Abstract
Background
Emerging evidence suggests that hemorrhoids are associated with cardiovascular disease (CVD). However, the causal associations between hemorrhoids and CVD remain elusive. This study aimed to investigate potential causal links between hemorrhoids and various heart conditions, including arrhythmia, heart failure, myocardial infarction, atrial fibrillation, and coronary artery disease.
Methods
A two-sample bidirectional Mendelian randomization (MR) analysis was conducted using summary statistics of hemorrhoids and CVD from publicly available genome-wide association studies (GWAS). The MR analyses utilized inverse-variance weighted, weighted median, weighted mode, and MR-Egger methods. Sensitivity analyses included Cochran’s Q test, MR-Egger regression, MR pleiotropy residual sum and outlier (MR-PRESSO), and leave-one-out analysis. A radial MR analysis was performed after excluding outliers.
Results
Genetically determined hemorrhoids did not exhibit a causal effect on arrhythmia (OR = 0.9998, P = 0.83), heart failure (OR = 0.94, P = 0.14), myocardial infarction (OR = 0.94, P = 0.27), atrial fibrillation (OR = 0.98, P = 0.55), or coronary artery disease (OR = 0.99, P = 0.84). The reverse analysis yielded similar results. Consistent results were observed with alternative MR methods, and the absence of significant heterogeneity was confirmed. The radial MR analyses support the conclusions in the forward and reverse analyses.
Conclusions
This bidirectional MR analysis did not find statistical causal association between hemorrhoids and CVD, suggesting the possibility of shared risk factors such as obesity and diet. Further prevention strategies for CVD could focus on the management of common risk factors.
1 Introduction
Cardiovascular disease (CVD) stands as a leading global health challenge, encompassing a spectrum of conditions that affect the heart and blood vessels [1,2]. The epidemiology of CVD is marked by high prevalence and mortality rates, with coronary artery disease and heart failure being among the most prevalent forms [3,4]. The clinical features of CVD vary widely, from asymptomatic presentations to life-threatening events such as myocardial infarction and arrhythmia [5]. CVD is a multifaceted condition resulting from a complex interplay of various risk factors, such as age, sex, family history, hypertension, diabetes, smoking, and dyslipidemia [6,7]. The identification and understanding of additional risk factors for CVD are paramount for the development of effective strategies for both prevention and treatment.
Hemorrhoids, a common condition affecting the anal canal, are characterized by swollen vascular cushions that can cause discomfort and bleeding [8,9,10]. While typically considered a benign and manageable condition, hemorrhoids can significantly impact patients’ quality of life and prompt healthcare-seeking behaviors. This overt manifestation, which readily garners patients’ attention, contrasts sharply with the insidious nature of many CVDs, which often progress silently until advanced stages, posing a significant threat to life [11]. Several observational studies hinted at a possible association between hemorrhoids and CVD [12,13]. For example, Chang et al. showed that individuals with hemorrhoids have a 1.27-fold higher risk of developing coronary heart disease compared with those without hemorrhoids [12]. These findings, while intriguing, do not establish a causal relationship. Delving into the causal relationship between hemorrhoids, which manifest as a prominent symptom, and latent CVDs can significantly contribute to the effective management and prevention strategies for cardiovascular health.
Observational cross-sectional studies cannot be used to determine causality, and such studies are prone to residual confounding and a risk of reverse causality [14,15]. Longitudinal studies allow the determination of causality, but they remain prone to confounding and require extended follow-up durations [16], especially for slowly developing conditions like atherosclerotic diseases. Mendelian randomization (MR) is an innovative epidemiological approach that utilizes the random allocation of genetic variants from parents to offspring as a natural experimental setting to infer causality [17,18]. This method circumvents many of the biases inherent in observational studies, including confounding and reverse causality, offering a unique opportunity to explore the causal relationship between risk factors and disease outcomes [18,19]. In addition, MR studies use datasets from genome-wide association studies (GWAS) that often encompass tens of thousands of individuals. MR studies also allow the possibility of bidirectional analyses to determine the direction of causality.
This study aimed to investigate the causal association between hemorrhoids and a range of heart conditions, including arrhythmia, heart failure, myocardial infarction, atrial fibrillation, and coronary artery disease, using a two-sample bidirectional MR design.
2 Methods
2.1 Study design
A schematic depiction of the MR design used in this study to delineate the potential causal relationship between hemorrhoids and CVDs is presented in Figure 1. We executed a two-sample bidirectional MR analysis, employing summary statistics extracted from GWAS, to probe into the causal association between hemorrhoids and CVDs. In this MR analysis, hemorrhoids were designated as the exposure of interest, with CVDs, including arrhythmias, heart failure, myocardial infarction, atrial fibrillation, and coronary artery disease, denoted as the outcome. Their roles were reversed in the reverse analysis. The foundational assumptions underlying the MR analysis were as follows: (a) the genetic variants are robustly associated with the exposure, ensuring a valid instrumental variable (IV) relationship; (b) the genetic variants are not confounded by factors that could potentially distort the relationship between exposure and outcome; and (c) the genetic variants exert their influence on the outcome solely through the exposure and not through any extraneous biological pathways, thereby maintaining the integrity of the causal inference [20].

Workflow of the forward MR analysis revealing a causal relationship between hemorrhoids with CVDs. The same strategy was applied for the reverse analysis, but the outcomes and exposures were reversed. GWAS, genome-wide association studies; MR, Mendelian randomization; SNP, single-nucleotide polymorphism; IVW, inverse-variance weighted.
2.2 Data sources
The GWAS summary data for hemorrhoids were obtained from the IEU GWAS database (https://gwas.mrcieu.ac.uk/). Furthermore, the GWAS summary data for various heart conditions, including arrhythmias, heart failure, myocardial infarction, atrial fibrillation, and coronary artery disease, were sourced from publications [21,22,23,24,25]. Specifically, the arrhythmia study encompassed a substantial 484,598 cases [21]. The heart failure study included 977,323 cases [22]. Myocardial infarction was the subject of a study that evaluated 14,825 cases alongside 44,000 controls [23]. Atrial fibrillation was explored in a study that featured 60,620 cases and 970,216 controls [24]. Finally, the coronary artery disease study involved 60,801 cases [25]. The detailed information for each dataset is presented in Table S1. This study is based on publicly available summary statistics, and no ethical approval is required.
2.3 IV selection
The approach to IV selection was predicated on a series of stringent criteria aimed at ensuring the reliability and validity of our genetic IVs. First, SNPs associated with the genome-wide significance of coronary artery disease were screened, that is, they met P < 5 × 10−8, and the remaining exposures met P < 5 × 10−6 because too few SNPs were identified using the more stringent threshold [26]. For the reverse analysis, all SNPs satisfied the P < 5 × 10−8 threshold. Then, SNPs with a minor allele frequency (MAF) > 0.01 were exclusively considered, a criterion that assured the SNPs’ representation in the population and their suitability as proxies for the genetic trait of interest [26]. A stringent LD exclusion criterion was applied to mitigate the potential confounding effects of linkage disequilibrium (LD). It involved maintaining R 2 < 0.001 within a defined window size of 10,000 kb, thereby preserving the independence and strength of the selected IVs [27]. In instances where an initially identified IV was absent from the outcome’s summary data, a high-LD proxy (R 2 > 0.8) was found that could effectively capture the genetic influence of the exposure. This step was crucial for ensuring the continuity of our genetic pathway analysis [26]. The strength of each IV was rigorously assessed using the F-statistic, a measure calculated as F = R 2 × (N − 2)/(1 − R 2), where R 2 represents the SNP’s proportionate contribution to the variability of the exposure within the IV. An F-value >10 was considered the threshold for confirming the IVs’ robustness [28,29].
2.4 MR analysis
The inverse-variance weighted (IVW) method was employed as the primary approach in the present study. Given the potential for heterogeneity between individual SNP causal estimates, the random-effect IVW model was utilized. This method is pivotal for interpreting MR findings, as it calculates the weighted average of the effect size, with the inverse variance of each SNP serving as the weight [30]. The odds ratio (OR) and its corresponding 95% confidence interval (CI) were determined to assess the causal relationship between the exposure and risk of the outcome under investigation. In addition, other complementary methods were used to enhance the robustness and reliability of the results. The MR-Egger method was used to address potential pleiotropic bias. This method acknowledges the presence of an intercept term and is adept at providing an accurate estimation of the causal effect even in scenarios where such bias is evident [31]. The weighted median method was also incorporated into this study. This approach operates under the assumption that at least half of the IVs are valid and is utilized to scrutinize the causal association between the exposure and the outcome [32]. All analyses were performed using R 4.0.5 along with the “Two-sample MR” package [33].
2.5 Sensitivity analysis
Cochran’s Q test was applied to assess the degree of heterogeneity among the IVs used in this study [34]. Taking into account the potential impact of the pleiotropic effects of genetic variation on the estimation of the association effect, the MR-Egger regression approach was adopted. Furthermore, the MR pleiotropy residual sum and outlier (MR-PRESSO) method was implemented to identify and correct for any potential outliers among the SNPs (defined as those with a P-value <0.05). After the exclusion of such outliers, the causal association was re-estimated, thus addressing and mitigating the influence of horizontal pleiotropy [35]. The leave-one-out analysis was conducted to ensure the robustness and consistency of our findings, providing insight into the influence of each individual IV on the overall MR estimate and confirming the stability of the observed associations [36].
Radial MR analysis was employed both to identify influential outliers [37] and to provide robust causal estimates after their exclusion. SNPs identified as outliers in both IVW and Egger’s radial MR analyses were re-examined after eliminating the outliers. If there was no heterogeneity, the results were retained.
-
Ethics approval and consent to participate: This article is a Mendelian randomization study. The data for this study were obtained from publicly available databases and published literature data and do not require ethical approval and written informed consent.
-
Consent for publication: Not applicable.
3 Results
3.1 IV selection
For the forward analysis, utilizing MR analysis with hemorrhoids as the exposure, 93 IVs related to arrhythmia, heart failure, myocardial infarction, atrial fibrillation, and coronary artery disease were selected. The average F-statistic for these IVs was 54.27, with the minimum F-statistic being 29.64 and the maximum reaching 203.18 (Tables S2 and S3). When arrhythmia, heart failure, or myocardial infarction served as the outcome, all SNPs were successfully matched with corresponding information in the summary data. However, for atrial fibrillation, one SNP could not be matched with the summary data, and no suitable proxy SNP was located. A similar issue arose with coronary artery disease as the outcome, where one SNP was unmatched, without a proxy SNP. For the reverse analysis, utilizing MR analysis with arrhythmia, heart failure, myocardial infarction, atrial fibrillation, and coronary artery disease as the exposures, 12, 111, 41, 12, and 78 SNPs were initially identified, respectively, with mean F-values of 85.08, 83.78, 61.28, 41.50, and 65.98, respectively (Table S4).
3.2 Causal effect of hemorrhoids on CVD
The MR analyses demonstrated that, following adjustment for multiple variables, there were no statistically significant associations between hemorrhoids and the risks associated with arrhythmia (OR = 0.9998, 95% CI: 0.9979–1.0017, P = 0.83), heart failure (OR = 0.94, 95% CI: 0.87–1.02, P = 0.14), myocardial infarction (OR = 0.94, 95% CI: 0.83–1.05, P = 0.27), atrial fibrillation (OR = 0.98, 95% CI: 0.90–1.06, P = 0.55), and coronary artery disease (OR = 0.99, 95% CI: 0.88–1.11, P = 0.84) when employing the IVW method, as depicted in Table 1. These findings were supported by the MR-Egger, weighted median, and weighted mode methods (all P > 0.05).
MR analysis of causal association between hemorrhoids and CVD
| Exposure | Outcome | No. SNPs | Methods | OR (95% CI) | P |
|---|---|---|---|---|---|
| Hemorrhoids | Arrhythmia | 93 | IVW | 0.9998 (0.9979–1.0017) | 0.83 |
| MR-Egger | 0.9989 (0.9928–1.0051) | 0.74 | |||
| Weighted median | 0.9989 (0.9963–1.0016) | 0.43 | |||
| Weighted mode | 0.9991 (0.9944–1.0039) | 0.72 | |||
| Heart failure | 93 | IVW | 0.94 (0.87–1.02) | 0.14 | |
| MR-Egger | 0.86 (0.67–1.12) | 0.27 | |||
| Weighted median | 0.93 (0.84–1.03) | 0.16 | |||
| Weighted mode | 0.89 (0.7–1.14) | 0.36 | |||
| Myocardial infarction | 93 | IVW | 0.94 (0.83–1.05) | 0.27 | |
| MR-Egger | 0.70 (0.48–1.02) | 0.06 | |||
| Weighted median | 1.02 (0.93–1.11) | 0.72 | |||
| Weighted mode | 1.05 (0.89–1.25) | 0.57 | |||
| Atrial fibrillation | 92 | IVW | 0.98 (0.90–1.06) | 0.55 | |
| MR-Egger | 0.95 (0.72–1.24) | 0.69 | |||
| Weighted median | 0.99 (0.91–1.08) | 0.90 | |||
| Weighted mode | 1.03 (0.84–1.27) | 0.75 | |||
| Coronary artery disease | 92 | IVW | 0.99 (0.88–1.11) | 0.84 | |
| MR-Egger | 0.83 (0.56–1.23) | 0.35 | |||
| Weighted median | 0.96 (0.86–1.08) | 0.50 | |||
| Weighted mode | 0.88 (0.72–1.08) | 0.22 |
A sensitivity analysis was conducted to verify the reliability of the IVW results. The MR-Egger regression analysis indicated that the study findings were not confounded by horizontal pleiotropy (all P > 0.05, Table S5). The Cochran’s Q test combined with the IVW method revealed that there was heterogeneity for the analyses of hemorrhoids and heart failure (IVW: Q = 133.1149, P = 6 × 10−5), myocardial infarction (IVW: Q = 409.6819, P = 0), atrial fibrillation (IVW: Q = 242.6223, P = 0), and coronary artery disease (IVW: Q = 239.7280, P = 0). In contrast, no such heterogeneity was observed between hemorrhoids and arrhythmia (IVW: Q = 103.3811, P = 0.12557) (Table S5).
