Abstract
Background
Males have a three times higher risk of a diagnosis of bladder cancer (Bca) than females. Sex hormone-binding globulin (SHBG) may be associated with Bca risk. However, the sex-specific role of SHBG in Bca remains unclear. In this study, we aimed to determine the role of SHBG in Bca.
Methods
A sex-specific univariable Mendelian randomization (MR) analysis involving 369,426 men and 395,375 women was conducted to assess the causal relationship between SHBG and testosterone and Bca risk. Sensitivity analyses and multivariable MR were conducted to confirm the robustness of our results. Linkage disequilibrium score regression assessed the genetic correlation between these diseases influenced by heredity.
Results
Univariable MR results showed that one-SD elevated SHBG was related to a low risk of Bca in males (OR: 0.60, 95% CI: 0.39–0.93; p = 0.022) but had no benefit in females. Genetically predicted BT was positively associated with Bca risk in males (OR: 1.59; 95% CI: 1.06–2.40; p = 0.027). In multivariable MR, higher SHBG levels were not related to male Bca risk after controlling for BT.
Conclusions
Our findings do not provide evidence to support a causal relationship between SHBG and Bca risk in males although an association was observed in the univariable analysis. Further research is needed to identify the underlying pathways.
1 Introduction
Bladder cancer (Bca) is a common malignant tumor of the urinary system. It is a major economic burden on the healthcare system and is well known to be associated with sex bias [1]. Sex differences in Bca incidence have been observed in epidemiological and clinical studies, with a male-to-female risk ratio of 3:1 in terms of diagnosis [2,3]. Although smoking and exposure to occupational carcinogens are factors that contribute to the sex-dependent differences in Bca incidence, Bca still occurs in males after controlling exposure to these carcinogenic factors [4–6]. Therefore, intrinsic factors are likely to play key roles in urothelial carcinogenesis. Experimental and clinical evidence suggests the involvement of androgens and androgen receptors (AR) [7,8]. However, not all studies have reached unanimous conclusions.
Sex hormones and their receptors have been posited as potential contributory factors responsible for sex-based disparities in Bca incidence [9]. Androgens are likely to contribute to sexual dimorphism in Bca by directly and indirectly influencing various cellular processes, such as the synthesis of cytokines, growth factors, and vasoactive substances. Sex hormone-binding globulin (SHBG) is involved in binding to sex hormones and regulating their biological activity [2]. Nevertheless, establishing these associations conclusively through randomized controlled trials poses considerable challenges. Observational studies face difficulties in distinguishing the effects of SHBG levels from those attributable to sex hormones, given their intricate interrelationship. Furthermore, there is a lack of research investigating the sex-specific roles of SHBG in Bca.
To address the lack of experimental evidence for SHBG involvement in Bca, we used a Mendelian randomization (MR) study design, using naturally occurring genetic variants that affect SHBG levels throughout life [10]. Genetic variants are determined at conception; therefore, using this approach establishes the role of SHBG in Bca, excluding the potential confounding effects of socioeconomic position or other factors. This research utilized linkage disequilibrium score regression (LDSC) analysis of GWAS summary statistics to investigate the genetic associations among SHBG, BT, and Bca, with a focus on hereditary contributions. We conducted a sex-specific MR analysis using published single nucleotide polymorphisms (SNPs) to predict SHBG in both males and females and controlled for bioavailable testosterone (BT) levels.
2 Materials and methods
2.1 Genetic correlation analysis
LDSC is an effective method for analyzing genetic correlations [11]. We employed LDSC to examine the shared polygenic structure between diseases, complementing MR analysis. Linkage disequilibrium (LD) scores and weights for the European population were precomputed from 1,000 Genomes data by LDSC’s original developers. The analysis utilized the R package “ldscr.”
2.2 Research design
Initially, we employed univariate MR to evaluate the overall influence of SHBG and BT on Bca risk. Subsequently, we conducted a multivariable MR analysis to examine the direct and independent effects of these traits on the observed outcomes. This study followed the MR guidelines based on three key assumptions: a close relationship between genetic markers and SHBG, the independence of instrumental variables (IVs) from confounding factors, and the exclusive effect of IVs on Bca through SHBG [12] (Figure 1). The data utilized in this study were derived from publicly available genome-wide association studies (GWAS), which have been granted ethical approval and informed consent.

Study design. Bca: bladder cancer; SHBG: sex hormone-binding globulin.
2.3 Data sources
2.3.1 Selection of genetic variants associated with exposure
In order to mitigate bias stemming from sample overlap, we utilized nonoverlapping datasets for each exposure-outcome pair. We selected SNPs from GWASs in the UK Biobank to serve as IVs for SHBG (GWAS ID: ieu-b-4871 for males, ieu-b-4870 for females) and BT (GWAS ID: ieu-b-4868 for males, ieu-b-4869 for females) of European ancestry [13]. SHBG genetic variations were derived from the UK Biobank’s summary sex-specific GWAS (185,221 white British males and 214,989 white British females). BT genetic variations were derived from the UK Biobank’s summary sex-specific GWAS (184,205 white British males and 180,386 white British females). We examined SNPs with genome-wide significance (p < 5 × 10−8) and utilized LD analysis to eliminate SNPs with mutual LD above the limit (LD clumping panel kb = 5,000, R 2 < 0.01) [14].
To address potential pleiotropy, we chose variables known to be involved with Bca. For instance, body mass index (BMI) might be a driver [15] or downstream factor [13] of SHBG. We used the PhenoScannerV2 (www.phenoscanner.medschl.ca.ac.uk) to exclude confounders, such as BMI, smoking, long-term exposure to industrial chemicals, arsenic contamination, chemotherapy drugs, such as cyclophosphamide, or pioglitazone for type 2 diabetes [5,16,17]. Finally, we included 48 and 66 SNPs as IVs for SHBG in males and females, respectively, and 53 and 77 SNPs as IVs for BT in males and females, respectively. To validate the strength of the identified SNPs, we produced F-statistics and conditional F-statistics for univariate and multivariable MR analyses.
2.3.2 Genetic variants associated with Bca
Summary data on the sex-specific genetic variants of Bca were obtained from FinnGen R10 comprising 175,121 European individuals (1,115 Bca cases and 174,006 controls) [18]. The GWAS analyses were adjusted for principal components.
2.3.3 Genetic variants for multivariable MR
We employed multivariable MR analysis to control for BT since SHBG was strongly related to this particular variable [13]. Genetic predictors of SHBG and BT were obtained from the UK Biobank. We excluded duplicate SNPs and those with a high correlation (r 2 > 0.05) using LDLink. The remaining SNPs were used for multivariable MR analysis.
2.3.4 Statistical analysis
The primary MR approach was inverse variance weighting (IVW), employed to assess the effect of a one-standard deviation (SD) increment in genetically predicted exposure on the outcome, which was reported as odds ratio (OR) accompanied by a 95% confidence interval (CI). Other MR methods, such as MR-Egger, weighted median, and weighted mode, were also used to investigate the consistency of effect estimates.
As a first step, SNPs with a genome-wide significance level of p < 5 × 10−8 and an F-statistic >10 were carefully selected. To address potential confounding factors, we utilized the PhenoScannerV2 website to exclude genetic confounders associated with Bca. For the assessment of heterogeneity and horizontal pleiotropy, Cochran’s Q statistic was employed to quantify heterogeneity, while radial MR was utilized to eliminate outliers [19]. Additionally, MR-Egger regression and the MR-Presso method were employed to evaluate the influence of horizontal pleiotropy upon effect estimations. Sensitivity analysis was conducted through leave-one-out tests to assess the effects of individual variants on the observed associations. For multivariable MR, the test for heterogeneity and pleiotropy were similar to those described above for univariate MR [20].
R2 indicates the proportion of SHBG variation that may be attributed to SNPs.
Furthermore, the required sample size for Bca events was estimated using the log OR, which measures the patient-to-non-patient ratio. All MR analyses were performed using the two-sample MR and MR packages in R (version 4.1.0).
3 Results
3.1 Genetic correlation analysis
The results of the genetic correlation analysis are presented in Table 1. We estimated a positive genetic correlation between the following pairs of diseases: SHBG (male) and Bca (male) (rg = 0.663, p-value = 1.52 × 10−05), SHBG (female) and Bca (female) (rg = 0.697, p-value = 7.95 × 10−58), and BT (male), and Bca (male) (rg = 0.563, p-value = 1.12 × 10−39).
Results of genetic correlation analysis
| Trait1 | Trait2 | Genetic correlation | Standard error | p-value |
|---|---|---|---|---|
| SHBG (male) | Bca (male) | 0.663 | 0.144 | 1.52 × 10−5 |
| SHBG (female) | Bca (female) | 0.697 | 0.043 | 7.95 × 10−58 |
| BT (male) | Bca (male) | 0.563 | 0.043 | 1.12 × 10−39 |
| BT (female) | Bca (female) | −0.286 | 0.202 | 0.156 |
SHBG: sex hormone-binding globulin; BT: bioavailable testosterone; Bca: bladder cancer.
3.2 IVs
In the univariate MR analysis, we employed 48 and 66 genome-wide significant SNPs previously reported in males and females, respectively, for the assessment of SHBG. Furthermore, 53 and 77 genome-wide significant SNPs previously identified in males and females, respectively, were utilized for investigating BT. Following the methodology outlined by Burgess et al., all SNPs had an F-statistic exceeding >10, indicating the absence of weak instruments in univariate MR analysis (Table S1).
