Abstract
Objective
This study investigates the effects of subclinical doses of esketamine on serum NLRP3 levels and early cognitive dysfunction in elderly ischemic stroke patients after neurointerventional procedures under general anesthesia.
Methods
A prospective cohort study included 120 elderly ischemic stroke patients undergoing general anesthesia from January 2022 to September 2023. The esketamine group received 0.25 mg/kg of esketamine. Serum levels of NLRP3, C-reactive protein, interleukin-6 (IL-6), IL-1β, and IL-17 were measured before surgery and 24 h postoperatively. Cognitive dysfunction was assessed using the Mini-Mental State Examination (MMSE).
Results
At 24 h postoperatively, the esketamine group had significantly higher MMSE scores (p < 0.05) and lower serum levels of NLRP3, IL-17, and IL-6. Pearson’s correlation showed a link between NLRP3 levels and cognitive outcomes. Logistic regression identified heart rate, mean arterial pressure, preoperative NLRP3, IL-6, IL-17, and esketamine treatment as risk factors for cognitive dysfunction.
Conclusion
Subclinical doses of esketamine might reduce postoperative cognitive dysfunction risk and offer neuroprotection, presenting potential therapeutic options for elderly ischemic stroke patients.
1 Introduction
Stroke remains a leading cause of long-term disability, affecting approximately 13.7 million individuals globally and contributing to 5.5 million deaths annually [1,2,3,4]. Clinically, stroke is categorized as either ischemic or hemorrhagic, with ischemic stroke accounting for nearly 85% of all cases [5]. In recent years, neurointerventional therapies performed under general anesthesia – particularly mechanical thrombectomy – have emerged as cornerstone treatments for ischemic stroke. Mechanical thrombectomy, in particular, is considered a key method for treating ischemic stroke [6]. Despite their benefits, these procedures are frequently associated with postoperative cognitive dysfunction (POCD), which significantly impairs patients’ quality of life and functional recovery, which can have a substantial impact on the quality of life and functional outcomes of the patients [7].
Esketamine, a stereoisomer of ketamine, is a dissociative anesthetic agent that is widely used for analgesia and anesthesia [8]. Emerging evidence suggests that esketamine may possess neuroprotective properties, partly by modulating inflammation-related pathways such as STING/TBK1 and HDAC3/NF-κB/COX1 [9]. There are also reports showing that esketamine improves post-stroke anxiety by modulating the ischemic cortical microglial HDAC3/NF-κB/COX1 inflammatory signaling pathway [10]. Moreover, esketamine appears to regulate microglial activation and inflammatory responses, thus contributing to reduced neuroinflammation. In addition to neuroprotective effects, esketamine has been shown to exert anti-inflammatory, which may be mediated through its modulation of microglial activity and inflammatory signaling pathways [11]. Han et al. found the anti-inflammatory effects of esketamine in orthopedic surgery and protection against postoperative cognitive function and pain control [12].
NLRP3 is a recently discovered key mediator of neuroinflammation closely associated with inflammatory response [13]. Increasing evidence suggested that NLRP3 played a significant physiological and pathological role in the development of ischemic stroke [14]. Activation of autophagy can inhibit the activation of NLRP3 inflammasomes and alleviate sevoflurane-induced cognitive dysfunction in elderly rats [15]. This indicates that NLRP3 plays an important role in post-anesthesia cognitive function. However, currently, there is a relative lack of research on the expression of NLRP3 in patients and clinical studies.
Therefore, the purpose of this study was to investigate the effects of subclinical doses of esketamine on serum NLRP3 levels in elderly patients with ischemic stroke after general anesthesia neurointerventional procedures. Additionally, the study aimed to explore the correlation between NLRP3 levels and early cognitive dysfunction in this patient population and to explore risk factors for POCD in patients. Understanding the impact of esketamine on NLRP3 and its association with cognitive dysfunction could provide valuable insights into potential therapeutic strategies to prevent or mitigate POCD in elderly stroke patients.
2 Methods
2.1 Study population
This prospective observational cohort study included 120 elderly patients with ischemic stroke who underwent general anesthesia for neurointerventional procedures at our hospital from January 2022 to September 2023. The inclusion criteria were as follows: (1) diagnosis with ischemic stroke based on the “2018 Chinese Guidelines for the Diagnosis and Treatment of Acute Ischemic Stroke” [16] using computed tomography or magnetic resonance imaging; (2) aged ≥60 years, first occurrence of stroke, and admission within 12 h of symptom onset; (3) American Society of Anesthesiologists physical status classification ≤3. The exclusion criteria were as follows: (1) patients who did not require surgical treatment; (2) patients with hemorrhagic stroke; (3) patients unable to undergo scale assessments within 24 h after surgery; (4) patients with severe infection, severe liver or kidney dysfunction, or malignant tumors; (5) patients with epilepsy, Parkinson’s disease, or other neurological or psychiatric disorders; (6) patients who received anticoagulant therapy within 3 months before the study; and (7) patients with an education level of <6 years. All patients maintained spontaneous breathing during the general anesthesia. The anesthesia protocol for the control group included the use of dexmedetomidine (20 µg) and glycopyrrolate (0.2 mg) for induction, maintenance of spontaneous breathing, oxygen flow rate of 2 L/min, placement of a nasopharyngeal airway, monitoring of end-tidal carbon dioxide partial pressure, and maintenance anesthesia with propofol (0.5–1 mg/kg). In the esketamine group, patients received an additional subclinical dose of esketamine (0.25 mg/kg) in addition to the standard anesthesia protocol. Furthermore, all patients received treatments including antiplatelet aggregation, circulation improvement, neuroprotection, free radical scavenging, and statin therapy according to the “2018 Chinese Guidelines for the Diagnosis and Treatment of Acute Ischemic Stroke.” Written informed consent was obtained from all patients. This study was approved by our hospital’s ethics committee.
2.2 Enzyme-linked immunosorbent assay
The levels of NLRP3, C-reactive protein (CRP), interleukin-6 (IL-6), IL-1β, and IL-17 in serum were measured using ELISA. In brief, fasting venous blood samples (5 mL) were collected from all patients. The collected blood samples were centrifuged at 2,000g for 15 min. After centrifugation, commercially available ELISA kits (NLRP3 MBS9137465 MyBioSource, CRP MBS177184 MyBioSource, IL-6 MBS175877 MyBioSource, IL-1β MBS2021180 MyBioSource, IL-17 MBS2019491 MyBioSource) were used to measure the levels of NLRP3, CRP, IL-6, IL-1β, and IL-17 in strict accordance with the manufacturer’s instructions. The levels of these serum biomarkers were measured before surgery and 24 h after surgery.
2.3 Outcome measures
Demographic baseline parameters of the two groups, including age, sex, body mass index (BMI), systolic blood pressure (SBP), diastolic blood pressure (DBP), fasting plasma glucose, and comorbidities (hypertension, diabetes, coronary heart disease), were collected. In addition, surgical duration, anesthesia duration, intraoperative blood loss, heart rate (HR), mean arterial pressure (MAP), and SPO2 at induction (T1), intubation (T2), and extubation (T3) were recorded during the surgery for both groups. Furthermore, cognitive dysfunction was evaluated 24 h after surgery using the Mini-Mental State Examination (MMSE) scale. MMSE scores <27 were defined as the presence of POCD [17].
2.4 Statistical analysis
Data analysis was performed using SPSS 25.0 software (IBM, Armonk, NY, USA). The normality of the data was confirmed using the Kolmogorov–Smirnov test. Normally distributed data are presented as mean ± standard deviation, while non-normally distributed data are presented as median (range). The Mann–Whitney test or Student’s t-test was used for comparisons between the two groups. The chi-square test was used for proportions. Pearson’s and Sparman’s correlation analysis was performed to assess the correlations between serum inflammatory factors and between NLRP3 and clinical characteristics in patients. Receiver operating characteristic (ROC) curve analysis was conducted to evaluate the diagnostic value of serum NLRP3 in predicting POCD. Furthermore, logistic regression analysis was performed to identify the risk factors for POCD in elderly patients with ischemic stroke after general anesthesia. A p-value < 0.05 was considered statistically significant.
3 Results
3.1 Baseline characteristics of all patients
In this prospective observational cohort study, during the study period, a total of 148 patients were initially screened for eligibility. Of these, 120 patients met the inclusion criteria and were enrolled in the study, while 28 patients were excluded based on the following exclusion criteria: patients who did not require surgical treatment (n = 7); patients with hemorrhagic stroke (n = 3); patients unable to undergo scale assessments within 24 h after surgery (n = 8); patients with severe infection, severe liver or kidney dysfunction, or malignant tumors (n = 3); patients with epilepsy, Parkinson’s disease, or other neurological or psychiatric disorders (n = 4); patients who received anticoagulant therapy within 3 months prior to the study (n = 1); and patients with an education level of <6 years (n = 2).
We included two groups of 120 patients, with 63 patients in the control group and 57 patients in the esketamine group. No significant adverse effects were observed in the esketamine group during or after the procedure. After comparing the demographic data, we found no significant differences between the two groups in terms of age, sex, BMI, and comorbidities. In terms of intraoperative clinical data, the HR and MAP of patients in the esketamine group were significantly lower at T3 compared to the control group (p < 0.05). No differences were observed between the two groups in terms of surgical duration, anesthesia duration, HR, MAP, and SPO2 at other time points. Furthermore, we found that the MMSE score at 24 h postoperatively was significantly higher in the esketamine group compared to the control group (Table 1, p < 0.05).