In addition, the MR-PRESSO analysis identified some specific outliers. For heart failure as the outcome, three outliers were identified. When considering myocardial infarction, the analysis revealed nine outliers. Atrial fibrillation showed four outliers, and coronary artery disease had six outliers (Table S6). Significantly, upon the exclusion of these outliers, the association between hemorrhoids and these heart conditions continued to be non-significant (Table S7).
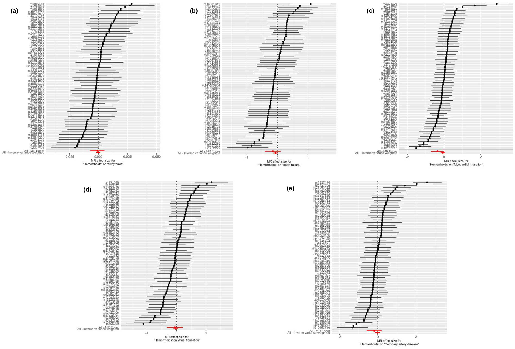
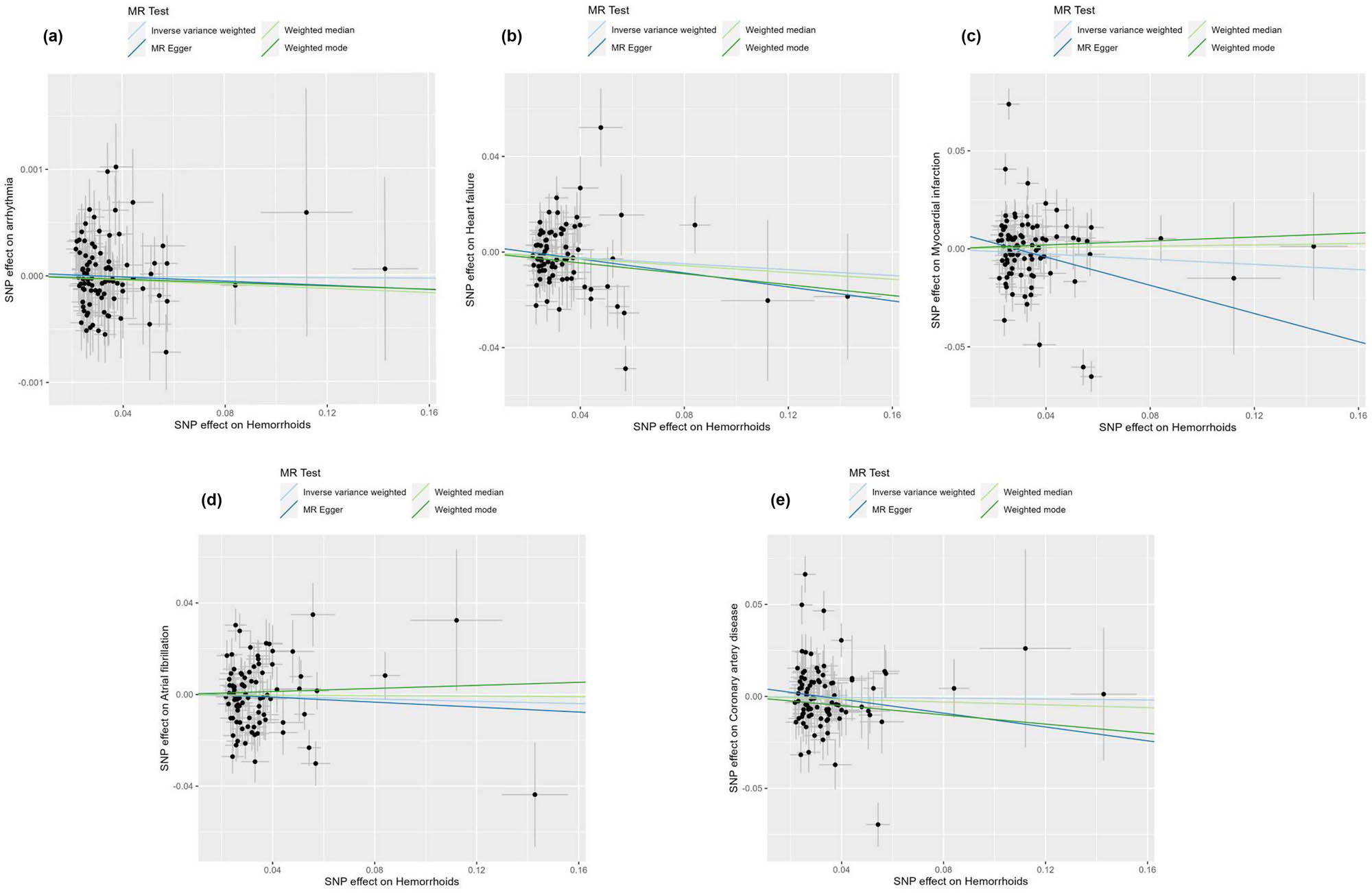
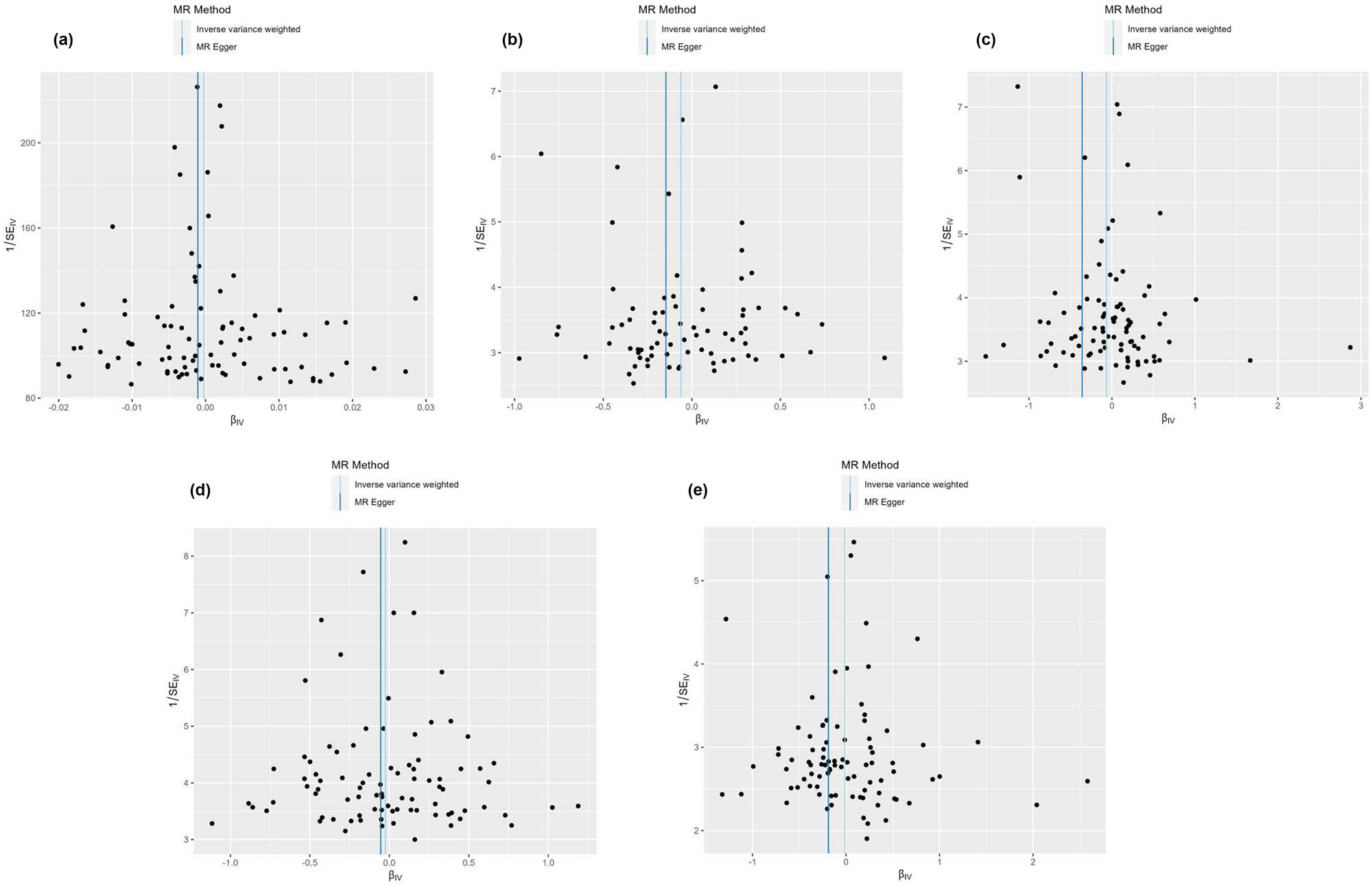
The forest plot, as shown in Figure 2, features horizontal solid lines that correspond to the estimated results derived from individual SNPs. The visual representations of the causal associations from the MR analysis are presented in Figure 3. The funnel plot (Figure 4) demonstrates a symmetrical distribution around the effect estimate line. Additionally, the robustness of the findings was confirmed by sensitivity analyses using the leave-one-out method (Figure 5), which suggested that the above findings were robust, even when excluding the contribution of each SNP.

Forest plot of the MR effect size for determining the potential relationship between hemorrhoids with CVDs, including arrhythmia (a), heart failure (b), myocardial infarction (c), atrial fibrillation (d), and coronary artery disease (e). MR, Mendelian randomization.

Scatter plot of the four MR models for determining the potential relationship between hemorrhoids with CVDs, including arrhythmia (a), heart failure (b), myocardial infarction (c), atrial fibrillation (d), and coronary artery disease (e).

Funnel plot of the IVW model and MR-Egger model for determining the potential relationship between hemorrhoids with CVDs, including arrhythmia (a), heart failure (b), myocardial infarction (c), atrial fibrillation (d), and coronary artery disease (e).

MR leave-one-out sensitivity analysis for determining the potential relationship between hemorrhoids with CVDs, including arrhythmia (a), heart failure (b), myocardial infarction (c), atrial fibrillation (d), and coronary artery disease (e).
The genetic prediction results showed that after the SNPs identified as outliers in both the IVW and Egger radial MR analyses were excluded, there were no significant associations in all subsequent analyses, as shown in Table 2 and Figure 6. The heterogeneity test revealed that there was no heterogeneity in all analyses, and the results of the MR-Egger regression analysis indicated that all analyses were not affected by horizontal pleiotropy (Table S8). The MR-PRESSO analysis suggested that there are no outliers in the analysis, as shown in Table S9.
Forward MR analysis (radial MR after eliminating outliers)
| Exposure | Outcome | No. SNP | Method | OR (95% CI) | P |
|---|---|---|---|---|---|
| Hemorrhoids | Arrhythmia | 85 | IVW | 0.9992 (0.9974–1.0010) | 0.382 |
| Hemorrhoids | Arrhythmia | 85 | MR Egger | 0.9986 (0.9930–1.0043) | 0.632 |
| Hemorrhoids | Arrhythmia | 85 | Weighted median | 0.9989 (0.9963–1.0015) | 0.405 |
| Hemorrhoids | Arrhythmia | 85 | Weighted mode | 0.9990 (0.9944–1.0036) | 0.671 |
| Hemorrhoids | Atrial fibrillation | 66 | IVW | 0.9797 (0.9236–1.0392) | 0.496 |
| Hemorrhoids | Atrial fibrillation | 66 | MR Egger | 0.9790 (0.8121–1.1802) | 0.825 |
| Hemorrhoids | Atrial fibrillation | 66 | Weighted median | 0.9977 (0.9181–1.0841) | 0.956 |
| Hemorrhoids | Atrial fibrillation | 66 | Weighted mode | 1.0540 (0.8683–1.2796) | 0.596 |
| Hemorrhoids | Coronary artery disease | 75 | IVW | 0.9632 (0.8928–1.0392) | 0.333 |
| Hemorrhoids | Coronary artery disease | 75 | MR Egger | 1.0515 (0.8182–1.3514) | 0.696 |
| Hemorrhoids | Coronary artery disease | 75 | Weighted median | 0.9606 (0.8587–1.0745) | 0.482 |
| Hemorrhoids | Coronary artery disease | 75 | Weighted mode | 0.8342 (0.6536–1.0648) | 0.150 |
| Hemorrhoids | Heart failure | 68 | IVW | 0.9510 (0.8902–1.0159) | 0.136 |
| Hemorrhoids | Heart failure | 68 | MR Egger | 0.9114 (0.7414–1.1204) | 0.382 |
| Hemorrhoids | Heart failure | 68 | Weighted median | 0.9338 (0.8422–1.0354) | 0.194 |
| Hemorrhoids | Heart failure | 68 | Weighted mode | 0.8929 (0.6956–1.1462) | 0.377 |
| Hemorrhoids | Myocardial infarction | 71 | IVW | 0.9882 (0.9293–1.0507) | 0.704 |
| Hemorrhoids | Myocardial infarction | 71 | MR Egger | 1.0120 (0.8310–1.2325) | 0.906 |
| Hemorrhoids | Myocardial infarction | 71 | Weighted median | 1.0262 (0.9394–1.1209) | 0.567 |
| Hemorrhoids | Myocardial infarction | 71 | Weighted mode | 1.0700 (0.8950–1.2792) | 0.460 |
OR: Odds ratio; CI: Confidence interval; and FDR: False discovery rate.