3.3 Causal effect of SHBG on Bca using univariable MR
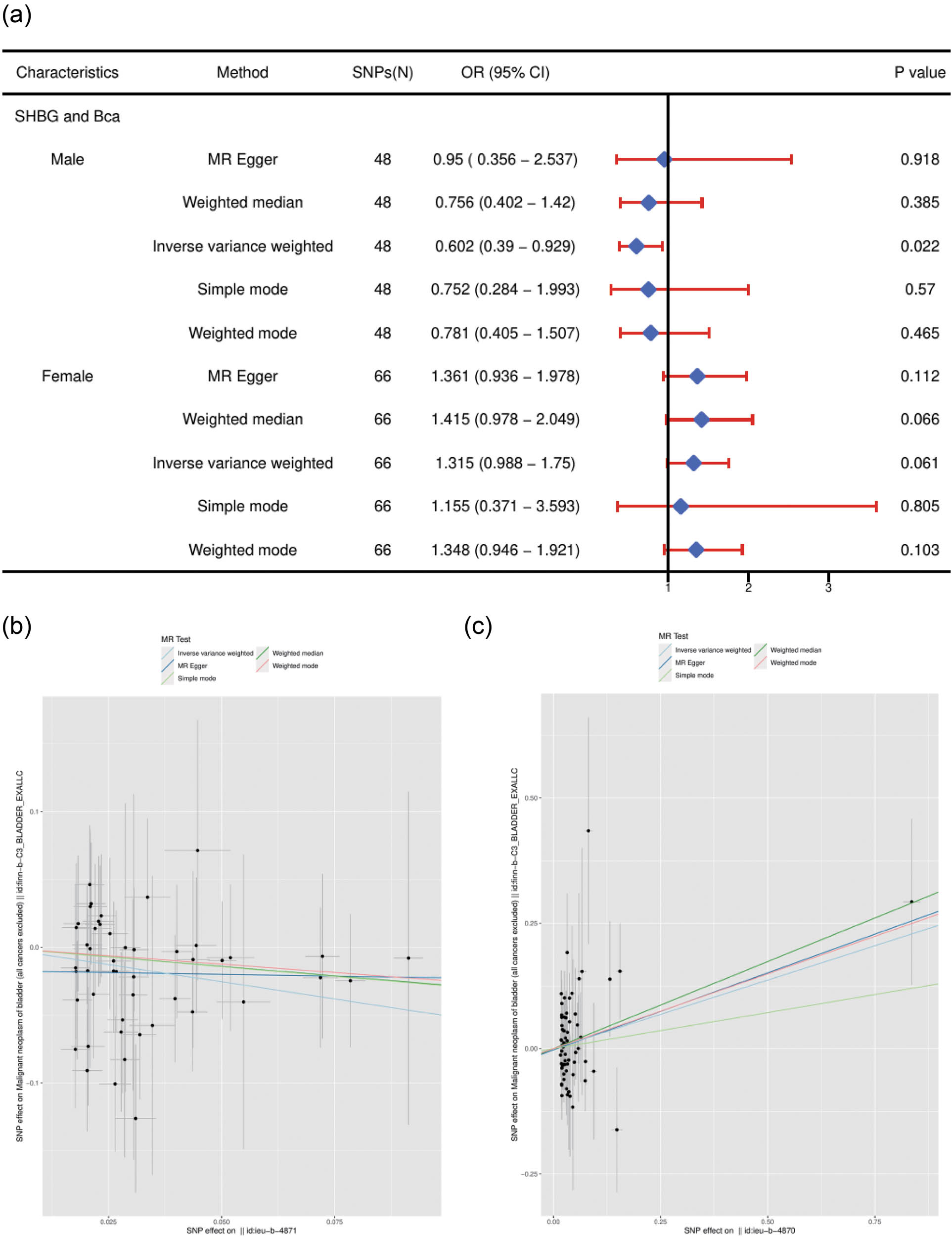
The random-effects IVW approach was the main analytical method employed. In two sample MR, there was no indication of instrumental heterogeneity (Cochran’s Q test, p > 0.05). One SD elevated SHBG was related to a low risk of Bca in males OR: 0.60, 95% CI: 0.39–0.93; p = 0.022; Bonferroni’s correction [p = 0.05/2]). The causal effect estimation of the MR-Egger test and other methods were similar in direction and magnitude. However, genetically predicted SHBG had no association with Bca in females (OR: 1.32, 95% CI: 0.99–1.75 p = 0.061) (Figure 2).

Univariable MR results of SHBG using different methods. (a) The combined forest plot of SHBG on Bca. (b) The scatter plots of SHBG on Bca in males. (c) The scatter plots of SHBG on Bca in females. The number of genetic variants, OR, 95% CI, p values, and MR methods of associations are contained. SNPs(N): the number of single-nucleotide polymorphisms used as IVs; OR: the combined causal effect; CI: confidence interval; SHBG: sex hormone binding globulin; Bca: bladder cancer.
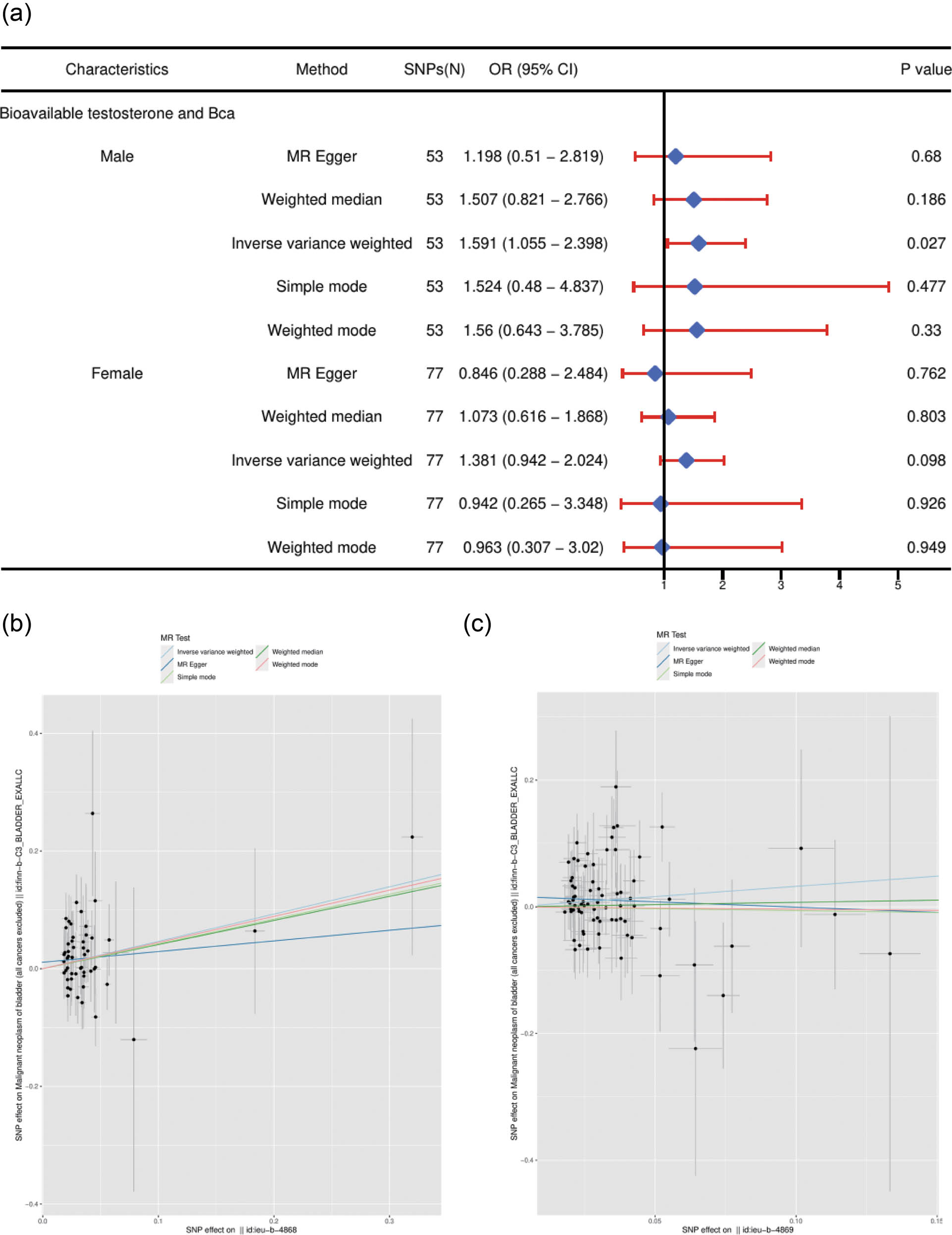
One SD increase in BT was associated with a significantly increased Bca risk in males (OR: 1.59; 95% CI: 1.06–2.40; p = 0.027). However, the result did not reach statistical significance after Bonferroni’s correction (p = 0.05/2), indicating a suggestive causal association. MR analyses, such as MR-Egger, weighted median, and weighted mode, were similar in direction and magnitude. In females, genetically predicted BT was unrelated to Bca (OR: 1.38, 95% CI: 0.94–2.02; p = 0.098) (Figure 3). The scatter plots of univariable MR analyses performed on FinnGen data using different methods showing the effect of exposure on Bca in male and female. The single MR effect of univariable MR analyses showing the effect of exposure on Bca is shown in Figure S1.

Univariable MR results of BT using different methods. (a) The combined forest plot of BT on Bca. (b) The scatter plots of BT on Bca in males. (c) The scatter plots of BT on Bca in females. The number of genetic variants, OR, 95% CI, p values, and MR methods of associations are contained. SNPs(N): the number of single-nucleotide polymorphisms used as IVs; OR: the combined causal effect; CI: confidence interval; Bca: bladder cancer.
The MR-Egger intercept test was employed to assess pleiotropy. There was no directional pleiotropy found using MR-Egger regression or MR-PRESSO analysis (Table 2). The results of a leave-one-out sensitivity analysis demonstrated that no one SNP was responsible for the overall impact of sex hormones on Bca (Figure S2). The MR funnel diagram was symmetrical (Figure S3).
Sensitive analyses result in univariable MR for Bca
| Outcome | Exposure | IVW- Q test | MR-Egger | MR-Presso Global test | ||
|---|---|---|---|---|---|---|
| p-value | Intercept | SE | p-value | p-value | ||
| Bca | ||||||
| Male | SHBG | 0.987 | −0.017 | 0.017 | 0.317 | 0.994 |
| BT | 0.849 | 0.011 | 0.015 | 0.463 | 0.816 | |
| Female | SHBG | 0.250 | −0.003 | 0.009 | 0.779 | 0.312 |
| BT | 0.663 | 0.016 | 0.017 | 0.343 | 0.576 | |
IVW: inverse-variance weighted; SE: standard error; SHBG: sex hormone-binding globulin; BT: bioavailable testosterone; Bca: bladder cancer.
3.4 Causal effect of SHBG on Bca using multivariable MR
After adjusting for BT in the multivariable MR for males, genetically predicted increased SHBG was not associated with the risk of Bca (OR: 1.08; 95% CI: 0.65–1.81; p = 0.763). After controlling for SHBG, the causal relationship between BT and Bca did not remain statistically significant (OR: 0.85; 95% CI: 0.63–1.15; p = 0.301) (Figure 4). The conditional F-statistics for the SHBG and BT were 40.2 and 95.0%, respectively. The conditional F-statistics indicated the absence of weak instruments in multivariable MR. Cochran’s Q statistic testing indicated the absence of heterogeneity in multivariable MR. Horizontal pleiotropy was not observed (Table 3). In direction and magnitude, the estimations were stable to the multivariable in MR-Egger, MR-Lasso, and MR-Presso approaches.

Multivariable MR results of SHBG and BT. The number of genetic variants, OR, 95% CI, p values, and MR methods of associations are contained. SNPs(N), the number of single-nucleotide polymorphisms used as IVs; OR, the combined causal effect; CI, confidence interval; p value, p value of the causal estimate; SHBG: sex hormone-binding globulin; Bca: bladder cancer; IVW: inverse variance weighted.
Conditional F-statistics and sensitive analyses result in multivariable MR for Bca in males
| Outcome | Exposure | F-statistics | Q-test | MR-Egger | MR-Presso Global test | |||
|---|---|---|---|---|---|---|---|---|
| Q-statistic | Q_p | Intercept | SE | p-value | p-value | |||
| Bca | ||||||||
| SHBG | 40.177 | 59.574 | 0.976 | −0.006 | 0.008 | 0.431 | 0.977 | |
| BT | 95.046 | |||||||
SE: standard error; SHBG: sex hormone-binding globulin; BT: bioavailable testosterone; Bca: bladder cancer.
4 Discussion
Understanding the influence of sex differences on the incidence, prevalence, and severity of Bca has become an increasingly important area of research. Sex should be regarded as a crucial biological variable to be included in future Bca research [21]. To the best of our knowledge, this study is the first to examine the sex-specific risk of Bca from a genetic perspective. We investigated the relationship between SHBG and Bca using univariate and multivariable MR analyses.
