in Google Scholar

[35] Hanif H, Lund LA, Mahat R, Shafie S. Heat transfer analysis of Maxwell hybrid nanofluid with fractional Cattaneo heat flux. Alexandr Eng J. 2023;72:545–57. 10.1016/j.aej.2023.04.022. Suche in Google Scholar

[36] Asjad MI, Ali R, Iqbal A, Muhammad T, Chu YM. Application of water based drilling clay-nanoparticles in heat transfer of fractional Maxwell fluid over an infinite flat surface. Scientific Reports. 2021;11(1):1–14. 10.1038/s41598-021-98066-w. Suche in Google Scholar PubMed PubMed Central

[37] Hanif H. A finite difference method to analyze heat and mass transfer in kerosene based γ-oxide nanofluid for cooling applications. Phys Scripta. 2021;96(9):095215. 10.1088/1402-4896/ac098a. Suche in Google Scholar

[38] Hanif H, Shafie S. Application of Cattaneo heat flux to Maxwell hybrid nanofluid model: a numerical approach. Eur Phys J Plus. 2022;137(8):989. 10.1140/epjp/s13360-022-03209-1. Suche in Google Scholar

[39] Hanif H, Shafie S, Jagun ZT. Maximizing thermal efficiency of a cavity using hybrid nanofluid. J Cleaner Production. 2024;441:141089. 10.1016/j.jclepro.2024.141089. Suche in Google Scholar

[40] Lasode OA. Mixed convection heat transfer in rotating elliptic coolant channels. In: Applications of Heat, Mass and Fluid Boundary Layers. Woodhead publishing; 2020. p. 191–231. 10.1016/B978-0-12-817949-9.00017-7. Suche in Google Scholar

Received: 2023-07-12
Revised: 2023-11-10
Accepted: 2024-02-14
Published Online: 2024-09-11

© 2024 the author(s), published by De Gruyter

This work is licensed under the Creative Commons Attribution 4.0 International License.

