Abstract
Background
Abdominal bloating is a very common and often quite debilitating complaint affecting nearly 18% of people worldwide. There is very little known about whether or not breathing exercises can help reduce bloating.
Methods
In a prospective study, we investigated the effects of breathing exercises using either a PDF of written instructions on diaphragmatic breathing or a biofeedback respiratory practice device (Calmigo®) on abdominal bloating. Participants were randomized to either intervention and asked to practice three times daily for 3 min each time for 6 weeks. Bloating was evaluated at baseline and every week for 7 weeks via online self-reported surveys.
Results
Eighty-five participants were randomized to either written instructions (n = 36) or Calmigo® (n = 45). There was no difference between the two groups at baseline in demographic features, anxiety, depression, or bloating severity. While bloating improved at all time points, it was statistically significant in the 4 weeks in the Calmigo® group and at weeks 3, 4, and 5 in the written instructions group. Higher baseline anxiety and lower depression symptoms were predictive of improvement in bloating at 4 weeks.
Conclusion
Brief breathing exercises, either using written instructions or Calmigo®, improve bloating symptoms. These could be considered in the management of functional abdominal bloating.
1 Introduction
Abdominal bloating is a common gastrointestinal problem. The symptoms are often debilitating and affect a person’s quality of life. While bloating can be caused by many things, including constipation, obesity, and gastrointestinal dysmotility, the most prevalent type is functional bloating, where there is no organic cause identified to explain the symptoms. A study from the Rome Foundation reported that approximately 1 in 5 people worldwide suffer from bloating. Bloating is more common in women and decreases as we age [1]. A recent clinical update from the American Gastroenterology Association highlighted the clinical significance and challenges of treating bloating and suggested using diaphragmatic breathing exercises to treat patients [2]. However, the expert review only had two studies on the role of breathing exercises in alleviating bloating, highlighting the paucity of data on the effects of these exercises.
Given the lack of data on the effects of breathing exercises on bloating, we performed this prospective study where we compared written instructions on how to do diaphragmatic breathing with a handheld respiratory biofeedback device (Calmigo®) to explore their effects on bloating.
2 Methods
This was a prospective study conducted at a tertiary university in the Midwestern United States. Participants were enrolled from across the United States. The protocol was approved by the Institutional Review Board at our University (Study ID: 2022H0256). To be eligible, participants had to be at least 18 years of age and understand English. Further, they should have at least a moderately severe degree of one of the following GI symptoms: bloating, nausea, early satiety, post-prandial fullness, or abdominal pain as assessed by a screening questionnaire. Additionally, they should have been experiencing at least moderate anxiety (HADS-anxiety score of 11 or more) or depression symptoms (HADS-Depression score 11 or more) as measured by the Hospital Anxiety and Depression questionnaire (HADS). We selected these criteria for several reasons: a) a greater possibility of detecting a change in those who are suffering from more severe symptoms, and b) there is evidence from the medical literature that patients with higher levels of anxiety or depression experience greater benefit from breathing exercises, particularly in the context of disorders of gut–brain interaction. A meta-analysis of randomized controlled trials found that a reduction in anxiety and depressive symptoms with breathwork interventions was associated with baseline severity of these symptoms, suggesting that individuals with higher baseline anxiety or depression may derive meaningful benefit from these interventions [3]. Further, a real-world analysis of digital therapeutic tools to alleviate depression and anxiety demonstrated that engagement with breathing exercises was associated with significant reduction in anxiety, and that this effect was most pronounced in users with moderate baseline symptoms [4].
Information about the study was either shared with patients seen in our GI motility clinic or through two resources available to us through the University: Study Search (https://wexnermedical.osu.edu/participate-in-research) and Research Match (https://www.researchmatch.org/?route=ohsu). Those who were interested completed two qualifying surveys that enquired about the severity of bloating and symptoms of anxiety and depression. Participants were asked to rate abdominal bloating, defined as a feeling that they needed to loosen their clothes on a scale from 0 (None), 1 (Mild), 2 (Moderate), 3 (Severe), and 4 (Very severe) [5]. Mood was assessed using the HADS Questionnaire, a widely used tool in medical research [6]. Eligible individuals were sent the consent form to review. Informed consent was obtained electronically using RedCap.
After enrollment, participants completed baseline surveys about demographics, after which they were randomized to either the device arm (Calmigo®) or to written instructions arm. The randomization was based on their age, sex, BMI, and diabetes history. We created the randomization Excel file using the Clinical Trial Randomization Tool available free from the National Cancer Institute (https://ctrandomization.cancer.gov/tool/). Those randomized to the written instructions for Diaphragmatic breathing (DB) arm were emailed a PDF containing instructions on how to perform these exercises, along with a brief description about the diaphragm and how diaphragmatic breathing works to reduce intra-abdominal pressure (Appendix 1). Those who were randomized to the Calmigo® group were mailed their device. The package included instructions on how to use the device and also a QR code where they could watch a video on how to use it. Once they received the device, they were recommended to complete a brief training call with Calmigo® to ensure they knew how to properly use it. Calmigo® is a battery-powered general wellness device intended to ease feelings of stress or anxiousness. When a user exhales into the device, it provides adaptive biofeedback – light, sound, and vibration – indicating the target exhalation duration. An onboard algorithm sets the target from the user’s recent breathing and gradually lengthens it while remaining within the user’s capability; it does not control exhalation force. The device includes an optional solid scent element (enabled in the study unless the patient declined its use due to personal preference) [7]. Both groups were asked to practice breathing exercises thrice a day for 3 min at a time for 6 weeks. They were advised to find a quiet place, turn off distractions, and preferably practice at the same time every day. They were also advised to practice either lying down or sitting to avoid feeling dizzy while breathing. The duration and frequency of breathing exercises in our study were chosen based on a previous study using Calmigo® that had used the same duration and frequency and demonstrated that Calmigo® use can reduce anxiety in test-takers [7]. We chose a 6-week period as most studies on GI interventions are usually done for about 6–8 weeks to ensure adequate time to see an effect of the intervention [8,9].
At the end of each week, participants received an electronic survey to complete, wherein they were asked to rate the severity of bloating. The final survey was sent to participants 1 week after finishing the 6 weeks of exercises (week 7 of the intervention period). The primary outcome was improvement in bloating at the 4 week mark by at least 1 unit from baseline. Those who achieved this outcome were deemed “responders.” Those whose symptom remained unchanged or worsened compared to baseline were deemed “non-responders.”
All data were entered into REDCap, which was also used to send surveys to participants (https://redcap.osumc.edu/redcap/index.php). De-identified data were analyzed using the Data Analyzer App (https://data-analysis-master.replit.app/). We conducted a modified intention-to-treat analysis as we included those who completed the baseline surveys in our analysis. Continuous data were expressed as an average, with standard deviation used to assess variation. Categorical data were expressed as frequency and percentage. Continuous data were compared between groups using an independent t-test (if there were 2 groups) or one-way ANOVA (if >2 groups). Paired t-tests were used to compare the change in bloating severity at a given week compared to that at baseline. Bonferroni correction was applied for multiple comparisons for the paired t-test due to the exploratory nature of our analysis. Categorical data were compared using the chi-square test. Proportions were compared using the Fisher’s exact t-test. All results were expressed with a 95% confidence interval where applicable. p-Values were provided for all statistical tests. A p-value of less than 0.05 was considered statistically significant.
-
Ethical approval: Ethical approval was obtained from The Ohio State University Institutional Review Board (Study ID: 2022H0256).
-
Informed consent: Informed consent was obtained electronically from all participants prior to enrollment.
3 Results
Figure 1 shows the participant enrollment and progression through the study; 226 people completed the screening surveys. Of the 136 who were eligible, 103 completed the consent form, and 85 of them completed the baseline surveys. They were randomized to either Calmigo® (n = 49) or written instructions for DB exercises (n = 36).

Flow diagram illustrating participant progression through the study. A total of 225 individuals completed the screening survey, of which 136 were eligible. Of these, 103 participants completed the consent form, and 85 completed baseline surveys and were eligible for randomization. Participants were randomized into two groups: 49 to the Calmigo® intervention and 36 to the diaphragmatic breathing (written instructions) group. Weekly survey completion rates are shown for each group.
3.1 Baseline characteristics
There was no difference in demographic characteristics like age (p = 0.41), race (p = 0.67), sex (p = 0.17), or body mass index (BMI, p = 0.60) between the DB and Calmigo® groups. There was also no difference in HADS-anxiety (p = 0.72) or depression (p = 0.24) or in the proportion of diabetes (p = 0.16). The two groups were similar in the baseline severity of bloating (p = 0.93), as shown in Table 1.