Egger radial MR analyses of the impact of hemorrhoids on arrhythmia (a), heart failure (B), myocardial infarction (c), atrial fibrillation (d), and coronary artery disease (e).
3.3 Causal effect of CVD on hemorrhoids
The genetic prediction results showed that after the SNPs identified as outliers in both the IVW and Egger radial MR analyses were removed, there were no statistically significant associations in all analyses (Table 3 and Figure 7). Cochran’s test revealed no heterogeneity in all analyses. MR-Egger regression indicated the absence of horizontal pleiotropy as well (Table S10). MR-PRESSO suggested the absence of outliers in the analysis (Table S11).
Reverse MR analysis (radial MR after eliminating outliers)
| Exposure | Outcome | No. SNPs | Method | OR (95% CI) | P |
|---|---|---|---|---|---|
| Arrhythmia | Hemorrhoids | 8 | IVW | 2.2542 (0.7602–6.6843) | 0.143 |
| Arrhythmia | Hemorrhoids | 8 | MR Egger | 3.4228 (0.4503–26.0182) | 0.279 |
| Arrhythmia | Hemorrhoids | 8 | Weighted median | 2.3358 (0.6431–8.4839) | 0.197 |
| Arrhythmia | Hemorrhoids | 8 | Weighted mode | 2.5545 (0.6344–10.2865) | 0.228 |
| Atrial fibrillation | Hemorrhoids | 91 | IVW | 1.0095 (0.9960–1.0233) | 0.168 |
| Atrial fibrillation | Hemorrhoids | 91 | MR Egger | 1.0222 (0.9921–1.0533) | 0.153 |
| Atrial fibrillation | Hemorrhoids | 91 | Weighted median | 1.0137 (0.9916–1.0363) | 0.227 |
| Atrial fibrillation | Hemorrhoids | 91 | Weighted mode | 1.0175 (0.9915–1.0442) | 0.192 |
| Coronary artery disease | Hemorrhoids | 25 | IVW | 1.0228 (0.9992–1.0469) | 0.058 |
| Coronary artery disease | Hemorrhoids | 25 | MR Egger | 0.9987 (0.9377–1.0636) | 0.967 |
| Coronary artery disease | Hemorrhoids | 25 | Weighted median | 1.0426 (1.0086–1.0777) | 0.014 |
| Coronary artery disease | Hemorrhoids | 25 | Weighted mode | 1.0539 (0.9868–1.1255) | 0.131 |
| Heart failure | Hemorrhoids | 3 | IVW | 0.9368 (0.8381–1.0472) | 0.251 |
| Heart failure | Hemorrhoids | 3 | MR Egger | 1.0370 (0.8233–1.3062) | 0.810 |
| Heart failure | Hemorrhoids | 3 | Weighted median | 0.9209 (0.8019–1.0575) | 0.243 |
| Heart failure | Hemorrhoids | 3 | Weighted mode | 0.8824 (0.7387–1.0540) | 0.302 |
| Myocardial infarction | Hemorrhoids | 51 | IVW | 0.9851 (0.9649–1.0057) | 0.155 |
| Myocardial infarction | Hemorrhoids | 51 | MR Egger | 0.9814 (0.9281–1.0377) | 0.512 |
| Myocardial infarction | Hemorrhoids | 51 | Weighted median | 0.9903 (0.9611–1.0203) | 0.522 |
| Myocardial infarction | Hemorrhoids | 51 | Weighted mode | 1.0241 (0.9609–1.0915) | 0.467 |
OR: Odds ratio; CI: Confidence interval; and FDR: False discovery rate.

Egger radial MR analyses of the impact of arrhythmia (a), heart failure (b), myocardial infarction (c), atrial fibrillation (d), and coronary artery disease (e) on hemorrhoids.
4 Discussion
This study utilized an MR approach to explore the potential causal relationships between hemorrhoids and CVD. Our investigation, encompassing IVW, MR-Egger regression, weighted median, weighted mode methods, and radial MR analysis, did not reveal a significant association between genetically determined hemorrhoids and the risk of CVD. The reverse analysis yielded no significant associations either. Although MR-PRESSO identified outliers for several CVD outcomes (heart failure, myocardial infarction, atrial fibrillation, and coronary artery disease), subsequent analyses excluding these outliers, including radial MR, consistently showed no significant causal association between hemorrhoids and these conditions. Furthermore, the lack of significant heterogeneity across IVs, as evidenced by Cochran’s Q test, along with the leave-one-out analysis, substantiated the robustness of the results.
Despite the absence of a statistically significant causal association between hemorrhoids and CVD in the present MR analysis, the biological plausibility of a relationship between these conditions remains a topic of interest. The retrospective cohort study by Chang et al., which utilized reimbursement claims data from the Longitudinal Health Insurance Database 2000 in Taiwan, included 33,034 patients with hemorrhoids and 132,136 matched controls. After applying a Cox model to estimate the development of coronary heart disease, they reported that patients with hemorrhoids had a 1.27-fold higher risk of coronary heart disease compared with those without hemorrhoids, even after adjusting for potential confounding factors over a 12-year follow-up period [12]. This suggests several biological mechanisms: a high-fat diet could increase hemorrhoid risk due to intra-abdominal pressure from bowel movements, and obesity, a known risk factor for hemorrhoids, may contribute through stress on rectal muscles [12,38,39,40]. These factors are linked to atherosclerosis, a significant contributor to CVD [41,42,43].
However, Loosen et al. observed an increased rate of hemorrhoid diagnosis with a decreased incidence of coronary heart disease in the year prior to a colorectal cancer diagnosis [13], indicating a potential complexity in the relationship between hemorrhoids and CVD. The contrasting results may be due to biases inherent in the use of reimbursement claims data by Chang et al., such as misclassification or incomplete comorbidity capture [12]. In contrast, Loosen et al.’s focus on a specific patient population – those diagnosed with colorectal cancer – could represent unique risk factors and behaviors not seen in the general population [13]. The differences between these observational studies and the present MR analysis could be influenced by the cardiovascular system’s complexity, unaccounted gene–environment interactions, or other genetic or epigenetic factors not captured in our MR analysis. Besides, it is speculated that hemorrhoids and CVDs share risk factors such as obesity and diet, which lead to the correlation between them [44,45]. These factors may contribute to the inconsistencies observed in the relationship between hemorrhoids and CVD across various studies. Nonetheless, the present study contributes to the growing body of literature on the interplay between overt and covert health conditions. It emphasizes the importance of rigorous epidemiological and genetic methods in disentangling complex relationships between phenotypes and underscores the need for further research to identify dominant hemorrhoid manifestations as predictors for latent diseases such as CVD.
Previous studies suggested that hemorrhoids, particularly those with internal prolapse, may be a marker for increased risk of CVDs [12,46]. In addition, hemorrhoids and CVDs can be influenced by similar lifestyle factors [12,46]. On the other hand, the reverse analysis performed here showed no causal association between CVDs as exposure and hemorrhoids as outcome. Hence, it is plausible that CVDs and hemorrhoids are both the product of similar risk factors instead of sharing a causal relationship. Confounding is an important source of misinterpretation found in observational studies, and it is often difficult to eliminate despite the use of statistical methods like multivariable adjustment. On the other hand, MR analyses allow the observation of causality at the genetic prediction level without interference from confounders [47].
A strength of the present study is the MR method, which capitalizes on the random distribution of alleles during gamete formation to estimate causal effects, thereby reducing bias. The large sample size and the use of multiple causality assessment methods enhance the reliability of the findings. It is also important to consider the limitations of this MR study. The predominantly European ancestry of the study population may limit the generalizability of the results to other ethnic groups. Additionally, the cross-sectional nature of the GWAS data employed in the analysis restricts the capacity to draw temporal inferences, and there is an inherent potential for unmeasured confounding factors that could impact the relationship between hemorrhoids and CVD. Finally, this study used a radial MR analysis [37], adding strength to the study results.
Our initial MR analyses revealed heterogeneity in the associations between hemorrhoids and several CVDs. While precisely identifying the source of this heterogeneity is challenging, several factors can contribute to it in MR studies. These typically stem from violations of IV assumptions or underlying mechanistic complexities, including genetic variants with small effects on the risk factor amplify biases from pleiotropy [20,48]. Ancestry-related confounding can increase heterogeneity (e.g., genetic variants associated with socio-environmental factors) [48,49]. Parental genotypes influence offspring outcomes independently of the child’s genotype (e.g., via behavioral or epigenetic inheritance) [48]. Trait heterogeneity can also be responsible, especially when the risk factor represents a composite entity with subcomponents exerting distinct effects [49,50]. Methodological and analytical factors can lead to heterogeneity, including overlap bias (genetic associations for exposure and outcome derive from non-overlapping cohorts), NOME violation (ignoring uncertainty in genetic-exposure associations inflates heterogeneity), and outliers (single variants with extreme causal estimates distort pooled analyses) [51,52]. Last but not least, biological complexity plays a central role in disease associations, including non-linear effects (risk factor impacts vary by dosage or subpopulation, as in a U-shaped relationship) and context-dependent effects (variants influence outcomes only under specific environmental conditions). However, the present study employed several methods to address and mitigate the impact of heterogeneity. The IVW random-effects model itself can accommodate some heterogeneity [53]. Furthermore, complementary MR methods with different assumptions about pleiotropy, such as weighted median and MR-Egger regression, were utilized [31,54]. Crucially, the MR-PRESSO method was applied to detect and remove outlier SNPs, and subsequent radial MR analyses on the filtered datasets showed no significant causal effects and resolved heterogeneity, strengthening the robustness of our null findings.
In conclusion, this MR analysis, including a radial MR analysis, does not support a causal association between hemorrhoids and CVD in either direction. As the understanding of CVD and hemorrhoid etiology continues to evolve, further research is necessary to disentangle the multifactorial influences of multiple factors on the risk and progression of hemorrhoids and CVD. Determining the common risk factors and the mechanisms shared by the two conditions may ultimately inform the development of novel preventive and therapeutic strategies for CVD and hemorrhoids, two conditions that pose significant challenges to global public health.
Acknowledgments
None.
-
Funding information: The authors state that no funding information.
-
Author contributions: Xin Ge and Weixin Tang carried out the studies, participated in collecting data, and drafted the manuscript. Xin Ge and Jingmin Ni performed the statistical analysis and participated in its design. Xin Ge and Weixin Tang participated in the acquisition, analysis, or interpretation of data and drafted the manuscript. All authors read and approved the final manuscript.
-
Conflict of interest: The authors state that no conflict of interest.
-
Data availability statement: All data generated or analyzed during this study are included in this article and supplementary information files.
