Molecular hydrogen-rhodiola as an adjuvant therapy for ischemic stroke in internal carotid artery occlusion: A case report
-
Feng-Hao Chang
, Jeng-Wei Lu , Chun-Chih Hu , Wun-Long Jheng , Shuk-Man Ka , Shinn-Zong Lin , Dueng‐Yuan Hueng , Yueh-Feng Sung , Ying-Hsuan Tsai , Jou-I Tu , Yi-Jung Ho , Kuang‐Yih Wang und Feng-Cheng Liu
Abstract
Objectives
Acute ischemic stroke caused by internal carotid artery (ICA) occlusion carries high risks of disability and death. While treatments such as thrombolysis, mechanical thrombectomy, and revascularization offer benefits, many patients experience limited recovery. Molecular hydrogen, with its antioxidant and anti-inflammatory properties, shows promise as a neuroprotective agent. This case report explores the adjunctive use of molecular hydrogen–rhodiola therapy in a patient with ICA occlusion, with a focus on immune modulation and clinical outcomes.
Case presentation
A 68-year-old male with a history of paroxysmal atrial fibrillation presented with left-sided hemiplegia and was diagnosed with right ICA occlusion (NIH Stroke Scale: 12; modified Rankin Scale: 5). Endovascular thrombectomy was attempted but unsuccessful (modified Thrombolysis in Cerebral Infarction score = 0). The patient subsequently underwent superficial temporal artery to middle cerebral artery bypass surgery. Postoperatively, he was initiated on daily molecular hydrogen-rhodiola capsule therapy. Serial immunological assessments demonstrated a progressive increase in type 1 regulatory T (Tr1) cells and regulatory B cells, along with enhanced T-cell immunoglobulin and mucin-domain containing-3 (TIM-3) expression on cytotoxic T (Tc) cells. Clinically, the patient exhibited marked neurological recovery, with motor strength improving from Medical Research Council grade 1 to grade 5 in the affected limbs over six months. Notably, steroid therapy was discontinued without relapse, and no adverse events were observed.
Conclusion
This case highlights the potential of molecular hydrogen-rhodiola therapy as a safe and effective adjunctive treatment for ischemic stroke due to ICA occlusion. Notable improvements in immune modulation and motor function support its possible role in neurovascular recovery.
1 Introduction
Acute ischemic stroke resulting from internal carotid artery (ICA) occlusion poses a formidable clinical challenge, with reported mortality rates ranging from 25 to 30% within the first 24 h to nearly 60% by 1 month post-onset [1]. Despite advancements in acute stroke interventions including intravenous thrombolysis, mechanical thrombectomy, and bypass procedures, neurological recovery is often incomplete, and many patients are left with long-term disability [2,3]. The pathophysiology of ischemic stroke is multifactorial, involving oxidative stress, neuroinflammation, and immune dysregulation, which contribute not only to the initial ischemic insult but also influence subsequent reparative processes [4].
In recent years, extracranial-to-intracranial (EC–IC) bypass surgery has reemerged as a treatment option for carefully selected patients with ICA occlusion who are either ineligible for, or have failed, conventional endovascular interventions [5]. Nevertheless, even successful revascularization does not guarantee full neurological restoration, underscoring the urgent need for effective adjuvant therapies that can support neuroregeneration and improve functional outcomes [6].
Molecular hydrogen (H2) has garnered increasing attention as a therapeutic agent due to its selective antioxidant properties. H2 can neutralize cytotoxic hydroxyl radicals without disrupting physiological signaling by essential reactive oxygen species [7,8]. Preclinical and clinical studies have demonstrated that H₂ exerts anti-inflammatory, anti-apoptotic, and immunomodulatory effects across a range of pathological conditions [9,10,11]. In models of cerebral ischemia, H2 has been shown to confer neuroprotection via several mechanisms, including attenuation of oxidative damage, preservation of mitochondrial integrity, and regulation of inflammatory signaling pathways [12,13]. In addition, Rhodiola rosea L., a widely recognized botanical adaptogen, has been shown to exert protective effects against inflammation-related damage in various diseases, including cardiovascular disorders, neurodegenerative conditions, diabetes, sepsis, and cancer [14]. Its beneficial properties have been attributed to its antioxidative [15], immunomodulatory [16], and neuroprotective activities, along with its ability to modulate neurodegenerative processes [17,18]. Salidroside, an active compound isolated from the Tibetan medicinal herb Rhodiola rosea, has shown therapeutic potential in tuberculosis treatment. In vivo evidence indicates that it enhances host anti-mycobacterial immunity by stimulating the production of inflammatory cytokines [19].
The immune system plays a central role in both the acute and recovery phases of ischemic stroke. While early pro-inflammatory responses exacerbate neuronal injury, regulatory immune cells such as regulatory T cells (Tregs) and regulatory B cells (Bregs) are instrumental in resolving inflammation and facilitating tissue repair [20]. Emerging evidence suggests that H2 therapy may modulate these immune cell subsets, potentially promoting a more balanced immune milieu conducive to neural recovery [21,22].
In this case report, we describe a 68-year-old male with right ICA occlusion who received molecular hydrogen-rhodiola therapy as an adjuvant intervention following failed endovascular thrombectomy and subsequent EC–IC bypass surgery. We provide comprehensive immunological data demonstrating dynamic changes in key immune cell populations during hydrogen therapy, and we correlate these findings with the patient’s notable clinical improvement.
-
Informed consent: Written informed consent was obtained from the patient for publication of this case report.
-
Ethical approval: This study was approved by the Institutional Review Board (IRB) of Tri-Service General Hospital, National Defense Medical Center, Taiwan (IRB No. C202405219, approval date: July 31, 2024). All procedures were conducted in accordance with institutional guidelines and the ethical standards of the 1964 Declaration of Helsinki and its subsequent amendments.
2 Case presentation
A 68-year-old male with a medical history of paroxysmal atrial fibrillation, managed with apixaban (ELIQUIS) 5 mg twice daily, presented to the emergency department on November 12, 2024, at 07:00, with sudden-onset left-sided weakness. His past medical history was notable for hypertension, hyperlipidemia, and chronic hepatitis B virus carrier status. The patient had previously been independent in activities of daily living. Upon evaluation, neurological examination revealed leftward gaze limitation, central-type left facial palsy, left hemiplegia (Medical Research Council grade 1), and left-sided neglect.
Initial non-contrast brain computed tomography and computed tomography angiography revealed hypodensities in the posterior limb of the right internal capsule, along with occlusion of the right distal ICA involving the petrous and cavernous segments (Figures 1 and 2). The middle cerebral artery (MCA) M1 and M2 segments were patent, although with reduced distal flow. The patient’s initial National Institutes of Health Stroke Scale (NIHSS) score was 12, and the modified Rankin Scale score was 5.

Initial neuroimaging findings. (a) Time-of-flight (TOF) MRA demonstrates occlusion of the right ICA and the right MCA, corresponding to the infarct distribution observed on MRI. (b–e) Diffusion-weighted brain MRI reveals acute infarcts involving the posterior limb of the right internal capsule, caudate head, hippocampus, and occipital lobe. Additional embolic infarcts are noted in the right cerebral hemisphere, along with two cerebral microbleeds. Blue arrow: The right MCA. Red arrow: The left ICA.
Intravenous thrombolysis with recombinant tissue plasminogen activator (rt-PA) was contraindicated due to ongoing anticoagulant therapy with apixaban (ELIQUIS) and a delayed presentation beyond the 4.5-h therapeutic window. The patient subsequently underwent emergency endovascular thrombectomy. The procedure involved two aspiration attempts, followed by three additional attempts using a stent retriever. Despite these interventions, successful recanalization was not achieved, with a final modified Thrombolysis in Cerebral Infarction (mTICI) score of 0. On November 13, 2024, brain magnetic resonance imaging (MRI) demonstrated acute infarcts involving the posterior limb of the right internal capsule, caudate head, hippocampus, and occipital lobe, along with additional embolic infarctions in the right frontal and parietal lobes. Magnetic resonance angiography (MRA) confirmed occlusion of the right ICA at the cavernous segment, as well as occlusion of the right fetal-type posterior cerebral artery (Figure 2).

Endovascular thrombectomy findings. (a) Digital subtraction angiography reveals acute occlusion of the distal segment of the right ICA. (b) Post-procedural angiography demonstrates unsuccessful recanalization, with a mTICI score of 0, indicating persistent occlusion. Infarction involving the basal ganglia is also noted. Orange arrow: The orange arrow denotes an area of unsuccessful recanalization.
On November 21, 2024, the patient underwent a superficial temporal artery to middle cerebral artery (STA–MCA) bypass procedure (Figures 3 and 4). The initial postoperative course was uneventful; however, substantial neurological deficits persisted despite surgical revascularization. As part of adjunctive therapy, molecular hydrogen supplementation was initiated from November 13, 2024, to January 13, 2025 (2 months). This was followed by 10 days of one hydrogen with rhodiola capsule daily (PURE HYDROGEN, HoHo Biotech Co., Ltd., Taipei, Taiwan), each containing 170 mg of hydrogen-rich coral calcium, corresponding to approximately 1.7 × 1021 molecules of molecular hydrogen), after which a third blood test was conducted. The hydrogen with rhodiola therapy was then extended for an additional 2 months (PURE HYDROGEN), each containing 170 mg of hydrogen-rich coral calcium, corresponding to approximately 1.7 × 1020 molecules of molecular hydrogen, and 100 mg of rhodiola rosea extract.

Serial neuroimaging before and after STA–MCA bypass surgery. (a) TOF MRA performed on November 19, 2024 (preoperative), demonstrates occlusion of the right ICA with reduced distal perfusion. Follow-up MRA on January 14, 2025 (postoperative), shows improved collateral circulation in the MCA territory, consistent with successful revascularization via STA–MCA bypass. (b) Diffusion-weighted imaging (DWI) prior to surgery reveals hyperintense signals in the right hemisphere, indicating acute ischemic changes. Postoperative DWI shows no new hyperintensities, suggesting the absence of additional infarcts. (c) Apparent diffusion coefficient (ADC) maps demonstrate corresponding preoperative hypointensities, confirming restricted diffusion in infarcted regions. Postoperative ADC findings reflect infarct maturation without evidence of extension.
Cerebral vascular imaging before surgery confirmed right ICA occlusion prior to the procedure. On November 13, 2024, postoperative imaging following STA–MCA bypass demonstrated enhanced cerebral perfusion, with no evidence of new ischemic lesions, indicating the absence of perioperative infarction (Figure 4). On January 13, 2025, adjunctive therapy with hydrogen–rhodiola capsules was administered. On March 13, 2025, after two months of adjuvant therapy with hydrogen-rhodiola capsules, postoperative imaging demonstrated improved cerebral perfusion, correlating with the notable neurological recovery of the patient. Specifically, motor function improved from severe left-sided weakness (Medical Research Council grade 1) to near-complete recovery, with MRC grade 5 in the left upper limb and grade 4 in the left lower limb.

Three-dimensional reconstructions of the cerebral vasculature. Follow-up imaging on January 14, 2025, after STA–MCA bypass surgery, reveals improved cerebral perfusion. No new ischemic lesions are observed, confirming the absence of perioperative infarcts. Purple vessels: STA.
In addition to the clinical and imaging data, immunophenotypic analysis and cell gating strategy were conducted in accordance with previously established protocols [22,23,24,25,26,27]. Flow cytometry was employed to evaluate immunological alterations in whole blood samples obtained before and after the administration of molecular hydrogen or hydrogen–rhodiola therapy. Sample preparation for subsequent analyses followed standard protocols, utilizing fluorescent dye-based labeling techniques in conjunction with commercially available dried antibody reagent kits (Beckman Coulter, USA). The procedures for sample processing, immunophenotypic profiling, and cell population gating were conducted in accordance with established methods previously described in the literature [28]. See supplementary methods for details. Immunophenotyping was performed three times (November 13, January 13, and January 23) to evaluate the patient’s immunological response to the adjunctive hydrogen-rhodiola therapy. The analyses demonstrated progressive immunomodulatory changes, including increased expression of the regulatory marker T-cell immunoglobulin and mucin-domain containing-3 (TIM-3) and a reduction in Fas-positive (Fas⁺) cell populations, suggesting a shift toward an anti-inflammatory immune profile (Figures 5 and 6). Figure 7 illustrates the treatment timeline of the patient.