Basic characteristics of all patients
| Variable | Esketamine group, n = 63 | Control group, n = 57 | p |
|---|---|---|---|
| Age, years | 67 (60–77) | 66 (67–77) | 0.790 |
| Sex, female (%) | 27 (42.9) | 30 (52.6) | 0.170 |
| BMI | 22.15 ± 2.11 | 22.26 ± 2.36 | 0.788 |
| SBP (mmHg) | 122.25 ± 15.93 | 126.42 ± 18.40 | 0.186 |
| DBP (mmHg) | 90 (62–107) | 90 (63–106) | 0.737 |
| Hypertension, n (%) | 41 (65.1) | 35 (61.4) | 0.587 |
| Diabetes, n (%) | 15 (23.8) | 11 (19.3) | 0.439 |
| Coronary heart disease, n (%) | 6 (9.5) | 4 (7.0) | 0.521 |
| Intraoperative blood loss (mL) | 62.27 ± 12.62 | 61.48 ± 11.12 | 0.716 |
| Anesthesia time (min) | 120 (85–142) | 119 (86–143) | 0.642 |
| Operative time (min) | 84.79 ± 9.76 | 87.54 ± 10.14 | 0.132 |
| MMSE 24 h after surgery | 28 (17–30) | 27 (17–30) | 0.026 |
| T1 | |||
| HR/min | 84.96 ± 4.38 | 85.31 ± 4.30 | 0.661 |
| MAP (mm Hg) | 93.47 ± 7.76 | 92.64 ± 7.16 | 0.544 |
| SPO2 (%) | 97.81 ± 0.60 | 97.81 ± 0.53 | 0.961 |
| T2 | |||
| HR/min | 67.28 ± 3.87 | 67.81 ± 4.40 | 0.479 |
| MAP (mm Hg) | 80.33 ± 5.86 | 78.31 ± 6.57 | 0.077 |
| SPO2 (%) | 98.27 ± 0.55 | 98.32 ± 0.57 | 0.663 |
| T3 | |||
| HR/min | 74.85 ± 3.98 | 77.97 ± 5.38 | 0.032 |
| MAP (mm Hg) | 82.84 ± 6.18 | 87.11 ± 5.91 | <0.001 |
| SPO2 (%) | 97.98 ± 0.61 | 97.95 ± 0.56 | 0.762 |
3.2 Differential expression of serum biomarkers in elderly patients with ischemic stroke after surgery
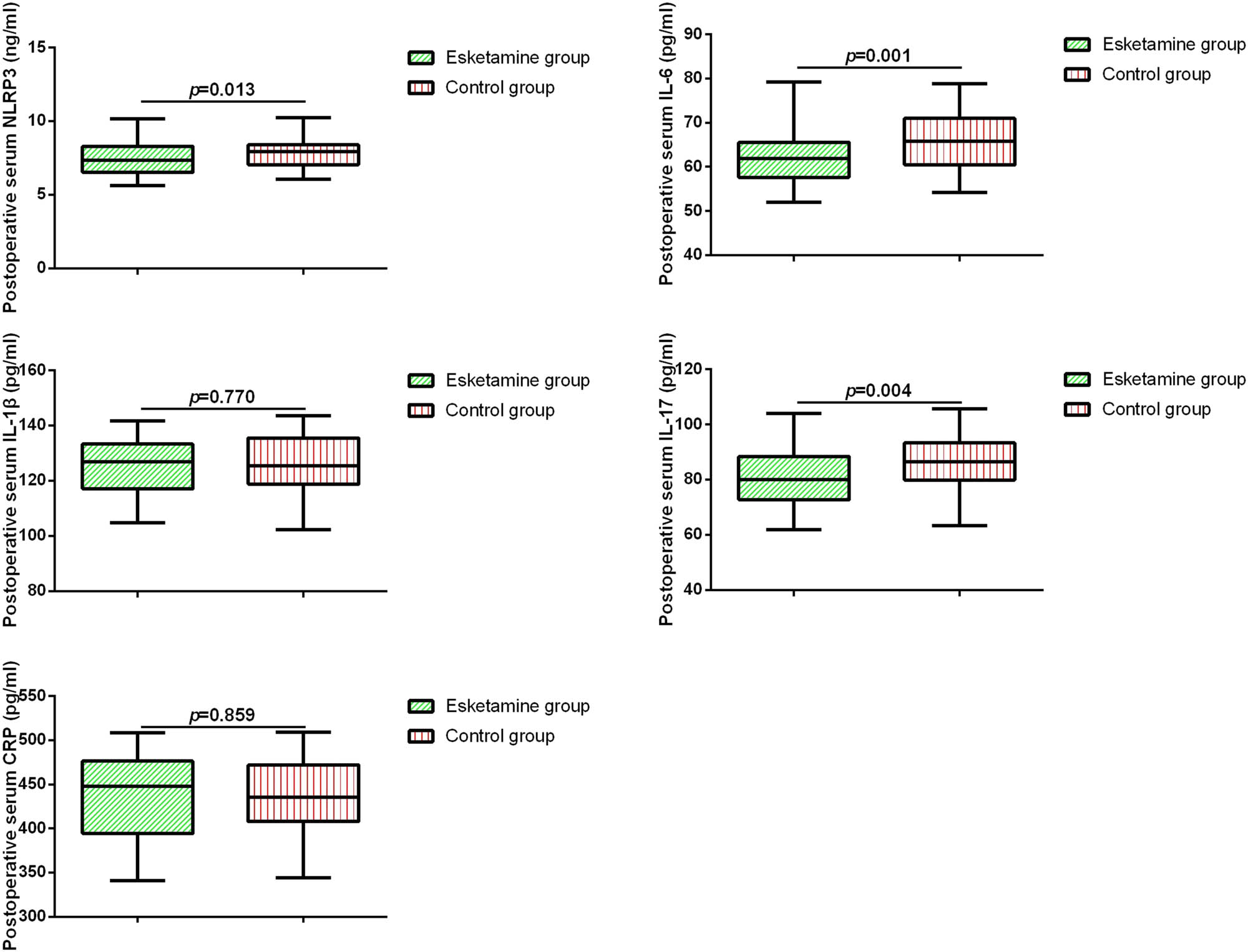
Next, we compared the expression levels of serum NLRP3, IL-6, IL-1β, IL-17, and CRP in the two groups of patients before surgery and 24 h postoperatively. As shown in Figures 1 and 2, there were no significant differences in the levels of serum cytokines between the two groups before surgery. However, after 24 h of surgery, patients in the esketamine group exhibited significantly lower levels of serum NLRP3, IL-17, and IL-6 compared to the control group. Pearson’s correlation analysis revealed a positive correlation between serum NLRP3 levels and IL-17 levels as well as IL-6 levels (Table 2).

Preoperative serum biomarkers in elderly patients with ischemic stroke.

Serum biomarkers in elderly patients with ischemic stroke 24 h after surgery.
Correlation analysis among cytokines at 24 h postoperatively
| CRP | IL-6 | IL-1β | IL-17 | NLRP3 | |
|---|---|---|---|---|---|
| CRP | |||||
| Pearson’s correlation | 1 | −0.052 | −0.092 | 0.003 | −0.006 |
| p | 0.576 | 0.305 | 0.970 | 0.949 | |
| IL-6 | |||||
| Pearson’s correlation | −0.052 | 1 | −0.033 | 0.070 | 0.273 |
| p | 0.576 | 0.722 | 0.445 | 0.003 | |
| IL-1β | |||||
| Pearson’s correlation | −0.092 | −0.033 | 1 | 0.102 | 0.023 |
| p | 0.305 | 0.722 | 0.268 | 0.804 | |
| IL-17 | |||||
| Pearson’s correlation | 0.003 | 0.070 | 0.102 | 1 | 0.145 |
| p | 0.970 | 0.445 | 0.268 | 0.115 | |
| NLRP3 | |||||
| Pearson’s correlation | −0.006 | 0.273 | 0.023 | 0.145 | 1 |
| p | 0.949 | 0.003 | 0.804 | 0.115 |
3.3 Correlation between NLRP3 levels and clinical characteristics of patients
We further analyzed the relationship between serum NLRP3 levels at 24 h postoperatively and the clinical characteristics of elderly patients with ischemic stroke. Spearman’s analysis showed a positive correlation between serum NLRP3 levels and MAP at the T3 time point, with Spearman’s coefficients of 0.309 (p < 0.05). In addition, we observed a negative correlation between serum NLRP3 levels and MMSE scores, with Spearman’s coefficients of −0.432 (Table 3, p < 0.05). This indicates that there is an association between serum NLRP3 levels and the clinical characteristics and postoperative cognitive status of patients.
Correlation between serum NLRP3 levels and the clinical data of all patients
| Variable | NLRP3 | |
|---|---|---|
| Spearman’s correlation | p | |
| Intraoperative blood loss | −0.034 | 0.709 |
| Anesthesia time | −0.055 | 0.547 |
| Operative time | −0.011 | 0.906 |
| T1HR | 0.072 | 0.437 |
| T2HR | −0.066 | 0.476 |
| T3HR | −0.055 | 0.553 |
| T1MAP | −0.040 | 0.668 |
| T2MAP | −0.066 | 0.474 |
| T3MAP | 0.309 | 0.001 |
| T1SPO2 | −0.026 | 0.774 |
| T2SPO2 | 0.035 | 0.708 |
| T3SPO2 | −0.107 | 0.231 |
| MMSE | −0.432 | <0.001 |
3.4 Diagnostic value of NLRP3 for POCD in elderly patients with ischemic stroke
Based on the postoperative 24 h MMSE scores, we divided elderly patients with ischemic stroke into a cognitive dysfunction group (MMSE < 27, n = 37) and a non-cognitive dysfunction group (MMSE > 27, n = 83). ROC curve analysis was performed to determine the diagnostic value of serum NLRP3 levels for POCD in patients. The results showed that serum NLRP3 levels had a certain diagnostic value for POCD in elderly patients with ischemic stroke, with an AUC of 0.805, a cutoff value of 7.92 ng/mL, sensitivity of 73.0%, and specificity of 74.7% (Figure 3).

ROC curve of NLRP3 for POCD in elderly patients with ischemic stroke after surgery.
3.5 Logistic regression analysis of risk factors for POCD in elderly patients with ischemic stroke
Finally, we conducted a logistic regression analysis to identify the risk factors for POCD in all elderly patients with ischemic stroke. The results revealed that HR at T3, MAP at T3, preoperative NLRP3, IL-6, IL-17 levels, and esketamine treatment were all risk factors for cognitive dysfunction in elderly patients undergoing general anesthesia for ischemic stroke (Table 4).
Logistic regression of risk factors for POCD
| Variables | Wald | Odds ratio | 95% CI | p |
|---|---|---|---|---|
| Operative time | 2.278 | 0.953 | 0.895–1.015 | 0.131 |
| Anesthesia time | 1.175 | 1.021 | 0.984–1.059 | 0.278 |
| Intraoperative blood loss | 0.002 | 1.001 | 0.952–1.053 | 0.963 |
| T1HR | 1.1.03 | 1.082 | 0.928–1.263 | 0.314 |
| T2HR | 0.545 | 0.941 | 0.800–1.106 | 0.460 |
| T3HR | 12.968 | 1.354 | 1.148–1.597 | <0.001 |
| T1MAP | 0.573 | 0.967 | 0.885–1.055 | 0.449 |
| T2MAP | 0.001 | 1.001 | 0.902–1.111 | 0.984 |
| T3MAP | 20.906 | 1.430 | 1.227–1.667 | <0.001 |
| T1SPO2 | 0.004 | 0.963 | 0.310–2.990 | 0.948 |
| T2SPO2 | 1.035 | 0.560 | 0.183–1.712 | 0.309 |
| T3SPO2 | 3.106 | 2.554 | 0.900–7.245 | 0.078 |
| Preoperative NLRP3 | 16.901 | 0.249 | 0.128–0.483 | <0.001 |
| Preoperative IL-6 | 14.288 | 0.792 | 0.702–0.894 | <0.001 |
| Preoperative IL-1β | 1.608 | 0.971 | 0.919–1.027 | 0.302 |
| Preoperative IL-17 | 9.827 | 0.907 | 0.853–0.964 | 0.002 |
| Preoperative CRP | 0.143 | 1.003 | 0.990–1.016 | 0.705 |
| Esketamine treatment | 8.268 | 0.301 | 0.133–0.682 | 0.004 |
4 Discussion
POCD is a common complication among elderly patients undergoing surgery, often presenting as impairments in memory, attention, and executive function. Additionally, this pathological condition not only leads to a decrease in quality of life but also signifies disease progression [18]. Early detection and intervention are therefore critical for improving neurological and functional outcomes in this population. In this study, we found a significant increase in serum NLRP3 levels at 24 h postoperatively in elderly patients with ischemic stroke who developed POCD. Furthermore, NLRP3 and esketamine were identified as risk factors for cognitive dysfunction in elderly patients undergoing general anesthesia.
Previous studies have extensively reported the use of esketamine alone or in combination with other agents during anesthesia induction, demonstrating improved patient compliance and effective sedation outcomes [19,20]. In recent years, subclinical doses of esketamine have attracted increasing attention due to their potential neuroprotective properties. These doses are defined as being lower than those used for general anesthesia but still capable of exerting therapeutic effects. For example, Li et al. administered 0.2 mg/kg of esketamine during anesthesia induction in elderly patients undergoing unilateral total knee arthroplasty under general anesthesia. The results showed that subclinical doses of esketamine better maintained hemodynamic stability and had no adverse effects on early postoperative recovery quality [21]. Similarly, Zhang et al. found that subanesthetic doses of esketamine relieved pain in the postanesthesia care unit after laparoscopic cholecystectomy, although it may delay aesthetic recovery [22]. Consistent with these findings, no significant adverse events were observed in our esketamine group. This suggested that subclinical doses of esketamine could be safely administered to elderly ischemic stroke patients undergoing neurointerventional procedures. Additionally, Ma et al. used 0.25 mg/kg of esketamine during anesthesia induction in elderly patients undergoing general anesthesia for gastrointestinal tumor surgery, which is consistent with the dose used in our study. In their study, they found that low-dose esketamine reduced the occurrence of delayed neurocognitive recovery in elderly patients undergoing gastrointestinal tumor surgery under general anesthesia [23]. Our study supported this conclusion, suggesting that the use of subclinical doses of esketamine in elderly patients with ischemic stroke might provide neuroprotection and potentially mitigate POCD.