References
[1] Leong DP, Joseph PG, McKee M, Anand SS, Teo KK, Schwalm JD, et al. Reducing the global burden of cardiovascular disease, Part 2: Prevention and treatment of cardiovascular disease. Circ Res. 2017;121(6):695–710. 10.1161/CIRCRESAHA.117.311849.Search in Google Scholar PubMed
[2] Leopold JA, Loscalzo J. Emerging role of precision medicine in cardiovascular disease. Circ Res. 2018;122(9):1302–15. 10.1161/CIRCRESAHA.117.310782.Search in Google Scholar PubMed PubMed Central
[3] Townsend N, Kazakiewicz D, Lucy Wright F, Timmis A, Huculeci R, Torbica A, et al. Epidemiology of cardiovascular disease in Europe. Nat Rev Cardiol. 2022;19(2):133–43. 10.1038/s41569-021-00607-3.Search in Google Scholar PubMed
[4] Zhao D, Liu J, Wang M, Zhang X, Zhou M. Epidemiology of cardiovascular disease in China: Current features and implications. Nat Rev Cardiol. 2019;16(4):203–12. 10.1038/s41569-018-0119-4.Search in Google Scholar PubMed
[5] Zhao YT, Wang L. ST-T alternans in acute myocardial infarction as a risk predictor for fatal ventricular arrhythmia. JAMA Intern Med. 2024;184(3):335–6. 10.1001/jamainternmed.2023.7720.Search in Google Scholar PubMed
[6] Francula-Zaninovic S, Nola IA. Management of measurable variable cardiovascular disease’ risk factors. Curr Cardiol Rev. 2018;14(3):153–63. 10.2174/1573403X14666180222102312.Search in Google Scholar PubMed PubMed Central
[7] Holthuis EI, Visseren FLJ, Bots ML, Peters SAE, group U-SS. Risk factor clusters and cardiovascular disease in high-risk patients: The UCC-SMART study. Glob Heart. 2021;16(1):85. 10.5334/gh.897.Search in Google Scholar PubMed PubMed Central
[8] Loder PB, Kamm MA, Nicholls RJ, Phillips RK. Haemorrhoids: Pathology, pathophysiology and aetiology. Br J Surg. 1994;81(7):946–54. 10.1002/bjs.1800810707.Search in Google Scholar PubMed
[9] Talaie R, Torkian P, Moghadam AD, Tradi F, Vidal V, Sapoval M, et al. Hemorrhoid embolization: A review of current evidences. Diagn Interv Imaging. 2022;103(1):3–11. 10.1016/j.diii.2021.07.001.Search in Google Scholar PubMed
[10] Kaidar-Person O, Person B, Wexner SD. Hemorrhoidal disease: A comprehensive review. J Am Coll Surg. 2007;204(1):102–17. 10.1016/j.jamcollsurg.2006.08.022.Search in Google Scholar PubMed
[11] Chang S-S, Sung F-C, Lin C-L, Hu W-S. Association between hemorrhoid and risk of coronary heart disease: A nationwide population-based cohort study. Medicine. 2017;96(31):e7662. 10.1097/md.0000000000007662.Search in Google Scholar
[12] Chang SS, Sung FC, Lin CL, Hu WS. Association between hemorrhoid and risk of coronary heart disease: A nationwide population-based cohort study. Medicine (Baltimore). 2017;96(31):e7662. 10.1097/MD.0000000000007662.Search in Google Scholar
[13] Loosen SH, Scholer D, Labuhn S, Mertens A, Jordens MS, Luedde M, et al. The spectrum of co-diagnoses in patients with colorectal cancer: A retrospective cohort study of 17,824 outpatients in germany. Cancers (Basel). 2022;14(15):3825. 10.3390/cancers14153825.Search in Google Scholar PubMed PubMed Central
[14] Savitz DA, Wellenius GA. Can cross-sectional studies contribute to causal inference? It depends. Am J Epidemiol. 2023;192(4):514–6. 10.1093/aje/kwac037.Search in Google Scholar PubMed
[15] Pandis N. Cross-sectional studies. Am J Orthod Dentofac Orthopedics. 2014;146(1):127–9. 10.1016/j.ajodo.2014.05.005.Search in Google Scholar PubMed
[16] Streeter AJ, Lin NX, Crathorne L, Haasova M, Hyde C, Melzer D, et al. Adjusting for unmeasured confounding in nonrandomized longitudinal studies: A methodological review. J Clin Epidemiol. 2017;87:23–34. 10.1016/j.jclinepi.2017.04.022.Search in Google Scholar PubMed PubMed Central
[17] Davey Smith G, Hemani G. Mendelian randomization: Genetic anchors for causal inference in epidemiological studies. Hum Mol Genet. 2014;23(R1):R89–98. 10.1093/hmg/ddu328.Search in Google Scholar PubMed PubMed Central
[18] Emdin CA, Khera AV, Kathiresan S. Mendelian randomization. JAMA. 2017;318(19):1925–6. 10.1001/jama.2017.17219.Search in Google Scholar PubMed
[19] Sekula P, Del Greco MF, Pattaro C, Kottgen A. Mendelian randomization as an approach to assess causality using observational data. J Am Soc Nephrol. 2016;27(11):3253–65. 10.1681/ASN.2016010098.Search in Google Scholar PubMed PubMed Central
[20] Davies NM, Holmes MV, Davey Smith G. Reading Mendelian randomisation studies: A guide, glossary, and checklist for clinicians. BMJ. 2018;362:k601. 10.1136/bmj.k601.Search in Google Scholar PubMed PubMed Central
[21] Donertas HM, Fabian DK, Valenzuela MF, Partridge L, Thornton JM. Common genetic associations between age-related diseases. Nat Aging. 2021;1(4):400–12. 10.1038/s43587-021-00051-5.Search in Google Scholar PubMed PubMed Central
[22] Shah S, Henry A, Roselli C, Lin H, Sveinbjornsson G, Fatemifar G, et al. Genome-wide association and Mendelian randomisation analysis provide insights into the pathogenesis of heart failure. Nat Commun. 2020;11(1):163. 10.1038/s41467-019-13690-5.Search in Google Scholar PubMed PubMed Central
[23] Hartiala JA, Han Y, Jia Q, Hilser JR, Huang P, Gukasyan J, et al. Genome-wide analysis identifies novel susceptibility loci for myocardial infarction. Eur Heart J. 2021;42(9):919–33. 10.1093/eurheartj/ehaa1040.Search in Google Scholar PubMed PubMed Central
[24] Nielsen JB, Thorolfsdottir RB, Fritsche LG, Zhou W, Skov MW, Graham SE, et al. Biobank-driven genomic discovery yields new insight into atrial fibrillation biology. Nat Genet. 2018;50(9):1234–9. 10.1038/s41588-018-0171-3.Search in Google Scholar PubMed PubMed Central
[25] Nikpay M, Goel A, Won HH, Hall LM, Willenborg C, Kanoni S, et al. A comprehensive 1,000 Genomes-based genome-wide association meta-analysis of coronary artery disease. Nat Genet. 2015;47(10):1121–30. 10.1038/ng.3396.Search in Google Scholar PubMed PubMed Central
[26] Yin KJ, Huang JX, Wang P, Yang XK, Tao SS, Li HM, et al. No genetic causal association between periodontitis and arthritis: A bidirectional two-sample mendelian randomization analysis. Front Immunol. 2022;13:808832. 10.3389/fimmu.2022.808832.Search in Google Scholar PubMed PubMed Central
[27] Genomes Project C, Abecasis GR, Altshuler D, Auton A, Brooks LD, Durbin RM, et al. A map of human genome variation from population-scale sequencing. Nature. 2010;467(7319):1061–73. 10.1038/nature09534.Search in Google Scholar PubMed PubMed Central
[28] Burgess S, Thompson SG. Bias in causal estimates from Mendelian randomization studies with weak instruments. Stat Med. 2011;30(11):1312–23. 10.1002/sim.4197.Search in Google Scholar PubMed
[29] Burgess S, Thompson SG, Collaboration CCG. Avoiding bias from weak instruments in Mendelian randomization studies. Int J Epidemiol. 2011;40(3):755–64. 10.1093/ije/dyr036.Search in Google Scholar PubMed
[30] Burgess S, Butterworth A, Thompson SG. Mendelian randomization analysis with multiple genetic variants using summarized data. Genet Epidemiol. 2013;37(7):658–65. 10.1002/gepi.21758.Search in Google Scholar PubMed PubMed Central
[31] Burgess S, Thompson SG. Interpreting findings from Mendelian randomization using the MR-Egger method. Eur J Epidemiol. 2017;32(5):377–89. 10.1007/s10654-017-0255-x.Search in Google Scholar PubMed PubMed Central
[32] Bowden J, Davey Smith G, Haycock PC, Burgess S. Consistent estimation in mendelian randomization with some invalid instruments using a weighted median estimator. Genet Epidemiol. 2016;40(4):304–14. 10.1002/gepi.21965.Search in Google Scholar PubMed PubMed Central
[33] Hemani G, Zheng J, Elsworth B, Wade KH, Haberland V, Baird D, et al. The MR-base platform supports systematic causal inference across the human phenome. Elife. 2018;7:e34408. 10.7554/eLife.34408.Search in Google Scholar PubMed PubMed Central
[34] Bowden J, Spiller W, Del Greco MF, Sheehan N, Thompson J, Minelli C, et al. Improving the visualization, interpretation and analysis of two-sample summary data Mendelian randomization via the Radial plot and Radial regression. Int J Epidemiol. 2018;47(6):2100. 10.1093/ije/dyy265.Search in Google Scholar PubMed PubMed Central
[35] Verbanck M, Chen CY, Neale B, Do R. Detection of widespread horizontal pleiotropy in causal relationships inferred from Mendelian randomization between complex traits and diseases. Nat Genet. 2018;50(5):693–8. 10.1038/s41588-018-0099-7.Search in Google Scholar PubMed PubMed Central
[36] Wang Q, Codd V, Raisi-Estabragh Z, Musicha C, Bountziouka V, Kaptoge S, et al. Shorter leukocyte telomere length is associated with adverse COVID-19 outcomes: A cohort study in UK Biobank. EBioMedicine. 2021;70:103485. 10.1016/j.ebiom.2021.103485.Search in Google Scholar PubMed PubMed Central
[37] Spiller W, Bowden J, Sanderson E. Estimating and visualising multivariable Mendelian randomization analyses within a radial framework. PLoS Genet. 2024;20(12):e1011506. 10.1371/journal.pgen.1011506.Search in Google Scholar PubMed PubMed Central
[38] Lee JH, Kim HE, Kang JH, Shin JY, Song YM. Factors associated with hemorrhoids in korean adults: korean national health and nutrition examination survey. Korean J Fam Med. 2014;35(5):227–36. 10.4082/kjfm.2014.35.5.227.Search in Google Scholar PubMed PubMed Central
[39] Alonso-Coello P, Mills E, Heels-Ansdell D, Lopez-Yarto M, Zhou Q, Johanson JF, et al. Fiber for the treatment of hemorrhoids complications: A systematic review and meta-analysis. Am J Gastroenterol. 2006;101(1):181–8. 10.1111/j.1572-0241.2005.00359.x.Search in Google Scholar PubMed
[40] Johanson JF, Sonnenberg A. The prevalence of hemorrhoids and chronic constipation. An epidemiologic study. Gastroenterology. 1990;98(2):380–6. 10.1016/0016-5085(90)90828-o.Search in Google Scholar PubMed
[41] Mandviwala T, Khalid U, Deswal A. Obesity and cardiovascular disease: A risk factor or a risk marker? Curr Atheroscler Rep. 2016;18(5):21. 10.1007/s11883-016-0575-4.Search in Google Scholar PubMed
[42] Bonow RO, Smaha LA, Smith Jr SC, Mensah GA, Lenfant C. World Heart Day 2002: The international burden of cardiovascular disease: Responding to the emerging global epidemic. Circulation. 2002;106(13):1602–5. 10.1161/01.cir.0000035036.22612.2b.Search in Google Scholar PubMed
[43] Mehta JL, Saldeen TG, Rand K. Interactive role of infection, inflammation and traditional risk factors in atherosclerosis and coronary artery disease. J Am Coll Cardiol. 1998;31(6):1217–25. 10.1016/s0735-1097(98)00093-x.Search in Google Scholar PubMed
[44] De Marco S, Tiso D. Lifestyle and risk factors in hemorrhoidal disease. Front Surg. 2021;8:729166. 10.3389/fsurg.2021.729166.Search in Google Scholar PubMed PubMed Central
[45] Feng X, Zhu J, Hua Z, Yao S, Tong H. Comparison of obesity indicators for predicting cardiovascular risk factors and multimorbidity among the Chinese population based on ROC analysis. Sci Rep. 2024;14(1):20942. 10.1038/s41598-024-71914-1.Search in Google Scholar PubMed PubMed Central
[46] Eroglu E, Turkmen I, Algul S, Reddy V, Altinli E. Repurposing the incidental detection of internal hemorrhoids as an independent predictor of coronary artery disease risk. J Dis Markers. 2023;8(2):1054.10.26420/jdismarkers.2023.1054Search in Google Scholar
[47] Richmond RC, Davey Smith G. Mendelian randomization: Concepts and scope. Cold Spring Harb Perspect Med. 2022;12(1):a040501. 10.1101/cshperspect.a040501.Search in Google Scholar PubMed PubMed Central
[48] Burgess S, Davey Smith G, Davies NM, Dudbridge F, Gill D, Glymour MM, et al. Guidelines for performing Mendelian randomization investigations: Update for summer 2023. Wellcome Open Res. 2019;4:186. 10.12688/wellcomeopenres.15555.3.Search in Google Scholar PubMed PubMed Central
[49] Haycock PC, Burgess S, Wade KH, Bowden J, Relton C, Davey Smith G. Best (but oft-forgotten) practices: The design, analysis, and interpretation of Mendelian randomization studies. Am J Clin Nutr. 2016;103(4):965–78. 10.3945/ajcn.115.118216.Search in Google Scholar PubMed PubMed Central
[50] Burgess S, Foley CN, Allara E, Staley JR, Howson JMM. A robust and efficient method for Mendelian randomization with hundreds of genetic variants. Nat Commun. 2020;11(1):376. 10.1038/s41467-019-14156-4.Search in Google Scholar PubMed PubMed Central
[51] Rees JMB, Wood AM, Dudbridge F, Burgess S. Robust methods in Mendelian randomization via penalization of heterogeneous causal estimates. PLoS One. 2019;14(9):e0222362. 10.1371/journal.pone.0222362.Search in Google Scholar PubMed PubMed Central
[52] Bowden J, Holmes MV. Meta-analysis and Mendelian randomization: A review. Res Synth Methods. 2019;10(4):486–96. 10.1002/jrsm.1346.Search in Google Scholar PubMed PubMed Central
[53] McKenzie JE, Veroniki AA. A brief note on the random-effects meta-analysis model and its relationship to other models. J Clin Epidemiol. 2024;174:111492. 10.1016/j.jclinepi.2024.111492.Search in Google Scholar PubMed
[54] Slob EAW, Burgess S. A comparison of robust Mendelian randomization methods using summary data. Genet Epidemiol. 2020;44(4):313–29. 10.1002/gepi.22295.Search in Google Scholar PubMed PubMed Central
© 2025 the author(s), published by De Gruyter
This work is licensed under the Creative Commons Attribution 4.0 International License.