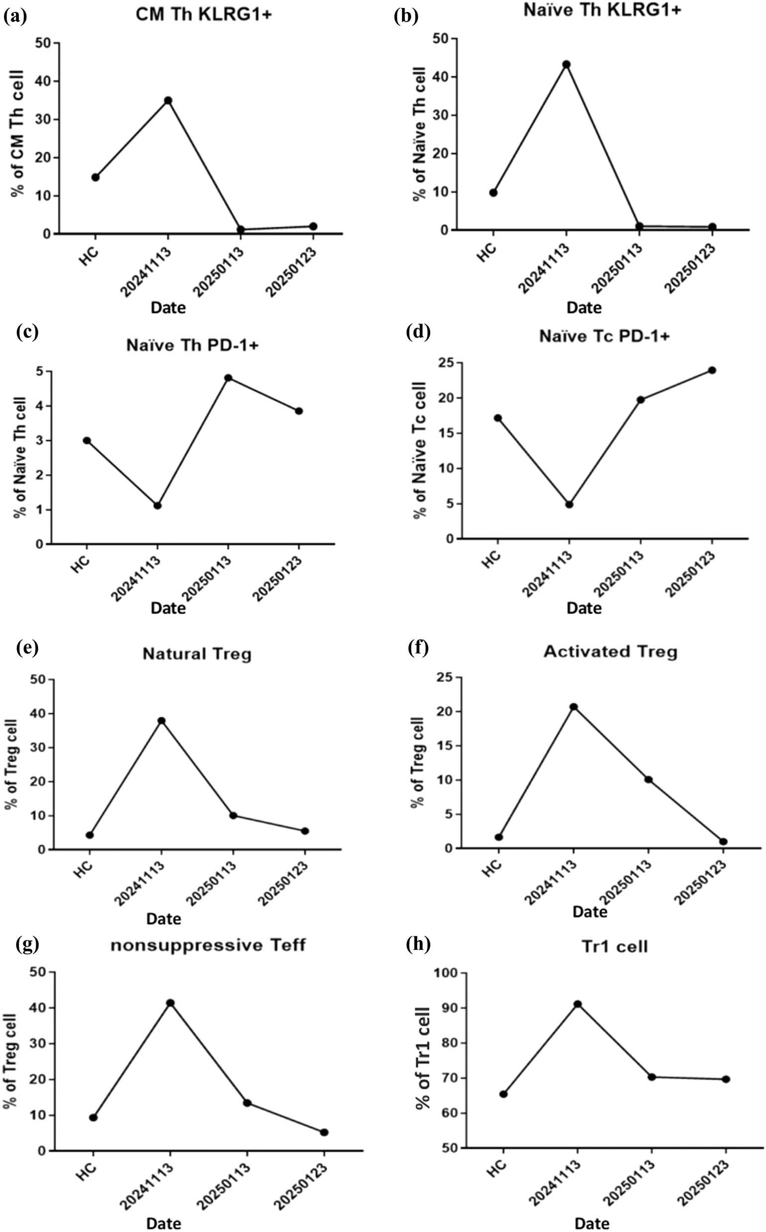
Dynamic changes in regulatory and exhausted T-cell subsets during hydrogen therapy alone or in combination with rhodiola. (a) Central memory CD4⁺ T helper (CM Th) cells expressing KLRG1 were elevated at baseline and decreased progressively during recovery. (b) Naïve Th cells expressing KLRG1 demonstrated a marked increase during the acute phase of stroke, followed by a significant decline post-treatment. (c) PD-1⁺ naïve Th cells decreased during the acute event but gradually increased after hydrogen therapy, reflecting restoration of immune checkpoint activity. (d) A similar trend was observed in PD-1⁺ naïve cytotoxic T cells (Tc). (e) Natural regulatory T cells (Tregs; CD127lowFOXP3⁺) were initially elevated and normalized over time. (f) Activated Treg cells (CD45RA⁻FOXP3high) increased following hydrogen therapy. (g) Non-suppressive CD4⁺ effector T cells (CD25⁺FOXP3low) declined with treatment. (h) Type 1 regulatory T cells (Tr1; IL-10⁺FOXP3⁻) exhibited a sustained increase after therapy initiation. Health control (HC) group.

Immune checkpoint and apoptotic regulation following hydrogen therapy alone or in combination with rhodiola. (a) TIM-3 expression on effector CD4⁺ T helper (Th) cells increased progressively over the treatment period. (b) Naïve CD8⁺ cytotoxic T cells (Tc) expressing KLRG1 were elevated at baseline but declined steadily after treatment. (c) TIM-3 expression on effector Tc cells increased following hydrogen therapy. (d) Fas expression on marginal zone B cells was markedly elevated during the acute ischemic phase and decreased after therapy. (e) A similar pattern was observed in Fas⁺ DN B cells (IgD⁻CD27⁻). (f) Fas⁺ SM B cells also exhibited decreased expression levels post-therapy. Health control (HC) group.

Clinical timeline and immunological evolution. This figure presents a chronological overview of key clinical events alongside dynamic immunophenotyping data across three major phases: (1) Initiation of hydrogen capsule supplementation during an arterial embolism episode, (2) postoperative recovery following STA–MCA bypass surgery, and (3) combined supplementation with hydrogen and Rhodiola capsules. Immunological trends observed over time include a progressive increase in regulatory Tr1-cell frequency and TIM-3 expression, along with a marked decrease in Fas⁺ apoptotic B-cell subsets. These immune changes temporally correlate with the patient’s gradual neurological recovery and overall clinical improvement.
Comprehensive immunological assessments were performed at three time points: prior to the initiation of molecular hydrogen therapy (November 13, 2024) for 2 months; 10 days of hydrogen with rhodiola therapy (from January 13 to 23, 2025); and 4 months post-hydrogen and hydrogen rhodiola therapy (March 13, 2025). The analyses focused on both T-cell and B-cell subsets, with particular emphasis on regulatory populations and the expression of immune checkpoint molecules, to evaluate the immunomodulatory effects of hydrogen therapy over time.
Following the initiation of molecular hydrogen therapy alone or in combination with rhodiola, the patient demonstrated gradual and sustained neurological improvement. By February 2025, left upper limb muscle strength had improved from MRC grades 1 to 3, and left lower limb strength similarly improved from grade 1 to 3. The NIHSS score improved from 12 to 10, indicating partial neurological recovery. These clinical improvements were paralleled by notable immunological changes (Figure 5). Specifically, there was a progressive increase in type 1 regulatory T cells (Tr1), rising from 40% at baseline to 90% at four months post-therapy. TIM-3 expression on cytotoxic T cells (Tc) increased by 40%, and a marked expansion of regulatory B-cell populations was observed. In addition, expression patterns of programmed cell death protein 1 (PD-1) on naïve helper (Th) and Tc T cells exhibited dynamic modulation over the course of treatment (Figures 5 and 6), suggesting an evolving immune-regulatory environment associated with recovery.
Immunophenotyping analyses were performed at three distinct time points in chronological order: on November 13, during the episode of arterial embolism; on January 13, 2 months after initiating hydrogen capsule treatment; and on January 23, 10 days after the addition of hydrogen-rhodiola capsules). During the right carotid artery embolism on November 13, an increase was observed in naïve and central memory (CM) Th cells, as well as in naïve Tc cells expressing KLRG1. Additionally, there was an elevation in Fas expression on marginal zone B cells and increased Fas expression in switched-memory (SM) and double-negative (DN) B cells. Levels of activated and natural regulatory T (Treg) cells, along with Tr1 cells, were also significantly higher (Figure 6).
Conversely, PD-1 expression decreased on naïve Th and naïve Tc cells, and TIM-3 expression was reduced on effector Th and Tc cells. Following the initiation of hydrogen capsule therapy on November 13 and subsequent STA–MCA bypass surgery on November 24, there was a reduction in naïve Th cells and CM cells expressing KLRG1, as well as a decline in activated natural Treg and Tr1 cells. By January 23, 10 days after the patient began hydrogen-rhodiola capsules, an increase in effector Th and Tc cells expressing TIM-3 was observed. Additionally, there was a decrease in naïve Tc cells expressing KLRG1, as well as a reduction in Fas-positive marginal zone B cells, SM B cells, and DN B cells (Figure 6).
By March 2025, after 4 months of molecular hydrogen-rhodiola therapy, the patient showed further neurological improvement. Left upper limb muscle strength increased to MRC grade 5, and left lower limb strength improved to MRC grade 4. Follow-up brain MRI on March 2, 2025, revealed no new ischemic or hemorrhagic lesions. Throughout the treatment period, no adverse effects associated with hydrogen therapy were reported. For further visualization, a dynamic stereoscopic video of the blood vessel model is available at the following link: https://sketchfab.com/3d-models/blood-vessel-09f09ebc66e14e2dabebbe9514a7a88a.
3 Discussion
This case report provides preliminary insights into the potential role of molecular hydrogen therapy alone or in combination with rhodiola as an adjuvant intervention for ischemic stroke secondary to ICA occlusion. Our findings suggest that hydrogen supplementation may support neurological recovery, in part, through modulation of the immune response, particularly by enhancing populations of regulatory immune cells that are known to promote tissue repair and resolve inflammation. Following the initiation of molecular hydrogen-rhodiola therapy, the patient exhibited marked clinical improvement, including substantial recovery of motor function that exceeded typical expectations for a severe stroke of this nature. Although natural recovery processes and concurrent medical interventions undoubtedly contributed to this outcome, the temporal correlation between hydrogen administration, immunological changes, and accelerated neurological recovery supports a possible therapeutic contribution from hydrogen-rhodiola supplementation.
The immunological findings are of particular interest. We observed a notable increase in Tr1 cells, a subset of T cells characterized by their production of anti-inflammatory cytokines such as interleukin-10 (IL-10) and transforming growth factor-beta (TGF-β). These cytokines are critical for creating an immunological milieu conducive to neural repair and suppression of secondary injury mechanisms [29]. In parallel, regulatory B cells (Bregs), which play an essential role in maintaining immune homeostasis and promoting resolution of inflammation [30], were also elevated during the course of therapy.
Another significant observation was the upregulation of TIM-3 expression on Tc cells. TIM-3 functions as an immune checkpoint molecule that suppresses overactive immune responses and contributes to peripheral tolerance [31]. Reduced TIM-3 expression has been implicated in the pathogenesis of various autoimmune diseases, including rheumatoid arthritis and multiple sclerosis, where immune regulation is impaired [32]. The observed increase in TIM-3 + Tc cells in this patient may reflect a shift toward a more controlled, anti-inflammatory immune state, thereby supporting recovery and limiting further neuronal injury. These immunological changes are consistent with evolving models of post-stroke immunology, which describe a biphasic immune response: an early pro-inflammatory phase followed by a regulatory or pro-resolving phase marked by expansion of immunosuppressive cell types [33]. Hydrogen therapy may facilitate or enhance this transition, thereby promoting neurorepair mechanisms and improving clinical outcomes. Moreover, rhodiola has also been previously reported to exhibit antioxidative, immunomodulatory, and neuroprotective properties, as well as modulatory effects on neurodegenerative processes [14,16,17,18].
While the exact pathways by which molecular hydrogen influences immune cell dynamics remain to be fully elucidated, several plausible mechanisms have been proposed. These include the scavenging of cytotoxic hydroxyl radicals and peroxynitrite, protection of mitochondrial integrity in immune cells, and inhibition of key pro-inflammatory signaling cascades such as nuclear factor kappa B [34,35]. Through these actions, hydrogen may indirectly support the proliferation and function of regulatory immune cells while mitigating the deleterious effects of oxidative stress. In addition, rhodiolin has been shown to inhibit inflammatory responses and oxidative stress through modulation of the phosphatidylinositol 3-kinase/protein kinase B signaling pathway [36,37].