Inflammation following ischemic stroke is considered to be an unavoidable pathological process in post-ischemic brain injury [24,25]. The dynamic release of various pro- and anti-inflammatory cytokines in the brain after stroke may influence the progression of cerebral infarction and contribute to specific cognitive symptoms, including memory impairment, attention deficits, and executive dysfunction. These inflammatory factors are therefore regarded as important biomarkers of stroke pathogenesis and prognosis [26]. Morrison et al. demonstrated that elevated IL-17A levels were associated with poorer executive function and attention in middle-aged individuals, suggesting a direct link between IL-17A and specific cognitive domains [27]. Similarly, Baier et al. found that IL-6 knockout mice exhibited impaired memory in both hippocampus-dependent and independent tasks, indicating that IL-6 plays a critical role in memory processes [28]. Furthermore, Danielski et al. showed that inhibiting the NLRP3 inflammasome reduced neuroinflammation, oxidative stress, and cognitive impairment in a sepsis model, highlighting the importance of NLRP3 in mediating inflammation-related cognitive dysfunction [29]. These studies collectively suggested that specific inflammatory factors were closely associated with distinct cognitive symptoms, underscoring the potential of targeting these pathways to mitigate POCD.
Recent research has indicated that neuroinflammation may be a common precursor to cognitive decline, and inflammatory-related factors, microglial activation, and the interaction between the peripheral immune system and the central nervous system are all involved in cognitive impairment. Therefore, limiting acute neuroinflammation might improve cognitive function and significantly enhance patient prognosis [30]. The NLRP3 inflammasome plays a central role in regulating inflammatory response. Activation of NLRP3-related signaling pathways has been implicated in various neurological disorders, including cognitive dysfunction [31,32]. Elevated NLRP3 levels have been associated with increased inflammation and neuronal damage [33]. Inhibiting NLRP3 signaling has been shown to improve POCD and neuroinflammatory responses in elderly mice [34]. Hence, studying the relationship between NLRP3 and early cognitive dysfunction in elderly patients with ischemic stroke after neurointerventional procedures is of great importance. In this study, we found that serum NLRP3 levels were associated with clinical characteristics and postoperative cognitive outcomes in patients. Furthermore, NLRP3 was identified as an independent risk factor for cognitive dysfunction in elderly patients undergoing general anesthesia. While our findings support the short-term benefits of esketamine, further studies are needed to determine whether its effects on NLRP3 levels and cognitive function are sustained over time. These insights may help establish esketamine as a long-term therapeutic strategy and contribute to the development of targeted interventions for POCD. NLRP3 is not only a key regulator of inflammation but also a critical mediator of pyroptosis, a form of programmed cell death characterized by the activation of caspase-1, cleavage of gasdermin D (GSDMD), and release of pro-inflammatory cytokines such as IL-1β and IL-18. Pyroptosis has been increasingly recognized as a significant contributor to neuroinflammation and cognitive decline, particularly in the context of POCD [35,36]. Recent studies have explored the potential of esketamine, the S-enantiomer of ketamine, in modulating pyroptosis and its associated pathways. Li et al. found that esketamine exerted neuroprotective effects in aged rats with POCD by inhibiting the STING/TBK1 pathway and downregulating pyroptosis-associated proteins such as cleaved caspase-1 and IL-18 [9]. Similarly, Zhou et al. showed that low-dose esketamine downregulated key pyroptosis markers, including NLRP3, cleaved caspase-1, IL-1β, and GSDMD-N, in hippocampal tissues and microglial cells [37]. Despite these promising findings, evidence regarding the role of esketamine in regulating pyroptosis in ischemic stroke and POCD remains limited. Therefore, further studies are needed to explore these mechanisms in elderly patients undergoing neurointerventional procedures, with the aim of identifying new therapeutic targets to mitigate cognitive decline and improve patient outcomes.
Certain limitations to our study should be acknowledged. First, the sample size was relatively small. Second, our analysis only assessed a limited number of serum biomarkers. Additionally, our study did not explore the specific mechanisms by which esketamine might influence NLRP3 levels, such as through NMDA receptor antagonism or modulation of microglial activity. Future mechanistic studies are needed to elucidate these pathways. Finally, while no significant adverse effects were observed in the esketamine group, our study was not specifically designed to evaluate rare or long-term adverse effects of esketamine. Future studies with larger sample sizes and longer follow-up periods are needed to further assess the safety profile of esketamine in this patient population.
5 Conclusion
In conclusion, our study found that the use of subclinical doses of esketamine might provide neuroprotection and potentially reduced the risk of POCD. Furthermore, NLRP3 and the use of esketamine were identified as relevant factors for the development of cognitive dysfunction in elderly patients with ischemic stroke undergoing neurointerventional surgery. This study might provide new therapeutic targets and comprehensive treatment strategies for POCD.
-
Funding information: Fujian Provincial Natural Science Foundation for Outstanding Youth (Joint Project), No. 2024J08295. Exploring the effects of different anesthesia methods on postoperative cognitive function in patients undergoing neurointerventional surgery No. 3502Z20224ZD1051.
-
Author contributions: Conception and design of study: Jianping Zhang; Acquisition of data: Lang Wang, Baoxin Ma; Analysis and interpretation of data: Lang Wang, Baoxin Ma; Drafting the manuscript: Lang Wang; Revising the manuscript critically for important intellectual content: Jianping Zhang. All authors reviewed the manuscript.
-
Conflict of interest: The authors declare that they have no conflict of interest.
-
Data availability statement: The data underlying this article will be shared on reasonable request to the corresponding author.
References
[1] Hou ST, MacManus JP. Molecular mechanisms of cerebral ischemia-induced neuronal death. Int Rev Cytol. 2002;221:93–148.10.1016/S0074-7696(02)21011-6Search in Google Scholar
[2] Sacco RL, Kasner SE, Broderick JP, Caplan LR, Connors JJ, Culebras A, et al. An updated definition of stroke for the 21st century: A statement for healthcare professionals from the American Heart Association/American Stroke Association. Stroke. 2013;44(7):2064–89.10.1161/STR.0b013e318296aecaSearch in Google Scholar PubMed PubMed Central
[3] Johnson CO, Nguyen M, Roth GA, Nichols E, Alam T, Abate D, et al. Global, regional, and national burden of stroke, 1990–2016: A systematic analysis for the Global Burden of Disease Study 2016. Lancet Neurol. 2019;18(5):439–58.10.1016/S1474-4422(19)30034-1Search in Google Scholar PubMed PubMed Central
[4] Feigin VL, Brainin M, Norrving B, Martins S, Sacco RL, Hacke W, et al. World Stroke Organization (WSO): Global stroke fact sheet 2022. Int J Stroke. 2022;17(1):18–29.10.1177/17474930211065917Search in Google Scholar PubMed
[5] Li N, Wang X, Sun C, Wu X, Lu M, Si Y, et al. Change of intestinal microbiota in cerebral ischemic stroke patients. BMC Microbiol. 2019;19(1):1–8.10.1186/s12866-019-1552-1Search in Google Scholar PubMed PubMed Central
[6] Pu X, Gao L, Zhang J, Wei J, Li J, Sun J, et al. Efficacy of neurointerventional therapy in patients with ischemic stroke and risk factors affecting cognitive function recovery. Am J Transl Res. 2023;15(5):3442–50.Search in Google Scholar
[7] Riccietti C, Schiavolin S, Caldiera V, Ganci G, Sgoifo A, Camarda G, et al. Considering psychological and cognitive factors in interventional neuroradiology: A systematic literature review. AJNR Am J Neuroradiol. 2023;44(11):1282–90.10.3174/ajnr.A8007Search in Google Scholar PubMed PubMed Central
[8] Chen CC, Zhou N, Hu N, Feng JG, Wang XB. Acute effects of intravenous sub-anesthetic doses of ketamine and intranasal inhaled esketamine on suicidal ideation: A systematic review and meta-analysis. Neuropsychiatr Dis Treat. 2023;19:587–99.10.2147/NDT.S401032Search in Google Scholar PubMed PubMed Central
[9] Li Y, Wu ZY, Zheng WC, Wang JX, Yue X, Song RX, et al. Esketamine alleviates postoperative cognitive decline via stimulator of interferon genes/TANK-binding kinase 1 signaling pathway in aged rats. Brain Res Bull. 2022;187:169–80.10.1016/j.brainresbull.2022.07.004Search in Google Scholar PubMed
[10] Huang A, Chen Y, Wang S, Du H, Guan A, Wu H, et al. Esketamine ameliorates post-stroke anxiety by modulating microglial HDAC3/NF-κB/COX1 inflammatory signaling in ischemic cortex. Eur J Pharmacol. 2023;947:175667.Search in Google Scholar
[11] Huang A, Chen Y, Wang S, Du H, Guan A, Wu H, et al. Esketamine ameliorates post-stroke anxiety by modulating microglial HDAC3/NF-κB/COX1 inflammatory signaling in ischemic cortex. Eur J Pharmacol. 2023;947:175667. 10.1016/j.ejphar.2023.175667.Search in Google Scholar PubMed
[12] Han L, Tian B, Li S. Esketamine has promising anti-inflammatory effects in orthopedic surgery and plays a protective role in postoperative cognitive function and pain management. Am J Transl Res. 2025;17(1):277–85.10.62347/VTKD5295Search in Google Scholar PubMed PubMed Central
[13] Fusco R, Siracusa R, Genovese T, Cuzzocrea S, Di Paola R. Focus on the role of NLRP3 inflammasome in diseases. Int J Mol Sci. 2020;21(12):4223. 10.3390/ijms21124223.Search in Google Scholar PubMed PubMed Central
[14] Feng YS, Tan ZX, Wang MM, Xing Y, Dong F, Zhang F. Inhibition of NLRP3 inflammasome: A prospective target for the treatment of ischemic stroke. Front Cell Neurosci. 2020;14:155.10.3389/fncel.2020.00155Search in Google Scholar PubMed PubMed Central
[15] Zhou J, Zhang C, Fang X, Zhang N, Zhang X, Zhu Z. Activation of autophagy inhibits the activation of NLRP3 inflammasome and alleviates sevoflurane-induced cognitive dysfunction in elderly rats. BMC Neurosci. 2023;24(1):9.10.1186/s12868-023-00777-5Search in Google Scholar PubMed PubMed Central
[16] Zhong D, Bo WU. Interpretation of “Chinese guidelines for diagnosis and treatment of acute ischemic stroke 2018”. Chin J Contemp Neurol Neurosurg. 2019;19(11):897.Search in Google Scholar
[17] Chi YL, Li ZS, Lin CS, Wang Q, Zhou YK. Evaluation of the postoperative cognitive dysfunction in elderly patients with general anesthesia. Eur Rev Med Pharmacol Sci. 2017;21(6):1346–54.Search in Google Scholar
[18] Lin X, Chen Y, Zhang P, Chen G, Zhou Y, Yu X. The potential mechanism of postoperative cognitive dysfunction in older people. Exp Gerontol. 2020;130:110791.10.1016/j.exger.2019.110791Search in Google Scholar PubMed
[19] Lu X, Tang L, Lan H, Li C, Lin H. A comparison of intranasal dexmedetomidine, esketamine or a dexmedetomidine-esketamine combination for induction of anaesthesia in children: A randomized controlled double-blind trial. Front Pharmacol. 2021;12:808930.10.3389/fphar.2021.808930Search in Google Scholar PubMed PubMed Central
[20] Tu W, Yuan H, Zhang S, Lu F, Yin L, Chen C, et al. Influence of anesthetic induction of propofol combined with esketamine on perioperative stress and inflammatory responses and postoperative cognition of elderly surgical patients. Am J Transl Res. 2021;13(3):1701–9.Search in Google Scholar
[21] Li J, Wang Z, Wang A, Wang Z. Clinical effects of low-dose esketamine for anaesthesia induction in the elderly: A randomized controlled trial. J Clin Pharm Ther. 2022;47(6):759–66.10.1111/jcpt.13604Search in Google Scholar PubMed
[22] Zhang C, He J, Shi Q, Bao F, Xu J. Subanaesthetic dose of esketamine during induction delays anaesthesia recovery a randomized, double-blind clinical trial. BMC Anesthesiol. 2022;22(1):138.10.1186/s12871-022-01662-0Search in Google Scholar PubMed PubMed Central
[23] Ma J, Wang F, Wang J, Wang P, Dou X, Yao S, et al. The effect of low-dose esketamine on postoperative neurocognitive dysfunction in elderly patients undergoing general anesthesia for gastrointestinal tumors: A randomized controlled trial. Drug Des Dev Ther. 2023;17:1945–57.10.2147/DDDT.S406568Search in Google Scholar PubMed PubMed Central
[24] Xu S, Lu J, Shao A, Zhang JH, Zhang J. Glial cells: Role of the immune response in ischemic stroke. Front Immunol. 2020;11:294.10.3389/fimmu.2020.00294Search in Google Scholar PubMed PubMed Central
[25] Shaafi S, Sharifipour E, Rahmanifar R, Hejazi S, Andalib S, Nikanfar M, et al. Interleukin-6, a reliable prognostic factor for ischemic stroke. Iran J Neurol. 2014;13(2):70–6.Search in Google Scholar
[26] Donkel SJ, Benaddi B, Dippel DWJ, Ten Cate H, de Maat MPM. Prognostic hemostasis biomarkers in acute ischemic stroke. Arterioscler Thromb Vasc Biol. 2019;39(3):360–72.10.1161/ATVBAHA.118.312102Search in Google Scholar PubMed PubMed Central