Articles in the same Issue
- Research Articles
- Network pharmacological analysis and in vitro testing of the rutin effects on triple-negative breast cancer
- Impact of diabetes on long-term survival in elderly liver cancer patients: A retrospective study
- Knockdown of CCNB1 alleviates high glucose-triggered trophoblast dysfunction during gestational diabetes via Wnt/β-catenin signaling pathway
- Risk factors for severe adverse drug reactions in hospitalized patients
- Analysis of the effect of ALA-PDT on macrophages in footpad model of mice infected with Fonsecaea monophora based on single-cell sequencing
- Development and validation of headspace gas chromatography with a flame ionization detector method for the determination of ethanol in the vitreous humor
- CMSP exerts anti-tumor effects on small cell lung cancer cells by inducing mitochondrial dysfunction and ferroptosis
- Predictive value of plasma sB7-H3 and YKL-40 in pediatric refractory Mycoplasma pneumoniae pneumonia
- Antiangiogenic potential of Elaeagnus umbellata extracts and molecular docking study by targeting VEGFR-2 pathway
- Comparison of the effectiveness of nurse-led preoperative counseling and postoperative follow-up care vs standard care for patients with gastric cancer
- Comparing the therapeutic efficacy of endoscopic minimally invasive surgery and traditional surgery for early-stage breast cancer: A meta-analysis
- Adhered macrophages as an additional marker of cardiomyocyte injury in biopsies of patients with dilated cardiomyopathy
- Association between statin administration and outcome in patients with sepsis: A retrospective study
- Exploration of the association between estimated glucose disposal rate and osteoarthritis in middle-aged and older adults: An analysis of NHANES data from 2011 to 2018
- A comparative analysis of the binary and multiclass classified chest X-ray images of pneumonia and COVID-19 with ML and DL models
- Lysophosphatidic acid 2 alleviates deep vein thrombosis via protective endothelial barrier function
- Transcription factor A, mitochondrial promotes lymph node metastasis and lymphangiogenesis in epithelial ovarian carcinoma
- Serum PM20D1 levels are associated with nutritional status and inflammatory factors in gastric cancer patients undergoing early enteral nutrition
- Hydromorphone reduced the incidence of emergence agitation after adenotonsillectomy in children with obstructive sleep apnea: A randomized, double-blind study
- Vitamin D replacement therapy may regulate sleep habits in patients with restless leg syndrome
- The first-line antihypertensive nitrendipine potentiated the therapeutic effect of oxaliplatin by downregulating CACNA1D in colorectal cancer
- Health literacy and health-related quality of life: The mediating role of irrational happiness
- Modulatory effects of Lycium barbarum polysaccharide on bone cell dynamics in osteoporosis
- Mechanism research on inhibition of gastric cancer in vitro by the extract of Pinellia ternata based on network pharmacology and cellular metabolomics
- Examination of the causal role of immune cells in non-alcoholic fatty liver disease by a bidirectional Mendelian randomization study
- Clinical analysis of ten cases of HIV infection combined with acute leukemia
- Investigating the cardioprotective potential of quercetin against tacrolimus-induced cardiotoxicity in Wistar rats: A mechanistic insights
- Clinical observation of probiotics combined with mesalazine and Yiyi Baitouweng Decoction retention enema in treating mild-to-moderate ulcerative colitis
- Diagnostic value of ratio of blood inflammation to coagulation markers in periprosthetic joint infection
- Sex-specific associations of sex hormone binding globulin and risk of bladder cancer
- Core muscle strength and stability-oriented breathing training reduces inter-recti distance in postpartum women
- The ERAS nursing care strategy for patients undergoing transsphenoidal endoscopic pituitary tumor resection: A randomized blinded controlled trial
- The serum IL-17A levels in patients with traumatic bowel rupture post-surgery and its predictive value for patient prognosis
- Impact of Kolb’s experiential learning theory-based nursing on caregiver burden and psychological state of caregivers of dementia patients
- Analysis of serum NLR combined with intraoperative margin condition to predict the prognosis of cervical HSIL patients undergoing LEEP surgery
- Commiphora gileadensis ameliorate infertility and erectile dysfunction in diabetic male mice
- The correlation between epithelial–mesenchymal transition classification and MMP2 expression of circulating tumor cells and prognosis of advanced or metastatic nasopharyngeal carcinoma
- Tetrahydropalmatine improves mitochondrial function in vascular smooth muscle cells of atherosclerosis in vitro by inhibiting Ras homolog gene family A/Rho-associated protein kinase-1 signaling pathway
- A cross-sectional study: Relationship between serum oxidative stress levels and arteriovenous fistula maturation in maintenance dialysis patients
- A comparative analysis of the impact of repeated administration of flavan 3-ol on brown, subcutaneous, and visceral adipose tissue
- Identifying early screening factors for depression in middle-aged and older adults: A cohort study
- Perform tumor-specific survival analysis for Merkel cell carcinoma patients undergoing surgical resection based on the SEER database by constructing a nomogram chart
- Unveiling the role of CXCL10 in pancreatic cancer progression: A novel prognostic indicator
- High-dose preoperative intraperitoneal erythropoietin and intravenous methylprednisolone in acute traumatic spinal cord injuries following decompression surgeries
- RAB39B: A novel biomarker for acute myeloid leukemia identified via multi-omics and functional validation
- Impact of peripheral conditioning on reperfusion injury following primary percutaneous coronary intervention in diabetic and non-diabetic STEMI patients
- Clinical efficacy of azacitidine in the treatment of middle- and high-risk myelodysplastic syndrome in middle-aged and elderly patients: A retrospective study
- The effect of ambulatory blood pressure load on mitral regurgitation in continuous ambulatory peritoneal dialysis patients
- Expression and clinical significance of ITGA3 in breast cancer
- Single-nucleus RNA sequencing reveals ARHGAP28 expression of podocytes as a biomarker in human diabetic nephropathy
- rSIG combined with NLR in the prognostic assessment of patients with multiple injuries
- Toxic metals and metalloids in collagen supplements of fish and jellyfish origin: Risk assessment for daily intake
- Exploring causal relationship between 41 inflammatory cytokines and marginal zone lymphoma: A bidirectional Mendelian randomization study
- Gender beliefs and legitimization of dating violence in adolescents
- Effect of serum IL-6, CRP, and MMP-9 levels on the efficacy of modified preperitoneal Kugel repair in patients with inguinal hernia
- Effect of smoking and smoking cessation on hematological parameters in polycythemic patients
- Pathogen surveillance and risk factors for pulmonary infection in patients with lung cancer: A retrospective single-center study
- Necroptosis of hippocampal neurons in paclitaxel chemotherapy-induced cognitive impairment mediates microglial activation via TLR4/MyD88 signaling pathway
- Celastrol suppresses neovascularization in rat aortic vascular endothelial cells stimulated by inflammatory tenocytes via modulating the NLRP3 pathway
- Cord-lamina angle and foraminal diameter as key predictors of C5 palsy after anterior cervical decompression and fusion surgery
- GATA1: A key biomarker for predicting the prognosis of patients with diffuse large B-cell lymphoma
- Influencing factors of false lumen thrombosis in type B aortic dissection: A single-center retrospective study
- MZB1 regulates the immune microenvironment and inhibits ovarian cancer cell migration
- Integrating experimental and network pharmacology to explore the pharmacological mechanisms of Dioscin against glioblastoma
- Trends in research on preterm birth in twin pregnancy based on bibliometrics
- Four-week IgE/baseline IgE ratio combined with tryptase predicts clinical outcome in omalizumab-treated children with moderate-to-severe asthma
- Single-cell transcriptomic analysis identifies a stress response Schwann cell subtype
- Acute pancreatitis risk in the diagnosis and management of inflammatory bowel disease: A critical focus
- Effect of subclinical esketamine on NLRP3 and cognitive dysfunction in elderly ischemic stroke patients
- Interleukin-37 mediates the anti-oral tumor activity in oral cancer through STAT3
- CA199 and CEA expression levels, and minimally invasive postoperative prognosis analysis in esophageal squamous carcinoma patients
- Efficacy of a novel drainage catheter in the treatment of CSF leak after posterior spine surgery: A retrospective cohort study
- Comprehensive biomedicine assessment of Apteranthes tuberculata extracts: Phytochemical analysis and multifaceted pharmacological evaluation in animal models
- Relation of time in range to severity of coronary artery disease in patients with type 2 diabetes: A cross-sectional study
- Dopamine attenuates ethanol-induced neuronal apoptosis by stimulating electrical activity in the developing rat retina
- Correlation between albumin levels during the third trimester and the risk of postpartum levator ani muscle rupture
- Factors associated with maternal attention and distraction during breastfeeding and childcare: A cross-sectional study in the west of Iran
- Mechanisms of hesperetin in treating metabolic dysfunction-associated steatosis liver disease via network pharmacology and in vitro experiments
- The law on oncological oblivion in the Italian and European context: How to best uphold the cancer patients’ rights to privacy and self-determination?
- The prognostic value of the neutrophil-to-lymphocyte ratio, platelet-to-lymphocyte ratio, and prognostic nutritional index for survival in patients with colorectal cancer
- Factors affecting the measurements of peripheral oxygen saturation values in healthy young adults
- Comparison and correlations between findings of hysteroscopy and vaginal color Doppler ultrasonography for detection of uterine abnormalities in patients with recurrent implantation failure
- The effects of different types of RAGT on balance function in stroke patients with low levels of independent walking in a convalescent rehabilitation hospital
- Causal relationship between asthma and ankylosing spondylitis: A bidirectional two-sample univariable and multivariable Mendelian randomization study
- Correlations of health literacy with individuals’ understanding and use of medications in Southern Taiwan
- Correlation of serum calprotectin with outcome of acute cerebral infarction
- Comparison of computed tomography and guided bronchoscopy in the diagnosis of pulmonary nodules: A systematic review and meta-analysis
- Curdione protects vascular endothelial cells and atherosclerosis via the regulation of DNMT1-mediated ERBB4 promoter methylation
- The identification of novel missense variant in ChAT gene in a patient with gestational diabetes denotes plausible genetic association
- Molecular genotyping of multi-system rare blood types in foreign blood donors based on DNA sequencing and its clinical significance
- Exploring the role of succinyl carnitine in the association between CD39⁺ CD4⁺ T cell and ulcerative colitis: A Mendelian randomization study
- Dexmedetomidine suppresses microglial activation in postoperative cognitive dysfunction via the mmu-miRNA-125/TRAF6 signaling axis
- Analysis of serum metabolomics in patients with different types of chronic heart failure
- Diagnostic value of hematological parameters in the early diagnosis of acute cholecystitis
- Pachymaran alleviates fat accumulation, hepatocyte degeneration, and injury in mice with nonalcoholic fatty liver disease
- Decrease in CD4 and CD8 lymphocytes are predictors of severe clinical picture and unfavorable outcome of the disease in patients with COVID-19
- METTL3 blocked the progression of diabetic retinopathy through m6A-modified SOX2
- The predictive significance of anti-RO-52 antibody in patients with interstitial pneumonia after treatment of malignant tumors
- Exploring cerebrospinal fluid metabolites, cognitive function, and brain atrophy: Insights from Mendelian randomization
- Development and validation of potential molecular subtypes and signatures of ocular sarcoidosis based on autophagy-related gene analysis
- Widespread venous thrombosis: Unveiling a complex case of Behçet’s disease with a literature perspective
- Uterine fibroid embolization: An analysis of clinical outcomes and impact on patients’ quality of life
- Discovery of lipid metabolism-related diagnostic biomarkers and construction of diagnostic model in steroid-induced osteonecrosis of femoral head
- Serum-derived exomiR-188-3p is a promising novel biomarker for early-stage ovarian cancer
- Enhancing chronic back pain management: A comparative study of ultrasound–MRI fusion guidance for paravertebral nerve block
- Peptide CCAT1-70aa promotes hepatocellular carcinoma proliferation and invasion via the MAPK/ERK pathway
- Electroacupuncture-induced reduction of myocardial ischemia–reperfusion injury via FTO-dependent m6A methylation modulation
- Hemorrhoids and cardiovascular disease: A bidirectional Mendelian randomization study
- Cell-free adipose extract inhibits hypertrophic scar formation through collagen remodeling and antiangiogenesis
- HALP score in Demodex blepharitis: A case–control study
- Assessment of SOX2 performance as a marker for circulating cancer stem-like cells (CCSCs) identification in advanced breast cancer patients using CytoTrack system
- Risk and prognosis for brain metastasis in primary metastatic cervical cancer patients: A population-based study
- Comparison of the two intestinal anastomosis methods in pediatric patients
- Factors influencing hematological toxicity and adverse effects of perioperative hyperthermic intraperitoneal vs intraperitoneal chemotherapy in gastrointestinal cancer
- Endotoxin tolerance inhibits NLRP3 inflammasome activation in macrophages of septic mice by restoring autophagic flux through TRIM26
- Lateral transperitoneal laparoscopic adrenalectomy: A single-centre experience of 21 procedures
- Petunidin attenuates lipopolysaccharide-induced retinal microglia inflammatory response in diabetic retinopathy by targeting OGT/NF-κB/LCN2 axis
- Procalcitonin and C-reactive protein as biomarkers for diagnosing and assessing the severity of acute cholecystitis
- Factors determining the number of sessions in successful extracorporeal shock wave lithotripsy patients
- Development of a nomogram for predicting cancer-specific survival in patients with renal pelvic cancer following surgery
- Inhibition of ATG7 promotes orthodontic tooth movement by regulating the RANKL/OPG ratio under compression force
- A machine learning-based prognostic model integrating mRNA stemness index, hypoxia, and glycolysis‑related biomarkers for colorectal cancer
- Glutathione attenuates sepsis-associated encephalopathy via dual modulation of NF-κB and PKA/CREB pathways
- FAHD1 prevents neuronal ferroptosis by modulating R-loop and the cGAS–STING pathway
- Association of placenta weight and morphology with term low birth weight: A case–control study
- Investigation of the pathogenic variants induced Sjogren’s syndrome in Turkish population
- Nucleotide metabolic abnormalities in post-COVID-19 condition and type 2 diabetes mellitus patients and their association with endocrine dysfunction
- TGF-β–Smad2/3 signaling in high-altitude pulmonary hypertension in rats: Role and mechanisms via macrophage M2 polarization
- Ultrasound-guided unilateral versus bilateral erector spinae plane block for postoperative analgesia of patients undergoing laparoscopic cholecystectomy
- Profiling gut microbiome dynamics in subacute thyroiditis: Implications for pathogenesis, diagnosis, and treatment
- Delta neutrophil index, CRP/albumin ratio, procalcitonin, immature granulocytes, and HALP score in acute appendicitis: Best performing biomarker?