Comparison of baseline characteristics between Calmigo® and written instructions for diaphragmatic breathing group
| Calmigo® (N = 49) | Diaphragmatic breathing (N = 36) | p-value | |
|---|---|---|---|
| Mean (SD) | Mean (SD) | ||
| Age | 41.08 (13.89) | 43.47 (12.14) | 0.411 |
| Race = White | 47 | 32 | 0.675 |
| Sex = Female | 39 | 32 | 0.169 |
| BMI | 28.37 (9.07) | 27.35 (8.05) | 0.601 |
| HADS-anxiety | 14.15 (2.92) | 13.89 (3.56) | 0.717 |
| HADS-depression | 9.89 (4.55) | 11.03 (4.03) | 0.240 |
| Diabetes = No | 40 | 34 | 0.158 |
| Baseline bloating severity | 2.41 (1.00) | 2.39 (1.08) | 0.93 |
3.1.1 Bloating
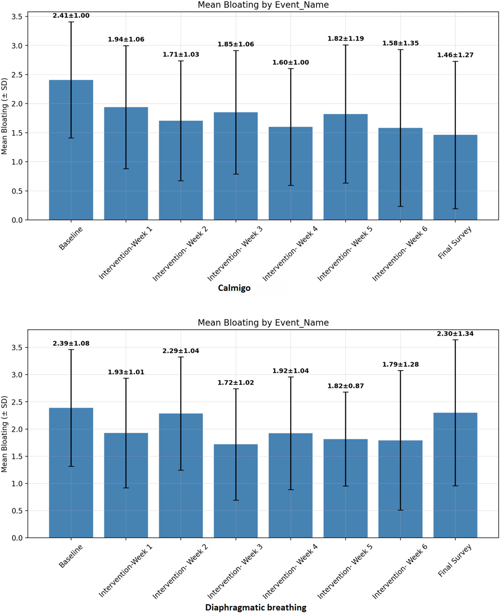
The mean intensity of bloating each week is shown in the bar graph in Figure 2. Changes in subjective severity of bloating from baseline over the 7-week intervention period are summarized in Table 2. For each week, the number of participants with available data both at baseline and the respective time point, mean change from baseline, standardized effect size, and p-value for paired t-test are reported.

Mean severity of bloating at baseline and during intervention. Top panel: Calmigo®; and bottom panel: diaphragmatic breathing instructions. The bars represent the standard deviation.
Change in bloating severity from baseline with breathing intervention
| Time | N | Change from baseline | Effect size | Paired t-test p-value | Significant after Bonferroni correction (Y/N) | p-value Calmigo® vs DB |
|---|---|---|---|---|---|---|
| Calmigo ® | ||||||
| Δ Week 1 | 33 | −0.364 | −0.276 | 0.123 | No | 0.017 |
| Δ Week 2 | 34 | −0.618 | −0.547 | 0.003 | No | 0.254 |
| Δ Week 3 | 27 | −0.407 | −0.376 | 0.062 | No | 0.154 |
| Δ Week 4 | 30 | −0.700 | −0.709 | 0.001 | Yes | 0.521 |
| Δ Week 5 | 28 | −0.500 | −0.427 | 0.032 | No | 0.321 |
| Δ Week 6 | 24 | −0.667 | −0.497 | 0.023 | No | 0.588 |
| Δ Week 7 | 13 | −0.846 | −0.629 | 0.043 | No | 0.249 |
| Diaphragmatic breathing (DB) | ||||||
| Δ Week 1 | 27 | −0.481 | −0.515 | 0.013 | No | |
| Δ Week 2 | 28 | −0.429 | −0.466 | 0.020 | No | |
| Δ Week 3 | 25 | −0.720 | −0.705 | 0.002 | Yes | |
| Δ Week 4 | 25 | −0.560 | −0.787 | 0.001 | Yes | |
| Δ Week 5 | 24 | −0.667 | −0.950 | <0.001 | Yes | |
| Δ Week 6 | 24 | −0.500 | −0.565 | 0.011 | No | |
| Δ Week 7 | 13 | −0.308 | −0.325 | 0.264 | No |
In the Calmigo® group, a reduction in bloating was observed throughout the study period, but a statistically significant decrease was only detected at Week 4 after Bonferroni correction (p = 0.001), with a medium effect size (−0.709).
In the DB group, bloating decreased at all time points; however, only Weeks 3–5 remained statistically significant after Bonferroni correction (p = 0.002, 0.001, and <0.001, respectively). Effect sizes were medium to large (−0.71 to −0.95).
There was no difference in the degree of change in bloating between the Calmigo® and DB groups at matching time points (Table 2)
3.2 Influence of baseline characteristics on improvement in bloating
To understand whether baseline characteristics could distinguish between those who had an improvement in bloating (responders) from those in whom symptoms were unchanged or worse (non-responders) at the end of 4 weeks, we compared demographic characteristics, mood, and baseline severity of bloating between responders and non-responders. As both groups had significant improvement from baseline at week 4, we chose to examine predictors of response at week 4.
3.2.1 Calmigo®
In the Calmigo® arm, no significant differences were observed between Week-4 responders and non-responders in age, BMI, baseline bloating severity, HADS-Anxiety, or HADS-Depression (Table 3). Race (White), sex (female), and history of diabetes were also similar between groups (p = 1.00, 0.056, and 1.00, respectively).
Comparison of participant characteristics based on improvement after Calmigo® use for 4 weeks
| Responders (n = 20) | Non-responders (n = 10) | p-value | Effect size | |
|---|---|---|---|---|
| Age | 43.35 ± 14.58 | 41.50 ± 15.42 | 0.750 | 0.129 |
| BMI | 25.80 ± 6.79 | 25.48 ± 7.44 | 0.906 | 0.048 |
| Baseline bloating severity | 2.30 ± 0.80 | 2.30 ± 0.82 | 1.00 | 0.00 |
| HADS-anxiety | 13.95 ± 3.00 | 13.90 ± 2.56 | 0.964 | 0.018 |
| HADS-depression | 9.20 ± 4.29 | 11.80 ± 4.78 | 0.142 | −0.605 |
3.2.2 Diaphragmatic breathing
No significant differences were observed between Week-4 responders and non-responders in age, BMI, baseline bloating severity, HADS-Anxiety, or HADS-Depression (Table 4). The proportions of White race, female sex, and diabetes history were likewise similar (p = 1.00, 0.16, and 1.00, respectively).
Comparison of participant characteristics based on improvement after Diaphragmatic breathing exercises for 4 weeks
| Responders (n = 13) | Non-responders (n = 12) | p-value | Effect size | |
|---|---|---|---|---|
| Age | 42.85 ± 11.82 | 42.33 ± 11.70 | 0.914 | 0.045 |
| BMI | 25.19 ± 6.70 | 27.30 ± 10.49 | 0.552 | −0.252 |
| Baseline bloating severity | 2.69 ± 1.03 | 1.92 ± 1.38 | 0.123 | 0.669 |
| HADS-anxiety | 14.92 ± 2.90 | 12.75 ± 4.14 | 0.139 | 0.639 |
| HADS-depression | 11.23 ± 3.54 | 10.17 ± 3.78 | 0.474 | 0.303 |
On univariate regression, a higher baseline HADS-Anxiety score (p < 0.0001) and a lower baseline HADS-Depression score (p = 0.027) was associated with a greater likelihood of improvement in bloating after 4 weeks. Demographics, history of diabetes, baseline bloating severity, and intervention type (DB vs Calmigo®) did not significantly predict improvement (Table 5).
Predictors of improvement in bloating after 4 weeks
| Odds ratio | 95% C.I. | p-value | |
|---|---|---|---|
| Age | 1.007 | 0.99–1.02 | 0.257 |
| Race = White | 0.886 | 0.509–1.542 | 0.669 |
| Sex = Male | 0.273 | 0.053–1.408 | 0.121 |
| BMI | 0.984 | 0.97–1.004 | 0.122 |
| Diabetes = Yes | 1.00 | 0.568–1.760 | 0.998 |
| Baseline bloating severity | 1.44 | 0.83–2.51 | 0.20 |
| HADS-anxiety | 1.116 | 1.074–1.159 | <0.0001 |
| HADS-depression | 0.947 | 0.902–0.994 | 0.027 |
| Group = Diaphragmatic breathing | 0.626 | 0.286–1.372 | 0.242 |
4 Discussion
This is the first study comparing the effect of two different breathing interventions- written instructions for DB and device-guided biofeedback (Calmigo®) on the severity of abdominal bloating. Our results show that both interventions decreased bloating. While a reduction was observed in all weeks, this was statistically significant during weeks 3–5 for DB and during week 4 for Calmigo®. Those with higher baseline anxiety and lower baseline depression symptoms were more likely to improve with breathing exercises. Improvement was not impacted by the type of breathing intervention.
Studies examining the effect of breathing exercises on abdominal bloating are limited. In one open-label study, guided diaphragmatic breathing instruction combined with bloating-targeted hypnotic suggestions improved severity of bloating after 7 weeks in 23 people with functional bowel disorders and bloating as a predominant symptom [10]. Slow deep breathing (six breaths per minute with 4 s inhalation and 6 s exhalation) practiced for 30 min 5 days a week led to improvement in symptoms of irritable bowel syndrome, stool consistency, stool frequency, and decreased rectal sensitivity as measured by anorectal manometry [11]. A placebo-controlled trial comparing biofeedback therapy to a control group in patients with post-meal abdominal distension found a significant reduction in abdominal distension scores in the biofeedback group but not in the placebo [12]. The mechanism by which breathing exercises reduce bloating is not well understood. However, a study in patients with functional abdominal distension found that the episodes of increased distension were associated with contraction of the diaphragm and intercostal muscles, an increase in lung volume, and protrusion of the anterior abdominal wall. Biofeedback therapy reduced intercostal and diaphragm activity and activated the internal oblique muscle with a reduction in abdominal girth [13].
Brief (10 min) post-prandial DB decreased the number of reflux episodes in patients with proven GERD, suggesting a mechanism by which it could reduce symptoms of GERD [14]. Another study in patients with GERD refractory to proton pump inhibitors and belching symptoms found that 4 weekly sessions of DB training, each 30 min long, reduced subjective belching by at least 50% in 15 patients. This was associated with a reduction in GERD symptoms and improvement in quality-of-life scores. Further, these changes were sustained for 4 months after DB treatment [15]. The mechanism here appears to be improvement in the tone of the gastroesophageal junction and restoration of a negative gastroesophageal pressure gradient [16].