[27] Morrison L, Dyer AH, Dolphin H, Batten I, Reddy C, Widdowson M, et al. Circulating interleukin-17A is associated with executive function in middle aged adults with and without type 2 diabetes. Brain Behav Immun Health. 2024;41:100862.10.1016/j.bbih.2024.100862Search in Google Scholar PubMed PubMed Central
[28] Baier PC, May U, Scheller J, Rose-John S, Schiffelholz T. Impaired hippocampus-dependent and -independent learning in IL-6 deficient mice. Behav Brain Res. 2009;200(1):192–6.10.1016/j.bbr.2009.01.013Search in Google Scholar PubMed
[29] Danielski LG, Giustina AD, Bonfante S, de Souza Goldim MP, Joaquim L, Metzker KL, et al. NLRP3 activation contributes to acute brain damage leading to memory impairment in sepsis-surviving rats. Mol Neurobiol. 2020;57(12):5247–62.10.1007/s12035-020-02089-9Search in Google Scholar PubMed
[30] Tan XX, Qiu LL, Sun J. Research progress on the role of inflammatory mechanisms in the development of postoperative cognitive dysfunction. Biomed Res Int. 2021;2021:3883204.10.1155/2021/3883204Search in Google Scholar PubMed PubMed Central
[31] Zhao S, Chen F, Wang D, Han W, Zhang Y, Yin Q. NLRP3 inflammasomes are involved in the progression of postoperative cognitive dysfunction: from mechanism to treatment. Neurosurg Rev. 2021;44(4):1815–31.10.1007/s10143-020-01387-zSearch in Google Scholar PubMed
[32] Wei P, Yang F, Zheng Q, Tang W, Li J. The potential role of the NLRP3 inflammasome activation as a link between mitochondria ROS generation and neuroinflammation in postoperative cognitive dysfunction. Front Cell Neurosci. 2019;13:73.10.3389/fncel.2019.00073Search in Google Scholar PubMed PubMed Central
[33] Beyer MMS, Lonnemann N, Remus A, Latz E, Heneka MT, Korte M. Enduring changes in neuronal function upon systemic inflammation are NLRP3 inflammasome dependent. J Neurosci. 2020;40(28):5480–94.10.1523/JNEUROSCI.0200-20.2020Search in Google Scholar PubMed PubMed Central
[34] Sun L, Yong Y, Wei P, Wang Y, Li H, Zhou Y, et al. Electroacupuncture ameliorates postoperative cognitive dysfunction and associated neuroinflammation via NLRP3 signal inhibition in aged mice. CNS Neurosci Ther. 2022;28(3):390–400.10.1111/cns.13784Search in Google Scholar PubMed PubMed Central
[35] Bu X, Gong P, Zhang L, Song W, Hou J, Li Q, et al. Pharmacological inhibition of cGAS ameliorates postoperative cognitive dysfunction by suppressing caspase-3/GSDME-dependent pyroptosis. Neurochem Int. 2024;178:105788.10.1016/j.neuint.2024.105788Search in Google Scholar PubMed
[36] Lin QC, Wang J, Wang XL, Pan C, Jin SW, Char S, et al. Hippocampal HDAC6 promotes POCD by regulating NLRP3-induced microglia pyroptosis via HSP90/HSP70 in aged mice. Biochim Biophys Acta Mol Basis Dis. 2024;1870(5):167137.10.1016/j.bbadis.2024.167137Search in Google Scholar PubMed
[37] Zhou S, Liu Y, Xue B, Yuan P. Low-dose Esketamine suppresses NLRP3-mediated apoptotic and pyroptotic cell death in microglial cells to ameliorate LPS-induced depression via ablating GSK-3β. Behav Brain Res. 2024;459:114782.10.1016/j.bbr.2023.114782Search in Google Scholar PubMed
© 2025 the author(s), published by De Gruyter
This work is licensed under the Creative Commons Attribution 4.0 International License.
Articles in the same Issue
- Research Articles
- Network pharmacological analysis and in vitro testing of the rutin effects on triple-negative breast cancer
- Impact of diabetes on long-term survival in elderly liver cancer patients: A retrospective study
- Knockdown of CCNB1 alleviates high glucose-triggered trophoblast dysfunction during gestational diabetes via Wnt/β-catenin signaling pathway
- Risk factors for severe adverse drug reactions in hospitalized patients
- Analysis of the effect of ALA-PDT on macrophages in footpad model of mice infected with Fonsecaea monophora based on single-cell sequencing
- Development and validation of headspace gas chromatography with a flame ionization detector method for the determination of ethanol in the vitreous humor
- CMSP exerts anti-tumor effects on small cell lung cancer cells by inducing mitochondrial dysfunction and ferroptosis
- Predictive value of plasma sB7-H3 and YKL-40 in pediatric refractory Mycoplasma pneumoniae pneumonia
- Antiangiogenic potential of Elaeagnus umbellata extracts and molecular docking study by targeting VEGFR-2 pathway
- Comparison of the effectiveness of nurse-led preoperative counseling and postoperative follow-up care vs standard care for patients with gastric cancer
- Comparing the therapeutic efficacy of endoscopic minimally invasive surgery and traditional surgery for early-stage breast cancer: A meta-analysis
- Adhered macrophages as an additional marker of cardiomyocyte injury in biopsies of patients with dilated cardiomyopathy
- Association between statin administration and outcome in patients with sepsis: A retrospective study
- Exploration of the association between estimated glucose disposal rate and osteoarthritis in middle-aged and older adults: An analysis of NHANES data from 2011 to 2018
- A comparative analysis of the binary and multiclass classified chest X-ray images of pneumonia and COVID-19 with ML and DL models
- Lysophosphatidic acid 2 alleviates deep vein thrombosis via protective endothelial barrier function
- Transcription factor A, mitochondrial promotes lymph node metastasis and lymphangiogenesis in epithelial ovarian carcinoma
- Serum PM20D1 levels are associated with nutritional status and inflammatory factors in gastric cancer patients undergoing early enteral nutrition
- Hydromorphone reduced the incidence of emergence agitation after adenotonsillectomy in children with obstructive sleep apnea: A randomized, double-blind study
- Vitamin D replacement therapy may regulate sleep habits in patients with restless leg syndrome
- The first-line antihypertensive nitrendipine potentiated the therapeutic effect of oxaliplatin by downregulating CACNA1D in colorectal cancer
- Health literacy and health-related quality of life: The mediating role of irrational happiness
- Modulatory effects of Lycium barbarum polysaccharide on bone cell dynamics in osteoporosis
- Mechanism research on inhibition of gastric cancer in vitro by the extract of Pinellia ternata based on network pharmacology and cellular metabolomics
- Examination of the causal role of immune cells in non-alcoholic fatty liver disease by a bidirectional Mendelian randomization study
- Clinical analysis of ten cases of HIV infection combined with acute leukemia
- Investigating the cardioprotective potential of quercetin against tacrolimus-induced cardiotoxicity in Wistar rats: A mechanistic insights
- Clinical observation of probiotics combined with mesalazine and Yiyi Baitouweng Decoction retention enema in treating mild-to-moderate ulcerative colitis
- Diagnostic value of ratio of blood inflammation to coagulation markers in periprosthetic joint infection
- Sex-specific associations of sex hormone binding globulin and risk of bladder cancer
- Core muscle strength and stability-oriented breathing training reduces inter-recti distance in postpartum women
- The ERAS nursing care strategy for patients undergoing transsphenoidal endoscopic pituitary tumor resection: A randomized blinded controlled trial
- The serum IL-17A levels in patients with traumatic bowel rupture post-surgery and its predictive value for patient prognosis
- Impact of Kolb’s experiential learning theory-based nursing on caregiver burden and psychological state of caregivers of dementia patients
- Analysis of serum NLR combined with intraoperative margin condition to predict the prognosis of cervical HSIL patients undergoing LEEP surgery
- Commiphora gileadensis ameliorate infertility and erectile dysfunction in diabetic male mice
- The correlation between epithelial–mesenchymal transition classification and MMP2 expression of circulating tumor cells and prognosis of advanced or metastatic nasopharyngeal carcinoma
- Tetrahydropalmatine improves mitochondrial function in vascular smooth muscle cells of atherosclerosis in vitro by inhibiting Ras homolog gene family A/Rho-associated protein kinase-1 signaling pathway
- A cross-sectional study: Relationship between serum oxidative stress levels and arteriovenous fistula maturation in maintenance dialysis patients
- A comparative analysis of the impact of repeated administration of flavan 3-ol on brown, subcutaneous, and visceral adipose tissue
- Identifying early screening factors for depression in middle-aged and older adults: A cohort study
- Perform tumor-specific survival analysis for Merkel cell carcinoma patients undergoing surgical resection based on the SEER database by constructing a nomogram chart
- Unveiling the role of CXCL10 in pancreatic cancer progression: A novel prognostic indicator
- High-dose preoperative intraperitoneal erythropoietin and intravenous methylprednisolone in acute traumatic spinal cord injuries following decompression surgeries
- RAB39B: A novel biomarker for acute myeloid leukemia identified via multi-omics and functional validation
- Impact of peripheral conditioning on reperfusion injury following primary percutaneous coronary intervention in diabetic and non-diabetic STEMI patients
- Clinical efficacy of azacitidine in the treatment of middle- and high-risk myelodysplastic syndrome in middle-aged and elderly patients: A retrospective study
- The effect of ambulatory blood pressure load on mitral regurgitation in continuous ambulatory peritoneal dialysis patients
- Expression and clinical significance of ITGA3 in breast cancer
- Single-nucleus RNA sequencing reveals ARHGAP28 expression of podocytes as a biomarker in human diabetic nephropathy
- rSIG combined with NLR in the prognostic assessment of patients with multiple injuries
- Toxic metals and metalloids in collagen supplements of fish and jellyfish origin: Risk assessment for daily intake
- Exploring causal relationship between 41 inflammatory cytokines and marginal zone lymphoma: A bidirectional Mendelian randomization study
- Gender beliefs and legitimization of dating violence in adolescents
- Effect of serum IL-6, CRP, and MMP-9 levels on the efficacy of modified preperitoneal Kugel repair in patients with inguinal hernia
- Effect of smoking and smoking cessation on hematological parameters in polycythemic patients
- Pathogen surveillance and risk factors for pulmonary infection in patients with lung cancer: A retrospective single-center study
- Necroptosis of hippocampal neurons in paclitaxel chemotherapy-induced cognitive impairment mediates microglial activation via TLR4/MyD88 signaling pathway
- Celastrol suppresses neovascularization in rat aortic vascular endothelial cells stimulated by inflammatory tenocytes via modulating the NLRP3 pathway
- Cord-lamina angle and foraminal diameter as key predictors of C5 palsy after anterior cervical decompression and fusion surgery
- GATA1: A key biomarker for predicting the prognosis of patients with diffuse large B-cell lymphoma
- Influencing factors of false lumen thrombosis in type B aortic dissection: A single-center retrospective study
- MZB1 regulates the immune microenvironment and inhibits ovarian cancer cell migration
- Integrating experimental and network pharmacology to explore the pharmacological mechanisms of Dioscin against glioblastoma
- Trends in research on preterm birth in twin pregnancy based on bibliometrics
- Four-week IgE/baseline IgE ratio combined with tryptase predicts clinical outcome in omalizumab-treated children with moderate-to-severe asthma
- Single-cell transcriptomic analysis identifies a stress response Schwann cell subtype
- Acute pancreatitis risk in the diagnosis and management of inflammatory bowel disease: A critical focus
- Effect of subclinical esketamine on NLRP3 and cognitive dysfunction in elderly ischemic stroke patients
- Interleukin-37 mediates the anti-oral tumor activity in oral cancer through STAT3
- CA199 and CEA expression levels, and minimally invasive postoperative prognosis analysis in esophageal squamous carcinoma patients
- Efficacy of a novel drainage catheter in the treatment of CSF leak after posterior spine surgery: A retrospective cohort study
- Comprehensive biomedicine assessment of Apteranthes tuberculata extracts: Phytochemical analysis and multifaceted pharmacological evaluation in animal models
- Relation of time in range to severity of coronary artery disease in patients with type 2 diabetes: A cross-sectional study
- Dopamine attenuates ethanol-induced neuronal apoptosis by stimulating electrical activity in the developing rat retina
- Correlation between albumin levels during the third trimester and the risk of postpartum levator ani muscle rupture
- Factors associated with maternal attention and distraction during breastfeeding and childcare: A cross-sectional study in the west of Iran
- Mechanisms of hesperetin in treating metabolic dysfunction-associated steatosis liver disease via network pharmacology and in vitro experiments
- The law on oncological oblivion in the Italian and European context: How to best uphold the cancer patients’ rights to privacy and self-determination?