The glycoprotein SHBG is predominantly synthesized in the liver and exists as a homodimeric protein with a molecular weight of 90–100 kDa. Its binding ability extends to all androgens and estrogens, except for dehydroepiandrosterone sulfate and androstenedione. The free hormone hypothesis suggests that because binding proteins are the gatekeepers of steroid action, the biological activity of a hormone is best represented by the concentration of the free hormone rather than its total concentration. Notably, SHBG contributes considerably to the balance between free and protein-bound components of plasma and serves as a transporter of steroid hormones, facilitating their transport from the point of synthesis to their target location. Particularly for androgens, interactions with SHBG and albumin determine the delicate balance between bioavailability and total testosterone, thereby controlling tissue exposure. This balance can be influenced by factors such as aging, genetics, and various pathological conditions that affect target tissue hormone exposure [22]. Although the precise mechanism is yet unknown, it is conceivable that the regulatory function of SHBG in modulating the levels of free/BT in the bloodstream contributes to this protective association.
Additionally, SHBG may play a role in male Bca through other pathways. The development of Bca is influenced by inflammation in several ways. Chronic inflammation can cause DNA damage and mutations in bladder epithelial cells, thereby increasing the risk of Bca [23]. Bca cells can trigger an “inflammatory cytokine storm,” stimulating the secretion of tumor growth-promoting factors and weakening the cytotoxic function of immune cells. Cytokines and growth factors released by these cells may stimulate Bca cell proliferation [24]. Increased levels of reactive oxygen species, lipid peroxidation products, pro-inflammatory cytokines, and pro-angiogenic factors may induce inflammatory responses, ultimately activating Bca angiogenesis [25]. SHBG inhibits inflammation in vitro, which is not altered by co-supplementation with testosterone or estradiol [26], supporting a pathway through inflammation. Further investigation into potential pathways, especially those associated with sex-specific responses to SHBG and Bca, would be beneficial. Similarly, a meta-analysis of previous clinical trials showed that androgen deprivation therapy (ADT) may have antitumor effects on Bca [8]. However, these findings should be interpreted with caution. The relationship between ADT and Bca in previous observational studies has been inconsistent, and clinical trials to validate their efficacy are still lacking [7]. The efficacy of abiraterone and other approved anticancer agents for urothelial cancer in the treatment of Bca may be further elucidated through an ongoing clinical trial [27].
This study design has several strengths that contribute to the validity of our findings. This study adheres strictly to the assumptions of MR so that potential confounding factors and reverse causality are minimized, and an independent correlation between SHBG and Bca risk can be established. Moreover, LDSC aids in distinguishing true polygenic effects from confounding factors such as implicit associations and population stratification. Notably, this study is the first to comprehensively and systematically analyze prospective studies to evaluate the role of SHBG in Bca risk. We also employed MR-Egger, which provides robustness against pleiotropy, a potential limitation of MR. Replication with larger samples is required in such cases. Furthermore, the high F-statistics of the genetic instruments employed in this study mitigates concerns regarding the presence of weak instruments that could potentially introduce bias into our findings.
Despite its novelty, this study has several limitations. First, the research might have been influenced by survivorship bias and competing risks, which preclude the occurrence of Bca. We adjusted the common confounders of Bca. Second, compensatory processes or feedback mechanisms may dilute genetic effects, resulting in skewed MR estimations. However, this did not explain the observed beneficial association between SHBG and Bca. A common limitation is that non-muscle-invasive Bca is not distinguished from muscle-invasive disease. We could not stratify Bca across diagnostic types. Third, it is crucial to recognize a fundamental limitation of LDSC: while it indicates overall positive, negative, or absent genetic correlations, it does not account for mixed directional effects among shared genetic variants. We agree that the potential pleiotropic nature of the included variants and the shared genetic risk between SHBG and BT could distort the results. Consequently, additional research is needed to provide a more detailed quantification of polygenic overlap and deepen insights into the genetic interconnections between these diseases [28].
Regardless of the consistent and beneficial associations observed in this study, caution should be exercised when interpreting our findings [29]. Instead of focusing on the immediate results of an exogenous exposure, MR considers the long-term consequences of an endogenous one. Consequently, the impact on male Bca may not be significant in terms of factors that regulate SHBG.
Our findings do not provide evidence to support a causal relationship between SHBG and Bca risk in males. While an association was observed in the univariable analysis, this is likely influenced by shared genetic risk variants and the pleiotropic effects of the included variants. Further studies, including formal mediation analyses, are required to explore the potential interplay between SHBG, BT, and Bca risk.
Abbreviations
- ADT
-
androgen deprivation therapy
- AR
-
androgen receptor
- Bca
-
bladder cancer
- BMI
-
body mass index
- CI
-
confidence interval
- GWAS
-
genome-wide association study
- IVs
-
instrumental variables
- IVW
-
inverse variance-weighted
- MR
-
Mendelian randomization
- OR
-
odds ratio
- SHBG
-
sex hormone-binding globulin
- SNP
-
single nucleotide polymorphism
Acknowledgements
The authors acknowledge the efforts of the genome-wide association study consortia (GWAS) to provide high-quality resources for researchers.
-
Funding information: This work was supported by the Beijing Natural Science Foundation (Z230014), the Key Clinical Projects of Peking University Third Hospital (BYSYFY2021046), and CSCO Clinical Oncology Research Foundation of Beijing (Y-tongshu2021/ms-0072).
-
Author contributions: Conceptualization: J.Y.O., H.B., S.D.Z., J.F.Y.; search and evaluation: J.Y.O., H.B.Z., H.B.; data analysis: J.Y.O., H.B.Z., P.C.D., Z.Y.Z., Z.Z.Z., Z.X.X.; writing – original draft and visualization: J.Y.O., H.B.Z., P.C.D., Z.Y.Z., H.M.Y.; writing – review and revision: J.Y.O., S.D.Z., J.F.Y.; supervision and project management: S.D.Z., H.B., X.J.T.; resources: S.D.Z., H.B., J.F.Y., X.J.T.
-
Conflict of interest: The authors declare that they have no conflicts of interest to disclose. This includes no financial or personal relationships with other people or organizations that could inappropriately influence the author’s work, including but not limited to employment, affiliation, grants, consultancies, honoraria, stock ownership, options, expert testimony, royalties, or patents.
-
Data availability statement: The datasets for this study can be found in the GWAS Catalog [https://www.ebi.ac.uk/gwas/], FinnGen [https://www.finngen.fi/en], and Neale lab [http://www.nealelab.is/uk-biobank]. GWAS ID details can be found in methods or Supplementary Material.
References
[1] Antoni S, Ferlay J, Soerjomataram I, Znaor A, Jemal A, Bray F. Bladder cancer incidence and mortality: a global overview and recent trends. Eur Urol. 2017 Jan;71(1):96–108.10.1016/j.eururo.2016.06.010Suche in Google Scholar PubMed
[2] Dobruch J, Daneshmand S, Fisch M, Lotan Y, Noon AP, Resnick MJ, et al. Gender and bladder cancer: a collaborative review of etiology, biology, and outcomes. Eur Urol. 2016 Feb;69(2):300–10.10.1016/j.eururo.2015.08.037Suche in Google Scholar PubMed
[3] Siegel R, Ward E, Brawley O, Jemal A. Cancer statistics, 2011: the impact of eliminating socioeconomic and racial disparities on premature cancer deaths. CA Cancer J Clin. 2011;61(4):212–36.10.3322/caac.20121Suche in Google Scholar PubMed
[4] Siegel RL, Jacobs EJ, Newton CC, Feskanich D, Freedman ND, Prentice RL, et al. Deaths due to cigarette smoking for 12 smoking-related cancers in the United States. JAMA Intern Med. 2015 Sep;175(9):1574–6.10.1001/jamainternmed.2015.2398Suche in Google Scholar PubMed
[5] Hemelt M, Yamamoto H, Cheng KK, Zeegers MPA. The effect of smoking on the male excess of bladder cancer: a meta-analysis and geographical analyses. Int J Cancer. 2009 Jan;124(2):412–9.10.1002/ijc.23856Suche in Google Scholar PubMed
[6] Siegel RL, Miller KD, Jemal A. Cancer statistics, 2016. CA Cancer J Clin. 2016;66(1):7–30.10.3322/caac.21332Suche in Google Scholar PubMed
[7] Martínez-Rojo E, Berumen LC, García-Alcocer G, Escobar-Cabrera J. The role of androgens and androgen receptor in human bladder cancer. Biomolecules. 2021 Apr;11(4):594.10.3390/biom11040594Suche in Google Scholar PubMed PubMed Central
[8] Creta M, Celentano G, Napolitano L, La Rocca R, Capece M, Califano G, et al. Inhibition of androgen signalling improves the outcomes of therapies for bladder cancer: results from a systematic review of preclinical and clinical evidence and meta-analysis of clinical studies. Diagnostics (Basel). 2021 Feb;11(2):351.10.3390/diagnostics11020351Suche in Google Scholar PubMed PubMed Central
[9] Chang C, Lee SO, Yeh S, Chang TM. Androgen receptor (AR) differential roles in hormone-related tumors including prostate, bladder, kidney, lung, breast and liver. Oncogene. 2014 Jun;33(25):3225–34.10.1038/onc.2013.274Suche in Google Scholar PubMed
[10] Smith GD, Ebrahim S. Mendelian randomization: prospects, potentials, and limitations. Int J Epidemiol. 2004 Feb;33(1):30–42.10.1093/ije/dyh132Suche in Google Scholar PubMed
[11] Bulik-Sullivan BK, Loh PR, Finucane HK, Ripke S, Yang J, Patterson N, et al. LD score regression distinguishes confounding from polygenicity in genome-wide association studies. Nat Genet. 2015 Mar;47(3):291–5.10.1038/ng.3211Suche in Google Scholar PubMed PubMed Central
[12] Burgess S, Foley CN, Allara E, Staley JR, Howson JMM. A robust and efficient method for Mendelian randomization with hundreds of genetic variants. Nat Commun. 2020 Jan 17;11(1):376.10.1038/s41467-019-14156-4Suche in Google Scholar PubMed PubMed Central
[13] Ruth KS, Day FR, Tyrrell J, Thompson DJ, Wood AR, Mahajan A, et al. Using human genetics to understand the disease impacts of testosterone in men and women. Nat Med. 2020 Feb;26(2):252–8.10.1038/s41591-020-0751-5Suche in Google Scholar PubMed PubMed Central
[14] Ou J, Zou L, Wu Y, Zhang Q, Fang Y, Qiu M, et al. Causal inference between rheumatoid arthritis and prostate cancer. Clin Exp Med. 2023 Dec;23(8):4681–94. 10.1007/s10238-023-01151-9.Suche in Google Scholar PubMed
[15] Maggio M, Lauretani F, Basaria S, Ceda GP, Bandinelli S, Metter EJ, et al. Sex hormone binding globulin levels across the adult lifespan in women – the role of body mass index and fasting insulin. J Endocrinol Invest. 2008 Jul;31(7):597–601.10.1007/BF03345608Suche in Google Scholar PubMed PubMed Central
[16] Cumberbatch MGK, Jubber I, Black PC, Esperto F, Figueroa JD, Kamat AM, et al. Epidemiology of bladder cancer: a systematic review and contemporary update of risk factors in 2018. Eur Urol. 2018 Dec;74(6):784–95.10.1016/j.eururo.2018.09.001Suche in Google Scholar PubMed
[17] Fernández MI, López JF, Vivaldi B, Coz F. Long-term impact of arsenic in drinking water on bladder cancer health care and mortality rates 20 years after end of exposure. J Urol. 2012 Mar;187(3):856–61.10.1016/j.juro.2011.10.157Suche in Google Scholar PubMed
[18] Risteys FinnGen R10 - C3_BLADDER [Internet]. [cited 2023 Mar 27]. https://risteys.finngen.fi/endpoints/C3_BLADDER#dialog-table-case-counts.10.1109/MIC.2023.3328409Suche in Google Scholar
[19] Bowden J, Spiller W, Del Greco MF, Sheehan N, Thompson J, Minelli C, et al. Improving the visualization, interpretation and analysis of two-sample summary data Mendelian randomization via the Radial plot and Radial regression. Int J Epidemiol. 2018 Dec;47(6):2100.10.1093/ije/dyy265Suche in Google Scholar PubMed PubMed Central