The Calmigo® device has previously been reported to improve symptoms of anxiety among students. A randomized controlled trial in university students with test anxiety compared Calmigo® with self-directed breathing exercises and psychoeducation during the exam period (N = 34). Calmigo® group showed a significant reduction in test-anxiety symptoms from pre- to post-intervention; the device group also reported decreases in depression and anxiety symptoms and higher psychological well-being [7]. The likely mechanism behind Calmigo®’s effect includes modulation of autonomic arousal and visceral perception, processes that have also been suggested to be involved in bloating and abdominal distension. Although conducted in a non-GI population, this trial suggested that Calmigo® was better than instructions alone. We however did not observe any differences between Calmigo® and diaphragmatic breathing in our study.
Brief breathing exercises have been investigated in other conditions too. A single 15-min mindful attention to breathing was investigated as a possible way to improve cognitive performance [17]. Another examined the effect of 5 min of slow-paced breathing on cardiac vagal activity and revealed an increase in emotional arousal [18]. Brief slow-paced breathing has also been shown to improve immediate executive function [19]. Our results suggest that practicing breathing exercises briefly but regularly can improve bloating. Whether participants are able to continue practicing this long term and maintain the benefits remains to be investigated.
We did not find any difference between Calmigo® and DB instructions. Both interventions significantly improved bloating compared to baseline, but no difference between groups was observed. This suggests that the therapeutic effect is likely due to practicing regular breathing exercises themselves, rather than the delivery method. The significance of our study lies in demonstrating that even simple, written instructions can be effective. This has important clinical implications, specifically in settings without access to specialized devices or biofeedback tools. Calmigo® may still have value for patients who prefer structured feedback or struggle to follow self-guided breathing, but our results highlight that accessible, low-cost interventions can be equally beneficial.
We selected a 6-week active intervention with a 7th-week follow-up because most GI behavioral and lifestyle intervention studies are conducted over 6–8 weeks. This timeframe has been shown to be sufficient to observe symptom changes while maintaining feasibility and participant adherence [20,21]. The final 7th-week assessment allowed us to evaluate whether improvements persisted one week beyond the intervention.
Although our study is limited by the smaller sample size that completed the 6 weeks of breathing intervention, we observed a consistent improvement in bloating at each week of the study suggesting that the effect is consistent and not an artifact. Our study is practical because people may find it much easier to do a brief breathing exercise regimen regularly rather than longer periods, as suggested by other studies. Participants were encouraged to complete the brief training call on how to properly use the device, which may have also helped participants use Calmigo® effectively. The fact that written instructions were effective in reducing bloating is encouraging, as many places may not have specialists who can teach people how to do diaphragmatic breathing.
5 Conclusions
Bloating is a common and often difficult problem to manage. Studies investigating the effect of breathing exercises on bloating are very limited. Our study found a significant and medium- to large-sized effect size on self-reported bloating with both written instructions for diaphragmatic breathing and a device that provides biofeedback during breathing. Baseline anxiety and depressive symptoms predict whether someone will experience an improvement in bloating. Future studies to examine the long-term effectiveness of breathing exercises on bloating and the underlying mechanisms remain will potentially pave the way for effective integration of breathwork in the management of those with bothersome bloating.
Acknowledgments
We would like to acknowledge National Center for Advancing Translational Sciences, Grant UL1TR001070 that supports REDCap at The Ohio State University.
-
Funding information: Calmigo provided the devices used in the study but had no role in the design, conduct, analysis, or manuscript preparation.
-
Author contribution: SC designed the study, collected and analyzed the data, and drafted the manuscript. All authors contributed to the interpretation of results, manuscript revisions, and approved the final version.
-
Conflict of interest: The authors declare no conflict of interest.
-
Data availability statement: Due to privacy concerns, data from the study are not available.
Diaphragmatic Breathing
Diaphragmatic breathing technique
Lie on your back on a flat surface or in bed, with your knees bent and your head supported. You can use a pillow under your knees to support your legs. Place one hand onyour upper chest and the other just below your rib cage. This will allow you to feel your diaphragm move as you breathe.
Breathe in slowly through your nose so that your stomach moves out against your hand. The hand on your chest should remain as still as possible.
Tighten your stomach muscles, letting them fall inward as you exhale through pursed lips. The hand on your upper chest must remain as still as possible.
When you first learn the diaphragmatic breathing technique, it may be easier for you to follow the instructions lying down, as shown on the first page. As you gain more practice, you can try the diaphragmatic breathing technique while sitting in a chair, as shown below.
To perform this exercise while sitting in a chair:
Sit comfortably, with your knees bent and your shoulders, head and neck relaxed.
Place one hand on your upper chest and the other just below your rib cage. This will allow you to feel your diaphragm move as you breathe.
Breathe in slowly through your nose so that your stomach moves out against your hand. The hand on your chest should remain as still as possible.
Tighten your stomach muscles, letting them fall inward as you exhale through pursed lips. The hand on your upper chest must remain as still as possible.
Note: You may notice an increased effort will be needed to use the diaphragm correctly. At first, you'll probably get tired while doing this exercise. But keep at it, because with continued practice, diaphragmatic breathing will become easy and automatic.
How often should I practice this exercise?
Practice this exercise 3 minutes 3 times per day.
What is the Diaphragm?
The diaphragm is a muscle that separate the organs in the chest from the abdominal organs.
What is Diaphragmatic breathing?
It is a type of breathing that is seen in babies.
In this type of breathing, a deep, full breath allows the lungs to fill with oxygen, moving the diaphragm downward and pushes the stomach out, to make room for all the air.
This type of breathing increases the oxygen that enters the body, reducing tension.
When you breathe out fully (stomach is tucked in), you also help to release all the tension in the body.
When intentionally done, this type of breathing can slow your breathing rate, create a feeling of relaxation.
References
[1] Ballou S, Singh P, Nee J, Rangan V, Iturrino J, Geeganage G, et al. Prevalence and associated factors of bloating: Results from the Rome foundation global epidemiology study. Gastroenterology. 2023;165(3):647–55.e4.10.1053/j.gastro.2023.05.049Suche in Google Scholar PubMed PubMed Central
[2] Moshiree B, Drossman D, Shaukat A. AGA clinical practice update on evaluation and management of belching, abdominal bloating, and distention: Expert review. Gastroenterology. 2023;165(3):791–800.e3.10.1053/j.gastro.2023.04.039Suche in Google Scholar PubMed
[3] Fincham GW, Strauss C, Montero-Marin J, Cavanagh K. Effect of breathwork on stress and mental health: A meta-analysis of randomised-controlled trials. Sci Rep. 2023;13(1):432.10.1038/s41598-022-27247-ySuche in Google Scholar PubMed PubMed Central
[4] Fundoiano-Hershcovitz Y, Breuer Asher I, Ritholz MD, Feniger E, Manejwala O, Goldstein P. Specifying the efficacy of digital therapeutic tools for depression and anxiety: Retrospective, 2-cohort, real-world analysis. J Med Internet Res. 2023;25:e47350.10.2196/47350Suche in Google Scholar PubMed PubMed Central
[5] Revicki DA, Speck RM, Lavoie S, Puelles J, Kuo B, Camilleri M, et al. The American neurogastroenterology and motility society gastroparesis cardinal symptom index-daily diary (ANMS GCSI-DD): Psychometric evaluation in patients with idiopathic or diabetic gastroparesis. Neurogastroenterol Motil. 2019;31(4):e13553.10.1111/nmo.13553Suche in Google Scholar PubMed
[6] Snijkers JTW, van den Oever W, Weerts ZZRM, Vork L, Mujagic Z, Leue C, et al. Examining the optimal cutoff values of HADS, PHQ-9 and GAD-7 as screening instruments for depression and anxiety in irritable bowel syndrome. Neurogastroenterol Motil. 2021;33(12):e14161.10.1111/nmo.14161Suche in Google Scholar PubMed PubMed Central
[7] Rosenberg A, Hamiel D. Reducing test anxiety and related symptoms using a biofeedback respiratory practice device: A randomized control trial. Appl Psychophysiol Biofeedback. 2021;46(1):69–82.10.1007/s10484-020-09494-9Suche in Google Scholar PubMed
[8] Zhu J-H, Qian Y-Y, Pan J, He C, Lan Y, Chen W-N, et al. Efficacy and safety of vibrating capsule for functional constipation (VICONS): A randomised, double-blind, placebo-controlled, multicenter trial. eClinicalMedicine. 2022;47:101407. 10.1016/j.eclinm.2022.101407.Suche in Google Scholar PubMed PubMed Central
[9] Bell MK, Ferstera MN, Durney MJ, Nicol DJ, Holtmann PG, Coombes PJ. Exercise training improves gastrointestinal symptoms in people with a disorder of the gut brain interaction (DGBI): Systemic review and meta-analysis. J Clin Exerc Physiol. 2024;13(s2):491.10.31189/2165-7629-13-s2.491Suche in Google Scholar