- Anticancer activity mechanism of novelly synthesized and characterized benzofuran ring-linked 3-nitrophenyl chalcone derivative on colon cancer cells
- H2valdien3 arrests the cell cycle and induces apoptosis of gastric cancer
- Prognostic relevance of PRSS2 and its immune correlates in papillary thyroid carcinoma
- Association of SGLT2 inhibition with psychiatric disorders: A Mendelian randomization study
- Motivational interviewing for alcohol use reduction in Thai patients
- Luteolin alleviates oxygen-glucose deprivation/reoxygenation-induced neuron injury by regulating NLRP3/IL-1β signaling
- Polyphyllin II inhibits thyroid cancer cell growth by simultaneously inhibiting glycolysis and oxidative phosphorylation
- Relationship between the expression of copper death promoting factor SLC31A1 in papillary thyroid carcinoma and clinicopathological indicators and prognosis
- CSF2 polarized neutrophils and invaded renal cancer cells in vitro influence
- Proton pump inhibitors-induced thrombocytopenia: A systematic literature analysis of case reports
- The current status and influence factors of research ability among community nurses: A sequential qualitative–quantitative study
- OKAIN: A comprehensive oncology knowledge base for the interpretation of clinically actionable alterations
- The relationship between serum CA50, CA242, and SAA levels and clinical pathological characteristics and prognosis in patients with pancreatic cancer
- Identification and external validation of a prognostic signature based on hypoxia–glycolysis-related genes for kidney renal clear cell carcinoma
- Engineered RBC-derived nanovesicles functionalized with tumor-targeting ligands: A comparative study on breast cancer targeting efficiency and biocompatibility
- Relationship of resting echocardiography combined with serum micronutrients to the severity of low-gradient severe aortic stenosis
- Effect of vibration on pain during subcutaneous heparin injection: A randomized, single-blind, placebo-controlled trial
- The diagnostic performance of machine learning-based FFRCT for coronary artery disease: A meta-analysis
- Comparing biofeedback device vs diaphragmatic breathing for bloating relief: A randomized controlled trial
- Serum uric acid to albumin ratio and C-reactive protein as predictive biomarkers for chronic total occlusion and coronary collateral circulation quality
- Multiple organ scoring systems for predicting in-hospital mortality of sepsis patients in the intensive care unit
- Single-cell RNA sequencing data analysis of the inner ear in gentamicin-treated mice via intraperitoneal injection
- Suppression of cathepsin B attenuates myocardial injury via limiting cardiomyocyte apoptosis
- Influence of sevoflurane combined with propofol anesthesia on the anesthesia effect and adverse reactions in children with acute appendicitis
- Identification of hub genes related to acute kidney injury caused by sevoflurane anesthesia and endoplasmic reticulum stress
- Efficacy and safety of PD-1/PD-L1 inhibitors in pancreatic ductal adenocarcinoma: a systematic review and Meta-analysis of randomized controlled trials
- The value of diagnostic experience in O-RADS MRI score for ovarian-adnexal lesions
- Health education pathway for individuals with temporary enterostomies using patient journey mapping
- Serum TLR8 as a potential diagnostic biomarker of coronary heart disease
- Intraoperative temperature management and its effect on surgical outcomes in elderly patients undergoing lichtenstein unilateral inguinal hernia repair
- Immunohistochemical profiling and neuroepithelial heterogeneity in immature ovarian teratomas: a retrospective digital pathology-based study
- Associated risk factors and prevalence of human papillomavirus infection among females visiting tertiary care hospital: a cross-sectional study from Nepal
- Comparative evaluation of various disc elution methods for the detection of colistin-resistant gram-negative bacteria
- Effect of timing of cholecystectomy on weight loss after sleeve gastrectomy in morbidly obese individuals with cholelithiasis: a retrospective cohort study
- Causal association between ceramide levels and central precocious puberty: a mendelian randomization study
- Novel predictive model for colorectal liver metastases recurrence: a radiomics and clinical data approach
- Relationship between resident physicians’ perceived professional value and exposure to violence
- Multiple sclerosis and type 1 diabetes: a Mendelian randomization study of European ancestry
- Rapid pathogen identification in peritoneal dialysis effluent by MALDI-TOF MS following blood culture enrichment
- Comparison of open and percutaneous A1 pulley release in pediatric trigger thumb: a retrospective cohort study
- Impact of combined diaphragm-lung ultrasound assessment on postoperative respiratory function in patients under general anesthesia recovery
- Development and internal validation of a nomogram for predicting short-term prognosis in ICU patients with acute pyelonephritis
- The association between hypoxic burden and blood pressure in patients with obstructive sleep apnea
- Promotion of asthenozoospermia by C9orf72 through suppression of spermatogonia activity via fructose metabolism and mitophagy
- Review Articles
- The effects of enhanced external counter-pulsation on post-acute sequelae of COVID-19: A narrative review
- Diabetes-related cognitive impairment: Mechanisms, symptoms, and treatments
- Microscopic changes and gross morphology of placenta in women affected by gestational diabetes mellitus in dietary treatment: A systematic review
- Review of mechanisms and frontier applications in IL-17A-induced hypertension
- Research progress on the correlation between islet amyloid peptides and type 2 diabetes mellitus
- The safety and efficacy of BCG combined with mitomycin C compared with BCG monotherapy in patients with non-muscle-invasive bladder cancer: A systematic review and meta-analysis
- The application of augmented reality in robotic general surgery: A mini-review
- The effect of Greek mountain tea extract and wheat germ extract on peripheral blood flow and eicosanoid metabolism in mammals
- Neurogasobiology of migraine: Carbon monoxide, hydrogen sulfide, and nitric oxide as emerging pathophysiological trinacrium relevant to nociception regulation
- Plant polyphenols, terpenes, and terpenoids in oral health
- Laboratory medicine between technological innovation, rights safeguarding, and patient safety: A bioethical perspective
- End-of-life in cancer patients: Medicolegal implications and ethical challenges in Europe
- The maternal factors during pregnancy for intrauterine growth retardation: An umbrella review
- Intra-abdominal hypertension/abdominal compartment syndrome of pediatric patients in critical care settings
- PI3K/Akt pathway and neuroinflammation in sepsis-associated encephalopathy
- Screening of Group B Streptococcus in pregnancy: A systematic review for the laboratory detection
- Giant borderline ovarian tumours – review of the literature
- Leveraging artificial intelligence for collaborative care planning: Innovations and impacts in shared decision-making – A systematic review
- Cholera epidemiology analysis through the experience of the 1973 Naples epidemic
- Risk factors of frailty/sarcopenia in community older adults: Meta-analysis
- Supplement strategies for infertility in overweight women: Evidence and legal insights
- Scurvy, a not obsolete disorder: Clinical report in eight young children and literature review
- A meta-analysis of the effects of DBS on cognitive function in patients with advanced PD
- Protective role of selenium in sepsis: Mechanisms and potential therapeutic strategies
- Strategies for hyperkalemia management in dialysis patients: A systematic review
- C-reactive protein-to-albumin ratio in peripheral artery disease
- Research progress on autophagy and its roles in sepsis induced organ injury
- Neuronutrition in autism spectrum disorders
- Pumilio 2 in neural development, function, and specific neurological disorders
- Antibiotic prescribing patterns in general dental practice- a scoping review
- Clinical and medico-legal reflections on non-invasive prenatal testing
- Smartphone use and back pain: a narrative review of postural pathologies
- Targeting endothelial oxidative stress in hypertension
- Exploring links between acne and metabolic syndrome: a narrative review
- Case Reports
- Delayed graft function after renal transplantation
- Semaglutide treatment for type 2 diabetes in a patient with chronic myeloid leukemia: A case report and review of the literature
- Diverse electrophysiological demyelinating features in a late-onset glycogen storage disease type IIIa case
- Giant right atrial hemangioma presenting with ascites: A case report
- Laser excision of a large granular cell tumor of the vocal cord with subglottic extension: A case report
- EsoFLIP-assisted dilation for dysphagia in systemic sclerosis: Highlighting the role of multimodal esophageal evaluation
- Molecular hydrogen-rhodiola as an adjuvant therapy for ischemic stroke in internal carotid artery occlusion: A case report
- Coronary artery anomalies: A case of the “malignant” left coronary artery and its surgical management
- Combined VAT and retroperitoneoscopy for pleural empyema due to nephro-pleuric fistula in xanthogranulomatous pyelonephritis
- A rare case of Opalski syndrome with a suspected multiple sclerosis etiology
- Newly diagnosed B-cell acute lymphoblastic leukemia demonstrating localized bone marrow infiltration exclusively in the lower extremities
- Rapid Communication
- Biological properties of valve materials using RGD and EC
-
A single oral administration of flavanols enhances short
-term memory in mice along with increased brain-derived neurotrophic factor - Repeat influenza incidence across two consecutive influenza seasons
- Letter to the Editor
- Role of enhanced external counterpulsation in long COVID
- Expression of Concern
- Expression of concern “A ceRNA network mediated by LINC00475 in papillary thyroid carcinoma”
- Expression of concern “Notoginsenoside R1 alleviates spinal cord injury through the miR-301a/KLF7 axis to activate Wnt/β-catenin pathway”
- Expression of concern “circ_0020123 promotes cell proliferation and migration in lung adenocarcinoma via PDZD8”
- Corrigendum
- Corrigendum to “Empagliflozin improves aortic injury in obese mice by regulating fatty acid metabolism”
- Corrigendum to “Comparing the therapeutic efficacy of endoscopic minimally invasive surgery and traditional surgery for early-stage breast cancer: A meta-analysis”
- Corrigendum to “The progress of autoimmune hepatitis research and future challenges”
- Retraction
- Retraction of “miR-654-5p promotes gastric cancer progression via the GPRIN1/NF-κB pathway”
- Retraction of: “LncRNA CASC15 inhibition relieves renal fibrosis in diabetic nephropathy through downregulating SP-A by sponging to miR-424”
- Retraction of: “SCARA5 inhibits oral squamous cell carcinoma via inactivating the STAT3 and PI3K/AKT signaling pathways”
- Special Issue Advancements in oncology: bridging clinical and experimental research - Part II
- Unveiling novel biomarkers for platinum chemoresistance in ovarian cancer
- Lathyrol affects the expression of AR and PSA and inhibits the malignant behavior of RCC cells
- The era of increasing cancer survivorship: Trends in fertility preservation, medico-legal implications, and ethical challenges
- Bone scintigraphy and positron emission tomography in the early diagnosis of MRONJ
- Meta-analysis of clinical efficacy and safety of immunotherapy combined with chemotherapy in non-small cell lung cancer
- Special Issue Computational Intelligence Methodologies Meets Recurrent Cancers - Part IV
- Exploration of mRNA-modifying METTL3 oncogene as momentous prognostic biomarker responsible for colorectal cancer development
- Special Issue The evolving saga of RNAs from bench to bedside - Part III
- Interaction and verification of ferroptosis-related RNAs Rela and Stat3 in promoting sepsis-associated acute kidney injury
- The mRNA MOXD1: Link to oxidative stress and prognostic significance in gastric cancer
- Special Issue Exploring the biological mechanism of human diseases based on MultiOmics Technology - Part II
- Dynamic changes in lactate-related genes in microglia and their role in immune cell interactions after ischemic stroke
- A prognostic model correlated with fatty acid metabolism in Ewing’s sarcoma based on bioinformatics analysis
- Red cell distribution width predicts early kidney injury: A NHANES cross-sectional study
- Special Issue Diabetes mellitus: pathophysiology, complications & treatment
- Nutritional risk assessment and nutritional support in children with congenital diabetes during surgery
- Correlation of the differential expressions of RANK, RANKL, and OPG with obesity in the elderly population in Xinjiang
- A discussion on the application of fluorescence micro-optical sectioning tomography in the research of cognitive dysfunction in diabetes
- A review of brain research on T2DM-related cognitive dysfunction
- Metformin and estrogen modulation in LABC with T2DM: A 36-month randomized trial
- Special Issue Innovative Biomarker Discovery and Precision Medicine in Cancer Diagnostics
- CircASH1L-mediated tumor progression in triple-negative breast cancer: PI3K/AKT pathway mechanisms
Articles in the same Issue
- Research Articles
- Network pharmacological analysis and in vitro testing of the rutin effects on triple-negative breast cancer
- Impact of diabetes on long-term survival in elderly liver cancer patients: A retrospective study
- Knockdown of CCNB1 alleviates high glucose-triggered trophoblast dysfunction during gestational diabetes via Wnt/β-catenin signaling pathway
- Risk factors for severe adverse drug reactions in hospitalized patients
- Analysis of the effect of ALA-PDT on macrophages in footpad model of mice infected with Fonsecaea monophora based on single-cell sequencing
- Development and validation of headspace gas chromatography with a flame ionization detector method for the determination of ethanol in the vitreous humor
- CMSP exerts anti-tumor effects on small cell lung cancer cells by inducing mitochondrial dysfunction and ferroptosis
- Predictive value of plasma sB7-H3 and YKL-40 in pediatric refractory Mycoplasma pneumoniae pneumonia
- Antiangiogenic potential of Elaeagnus umbellata extracts and molecular docking study by targeting VEGFR-2 pathway
- Comparison of the effectiveness of nurse-led preoperative counseling and postoperative follow-up care vs standard care for patients with gastric cancer
- Comparing the therapeutic efficacy of endoscopic minimally invasive surgery and traditional surgery for early-stage breast cancer: A meta-analysis