[20] Ou J, Zhen K, Wu Y, Xue Z, Fang Y, Zhang Q, et al. Systemic lupus erythematosus and prostate cancer risk: a pool of cohort studies and Mendelian randomization analysis. J Cancer Res Clin Oncol. 2023 Sep;149(12):9517–28.10.1007/s00432-023-04853-5Suche in Google Scholar PubMed PubMed Central
[21] Theodorescu D, Li Z, Li X. Sex differences in bladder cancer: emerging data and call to action. Nat Rev Urol. 2022 Aug;19(8):447–9.10.1038/s41585-022-00591-4Suche in Google Scholar PubMed PubMed Central
[22] Narinx N, David K, Walravens J, Vermeersch P, Claessens F, Fiers T, et al. Role of sex hormone-binding globulin in the free hormone hypothesis and the relevance of free testosterone in androgen physiology. Cell Mol Life Sci. 2022 Oct 7;79(11):543.10.1007/s00018-022-04562-1Suche in Google Scholar PubMed PubMed Central
[23] Michaud DS. Chronic inflammation and bladder cancer. Urol Oncol. 2007;25(3):260–8.10.1016/j.urolonc.2006.10.002Suche in Google Scholar PubMed
[24] Gakis G. The role of inflammation in bladder cancer. Adv Exp Med Biol. 2014;816:183–96.10.1007/978-3-0348-0837-8_8Suche in Google Scholar PubMed
[25] Wigner P, Grębowski R, Bijak M, Saluk-Bijak J, Szemraj J. The interplay between oxidative stress, inflammation and angiogenesis in bladder cancer development. Int J Mol Sci. 2021 Apr;22(9):4483.10.3390/ijms22094483Suche in Google Scholar PubMed PubMed Central
[26] Yamazaki H, Kushiyama A, Sakoda H, Fujishiro M, Yamamotoya T, Nakatsu Y, et al. Protective effect of sex hormone-binding globulin against metabolic syndrome: in vitro evidence showing anti-inflammatory and lipolytic effects on adipocytes and macrophages. Mediators Inflamm. 2018;2018:3062319.10.1155/2018/3062319Suche in Google Scholar PubMed PubMed Central
[27] Study Record | Beta ClinicalTrials.gov [Internet]. [cited 2023 Apr 18]. https://beta.clinicaltrials.gov/study/NCT02788201?distance=50&cond=NCT02788201&rank=1.Suche in Google Scholar
[28] Frei O, Holland D, Smeland OB, Shadrin AA, Fan CC, Maeland S, et al. Bivariate causal mixture model quantifies polygenic overlap between complex traits beyond genetic correlation. Nat Commun. 2019 Jun 3;10(1):2417.10.1038/s41467-019-10310-0Suche in Google Scholar PubMed PubMed Central
[29] Neale lab [Internet]. [cited 2024 Nov 19]. UK Biobank. http://www.nealelab.is/uk-biobank.Suche in Google Scholar
© 2025 the author(s), published by De Gruyter
This work is licensed under the Creative Commons Attribution 4.0 International License.
Artikel in diesem Heft
- Research Articles
- Network pharmacological analysis and in vitro testing of the rutin effects on triple-negative breast cancer
- Impact of diabetes on long-term survival in elderly liver cancer patients: A retrospective study
- Knockdown of CCNB1 alleviates high glucose-triggered trophoblast dysfunction during gestational diabetes via Wnt/β-catenin signaling pathway
- Risk factors for severe adverse drug reactions in hospitalized patients
- Analysis of the effect of ALA-PDT on macrophages in footpad model of mice infected with Fonsecaea monophora based on single-cell sequencing
- Development and validation of headspace gas chromatography with a flame ionization detector method for the determination of ethanol in the vitreous humor
- CMSP exerts anti-tumor effects on small cell lung cancer cells by inducing mitochondrial dysfunction and ferroptosis
- Predictive value of plasma sB7-H3 and YKL-40 in pediatric refractory Mycoplasma pneumoniae pneumonia
- Antiangiogenic potential of Elaeagnus umbellata extracts and molecular docking study by targeting VEGFR-2 pathway
- Comparison of the effectiveness of nurse-led preoperative counseling and postoperative follow-up care vs standard care for patients with gastric cancer
- Comparing the therapeutic efficacy of endoscopic minimally invasive surgery and traditional surgery for early-stage breast cancer: A meta-analysis
- Adhered macrophages as an additional marker of cardiomyocyte injury in biopsies of patients with dilated cardiomyopathy
- Association between statin administration and outcome in patients with sepsis: A retrospective study
- Exploration of the association between estimated glucose disposal rate and osteoarthritis in middle-aged and older adults: An analysis of NHANES data from 2011 to 2018
- A comparative analysis of the binary and multiclass classified chest X-ray images of pneumonia and COVID-19 with ML and DL models
- Lysophosphatidic acid 2 alleviates deep vein thrombosis via protective endothelial barrier function
- Transcription factor A, mitochondrial promotes lymph node metastasis and lymphangiogenesis in epithelial ovarian carcinoma
- Serum PM20D1 levels are associated with nutritional status and inflammatory factors in gastric cancer patients undergoing early enteral nutrition
- Hydromorphone reduced the incidence of emergence agitation after adenotonsillectomy in children with obstructive sleep apnea: A randomized, double-blind study
- Vitamin D replacement therapy may regulate sleep habits in patients with restless leg syndrome
- The first-line antihypertensive nitrendipine potentiated the therapeutic effect of oxaliplatin by downregulating CACNA1D in colorectal cancer
- Health literacy and health-related quality of life: The mediating role of irrational happiness
- Modulatory effects of Lycium barbarum polysaccharide on bone cell dynamics in osteoporosis
- Mechanism research on inhibition of gastric cancer in vitro by the extract of Pinellia ternata based on network pharmacology and cellular metabolomics
- Examination of the causal role of immune cells in non-alcoholic fatty liver disease by a bidirectional Mendelian randomization study
- Clinical analysis of ten cases of HIV infection combined with acute leukemia
- Investigating the cardioprotective potential of quercetin against tacrolimus-induced cardiotoxicity in Wistar rats: A mechanistic insights
- Clinical observation of probiotics combined with mesalazine and Yiyi Baitouweng Decoction retention enema in treating mild-to-moderate ulcerative colitis
- Diagnostic value of ratio of blood inflammation to coagulation markers in periprosthetic joint infection
- Sex-specific associations of sex hormone binding globulin and risk of bladder cancer
- Core muscle strength and stability-oriented breathing training reduces inter-recti distance in postpartum women
- The ERAS nursing care strategy for patients undergoing transsphenoidal endoscopic pituitary tumor resection: A randomized blinded controlled trial
- The serum IL-17A levels in patients with traumatic bowel rupture post-surgery and its predictive value for patient prognosis
- Impact of Kolb’s experiential learning theory-based nursing on caregiver burden and psychological state of caregivers of dementia patients
- Analysis of serum NLR combined with intraoperative margin condition to predict the prognosis of cervical HSIL patients undergoing LEEP surgery
- Commiphora gileadensis ameliorate infertility and erectile dysfunction in diabetic male mice
- The correlation between epithelial–mesenchymal transition classification and MMP2 expression of circulating tumor cells and prognosis of advanced or metastatic nasopharyngeal carcinoma
- Tetrahydropalmatine improves mitochondrial function in vascular smooth muscle cells of atherosclerosis in vitro by inhibiting Ras homolog gene family A/Rho-associated protein kinase-1 signaling pathway
- A cross-sectional study: Relationship between serum oxidative stress levels and arteriovenous fistula maturation in maintenance dialysis patients
- A comparative analysis of the impact of repeated administration of flavan 3-ol on brown, subcutaneous, and visceral adipose tissue
- Identifying early screening factors for depression in middle-aged and older adults: A cohort study
- Perform tumor-specific survival analysis for Merkel cell carcinoma patients undergoing surgical resection based on the SEER database by constructing a nomogram chart
- Unveiling the role of CXCL10 in pancreatic cancer progression: A novel prognostic indicator
- High-dose preoperative intraperitoneal erythropoietin and intravenous methylprednisolone in acute traumatic spinal cord injuries following decompression surgeries
- RAB39B: A novel biomarker for acute myeloid leukemia identified via multi-omics and functional validation
- Impact of peripheral conditioning on reperfusion injury following primary percutaneous coronary intervention in diabetic and non-diabetic STEMI patients
- Clinical efficacy of azacitidine in the treatment of middle- and high-risk myelodysplastic syndrome in middle-aged and elderly patients: A retrospective study
- The effect of ambulatory blood pressure load on mitral regurgitation in continuous ambulatory peritoneal dialysis patients
- Expression and clinical significance of ITGA3 in breast cancer
- Single-nucleus RNA sequencing reveals ARHGAP28 expression of podocytes as a biomarker in human diabetic nephropathy
- rSIG combined with NLR in the prognostic assessment of patients with multiple injuries
- Toxic metals and metalloids in collagen supplements of fish and jellyfish origin: Risk assessment for daily intake
- Exploring causal relationship between 41 inflammatory cytokines and marginal zone lymphoma: A bidirectional Mendelian randomization study
- Gender beliefs and legitimization of dating violence in adolescents
- Effect of serum IL-6, CRP, and MMP-9 levels on the efficacy of modified preperitoneal Kugel repair in patients with inguinal hernia
- Effect of smoking and smoking cessation on hematological parameters in polycythemic patients
- Pathogen surveillance and risk factors for pulmonary infection in patients with lung cancer: A retrospective single-center study
- Necroptosis of hippocampal neurons in paclitaxel chemotherapy-induced cognitive impairment mediates microglial activation via TLR4/MyD88 signaling pathway
- Celastrol suppresses neovascularization in rat aortic vascular endothelial cells stimulated by inflammatory tenocytes via modulating the NLRP3 pathway
- Cord-lamina angle and foraminal diameter as key predictors of C5 palsy after anterior cervical decompression and fusion surgery
- GATA1: A key biomarker for predicting the prognosis of patients with diffuse large B-cell lymphoma
- Influencing factors of false lumen thrombosis in type B aortic dissection: A single-center retrospective study
- MZB1 regulates the immune microenvironment and inhibits ovarian cancer cell migration
- Integrating experimental and network pharmacology to explore the pharmacological mechanisms of Dioscin against glioblastoma
- Trends in research on preterm birth in twin pregnancy based on bibliometrics
- Four-week IgE/baseline IgE ratio combined with tryptase predicts clinical outcome in omalizumab-treated children with moderate-to-severe asthma
- Single-cell transcriptomic analysis identifies a stress response Schwann cell subtype
- Acute pancreatitis risk in the diagnosis and management of inflammatory bowel disease: A critical focus
- Effect of subclinical esketamine on NLRP3 and cognitive dysfunction in elderly ischemic stroke patients
- Interleukin-37 mediates the anti-oral tumor activity in oral cancer through STAT3
- CA199 and CEA expression levels, and minimally invasive postoperative prognosis analysis in esophageal squamous carcinoma patients
- Efficacy of a novel drainage catheter in the treatment of CSF leak after posterior spine surgery: A retrospective cohort study
- Comprehensive biomedicine assessment of Apteranthes tuberculata extracts: Phytochemical analysis and multifaceted pharmacological evaluation in animal models
- Relation of time in range to severity of coronary artery disease in patients with type 2 diabetes: A cross-sectional study
- Dopamine attenuates ethanol-induced neuronal apoptosis by stimulating electrical activity in the developing rat retina
- Correlation between albumin levels during the third trimester and the risk of postpartum levator ani muscle rupture
- Factors associated with maternal attention and distraction during breastfeeding and childcare: A cross-sectional study in the west of Iran
- Mechanisms of hesperetin in treating metabolic dysfunction-associated steatosis liver disease via network pharmacology and in vitro experiments
- The law on oncological oblivion in the Italian and European context: How to best uphold the cancer patients’ rights to privacy and self-determination?