[10] Wang XJ, Philpot L, Ebbert J, Dilmaghani S, Loftus C, Fox J, et al. Digital therapeutic combining hypnosis and diaphragmatic breathing intervention for functional abdominal bloating: A feasibility study. Clin Transl Gastroenterol. 2025;16(4):e00811. 10.14309/ctg.0000000000000811.Suche in Google Scholar PubMed PubMed Central
[11] Liu J, Lv C, Wang W, Huang Y, Wang B, Tian J, et al. Slow, deep breathing intervention improved symptoms and altered rectal sensitivity in patients with constipation-predominant irritable bowel syndrome. Front Neurosci. 2022;16:1034547.10.3389/fnins.2022.1034547Suche in Google Scholar PubMed PubMed Central
[12] Barba E, Livovsky DM, Accarino A, Azpiroz F. Thoracoabdominal wall motion-guided biofeedback treatment of abdominal distention: A randomized placebo-controlled trial. Gastroenterology. 2024;167(3):538–46.e1.10.1053/j.gastro.2024.03.005Suche in Google Scholar PubMed
[13] Barba E, Burri E, Accarino A, Cisternas D, Quiroga S, Monclus E, et al. Abdominothoracic mechanisms of functional abdominal distension and correction by biofeedback. Gastroenterology. 2015;148(4):732–9.10.1053/j.gastro.2014.12.006Suche in Google Scholar PubMed
[14] Halland M, Bharucha AE, Crowell MD, Ravi K, Katzka DA. Effects of diaphragmatic breathing on the pathophysiology and treatment of upright gastroesophageal reflux: A randomized controlled trial. Off J of the Am Coll of Gastroenterology | ACG. 2021;116(1):86–94.10.14309/ajg.0000000000000913Suche in Google Scholar PubMed
[15] Ong AM-L, Chua LT-T, Khor CJ-L, Asokkumar R, s/o Namasivayam V, Wang Y-T. Diaphragmatic breathing reduces belching and proton pump inhibitor refractory gastroesophageal reflux symptoms. Clin Gastroenterol Hepatol. 2018;16(3):407–16.e2.10.1016/j.cgh.2017.10.038Suche in Google Scholar PubMed
[16] Halland M, Parthasarathy G, Bharucha AE, Katzka DA. Diaphragmatic breathing for rumination syndrome: Efficacy and mechanisms of action. Neurogastroenterol Motil. 2016;28(3):384–91.10.1111/nmo.12737Suche in Google Scholar PubMed
[17] Quek FYX, Majeed NM, Kothari M, Lua VYQ, Ong HS, Hartanto A. Brief mindfulness breathing exercises and working memory capacity: Findings from two experimental approaches. Brain Sci. 2021;11(2):175. 10.3390/brainsci11020175.Suche in Google Scholar PubMed PubMed Central
[18] You M, Laborde S, Zammit N, Iskra M, Borges U, Dosseville F, et al. Emotional intelligence training: Influence of a brief slow-paced breathing exercise on psychophysiological variables linked to emotion regulation. Int J Environ Res Public Health. 2021;18(12):6630. 10.3390/ijerph18126630.Suche in Google Scholar PubMed PubMed Central
[19] Laborde S, Allen MS, Borges U, Hosang TJ, Furley P, Mosley E, et al. The influence of slow-paced breathing on executive function. J Psychophysiol. 2021;36(1):13–27.10.1027/0269-8803/a000279Suche in Google Scholar
[20] Tunali V, Arslan NÇ, Ermiş BH, Derviş Hakim G, Gündoğdu A, Hora M, et al. A multicenter randomized controlled trial of microbiome-based artificial intelligence-assisted personalized diet vs low-fermentable oligosaccharides, disaccharides, monosaccharides, and polyols diet: A novel approach for the management of irritable bowel syndrome. Am J Gastroenterol. 2024;119(9):1901–12. 10.14309/ajg.0000000000002593.Suche in Google Scholar PubMed PubMed Central
[21] Tayama J, Hamaguchi T, Koizumi K, Yamamura R, Okubo R, Kawahara J-I, et al. Efficacy of an eHealth self-management program in reducing irritable bowel syndrome symptom severity: A randomized controlled trial. Sci Rep. 2024;14(1):4.10.1038/s41598-023-50293-zSuche in Google Scholar PubMed PubMed Central
© 2025 the author(s), published by De Gruyter
This work is licensed under the Creative Commons Attribution 4.0 International License.
Artikel in diesem Heft
- Research Articles
- Network pharmacological analysis and in vitro testing of the rutin effects on triple-negative breast cancer
- Impact of diabetes on long-term survival in elderly liver cancer patients: A retrospective study
- Knockdown of CCNB1 alleviates high glucose-triggered trophoblast dysfunction during gestational diabetes via Wnt/β-catenin signaling pathway
- Risk factors for severe adverse drug reactions in hospitalized patients
- Analysis of the effect of ALA-PDT on macrophages in footpad model of mice infected with Fonsecaea monophora based on single-cell sequencing
- Development and validation of headspace gas chromatography with a flame ionization detector method for the determination of ethanol in the vitreous humor
- CMSP exerts anti-tumor effects on small cell lung cancer cells by inducing mitochondrial dysfunction and ferroptosis
- Predictive value of plasma sB7-H3 and YKL-40 in pediatric refractory Mycoplasma pneumoniae pneumonia
- Antiangiogenic potential of Elaeagnus umbellata extracts and molecular docking study by targeting VEGFR-2 pathway
- Comparison of the effectiveness of nurse-led preoperative counseling and postoperative follow-up care vs standard care for patients with gastric cancer
- Comparing the therapeutic efficacy of endoscopic minimally invasive surgery and traditional surgery for early-stage breast cancer: A meta-analysis
- Adhered macrophages as an additional marker of cardiomyocyte injury in biopsies of patients with dilated cardiomyopathy
- Association between statin administration and outcome in patients with sepsis: A retrospective study
- Exploration of the association between estimated glucose disposal rate and osteoarthritis in middle-aged and older adults: An analysis of NHANES data from 2011 to 2018
- A comparative analysis of the binary and multiclass classified chest X-ray images of pneumonia and COVID-19 with ML and DL models
- Lysophosphatidic acid 2 alleviates deep vein thrombosis via protective endothelial barrier function
- Transcription factor A, mitochondrial promotes lymph node metastasis and lymphangiogenesis in epithelial ovarian carcinoma
- Serum PM20D1 levels are associated with nutritional status and inflammatory factors in gastric cancer patients undergoing early enteral nutrition
- Hydromorphone reduced the incidence of emergence agitation after adenotonsillectomy in children with obstructive sleep apnea: A randomized, double-blind study
- Vitamin D replacement therapy may regulate sleep habits in patients with restless leg syndrome
- The first-line antihypertensive nitrendipine potentiated the therapeutic effect of oxaliplatin by downregulating CACNA1D in colorectal cancer
- Health literacy and health-related quality of life: The mediating role of irrational happiness
- Modulatory effects of Lycium barbarum polysaccharide on bone cell dynamics in osteoporosis
- Mechanism research on inhibition of gastric cancer in vitro by the extract of Pinellia ternata based on network pharmacology and cellular metabolomics
- Examination of the causal role of immune cells in non-alcoholic fatty liver disease by a bidirectional Mendelian randomization study
- Clinical analysis of ten cases of HIV infection combined with acute leukemia
- Investigating the cardioprotective potential of quercetin against tacrolimus-induced cardiotoxicity in Wistar rats: A mechanistic insights
- Clinical observation of probiotics combined with mesalazine and Yiyi Baitouweng Decoction retention enema in treating mild-to-moderate ulcerative colitis
- Diagnostic value of ratio of blood inflammation to coagulation markers in periprosthetic joint infection
- Sex-specific associations of sex hormone binding globulin and risk of bladder cancer
- Core muscle strength and stability-oriented breathing training reduces inter-recti distance in postpartum women
- The ERAS nursing care strategy for patients undergoing transsphenoidal endoscopic pituitary tumor resection: A randomized blinded controlled trial
- The serum IL-17A levels in patients with traumatic bowel rupture post-surgery and its predictive value for patient prognosis
- Impact of Kolb’s experiential learning theory-based nursing on caregiver burden and psychological state of caregivers of dementia patients
- Analysis of serum NLR combined with intraoperative margin condition to predict the prognosis of cervical HSIL patients undergoing LEEP surgery
- Commiphora gileadensis ameliorate infertility and erectile dysfunction in diabetic male mice
- The correlation between epithelial–mesenchymal transition classification and MMP2 expression of circulating tumor cells and prognosis of advanced or metastatic nasopharyngeal carcinoma
- Tetrahydropalmatine improves mitochondrial function in vascular smooth muscle cells of atherosclerosis in vitro by inhibiting Ras homolog gene family A/Rho-associated protein kinase-1 signaling pathway
- A cross-sectional study: Relationship between serum oxidative stress levels and arteriovenous fistula maturation in maintenance dialysis patients
- A comparative analysis of the impact of repeated administration of flavan 3-ol on brown, subcutaneous, and visceral adipose tissue
- Identifying early screening factors for depression in middle-aged and older adults: A cohort study
- Perform tumor-specific survival analysis for Merkel cell carcinoma patients undergoing surgical resection based on the SEER database by constructing a nomogram chart
- Unveiling the role of CXCL10 in pancreatic cancer progression: A novel prognostic indicator
- High-dose preoperative intraperitoneal erythropoietin and intravenous methylprednisolone in acute traumatic spinal cord injuries following decompression surgeries
- RAB39B: A novel biomarker for acute myeloid leukemia identified via multi-omics and functional validation
- Impact of peripheral conditioning on reperfusion injury following primary percutaneous coronary intervention in diabetic and non-diabetic STEMI patients
- Clinical efficacy of azacitidine in the treatment of middle- and high-risk myelodysplastic syndrome in middle-aged and elderly patients: A retrospective study
- The effect of ambulatory blood pressure load on mitral regurgitation in continuous ambulatory peritoneal dialysis patients