- The prognostic value of the neutrophil-to-lymphocyte ratio, platelet-to-lymphocyte ratio, and prognostic nutritional index for survival in patients with colorectal cancer
- Factors affecting the measurements of peripheral oxygen saturation values in healthy young adults
- Comparison and correlations between findings of hysteroscopy and vaginal color Doppler ultrasonography for detection of uterine abnormalities in patients with recurrent implantation failure
- The effects of different types of RAGT on balance function in stroke patients with low levels of independent walking in a convalescent rehabilitation hospital
- Causal relationship between asthma and ankylosing spondylitis: A bidirectional two-sample univariable and multivariable Mendelian randomization study
- Correlations of health literacy with individuals’ understanding and use of medications in Southern Taiwan
- Correlation of serum calprotectin with outcome of acute cerebral infarction
- Comparison of computed tomography and guided bronchoscopy in the diagnosis of pulmonary nodules: A systematic review and meta-analysis
- Curdione protects vascular endothelial cells and atherosclerosis via the regulation of DNMT1-mediated ERBB4 promoter methylation
- The identification of novel missense variant in ChAT gene in a patient with gestational diabetes denotes plausible genetic association
- Molecular genotyping of multi-system rare blood types in foreign blood donors based on DNA sequencing and its clinical significance
- Exploring the role of succinyl carnitine in the association between CD39⁺ CD4⁺ T cell and ulcerative colitis: A Mendelian randomization study
- Dexmedetomidine suppresses microglial activation in postoperative cognitive dysfunction via the mmu-miRNA-125/TRAF6 signaling axis
- Analysis of serum metabolomics in patients with different types of chronic heart failure
- Diagnostic value of hematological parameters in the early diagnosis of acute cholecystitis
- Pachymaran alleviates fat accumulation, hepatocyte degeneration, and injury in mice with nonalcoholic fatty liver disease
- Decrease in CD4 and CD8 lymphocytes are predictors of severe clinical picture and unfavorable outcome of the disease in patients with COVID-19
- METTL3 blocked the progression of diabetic retinopathy through m6A-modified SOX2
- The predictive significance of anti-RO-52 antibody in patients with interstitial pneumonia after treatment of malignant tumors
- Exploring cerebrospinal fluid metabolites, cognitive function, and brain atrophy: Insights from Mendelian randomization
- Development and validation of potential molecular subtypes and signatures of ocular sarcoidosis based on autophagy-related gene analysis
- Widespread venous thrombosis: Unveiling a complex case of Behçet’s disease with a literature perspective
- Uterine fibroid embolization: An analysis of clinical outcomes and impact on patients’ quality of life
- Discovery of lipid metabolism-related diagnostic biomarkers and construction of diagnostic model in steroid-induced osteonecrosis of femoral head
- Serum-derived exomiR-188-3p is a promising novel biomarker for early-stage ovarian cancer
- Enhancing chronic back pain management: A comparative study of ultrasound–MRI fusion guidance for paravertebral nerve block
- Peptide CCAT1-70aa promotes hepatocellular carcinoma proliferation and invasion via the MAPK/ERK pathway
- Electroacupuncture-induced reduction of myocardial ischemia–reperfusion injury via FTO-dependent m6A methylation modulation
- Hemorrhoids and cardiovascular disease: A bidirectional Mendelian randomization study
- Cell-free adipose extract inhibits hypertrophic scar formation through collagen remodeling and antiangiogenesis
- HALP score in Demodex blepharitis: A case–control study
- Assessment of SOX2 performance as a marker for circulating cancer stem-like cells (CCSCs) identification in advanced breast cancer patients using CytoTrack system
- Risk and prognosis for brain metastasis in primary metastatic cervical cancer patients: A population-based study
- Comparison of the two intestinal anastomosis methods in pediatric patients
- Factors influencing hematological toxicity and adverse effects of perioperative hyperthermic intraperitoneal vs intraperitoneal chemotherapy in gastrointestinal cancer
- Endotoxin tolerance inhibits NLRP3 inflammasome activation in macrophages of septic mice by restoring autophagic flux through TRIM26
- Lateral transperitoneal laparoscopic adrenalectomy: A single-centre experience of 21 procedures
- Petunidin attenuates lipopolysaccharide-induced retinal microglia inflammatory response in diabetic retinopathy by targeting OGT/NF-κB/LCN2 axis
- Procalcitonin and C-reactive protein as biomarkers for diagnosing and assessing the severity of acute cholecystitis
- Factors determining the number of sessions in successful extracorporeal shock wave lithotripsy patients
- Development of a nomogram for predicting cancer-specific survival in patients with renal pelvic cancer following surgery
- Inhibition of ATG7 promotes orthodontic tooth movement by regulating the RANKL/OPG ratio under compression force
- A machine learning-based prognostic model integrating mRNA stemness index, hypoxia, and glycolysis‑related biomarkers for colorectal cancer
- Glutathione attenuates sepsis-associated encephalopathy via dual modulation of NF-κB and PKA/CREB pathways
- FAHD1 prevents neuronal ferroptosis by modulating R-loop and the cGAS–STING pathway
- Association of placenta weight and morphology with term low birth weight: A case–control study
- Investigation of the pathogenic variants induced Sjogren’s syndrome in Turkish population
- Nucleotide metabolic abnormalities in post-COVID-19 condition and type 2 diabetes mellitus patients and their association with endocrine dysfunction
- TGF-β–Smad2/3 signaling in high-altitude pulmonary hypertension in rats: Role and mechanisms via macrophage M2 polarization
- Ultrasound-guided unilateral versus bilateral erector spinae plane block for postoperative analgesia of patients undergoing laparoscopic cholecystectomy
- Profiling gut microbiome dynamics in subacute thyroiditis: Implications for pathogenesis, diagnosis, and treatment
- Delta neutrophil index, CRP/albumin ratio, procalcitonin, immature granulocytes, and HALP score in acute appendicitis: Best performing biomarker?