- The prognostic value of the neutrophil-to-lymphocyte ratio, platelet-to-lymphocyte ratio, and prognostic nutritional index for survival in patients with colorectal cancer
- Factors affecting the measurements of peripheral oxygen saturation values in healthy young adults
- Comparison and correlations between findings of hysteroscopy and vaginal color Doppler ultrasonography for detection of uterine abnormalities in patients with recurrent implantation failure
- The effects of different types of RAGT on balance function in stroke patients with low levels of independent walking in a convalescent rehabilitation hospital
- Causal relationship between asthma and ankylosing spondylitis: A bidirectional two-sample univariable and multivariable Mendelian randomization study
- Correlations of health literacy with individuals’ understanding and use of medications in Southern Taiwan
- Correlation of serum calprotectin with outcome of acute cerebral infarction
- Comparison of computed tomography and guided bronchoscopy in the diagnosis of pulmonary nodules: A systematic review and meta-analysis
- Curdione protects vascular endothelial cells and atherosclerosis via the regulation of DNMT1-mediated ERBB4 promoter methylation
- The identification of novel missense variant in ChAT gene in a patient with gestational diabetes denotes plausible genetic association
- Molecular genotyping of multi-system rare blood types in foreign blood donors based on DNA sequencing and its clinical significance
- Exploring the role of succinyl carnitine in the association between CD39⁺ CD4⁺ T cell and ulcerative colitis: A Mendelian randomization study
- Dexmedetomidine suppresses microglial activation in postoperative cognitive dysfunction via the mmu-miRNA-125/TRAF6 signaling axis
- Analysis of serum metabolomics in patients with different types of chronic heart failure
- Diagnostic value of hematological parameters in the early diagnosis of acute cholecystitis
- Pachymaran alleviates fat accumulation, hepatocyte degeneration, and injury in mice with nonalcoholic fatty liver disease
- Decrease in CD4 and CD8 lymphocytes are predictors of severe clinical picture and unfavorable outcome of the disease in patients with COVID-19
- METTL3 blocked the progression of diabetic retinopathy through m6A-modified SOX2
- The predictive significance of anti-RO-52 antibody in patients with interstitial pneumonia after treatment of malignant tumors
- Exploring cerebrospinal fluid metabolites, cognitive function, and brain atrophy: Insights from Mendelian randomization
- Development and validation of potential molecular subtypes and signatures of ocular sarcoidosis based on autophagy-related gene analysis
- Widespread venous thrombosis: Unveiling a complex case of Behçet’s disease with a literature perspective
- Uterine fibroid embolization: An analysis of clinical outcomes and impact on patients’ quality of life
- Discovery of lipid metabolism-related diagnostic biomarkers and construction of diagnostic model in steroid-induced osteonecrosis of femoral head
- Serum-derived exomiR-188-3p is a promising novel biomarker for early-stage ovarian cancer
- Enhancing chronic back pain management: A comparative study of ultrasound–MRI fusion guidance for paravertebral nerve block
- Peptide CCAT1-70aa promotes hepatocellular carcinoma proliferation and invasion via the MAPK/ERK pathway
- Electroacupuncture-induced reduction of myocardial ischemia–reperfusion injury via FTO-dependent m6A methylation modulation
- Hemorrhoids and cardiovascular disease: A bidirectional Mendelian randomization study
- Cell-free adipose extract inhibits hypertrophic scar formation through collagen remodeling and antiangiogenesis
- HALP score in Demodex blepharitis: A case–control study
- Assessment of SOX2 performance as a marker for circulating cancer stem-like cells (CCSCs) identification in advanced breast cancer patients using CytoTrack system
- Risk and prognosis for brain metastasis in primary metastatic cervical cancer patients: A population-based study
- Comparison of the two intestinal anastomosis methods in pediatric patients
- Factors influencing hematological toxicity and adverse effects of perioperative hyperthermic intraperitoneal vs intraperitoneal chemotherapy in gastrointestinal cancer
- Endotoxin tolerance inhibits NLRP3 inflammasome activation in macrophages of septic mice by restoring autophagic flux through TRIM26
- Lateral transperitoneal laparoscopic adrenalectomy: A single-centre experience of 21 procedures
- Petunidin attenuates lipopolysaccharide-induced retinal microglia inflammatory response in diabetic retinopathy by targeting OGT/NF-κB/LCN2 axis
- Procalcitonin and C-reactive protein as biomarkers for diagnosing and assessing the severity of acute cholecystitis
- Factors determining the number of sessions in successful extracorporeal shock wave lithotripsy patients
- Development of a nomogram for predicting cancer-specific survival in patients with renal pelvic cancer following surgery
- Inhibition of ATG7 promotes orthodontic tooth movement by regulating the RANKL/OPG ratio under compression force
- A machine learning-based prognostic model integrating mRNA stemness index, hypoxia, and glycolysis‑related biomarkers for colorectal cancer
- Glutathione attenuates sepsis-associated encephalopathy via dual modulation of NF-κB and PKA/CREB pathways
- FAHD1 prevents neuronal ferroptosis by modulating R-loop and the cGAS–STING pathway
- Association of placenta weight and morphology with term low birth weight: A case–control study
- Investigation of the pathogenic variants induced Sjogren’s syndrome in Turkish population
- Nucleotide metabolic abnormalities in post-COVID-19 condition and type 2 diabetes mellitus patients and their association with endocrine dysfunction
- TGF-β–Smad2/3 signaling in high-altitude pulmonary hypertension in rats: Role and mechanisms via macrophage M2 polarization
- Ultrasound-guided unilateral versus bilateral erector spinae plane block for postoperative analgesia of patients undergoing laparoscopic cholecystectomy
- Profiling gut microbiome dynamics in subacute thyroiditis: Implications for pathogenesis, diagnosis, and treatment
- Delta neutrophil index, CRP/albumin ratio, procalcitonin, immature granulocytes, and HALP score in acute appendicitis: Best performing biomarker?
- Anticancer activity mechanism of novelly synthesized and characterized benzofuran ring-linked 3-nitrophenyl chalcone derivative on colon cancer cells
- H2valdien3 arrests the cell cycle and induces apoptosis of gastric cancer
- Prognostic relevance of PRSS2 and its immune correlates in papillary thyroid carcinoma
- Association of SGLT2 inhibition with psychiatric disorders: A Mendelian randomization study
- Motivational interviewing for alcohol use reduction in Thai patients
- Luteolin alleviates oxygen-glucose deprivation/reoxygenation-induced neuron injury by regulating NLRP3/IL-1β signaling
- Polyphyllin II inhibits thyroid cancer cell growth by simultaneously inhibiting glycolysis and oxidative phosphorylation
- Relationship between the expression of copper death promoting factor SLC31A1 in papillary thyroid carcinoma and clinicopathological indicators and prognosis
- CSF2 polarized neutrophils and invaded renal cancer cells in vitro influence
- Proton pump inhibitors-induced thrombocytopenia: A systematic literature analysis of case reports
- The current status and influence factors of research ability among community nurses: A sequential qualitative–quantitative study
- OKAIN: A comprehensive oncology knowledge base for the interpretation of clinically actionable alterations
- The relationship between serum CA50, CA242, and SAA levels and clinical pathological characteristics and prognosis in patients with pancreatic cancer
- Identification and external validation of a prognostic signature based on hypoxia–glycolysis-related genes for kidney renal clear cell carcinoma
- Engineered RBC-derived nanovesicles functionalized with tumor-targeting ligands: A comparative study on breast cancer targeting efficiency and biocompatibility
- Relationship of resting echocardiography combined with serum micronutrients to the severity of low-gradient severe aortic stenosis
- Effect of vibration on pain during subcutaneous heparin injection: A randomized, single-blind, placebo-controlled trial
- The diagnostic performance of machine learning-based FFRCT for coronary artery disease: A meta-analysis
- Comparing biofeedback device vs diaphragmatic breathing for bloating relief: A randomized controlled trial
- Serum uric acid to albumin ratio and C-reactive protein as predictive biomarkers for chronic total occlusion and coronary collateral circulation quality
- Multiple organ scoring systems for predicting in-hospital mortality of sepsis patients in the intensive care unit
- Single-cell RNA sequencing data analysis of the inner ear in gentamicin-treated mice via intraperitoneal injection
- Suppression of cathepsin B attenuates myocardial injury via limiting cardiomyocyte apoptosis
- Influence of sevoflurane combined with propofol anesthesia on the anesthesia effect and adverse reactions in children with acute appendicitis
- Identification of hub genes related to acute kidney injury caused by sevoflurane anesthesia and endoplasmic reticulum stress
- Efficacy and safety of PD-1/PD-L1 inhibitors in pancreatic ductal adenocarcinoma: a systematic review and Meta-analysis of randomized controlled trials
- The value of diagnostic experience in O-RADS MRI score for ovarian-adnexal lesions
- Health education pathway for individuals with temporary enterostomies using patient journey mapping
- Serum TLR8 as a potential diagnostic biomarker of coronary heart disease
- Intraoperative temperature management and its effect on surgical outcomes in elderly patients undergoing lichtenstein unilateral inguinal hernia repair
- Immunohistochemical profiling and neuroepithelial heterogeneity in immature ovarian teratomas: a retrospective digital pathology-based study
- Associated risk factors and prevalence of human papillomavirus infection among females visiting tertiary care hospital: a cross-sectional study from Nepal
- Comparative evaluation of various disc elution methods for the detection of colistin-resistant gram-negative bacteria
- Effect of timing of cholecystectomy on weight loss after sleeve gastrectomy in morbidly obese individuals with cholelithiasis: a retrospective cohort study
- Causal association between ceramide levels and central precocious puberty: a mendelian randomization study
- Novel predictive model for colorectal liver metastases recurrence: a radiomics and clinical data approach
- Relationship between resident physicians’ perceived professional value and exposure to violence
- Multiple sclerosis and type 1 diabetes: a Mendelian randomization study of European ancestry
- Rapid pathogen identification in peritoneal dialysis effluent by MALDI-TOF MS following blood culture enrichment
- Comparison of open and percutaneous A1 pulley release in pediatric trigger thumb: a retrospective cohort study
- Impact of combined diaphragm-lung ultrasound assessment on postoperative respiratory function in patients under general anesthesia recovery
- Development and internal validation of a nomogram for predicting short-term prognosis in ICU patients with acute pyelonephritis
- The association between hypoxic burden and blood pressure in patients with obstructive sleep apnea
- Promotion of asthenozoospermia by C9orf72 through suppression of spermatogonia activity via fructose metabolism and mitophagy
- Review Articles
- The effects of enhanced external counter-pulsation on post-acute sequelae of COVID-19: A narrative review
- Diabetes-related cognitive impairment: Mechanisms, symptoms, and treatments
- Microscopic changes and gross morphology of placenta in women affected by gestational diabetes mellitus in dietary treatment: A systematic review
- Review of mechanisms and frontier applications in IL-17A-induced hypertension