- Expression and clinical significance of ITGA3 in breast cancer
- Single-nucleus RNA sequencing reveals ARHGAP28 expression of podocytes as a biomarker in human diabetic nephropathy
- rSIG combined with NLR in the prognostic assessment of patients with multiple injuries
- Toxic metals and metalloids in collagen supplements of fish and jellyfish origin: Risk assessment for daily intake
- Exploring causal relationship between 41 inflammatory cytokines and marginal zone lymphoma: A bidirectional Mendelian randomization study
- Gender beliefs and legitimization of dating violence in adolescents
- Effect of serum IL-6, CRP, and MMP-9 levels on the efficacy of modified preperitoneal Kugel repair in patients with inguinal hernia
- Effect of smoking and smoking cessation on hematological parameters in polycythemic patients
- Pathogen surveillance and risk factors for pulmonary infection in patients with lung cancer: A retrospective single-center study
- Necroptosis of hippocampal neurons in paclitaxel chemotherapy-induced cognitive impairment mediates microglial activation via TLR4/MyD88 signaling pathway
- Celastrol suppresses neovascularization in rat aortic vascular endothelial cells stimulated by inflammatory tenocytes via modulating the NLRP3 pathway
- Cord-lamina angle and foraminal diameter as key predictors of C5 palsy after anterior cervical decompression and fusion surgery
- GATA1: A key biomarker for predicting the prognosis of patients with diffuse large B-cell lymphoma
- Influencing factors of false lumen thrombosis in type B aortic dissection: A single-center retrospective study
- MZB1 regulates the immune microenvironment and inhibits ovarian cancer cell migration
- Integrating experimental and network pharmacology to explore the pharmacological mechanisms of Dioscin against glioblastoma
- Trends in research on preterm birth in twin pregnancy based on bibliometrics
- Four-week IgE/baseline IgE ratio combined with tryptase predicts clinical outcome in omalizumab-treated children with moderate-to-severe asthma
- Single-cell transcriptomic analysis identifies a stress response Schwann cell subtype
- Acute pancreatitis risk in the diagnosis and management of inflammatory bowel disease: A critical focus
- Effect of subclinical esketamine on NLRP3 and cognitive dysfunction in elderly ischemic stroke patients
- Interleukin-37 mediates the anti-oral tumor activity in oral cancer through STAT3
- CA199 and CEA expression levels, and minimally invasive postoperative prognosis analysis in esophageal squamous carcinoma patients
- Efficacy of a novel drainage catheter in the treatment of CSF leak after posterior spine surgery: A retrospective cohort study
- Comprehensive biomedicine assessment of Apteranthes tuberculata extracts: Phytochemical analysis and multifaceted pharmacological evaluation in animal models
- Relation of time in range to severity of coronary artery disease in patients with type 2 diabetes: A cross-sectional study
- Dopamine attenuates ethanol-induced neuronal apoptosis by stimulating electrical activity in the developing rat retina
- Correlation between albumin levels during the third trimester and the risk of postpartum levator ani muscle rupture
- Factors associated with maternal attention and distraction during breastfeeding and childcare: A cross-sectional study in the west of Iran
- Mechanisms of hesperetin in treating metabolic dysfunction-associated steatosis liver disease via network pharmacology and in vitro experiments
- The law on oncological oblivion in the Italian and European context: How to best uphold the cancer patients’ rights to privacy and self-determination?
- The prognostic value of the neutrophil-to-lymphocyte ratio, platelet-to-lymphocyte ratio, and prognostic nutritional index for survival in patients with colorectal cancer
- Factors affecting the measurements of peripheral oxygen saturation values in healthy young adults
- Comparison and correlations between findings of hysteroscopy and vaginal color Doppler ultrasonography for detection of uterine abnormalities in patients with recurrent implantation failure
- The effects of different types of RAGT on balance function in stroke patients with low levels of independent walking in a convalescent rehabilitation hospital
- Causal relationship between asthma and ankylosing spondylitis: A bidirectional two-sample univariable and multivariable Mendelian randomization study
- Correlations of health literacy with individuals’ understanding and use of medications in Southern Taiwan
- Correlation of serum calprotectin with outcome of acute cerebral infarction
- Comparison of computed tomography and guided bronchoscopy in the diagnosis of pulmonary nodules: A systematic review and meta-analysis
- Curdione protects vascular endothelial cells and atherosclerosis via the regulation of DNMT1-mediated ERBB4 promoter methylation
- The identification of novel missense variant in ChAT gene in a patient with gestational diabetes denotes plausible genetic association
- Molecular genotyping of multi-system rare blood types in foreign blood donors based on DNA sequencing and its clinical significance
- Exploring the role of succinyl carnitine in the association between CD39⁺ CD4⁺ T cell and ulcerative colitis: A Mendelian randomization study
- Dexmedetomidine suppresses microglial activation in postoperative cognitive dysfunction via the mmu-miRNA-125/TRAF6 signaling axis
- Analysis of serum metabolomics in patients with different types of chronic heart failure
- Diagnostic value of hematological parameters in the early diagnosis of acute cholecystitis
- Pachymaran alleviates fat accumulation, hepatocyte degeneration, and injury in mice with nonalcoholic fatty liver disease
- Decrease in CD4 and CD8 lymphocytes are predictors of severe clinical picture and unfavorable outcome of the disease in patients with COVID-19
- METTL3 blocked the progression of diabetic retinopathy through m6A-modified SOX2
- The predictive significance of anti-RO-52 antibody in patients with interstitial pneumonia after treatment of malignant tumors
- Exploring cerebrospinal fluid metabolites, cognitive function, and brain atrophy: Insights from Mendelian randomization
- Development and validation of potential molecular subtypes and signatures of ocular sarcoidosis based on autophagy-related gene analysis
- Widespread venous thrombosis: Unveiling a complex case of Behçet’s disease with a literature perspective
- Uterine fibroid embolization: An analysis of clinical outcomes and impact on patients’ quality of life
- Discovery of lipid metabolism-related diagnostic biomarkers and construction of diagnostic model in steroid-induced osteonecrosis of femoral head
- Serum-derived exomiR-188-3p is a promising novel biomarker for early-stage ovarian cancer
- Enhancing chronic back pain management: A comparative study of ultrasound–MRI fusion guidance for paravertebral nerve block
- Peptide CCAT1-70aa promotes hepatocellular carcinoma proliferation and invasion via the MAPK/ERK pathway
- Electroacupuncture-induced reduction of myocardial ischemia–reperfusion injury via FTO-dependent m6A methylation modulation
- Hemorrhoids and cardiovascular disease: A bidirectional Mendelian randomization study
- Cell-free adipose extract inhibits hypertrophic scar formation through collagen remodeling and antiangiogenesis
- HALP score in Demodex blepharitis: A case–control study
- Assessment of SOX2 performance as a marker for circulating cancer stem-like cells (CCSCs) identification in advanced breast cancer patients using CytoTrack system
- Risk and prognosis for brain metastasis in primary metastatic cervical cancer patients: A population-based study
- Comparison of the two intestinal anastomosis methods in pediatric patients
- Factors influencing hematological toxicity and adverse effects of perioperative hyperthermic intraperitoneal vs intraperitoneal chemotherapy in gastrointestinal cancer
- Endotoxin tolerance inhibits NLRP3 inflammasome activation in macrophages of septic mice by restoring autophagic flux through TRIM26
- Lateral transperitoneal laparoscopic adrenalectomy: A single-centre experience of 21 procedures
- Petunidin attenuates lipopolysaccharide-induced retinal microglia inflammatory response in diabetic retinopathy by targeting OGT/NF-κB/LCN2 axis
- Procalcitonin and C-reactive protein as biomarkers for diagnosing and assessing the severity of acute cholecystitis
- Factors determining the number of sessions in successful extracorporeal shock wave lithotripsy patients
- Development of a nomogram for predicting cancer-specific survival in patients with renal pelvic cancer following surgery
- Inhibition of ATG7 promotes orthodontic tooth movement by regulating the RANKL/OPG ratio under compression force
- A machine learning-based prognostic model integrating mRNA stemness index, hypoxia, and glycolysis‑related biomarkers for colorectal cancer
- Glutathione attenuates sepsis-associated encephalopathy via dual modulation of NF-κB and PKA/CREB pathways
- FAHD1 prevents neuronal ferroptosis by modulating R-loop and the cGAS–STING pathway
- Association of placenta weight and morphology with term low birth weight: A case–control study
- Investigation of the pathogenic variants induced Sjogren’s syndrome in Turkish population
- Nucleotide metabolic abnormalities in post-COVID-19 condition and type 2 diabetes mellitus patients and their association with endocrine dysfunction
- TGF-β–Smad2/3 signaling in high-altitude pulmonary hypertension in rats: Role and mechanisms via macrophage M2 polarization
- Ultrasound-guided unilateral versus bilateral erector spinae plane block for postoperative analgesia of patients undergoing laparoscopic cholecystectomy
- Profiling gut microbiome dynamics in subacute thyroiditis: Implications for pathogenesis, diagnosis, and treatment
- Delta neutrophil index, CRP/albumin ratio, procalcitonin, immature granulocytes, and HALP score in acute appendicitis: Best performing biomarker?