- Anticancer activity mechanism of novelly synthesized and characterized benzofuran ring-linked 3-nitrophenyl chalcone derivative on colon cancer cells
- H2valdien3 arrests the cell cycle and induces apoptosis of gastric cancer
- Prognostic relevance of PRSS2 and its immune correlates in papillary thyroid carcinoma
- Association of SGLT2 inhibition with psychiatric disorders: A Mendelian randomization study
- Motivational interviewing for alcohol use reduction in Thai patients
- Luteolin alleviates oxygen-glucose deprivation/reoxygenation-induced neuron injury by regulating NLRP3/IL-1β signaling
- Polyphyllin II inhibits thyroid cancer cell growth by simultaneously inhibiting glycolysis and oxidative phosphorylation
- Relationship between the expression of copper death promoting factor SLC31A1 in papillary thyroid carcinoma and clinicopathological indicators and prognosis
- CSF2 polarized neutrophils and invaded renal cancer cells in vitro influence
- Proton pump inhibitors-induced thrombocytopenia: A systematic literature analysis of case reports
- The current status and influence factors of research ability among community nurses: A sequential qualitative–quantitative study
- OKAIN: A comprehensive oncology knowledge base for the interpretation of clinically actionable alterations
- The relationship between serum CA50, CA242, and SAA levels and clinical pathological characteristics and prognosis in patients with pancreatic cancer
- Identification and external validation of a prognostic signature based on hypoxia–glycolysis-related genes for kidney renal clear cell carcinoma
- Engineered RBC-derived nanovesicles functionalized with tumor-targeting ligands: A comparative study on breast cancer targeting efficiency and biocompatibility
- Relationship of resting echocardiography combined with serum micronutrients to the severity of low-gradient severe aortic stenosis
- Effect of vibration on pain during subcutaneous heparin injection: A randomized, single-blind, placebo-controlled trial
- The diagnostic performance of machine learning-based FFRCT for coronary artery disease: A meta-analysis
- Comparing biofeedback device vs diaphragmatic breathing for bloating relief: A randomized controlled trial
- Serum uric acid to albumin ratio and C-reactive protein as predictive biomarkers for chronic total occlusion and coronary collateral circulation quality
- Multiple organ scoring systems for predicting in-hospital mortality of sepsis patients in the intensive care unit
- Single-cell RNA sequencing data analysis of the inner ear in gentamicin-treated mice via intraperitoneal injection
- Suppression of cathepsin B attenuates myocardial injury via limiting cardiomyocyte apoptosis
- Influence of sevoflurane combined with propofol anesthesia on the anesthesia effect and adverse reactions in children with acute appendicitis
- Identification of hub genes related to acute kidney injury caused by sevoflurane anesthesia and endoplasmic reticulum stress
- Efficacy and safety of PD-1/PD-L1 inhibitors in pancreatic ductal adenocarcinoma: a systematic review and Meta-analysis of randomized controlled trials
- The value of diagnostic experience in O-RADS MRI score for ovarian-adnexal lesions
- Health education pathway for individuals with temporary enterostomies using patient journey mapping
- Serum TLR8 as a potential diagnostic biomarker of coronary heart disease
- Intraoperative temperature management and its effect on surgical outcomes in elderly patients undergoing lichtenstein unilateral inguinal hernia repair
- Immunohistochemical profiling and neuroepithelial heterogeneity in immature ovarian teratomas: a retrospective digital pathology-based study
- Associated risk factors and prevalence of human papillomavirus infection among females visiting tertiary care hospital: a cross-sectional study from Nepal
- Comparative evaluation of various disc elution methods for the detection of colistin-resistant gram-negative bacteria
- Effect of timing of cholecystectomy on weight loss after sleeve gastrectomy in morbidly obese individuals with cholelithiasis: a retrospective cohort study
- Causal association between ceramide levels and central precocious puberty: a mendelian randomization study
- Novel predictive model for colorectal liver metastases recurrence: a radiomics and clinical data approach
- Relationship between resident physicians’ perceived professional value and exposure to violence
- Multiple sclerosis and type 1 diabetes: a Mendelian randomization study of European ancestry
- Rapid pathogen identification in peritoneal dialysis effluent by MALDI-TOF MS following blood culture enrichment
- Comparison of open and percutaneous A1 pulley release in pediatric trigger thumb: a retrospective cohort study
- Impact of combined diaphragm-lung ultrasound assessment on postoperative respiratory function in patients under general anesthesia recovery
- Development and internal validation of a nomogram for predicting short-term prognosis in ICU patients with acute pyelonephritis
- The association between hypoxic burden and blood pressure in patients with obstructive sleep apnea
- Promotion of asthenozoospermia by C9orf72 through suppression of spermatogonia activity via fructose metabolism and mitophagy
- Review Articles
- The effects of enhanced external counter-pulsation on post-acute sequelae of COVID-19: A narrative review
- Diabetes-related cognitive impairment: Mechanisms, symptoms, and treatments
- Microscopic changes and gross morphology of placenta in women affected by gestational diabetes mellitus in dietary treatment: A systematic review
- Review of mechanisms and frontier applications in IL-17A-induced hypertension
- Research progress on the correlation between islet amyloid peptides and type 2 diabetes mellitus
- The safety and efficacy of BCG combined with mitomycin C compared with BCG monotherapy in patients with non-muscle-invasive bladder cancer: A systematic review and meta-analysis
- The application of augmented reality in robotic general surgery: A mini-review
- The effect of Greek mountain tea extract and wheat germ extract on peripheral blood flow and eicosanoid metabolism in mammals
- Neurogasobiology of migraine: Carbon monoxide, hydrogen sulfide, and nitric oxide as emerging pathophysiological trinacrium relevant to nociception regulation
- Plant polyphenols, terpenes, and terpenoids in oral health
- Laboratory medicine between technological innovation, rights safeguarding, and patient safety: A bioethical perspective
- End-of-life in cancer patients: Medicolegal implications and ethical challenges in Europe
- The maternal factors during pregnancy for intrauterine growth retardation: An umbrella review
- Intra-abdominal hypertension/abdominal compartment syndrome of pediatric patients in critical care settings
- PI3K/Akt pathway and neuroinflammation in sepsis-associated encephalopathy
- Screening of Group B Streptococcus in pregnancy: A systematic review for the laboratory detection
- Giant borderline ovarian tumours – review of the literature
- Leveraging artificial intelligence for collaborative care planning: Innovations and impacts in shared decision-making – A systematic review
- Cholera epidemiology analysis through the experience of the 1973 Naples epidemic
- Risk factors of frailty/sarcopenia in community older adults: Meta-analysis
- Supplement strategies for infertility in overweight women: Evidence and legal insights
- Scurvy, a not obsolete disorder: Clinical report in eight young children and literature review
- A meta-analysis of the effects of DBS on cognitive function in patients with advanced PD
- Protective role of selenium in sepsis: Mechanisms and potential therapeutic strategies
- Strategies for hyperkalemia management in dialysis patients: A systematic review
- C-reactive protein-to-albumin ratio in peripheral artery disease
- Research progress on autophagy and its roles in sepsis induced organ injury
- Neuronutrition in autism spectrum disorders
- Pumilio 2 in neural development, function, and specific neurological disorders
- Antibiotic prescribing patterns in general dental practice- a scoping review
- Clinical and medico-legal reflections on non-invasive prenatal testing
- Smartphone use and back pain: a narrative review of postural pathologies
- Targeting endothelial oxidative stress in hypertension
- Exploring links between acne and metabolic syndrome: a narrative review
- Case Reports
- Delayed graft function after renal transplantation
- Semaglutide treatment for type 2 diabetes in a patient with chronic myeloid leukemia: A case report and review of the literature
- Diverse electrophysiological demyelinating features in a late-onset glycogen storage disease type IIIa case
- Giant right atrial hemangioma presenting with ascites: A case report
- Laser excision of a large granular cell tumor of the vocal cord with subglottic extension: A case report
- EsoFLIP-assisted dilation for dysphagia in systemic sclerosis: Highlighting the role of multimodal esophageal evaluation
- Molecular hydrogen-rhodiola as an adjuvant therapy for ischemic stroke in internal carotid artery occlusion: A case report
- Coronary artery anomalies: A case of the “malignant” left coronary artery and its surgical management
- Combined VAT and retroperitoneoscopy for pleural empyema due to nephro-pleuric fistula in xanthogranulomatous pyelonephritis
- A rare case of Opalski syndrome with a suspected multiple sclerosis etiology
- Newly diagnosed B-cell acute lymphoblastic leukemia demonstrating localized bone marrow infiltration exclusively in the lower extremities
- Rapid Communication
- Biological properties of valve materials using RGD and EC
-
A single oral administration of flavanols enhances short
-term memory in mice along with increased brain-derived neurotrophic factor - Repeat influenza incidence across two consecutive influenza seasons
- Letter to the Editor
- Role of enhanced external counterpulsation in long COVID
- Expression of Concern
- Expression of concern “A ceRNA network mediated by LINC00475 in papillary thyroid carcinoma”
- Expression of concern “Notoginsenoside R1 alleviates spinal cord injury through the miR-301a/KLF7 axis to activate Wnt/β-catenin pathway”
- Expression of concern “circ_0020123 promotes cell proliferation and migration in lung adenocarcinoma via PDZD8”
- Corrigendum
- Corrigendum to “Empagliflozin improves aortic injury in obese mice by regulating fatty acid metabolism”
- Corrigendum to “Comparing the therapeutic efficacy of endoscopic minimally invasive surgery and traditional surgery for early-stage breast cancer: A meta-analysis”
- Corrigendum to “The progress of autoimmune hepatitis research and future challenges”
- Retraction
- Retraction of “miR-654-5p promotes gastric cancer progression via the GPRIN1/NF-κB pathway”
- Retraction of: “LncRNA CASC15 inhibition relieves renal fibrosis in diabetic nephropathy through downregulating SP-A by sponging to miR-424”
- Retraction of: “SCARA5 inhibits oral squamous cell carcinoma via inactivating the STAT3 and PI3K/AKT signaling pathways”
- Special Issue Advancements in oncology: bridging clinical and experimental research - Part II
- Unveiling novel biomarkers for platinum chemoresistance in ovarian cancer
- Lathyrol affects the expression of AR and PSA and inhibits the malignant behavior of RCC cells
- The era of increasing cancer survivorship: Trends in fertility preservation, medico-legal implications, and ethical challenges
- Bone scintigraphy and positron emission tomography in the early diagnosis of MRONJ
- Meta-analysis of clinical efficacy and safety of immunotherapy combined with chemotherapy in non-small cell lung cancer
- Special Issue Computational Intelligence Methodologies Meets Recurrent Cancers - Part IV
- Exploration of mRNA-modifying METTL3 oncogene as momentous prognostic biomarker responsible for colorectal cancer development
- Special Issue The evolving saga of RNAs from bench to bedside - Part III
- Interaction and verification of ferroptosis-related RNAs Rela and Stat3 in promoting sepsis-associated acute kidney injury
- The mRNA MOXD1: Link to oxidative stress and prognostic significance in gastric cancer
- Special Issue Exploring the biological mechanism of human diseases based on MultiOmics Technology - Part II
- Dynamic changes in lactate-related genes in microglia and their role in immune cell interactions after ischemic stroke
- A prognostic model correlated with fatty acid metabolism in Ewing’s sarcoma based on bioinformatics analysis
- Red cell distribution width predicts early kidney injury: A NHANES cross-sectional study
- Special Issue Diabetes mellitus: pathophysiology, complications & treatment
- Nutritional risk assessment and nutritional support in children with congenital diabetes during surgery
- Correlation of the differential expressions of RANK, RANKL, and OPG with obesity in the elderly population in Xinjiang
- A discussion on the application of fluorescence micro-optical sectioning tomography in the research of cognitive dysfunction in diabetes
- A review of brain research on T2DM-related cognitive dysfunction
- Metformin and estrogen modulation in LABC with T2DM: A 36-month randomized trial
- Special Issue Innovative Biomarker Discovery and Precision Medicine in Cancer Diagnostics
- CircASH1L-mediated tumor progression in triple-negative breast cancer: PI3K/AKT pathway mechanisms
Articles in the same Issue
- Research Articles
- Network pharmacological analysis and in vitro testing of the rutin effects on triple-negative breast cancer
- Impact of diabetes on long-term survival in elderly liver cancer patients: A retrospective study
- Knockdown of CCNB1 alleviates high glucose-triggered trophoblast dysfunction during gestational diabetes via Wnt/β-catenin signaling pathway
- Risk factors for severe adverse drug reactions in hospitalized patients
- Analysis of the effect of ALA-PDT on macrophages in footpad model of mice infected with Fonsecaea monophora based on single-cell sequencing
- Development and validation of headspace gas chromatography with a flame ionization detector method for the determination of ethanol in the vitreous humor
- CMSP exerts anti-tumor effects on small cell lung cancer cells by inducing mitochondrial dysfunction and ferroptosis
- Predictive value of plasma sB7-H3 and YKL-40 in pediatric refractory Mycoplasma pneumoniae pneumonia
- Antiangiogenic potential of Elaeagnus umbellata extracts and molecular docking study by targeting VEGFR-2 pathway
- Comparison of the effectiveness of nurse-led preoperative counseling and postoperative follow-up care vs standard care for patients with gastric cancer
- Comparing the therapeutic efficacy of endoscopic minimally invasive surgery and traditional surgery for early-stage breast cancer: A meta-analysis