- Research progress on the correlation between islet amyloid peptides and type 2 diabetes mellitus
- The safety and efficacy of BCG combined with mitomycin C compared with BCG monotherapy in patients with non-muscle-invasive bladder cancer: A systematic review and meta-analysis
- The application of augmented reality in robotic general surgery: A mini-review
- The effect of Greek mountain tea extract and wheat germ extract on peripheral blood flow and eicosanoid metabolism in mammals
- Neurogasobiology of migraine: Carbon monoxide, hydrogen sulfide, and nitric oxide as emerging pathophysiological trinacrium relevant to nociception regulation
- Plant polyphenols, terpenes, and terpenoids in oral health
- Laboratory medicine between technological innovation, rights safeguarding, and patient safety: A bioethical perspective
- End-of-life in cancer patients: Medicolegal implications and ethical challenges in Europe
- The maternal factors during pregnancy for intrauterine growth retardation: An umbrella review
- Intra-abdominal hypertension/abdominal compartment syndrome of pediatric patients in critical care settings
- PI3K/Akt pathway and neuroinflammation in sepsis-associated encephalopathy
- Screening of Group B Streptococcus in pregnancy: A systematic review for the laboratory detection
- Giant borderline ovarian tumours – review of the literature
- Leveraging artificial intelligence for collaborative care planning: Innovations and impacts in shared decision-making – A systematic review
- Cholera epidemiology analysis through the experience of the 1973 Naples epidemic
- Risk factors of frailty/sarcopenia in community older adults: Meta-analysis
- Supplement strategies for infertility in overweight women: Evidence and legal insights
- Scurvy, a not obsolete disorder: Clinical report in eight young children and literature review
- A meta-analysis of the effects of DBS on cognitive function in patients with advanced PD
- Protective role of selenium in sepsis: Mechanisms and potential therapeutic strategies
- Strategies for hyperkalemia management in dialysis patients: A systematic review
- C-reactive protein-to-albumin ratio in peripheral artery disease
- Research progress on autophagy and its roles in sepsis induced organ injury
- Neuronutrition in autism spectrum disorders
- Pumilio 2 in neural development, function, and specific neurological disorders
- Antibiotic prescribing patterns in general dental practice- a scoping review
- Clinical and medico-legal reflections on non-invasive prenatal testing
- Smartphone use and back pain: a narrative review of postural pathologies
- Targeting endothelial oxidative stress in hypertension
- Exploring links between acne and metabolic syndrome: a narrative review
- Case Reports
- Delayed graft function after renal transplantation
- Semaglutide treatment for type 2 diabetes in a patient with chronic myeloid leukemia: A case report and review of the literature
- Diverse electrophysiological demyelinating features in a late-onset glycogen storage disease type IIIa case
- Giant right atrial hemangioma presenting with ascites: A case report
- Laser excision of a large granular cell tumor of the vocal cord with subglottic extension: A case report
- EsoFLIP-assisted dilation for dysphagia in systemic sclerosis: Highlighting the role of multimodal esophageal evaluation
- Molecular hydrogen-rhodiola as an adjuvant therapy for ischemic stroke in internal carotid artery occlusion: A case report
- Coronary artery anomalies: A case of the “malignant” left coronary artery and its surgical management
- Combined VAT and retroperitoneoscopy for pleural empyema due to nephro-pleuric fistula in xanthogranulomatous pyelonephritis
- A rare case of Opalski syndrome with a suspected multiple sclerosis etiology
- Newly diagnosed B-cell acute lymphoblastic leukemia demonstrating localized bone marrow infiltration exclusively in the lower extremities
- Rapid Communication
- Biological properties of valve materials using RGD and EC
-
A single oral administration of flavanols enhances short
-term memory in mice along with increased brain-derived neurotrophic factor - Repeat influenza incidence across two consecutive influenza seasons
- Letter to the Editor
- Role of enhanced external counterpulsation in long COVID
- Expression of Concern
- Expression of concern “A ceRNA network mediated by LINC00475 in papillary thyroid carcinoma”
- Expression of concern “Notoginsenoside R1 alleviates spinal cord injury through the miR-301a/KLF7 axis to activate Wnt/β-catenin pathway”
- Expression of concern “circ_0020123 promotes cell proliferation and migration in lung adenocarcinoma via PDZD8”
- Corrigendum
- Corrigendum to “Empagliflozin improves aortic injury in obese mice by regulating fatty acid metabolism”
- Corrigendum to “Comparing the therapeutic efficacy of endoscopic minimally invasive surgery and traditional surgery for early-stage breast cancer: A meta-analysis”
- Corrigendum to “The progress of autoimmune hepatitis research and future challenges”
- Retraction
- Retraction of “miR-654-5p promotes gastric cancer progression via the GPRIN1/NF-κB pathway”
- Retraction of: “LncRNA CASC15 inhibition relieves renal fibrosis in diabetic nephropathy through downregulating SP-A by sponging to miR-424”
- Retraction of: “SCARA5 inhibits oral squamous cell carcinoma via inactivating the STAT3 and PI3K/AKT signaling pathways”
- Special Issue Advancements in oncology: bridging clinical and experimental research - Part II
- Unveiling novel biomarkers for platinum chemoresistance in ovarian cancer
- Lathyrol affects the expression of AR and PSA and inhibits the malignant behavior of RCC cells
- The era of increasing cancer survivorship: Trends in fertility preservation, medico-legal implications, and ethical challenges
- Bone scintigraphy and positron emission tomography in the early diagnosis of MRONJ
- Meta-analysis of clinical efficacy and safety of immunotherapy combined with chemotherapy in non-small cell lung cancer
- Special Issue Computational Intelligence Methodologies Meets Recurrent Cancers - Part IV
- Exploration of mRNA-modifying METTL3 oncogene as momentous prognostic biomarker responsible for colorectal cancer development
- Special Issue The evolving saga of RNAs from bench to bedside - Part III
- Interaction and verification of ferroptosis-related RNAs Rela and Stat3 in promoting sepsis-associated acute kidney injury
- The mRNA MOXD1: Link to oxidative stress and prognostic significance in gastric cancer
- Special Issue Exploring the biological mechanism of human diseases based on MultiOmics Technology - Part II
- Dynamic changes in lactate-related genes in microglia and their role in immune cell interactions after ischemic stroke
- A prognostic model correlated with fatty acid metabolism in Ewing’s sarcoma based on bioinformatics analysis
- Red cell distribution width predicts early kidney injury: A NHANES cross-sectional study
- Special Issue Diabetes mellitus: pathophysiology, complications & treatment
- Nutritional risk assessment and nutritional support in children with congenital diabetes during surgery
- Correlation of the differential expressions of RANK, RANKL, and OPG with obesity in the elderly population in Xinjiang
- A discussion on the application of fluorescence micro-optical sectioning tomography in the research of cognitive dysfunction in diabetes
- A review of brain research on T2DM-related cognitive dysfunction
- Metformin and estrogen modulation in LABC with T2DM: A 36-month randomized trial
- Special Issue Innovative Biomarker Discovery and Precision Medicine in Cancer Diagnostics
- CircASH1L-mediated tumor progression in triple-negative breast cancer: PI3K/AKT pathway mechanisms
Artikel in diesem Heft
- Research Articles
- Network pharmacological analysis and in vitro testing of the rutin effects on triple-negative breast cancer
- Impact of diabetes on long-term survival in elderly liver cancer patients: A retrospective study
- Knockdown of CCNB1 alleviates high glucose-triggered trophoblast dysfunction during gestational diabetes via Wnt/β-catenin signaling pathway
- Risk factors for severe adverse drug reactions in hospitalized patients
- Analysis of the effect of ALA-PDT on macrophages in footpad model of mice infected with Fonsecaea monophora based on single-cell sequencing
- Development and validation of headspace gas chromatography with a flame ionization detector method for the determination of ethanol in the vitreous humor
- CMSP exerts anti-tumor effects on small cell lung cancer cells by inducing mitochondrial dysfunction and ferroptosis
- Predictive value of plasma sB7-H3 and YKL-40 in pediatric refractory Mycoplasma pneumoniae pneumonia
- Antiangiogenic potential of Elaeagnus umbellata extracts and molecular docking study by targeting VEGFR-2 pathway
- Comparison of the effectiveness of nurse-led preoperative counseling and postoperative follow-up care vs standard care for patients with gastric cancer
- Comparing the therapeutic efficacy of endoscopic minimally invasive surgery and traditional surgery for early-stage breast cancer: A meta-analysis
- Adhered macrophages as an additional marker of cardiomyocyte injury in biopsies of patients with dilated cardiomyopathy
- Association between statin administration and outcome in patients with sepsis: A retrospective study
- Exploration of the association between estimated glucose disposal rate and osteoarthritis in middle-aged and older adults: An analysis of NHANES data from 2011 to 2018
- A comparative analysis of the binary and multiclass classified chest X-ray images of pneumonia and COVID-19 with ML and DL models
- Lysophosphatidic acid 2 alleviates deep vein thrombosis via protective endothelial barrier function
- Transcription factor A, mitochondrial promotes lymph node metastasis and lymphangiogenesis in epithelial ovarian carcinoma
- Serum PM20D1 levels are associated with nutritional status and inflammatory factors in gastric cancer patients undergoing early enteral nutrition
- Hydromorphone reduced the incidence of emergence agitation after adenotonsillectomy in children with obstructive sleep apnea: A randomized, double-blind study
- Vitamin D replacement therapy may regulate sleep habits in patients with restless leg syndrome
- The first-line antihypertensive nitrendipine potentiated the therapeutic effect of oxaliplatin by downregulating CACNA1D in colorectal cancer
- Health literacy and health-related quality of life: The mediating role of irrational happiness
- Modulatory effects of Lycium barbarum polysaccharide on bone cell dynamics in osteoporosis
- Mechanism research on inhibition of gastric cancer in vitro by the extract of Pinellia ternata based on network pharmacology and cellular metabolomics
- Examination of the causal role of immune cells in non-alcoholic fatty liver disease by a bidirectional Mendelian randomization study
- Clinical analysis of ten cases of HIV infection combined with acute leukemia
- Investigating the cardioprotective potential of quercetin against tacrolimus-induced cardiotoxicity in Wistar rats: A mechanistic insights
- Clinical observation of probiotics combined with mesalazine and Yiyi Baitouweng Decoction retention enema in treating mild-to-moderate ulcerative colitis
- Diagnostic value of ratio of blood inflammation to coagulation markers in periprosthetic joint infection
- Sex-specific associations of sex hormone binding globulin and risk of bladder cancer
- Core muscle strength and stability-oriented breathing training reduces inter-recti distance in postpartum women
- The ERAS nursing care strategy for patients undergoing transsphenoidal endoscopic pituitary tumor resection: A randomized blinded controlled trial
- The serum IL-17A levels in patients with traumatic bowel rupture post-surgery and its predictive value for patient prognosis
- Impact of Kolb’s experiential learning theory-based nursing on caregiver burden and psychological state of caregivers of dementia patients