Artikel in diesem Heft

  1. Regular Articles
  2. Methodology of automated quality management
  3. Influence of vibratory conveyor design parameters on the trough motion and the self-synchronization of inertial vibrators
  4. Application of finite element method in industrial design, example of an electric motorcycle design project
  5. Correlative evaluation of the corrosion resilience and passivation properties of zinc and aluminum alloys in neutral chloride and acid-chloride solutions
  6. Will COVID “encourage” B2B and data exchange engineering in logistic firms?
  7. Influence of unsupported sleepers on flange climb derailment of two freight wagons
  8. A hybrid detection algorithm for 5G OTFS waveform for 64 and 256 QAM with Rayleigh and Rician channels
  9. Effect of short heat treatment on mechanical properties and shape memory properties of Cu–Al–Ni shape memory alloy
  10. Exploring the potential of ammonia and hydrogen as alternative fuels for transportation
  11. Impact of insulation on energy consumption and CO2 emissions in high-rise commercial buildings at various climate zones
  12. Advanced autopilot design with extremum-seeking control for aircraft control
  13. Adaptive multidimensional trust-based recommendation model for peer to peer applications
  14. Effects of CFRP sheets on the flexural behavior of high-strength concrete beam
  15. Enhancing urban sustainability through industrial synergy: A multidisciplinary framework for integrating sustainable industrial practices within urban settings – The case of Hamadan industrial city
  16. Advanced vibrant controller results of an energetic framework structure
  17. Application of the Taguchi method and RSM for process parameter optimization in AWSJ machining of CFRP composite-based orthopedic implants
  18. Improved correlation of soil modulus with SPT N values
  19. Technologies for high-temperature batch annealing of grain-oriented electrical steel: An overview
  20. Assessing the need for the adoption of digitalization in Indian small and medium enterprises
  21. A non-ideal hybridization issue for vertical TFET-based dielectric-modulated biosensor
  22. Optimizing data retrieval for enhanced data integrity verification in cloud environments
  23. Performance analysis of nonlinear crosstalk of WDM systems using modulation schemes criteria
  24. Nonlinear finite-element analysis of RC beams with various opening near supports
  25. Thermal analysis of Fe3O4–Cu/water over a cone: a fractional Maxwell model
  26. Radial–axial runner blade design using the coordinate slice technique
  27. Theoretical and experimental comparison between straight and curved continuous box girders
  28. Effect of the reinforcement ratio on the mechanical behaviour of textile-reinforced concrete composite: Experiment and numerical modeling
  29. Experimental and numerical investigation on composite beam–column joint connection behavior using different types of connection schemes
  30. Enhanced performance and robustness in anti-lock brake systems using barrier function-based integral sliding mode control
  31. Evaluation of the creep strength of samples produced by fused deposition modeling
  32. A combined feedforward-feedback controller design for nonlinear systems
  33. Effect of adjacent structures on footing settlement for different multi-building arrangements
  34. Analyzing the impact of curved tracks on wheel flange thickness reduction in railway systems
  35. Review Articles
  36. Mechanical and smart properties of cement nanocomposites containing nanomaterials: A brief review
  37. Applications of nanotechnology and nanoproduction techniques
  38. Relationship between indoor environmental quality and guests’ comfort and satisfaction at green hotels: A comprehensive review
  39. Communication
  40. Techniques to mitigate the admission of radon inside buildings
  41. Erratum
  42. Erratum to “Effect of short heat treatment on mechanical properties and shape memory properties of Cu–Al–Ni shape memory alloy”
  43. Special Issue: AESMT-3 - Part II
  44. Integrated fuzzy logic and multicriteria decision model methods for selecting suitable sites for wastewater treatment plant: A case study in the center of Basrah, Iraq
  45. Physical and mechanical response of porous metals composites with nano-natural additives
  46. Special Issue: AESMT-4 - Part II
  47. New recycling method of lubricant oil and the effect on the viscosity and viscous shear as an environmentally friendly
  48. Identify the effect of Fe2O3 nanoparticles on mechanical and microstructural characteristics of aluminum matrix composite produced by powder metallurgy technique
  49. Static behavior of piled raft foundation in clay
  50. Ultra-low-power CMOS ring oscillator with minimum power consumption of 2.9 pW using low-voltage biasing technique
  51. Using ANN for well type identifying and increasing production from Sa’di formation of Halfaya oil field – Iraq
  52. Optimizing the performance of concrete tiles using nano-papyrus and carbon fibers
  53. Special Issue: AESMT-5 - Part II
  54. Comparative the effect of distribution transformer coil shape on electromagnetic forces and their distribution using the FEM