- Adhered macrophages as an additional marker of cardiomyocyte injury in biopsies of patients with dilated cardiomyopathy
- Association between statin administration and outcome in patients with sepsis: A retrospective study
- Exploration of the association between estimated glucose disposal rate and osteoarthritis in middle-aged and older adults: An analysis of NHANES data from 2011 to 2018
- A comparative analysis of the binary and multiclass classified chest X-ray images of pneumonia and COVID-19 with ML and DL models
- Lysophosphatidic acid 2 alleviates deep vein thrombosis via protective endothelial barrier function
- Transcription factor A, mitochondrial promotes lymph node metastasis and lymphangiogenesis in epithelial ovarian carcinoma
- Serum PM20D1 levels are associated with nutritional status and inflammatory factors in gastric cancer patients undergoing early enteral nutrition
- Hydromorphone reduced the incidence of emergence agitation after adenotonsillectomy in children with obstructive sleep apnea: A randomized, double-blind study
- Vitamin D replacement therapy may regulate sleep habits in patients with restless leg syndrome
- The first-line antihypertensive nitrendipine potentiated the therapeutic effect of oxaliplatin by downregulating CACNA1D in colorectal cancer
- Health literacy and health-related quality of life: The mediating role of irrational happiness
- Modulatory effects of Lycium barbarum polysaccharide on bone cell dynamics in osteoporosis
- Mechanism research on inhibition of gastric cancer in vitro by the extract of Pinellia ternata based on network pharmacology and cellular metabolomics
- Examination of the causal role of immune cells in non-alcoholic fatty liver disease by a bidirectional Mendelian randomization study
- Clinical analysis of ten cases of HIV infection combined with acute leukemia
- Investigating the cardioprotective potential of quercetin against tacrolimus-induced cardiotoxicity in Wistar rats: A mechanistic insights
- Clinical observation of probiotics combined with mesalazine and Yiyi Baitouweng Decoction retention enema in treating mild-to-moderate ulcerative colitis
- Diagnostic value of ratio of blood inflammation to coagulation markers in periprosthetic joint infection
- Sex-specific associations of sex hormone binding globulin and risk of bladder cancer
- Core muscle strength and stability-oriented breathing training reduces inter-recti distance in postpartum women
- The ERAS nursing care strategy for patients undergoing transsphenoidal endoscopic pituitary tumor resection: A randomized blinded controlled trial
- The serum IL-17A levels in patients with traumatic bowel rupture post-surgery and its predictive value for patient prognosis
- Impact of Kolb’s experiential learning theory-based nursing on caregiver burden and psychological state of caregivers of dementia patients
- Analysis of serum NLR combined with intraoperative margin condition to predict the prognosis of cervical HSIL patients undergoing LEEP surgery
- Commiphora gileadensis ameliorate infertility and erectile dysfunction in diabetic male mice
- The correlation between epithelial–mesenchymal transition classification and MMP2 expression of circulating tumor cells and prognosis of advanced or metastatic nasopharyngeal carcinoma
- Tetrahydropalmatine improves mitochondrial function in vascular smooth muscle cells of atherosclerosis in vitro by inhibiting Ras homolog gene family A/Rho-associated protein kinase-1 signaling pathway
- A cross-sectional study: Relationship between serum oxidative stress levels and arteriovenous fistula maturation in maintenance dialysis patients
- A comparative analysis of the impact of repeated administration of flavan 3-ol on brown, subcutaneous, and visceral adipose tissue
- Identifying early screening factors for depression in middle-aged and older adults: A cohort study
- Perform tumor-specific survival analysis for Merkel cell carcinoma patients undergoing surgical resection based on the SEER database by constructing a nomogram chart
- Unveiling the role of CXCL10 in pancreatic cancer progression: A novel prognostic indicator
- High-dose preoperative intraperitoneal erythropoietin and intravenous methylprednisolone in acute traumatic spinal cord injuries following decompression surgeries
- RAB39B: A novel biomarker for acute myeloid leukemia identified via multi-omics and functional validation
- Impact of peripheral conditioning on reperfusion injury following primary percutaneous coronary intervention in diabetic and non-diabetic STEMI patients
- Clinical efficacy of azacitidine in the treatment of middle- and high-risk myelodysplastic syndrome in middle-aged and elderly patients: A retrospective study
- The effect of ambulatory blood pressure load on mitral regurgitation in continuous ambulatory peritoneal dialysis patients
- Expression and clinical significance of ITGA3 in breast cancer
- Single-nucleus RNA sequencing reveals ARHGAP28 expression of podocytes as a biomarker in human diabetic nephropathy
- rSIG combined with NLR in the prognostic assessment of patients with multiple injuries
- Toxic metals and metalloids in collagen supplements of fish and jellyfish origin: Risk assessment for daily intake
- Exploring causal relationship between 41 inflammatory cytokines and marginal zone lymphoma: A bidirectional Mendelian randomization study
- Gender beliefs and legitimization of dating violence in adolescents
- Effect of serum IL-6, CRP, and MMP-9 levels on the efficacy of modified preperitoneal Kugel repair in patients with inguinal hernia
- Effect of smoking and smoking cessation on hematological parameters in polycythemic patients
- Pathogen surveillance and risk factors for pulmonary infection in patients with lung cancer: A retrospective single-center study
- Necroptosis of hippocampal neurons in paclitaxel chemotherapy-induced cognitive impairment mediates microglial activation via TLR4/MyD88 signaling pathway
- Celastrol suppresses neovascularization in rat aortic vascular endothelial cells stimulated by inflammatory tenocytes via modulating the NLRP3 pathway
- Cord-lamina angle and foraminal diameter as key predictors of C5 palsy after anterior cervical decompression and fusion surgery
- GATA1: A key biomarker for predicting the prognosis of patients with diffuse large B-cell lymphoma
- Influencing factors of false lumen thrombosis in type B aortic dissection: A single-center retrospective study
- MZB1 regulates the immune microenvironment and inhibits ovarian cancer cell migration
- Integrating experimental and network pharmacology to explore the pharmacological mechanisms of Dioscin against glioblastoma
- Trends in research on preterm birth in twin pregnancy based on bibliometrics
- Four-week IgE/baseline IgE ratio combined with tryptase predicts clinical outcome in omalizumab-treated children with moderate-to-severe asthma
- Single-cell transcriptomic analysis identifies a stress response Schwann cell subtype
- Acute pancreatitis risk in the diagnosis and management of inflammatory bowel disease: A critical focus
- Effect of subclinical esketamine on NLRP3 and cognitive dysfunction in elderly ischemic stroke patients
- Interleukin-37 mediates the anti-oral tumor activity in oral cancer through STAT3
- CA199 and CEA expression levels, and minimally invasive postoperative prognosis analysis in esophageal squamous carcinoma patients
- Efficacy of a novel drainage catheter in the treatment of CSF leak after posterior spine surgery: A retrospective cohort study
- Comprehensive biomedicine assessment of Apteranthes tuberculata extracts: Phytochemical analysis and multifaceted pharmacological evaluation in animal models
- Relation of time in range to severity of coronary artery disease in patients with type 2 diabetes: A cross-sectional study
- Dopamine attenuates ethanol-induced neuronal apoptosis by stimulating electrical activity in the developing rat retina
- Correlation between albumin levels during the third trimester and the risk of postpartum levator ani muscle rupture
- Factors associated with maternal attention and distraction during breastfeeding and childcare: A cross-sectional study in the west of Iran
- Mechanisms of hesperetin in treating metabolic dysfunction-associated steatosis liver disease via network pharmacology and in vitro experiments
- The law on oncological oblivion in the Italian and European context: How to best uphold the cancer patients’ rights to privacy and self-determination?
- The prognostic value of the neutrophil-to-lymphocyte ratio, platelet-to-lymphocyte ratio, and prognostic nutritional index for survival in patients with colorectal cancer
- Factors affecting the measurements of peripheral oxygen saturation values in healthy young adults
- Comparison and correlations between findings of hysteroscopy and vaginal color Doppler ultrasonography for detection of uterine abnormalities in patients with recurrent implantation failure
- The effects of different types of RAGT on balance function in stroke patients with low levels of independent walking in a convalescent rehabilitation hospital
- Causal relationship between asthma and ankylosing spondylitis: A bidirectional two-sample univariable and multivariable Mendelian randomization study
- Correlations of health literacy with individuals’ understanding and use of medications in Southern Taiwan
- Correlation of serum calprotectin with outcome of acute cerebral infarction
- Comparison of computed tomography and guided bronchoscopy in the diagnosis of pulmonary nodules: A systematic review and meta-analysis
- Curdione protects vascular endothelial cells and atherosclerosis via the regulation of DNMT1-mediated ERBB4 promoter methylation
- The identification of novel missense variant in ChAT gene in a patient with gestational diabetes denotes plausible genetic association
- Molecular genotyping of multi-system rare blood types in foreign blood donors based on DNA sequencing and its clinical significance
- Exploring the role of succinyl carnitine in the association between CD39⁺ CD4⁺ T cell and ulcerative colitis: A Mendelian randomization study
- Dexmedetomidine suppresses microglial activation in postoperative cognitive dysfunction via the mmu-miRNA-125/TRAF6 signaling axis
- Analysis of serum metabolomics in patients with different types of chronic heart failure
- Diagnostic value of hematological parameters in the early diagnosis of acute cholecystitis
- Pachymaran alleviates fat accumulation, hepatocyte degeneration, and injury in mice with nonalcoholic fatty liver disease
- Decrease in CD4 and CD8 lymphocytes are predictors of severe clinical picture and unfavorable outcome of the disease in patients with COVID-19
- METTL3 blocked the progression of diabetic retinopathy through m6A-modified SOX2
- The predictive significance of anti-RO-52 antibody in patients with interstitial pneumonia after treatment of malignant tumors
- Exploring cerebrospinal fluid metabolites, cognitive function, and brain atrophy: Insights from Mendelian randomization
- Development and validation of potential molecular subtypes and signatures of ocular sarcoidosis based on autophagy-related gene analysis
- Widespread venous thrombosis: Unveiling a complex case of Behçet’s disease with a literature perspective
- Uterine fibroid embolization: An analysis of clinical outcomes and impact on patients’ quality of life
- Discovery of lipid metabolism-related diagnostic biomarkers and construction of diagnostic model in steroid-induced osteonecrosis of femoral head
- Serum-derived exomiR-188-3p is a promising novel biomarker for early-stage ovarian cancer
- Enhancing chronic back pain management: A comparative study of ultrasound–MRI fusion guidance for paravertebral nerve block
- Peptide CCAT1-70aa promotes hepatocellular carcinoma proliferation and invasion via the MAPK/ERK pathway
- Electroacupuncture-induced reduction of myocardial ischemia–reperfusion injury via FTO-dependent m6A methylation modulation
- Hemorrhoids and cardiovascular disease: A bidirectional Mendelian randomization study
- Cell-free adipose extract inhibits hypertrophic scar formation through collagen remodeling and antiangiogenesis
- HALP score in Demodex blepharitis: A case–control study
- Assessment of SOX2 performance as a marker for circulating cancer stem-like cells (CCSCs) identification in advanced breast cancer patients using CytoTrack system
- Risk and prognosis for brain metastasis in primary metastatic cervical cancer patients: A population-based study
- Comparison of the two intestinal anastomosis methods in pediatric patients
- Factors influencing hematological toxicity and adverse effects of perioperative hyperthermic intraperitoneal vs intraperitoneal chemotherapy in gastrointestinal cancer
- Endotoxin tolerance inhibits NLRP3 inflammasome activation in macrophages of septic mice by restoring autophagic flux through TRIM26
- Lateral transperitoneal laparoscopic adrenalectomy: A single-centre experience of 21 procedures
- Petunidin attenuates lipopolysaccharide-induced retinal microglia inflammatory response in diabetic retinopathy by targeting OGT/NF-κB/LCN2 axis
- Procalcitonin and C-reactive protein as biomarkers for diagnosing and assessing the severity of acute cholecystitis
- Factors determining the number of sessions in successful extracorporeal shock wave lithotripsy patients
- Development of a nomogram for predicting cancer-specific survival in patients with renal pelvic cancer following surgery
- Inhibition of ATG7 promotes orthodontic tooth movement by regulating the RANKL/OPG ratio under compression force
- A machine learning-based prognostic model integrating mRNA stemness index, hypoxia, and glycolysis‑related biomarkers for colorectal cancer
- Glutathione attenuates sepsis-associated encephalopathy via dual modulation of NF-κB and PKA/CREB pathways
- FAHD1 prevents neuronal ferroptosis by modulating R-loop and the cGAS–STING pathway
- Association of placenta weight and morphology with term low birth weight: A case–control study
- Investigation of the pathogenic variants induced Sjogren’s syndrome in Turkish population
- Nucleotide metabolic abnormalities in post-COVID-19 condition and type 2 diabetes mellitus patients and their association with endocrine dysfunction
- TGF-β–Smad2/3 signaling in high-altitude pulmonary hypertension in rats: Role and mechanisms via macrophage M2 polarization
- Ultrasound-guided unilateral versus bilateral erector spinae plane block for postoperative analgesia of patients undergoing laparoscopic cholecystectomy
- Profiling gut microbiome dynamics in subacute thyroiditis: Implications for pathogenesis, diagnosis, and treatment
- Delta neutrophil index, CRP/albumin ratio, procalcitonin, immature granulocytes, and HALP score in acute appendicitis: Best performing biomarker?