- Analysis of serum NLR combined with intraoperative margin condition to predict the prognosis of cervical HSIL patients undergoing LEEP surgery
- Commiphora gileadensis ameliorate infertility and erectile dysfunction in diabetic male mice
- The correlation between epithelial–mesenchymal transition classification and MMP2 expression of circulating tumor cells and prognosis of advanced or metastatic nasopharyngeal carcinoma
- Tetrahydropalmatine improves mitochondrial function in vascular smooth muscle cells of atherosclerosis in vitro by inhibiting Ras homolog gene family A/Rho-associated protein kinase-1 signaling pathway
- A cross-sectional study: Relationship between serum oxidative stress levels and arteriovenous fistula maturation in maintenance dialysis patients
- A comparative analysis of the impact of repeated administration of flavan 3-ol on brown, subcutaneous, and visceral adipose tissue
- Identifying early screening factors for depression in middle-aged and older adults: A cohort study
- Perform tumor-specific survival analysis for Merkel cell carcinoma patients undergoing surgical resection based on the SEER database by constructing a nomogram chart
- Unveiling the role of CXCL10 in pancreatic cancer progression: A novel prognostic indicator
- High-dose preoperative intraperitoneal erythropoietin and intravenous methylprednisolone in acute traumatic spinal cord injuries following decompression surgeries
- RAB39B: A novel biomarker for acute myeloid leukemia identified via multi-omics and functional validation
- Impact of peripheral conditioning on reperfusion injury following primary percutaneous coronary intervention in diabetic and non-diabetic STEMI patients
- Clinical efficacy of azacitidine in the treatment of middle- and high-risk myelodysplastic syndrome in middle-aged and elderly patients: A retrospective study
- The effect of ambulatory blood pressure load on mitral regurgitation in continuous ambulatory peritoneal dialysis patients
- Expression and clinical significance of ITGA3 in breast cancer
- Single-nucleus RNA sequencing reveals ARHGAP28 expression of podocytes as a biomarker in human diabetic nephropathy
- rSIG combined with NLR in the prognostic assessment of patients with multiple injuries
- Toxic metals and metalloids in collagen supplements of fish and jellyfish origin: Risk assessment for daily intake
- Exploring causal relationship between 41 inflammatory cytokines and marginal zone lymphoma: A bidirectional Mendelian randomization study
- Gender beliefs and legitimization of dating violence in adolescents
- Effect of serum IL-6, CRP, and MMP-9 levels on the efficacy of modified preperitoneal Kugel repair in patients with inguinal hernia
- Effect of smoking and smoking cessation on hematological parameters in polycythemic patients
- Pathogen surveillance and risk factors for pulmonary infection in patients with lung cancer: A retrospective single-center study
- Necroptosis of hippocampal neurons in paclitaxel chemotherapy-induced cognitive impairment mediates microglial activation via TLR4/MyD88 signaling pathway
- Celastrol suppresses neovascularization in rat aortic vascular endothelial cells stimulated by inflammatory tenocytes via modulating the NLRP3 pathway
- Cord-lamina angle and foraminal diameter as key predictors of C5 palsy after anterior cervical decompression and fusion surgery
- GATA1: A key biomarker for predicting the prognosis of patients with diffuse large B-cell lymphoma
- Influencing factors of false lumen thrombosis in type B aortic dissection: A single-center retrospective study
- MZB1 regulates the immune microenvironment and inhibits ovarian cancer cell migration
- Integrating experimental and network pharmacology to explore the pharmacological mechanisms of Dioscin against glioblastoma
- Trends in research on preterm birth in twin pregnancy based on bibliometrics
- Four-week IgE/baseline IgE ratio combined with tryptase predicts clinical outcome in omalizumab-treated children with moderate-to-severe asthma
- Single-cell transcriptomic analysis identifies a stress response Schwann cell subtype
- Acute pancreatitis risk in the diagnosis and management of inflammatory bowel disease: A critical focus
- Effect of subclinical esketamine on NLRP3 and cognitive dysfunction in elderly ischemic stroke patients
- Interleukin-37 mediates the anti-oral tumor activity in oral cancer through STAT3
- CA199 and CEA expression levels, and minimally invasive postoperative prognosis analysis in esophageal squamous carcinoma patients
- Efficacy of a novel drainage catheter in the treatment of CSF leak after posterior spine surgery: A retrospective cohort study
- Comprehensive biomedicine assessment of Apteranthes tuberculata extracts: Phytochemical analysis and multifaceted pharmacological evaluation in animal models
- Relation of time in range to severity of coronary artery disease in patients with type 2 diabetes: A cross-sectional study
- Dopamine attenuates ethanol-induced neuronal apoptosis by stimulating electrical activity in the developing rat retina
- Correlation between albumin levels during the third trimester and the risk of postpartum levator ani muscle rupture
- Factors associated with maternal attention and distraction during breastfeeding and childcare: A cross-sectional study in the west of Iran
- Mechanisms of hesperetin in treating metabolic dysfunction-associated steatosis liver disease via network pharmacology and in vitro experiments
- The law on oncological oblivion in the Italian and European context: How to best uphold the cancer patients’ rights to privacy and self-determination?
- The prognostic value of the neutrophil-to-lymphocyte ratio, platelet-to-lymphocyte ratio, and prognostic nutritional index for survival in patients with colorectal cancer
- Factors affecting the measurements of peripheral oxygen saturation values in healthy young adults
- Comparison and correlations between findings of hysteroscopy and vaginal color Doppler ultrasonography for detection of uterine abnormalities in patients with recurrent implantation failure
- The effects of different types of RAGT on balance function in stroke patients with low levels of independent walking in a convalescent rehabilitation hospital
- Causal relationship between asthma and ankylosing spondylitis: A bidirectional two-sample univariable and multivariable Mendelian randomization study
- Correlations of health literacy with individuals’ understanding and use of medications in Southern Taiwan
- Correlation of serum calprotectin with outcome of acute cerebral infarction
- Comparison of computed tomography and guided bronchoscopy in the diagnosis of pulmonary nodules: A systematic review and meta-analysis
- Curdione protects vascular endothelial cells and atherosclerosis via the regulation of DNMT1-mediated ERBB4 promoter methylation
- The identification of novel missense variant in ChAT gene in a patient with gestational diabetes denotes plausible genetic association
- Molecular genotyping of multi-system rare blood types in foreign blood donors based on DNA sequencing and its clinical significance
- Exploring the role of succinyl carnitine in the association between CD39⁺ CD4⁺ T cell and ulcerative colitis: A Mendelian randomization study
- Dexmedetomidine suppresses microglial activation in postoperative cognitive dysfunction via the mmu-miRNA-125/TRAF6 signaling axis
- Analysis of serum metabolomics in patients with different types of chronic heart failure
- Diagnostic value of hematological parameters in the early diagnosis of acute cholecystitis
- Pachymaran alleviates fat accumulation, hepatocyte degeneration, and injury in mice with nonalcoholic fatty liver disease
- Decrease in CD4 and CD8 lymphocytes are predictors of severe clinical picture and unfavorable outcome of the disease in patients with COVID-19
- METTL3 blocked the progression of diabetic retinopathy through m6A-modified SOX2
- The predictive significance of anti-RO-52 antibody in patients with interstitial pneumonia after treatment of malignant tumors
- Exploring cerebrospinal fluid metabolites, cognitive function, and brain atrophy: Insights from Mendelian randomization
- Development and validation of potential molecular subtypes and signatures of ocular sarcoidosis based on autophagy-related gene analysis
- Widespread venous thrombosis: Unveiling a complex case of Behçet’s disease with a literature perspective
- Uterine fibroid embolization: An analysis of clinical outcomes and impact on patients’ quality of life
- Discovery of lipid metabolism-related diagnostic biomarkers and construction of diagnostic model in steroid-induced osteonecrosis of femoral head
- Serum-derived exomiR-188-3p is a promising novel biomarker for early-stage ovarian cancer
- Enhancing chronic back pain management: A comparative study of ultrasound–MRI fusion guidance for paravertebral nerve block
- Peptide CCAT1-70aa promotes hepatocellular carcinoma proliferation and invasion via the MAPK/ERK pathway
- Electroacupuncture-induced reduction of myocardial ischemia–reperfusion injury via FTO-dependent m6A methylation modulation
- Hemorrhoids and cardiovascular disease: A bidirectional Mendelian randomization study
- Cell-free adipose extract inhibits hypertrophic scar formation through collagen remodeling and antiangiogenesis
- HALP score in Demodex blepharitis: A case–control study
- Assessment of SOX2 performance as a marker for circulating cancer stem-like cells (CCSCs) identification in advanced breast cancer patients using CytoTrack system
- Risk and prognosis for brain metastasis in primary metastatic cervical cancer patients: A population-based study
- Comparison of the two intestinal anastomosis methods in pediatric patients
- Factors influencing hematological toxicity and adverse effects of perioperative hyperthermic intraperitoneal vs intraperitoneal chemotherapy in gastrointestinal cancer
- Endotoxin tolerance inhibits NLRP3 inflammasome activation in macrophages of septic mice by restoring autophagic flux through TRIM26
- Lateral transperitoneal laparoscopic adrenalectomy: A single-centre experience of 21 procedures
- Petunidin attenuates lipopolysaccharide-induced retinal microglia inflammatory response in diabetic retinopathy by targeting OGT/NF-κB/LCN2 axis
- Procalcitonin and C-reactive protein as biomarkers for diagnosing and assessing the severity of acute cholecystitis
- Factors determining the number of sessions in successful extracorporeal shock wave lithotripsy patients
- Development of a nomogram for predicting cancer-specific survival in patients with renal pelvic cancer following surgery
- Inhibition of ATG7 promotes orthodontic tooth movement by regulating the RANKL/OPG ratio under compression force
- A machine learning-based prognostic model integrating mRNA stemness index, hypoxia, and glycolysis‑related biomarkers for colorectal cancer
- Glutathione attenuates sepsis-associated encephalopathy via dual modulation of NF-κB and PKA/CREB pathways
- FAHD1 prevents neuronal ferroptosis by modulating R-loop and the cGAS–STING pathway
- Association of placenta weight and morphology with term low birth weight: A case–control study
- Investigation of the pathogenic variants induced Sjogren’s syndrome in Turkish population
- Nucleotide metabolic abnormalities in post-COVID-19 condition and type 2 diabetes mellitus patients and their association with endocrine dysfunction
- TGF-β–Smad2/3 signaling in high-altitude pulmonary hypertension in rats: Role and mechanisms via macrophage M2 polarization
- Ultrasound-guided unilateral versus bilateral erector spinae plane block for postoperative analgesia of patients undergoing laparoscopic cholecystectomy
- Profiling gut microbiome dynamics in subacute thyroiditis: Implications for pathogenesis, diagnosis, and treatment
- Delta neutrophil index, CRP/albumin ratio, procalcitonin, immature granulocytes, and HALP score in acute appendicitis: Best performing biomarker?