  55. The complex of Weyl module in free characteristic in the event of a partition (7,5,3)
  56. Restrained captive domination number
  57. Experimental study of improving hot mix asphalt reinforced with carbon fibers
  58. Asphalt binder modified with recycled tyre rubber
  59. Thermal performance of radiant floor cooling with phase change material for energy-efficient buildings
  60. Surveying the prediction of risks in cryptocurrency investments using recurrent neural networks
  61. A deep reinforcement learning framework to modify LQR for an active vibration control applied to 2D building models
  62. Evaluation of mechanically stabilized earth retaining walls for different soil–structure interaction methods: A review
  63. Assessment of heat transfer in a triangular duct with different configurations of ribs using computational fluid dynamics
  64. Sulfate removal from wastewater by using waste material as an adsorbent
  65. Experimental investigation on strengthening lap joints subjected to bending in glulam timber beams using CFRP sheets
  66. A study of the vibrations of a rotor bearing suspended by a hybrid spring system of shape memory alloys
  67. Stability analysis of Hub dam under rapid drawdown
  68. Developing ANFIS-FMEA model for assessment and prioritization of potential trouble factors in Iraqi building projects
  69. Numerical and experimental comparison study of piled raft foundation
  70. Effect of asphalt modified with waste engine oil on the durability properties of hot asphalt mixtures with reclaimed asphalt pavement
  71. Hydraulic model for flood inundation in Diyala River Basin using HEC-RAS, PMP, and neural network
  72. Numerical study on discharge capacity of piano key side weir with various ratios of the crest length to the width
  73. The optimal allocation of thyristor-controlled series compensators for enhancement HVAC transmission lines Iraqi super grid by using seeker optimization algorithm
  74. Numerical and experimental study of the impact on aerodynamic characteristics of the NACA0012 airfoil
  75. Effect of nano-TiO2 on physical and rheological properties of asphalt cement
  76. Performance evolution of novel palm leaf powder used for enhancing hot mix asphalt
  77. Performance analysis, evaluation, and improvement of selected unsignalized intersection using SIDRA software – Case study
  78. Flexural behavior of RC beams externally reinforced with CFRP composites using various strategies
  79. Influence of fiber types on the properties of the artificial cold-bonded lightweight aggregates
  80. Experimental investigation of RC beams strengthened with externally bonded BFRP composites
  81. Generalized RKM methods for solving fifth-order quasi-linear fractional partial differential equation
  82. An experimental and numerical study investigating sediment transport position in the bed of sewer pipes in Karbala
  83. Role of individual component failure in the performance of a 1-out-of-3 cold standby system: A Markov model approach
  84. Implementation for the cases (5, 4) and (5, 4)/(2, 0)
  85. Center group actions and related concepts
  86. Experimental investigation of the effect of horizontal construction joints on the behavior of deep beams
  87. Deletion of a vertex in even sum domination
  88. Deep learning techniques in concrete powder mix designing
  89. Effect of loading type in concrete deep beam with strut reinforcement
  90. Studying the effect of using CFRP warping on strength of husk rice concrete columns
  91. Parametric analysis of the influence of climatic factors on the formation of traditional buildings in the city of Al Najaf
  92. Suitability location for landfill using a fuzzy-GIS model: A case study in Hillah, Iraq
  93. Hybrid approach for cost estimation of sustainable building projects using artificial neural networks
  94. Assessment of indirect tensile stress and tensile–strength ratio and creep compliance in HMA mixes with micro-silica and PMB
  95. Density functional theory to study stopping power of proton in water, lung, bladder, and intestine
  96. A review of single flow, flow boiling, and coating microchannel studies
  97. Effect of GFRP bar length on the flexural behavior of hybrid concrete beams strengthened with NSM bars
  98. Exploring the impact of parameters on flow boiling heat transfer in microchannels and coated microtubes: A comprehensive review
  99. Crumb rubber modification for enhanced rutting resistance in asphalt mixtures
  100. Special Issue: AESMT-6
  101. Design of a new sorting colors system based on PLC, TIA portal, and factory I/O programs
  102. Forecasting empirical formula for suspended sediment load prediction at upstream of Al-Kufa barrage, Kufa City, Iraq
  103. Optimization and characterization of sustainable geopolymer mortars based on palygorskite clay, water glass, and sodium hydroxide
  104. Sediment transport modelling upstream of Al Kufa Barrage
  105. Study of energy loss, range, and stopping time for proton in germanium and copper materials
  106. Effect of internal and external recycle ratios on the nutrient removal efficiency of anaerobic/anoxic/oxic (VIP) wastewater treatment plant
  107. Enhancing structural behaviour of polypropylene fibre concrete columns longitudinally reinforced with fibreglass bars