Although the postoperative course was complicated by the development of a localized abscess requiring percutaneous drainage and a newly diagnosed tuberculosis infection, the patient demonstrated marked clinical improvement, with resolution of systemic symptoms and stabilization of vital signs, allowing for safe discharge with appropriate follow-up plans in place. Neurologically, there was a marked enhancement in consciousness level (Glasgow Coma Scale: E4V5M6) and full recovery of left upper limb motor strength (MRC grade 5/5). This case highlights the potential role of molecular hydrogen-rhodiola therapy as an adjuvant treatment for ischemic stroke, suggesting that its immunomodulatory effects may contribute to neurological recovery. The observed clinical improvements paralleled favorable immunological shifts, supporting its therapeutic potential in post-stroke management. However, in vivo studies have shown that salidroside, a key component of Tibetan medicine, enhances host defense against mycobacterial infection by boosting the production of inflammatory cytokines [19].
It is important to acknowledge that the patient presented with multiple comorbidities, including pulmonary tuberculosis, and underwent additional interventions such as drainage procedures, which may have influenced immune responses and neurological recovery. These factors represent significant potential confounders, making it difficult to attribute the observed clinical improvements solely to the adjuvant hydrogen and Rhodiola therapy. This case underscores the inherent complexity of interpreting therapeutic outcomes in a multifactorial clinical context.
Our findings are consistent with prior experimental studies and limited clinical observations that have demonstrated neuroprotective and anti-inflammatory effects of hydrogen therapy in models of cerebral ischemia [38,39]. However, this report contributes novel insights by providing serial, immunologically focused assessments that help to elucidate potential cellular mechanisms underlying clinical improvement.
Several limitations must be acknowledged in interpreting the findings of this case report. As a single-patient observation, it is not possible to establish causality between molecular hydrogen-rhodiola therapy and the clinical or immunological improvements observed. Furthermore, the extracranial–intracranial bypass surgery performed prior to the initiation of hydrogen therapy likely contributed to cerebral reperfusion and may have played a role in the observed clinical recovery. Although the patient exhibited notable clinical and immunological improvement following the administration of adjuvant molecular hydrogen and Rhodiola rosea therapy, it remains uncertain to what extent these improvements can be attributed to the treatment itself. Given that the patient also underwent a successful bypass surgery, the observed recovery may be the result of multiple contributing factors. Nonetheless, the temporal association between the therapy and the improvement, along with supportive changes in laboratory and immune markers, suggest a potential benefit. We recognize that conclusions regarding efficacy cannot be drawn from a single case, and further studies involving a larger number of patients are needed to validate these preliminary observations.
4 Conclusion
This case report underscores the potential utility of molecular hydrogen therapy alone or in combination with rhodiola as an adjuvant treatment for ischemic stroke, particularly in the context of ICA occlusion. The observed expansion of regulatory immune cell populations, including Tr1 and Breg cells, along with increased TIM-3 expression on cytotoxic T cells, suggests a possible immunomodulatory mechanism contributing to neurological recovery. These preliminary findings support the need for further investigation through well-designed clinical trials to validate the therapeutic efficacy, determine optimal dosing regimens, and elucidate the underlying molecular mechanisms of hydrogen therapy alone or in combination with rhodiola in the management of cerebrovascular diseases.
-
Funding information: This study was supported by the National Science and Technology Council, Taiwan (grants NSTC 112-2314-B-016-033, NSTC 113-2314-B-016-052 and NSTC 114-2314-B-016-052-MY3) and Tri-Service General Hospital, Taiwan (grants TSGH-E-112218 and TSGH-E-113238).
-
Author contributions: FHC: conceptualization, methodology, writing original draft, writing review, and editing. JWL: conceptualization, methodology, writing original draft, writing review, and editing. CCH: conceptualization, methodology, writing review, and editing. WLJ: conceptualization, methodology, writing review, and editing. SMK: conceptualization, methodology, writing review, and editing. SZL conceptualization, methodology, writing review, and editing. DYH: conceptualization, methodology, writing review, and editing. YFS: conceptualization, methodology, writing review, and editing. YHT: conceptualization, methodology, writing review, and editing. JIT: conceptualization, methodology, writing review, and editing. YJH: conceptualization, methodology, writing, review, and editing. KYW: conceptualization, methodology, writing, review, and editing. FCL: conceptualization, investigation, supervision, writing, review, and editing. All authors read and approved the final manuscript.
-
Conflict of interest: The authors declare no conflicts of interest in relation to this study.
-
Data availability statement: The data that support the findings of this study are available within the article. Additional datasets or materials are available from the corresponding author upon reasonable request.
References
[1] Goyal M, Menon BK, van Zwam WH, Dippel DW, Mitchell PJ, Demchuk AM, et al. Endovascular thrombectomy after large-vessel ischaemic stroke: a meta-analysis of individual patient data from five randomised trials. Lancet. 2016;387:1723–31.10.1016/S0140-6736(16)00163-XSuche in Google Scholar PubMed
[2] Powers WJ, Rabinstein AA, Ackerson T, Adeoye OM, Bambakidis NC, Becker K, et al. Guidelines for the early management of patients with acute ischemic stroke: 2019 update to the 2018 guidelines for the early management of acute ischemic stroke: a guideline for healthcare professionals from the american heart association/american stroke association. Stroke. 2019;50:e344–418.10.1161/STR.0000000000000211Suche in Google Scholar PubMed
[3] Nogueira RG, Jadhav AP, Haussen DC, Bonafe A, Budzik RF, Bhuva P, et al. Thrombectomy 6 to 24 hours after stroke with a mismatch between deficit and infarct. N Engl J Med. 2018;378:11–21.10.1056/NEJMoa1706442Suche in Google Scholar PubMed
[4] Chamorro Á, Dirnagl U, Urra X, Planas AM. Neuroprotection in acute stroke: targeting excitotoxicity, oxidative and nitrosative stress, and inflammation. Lancet Neurol. 2016;15:869–1.10.1016/S1474-4422(16)00114-9Suche in Google Scholar PubMed
[5] Amin-Hanjani S, Barker 2nd FG, Charbel FT, Connolly Jr ES, Morcos JJ, Thompson BG. Extracranial-intracranial bypass for stroke-is this the end of the line or a bump in the road? Neurosurgery. 2012;71:557–61.10.1227/NEU.0b013e3182621488Suche in Google Scholar PubMed
[6] Kwakkel G, Kollen BJ, Krebs HI. Effects of robot-assisted therapy on upper limb recovery after stroke: a systematic review. Neurorehabil Neural Repair. 2008;22:111–21.10.1177/1545968307305457Suche in Google Scholar PubMed PubMed Central
[7] Ohsawa I, Ishikawa M, Takahashi K, Watanabe M, Nishimaki K, Yamagata K, et al. Hydrogen acts as a therapeutic antioxidant by selectively reducing cytotoxic oxygen radicals. Nat Med. 2007;13:688–94.10.1038/nm1577Suche in Google Scholar PubMed
[8] Ohta S. Molecular hydrogen as a novel antioxidant: overview of the advantages of hydrogen for medical applications. Methods Enzymol. 2015;555:289–317.10.1016/bs.mie.2014.11.038Suche in Google Scholar PubMed
[9] Ishibashi T. Molecular hydrogen: new antioxidant and anti-inflammatory therapy for rheumatoid arthritis and related diseases. Curr Pharm Des. 2013;19:6375–81.10.2174/13816128113199990507Suche in Google Scholar PubMed PubMed Central
[10] Saengsin K, Sittiwangkul R, Chattipakorn SC, Chattipakorn N. Hydrogen therapy as a potential therapeutic intervention in heart disease: from the past evidence to future application. Cell Mol Life Sci. 2023;80:174.10.1007/s00018-023-04818-4Suche in Google Scholar PubMed PubMed Central
[11] Chen JY, Lu JW, Feng SW, Ho YJ, Lui SW, Hsieh TY, et al. Molecular hydrogen therapy in aneurysmal SAH With RA and newly-diagnosed SLE, complicated with acute ischemic infarction: a case report of improved immune markers including Tr1 cells, breg cells and TIM3 expression on Tc cells. In Vivo. 2024;38:3131–7.10.21873/invivo.13799Suche in Google Scholar PubMed PubMed Central
[12] Kumagai K, Toyooka T, Takeuchi S, Otani N, Wada K, Tomiyama A, et al. Hydrogen gas inhalation improves delayed brain injury by alleviating early brain injury after experimental subarachnoid hemorrhage. Sci Rep. 2020;10:12319.10.1038/s41598-020-69028-5Suche in Google Scholar PubMed PubMed Central
[13] Chen H, Xie K, Han H, Li Y, Liu L, Yang T, et al. Molecular hydrogen protects mice against polymicrobial sepsis by ameliorating endothelial dysfunction via an Nrf2/HO-1 signaling pathway. Int Immunopharmacol. 2015;28:643–54.10.1016/j.intimp.2015.07.034Suche in Google Scholar PubMed
[14] Pu WL, Zhang MY, Bai RY, Sun LK, Li WH, Yu YL, et al. Anti-inflammatory effects of Rhodiola rosea L.: A review. Biomed Pharmacother. 2020;121:109552.10.1016/j.biopha.2019.109552Suche in Google Scholar PubMed
[15] Zhang L, Yin H, Xie Y, Zhang Y, Dong F, Wu K, et al. Exploring the anti‑oxidative mechanisms of Rhodiola rosea in ameliorating myocardial fibrosis through network pharmacology and in vitro experiments. Mol Med Rep. 2024;30.10.3892/mmr.2024.13338Suche in Google Scholar PubMed PubMed Central
[16] Recio MC, Giner RM, Manez S. Immunmodulatory and antiproliferative properties of rhodiola species. Planta Med. 2016;82(11–12):952–60.10.1055/s-0042-107254Suche in Google Scholar PubMed
[17] Lee Y, Jung JC, Jang S, Kim J, Ali Z, Khan IA, et al. Anti-Inflammatory and Neuroprotective Effects of Constituents Isolated from Rhodiola rosea. Evid Based Complement Altern Med. 2013;2013:514049.10.1155/2013/514049Suche in Google Scholar PubMed PubMed Central
[18] Zhang X, Wang X, Hu X, Chu X, Li X, Han F. Neuroprotective effects of a Rhodiola crenulata extract on amyloid-beta peptides (Abeta(1-42)) -induced cognitive deficits in rat models of Alzheimer’s disease. Phytomedicine. 2019;57:331–8.10.1016/j.phymed.2018.12.042Suche in Google Scholar PubMed
[19] He S, Fan H, Sun B, Yang M, Liu H, Yang J, et al. Tibetan medicine salidroside improves host anti-mycobacterial response by boosting inflammatory cytokine production in zebrafish. Front Pharmacol. 2022;13:936295.10.3389/fphar.2022.936295Suche in Google Scholar PubMed PubMed Central
[20] Iadecola C, Anrather J. The immunology of stroke: from mechanisms to translation. Nat Med. 2011;17:796–808.10.1038/nm.2399Suche in Google Scholar PubMed PubMed Central
[21] Tian Y, Zhang Y, Wang Y, Chen Y, Fan W, Zhou J, et al. Hydrogen, a novel therapeutic molecule, regulates oxidative stress, inflammation, and apoptosis. Front Physiol. 2021;12:789507.10.3389/fphys.2021.789507Suche in Google Scholar PubMed PubMed Central
[22] Lui SW, Lu JW, Ho YJ, Tang SE, Ko KH, Hsieh TY, et al. Molecular hydrogen as a promising therapy could be linked with increased resting treg cells or decreased Fas + T cell subsets in a IgG4-PF-ILD patient: a case report. In Vivo. 2024;38:1512–8.10.21873/invivo.13600Suche in Google Scholar PubMed PubMed Central
[23] Lin YT, Lu JW, Lin JC, Ho YJ, Lui SW, Hsieh TY, et al. Molecular hydrogen capsule therapy for primary biliary cholangitis with elevated IgG4: a case report on immune marker normalization. In Vivo. 2025;39:1669–75.10.21873/invivo.13968Suche in Google Scholar PubMed PubMed Central
[24] Tu TH, Lu JW, Wu CH, Ho YJ, Lui SW, Hsieh TY, et al. Molecular hydrogen therapy for SLE-PAH: case report on immune marker modulation. In Vivo. 2025;39:1211–9.10.21873/invivo.13926Suche in Google Scholar PubMed PubMed Central
[25] Lin YT, Lu JW, Ho YJ, Lui SW, Hsieh TY, Liu HC, et al. Molecular hydrogen as an adjuvant therapy in severe lupus serositis with heart failure: a case report on immune modulation and fatigue reduction. In Vivo. 2025;39:1200–6.10.21873/invivo.13924Suche in Google Scholar PubMed PubMed Central
[26] Hsu HF, Hu RY, Lu JW, Hueng DY, Ho YJ, Lui SW, et al. Molecular hydrogen therapy enhances immune markers in treg, plasma, Tr1 Cells, and KLRG1 expression on Tc cells: a case of acute SDH with midline shift and uncal herniation post-decompressive craniectomy. In Vivo. 2025;39:1190–9.10.21873/invivo.13923Suche in Google Scholar PubMed PubMed Central
[27] Lin YT, Lu JW, Ho YJ, Lui SW, Hsieh TY, Wang KY, et al. Molecular hydrogen as a potential adjunctive therapy to improve renal function and reduce fatigue in an elderly patient with chronic comorbidities: a case report. In Vivo. 2025;39:572–6.10.21873/invivo.13862Suche in Google Scholar PubMed PubMed Central