- Adhered macrophages as an additional marker of cardiomyocyte injury in biopsies of patients with dilated cardiomyopathy
- Association between statin administration and outcome in patients with sepsis: A retrospective study
- Exploration of the association between estimated glucose disposal rate and osteoarthritis in middle-aged and older adults: An analysis of NHANES data from 2011 to 2018
- A comparative analysis of the binary and multiclass classified chest X-ray images of pneumonia and COVID-19 with ML and DL models
- Lysophosphatidic acid 2 alleviates deep vein thrombosis via protective endothelial barrier function
- Transcription factor A, mitochondrial promotes lymph node metastasis and lymphangiogenesis in epithelial ovarian carcinoma
- Serum PM20D1 levels are associated with nutritional status and inflammatory factors in gastric cancer patients undergoing early enteral nutrition
- Hydromorphone reduced the incidence of emergence agitation after adenotonsillectomy in children with obstructive sleep apnea: A randomized, double-blind study
- Vitamin D replacement therapy may regulate sleep habits in patients with restless leg syndrome
- The first-line antihypertensive nitrendipine potentiated the therapeutic effect of oxaliplatin by downregulating CACNA1D in colorectal cancer
- Health literacy and health-related quality of life: The mediating role of irrational happiness
- Modulatory effects of Lycium barbarum polysaccharide on bone cell dynamics in osteoporosis
- Mechanism research on inhibition of gastric cancer in vitro by the extract of Pinellia ternata based on network pharmacology and cellular metabolomics
- Examination of the causal role of immune cells in non-alcoholic fatty liver disease by a bidirectional Mendelian randomization study
- Clinical analysis of ten cases of HIV infection combined with acute leukemia
- Investigating the cardioprotective potential of quercetin against tacrolimus-induced cardiotoxicity in Wistar rats: A mechanistic insights
- Clinical observation of probiotics combined with mesalazine and Yiyi Baitouweng Decoction retention enema in treating mild-to-moderate ulcerative colitis
- Diagnostic value of ratio of blood inflammation to coagulation markers in periprosthetic joint infection
- Sex-specific associations of sex hormone binding globulin and risk of bladder cancer
- Core muscle strength and stability-oriented breathing training reduces inter-recti distance in postpartum women
- The ERAS nursing care strategy for patients undergoing transsphenoidal endoscopic pituitary tumor resection: A randomized blinded controlled trial
- The serum IL-17A levels in patients with traumatic bowel rupture post-surgery and its predictive value for patient prognosis
- Impact of Kolb’s experiential learning theory-based nursing on caregiver burden and psychological state of caregivers of dementia patients
- Analysis of serum NLR combined with intraoperative margin condition to predict the prognosis of cervical HSIL patients undergoing LEEP surgery
- Commiphora gileadensis ameliorate infertility and erectile dysfunction in diabetic male mice
- The correlation between epithelial–mesenchymal transition classification and MMP2 expression of circulating tumor cells and prognosis of advanced or metastatic nasopharyngeal carcinoma
- Tetrahydropalmatine improves mitochondrial function in vascular smooth muscle cells of atherosclerosis in vitro by inhibiting Ras homolog gene family A/Rho-associated protein kinase-1 signaling pathway
- A cross-sectional study: Relationship between serum oxidative stress levels and arteriovenous fistula maturation in maintenance dialysis patients
- A comparative analysis of the impact of repeated administration of flavan 3-ol on brown, subcutaneous, and visceral adipose tissue
- Identifying early screening factors for depression in middle-aged and older adults: A cohort study
- Perform tumor-specific survival analysis for Merkel cell carcinoma patients undergoing surgical resection based on the SEER database by constructing a nomogram chart
- Unveiling the role of CXCL10 in pancreatic cancer progression: A novel prognostic indicator
- High-dose preoperative intraperitoneal erythropoietin and intravenous methylprednisolone in acute traumatic spinal cord injuries following decompression surgeries
- RAB39B: A novel biomarker for acute myeloid leukemia identified via multi-omics and functional validation
- Impact of peripheral conditioning on reperfusion injury following primary percutaneous coronary intervention in diabetic and non-diabetic STEMI patients
- Clinical efficacy of azacitidine in the treatment of middle- and high-risk myelodysplastic syndrome in middle-aged and elderly patients: A retrospective study
- The effect of ambulatory blood pressure load on mitral regurgitation in continuous ambulatory peritoneal dialysis patients
- Expression and clinical significance of ITGA3 in breast cancer
- Single-nucleus RNA sequencing reveals ARHGAP28 expression of podocytes as a biomarker in human diabetic nephropathy
- rSIG combined with NLR in the prognostic assessment of patients with multiple injuries
- Toxic metals and metalloids in collagen supplements of fish and jellyfish origin: Risk assessment for daily intake
- Exploring causal relationship between 41 inflammatory cytokines and marginal zone lymphoma: A bidirectional Mendelian randomization study
- Gender beliefs and legitimization of dating violence in adolescents
- Effect of serum IL-6, CRP, and MMP-9 levels on the efficacy of modified preperitoneal Kugel repair in patients with inguinal hernia
- Effect of smoking and smoking cessation on hematological parameters in polycythemic patients
- Pathogen surveillance and risk factors for pulmonary infection in patients with lung cancer: A retrospective single-center study
- Necroptosis of hippocampal neurons in paclitaxel chemotherapy-induced cognitive impairment mediates microglial activation via TLR4/MyD88 signaling pathway
- Celastrol suppresses neovascularization in rat aortic vascular endothelial cells stimulated by inflammatory tenocytes via modulating the NLRP3 pathway
- Cord-lamina angle and foraminal diameter as key predictors of C5 palsy after anterior cervical decompression and fusion surgery
- GATA1: A key biomarker for predicting the prognosis of patients with diffuse large B-cell lymphoma
- Influencing factors of false lumen thrombosis in type B aortic dissection: A single-center retrospective study
- MZB1 regulates the immune microenvironment and inhibits ovarian cancer cell migration
- Integrating experimental and network pharmacology to explore the pharmacological mechanisms of Dioscin against glioblastoma
- Trends in research on preterm birth in twin pregnancy based on bibliometrics
- Four-week IgE/baseline IgE ratio combined with tryptase predicts clinical outcome in omalizumab-treated children with moderate-to-severe asthma
- Single-cell transcriptomic analysis identifies a stress response Schwann cell subtype
- Acute pancreatitis risk in the diagnosis and management of inflammatory bowel disease: A critical focus
- Effect of subclinical esketamine on NLRP3 and cognitive dysfunction in elderly ischemic stroke patients
- Interleukin-37 mediates the anti-oral tumor activity in oral cancer through STAT3
- CA199 and CEA expression levels, and minimally invasive postoperative prognosis analysis in esophageal squamous carcinoma patients
- Efficacy of a novel drainage catheter in the treatment of CSF leak after posterior spine surgery: A retrospective cohort study
- Comprehensive biomedicine assessment of Apteranthes tuberculata extracts: Phytochemical analysis and multifaceted pharmacological evaluation in animal models
- Relation of time in range to severity of coronary artery disease in patients with type 2 diabetes: A cross-sectional study
- Dopamine attenuates ethanol-induced neuronal apoptosis by stimulating electrical activity in the developing rat retina
- Correlation between albumin levels during the third trimester and the risk of postpartum levator ani muscle rupture
- Factors associated with maternal attention and distraction during breastfeeding and childcare: A cross-sectional study in the west of Iran
- Mechanisms of hesperetin in treating metabolic dysfunction-associated steatosis liver disease via network pharmacology and in vitro experiments
- The law on oncological oblivion in the Italian and European context: How to best uphold the cancer patients’ rights to privacy and self-determination?
- The prognostic value of the neutrophil-to-lymphocyte ratio, platelet-to-lymphocyte ratio, and prognostic nutritional index for survival in patients with colorectal cancer
- Factors affecting the measurements of peripheral oxygen saturation values in healthy young adults
- Comparison and correlations between findings of hysteroscopy and vaginal color Doppler ultrasonography for detection of uterine abnormalities in patients with recurrent implantation failure
- The effects of different types of RAGT on balance function in stroke patients with low levels of independent walking in a convalescent rehabilitation hospital
- Causal relationship between asthma and ankylosing spondylitis: A bidirectional two-sample univariable and multivariable Mendelian randomization study
- Correlations of health literacy with individuals’ understanding and use of medications in Southern Taiwan
- Correlation of serum calprotectin with outcome of acute cerebral infarction
- Comparison of computed tomography and guided bronchoscopy in the diagnosis of pulmonary nodules: A systematic review and meta-analysis
- Curdione protects vascular endothelial cells and atherosclerosis via the regulation of DNMT1-mediated ERBB4 promoter methylation
- The identification of novel missense variant in ChAT gene in a patient with gestational diabetes denotes plausible genetic association
- Molecular genotyping of multi-system rare blood types in foreign blood donors based on DNA sequencing and its clinical significance
- Exploring the role of succinyl carnitine in the association between CD39⁺ CD4⁺ T cell and ulcerative colitis: A Mendelian randomization study
- Dexmedetomidine suppresses microglial activation in postoperative cognitive dysfunction via the mmu-miRNA-125/TRAF6 signaling axis
- Analysis of serum metabolomics in patients with different types of chronic heart failure
- Diagnostic value of hematological parameters in the early diagnosis of acute cholecystitis
- Pachymaran alleviates fat accumulation, hepatocyte degeneration, and injury in mice with nonalcoholic fatty liver disease
- Decrease in CD4 and CD8 lymphocytes are predictors of severe clinical picture and unfavorable outcome of the disease in patients with COVID-19
- METTL3 blocked the progression of diabetic retinopathy through m6A-modified SOX2
- The predictive significance of anti-RO-52 antibody in patients with interstitial pneumonia after treatment of malignant tumors
- Exploring cerebrospinal fluid metabolites, cognitive function, and brain atrophy: Insights from Mendelian randomization
- Development and validation of potential molecular subtypes and signatures of ocular sarcoidosis based on autophagy-related gene analysis
- Widespread venous thrombosis: Unveiling a complex case of Behçet’s disease with a literature perspective
- Uterine fibroid embolization: An analysis of clinical outcomes and impact on patients’ quality of life
- Discovery of lipid metabolism-related diagnostic biomarkers and construction of diagnostic model in steroid-induced osteonecrosis of femoral head
- Serum-derived exomiR-188-3p is a promising novel biomarker for early-stage ovarian cancer
- Enhancing chronic back pain management: A comparative study of ultrasound–MRI fusion guidance for paravertebral nerve block
- Peptide CCAT1-70aa promotes hepatocellular carcinoma proliferation and invasion via the MAPK/ERK pathway
- Electroacupuncture-induced reduction of myocardial ischemia–reperfusion injury via FTO-dependent m6A methylation modulation
- Hemorrhoids and cardiovascular disease: A bidirectional Mendelian randomization study
- Cell-free adipose extract inhibits hypertrophic scar formation through collagen remodeling and antiangiogenesis
- HALP score in Demodex blepharitis: A case–control study
- Assessment of SOX2 performance as a marker for circulating cancer stem-like cells (CCSCs) identification in advanced breast cancer patients using CytoTrack system
- Risk and prognosis for brain metastasis in primary metastatic cervical cancer patients: A population-based study
- Comparison of the two intestinal anastomosis methods in pediatric patients
- Factors influencing hematological toxicity and adverse effects of perioperative hyperthermic intraperitoneal vs intraperitoneal chemotherapy in gastrointestinal cancer
- Endotoxin tolerance inhibits NLRP3 inflammasome activation in macrophages of septic mice by restoring autophagic flux through TRIM26
- Lateral transperitoneal laparoscopic adrenalectomy: A single-centre experience of 21 procedures
- Petunidin attenuates lipopolysaccharide-induced retinal microglia inflammatory response in diabetic retinopathy by targeting OGT/NF-κB/LCN2 axis
- Procalcitonin and C-reactive protein as biomarkers for diagnosing and assessing the severity of acute cholecystitis
- Factors determining the number of sessions in successful extracorporeal shock wave lithotripsy patients
- Development of a nomogram for predicting cancer-specific survival in patients with renal pelvic cancer following surgery
- Inhibition of ATG7 promotes orthodontic tooth movement by regulating the RANKL/OPG ratio under compression force
- A machine learning-based prognostic model integrating mRNA stemness index, hypoxia, and glycolysis‑related biomarkers for colorectal cancer
- Glutathione attenuates sepsis-associated encephalopathy via dual modulation of NF-κB and PKA/CREB pathways
- FAHD1 prevents neuronal ferroptosis by modulating R-loop and the cGAS–STING pathway
- Association of placenta weight and morphology with term low birth weight: A case–control study
- Investigation of the pathogenic variants induced Sjogren’s syndrome in Turkish population
- Nucleotide metabolic abnormalities in post-COVID-19 condition and type 2 diabetes mellitus patients and their association with endocrine dysfunction
- TGF-β–Smad2/3 signaling in high-altitude pulmonary hypertension in rats: Role and mechanisms via macrophage M2 polarization
- Ultrasound-guided unilateral versus bilateral erector spinae plane block for postoperative analgesia of patients undergoing laparoscopic cholecystectomy
- Profiling gut microbiome dynamics in subacute thyroiditis: Implications for pathogenesis, diagnosis, and treatment
- Delta neutrophil index, CRP/albumin ratio, procalcitonin, immature granulocytes, and HALP score in acute appendicitis: Best performing biomarker?