  108. Sustainable road paving: Enhancing concrete paver blocks with zeolite-enhanced cement
  109. Evaluation of the operational performance of Karbala waste water treatment plant under variable flow using GPS-X model
  110. Design and simulation of photonic crystal fiber for highly sensitive chemical sensing applications
  111. Optimization and design of a new column sequencing for crude oil distillation at Basrah refinery
  112. Inductive 3D numerical modelling of the tibia bone using MRI to examine von Mises stress and overall deformation
  113. An image encryption method based on modified elliptic curve Diffie-Hellman key exchange protocol and Hill Cipher
  114. Experimental investigation of generating superheated steam using a parabolic dish with a cylindrical cavity receiver: A case study
  115. Effect of surface roughness on the interface behavior of clayey soils
  116. Investigated of the optical properties for SiO2 by using Lorentz model
  117. Measurements of induced vibrations due to steel pipe pile driving in Al-Fao soil: Effect of partial end closure
  118. Experimental and numerical studies of ballistic resistance of hybrid sandwich composite body armor
  119. Evaluation of clay layer presence on shallow foundation settlement in dry sand under an earthquake
  120. Optimal design of mechanical performances of asphalt mixtures comprising nano-clay additives
  121. Advancing seismic performance: Isolators, TMDs, and multi-level strategies in reinforced concrete buildings
  122. Predicted evaporation in Basrah using artificial neural networks
  123. Energy management system for a small town to enhance quality of life
  124. Numerical study on entropy minimization in pipes with helical airfoil and CuO nanoparticle integration
  125. Equations and methodologies of inlet drainage system discharge coefficients: A review
  126. Thermal buckling analysis for hybrid and composite laminated plate by using new displacement function
  127. Investigation into the mechanical and thermal properties of lightweight mortar using commercial beads or recycled expanded polystyrene
  128. Experimental and theoretical analysis of single-jet column and concrete column using double-jet grouting technique applied at Al-Rashdia site
  129. The impact of incorporating waste materials on the mechanical and physical characteristics of tile adhesive materials
  130. Seismic resilience: Innovations in structural engineering for earthquake-prone areas
  131. Automatic human identification using fingerprint images based on Gabor filter and SIFT features fusion
  132. Performance of GRKM-method for solving classes of ordinary and partial differential equations of sixth-orders
  133. Visible light-boosted photodegradation activity of Ag–AgVO3/Zn0.5Mn0.5Fe2O4 supported heterojunctions for effective degradation of organic contaminates
  134. Production of sustainable concrete with treated cement kiln dust and iron slag waste aggregate
  135. Key effects on the structural behavior of fiber-reinforced lightweight concrete-ribbed slabs: A review
  136. A comparative analysis of the energy dissipation efficiency of various piano key weir types
  137. Special Issue: Transport 2022 - Part II
  138. Variability in road surface temperature in urban road network – A case study making use of mobile measurements
  139. Special Issue: BCEE5-2023
  140. Evaluation of reclaimed asphalt mixtures rejuvenated with waste engine oil to resist rutting deformation
  141. Assessment of potential resistance to moisture damage and fatigue cracks of asphalt mixture modified with ground granulated blast furnace slag
  142. Investigating seismic response in adjacent structures: A study on the impact of buildings’ orientation and distance considering soil–structure interaction
  143. Improvement of porosity of mortar using polyethylene glycol pre-polymer-impregnated mortar
  144. Three-dimensional analysis of steel beam-column bolted connections
  145. Assessment of agricultural drought in Iraq employing Landsat and MODIS imagery
  146. Performance evaluation of grouted porous asphalt concrete
  147. Optimization of local modified metakaolin-based geopolymer concrete by Taguchi method
  148. Effect of waste tire products on some characteristics of roller-compacted concrete
  149. Studying the lateral displacement of retaining wall supporting sandy soil under dynamic loads
  150. Seismic performance evaluation of concrete buttress dram (Dynamic linear analysis)
  151. Behavior of soil reinforced with micropiles
  152. Possibility of production high strength lightweight concrete containing organic waste aggregate and recycled steel fibers
  153. An investigation of self-sensing and mechanical properties of smart engineered cementitious composites reinforced with functional materials
  154. Forecasting changes in precipitation and temperatures of a regional watershed in Northern Iraq using LARS-WG model
  155. Experimental investigation of dynamic soil properties for modeling energy-absorbing layers
  156. Numerical investigation of the effect of longitudinal steel reinforcement ratio on the ductility of concrete beams
  157. An experimental study on the tensile properties of reinforced asphalt pavement