[28] Lui SW, Hsieh TY, Lu JW, Chen YC, Lin TC, Ho YJ, et al. Predicting the clinical efficacy of JAK inhibitor treatment for patients with rheumatoid arthritis based on Fas + T cell subsets. APMIS. 2023;131:498–509.10.1111/apm.13341Suche in Google Scholar PubMed
[29] Freeborn RA, Strubbe S, Roncarolo MG. Type 1 regulatory T cell-mediated tolerance in health and disease. Front Immunol. 2022;13:1032575.10.3389/fimmu.2022.1032575Suche in Google Scholar PubMed PubMed Central
[30] Zhu Q, Rui K, Wang S, Tian J. Advances of regulatory B cells in autoimmune diseases. Front Immunol. 2021;12:592914.10.3389/fimmu.2021.592914Suche in Google Scholar PubMed PubMed Central
[31] Wolf Y, Anderson AC, Kuchroo VK. TIM3 comes of age as an inhibitory receptor. Nat Rev Immunol. 2020;20:173–85.10.1038/s41577-019-0224-6Suche in Google Scholar PubMed PubMed Central
[32] Das M, Zhu C, Kuchroo VK. Tim-3 and its role in regulating anti-tumor immunity. Immunol Rev. 2017;276:97–111.10.1111/imr.12520Suche in Google Scholar PubMed PubMed Central
[33] Anrather J, Iadecola C. Inflammation and stroke: an overview. Neurotherapeutics. 2016;13:661–70.10.1007/s13311-016-0483-xSuche in Google Scholar PubMed PubMed Central
[34] Iuchi K, Nishimaki K, Kamimura N, Ohta S. Molecular hydrogen suppresses free-radical-induced cell death by mitigating fatty acid peroxidation and mitochondrial dysfunction. Can J Physiol Pharmacol. 2019;97:999–1005.10.1139/cjpp-2018-0741Suche in Google Scholar PubMed
[35] Ishihara G, Kawamoto K, Komori N, Ishibashi T. Molecular hydrogen suppresses superoxide generation in the mitochondrial complex I and reduced mitochondrial membrane potential. Biochem Biophys Res Commun. 2020;522:965–70.10.1016/j.bbrc.2019.11.135Suche in Google Scholar PubMed
[36] Bo J, Mao S, Yang J, Wang L, Zheng J, Zhang C, et al. Rhodiolin inhibits the PI3K/AKT/mTOR signaling pathway via the glycolytic enzyme GPI in human papillary thyroid cancer. Phytomedicine. 2024;132:155804.10.1016/j.phymed.2024.155804Suche in Google Scholar PubMed
[37] Jiang L, Yang D, Zhang Z, Xu L, Jiang Q, Tong Y, et al. Elucidating the role of Rhodiola rosea L. in sepsis-induced acute lung injury via network pharmacology: emphasis on inflammatory response, oxidative stress, and the PI3K-AKT pathway. Pharm Biol. 2024;62:272–84.10.1080/13880209.2024.2319117Suche in Google Scholar PubMed PubMed Central
[38] Eckermann JM, Chen W, Jadhav V, Hsu FP, Colohan AR, Tang J, et al. Hydrogen is neuroprotective against surgically induced brain injury. Med Gas Res. 2011;1:7.10.1186/2045-9912-1-7Suche in Google Scholar PubMed PubMed Central
[39] Ono H, Nishijima Y, Adachi N, Sakamoto M, Kudo Y, Kaneko K, et al. A basic study on molecular hydrogen (H2) inhalation in acute cerebral ischemia patients for safety check with physiological parameters and measurement of blood H2 level. Med Gas Res. 2012;2:21.10.1186/2045-9912-2-21Suche in Google Scholar PubMed PubMed Central
© 2025 the author(s), published by De Gruyter
This work is licensed under the Creative Commons Attribution 4.0 International License.
Artikel in diesem Heft
- Research Articles
- Network pharmacological analysis and in vitro testing of the rutin effects on triple-negative breast cancer
- Impact of diabetes on long-term survival in elderly liver cancer patients: A retrospective study
- Knockdown of CCNB1 alleviates high glucose-triggered trophoblast dysfunction during gestational diabetes via Wnt/β-catenin signaling pathway
- Risk factors for severe adverse drug reactions in hospitalized patients
- Analysis of the effect of ALA-PDT on macrophages in footpad model of mice infected with Fonsecaea monophora based on single-cell sequencing
- Development and validation of headspace gas chromatography with a flame ionization detector method for the determination of ethanol in the vitreous humor
- CMSP exerts anti-tumor effects on small cell lung cancer cells by inducing mitochondrial dysfunction and ferroptosis
- Predictive value of plasma sB7-H3 and YKL-40 in pediatric refractory Mycoplasma pneumoniae pneumonia
- Antiangiogenic potential of Elaeagnus umbellata extracts and molecular docking study by targeting VEGFR-2 pathway
- Comparison of the effectiveness of nurse-led preoperative counseling and postoperative follow-up care vs standard care for patients with gastric cancer
- Comparing the therapeutic efficacy of endoscopic minimally invasive surgery and traditional surgery for early-stage breast cancer: A meta-analysis
- Adhered macrophages as an additional marker of cardiomyocyte injury in biopsies of patients with dilated cardiomyopathy
- Association between statin administration and outcome in patients with sepsis: A retrospective study
- Exploration of the association between estimated glucose disposal rate and osteoarthritis in middle-aged and older adults: An analysis of NHANES data from 2011 to 2018
- A comparative analysis of the binary and multiclass classified chest X-ray images of pneumonia and COVID-19 with ML and DL models
- Lysophosphatidic acid 2 alleviates deep vein thrombosis via protective endothelial barrier function
- Transcription factor A, mitochondrial promotes lymph node metastasis and lymphangiogenesis in epithelial ovarian carcinoma
- Serum PM20D1 levels are associated with nutritional status and inflammatory factors in gastric cancer patients undergoing early enteral nutrition
- Hydromorphone reduced the incidence of emergence agitation after adenotonsillectomy in children with obstructive sleep apnea: A randomized, double-blind study
- Vitamin D replacement therapy may regulate sleep habits in patients with restless leg syndrome
- The first-line antihypertensive nitrendipine potentiated the therapeutic effect of oxaliplatin by downregulating CACNA1D in colorectal cancer
- Health literacy and health-related quality of life: The mediating role of irrational happiness
- Modulatory effects of Lycium barbarum polysaccharide on bone cell dynamics in osteoporosis
- Mechanism research on inhibition of gastric cancer in vitro by the extract of Pinellia ternata based on network pharmacology and cellular metabolomics
- Examination of the causal role of immune cells in non-alcoholic fatty liver disease by a bidirectional Mendelian randomization study
- Clinical analysis of ten cases of HIV infection combined with acute leukemia
- Investigating the cardioprotective potential of quercetin against tacrolimus-induced cardiotoxicity in Wistar rats: A mechanistic insights
- Clinical observation of probiotics combined with mesalazine and Yiyi Baitouweng Decoction retention enema in treating mild-to-moderate ulcerative colitis
- Diagnostic value of ratio of blood inflammation to coagulation markers in periprosthetic joint infection
- Sex-specific associations of sex hormone binding globulin and risk of bladder cancer
- Core muscle strength and stability-oriented breathing training reduces inter-recti distance in postpartum women
- The ERAS nursing care strategy for patients undergoing transsphenoidal endoscopic pituitary tumor resection: A randomized blinded controlled trial
- The serum IL-17A levels in patients with traumatic bowel rupture post-surgery and its predictive value for patient prognosis
- Impact of Kolb’s experiential learning theory-based nursing on caregiver burden and psychological state of caregivers of dementia patients
- Analysis of serum NLR combined with intraoperative margin condition to predict the prognosis of cervical HSIL patients undergoing LEEP surgery
- Commiphora gileadensis ameliorate infertility and erectile dysfunction in diabetic male mice
- The correlation between epithelial–mesenchymal transition classification and MMP2 expression of circulating tumor cells and prognosis of advanced or metastatic nasopharyngeal carcinoma
- Tetrahydropalmatine improves mitochondrial function in vascular smooth muscle cells of atherosclerosis in vitro by inhibiting Ras homolog gene family A/Rho-associated protein kinase-1 signaling pathway
- A cross-sectional study: Relationship between serum oxidative stress levels and arteriovenous fistula maturation in maintenance dialysis patients
- A comparative analysis of the impact of repeated administration of flavan 3-ol on brown, subcutaneous, and visceral adipose tissue
- Identifying early screening factors for depression in middle-aged and older adults: A cohort study
- Perform tumor-specific survival analysis for Merkel cell carcinoma patients undergoing surgical resection based on the SEER database by constructing a nomogram chart
- Unveiling the role of CXCL10 in pancreatic cancer progression: A novel prognostic indicator
- High-dose preoperative intraperitoneal erythropoietin and intravenous methylprednisolone in acute traumatic spinal cord injuries following decompression surgeries
- RAB39B: A novel biomarker for acute myeloid leukemia identified via multi-omics and functional validation
- Impact of peripheral conditioning on reperfusion injury following primary percutaneous coronary intervention in diabetic and non-diabetic STEMI patients
- Clinical efficacy of azacitidine in the treatment of middle- and high-risk myelodysplastic syndrome in middle-aged and elderly patients: A retrospective study
- The effect of ambulatory blood pressure load on mitral regurgitation in continuous ambulatory peritoneal dialysis patients
- Expression and clinical significance of ITGA3 in breast cancer
- Single-nucleus RNA sequencing reveals ARHGAP28 expression of podocytes as a biomarker in human diabetic nephropathy
- rSIG combined with NLR in the prognostic assessment of patients with multiple injuries
- Toxic metals and metalloids in collagen supplements of fish and jellyfish origin: Risk assessment for daily intake
- Exploring causal relationship between 41 inflammatory cytokines and marginal zone lymphoma: A bidirectional Mendelian randomization study
- Gender beliefs and legitimization of dating violence in adolescents
- Effect of serum IL-6, CRP, and MMP-9 levels on the efficacy of modified preperitoneal Kugel repair in patients with inguinal hernia
- Effect of smoking and smoking cessation on hematological parameters in polycythemic patients
- Pathogen surveillance and risk factors for pulmonary infection in patients with lung cancer: A retrospective single-center study
- Necroptosis of hippocampal neurons in paclitaxel chemotherapy-induced cognitive impairment mediates microglial activation via TLR4/MyD88 signaling pathway
- Celastrol suppresses neovascularization in rat aortic vascular endothelial cells stimulated by inflammatory tenocytes via modulating the NLRP3 pathway
- Cord-lamina angle and foraminal diameter as key predictors of C5 palsy after anterior cervical decompression and fusion surgery
- GATA1: A key biomarker for predicting the prognosis of patients with diffuse large B-cell lymphoma
- Influencing factors of false lumen thrombosis in type B aortic dissection: A single-center retrospective study
- MZB1 regulates the immune microenvironment and inhibits ovarian cancer cell migration
- Integrating experimental and network pharmacology to explore the pharmacological mechanisms of Dioscin against glioblastoma
- Trends in research on preterm birth in twin pregnancy based on bibliometrics
- Four-week IgE/baseline IgE ratio combined with tryptase predicts clinical outcome in omalizumab-treated children with moderate-to-severe asthma
- Single-cell transcriptomic analysis identifies a stress response Schwann cell subtype
- Acute pancreatitis risk in the diagnosis and management of inflammatory bowel disease: A critical focus
- Effect of subclinical esketamine on NLRP3 and cognitive dysfunction in elderly ischemic stroke patients
- Interleukin-37 mediates the anti-oral tumor activity in oral cancer through STAT3
- CA199 and CEA expression levels, and minimally invasive postoperative prognosis analysis in esophageal squamous carcinoma patients
- Efficacy of a novel drainage catheter in the treatment of CSF leak after posterior spine surgery: A retrospective cohort study
- Comprehensive biomedicine assessment of Apteranthes tuberculata extracts: Phytochemical analysis and multifaceted pharmacological evaluation in animal models
- Relation of time in range to severity of coronary artery disease in patients with type 2 diabetes: A cross-sectional study
- Dopamine attenuates ethanol-induced neuronal apoptosis by stimulating electrical activity in the developing rat retina
- Correlation between albumin levels during the third trimester and the risk of postpartum levator ani muscle rupture
- Factors associated with maternal attention and distraction during breastfeeding and childcare: A cross-sectional study in the west of Iran
- Mechanisms of hesperetin in treating metabolic dysfunction-associated steatosis liver disease via network pharmacology and in vitro experiments
- The law on oncological oblivion in the Italian and European context: How to best uphold the cancer patients’ rights to privacy and self-determination?