- Anticancer activity mechanism of novelly synthesized and characterized benzofuran ring-linked 3-nitrophenyl chalcone derivative on colon cancer cells
- H2valdien3 arrests the cell cycle and induces apoptosis of gastric cancer
- Prognostic relevance of PRSS2 and its immune correlates in papillary thyroid carcinoma
- Association of SGLT2 inhibition with psychiatric disorders: A Mendelian randomization study
- Motivational interviewing for alcohol use reduction in Thai patients
- Luteolin alleviates oxygen-glucose deprivation/reoxygenation-induced neuron injury by regulating NLRP3/IL-1β signaling
- Polyphyllin II inhibits thyroid cancer cell growth by simultaneously inhibiting glycolysis and oxidative phosphorylation
- Relationship between the expression of copper death promoting factor SLC31A1 in papillary thyroid carcinoma and clinicopathological indicators and prognosis
- CSF2 polarized neutrophils and invaded renal cancer cells in vitro influence
- Proton pump inhibitors-induced thrombocytopenia: A systematic literature analysis of case reports
- The current status and influence factors of research ability among community nurses: A sequential qualitative–quantitative study
- OKAIN: A comprehensive oncology knowledge base for the interpretation of clinically actionable alterations
- The relationship between serum CA50, CA242, and SAA levels and clinical pathological characteristics and prognosis in patients with pancreatic cancer
- Identification and external validation of a prognostic signature based on hypoxia–glycolysis-related genes for kidney renal clear cell carcinoma
- Engineered RBC-derived nanovesicles functionalized with tumor-targeting ligands: A comparative study on breast cancer targeting efficiency and biocompatibility
- Relationship of resting echocardiography combined with serum micronutrients to the severity of low-gradient severe aortic stenosis
- Effect of vibration on pain during subcutaneous heparin injection: A randomized, single-blind, placebo-controlled trial
- The diagnostic performance of machine learning-based FFRCT for coronary artery disease: A meta-analysis
- Comparing biofeedback device vs diaphragmatic breathing for bloating relief: A randomized controlled trial
- Serum uric acid to albumin ratio and C-reactive protein as predictive biomarkers for chronic total occlusion and coronary collateral circulation quality
- Multiple organ scoring systems for predicting in-hospital mortality of sepsis patients in the intensive care unit
- Single-cell RNA sequencing data analysis of the inner ear in gentamicin-treated mice via intraperitoneal injection
- Suppression of cathepsin B attenuates myocardial injury via limiting cardiomyocyte apoptosis
- Influence of sevoflurane combined with propofol anesthesia on the anesthesia effect and adverse reactions in children with acute appendicitis
- Identification of hub genes related to acute kidney injury caused by sevoflurane anesthesia and endoplasmic reticulum stress
- Efficacy and safety of PD-1/PD-L1 inhibitors in pancreatic ductal adenocarcinoma: a systematic review and Meta-analysis of randomized controlled trials
- The value of diagnostic experience in O-RADS MRI score for ovarian-adnexal lesions
- Health education pathway for individuals with temporary enterostomies using patient journey mapping
- Serum TLR8 as a potential diagnostic biomarker of coronary heart disease
- Intraoperative temperature management and its effect on surgical outcomes in elderly patients undergoing lichtenstein unilateral inguinal hernia repair
- Immunohistochemical profiling and neuroepithelial heterogeneity in immature ovarian teratomas: a retrospective digital pathology-based study
- Associated risk factors and prevalence of human papillomavirus infection among females visiting tertiary care hospital: a cross-sectional study from Nepal
- Comparative evaluation of various disc elution methods for the detection of colistin-resistant gram-negative bacteria
- Effect of timing of cholecystectomy on weight loss after sleeve gastrectomy in morbidly obese individuals with cholelithiasis: a retrospective cohort study
- Causal association between ceramide levels and central precocious puberty: a mendelian randomization study
- Novel predictive model for colorectal liver metastases recurrence: a radiomics and clinical data approach
- Relationship between resident physicians’ perceived professional value and exposure to violence
- Multiple sclerosis and type 1 diabetes: a Mendelian randomization study of European ancestry
- Rapid pathogen identification in peritoneal dialysis effluent by MALDI-TOF MS following blood culture enrichment
- Comparison of open and percutaneous A1 pulley release in pediatric trigger thumb: a retrospective cohort study
- Impact of combined diaphragm-lung ultrasound assessment on postoperative respiratory function in patients under general anesthesia recovery
- Development and internal validation of a nomogram for predicting short-term prognosis in ICU patients with acute pyelonephritis
- The association between hypoxic burden and blood pressure in patients with obstructive sleep apnea
- Promotion of asthenozoospermia by C9orf72 through suppression of spermatogonia activity via fructose metabolism and mitophagy
- Review Articles
- The effects of enhanced external counter-pulsation on post-acute sequelae of COVID-19: A narrative review
- Diabetes-related cognitive impairment: Mechanisms, symptoms, and treatments
- Microscopic changes and gross morphology of placenta in women affected by gestational diabetes mellitus in dietary treatment: A systematic review
- Review of mechanisms and frontier applications in IL-17A-induced hypertension
- Research progress on the correlation between islet amyloid peptides and type 2 diabetes mellitus
- The safety and efficacy of BCG combined with mitomycin C compared with BCG monotherapy in patients with non-muscle-invasive bladder cancer: A systematic review and meta-analysis
- The application of augmented reality in robotic general surgery: A mini-review
- The effect of Greek mountain tea extract and wheat germ extract on peripheral blood flow and eicosanoid metabolism in mammals
- Neurogasobiology of migraine: Carbon monoxide, hydrogen sulfide, and nitric oxide as emerging pathophysiological trinacrium relevant to nociception regulation
- Plant polyphenols, terpenes, and terpenoids in oral health
- Laboratory medicine between technological innovation, rights safeguarding, and patient safety: A bioethical perspective
- End-of-life in cancer patients: Medicolegal implications and ethical challenges in Europe
- The maternal factors during pregnancy for intrauterine growth retardation: An umbrella review
- Intra-abdominal hypertension/abdominal compartment syndrome of pediatric patients in critical care settings
- PI3K/Akt pathway and neuroinflammation in sepsis-associated encephalopathy
- Screening of Group B Streptococcus in pregnancy: A systematic review for the laboratory detection
- Giant borderline ovarian tumours – review of the literature
- Leveraging artificial intelligence for collaborative care planning: Innovations and impacts in shared decision-making – A systematic review
- Cholera epidemiology analysis through the experience of the 1973 Naples epidemic
- Risk factors of frailty/sarcopenia in community older adults: Meta-analysis
- Supplement strategies for infertility in overweight women: Evidence and legal insights
- Scurvy, a not obsolete disorder: Clinical report in eight young children and literature review
- A meta-analysis of the effects of DBS on cognitive function in patients with advanced PD
- Protective role of selenium in sepsis: Mechanisms and potential therapeutic strategies
- Strategies for hyperkalemia management in dialysis patients: A systematic review
- C-reactive protein-to-albumin ratio in peripheral artery disease
- Research progress on autophagy and its roles in sepsis induced organ injury
- Neuronutrition in autism spectrum disorders
- Pumilio 2 in neural development, function, and specific neurological disorders
- Antibiotic prescribing patterns in general dental practice- a scoping review
- Clinical and medico-legal reflections on non-invasive prenatal testing
- Smartphone use and back pain: a narrative review of postural pathologies
- Targeting endothelial oxidative stress in hypertension
- Exploring links between acne and metabolic syndrome: a narrative review
- Case Reports
- Delayed graft function after renal transplantation
- Semaglutide treatment for type 2 diabetes in a patient with chronic myeloid leukemia: A case report and review of the literature
- Diverse electrophysiological demyelinating features in a late-onset glycogen storage disease type IIIa case
- Giant right atrial hemangioma presenting with ascites: A case report
- Laser excision of a large granular cell tumor of the vocal cord with subglottic extension: A case report
- EsoFLIP-assisted dilation for dysphagia in systemic sclerosis: Highlighting the role of multimodal esophageal evaluation
- Molecular hydrogen-rhodiola as an adjuvant therapy for ischemic stroke in internal carotid artery occlusion: A case report
- Coronary artery anomalies: A case of the “malignant” left coronary artery and its surgical management
- Combined VAT and retroperitoneoscopy for pleural empyema due to nephro-pleuric fistula in xanthogranulomatous pyelonephritis
- A rare case of Opalski syndrome with a suspected multiple sclerosis etiology
- Newly diagnosed B-cell acute lymphoblastic leukemia demonstrating localized bone marrow infiltration exclusively in the lower extremities
- Rapid Communication
- Biological properties of valve materials using RGD and EC
-
A single oral administration of flavanols enhances short
-term memory in mice along with increased brain-derived neurotrophic factor - Repeat influenza incidence across two consecutive influenza seasons
- Letter to the Editor
- Role of enhanced external counterpulsation in long COVID
- Expression of Concern
- Expression of concern “A ceRNA network mediated by LINC00475 in papillary thyroid carcinoma”
- Expression of concern “Notoginsenoside R1 alleviates spinal cord injury through the miR-301a/KLF7 axis to activate Wnt/β-catenin pathway”
- Expression of concern “circ_0020123 promotes cell proliferation and migration in lung adenocarcinoma via PDZD8”
- Corrigendum
- Corrigendum to “Empagliflozin improves aortic injury in obese mice by regulating fatty acid metabolism”
- Corrigendum to “Comparing the therapeutic efficacy of endoscopic minimally invasive surgery and traditional surgery for early-stage breast cancer: A meta-analysis”
- Corrigendum to “The progress of autoimmune hepatitis research and future challenges”
- Retraction
- Retraction of “miR-654-5p promotes gastric cancer progression via the GPRIN1/NF-κB pathway”
- Retraction of: “LncRNA CASC15 inhibition relieves renal fibrosis in diabetic nephropathy through downregulating SP-A by sponging to miR-424”
- Retraction of: “SCARA5 inhibits oral squamous cell carcinoma via inactivating the STAT3 and PI3K/AKT signaling pathways”
- Special Issue Advancements in oncology: bridging clinical and experimental research - Part II
- Unveiling novel biomarkers for platinum chemoresistance in ovarian cancer
- Lathyrol affects the expression of AR and PSA and inhibits the malignant behavior of RCC cells
- The era of increasing cancer survivorship: Trends in fertility preservation, medico-legal implications, and ethical challenges
- Bone scintigraphy and positron emission tomography in the early diagnosis of MRONJ
- Meta-analysis of clinical efficacy and safety of immunotherapy combined with chemotherapy in non-small cell lung cancer
- Special Issue Computational Intelligence Methodologies Meets Recurrent Cancers - Part IV
- Exploration of mRNA-modifying METTL3 oncogene as momentous prognostic biomarker responsible for colorectal cancer development
- Special Issue The evolving saga of RNAs from bench to bedside - Part III
- Interaction and verification of ferroptosis-related RNAs Rela and Stat3 in promoting sepsis-associated acute kidney injury
- The mRNA MOXD1: Link to oxidative stress and prognostic significance in gastric cancer
- Special Issue Exploring the biological mechanism of human diseases based on MultiOmics Technology - Part II
- Dynamic changes in lactate-related genes in microglia and their role in immune cell interactions after ischemic stroke
- A prognostic model correlated with fatty acid metabolism in Ewing’s sarcoma based on bioinformatics analysis
- Red cell distribution width predicts early kidney injury: A NHANES cross-sectional study
- Special Issue Diabetes mellitus: pathophysiology, complications & treatment
- Nutritional risk assessment and nutritional support in children with congenital diabetes during surgery
- Correlation of the differential expressions of RANK, RANKL, and OPG with obesity in the elderly population in Xinjiang
- A discussion on the application of fluorescence micro-optical sectioning tomography in the research of cognitive dysfunction in diabetes
- A review of brain research on T2DM-related cognitive dysfunction
- Metformin and estrogen modulation in LABC with T2DM: A 36-month randomized trial
- Special Issue Innovative Biomarker Discovery and Precision Medicine in Cancer Diagnostics
- CircASH1L-mediated tumor progression in triple-negative breast cancer: PI3K/AKT pathway mechanisms