- Anticancer activity mechanism of novelly synthesized and characterized benzofuran ring-linked 3-nitrophenyl chalcone derivative on colon cancer cells
- H2valdien3 arrests the cell cycle and induces apoptosis of gastric cancer
- Prognostic relevance of PRSS2 and its immune correlates in papillary thyroid carcinoma
- Association of SGLT2 inhibition with psychiatric disorders: A Mendelian randomization study
- Motivational interviewing for alcohol use reduction in Thai patients
- Luteolin alleviates oxygen-glucose deprivation/reoxygenation-induced neuron injury by regulating NLRP3/IL-1β signaling
- Polyphyllin II inhibits thyroid cancer cell growth by simultaneously inhibiting glycolysis and oxidative phosphorylation
- Relationship between the expression of copper death promoting factor SLC31A1 in papillary thyroid carcinoma and clinicopathological indicators and prognosis
- CSF2 polarized neutrophils and invaded renal cancer cells in vitro influence
- Proton pump inhibitors-induced thrombocytopenia: A systematic literature analysis of case reports
- The current status and influence factors of research ability among community nurses: A sequential qualitative–quantitative study
- OKAIN: A comprehensive oncology knowledge base for the interpretation of clinically actionable alterations
- The relationship between serum CA50, CA242, and SAA levels and clinical pathological characteristics and prognosis in patients with pancreatic cancer
- Identification and external validation of a prognostic signature based on hypoxia–glycolysis-related genes for kidney renal clear cell carcinoma
- Engineered RBC-derived nanovesicles functionalized with tumor-targeting ligands: A comparative study on breast cancer targeting efficiency and biocompatibility
- Relationship of resting echocardiography combined with serum micronutrients to the severity of low-gradient severe aortic stenosis
- Effect of vibration on pain during subcutaneous heparin injection: A randomized, single-blind, placebo-controlled trial
- The diagnostic performance of machine learning-based FFRCT for coronary artery disease: A meta-analysis
- Comparing biofeedback device vs diaphragmatic breathing for bloating relief: A randomized controlled trial
- Serum uric acid to albumin ratio and C-reactive protein as predictive biomarkers for chronic total occlusion and coronary collateral circulation quality
- Multiple organ scoring systems for predicting in-hospital mortality of sepsis patients in the intensive care unit
- Single-cell RNA sequencing data analysis of the inner ear in gentamicin-treated mice via intraperitoneal injection
- Suppression of cathepsin B attenuates myocardial injury via limiting cardiomyocyte apoptosis
- Influence of sevoflurane combined with propofol anesthesia on the anesthesia effect and adverse reactions in children with acute appendicitis
- Identification of hub genes related to acute kidney injury caused by sevoflurane anesthesia and endoplasmic reticulum stress
- Efficacy and safety of PD-1/PD-L1 inhibitors in pancreatic ductal adenocarcinoma: a systematic review and Meta-analysis of randomized controlled trials
- The value of diagnostic experience in O-RADS MRI score for ovarian-adnexal lesions
- Health education pathway for individuals with temporary enterostomies using patient journey mapping
- Serum TLR8 as a potential diagnostic biomarker of coronary heart disease
- Intraoperative temperature management and its effect on surgical outcomes in elderly patients undergoing lichtenstein unilateral inguinal hernia repair
- Immunohistochemical profiling and neuroepithelial heterogeneity in immature ovarian teratomas: a retrospective digital pathology-based study
- Associated risk factors and prevalence of human papillomavirus infection among females visiting tertiary care hospital: a cross-sectional study from Nepal
- Comparative evaluation of various disc elution methods for the detection of colistin-resistant gram-negative bacteria
- Effect of timing of cholecystectomy on weight loss after sleeve gastrectomy in morbidly obese individuals with cholelithiasis: a retrospective cohort study
- Causal association between ceramide levels and central precocious puberty: a mendelian randomization study
- Novel predictive model for colorectal liver metastases recurrence: a radiomics and clinical data approach
- Relationship between resident physicians’ perceived professional value and exposure to violence
- Multiple sclerosis and type 1 diabetes: a Mendelian randomization study of European ancestry
- Rapid pathogen identification in peritoneal dialysis effluent by MALDI-TOF MS following blood culture enrichment
- Comparison of open and percutaneous A1 pulley release in pediatric trigger thumb: a retrospective cohort study
- Impact of combined diaphragm-lung ultrasound assessment on postoperative respiratory function in patients under general anesthesia recovery
- Development and internal validation of a nomogram for predicting short-term prognosis in ICU patients with acute pyelonephritis
- The association between hypoxic burden and blood pressure in patients with obstructive sleep apnea
- Promotion of asthenozoospermia by C9orf72 through suppression of spermatogonia activity via fructose metabolism and mitophagy
- Review Articles
- The effects of enhanced external counter-pulsation on post-acute sequelae of COVID-19: A narrative review
- Diabetes-related cognitive impairment: Mechanisms, symptoms, and treatments
- Microscopic changes and gross morphology of placenta in women affected by gestational diabetes mellitus in dietary treatment: A systematic review
- Review of mechanisms and frontier applications in IL-17A-induced hypertension
- Research progress on the correlation between islet amyloid peptides and type 2 diabetes mellitus
- The safety and efficacy of BCG combined with mitomycin C compared with BCG monotherapy in patients with non-muscle-invasive bladder cancer: A systematic review and meta-analysis
- The application of augmented reality in robotic general surgery: A mini-review
- The effect of Greek mountain tea extract and wheat germ extract on peripheral blood flow and eicosanoid metabolism in mammals
- Neurogasobiology of migraine: Carbon monoxide, hydrogen sulfide, and nitric oxide as emerging pathophysiological trinacrium relevant to nociception regulation
- Plant polyphenols, terpenes, and terpenoids in oral health
- Laboratory medicine between technological innovation, rights safeguarding, and patient safety: A bioethical perspective
- End-of-life in cancer patients: Medicolegal implications and ethical challenges in Europe
- The maternal factors during pregnancy for intrauterine growth retardation: An umbrella review
- Intra-abdominal hypertension/abdominal compartment syndrome of pediatric patients in critical care settings
- PI3K/Akt pathway and neuroinflammation in sepsis-associated encephalopathy
- Screening of Group B Streptococcus in pregnancy: A systematic review for the laboratory detection
- Giant borderline ovarian tumours – review of the literature
- Leveraging artificial intelligence for collaborative care planning: Innovations and impacts in shared decision-making – A systematic review
- Cholera epidemiology analysis through the experience of the 1973 Naples epidemic
- Risk factors of frailty/sarcopenia in community older adults: Meta-analysis
- Supplement strategies for infertility in overweight women: Evidence and legal insights
- Scurvy, a not obsolete disorder: Clinical report in eight young children and literature review
- A meta-analysis of the effects of DBS on cognitive function in patients with advanced PD
- Protective role of selenium in sepsis: Mechanisms and potential therapeutic strategies
- Strategies for hyperkalemia management in dialysis patients: A systematic review
- C-reactive protein-to-albumin ratio in peripheral artery disease
- Research progress on autophagy and its roles in sepsis induced organ injury
- Neuronutrition in autism spectrum disorders
- Pumilio 2 in neural development, function, and specific neurological disorders
- Antibiotic prescribing patterns in general dental practice- a scoping review
- Clinical and medico-legal reflections on non-invasive prenatal testing
- Smartphone use and back pain: a narrative review of postural pathologies
- Targeting endothelial oxidative stress in hypertension
- Exploring links between acne and metabolic syndrome: a narrative review
- Case Reports
- Delayed graft function after renal transplantation
- Semaglutide treatment for type 2 diabetes in a patient with chronic myeloid leukemia: A case report and review of the literature
- Diverse electrophysiological demyelinating features in a late-onset glycogen storage disease type IIIa case
- Giant right atrial hemangioma presenting with ascites: A case report
- Laser excision of a large granular cell tumor of the vocal cord with subglottic extension: A case report
- EsoFLIP-assisted dilation for dysphagia in systemic sclerosis: Highlighting the role of multimodal esophageal evaluation
- Molecular hydrogen-rhodiola as an adjuvant therapy for ischemic stroke in internal carotid artery occlusion: A case report
- Coronary artery anomalies: A case of the “malignant” left coronary artery and its surgical management
- Combined VAT and retroperitoneoscopy for pleural empyema due to nephro-pleuric fistula in xanthogranulomatous pyelonephritis
- A rare case of Opalski syndrome with a suspected multiple sclerosis etiology
- Newly diagnosed B-cell acute lymphoblastic leukemia demonstrating localized bone marrow infiltration exclusively in the lower extremities
- Rapid Communication
- Biological properties of valve materials using RGD and EC
-
A single oral administration of flavanols enhances short
-term memory in mice along with increased brain-derived neurotrophic factor - Repeat influenza incidence across two consecutive influenza seasons
- Letter to the Editor
- Role of enhanced external counterpulsation in long COVID
- Expression of Concern
- Expression of concern “A ceRNA network mediated by LINC00475 in papillary thyroid carcinoma”
- Expression of concern “Notoginsenoside R1 alleviates spinal cord injury through the miR-301a/KLF7 axis to activate Wnt/β-catenin pathway”
- Expression of concern “circ_0020123 promotes cell proliferation and migration in lung adenocarcinoma via PDZD8”
- Corrigendum
- Corrigendum to “Empagliflozin improves aortic injury in obese mice by regulating fatty acid metabolism”
- Corrigendum to “Comparing the therapeutic efficacy of endoscopic minimally invasive surgery and traditional surgery for early-stage breast cancer: A meta-analysis”
- Corrigendum to “The progress of autoimmune hepatitis research and future challenges”
- Retraction
- Retraction of “miR-654-5p promotes gastric cancer progression via the GPRIN1/NF-κB pathway”
- Retraction of: “LncRNA CASC15 inhibition relieves renal fibrosis in diabetic nephropathy through downregulating SP-A by sponging to miR-424”
- Retraction of: “SCARA5 inhibits oral squamous cell carcinoma via inactivating the STAT3 and PI3K/AKT signaling pathways”
- Special Issue Advancements in oncology: bridging clinical and experimental research - Part II
- Unveiling novel biomarkers for platinum chemoresistance in ovarian cancer
- Lathyrol affects the expression of AR and PSA and inhibits the malignant behavior of RCC cells
- The era of increasing cancer survivorship: Trends in fertility preservation, medico-legal implications, and ethical challenges
- Bone scintigraphy and positron emission tomography in the early diagnosis of MRONJ
- Meta-analysis of clinical efficacy and safety of immunotherapy combined with chemotherapy in non-small cell lung cancer
- Special Issue Computational Intelligence Methodologies Meets Recurrent Cancers - Part IV
- Exploration of mRNA-modifying METTL3 oncogene as momentous prognostic biomarker responsible for colorectal cancer development
- Special Issue The evolving saga of RNAs from bench to bedside - Part III
- Interaction and verification of ferroptosis-related RNAs Rela and Stat3 in promoting sepsis-associated acute kidney injury
- The mRNA MOXD1: Link to oxidative stress and prognostic significance in gastric cancer
- Special Issue Exploring the biological mechanism of human diseases based on MultiOmics Technology - Part II
- Dynamic changes in lactate-related genes in microglia and their role in immune cell interactions after ischemic stroke
- A prognostic model correlated with fatty acid metabolism in Ewing’s sarcoma based on bioinformatics analysis
- Red cell distribution width predicts early kidney injury: A NHANES cross-sectional study
- Special Issue Diabetes mellitus: pathophysiology, complications & treatment
- Nutritional risk assessment and nutritional support in children with congenital diabetes during surgery
- Correlation of the differential expressions of RANK, RANKL, and OPG with obesity in the elderly population in Xinjiang
- A discussion on the application of fluorescence micro-optical sectioning tomography in the research of cognitive dysfunction in diabetes
- A review of brain research on T2DM-related cognitive dysfunction
- Metformin and estrogen modulation in LABC with T2DM: A 36-month randomized trial
- Special Issue Innovative Biomarker Discovery and Precision Medicine in Cancer Diagnostics
- CircASH1L-mediated tumor progression in triple-negative breast cancer: PI3K/AKT pathway mechanisms