- Anticancer activity mechanism of novelly synthesized and characterized benzofuran ring-linked 3-nitrophenyl chalcone derivative on colon cancer cells
- H2valdien3 arrests the cell cycle and induces apoptosis of gastric cancer
- Prognostic relevance of PRSS2 and its immune correlates in papillary thyroid carcinoma
- Association of SGLT2 inhibition with psychiatric disorders: A Mendelian randomization study
- Motivational interviewing for alcohol use reduction in Thai patients
- Luteolin alleviates oxygen-glucose deprivation/reoxygenation-induced neuron injury by regulating NLRP3/IL-1β signaling
- Polyphyllin II inhibits thyroid cancer cell growth by simultaneously inhibiting glycolysis and oxidative phosphorylation
- Relationship between the expression of copper death promoting factor SLC31A1 in papillary thyroid carcinoma and clinicopathological indicators and prognosis
- CSF2 polarized neutrophils and invaded renal cancer cells in vitro influence
- Proton pump inhibitors-induced thrombocytopenia: A systematic literature analysis of case reports
- The current status and influence factors of research ability among community nurses: A sequential qualitative–quantitative study
- OKAIN: A comprehensive oncology knowledge base for the interpretation of clinically actionable alterations
- The relationship between serum CA50, CA242, and SAA levels and clinical pathological characteristics and prognosis in patients with pancreatic cancer
- Identification and external validation of a prognostic signature based on hypoxia–glycolysis-related genes for kidney renal clear cell carcinoma
- Engineered RBC-derived nanovesicles functionalized with tumor-targeting ligands: A comparative study on breast cancer targeting efficiency and biocompatibility
- Relationship of resting echocardiography combined with serum micronutrients to the severity of low-gradient severe aortic stenosis
- Effect of vibration on pain during subcutaneous heparin injection: A randomized, single-blind, placebo-controlled trial
- The diagnostic performance of machine learning-based FFRCT for coronary artery disease: A meta-analysis
- Comparing biofeedback device vs diaphragmatic breathing for bloating relief: A randomized controlled trial
- Serum uric acid to albumin ratio and C-reactive protein as predictive biomarkers for chronic total occlusion and coronary collateral circulation quality
- Multiple organ scoring systems for predicting in-hospital mortality of sepsis patients in the intensive care unit
- Single-cell RNA sequencing data analysis of the inner ear in gentamicin-treated mice via intraperitoneal injection
- Suppression of cathepsin B attenuates myocardial injury via limiting cardiomyocyte apoptosis
- Influence of sevoflurane combined with propofol anesthesia on the anesthesia effect and adverse reactions in children with acute appendicitis
- Identification of hub genes related to acute kidney injury caused by sevoflurane anesthesia and endoplasmic reticulum stress
- Efficacy and safety of PD-1/PD-L1 inhibitors in pancreatic ductal adenocarcinoma: a systematic review and Meta-analysis of randomized controlled trials
- The value of diagnostic experience in O-RADS MRI score for ovarian-adnexal lesions
- Health education pathway for individuals with temporary enterostomies using patient journey mapping
- Serum TLR8 as a potential diagnostic biomarker of coronary heart disease
- Intraoperative temperature management and its effect on surgical outcomes in elderly patients undergoing lichtenstein unilateral inguinal hernia repair
- Immunohistochemical profiling and neuroepithelial heterogeneity in immature ovarian teratomas: a retrospective digital pathology-based study
- Associated risk factors and prevalence of human papillomavirus infection among females visiting tertiary care hospital: a cross-sectional study from Nepal
- Comparative evaluation of various disc elution methods for the detection of colistin-resistant gram-negative bacteria
- Effect of timing of cholecystectomy on weight loss after sleeve gastrectomy in morbidly obese individuals with cholelithiasis: a retrospective cohort study
- Causal association between ceramide levels and central precocious puberty: a mendelian randomization study
- Novel predictive model for colorectal liver metastases recurrence: a radiomics and clinical data approach
- Relationship between resident physicians’ perceived professional value and exposure to violence
- Multiple sclerosis and type 1 diabetes: a Mendelian randomization study of European ancestry
- Rapid pathogen identification in peritoneal dialysis effluent by MALDI-TOF MS following blood culture enrichment
- Comparison of open and percutaneous A1 pulley release in pediatric trigger thumb: a retrospective cohort study
- Impact of combined diaphragm-lung ultrasound assessment on postoperative respiratory function in patients under general anesthesia recovery
- Development and internal validation of a nomogram for predicting short-term prognosis in ICU patients with acute pyelonephritis
- The association between hypoxic burden and blood pressure in patients with obstructive sleep apnea
- Promotion of asthenozoospermia by C9orf72 through suppression of spermatogonia activity via fructose metabolism and mitophagy
- Review Articles
- The effects of enhanced external counter-pulsation on post-acute sequelae of COVID-19: A narrative review
- Diabetes-related cognitive impairment: Mechanisms, symptoms, and treatments
- Microscopic changes and gross morphology of placenta in women affected by gestational diabetes mellitus in dietary treatment: A systematic review
- Review of mechanisms and frontier applications in IL-17A-induced hypertension
- Research progress on the correlation between islet amyloid peptides and type 2 diabetes mellitus
- The safety and efficacy of BCG combined with mitomycin C compared with BCG monotherapy in patients with non-muscle-invasive bladder cancer: A systematic review and meta-analysis
- The application of augmented reality in robotic general surgery: A mini-review
- The effect of Greek mountain tea extract and wheat germ extract on peripheral blood flow and eicosanoid metabolism in mammals
- Neurogasobiology of migraine: Carbon monoxide, hydrogen sulfide, and nitric oxide as emerging pathophysiological trinacrium relevant to nociception regulation
- Plant polyphenols, terpenes, and terpenoids in oral health
- Laboratory medicine between technological innovation, rights safeguarding, and patient safety: A bioethical perspective
- End-of-life in cancer patients: Medicolegal implications and ethical challenges in Europe
- The maternal factors during pregnancy for intrauterine growth retardation: An umbrella review
- Intra-abdominal hypertension/abdominal compartment syndrome of pediatric patients in critical care settings
- PI3K/Akt pathway and neuroinflammation in sepsis-associated encephalopathy
- Screening of Group B Streptococcus in pregnancy: A systematic review for the laboratory detection
- Giant borderline ovarian tumours – review of the literature
- Leveraging artificial intelligence for collaborative care planning: Innovations and impacts in shared decision-making – A systematic review
- Cholera epidemiology analysis through the experience of the 1973 Naples epidemic
- Risk factors of frailty/sarcopenia in community older adults: Meta-analysis
- Supplement strategies for infertility in overweight women: Evidence and legal insights
- Scurvy, a not obsolete disorder: Clinical report in eight young children and literature review
- A meta-analysis of the effects of DBS on cognitive function in patients with advanced PD
- Protective role of selenium in sepsis: Mechanisms and potential therapeutic strategies
- Strategies for hyperkalemia management in dialysis patients: A systematic review
- C-reactive protein-to-albumin ratio in peripheral artery disease
- Research progress on autophagy and its roles in sepsis induced organ injury
- Neuronutrition in autism spectrum disorders
- Pumilio 2 in neural development, function, and specific neurological disorders
- Antibiotic prescribing patterns in general dental practice- a scoping review
- Clinical and medico-legal reflections on non-invasive prenatal testing
- Smartphone use and back pain: a narrative review of postural pathologies
- Targeting endothelial oxidative stress in hypertension
- Exploring links between acne and metabolic syndrome: a narrative review
- Case Reports
- Delayed graft function after renal transplantation
- Semaglutide treatment for type 2 diabetes in a patient with chronic myeloid leukemia: A case report and review of the literature
- Diverse electrophysiological demyelinating features in a late-onset glycogen storage disease type IIIa case
- Giant right atrial hemangioma presenting with ascites: A case report
- Laser excision of a large granular cell tumor of the vocal cord with subglottic extension: A case report
- EsoFLIP-assisted dilation for dysphagia in systemic sclerosis: Highlighting the role of multimodal esophageal evaluation
- Molecular hydrogen-rhodiola as an adjuvant therapy for ischemic stroke in internal carotid artery occlusion: A case report
- Coronary artery anomalies: A case of the “malignant” left coronary artery and its surgical management
- Combined VAT and retroperitoneoscopy for pleural empyema due to nephro-pleuric fistula in xanthogranulomatous pyelonephritis
- A rare case of Opalski syndrome with a suspected multiple sclerosis etiology
- Newly diagnosed B-cell acute lymphoblastic leukemia demonstrating localized bone marrow infiltration exclusively in the lower extremities
- Rapid Communication
- Biological properties of valve materials using RGD and EC
-
A single oral administration of flavanols enhances short
-term memory in mice along with increased brain-derived neurotrophic factor - Repeat influenza incidence across two consecutive influenza seasons
- Letter to the Editor
- Role of enhanced external counterpulsation in long COVID
- Expression of Concern
- Expression of concern “A ceRNA network mediated by LINC00475 in papillary thyroid carcinoma”
- Expression of concern “Notoginsenoside R1 alleviates spinal cord injury through the miR-301a/KLF7 axis to activate Wnt/β-catenin pathway”
- Expression of concern “circ_0020123 promotes cell proliferation and migration in lung adenocarcinoma via PDZD8”
- Corrigendum
- Corrigendum to “Empagliflozin improves aortic injury in obese mice by regulating fatty acid metabolism”
- Corrigendum to “Comparing the therapeutic efficacy of endoscopic minimally invasive surgery and traditional surgery for early-stage breast cancer: A meta-analysis”
- Corrigendum to “The progress of autoimmune hepatitis research and future challenges”
- Retraction
- Retraction of “miR-654-5p promotes gastric cancer progression via the GPRIN1/NF-κB pathway”
- Retraction of: “LncRNA CASC15 inhibition relieves renal fibrosis in diabetic nephropathy through downregulating SP-A by sponging to miR-424”
- Retraction of: “SCARA5 inhibits oral squamous cell carcinoma via inactivating the STAT3 and PI3K/AKT signaling pathways”
- Special Issue Advancements in oncology: bridging clinical and experimental research - Part II
- Unveiling novel biomarkers for platinum chemoresistance in ovarian cancer
- Lathyrol affects the expression of AR and PSA and inhibits the malignant behavior of RCC cells
- The era of increasing cancer survivorship: Trends in fertility preservation, medico-legal implications, and ethical challenges
- Bone scintigraphy and positron emission tomography in the early diagnosis of MRONJ
- Meta-analysis of clinical efficacy and safety of immunotherapy combined with chemotherapy in non-small cell lung cancer
- Special Issue Computational Intelligence Methodologies Meets Recurrent Cancers - Part IV
- Exploration of mRNA-modifying METTL3 oncogene as momentous prognostic biomarker responsible for colorectal cancer development
- Special Issue The evolving saga of RNAs from bench to bedside - Part III
- Interaction and verification of ferroptosis-related RNAs Rela and Stat3 in promoting sepsis-associated acute kidney injury
- The mRNA MOXD1: Link to oxidative stress and prognostic significance in gastric cancer
- Special Issue Exploring the biological mechanism of human diseases based on MultiOmics Technology - Part II
- Dynamic changes in lactate-related genes in microglia and their role in immune cell interactions after ischemic stroke
- A prognostic model correlated with fatty acid metabolism in Ewing’s sarcoma based on bioinformatics analysis
- Red cell distribution width predicts early kidney injury: A NHANES cross-sectional study
- Special Issue Diabetes mellitus: pathophysiology, complications & treatment
- Nutritional risk assessment and nutritional support in children with congenital diabetes during surgery
- Correlation of the differential expressions of RANK, RANKL, and OPG with obesity in the elderly population in Xinjiang
- A discussion on the application of fluorescence micro-optical sectioning tomography in the research of cognitive dysfunction in diabetes
- A review of brain research on T2DM-related cognitive dysfunction
- Metformin and estrogen modulation in LABC with T2DM: A 36-month randomized trial
- Special Issue Innovative Biomarker Discovery and Precision Medicine in Cancer Diagnostics
- CircASH1L-mediated tumor progression in triple-negative breast cancer: PI3K/AKT pathway mechanisms