- The prognostic value of the neutrophil-to-lymphocyte ratio, platelet-to-lymphocyte ratio, and prognostic nutritional index for survival in patients with colorectal cancer
- Factors affecting the measurements of peripheral oxygen saturation values in healthy young adults
- Comparison and correlations between findings of hysteroscopy and vaginal color Doppler ultrasonography for detection of uterine abnormalities in patients with recurrent implantation failure
- The effects of different types of RAGT on balance function in stroke patients with low levels of independent walking in a convalescent rehabilitation hospital
- Causal relationship between asthma and ankylosing spondylitis: A bidirectional two-sample univariable and multivariable Mendelian randomization study
- Correlations of health literacy with individuals’ understanding and use of medications in Southern Taiwan
- Correlation of serum calprotectin with outcome of acute cerebral infarction
- Comparison of computed tomography and guided bronchoscopy in the diagnosis of pulmonary nodules: A systematic review and meta-analysis
- Curdione protects vascular endothelial cells and atherosclerosis via the regulation of DNMT1-mediated ERBB4 promoter methylation
- The identification of novel missense variant in ChAT gene in a patient with gestational diabetes denotes plausible genetic association
- Molecular genotyping of multi-system rare blood types in foreign blood donors based on DNA sequencing and its clinical significance
- Exploring the role of succinyl carnitine in the association between CD39⁺ CD4⁺ T cell and ulcerative colitis: A Mendelian randomization study
- Dexmedetomidine suppresses microglial activation in postoperative cognitive dysfunction via the mmu-miRNA-125/TRAF6 signaling axis
- Analysis of serum metabolomics in patients with different types of chronic heart failure
- Diagnostic value of hematological parameters in the early diagnosis of acute cholecystitis
- Pachymaran alleviates fat accumulation, hepatocyte degeneration, and injury in mice with nonalcoholic fatty liver disease
- Decrease in CD4 and CD8 lymphocytes are predictors of severe clinical picture and unfavorable outcome of the disease in patients with COVID-19
- METTL3 blocked the progression of diabetic retinopathy through m6A-modified SOX2
- The predictive significance of anti-RO-52 antibody in patients with interstitial pneumonia after treatment of malignant tumors
- Exploring cerebrospinal fluid metabolites, cognitive function, and brain atrophy: Insights from Mendelian randomization
- Development and validation of potential molecular subtypes and signatures of ocular sarcoidosis based on autophagy-related gene analysis
- Widespread venous thrombosis: Unveiling a complex case of Behçet’s disease with a literature perspective
- Uterine fibroid embolization: An analysis of clinical outcomes and impact on patients’ quality of life
- Discovery of lipid metabolism-related diagnostic biomarkers and construction of diagnostic model in steroid-induced osteonecrosis of femoral head
- Serum-derived exomiR-188-3p is a promising novel biomarker for early-stage ovarian cancer
- Enhancing chronic back pain management: A comparative study of ultrasound–MRI fusion guidance for paravertebral nerve block
- Peptide CCAT1-70aa promotes hepatocellular carcinoma proliferation and invasion via the MAPK/ERK pathway
- Electroacupuncture-induced reduction of myocardial ischemia–reperfusion injury via FTO-dependent m6A methylation modulation
- Hemorrhoids and cardiovascular disease: A bidirectional Mendelian randomization study
- Cell-free adipose extract inhibits hypertrophic scar formation through collagen remodeling and antiangiogenesis
- HALP score in Demodex blepharitis: A case–control study
- Assessment of SOX2 performance as a marker for circulating cancer stem-like cells (CCSCs) identification in advanced breast cancer patients using CytoTrack system
- Risk and prognosis for brain metastasis in primary metastatic cervical cancer patients: A population-based study
- Comparison of the two intestinal anastomosis methods in pediatric patients
- Factors influencing hematological toxicity and adverse effects of perioperative hyperthermic intraperitoneal vs intraperitoneal chemotherapy in gastrointestinal cancer
- Endotoxin tolerance inhibits NLRP3 inflammasome activation in macrophages of septic mice by restoring autophagic flux through TRIM26
- Lateral transperitoneal laparoscopic adrenalectomy: A single-centre experience of 21 procedures
- Petunidin attenuates lipopolysaccharide-induced retinal microglia inflammatory response in diabetic retinopathy by targeting OGT/NF-κB/LCN2 axis
- Procalcitonin and C-reactive protein as biomarkers for diagnosing and assessing the severity of acute cholecystitis
- Factors determining the number of sessions in successful extracorporeal shock wave lithotripsy patients
- Development of a nomogram for predicting cancer-specific survival in patients with renal pelvic cancer following surgery
- Inhibition of ATG7 promotes orthodontic tooth movement by regulating the RANKL/OPG ratio under compression force
- A machine learning-based prognostic model integrating mRNA stemness index, hypoxia, and glycolysis‑related biomarkers for colorectal cancer
- Glutathione attenuates sepsis-associated encephalopathy via dual modulation of NF-κB and PKA/CREB pathways
- FAHD1 prevents neuronal ferroptosis by modulating R-loop and the cGAS–STING pathway
- Association of placenta weight and morphology with term low birth weight: A case–control study
- Investigation of the pathogenic variants induced Sjogren’s syndrome in Turkish population
- Nucleotide metabolic abnormalities in post-COVID-19 condition and type 2 diabetes mellitus patients and their association with endocrine dysfunction
- TGF-β–Smad2/3 signaling in high-altitude pulmonary hypertension in rats: Role and mechanisms via macrophage M2 polarization
- Ultrasound-guided unilateral versus bilateral erector spinae plane block for postoperative analgesia of patients undergoing laparoscopic cholecystectomy
- Profiling gut microbiome dynamics in subacute thyroiditis: Implications for pathogenesis, diagnosis, and treatment
- Delta neutrophil index, CRP/albumin ratio, procalcitonin, immature granulocytes, and HALP score in acute appendicitis: Best performing biomarker?