- Anticancer activity mechanism of novelly synthesized and characterized benzofuran ring-linked 3-nitrophenyl chalcone derivative on colon cancer cells
- H2valdien3 arrests the cell cycle and induces apoptosis of gastric cancer
- Prognostic relevance of PRSS2 and its immune correlates in papillary thyroid carcinoma
- Association of SGLT2 inhibition with psychiatric disorders: A Mendelian randomization study
- Motivational interviewing for alcohol use reduction in Thai patients
- Luteolin alleviates oxygen-glucose deprivation/reoxygenation-induced neuron injury by regulating NLRP3/IL-1β signaling
- Polyphyllin II inhibits thyroid cancer cell growth by simultaneously inhibiting glycolysis and oxidative phosphorylation
- Relationship between the expression of copper death promoting factor SLC31A1 in papillary thyroid carcinoma and clinicopathological indicators and prognosis
- CSF2 polarized neutrophils and invaded renal cancer cells in vitro influence
- Proton pump inhibitors-induced thrombocytopenia: A systematic literature analysis of case reports
- The current status and influence factors of research ability among community nurses: A sequential qualitative–quantitative study
- OKAIN: A comprehensive oncology knowledge base for the interpretation of clinically actionable alterations
- The relationship between serum CA50, CA242, and SAA levels and clinical pathological characteristics and prognosis in patients with pancreatic cancer
- Identification and external validation of a prognostic signature based on hypoxia–glycolysis-related genes for kidney renal clear cell carcinoma
- Engineered RBC-derived nanovesicles functionalized with tumor-targeting ligands: A comparative study on breast cancer targeting efficiency and biocompatibility
- Relationship of resting echocardiography combined with serum micronutrients to the severity of low-gradient severe aortic stenosis
- Effect of vibration on pain during subcutaneous heparin injection: A randomized, single-blind, placebo-controlled trial
- The diagnostic performance of machine learning-based FFRCT for coronary artery disease: A meta-analysis
- Comparing biofeedback device vs diaphragmatic breathing for bloating relief: A randomized controlled trial
- Serum uric acid to albumin ratio and C-reactive protein as predictive biomarkers for chronic total occlusion and coronary collateral circulation quality
- Multiple organ scoring systems for predicting in-hospital mortality of sepsis patients in the intensive care unit
- Single-cell RNA sequencing data analysis of the inner ear in gentamicin-treated mice via intraperitoneal injection
- Suppression of cathepsin B attenuates myocardial injury via limiting cardiomyocyte apoptosis
- Influence of sevoflurane combined with propofol anesthesia on the anesthesia effect and adverse reactions in children with acute appendicitis
- Identification of hub genes related to acute kidney injury caused by sevoflurane anesthesia and endoplasmic reticulum stress
- Efficacy and safety of PD-1/PD-L1 inhibitors in pancreatic ductal adenocarcinoma: a systematic review and Meta-analysis of randomized controlled trials
- The value of diagnostic experience in O-RADS MRI score for ovarian-adnexal lesions
- Health education pathway for individuals with temporary enterostomies using patient journey mapping
- Serum TLR8 as a potential diagnostic biomarker of coronary heart disease
- Intraoperative temperature management and its effect on surgical outcomes in elderly patients undergoing lichtenstein unilateral inguinal hernia repair
- Immunohistochemical profiling and neuroepithelial heterogeneity in immature ovarian teratomas: a retrospective digital pathology-based study
- Associated risk factors and prevalence of human papillomavirus infection among females visiting tertiary care hospital: a cross-sectional study from Nepal
- Comparative evaluation of various disc elution methods for the detection of colistin-resistant gram-negative bacteria
- Effect of timing of cholecystectomy on weight loss after sleeve gastrectomy in morbidly obese individuals with cholelithiasis: a retrospective cohort study
- Causal association between ceramide levels and central precocious puberty: a mendelian randomization study
- Novel predictive model for colorectal liver metastases recurrence: a radiomics and clinical data approach
- Relationship between resident physicians’ perceived professional value and exposure to violence
- Multiple sclerosis and type 1 diabetes: a Mendelian randomization study of European ancestry
- Rapid pathogen identification in peritoneal dialysis effluent by MALDI-TOF MS following blood culture enrichment
- Comparison of open and percutaneous A1 pulley release in pediatric trigger thumb: a retrospective cohort study
- Impact of combined diaphragm-lung ultrasound assessment on postoperative respiratory function in patients under general anesthesia recovery
- Development and internal validation of a nomogram for predicting short-term prognosis in ICU patients with acute pyelonephritis
- The association between hypoxic burden and blood pressure in patients with obstructive sleep apnea
- Promotion of asthenozoospermia by C9orf72 through suppression of spermatogonia activity via fructose metabolism and mitophagy
- Review Articles
- The effects of enhanced external counter-pulsation on post-acute sequelae of COVID-19: A narrative review
- Diabetes-related cognitive impairment: Mechanisms, symptoms, and treatments
- Microscopic changes and gross morphology of placenta in women affected by gestational diabetes mellitus in dietary treatment: A systematic review
- Review of mechanisms and frontier applications in IL-17A-induced hypertension
- Research progress on the correlation between islet amyloid peptides and type 2 diabetes mellitus
- The safety and efficacy of BCG combined with mitomycin C compared with BCG monotherapy in patients with non-muscle-invasive bladder cancer: A systematic review and meta-analysis
- The application of augmented reality in robotic general surgery: A mini-review
- The effect of Greek mountain tea extract and wheat germ extract on peripheral blood flow and eicosanoid metabolism in mammals
- Neurogasobiology of migraine: Carbon monoxide, hydrogen sulfide, and nitric oxide as emerging pathophysiological trinacrium relevant to nociception regulation
- Plant polyphenols, terpenes, and terpenoids in oral health
- Laboratory medicine between technological innovation, rights safeguarding, and patient safety: A bioethical perspective
- End-of-life in cancer patients: Medicolegal implications and ethical challenges in Europe
- The maternal factors during pregnancy for intrauterine growth retardation: An umbrella review
- Intra-abdominal hypertension/abdominal compartment syndrome of pediatric patients in critical care settings
- PI3K/Akt pathway and neuroinflammation in sepsis-associated encephalopathy
- Screening of Group B Streptococcus in pregnancy: A systematic review for the laboratory detection
- Giant borderline ovarian tumours – review of the literature
- Leveraging artificial intelligence for collaborative care planning: Innovations and impacts in shared decision-making – A systematic review
- Cholera epidemiology analysis through the experience of the 1973 Naples epidemic
- Risk factors of frailty/sarcopenia in community older adults: Meta-analysis
- Supplement strategies for infertility in overweight women: Evidence and legal insights
- Scurvy, a not obsolete disorder: Clinical report in eight young children and literature review
- A meta-analysis of the effects of DBS on cognitive function in patients with advanced PD
- Protective role of selenium in sepsis: Mechanisms and potential therapeutic strategies
- Strategies for hyperkalemia management in dialysis patients: A systematic review
- C-reactive protein-to-albumin ratio in peripheral artery disease
- Research progress on autophagy and its roles in sepsis induced organ injury
- Neuronutrition in autism spectrum disorders
- Pumilio 2 in neural development, function, and specific neurological disorders
- Antibiotic prescribing patterns in general dental practice- a scoping review
- Clinical and medico-legal reflections on non-invasive prenatal testing
- Smartphone use and back pain: a narrative review of postural pathologies
- Targeting endothelial oxidative stress in hypertension
- Exploring links between acne and metabolic syndrome: a narrative review
- Case Reports
- Delayed graft function after renal transplantation
- Semaglutide treatment for type 2 diabetes in a patient with chronic myeloid leukemia: A case report and review of the literature
- Diverse electrophysiological demyelinating features in a late-onset glycogen storage disease type IIIa case
- Giant right atrial hemangioma presenting with ascites: A case report
- Laser excision of a large granular cell tumor of the vocal cord with subglottic extension: A case report
- EsoFLIP-assisted dilation for dysphagia in systemic sclerosis: Highlighting the role of multimodal esophageal evaluation
- Molecular hydrogen-rhodiola as an adjuvant therapy for ischemic stroke in internal carotid artery occlusion: A case report
- Coronary artery anomalies: A case of the “malignant” left coronary artery and its surgical management
- Combined VAT and retroperitoneoscopy for pleural empyema due to nephro-pleuric fistula in xanthogranulomatous pyelonephritis
- A rare case of Opalski syndrome with a suspected multiple sclerosis etiology
- Newly diagnosed B-cell acute lymphoblastic leukemia demonstrating localized bone marrow infiltration exclusively in the lower extremities
- Rapid Communication
- Biological properties of valve materials using RGD and EC
-
A single oral administration of flavanols enhances short
-term memory in mice along with increased brain-derived neurotrophic factor - Repeat influenza incidence across two consecutive influenza seasons
- Letter to the Editor
- Role of enhanced external counterpulsation in long COVID
- Expression of Concern
- Expression of concern “A ceRNA network mediated by LINC00475 in papillary thyroid carcinoma”
- Expression of concern “Notoginsenoside R1 alleviates spinal cord injury through the miR-301a/KLF7 axis to activate Wnt/β-catenin pathway”
- Expression of concern “circ_0020123 promotes cell proliferation and migration in lung adenocarcinoma via PDZD8”
- Corrigendum
- Corrigendum to “Empagliflozin improves aortic injury in obese mice by regulating fatty acid metabolism”
- Corrigendum to “Comparing the therapeutic efficacy of endoscopic minimally invasive surgery and traditional surgery for early-stage breast cancer: A meta-analysis”
- Corrigendum to “The progress of autoimmune hepatitis research and future challenges”
- Retraction
- Retraction of “miR-654-5p promotes gastric cancer progression via the GPRIN1/NF-κB pathway”
- Retraction of: “LncRNA CASC15 inhibition relieves renal fibrosis in diabetic nephropathy through downregulating SP-A by sponging to miR-424”
- Retraction of: “SCARA5 inhibits oral squamous cell carcinoma via inactivating the STAT3 and PI3K/AKT signaling pathways”
- Special Issue Advancements in oncology: bridging clinical and experimental research - Part II
- Unveiling novel biomarkers for platinum chemoresistance in ovarian cancer
- Lathyrol affects the expression of AR and PSA and inhibits the malignant behavior of RCC cells
- The era of increasing cancer survivorship: Trends in fertility preservation, medico-legal implications, and ethical challenges
- Bone scintigraphy and positron emission tomography in the early diagnosis of MRONJ
- Meta-analysis of clinical efficacy and safety of immunotherapy combined with chemotherapy in non-small cell lung cancer