  158. Self-sensing behavior of hot asphalt mixture with steel fiber-based additive
  159. Behavior of ultra-high-performance concrete deep beams reinforced by basalt fibers
  160. Optimizing asphalt binder performance with various PET types
  161. Investigation of the hydraulic characteristics and homogeneity of the microstructure of the air voids in the sustainable rigid pavement
  162. Enhanced biogas production from municipal solid waste via digestion with cow manure: A case study
  163. Special Issue: AESMT-7 - Part I
  164. Preparation and investigation of cobalt nanoparticles by laser ablation: Structure, linear, and nonlinear optical properties
  165. Seismic analysis of RC building with plan irregularity in Baghdad/Iraq to obtain the optimal behavior
  166. The effect of urban environment on large-scale path loss model’s main parameters for mmWave 5G mobile network in Iraq
  167. Formatting a questionnaire for the quality control of river bank roads
  168. Vibration suppression of smart composite beam using model predictive controller
  169. Machine learning-based compressive strength estimation in nanomaterial-modified lightweight concrete
  170. In-depth analysis of critical factors affecting Iraqi construction projects performance
  171. Behavior of container berth structure under the influence of environmental and operational loads
  172. Energy absorption and impact response of ballistic resistance laminate
  173. Effect of water-absorbent polymer balls in internal curing on punching shear behavior of bubble slabs
  174. Effect of surface roughness on interface shear strength parameters of sandy soils
  175. Evaluating the interaction for embedded H-steel section in normal concrete under monotonic and repeated loads
  176. Estimation of the settlement of pile head using ANN and multivariate linear regression based on the results of load transfer method
  177. Enhancing communication: Deep learning for Arabic sign language translation
  178. A review of recent studies of both heat pipe and evaporative cooling in passive heat recovery
  179. Effect of nano-silica on the mechanical properties of LWC
  180. An experimental study of some mechanical properties and absorption for polymer-modified cement mortar modified with superplasticizer
  181. Digital beamforming enhancement with LSTM-based deep learning for millimeter wave transmission
  182. Developing an efficient planning process for heritage buildings maintenance in Iraq
  183. Design and optimization of two-stage controller for three-phase multi-converter/multi-machine electric vehicle
  184. Evaluation of microstructure and mechanical properties of Al1050/Al2O3/Gr composite processed by forming operation ECAP
  185. Calculations of mass stopping power and range of protons in organic compounds (CH3OH, CH2O, and CO2) at energy range of 0.01–1,000 MeV
  186. Investigation of in vitro behavior of composite coating hydroxyapatite-nano silver on 316L stainless steel substrate by electrophoretic technic for biomedical tools
  187. A review: Enhancing tribological properties of journal bearings composite materials
  188. Improvements in the randomness and security of digital currency using the photon sponge hash function through Maiorana–McFarland S-box replacement
  189. Design a new scheme for image security using a deep learning technique of hierarchical parameters
  190. Special Issue: ICES 2023
  191. Comparative geotechnical analysis for ultimate bearing capacity of precast concrete piles using cone resistance measurements
  192. Visualizing sustainable rainwater harvesting: A case study of Karbala Province
  193. Geogrid reinforcement for improving bearing capacity and stability of square foundations
  194. Evaluation of the effluent concentrations of Karbala wastewater treatment plant using reliability analysis
  195. Adsorbent made with inexpensive, local resources
  196. Effect of drain pipes on seepage and slope stability through a zoned earth dam
  197. Sediment accumulation in an 8 inch sewer pipe for a sample of various particles obtained from the streets of Karbala city, Iraq
  198. Special Issue: IETAS 2024 - Part I
  199. Analyzing the impact of transfer learning on explanation accuracy in deep learning-based ECG recognition systems
  200. Effect of scale factor on the dynamic response of frame foundations
  201. Improving multi-object detection and tracking with deep learning, DeepSORT, and frame cancellation techniques
  202. The impact of using prestressed CFRP bars on the development of flexural strength
  203. Assessment of surface hardness and impact strength of denture base resins reinforced with silver–titanium dioxide and silver–zirconium dioxide nanoparticles: In vitro study
  204. A data augmentation approach to enhance breast cancer detection using generative adversarial and artificial neural networks
  205. Modification of the 5D Lorenz chaotic map with fuzzy numbers for video encryption in cloud computing
  206. Special Issue: 51st KKBN - Part I
  207. Evaluation of static bending caused damage of glass-fiber composite structure using terahertz inspection
Heruntergeladen am 1.11.2025 von https://www.degruyterbrill.com/document/doi/10.1515/eng-2022-0600/html
Button zum nach oben scrollen