- Anticancer activity mechanism of novelly synthesized and characterized benzofuran ring-linked 3-nitrophenyl chalcone derivative on colon cancer cells
- H2valdien3 arrests the cell cycle and induces apoptosis of gastric cancer
- Prognostic relevance of PRSS2 and its immune correlates in papillary thyroid carcinoma
- Association of SGLT2 inhibition with psychiatric disorders: A Mendelian randomization study
- Motivational interviewing for alcohol use reduction in Thai patients
- Luteolin alleviates oxygen-glucose deprivation/reoxygenation-induced neuron injury by regulating NLRP3/IL-1β signaling
- Polyphyllin II inhibits thyroid cancer cell growth by simultaneously inhibiting glycolysis and oxidative phosphorylation
- Relationship between the expression of copper death promoting factor SLC31A1 in papillary thyroid carcinoma and clinicopathological indicators and prognosis
- CSF2 polarized neutrophils and invaded renal cancer cells in vitro influence
- Proton pump inhibitors-induced thrombocytopenia: A systematic literature analysis of case reports
- The current status and influence factors of research ability among community nurses: A sequential qualitative–quantitative study
- OKAIN: A comprehensive oncology knowledge base for the interpretation of clinically actionable alterations
- The relationship between serum CA50, CA242, and SAA levels and clinical pathological characteristics and prognosis in patients with pancreatic cancer
- Identification and external validation of a prognostic signature based on hypoxia–glycolysis-related genes for kidney renal clear cell carcinoma
- Engineered RBC-derived nanovesicles functionalized with tumor-targeting ligands: A comparative study on breast cancer targeting efficiency and biocompatibility
- Relationship of resting echocardiography combined with serum micronutrients to the severity of low-gradient severe aortic stenosis
- Effect of vibration on pain during subcutaneous heparin injection: A randomized, single-blind, placebo-controlled trial
- The diagnostic performance of machine learning-based FFRCT for coronary artery disease: A meta-analysis
- Comparing biofeedback device vs diaphragmatic breathing for bloating relief: A randomized controlled trial
- Serum uric acid to albumin ratio and C-reactive protein as predictive biomarkers for chronic total occlusion and coronary collateral circulation quality
- Multiple organ scoring systems for predicting in-hospital mortality of sepsis patients in the intensive care unit
- Single-cell RNA sequencing data analysis of the inner ear in gentamicin-treated mice via intraperitoneal injection
- Suppression of cathepsin B attenuates myocardial injury via limiting cardiomyocyte apoptosis
- Influence of sevoflurane combined with propofol anesthesia on the anesthesia effect and adverse reactions in children with acute appendicitis
- Identification of hub genes related to acute kidney injury caused by sevoflurane anesthesia and endoplasmic reticulum stress
- Efficacy and safety of PD-1/PD-L1 inhibitors in pancreatic ductal adenocarcinoma: a systematic review and Meta-analysis of randomized controlled trials
- The value of diagnostic experience in O-RADS MRI score for ovarian-adnexal lesions
- Health education pathway for individuals with temporary enterostomies using patient journey mapping
- Serum TLR8 as a potential diagnostic biomarker of coronary heart disease
- Intraoperative temperature management and its effect on surgical outcomes in elderly patients undergoing lichtenstein unilateral inguinal hernia repair
- Immunohistochemical profiling and neuroepithelial heterogeneity in immature ovarian teratomas: a retrospective digital pathology-based study
- Associated risk factors and prevalence of human papillomavirus infection among females visiting tertiary care hospital: a cross-sectional study from Nepal
- Comparative evaluation of various disc elution methods for the detection of colistin-resistant gram-negative bacteria
- Effect of timing of cholecystectomy on weight loss after sleeve gastrectomy in morbidly obese individuals with cholelithiasis: a retrospective cohort study
- Causal association between ceramide levels and central precocious puberty: a mendelian randomization study
- Novel predictive model for colorectal liver metastases recurrence: a radiomics and clinical data approach
- Relationship between resident physicians’ perceived professional value and exposure to violence
- Multiple sclerosis and type 1 diabetes: a Mendelian randomization study of European ancestry
- Rapid pathogen identification in peritoneal dialysis effluent by MALDI-TOF MS following blood culture enrichment
- Comparison of open and percutaneous A1 pulley release in pediatric trigger thumb: a retrospective cohort study
- Impact of combined diaphragm-lung ultrasound assessment on postoperative respiratory function in patients under general anesthesia recovery
- Development and internal validation of a nomogram for predicting short-term prognosis in ICU patients with acute pyelonephritis
- The association between hypoxic burden and blood pressure in patients with obstructive sleep apnea
- Promotion of asthenozoospermia by C9orf72 through suppression of spermatogonia activity via fructose metabolism and mitophagy
- Review Articles
- The effects of enhanced external counter-pulsation on post-acute sequelae of COVID-19: A narrative review
- Diabetes-related cognitive impairment: Mechanisms, symptoms, and treatments
- Microscopic changes and gross morphology of placenta in women affected by gestational diabetes mellitus in dietary treatment: A systematic review
- Review of mechanisms and frontier applications in IL-17A-induced hypertension
- Research progress on the correlation between islet amyloid peptides and type 2 diabetes mellitus
- The safety and efficacy of BCG combined with mitomycin C compared with BCG monotherapy in patients with non-muscle-invasive bladder cancer: A systematic review and meta-analysis
- The application of augmented reality in robotic general surgery: A mini-review
- The effect of Greek mountain tea extract and wheat germ extract on peripheral blood flow and eicosanoid metabolism in mammals
- Neurogasobiology of migraine: Carbon monoxide, hydrogen sulfide, and nitric oxide as emerging pathophysiological trinacrium relevant to nociception regulation
- Plant polyphenols, terpenes, and terpenoids in oral health
- Laboratory medicine between technological innovation, rights safeguarding, and patient safety: A bioethical perspective
- End-of-life in cancer patients: Medicolegal implications and ethical challenges in Europe
- The maternal factors during pregnancy for intrauterine growth retardation: An umbrella review
- Intra-abdominal hypertension/abdominal compartment syndrome of pediatric patients in critical care settings
- PI3K/Akt pathway and neuroinflammation in sepsis-associated encephalopathy
- Screening of Group B Streptococcus in pregnancy: A systematic review for the laboratory detection
- Giant borderline ovarian tumours – review of the literature
- Leveraging artificial intelligence for collaborative care planning: Innovations and impacts in shared decision-making – A systematic review
- Cholera epidemiology analysis through the experience of the 1973 Naples epidemic
- Risk factors of frailty/sarcopenia in community older adults: Meta-analysis
- Supplement strategies for infertility in overweight women: Evidence and legal insights
- Scurvy, a not obsolete disorder: Clinical report in eight young children and literature review
- A meta-analysis of the effects of DBS on cognitive function in patients with advanced PD
- Protective role of selenium in sepsis: Mechanisms and potential therapeutic strategies
- Strategies for hyperkalemia management in dialysis patients: A systematic review
- C-reactive protein-to-albumin ratio in peripheral artery disease
- Research progress on autophagy and its roles in sepsis induced organ injury
- Neuronutrition in autism spectrum disorders
- Pumilio 2 in neural development, function, and specific neurological disorders
- Antibiotic prescribing patterns in general dental practice- a scoping review
- Clinical and medico-legal reflections on non-invasive prenatal testing
- Smartphone use and back pain: a narrative review of postural pathologies
- Targeting endothelial oxidative stress in hypertension
- Exploring links between acne and metabolic syndrome: a narrative review
- Case Reports
- Delayed graft function after renal transplantation
- Semaglutide treatment for type 2 diabetes in a patient with chronic myeloid leukemia: A case report and review of the literature
- Diverse electrophysiological demyelinating features in a late-onset glycogen storage disease type IIIa case
- Giant right atrial hemangioma presenting with ascites: A case report
- Laser excision of a large granular cell tumor of the vocal cord with subglottic extension: A case report
- EsoFLIP-assisted dilation for dysphagia in systemic sclerosis: Highlighting the role of multimodal esophageal evaluation
- Molecular hydrogen-rhodiola as an adjuvant therapy for ischemic stroke in internal carotid artery occlusion: A case report
- Coronary artery anomalies: A case of the “malignant” left coronary artery and its surgical management
- Combined VAT and retroperitoneoscopy for pleural empyema due to nephro-pleuric fistula in xanthogranulomatous pyelonephritis
- A rare case of Opalski syndrome with a suspected multiple sclerosis etiology
- Newly diagnosed B-cell acute lymphoblastic leukemia demonstrating localized bone marrow infiltration exclusively in the lower extremities
- Rapid Communication
- Biological properties of valve materials using RGD and EC
-
A single oral administration of flavanols enhances short
-term memory in mice along with increased brain-derived neurotrophic factor - Repeat influenza incidence across two consecutive influenza seasons
- Letter to the Editor
- Role of enhanced external counterpulsation in long COVID
- Expression of Concern
- Expression of concern “A ceRNA network mediated by LINC00475 in papillary thyroid carcinoma”
- Expression of concern “Notoginsenoside R1 alleviates spinal cord injury through the miR-301a/KLF7 axis to activate Wnt/β-catenin pathway”
- Expression of concern “circ_0020123 promotes cell proliferation and migration in lung adenocarcinoma via PDZD8”
- Corrigendum
- Corrigendum to “Empagliflozin improves aortic injury in obese mice by regulating fatty acid metabolism”
- Corrigendum to “Comparing the therapeutic efficacy of endoscopic minimally invasive surgery and traditional surgery for early-stage breast cancer: A meta-analysis”
- Corrigendum to “The progress of autoimmune hepatitis research and future challenges”
- Retraction
- Retraction of “miR-654-5p promotes gastric cancer progression via the GPRIN1/NF-κB pathway”
- Retraction of: “LncRNA CASC15 inhibition relieves renal fibrosis in diabetic nephropathy through downregulating SP-A by sponging to miR-424”
- Retraction of: “SCARA5 inhibits oral squamous cell carcinoma via inactivating the STAT3 and PI3K/AKT signaling pathways”
- Special Issue Advancements in oncology: bridging clinical and experimental research - Part II
- Unveiling novel biomarkers for platinum chemoresistance in ovarian cancer
- Lathyrol affects the expression of AR and PSA and inhibits the malignant behavior of RCC cells
- The era of increasing cancer survivorship: Trends in fertility preservation, medico-legal implications, and ethical challenges
- Bone scintigraphy and positron emission tomography in the early diagnosis of MRONJ
- Meta-analysis of clinical efficacy and safety of immunotherapy combined with chemotherapy in non-small cell lung cancer
- Special Issue Computational Intelligence Methodologies Meets Recurrent Cancers - Part IV
- Exploration of mRNA-modifying METTL3 oncogene as momentous prognostic biomarker responsible for colorectal cancer development
- Special Issue The evolving saga of RNAs from bench to bedside - Part III
- Interaction and verification of ferroptosis-related RNAs Rela and Stat3 in promoting sepsis-associated acute kidney injury
- The mRNA MOXD1: Link to oxidative stress and prognostic significance in gastric cancer
- Special Issue Exploring the biological mechanism of human diseases based on MultiOmics Technology - Part II
- Dynamic changes in lactate-related genes in microglia and their role in immune cell interactions after ischemic stroke
- A prognostic model correlated with fatty acid metabolism in Ewing’s sarcoma based on bioinformatics analysis
- Red cell distribution width predicts early kidney injury: A NHANES cross-sectional study
- Special Issue Diabetes mellitus: pathophysiology, complications & treatment
- Nutritional risk assessment and nutritional support in children with congenital diabetes during surgery
- Correlation of the differential expressions of RANK, RANKL, and OPG with obesity in the elderly population in Xinjiang
- A discussion on the application of fluorescence micro-optical sectioning tomography in the research of cognitive dysfunction in diabetes
- A review of brain research on T2DM-related cognitive dysfunction
- Metformin and estrogen modulation in LABC with T2DM: A 36-month randomized trial
- Special Issue Innovative Biomarker Discovery and Precision Medicine in Cancer Diagnostics
- CircASH1L-mediated tumor progression in triple-negative breast cancer: PI3K/AKT pathway mechanisms
Artikel in diesem Heft
- Research Articles
- Network pharmacological analysis and in vitro testing of the rutin effects on triple-negative breast cancer
- Impact of diabetes on long-term survival in elderly liver cancer patients: A retrospective study
- Knockdown of CCNB1 alleviates high glucose-triggered trophoblast dysfunction during gestational diabetes via Wnt/β-catenin signaling pathway
- Risk factors for severe adverse drug reactions in hospitalized patients
- Analysis of the effect of ALA-PDT on macrophages in footpad model of mice infected with Fonsecaea monophora based on single-cell sequencing
- Development and validation of headspace gas chromatography with a flame ionization detector method for the determination of ethanol in the vitreous humor
- CMSP exerts anti-tumor effects on small cell lung cancer cells by inducing mitochondrial dysfunction and ferroptosis
- Predictive value of plasma sB7-H3 and YKL-40 in pediatric refractory Mycoplasma pneumoniae pneumonia
- Antiangiogenic potential of Elaeagnus umbellata extracts and molecular docking study by targeting VEGFR-2 pathway
- Comparison of the effectiveness of nurse-led preoperative counseling and postoperative follow-up care vs standard care for patients with gastric cancer
- Comparing the therapeutic efficacy of endoscopic minimally invasive surgery and traditional surgery for early-stage breast cancer: A meta-analysis