- Special Issue Computational Intelligence Methodologies Meets Recurrent Cancers - Part IV
- Exploration of mRNA-modifying METTL3 oncogene as momentous prognostic biomarker responsible for colorectal cancer development
- Special Issue The evolving saga of RNAs from bench to bedside - Part III
- Interaction and verification of ferroptosis-related RNAs Rela and Stat3 in promoting sepsis-associated acute kidney injury
- The mRNA MOXD1: Link to oxidative stress and prognostic significance in gastric cancer
- Special Issue Exploring the biological mechanism of human diseases based on MultiOmics Technology - Part II
- Dynamic changes in lactate-related genes in microglia and their role in immune cell interactions after ischemic stroke
- A prognostic model correlated with fatty acid metabolism in Ewing’s sarcoma based on bioinformatics analysis
- Red cell distribution width predicts early kidney injury: A NHANES cross-sectional study
- Special Issue Diabetes mellitus: pathophysiology, complications & treatment
- Nutritional risk assessment and nutritional support in children with congenital diabetes during surgery
- Correlation of the differential expressions of RANK, RANKL, and OPG with obesity in the elderly population in Xinjiang
- A discussion on the application of fluorescence micro-optical sectioning tomography in the research of cognitive dysfunction in diabetes
- A review of brain research on T2DM-related cognitive dysfunction
- Metformin and estrogen modulation in LABC with T2DM: A 36-month randomized trial
- Special Issue Innovative Biomarker Discovery and Precision Medicine in Cancer Diagnostics
- CircASH1L-mediated tumor progression in triple-negative breast cancer: PI3K/AKT pathway mechanisms
Artikel in diesem Heft
- Research Articles
- Network pharmacological analysis and in vitro testing of the rutin effects on triple-negative breast cancer
- Impact of diabetes on long-term survival in elderly liver cancer patients: A retrospective study
- Knockdown of CCNB1 alleviates high glucose-triggered trophoblast dysfunction during gestational diabetes via Wnt/β-catenin signaling pathway
- Risk factors for severe adverse drug reactions in hospitalized patients
- Analysis of the effect of ALA-PDT on macrophages in footpad model of mice infected with Fonsecaea monophora based on single-cell sequencing
- Development and validation of headspace gas chromatography with a flame ionization detector method for the determination of ethanol in the vitreous humor
- CMSP exerts anti-tumor effects on small cell lung cancer cells by inducing mitochondrial dysfunction and ferroptosis
- Predictive value of plasma sB7-H3 and YKL-40 in pediatric refractory Mycoplasma pneumoniae pneumonia
- Antiangiogenic potential of Elaeagnus umbellata extracts and molecular docking study by targeting VEGFR-2 pathway
- Comparison of the effectiveness of nurse-led preoperative counseling and postoperative follow-up care vs standard care for patients with gastric cancer
- Comparing the therapeutic efficacy of endoscopic minimally invasive surgery and traditional surgery for early-stage breast cancer: A meta-analysis
- Adhered macrophages as an additional marker of cardiomyocyte injury in biopsies of patients with dilated cardiomyopathy
- Association between statin administration and outcome in patients with sepsis: A retrospective study
- Exploration of the association between estimated glucose disposal rate and osteoarthritis in middle-aged and older adults: An analysis of NHANES data from 2011 to 2018
- A comparative analysis of the binary and multiclass classified chest X-ray images of pneumonia and COVID-19 with ML and DL models
- Lysophosphatidic acid 2 alleviates deep vein thrombosis via protective endothelial barrier function
- Transcription factor A, mitochondrial promotes lymph node metastasis and lymphangiogenesis in epithelial ovarian carcinoma
- Serum PM20D1 levels are associated with nutritional status and inflammatory factors in gastric cancer patients undergoing early enteral nutrition
- Hydromorphone reduced the incidence of emergence agitation after adenotonsillectomy in children with obstructive sleep apnea: A randomized, double-blind study
- Vitamin D replacement therapy may regulate sleep habits in patients with restless leg syndrome
- The first-line antihypertensive nitrendipine potentiated the therapeutic effect of oxaliplatin by downregulating CACNA1D in colorectal cancer
- Health literacy and health-related quality of life: The mediating role of irrational happiness
- Modulatory effects of Lycium barbarum polysaccharide on bone cell dynamics in osteoporosis
- Mechanism research on inhibition of gastric cancer in vitro by the extract of Pinellia ternata based on network pharmacology and cellular metabolomics
- Examination of the causal role of immune cells in non-alcoholic fatty liver disease by a bidirectional Mendelian randomization study
- Clinical analysis of ten cases of HIV infection combined with acute leukemia
- Investigating the cardioprotective potential of quercetin against tacrolimus-induced cardiotoxicity in Wistar rats: A mechanistic insights
- Clinical observation of probiotics combined with mesalazine and Yiyi Baitouweng Decoction retention enema in treating mild-to-moderate ulcerative colitis
- Diagnostic value of ratio of blood inflammation to coagulation markers in periprosthetic joint infection
- Sex-specific associations of sex hormone binding globulin and risk of bladder cancer
- Core muscle strength and stability-oriented breathing training reduces inter-recti distance in postpartum women
- The ERAS nursing care strategy for patients undergoing transsphenoidal endoscopic pituitary tumor resection: A randomized blinded controlled trial
- The serum IL-17A levels in patients with traumatic bowel rupture post-surgery and its predictive value for patient prognosis
- Impact of Kolb’s experiential learning theory-based nursing on caregiver burden and psychological state of caregivers of dementia patients
- Analysis of serum NLR combined with intraoperative margin condition to predict the prognosis of cervical HSIL patients undergoing LEEP surgery
- Commiphora gileadensis ameliorate infertility and erectile dysfunction in diabetic male mice
- The correlation between epithelial–mesenchymal transition classification and MMP2 expression of circulating tumor cells and prognosis of advanced or metastatic nasopharyngeal carcinoma
- Tetrahydropalmatine improves mitochondrial function in vascular smooth muscle cells of atherosclerosis in vitro by inhibiting Ras homolog gene family A/Rho-associated protein kinase-1 signaling pathway
- A cross-sectional study: Relationship between serum oxidative stress levels and arteriovenous fistula maturation in maintenance dialysis patients
- A comparative analysis of the impact of repeated administration of flavan 3-ol on brown, subcutaneous, and visceral adipose tissue
- Identifying early screening factors for depression in middle-aged and older adults: A cohort study
- Perform tumor-specific survival analysis for Merkel cell carcinoma patients undergoing surgical resection based on the SEER database by constructing a nomogram chart
- Unveiling the role of CXCL10 in pancreatic cancer progression: A novel prognostic indicator
- High-dose preoperative intraperitoneal erythropoietin and intravenous methylprednisolone in acute traumatic spinal cord injuries following decompression surgeries
- RAB39B: A novel biomarker for acute myeloid leukemia identified via multi-omics and functional validation
- Impact of peripheral conditioning on reperfusion injury following primary percutaneous coronary intervention in diabetic and non-diabetic STEMI patients
- Clinical efficacy of azacitidine in the treatment of middle- and high-risk myelodysplastic syndrome in middle-aged and elderly patients: A retrospective study
- The effect of ambulatory blood pressure load on mitral regurgitation in continuous ambulatory peritoneal dialysis patients
- Expression and clinical significance of ITGA3 in breast cancer
- Single-nucleus RNA sequencing reveals ARHGAP28 expression of podocytes as a biomarker in human diabetic nephropathy
- rSIG combined with NLR in the prognostic assessment of patients with multiple injuries
- Toxic metals and metalloids in collagen supplements of fish and jellyfish origin: Risk assessment for daily intake
- Exploring causal relationship between 41 inflammatory cytokines and marginal zone lymphoma: A bidirectional Mendelian randomization study
- Gender beliefs and legitimization of dating violence in adolescents
- Effect of serum IL-6, CRP, and MMP-9 levels on the efficacy of modified preperitoneal Kugel repair in patients with inguinal hernia
- Effect of smoking and smoking cessation on hematological parameters in polycythemic patients
- Pathogen surveillance and risk factors for pulmonary infection in patients with lung cancer: A retrospective single-center study
- Necroptosis of hippocampal neurons in paclitaxel chemotherapy-induced cognitive impairment mediates microglial activation via TLR4/MyD88 signaling pathway
- Celastrol suppresses neovascularization in rat aortic vascular endothelial cells stimulated by inflammatory tenocytes via modulating the NLRP3 pathway
- Cord-lamina angle and foraminal diameter as key predictors of C5 palsy after anterior cervical decompression and fusion surgery
- GATA1: A key biomarker for predicting the prognosis of patients with diffuse large B-cell lymphoma
- Influencing factors of false lumen thrombosis in type B aortic dissection: A single-center retrospective study
- MZB1 regulates the immune microenvironment and inhibits ovarian cancer cell migration
- Integrating experimental and network pharmacology to explore the pharmacological mechanisms of Dioscin against glioblastoma
- Trends in research on preterm birth in twin pregnancy based on bibliometrics
- Four-week IgE/baseline IgE ratio combined with tryptase predicts clinical outcome in omalizumab-treated children with moderate-to-severe asthma
- Single-cell transcriptomic analysis identifies a stress response Schwann cell subtype
- Acute pancreatitis risk in the diagnosis and management of inflammatory bowel disease: A critical focus
- Effect of subclinical esketamine on NLRP3 and cognitive dysfunction in elderly ischemic stroke patients
- Interleukin-37 mediates the anti-oral tumor activity in oral cancer through STAT3
- CA199 and CEA expression levels, and minimally invasive postoperative prognosis analysis in esophageal squamous carcinoma patients
- Efficacy of a novel drainage catheter in the treatment of CSF leak after posterior spine surgery: A retrospective cohort study
- Comprehensive biomedicine assessment of Apteranthes tuberculata extracts: Phytochemical analysis and multifaceted pharmacological evaluation in animal models
- Relation of time in range to severity of coronary artery disease in patients with type 2 diabetes: A cross-sectional study
- Dopamine attenuates ethanol-induced neuronal apoptosis by stimulating electrical activity in the developing rat retina
- Correlation between albumin levels during the third trimester and the risk of postpartum levator ani muscle rupture
- Factors associated with maternal attention and distraction during breastfeeding and childcare: A cross-sectional study in the west of Iran
- Mechanisms of hesperetin in treating metabolic dysfunction-associated steatosis liver disease via network pharmacology and in vitro experiments
- The law on oncological oblivion in the Italian and European context: How to best uphold the cancer patients’ rights to privacy and self-determination?