- Adhered macrophages as an additional marker of cardiomyocyte injury in biopsies of patients with dilated cardiomyopathy
- Association between statin administration and outcome in patients with sepsis: A retrospective study
- Exploration of the association between estimated glucose disposal rate and osteoarthritis in middle-aged and older adults: An analysis of NHANES data from 2011 to 2018
- A comparative analysis of the binary and multiclass classified chest X-ray images of pneumonia and COVID-19 with ML and DL models
- Lysophosphatidic acid 2 alleviates deep vein thrombosis via protective endothelial barrier function
- Transcription factor A, mitochondrial promotes lymph node metastasis and lymphangiogenesis in epithelial ovarian carcinoma
- Serum PM20D1 levels are associated with nutritional status and inflammatory factors in gastric cancer patients undergoing early enteral nutrition
- Hydromorphone reduced the incidence of emergence agitation after adenotonsillectomy in children with obstructive sleep apnea: A randomized, double-blind study
- Vitamin D replacement therapy may regulate sleep habits in patients with restless leg syndrome
- The first-line antihypertensive nitrendipine potentiated the therapeutic effect of oxaliplatin by downregulating CACNA1D in colorectal cancer
- Health literacy and health-related quality of life: The mediating role of irrational happiness
- Modulatory effects of Lycium barbarum polysaccharide on bone cell dynamics in osteoporosis
- Mechanism research on inhibition of gastric cancer in vitro by the extract of Pinellia ternata based on network pharmacology and cellular metabolomics
- Examination of the causal role of immune cells in non-alcoholic fatty liver disease by a bidirectional Mendelian randomization study
- Clinical analysis of ten cases of HIV infection combined with acute leukemia
- Investigating the cardioprotective potential of quercetin against tacrolimus-induced cardiotoxicity in Wistar rats: A mechanistic insights
- Clinical observation of probiotics combined with mesalazine and Yiyi Baitouweng Decoction retention enema in treating mild-to-moderate ulcerative colitis
- Diagnostic value of ratio of blood inflammation to coagulation markers in periprosthetic joint infection
- Sex-specific associations of sex hormone binding globulin and risk of bladder cancer
- Core muscle strength and stability-oriented breathing training reduces inter-recti distance in postpartum women
- The ERAS nursing care strategy for patients undergoing transsphenoidal endoscopic pituitary tumor resection: A randomized blinded controlled trial
- The serum IL-17A levels in patients with traumatic bowel rupture post-surgery and its predictive value for patient prognosis
- Impact of Kolb’s experiential learning theory-based nursing on caregiver burden and psychological state of caregivers of dementia patients
- Analysis of serum NLR combined with intraoperative margin condition to predict the prognosis of cervical HSIL patients undergoing LEEP surgery
- Commiphora gileadensis ameliorate infertility and erectile dysfunction in diabetic male mice
- The correlation between epithelial–mesenchymal transition classification and MMP2 expression of circulating tumor cells and prognosis of advanced or metastatic nasopharyngeal carcinoma
- Tetrahydropalmatine improves mitochondrial function in vascular smooth muscle cells of atherosclerosis in vitro by inhibiting Ras homolog gene family A/Rho-associated protein kinase-1 signaling pathway
- A cross-sectional study: Relationship between serum oxidative stress levels and arteriovenous fistula maturation in maintenance dialysis patients
- A comparative analysis of the impact of repeated administration of flavan 3-ol on brown, subcutaneous, and visceral adipose tissue
- Identifying early screening factors for depression in middle-aged and older adults: A cohort study
- Perform tumor-specific survival analysis for Merkel cell carcinoma patients undergoing surgical resection based on the SEER database by constructing a nomogram chart
- Unveiling the role of CXCL10 in pancreatic cancer progression: A novel prognostic indicator
- High-dose preoperative intraperitoneal erythropoietin and intravenous methylprednisolone in acute traumatic spinal cord injuries following decompression surgeries
- RAB39B: A novel biomarker for acute myeloid leukemia identified via multi-omics and functional validation
- Impact of peripheral conditioning on reperfusion injury following primary percutaneous coronary intervention in diabetic and non-diabetic STEMI patients
- Clinical efficacy of azacitidine in the treatment of middle- and high-risk myelodysplastic syndrome in middle-aged and elderly patients: A retrospective study
- The effect of ambulatory blood pressure load on mitral regurgitation in continuous ambulatory peritoneal dialysis patients
- Expression and clinical significance of ITGA3 in breast cancer
- Single-nucleus RNA sequencing reveals ARHGAP28 expression of podocytes as a biomarker in human diabetic nephropathy
- rSIG combined with NLR in the prognostic assessment of patients with multiple injuries
- Toxic metals and metalloids in collagen supplements of fish and jellyfish origin: Risk assessment for daily intake
- Exploring causal relationship between 41 inflammatory cytokines and marginal zone lymphoma: A bidirectional Mendelian randomization study
- Gender beliefs and legitimization of dating violence in adolescents
- Effect of serum IL-6, CRP, and MMP-9 levels on the efficacy of modified preperitoneal Kugel repair in patients with inguinal hernia
- Effect of smoking and smoking cessation on hematological parameters in polycythemic patients
- Pathogen surveillance and risk factors for pulmonary infection in patients with lung cancer: A retrospective single-center study
- Necroptosis of hippocampal neurons in paclitaxel chemotherapy-induced cognitive impairment mediates microglial activation via TLR4/MyD88 signaling pathway
- Celastrol suppresses neovascularization in rat aortic vascular endothelial cells stimulated by inflammatory tenocytes via modulating the NLRP3 pathway
- Cord-lamina angle and foraminal diameter as key predictors of C5 palsy after anterior cervical decompression and fusion surgery
- GATA1: A key biomarker for predicting the prognosis of patients with diffuse large B-cell lymphoma
- Influencing factors of false lumen thrombosis in type B aortic dissection: A single-center retrospective study
- MZB1 regulates the immune microenvironment and inhibits ovarian cancer cell migration
- Integrating experimental and network pharmacology to explore the pharmacological mechanisms of Dioscin against glioblastoma
- Trends in research on preterm birth in twin pregnancy based on bibliometrics
- Four-week IgE/baseline IgE ratio combined with tryptase predicts clinical outcome in omalizumab-treated children with moderate-to-severe asthma
- Single-cell transcriptomic analysis identifies a stress response Schwann cell subtype
- Acute pancreatitis risk in the diagnosis and management of inflammatory bowel disease: A critical focus
- Effect of subclinical esketamine on NLRP3 and cognitive dysfunction in elderly ischemic stroke patients
- Interleukin-37 mediates the anti-oral tumor activity in oral cancer through STAT3
- CA199 and CEA expression levels, and minimally invasive postoperative prognosis analysis in esophageal squamous carcinoma patients
- Efficacy of a novel drainage catheter in the treatment of CSF leak after posterior spine surgery: A retrospective cohort study
- Comprehensive biomedicine assessment of Apteranthes tuberculata extracts: Phytochemical analysis and multifaceted pharmacological evaluation in animal models
- Relation of time in range to severity of coronary artery disease in patients with type 2 diabetes: A cross-sectional study
- Dopamine attenuates ethanol-induced neuronal apoptosis by stimulating electrical activity in the developing rat retina
- Correlation between albumin levels during the third trimester and the risk of postpartum levator ani muscle rupture
- Factors associated with maternal attention and distraction during breastfeeding and childcare: A cross-sectional study in the west of Iran
- Mechanisms of hesperetin in treating metabolic dysfunction-associated steatosis liver disease via network pharmacology and in vitro experiments
- The law on oncological oblivion in the Italian and European context: How to best uphold the cancer patients’ rights to privacy and self-determination?
- The prognostic value of the neutrophil-to-lymphocyte ratio, platelet-to-lymphocyte ratio, and prognostic nutritional index for survival in patients with colorectal cancer
- Factors affecting the measurements of peripheral oxygen saturation values in healthy young adults
- Comparison and correlations between findings of hysteroscopy and vaginal color Doppler ultrasonography for detection of uterine abnormalities in patients with recurrent implantation failure
- The effects of different types of RAGT on balance function in stroke patients with low levels of independent walking in a convalescent rehabilitation hospital
- Causal relationship between asthma and ankylosing spondylitis: A bidirectional two-sample univariable and multivariable Mendelian randomization study
- Correlations of health literacy with individuals’ understanding and use of medications in Southern Taiwan
- Correlation of serum calprotectin with outcome of acute cerebral infarction
- Comparison of computed tomography and guided bronchoscopy in the diagnosis of pulmonary nodules: A systematic review and meta-analysis
- Curdione protects vascular endothelial cells and atherosclerosis via the regulation of DNMT1-mediated ERBB4 promoter methylation
- The identification of novel missense variant in ChAT gene in a patient with gestational diabetes denotes plausible genetic association
- Molecular genotyping of multi-system rare blood types in foreign blood donors based on DNA sequencing and its clinical significance
- Exploring the role of succinyl carnitine in the association between CD39⁺ CD4⁺ T cell and ulcerative colitis: A Mendelian randomization study
- Dexmedetomidine suppresses microglial activation in postoperative cognitive dysfunction via the mmu-miRNA-125/TRAF6 signaling axis
- Analysis of serum metabolomics in patients with different types of chronic heart failure
- Diagnostic value of hematological parameters in the early diagnosis of acute cholecystitis
- Pachymaran alleviates fat accumulation, hepatocyte degeneration, and injury in mice with nonalcoholic fatty liver disease
- Decrease in CD4 and CD8 lymphocytes are predictors of severe clinical picture and unfavorable outcome of the disease in patients with COVID-19
- METTL3 blocked the progression of diabetic retinopathy through m6A-modified SOX2
- The predictive significance of anti-RO-52 antibody in patients with interstitial pneumonia after treatment of malignant tumors
- Exploring cerebrospinal fluid metabolites, cognitive function, and brain atrophy: Insights from Mendelian randomization
- Development and validation of potential molecular subtypes and signatures of ocular sarcoidosis based on autophagy-related gene analysis
- Widespread venous thrombosis: Unveiling a complex case of Behçet’s disease with a literature perspective
- Uterine fibroid embolization: An analysis of clinical outcomes and impact on patients’ quality of life
- Discovery of lipid metabolism-related diagnostic biomarkers and construction of diagnostic model in steroid-induced osteonecrosis of femoral head
- Serum-derived exomiR-188-3p is a promising novel biomarker for early-stage ovarian cancer
- Enhancing chronic back pain management: A comparative study of ultrasound–MRI fusion guidance for paravertebral nerve block
- Peptide CCAT1-70aa promotes hepatocellular carcinoma proliferation and invasion via the MAPK/ERK pathway
- Electroacupuncture-induced reduction of myocardial ischemia–reperfusion injury via FTO-dependent m6A methylation modulation
- Hemorrhoids and cardiovascular disease: A bidirectional Mendelian randomization study
- Cell-free adipose extract inhibits hypertrophic scar formation through collagen remodeling and antiangiogenesis
- HALP score in Demodex blepharitis: A case–control study
- Assessment of SOX2 performance as a marker for circulating cancer stem-like cells (CCSCs) identification in advanced breast cancer patients using CytoTrack system
- Risk and prognosis for brain metastasis in primary metastatic cervical cancer patients: A population-based study
- Comparison of the two intestinal anastomosis methods in pediatric patients
- Factors influencing hematological toxicity and adverse effects of perioperative hyperthermic intraperitoneal vs intraperitoneal chemotherapy in gastrointestinal cancer
- Endotoxin tolerance inhibits NLRP3 inflammasome activation in macrophages of septic mice by restoring autophagic flux through TRIM26
- Lateral transperitoneal laparoscopic adrenalectomy: A single-centre experience of 21 procedures
- Petunidin attenuates lipopolysaccharide-induced retinal microglia inflammatory response in diabetic retinopathy by targeting OGT/NF-κB/LCN2 axis
- Procalcitonin and C-reactive protein as biomarkers for diagnosing and assessing the severity of acute cholecystitis
- Factors determining the number of sessions in successful extracorporeal shock wave lithotripsy patients
- Development of a nomogram for predicting cancer-specific survival in patients with renal pelvic cancer following surgery
- Inhibition of ATG7 promotes orthodontic tooth movement by regulating the RANKL/OPG ratio under compression force
- A machine learning-based prognostic model integrating mRNA stemness index, hypoxia, and glycolysis‑related biomarkers for colorectal cancer
- Glutathione attenuates sepsis-associated encephalopathy via dual modulation of NF-κB and PKA/CREB pathways
- FAHD1 prevents neuronal ferroptosis by modulating R-loop and the cGAS–STING pathway
- Association of placenta weight and morphology with term low birth weight: A case–control study
- Investigation of the pathogenic variants induced Sjogren’s syndrome in Turkish population
- Nucleotide metabolic abnormalities in post-COVID-19 condition and type 2 diabetes mellitus patients and their association with endocrine dysfunction
- TGF-β–Smad2/3 signaling in high-altitude pulmonary hypertension in rats: Role and mechanisms via macrophage M2 polarization
- Ultrasound-guided unilateral versus bilateral erector spinae plane block for postoperative analgesia of patients undergoing laparoscopic cholecystectomy
- Profiling gut microbiome dynamics in subacute thyroiditis: Implications for pathogenesis, diagnosis, and treatment
- Delta neutrophil index, CRP/albumin ratio, procalcitonin, immature granulocytes, and HALP score in acute appendicitis: Best performing biomarker?
- Anticancer activity mechanism of novelly synthesized and characterized benzofuran ring-linked 3-nitrophenyl chalcone derivative on colon cancer cells
- H2valdien3 arrests the cell cycle and induces apoptosis of gastric cancer
- Prognostic relevance of PRSS2 and its immune correlates in papillary thyroid carcinoma
- Association of SGLT2 inhibition with psychiatric disorders: A Mendelian randomization study
- Motivational interviewing for alcohol use reduction in Thai patients
- Luteolin alleviates oxygen-glucose deprivation/reoxygenation-induced neuron injury by regulating NLRP3/IL-1β signaling
- Polyphyllin II inhibits thyroid cancer cell growth by simultaneously inhibiting glycolysis and oxidative phosphorylation
- Relationship between the expression of copper death promoting factor SLC31A1 in papillary thyroid carcinoma and clinicopathological indicators and prognosis
- CSF2 polarized neutrophils and invaded renal cancer cells in vitro influence
- Proton pump inhibitors-induced thrombocytopenia: A systematic literature analysis of case reports
- The current status and influence factors of research ability among community nurses: A sequential qualitative–quantitative study
- OKAIN: A comprehensive oncology knowledge base for the interpretation of clinically actionable alterations
- The relationship between serum CA50, CA242, and SAA levels and clinical pathological characteristics and prognosis in patients with pancreatic cancer
- Identification and external validation of a prognostic signature based on hypoxia–glycolysis-related genes for kidney renal clear cell carcinoma
- Engineered RBC-derived nanovesicles functionalized with tumor-targeting ligands: A comparative study on breast cancer targeting efficiency and biocompatibility
- Relationship of resting echocardiography combined with serum micronutrients to the severity of low-gradient severe aortic stenosis
- Effect of vibration on pain during subcutaneous heparin injection: A randomized, single-blind, placebo-controlled trial
- The diagnostic performance of machine learning-based FFRCT for coronary artery disease: A meta-analysis
- Comparing biofeedback device vs diaphragmatic breathing for bloating relief: A randomized controlled trial
- Serum uric acid to albumin ratio and C-reactive protein as predictive biomarkers for chronic total occlusion and coronary collateral circulation quality
- Multiple organ scoring systems for predicting in-hospital mortality of sepsis patients in the intensive care unit
- Single-cell RNA sequencing data analysis of the inner ear in gentamicin-treated mice via intraperitoneal injection
- Suppression of cathepsin B attenuates myocardial injury via limiting cardiomyocyte apoptosis
- Influence of sevoflurane combined with propofol anesthesia on the anesthesia effect and adverse reactions in children with acute appendicitis
- Identification of hub genes related to acute kidney injury caused by sevoflurane anesthesia and endoplasmic reticulum stress
- Efficacy and safety of PD-1/PD-L1 inhibitors in pancreatic ductal adenocarcinoma: a systematic review and Meta-analysis of randomized controlled trials
- The value of diagnostic experience in O-RADS MRI score for ovarian-adnexal lesions
- Health education pathway for individuals with temporary enterostomies using patient journey mapping
- Serum TLR8 as a potential diagnostic biomarker of coronary heart disease
- Intraoperative temperature management and its effect on surgical outcomes in elderly patients undergoing lichtenstein unilateral inguinal hernia repair
- Immunohistochemical profiling and neuroepithelial heterogeneity in immature ovarian teratomas: a retrospective digital pathology-based study
- Associated risk factors and prevalence of human papillomavirus infection among females visiting tertiary care hospital: a cross-sectional study from Nepal
- Comparative evaluation of various disc elution methods for the detection of colistin-resistant gram-negative bacteria
- Effect of timing of cholecystectomy on weight loss after sleeve gastrectomy in morbidly obese individuals with cholelithiasis: a retrospective cohort study
- Causal association between ceramide levels and central precocious puberty: a mendelian randomization study
- Novel predictive model for colorectal liver metastases recurrence: a radiomics and clinical data approach
- Relationship between resident physicians’ perceived professional value and exposure to violence
- Multiple sclerosis and type 1 diabetes: a Mendelian randomization study of European ancestry
- Rapid pathogen identification in peritoneal dialysis effluent by MALDI-TOF MS following blood culture enrichment
- Comparison of open and percutaneous A1 pulley release in pediatric trigger thumb: a retrospective cohort study
- Impact of combined diaphragm-lung ultrasound assessment on postoperative respiratory function in patients under general anesthesia recovery
- Development and internal validation of a nomogram for predicting short-term prognosis in ICU patients with acute pyelonephritis
- The association between hypoxic burden and blood pressure in patients with obstructive sleep apnea
- Promotion of asthenozoospermia by C9orf72 through suppression of spermatogonia activity via fructose metabolism and mitophagy
- Review Articles
- The effects of enhanced external counter-pulsation on post-acute sequelae of COVID-19: A narrative review
- Diabetes-related cognitive impairment: Mechanisms, symptoms, and treatments
- Microscopic changes and gross morphology of placenta in women affected by gestational diabetes mellitus in dietary treatment: A systematic review
- Review of mechanisms and frontier applications in IL-17A-induced hypertension
- Research progress on the correlation between islet amyloid peptides and type 2 diabetes mellitus
- The safety and efficacy of BCG combined with mitomycin C compared with BCG monotherapy in patients with non-muscle-invasive bladder cancer: A systematic review and meta-analysis
- The application of augmented reality in robotic general surgery: A mini-review
- The effect of Greek mountain tea extract and wheat germ extract on peripheral blood flow and eicosanoid metabolism in mammals
- Neurogasobiology of migraine: Carbon monoxide, hydrogen sulfide, and nitric oxide as emerging pathophysiological trinacrium relevant to nociception regulation
- Plant polyphenols, terpenes, and terpenoids in oral health
- Laboratory medicine between technological innovation, rights safeguarding, and patient safety: A bioethical perspective
- End-of-life in cancer patients: Medicolegal implications and ethical challenges in Europe
- The maternal factors during pregnancy for intrauterine growth retardation: An umbrella review
- Intra-abdominal hypertension/abdominal compartment syndrome of pediatric patients in critical care settings
- PI3K/Akt pathway and neuroinflammation in sepsis-associated encephalopathy
- Screening of Group B Streptococcus in pregnancy: A systematic review for the laboratory detection
- Giant borderline ovarian tumours – review of the literature
- Leveraging artificial intelligence for collaborative care planning: Innovations and impacts in shared decision-making – A systematic review
- Cholera epidemiology analysis through the experience of the 1973 Naples epidemic
- Risk factors of frailty/sarcopenia in community older adults: Meta-analysis
- Supplement strategies for infertility in overweight women: Evidence and legal insights
- Scurvy, a not obsolete disorder: Clinical report in eight young children and literature review
- A meta-analysis of the effects of DBS on cognitive function in patients with advanced PD
- Protective role of selenium in sepsis: Mechanisms and potential therapeutic strategies
- Strategies for hyperkalemia management in dialysis patients: A systematic review
- C-reactive protein-to-albumin ratio in peripheral artery disease
- Research progress on autophagy and its roles in sepsis induced organ injury
- Neuronutrition in autism spectrum disorders
- Pumilio 2 in neural development, function, and specific neurological disorders
- Antibiotic prescribing patterns in general dental practice- a scoping review
- Clinical and medico-legal reflections on non-invasive prenatal testing
- Smartphone use and back pain: a narrative review of postural pathologies
- Targeting endothelial oxidative stress in hypertension
- Exploring links between acne and metabolic syndrome: a narrative review
- Case Reports
- Delayed graft function after renal transplantation
- Semaglutide treatment for type 2 diabetes in a patient with chronic myeloid leukemia: A case report and review of the literature
- Diverse electrophysiological demyelinating features in a late-onset glycogen storage disease type IIIa case
- Giant right atrial hemangioma presenting with ascites: A case report
- Laser excision of a large granular cell tumor of the vocal cord with subglottic extension: A case report
- EsoFLIP-assisted dilation for dysphagia in systemic sclerosis: Highlighting the role of multimodal esophageal evaluation
- Molecular hydrogen-rhodiola as an adjuvant therapy for ischemic stroke in internal carotid artery occlusion: A case report
- Coronary artery anomalies: A case of the “malignant” left coronary artery and its surgical management
- Combined VAT and retroperitoneoscopy for pleural empyema due to nephro-pleuric fistula in xanthogranulomatous pyelonephritis
- A rare case of Opalski syndrome with a suspected multiple sclerosis etiology
- Newly diagnosed B-cell acute lymphoblastic leukemia demonstrating localized bone marrow infiltration exclusively in the lower extremities
- Rapid Communication
- Biological properties of valve materials using RGD and EC
-
A single oral administration of flavanols enhances short
-term memory in mice along with increased brain-derived neurotrophic factor - Repeat influenza incidence across two consecutive influenza seasons
- Letter to the Editor
- Role of enhanced external counterpulsation in long COVID
- Expression of Concern
- Expression of concern “A ceRNA network mediated by LINC00475 in papillary thyroid carcinoma”
- Expression of concern “Notoginsenoside R1 alleviates spinal cord injury through the miR-301a/KLF7 axis to activate Wnt/β-catenin pathway”
- Expression of concern “circ_0020123 promotes cell proliferation and migration in lung adenocarcinoma via PDZD8”
- Corrigendum
- Corrigendum to “Empagliflozin improves aortic injury in obese mice by regulating fatty acid metabolism”
- Corrigendum to “Comparing the therapeutic efficacy of endoscopic minimally invasive surgery and traditional surgery for early-stage breast cancer: A meta-analysis”
- Corrigendum to “The progress of autoimmune hepatitis research and future challenges”
- Retraction
- Retraction of “miR-654-5p promotes gastric cancer progression via the GPRIN1/NF-κB pathway”
- Retraction of: “LncRNA CASC15 inhibition relieves renal fibrosis in diabetic nephropathy through downregulating SP-A by sponging to miR-424”
- Retraction of: “SCARA5 inhibits oral squamous cell carcinoma via inactivating the STAT3 and PI3K/AKT signaling pathways”
- Special Issue Advancements in oncology: bridging clinical and experimental research - Part II
- Unveiling novel biomarkers for platinum chemoresistance in ovarian cancer
- Lathyrol affects the expression of AR and PSA and inhibits the malignant behavior of RCC cells
- The era of increasing cancer survivorship: Trends in fertility preservation, medico-legal implications, and ethical challenges
- Bone scintigraphy and positron emission tomography in the early diagnosis of MRONJ
- Meta-analysis of clinical efficacy and safety of immunotherapy combined with chemotherapy in non-small cell lung cancer
- Special Issue Computational Intelligence Methodologies Meets Recurrent Cancers - Part IV
- Exploration of mRNA-modifying METTL3 oncogene as momentous prognostic biomarker responsible for colorectal cancer development
- Special Issue The evolving saga of RNAs from bench to bedside - Part III
- Interaction and verification of ferroptosis-related RNAs Rela and Stat3 in promoting sepsis-associated acute kidney injury
- The mRNA MOXD1: Link to oxidative stress and prognostic significance in gastric cancer
- Special Issue Exploring the biological mechanism of human diseases based on MultiOmics Technology - Part II
- Dynamic changes in lactate-related genes in microglia and their role in immune cell interactions after ischemic stroke
- A prognostic model correlated with fatty acid metabolism in Ewing’s sarcoma based on bioinformatics analysis
- Red cell distribution width predicts early kidney injury: A NHANES cross-sectional study
- Special Issue Diabetes mellitus: pathophysiology, complications & treatment
- Nutritional risk assessment and nutritional support in children with congenital diabetes during surgery
- Correlation of the differential expressions of RANK, RANKL, and OPG with obesity in the elderly population in Xinjiang
- A discussion on the application of fluorescence micro-optical sectioning tomography in the research of cognitive dysfunction in diabetes
- A review of brain research on T2DM-related cognitive dysfunction
- Metformin and estrogen modulation in LABC with T2DM: A 36-month randomized trial
- Special Issue Innovative Biomarker Discovery and Precision Medicine in Cancer Diagnostics
- CircASH1L-mediated tumor progression in triple-negative breast cancer: PI3K/AKT pathway mechanisms