- The prognostic value of the neutrophil-to-lymphocyte ratio, platelet-to-lymphocyte ratio, and prognostic nutritional index for survival in patients with colorectal cancer
- Factors affecting the measurements of peripheral oxygen saturation values in healthy young adults
- Comparison and correlations between findings of hysteroscopy and vaginal color Doppler ultrasonography for detection of uterine abnormalities in patients with recurrent implantation failure
- The effects of different types of RAGT on balance function in stroke patients with low levels of independent walking in a convalescent rehabilitation hospital
- Causal relationship between asthma and ankylosing spondylitis: A bidirectional two-sample univariable and multivariable Mendelian randomization study
- Correlations of health literacy with individuals’ understanding and use of medications in Southern Taiwan
- Correlation of serum calprotectin with outcome of acute cerebral infarction
- Comparison of computed tomography and guided bronchoscopy in the diagnosis of pulmonary nodules: A systematic review and meta-analysis
- Curdione protects vascular endothelial cells and atherosclerosis via the regulation of DNMT1-mediated ERBB4 promoter methylation
- The identification of novel missense variant in ChAT gene in a patient with gestational diabetes denotes plausible genetic association
- Molecular genotyping of multi-system rare blood types in foreign blood donors based on DNA sequencing and its clinical significance
- Exploring the role of succinyl carnitine in the association between CD39⁺ CD4⁺ T cell and ulcerative colitis: A Mendelian randomization study
- Dexmedetomidine suppresses microglial activation in postoperative cognitive dysfunction via the mmu-miRNA-125/TRAF6 signaling axis
- Analysis of serum metabolomics in patients with different types of chronic heart failure
- Diagnostic value of hematological parameters in the early diagnosis of acute cholecystitis
- Pachymaran alleviates fat accumulation, hepatocyte degeneration, and injury in mice with nonalcoholic fatty liver disease
- Decrease in CD4 and CD8 lymphocytes are predictors of severe clinical picture and unfavorable outcome of the disease in patients with COVID-19
- METTL3 blocked the progression of diabetic retinopathy through m6A-modified SOX2
- The predictive significance of anti-RO-52 antibody in patients with interstitial pneumonia after treatment of malignant tumors
- Exploring cerebrospinal fluid metabolites, cognitive function, and brain atrophy: Insights from Mendelian randomization
- Development and validation of potential molecular subtypes and signatures of ocular sarcoidosis based on autophagy-related gene analysis
- Widespread venous thrombosis: Unveiling a complex case of Behçet’s disease with a literature perspective
- Uterine fibroid embolization: An analysis of clinical outcomes and impact on patients’ quality of life
- Discovery of lipid metabolism-related diagnostic biomarkers and construction of diagnostic model in steroid-induced osteonecrosis of femoral head
- Serum-derived exomiR-188-3p is a promising novel biomarker for early-stage ovarian cancer
- Enhancing chronic back pain management: A comparative study of ultrasound–MRI fusion guidance for paravertebral nerve block
- Peptide CCAT1-70aa promotes hepatocellular carcinoma proliferation and invasion via the MAPK/ERK pathway
- Electroacupuncture-induced reduction of myocardial ischemia–reperfusion injury via FTO-dependent m6A methylation modulation
- Hemorrhoids and cardiovascular disease: A bidirectional Mendelian randomization study
- Cell-free adipose extract inhibits hypertrophic scar formation through collagen remodeling and antiangiogenesis
- HALP score in Demodex blepharitis: A case–control study
- Assessment of SOX2 performance as a marker for circulating cancer stem-like cells (CCSCs) identification in advanced breast cancer patients using CytoTrack system
- Risk and prognosis for brain metastasis in primary metastatic cervical cancer patients: A population-based study
- Comparison of the two intestinal anastomosis methods in pediatric patients
- Factors influencing hematological toxicity and adverse effects of perioperative hyperthermic intraperitoneal vs intraperitoneal chemotherapy in gastrointestinal cancer
- Endotoxin tolerance inhibits NLRP3 inflammasome activation in macrophages of septic mice by restoring autophagic flux through TRIM26
- Lateral transperitoneal laparoscopic adrenalectomy: A single-centre experience of 21 procedures
- Petunidin attenuates lipopolysaccharide-induced retinal microglia inflammatory response in diabetic retinopathy by targeting OGT/NF-κB/LCN2 axis
- Procalcitonin and C-reactive protein as biomarkers for diagnosing and assessing the severity of acute cholecystitis
- Factors determining the number of sessions in successful extracorporeal shock wave lithotripsy patients
- Development of a nomogram for predicting cancer-specific survival in patients with renal pelvic cancer following surgery
- Inhibition of ATG7 promotes orthodontic tooth movement by regulating the RANKL/OPG ratio under compression force
- A machine learning-based prognostic model integrating mRNA stemness index, hypoxia, and glycolysis‑related biomarkers for colorectal cancer
- Glutathione attenuates sepsis-associated encephalopathy via dual modulation of NF-κB and PKA/CREB pathways
- FAHD1 prevents neuronal ferroptosis by modulating R-loop and the cGAS–STING pathway
- Association of placenta weight and morphology with term low birth weight: A case–control study
- Investigation of the pathogenic variants induced Sjogren’s syndrome in Turkish population
- Nucleotide metabolic abnormalities in post-COVID-19 condition and type 2 diabetes mellitus patients and their association with endocrine dysfunction
- TGF-β–Smad2/3 signaling in high-altitude pulmonary hypertension in rats: Role and mechanisms via macrophage M2 polarization
- Ultrasound-guided unilateral versus bilateral erector spinae plane block for postoperative analgesia of patients undergoing laparoscopic cholecystectomy
- Profiling gut microbiome dynamics in subacute thyroiditis: Implications for pathogenesis, diagnosis, and treatment
- Delta neutrophil index, CRP/albumin ratio, procalcitonin, immature granulocytes, and HALP score in acute appendicitis: Best performing biomarker?
- Anticancer activity mechanism of novelly synthesized and characterized benzofuran ring-linked 3-nitrophenyl chalcone derivative on colon cancer cells
- H2valdien3 arrests the cell cycle and induces apoptosis of gastric cancer
- Prognostic relevance of PRSS2 and its immune correlates in papillary thyroid carcinoma
- Association of SGLT2 inhibition with psychiatric disorders: A Mendelian randomization study
- Motivational interviewing for alcohol use reduction in Thai patients
- Luteolin alleviates oxygen-glucose deprivation/reoxygenation-induced neuron injury by regulating NLRP3/IL-1β signaling
- Polyphyllin II inhibits thyroid cancer cell growth by simultaneously inhibiting glycolysis and oxidative phosphorylation
- Relationship between the expression of copper death promoting factor SLC31A1 in papillary thyroid carcinoma and clinicopathological indicators and prognosis
- CSF2 polarized neutrophils and invaded renal cancer cells in vitro influence
- Proton pump inhibitors-induced thrombocytopenia: A systematic literature analysis of case reports
- The current status and influence factors of research ability among community nurses: A sequential qualitative–quantitative study
- OKAIN: A comprehensive oncology knowledge base for the interpretation of clinically actionable alterations
- The relationship between serum CA50, CA242, and SAA levels and clinical pathological characteristics and prognosis in patients with pancreatic cancer
- Identification and external validation of a prognostic signature based on hypoxia–glycolysis-related genes for kidney renal clear cell carcinoma
- Engineered RBC-derived nanovesicles functionalized with tumor-targeting ligands: A comparative study on breast cancer targeting efficiency and biocompatibility
- Relationship of resting echocardiography combined with serum micronutrients to the severity of low-gradient severe aortic stenosis
- Effect of vibration on pain during subcutaneous heparin injection: A randomized, single-blind, placebo-controlled trial
- The diagnostic performance of machine learning-based FFRCT for coronary artery disease: A meta-analysis
- Comparing biofeedback device vs diaphragmatic breathing for bloating relief: A randomized controlled trial
- Serum uric acid to albumin ratio and C-reactive protein as predictive biomarkers for chronic total occlusion and coronary collateral circulation quality
- Multiple organ scoring systems for predicting in-hospital mortality of sepsis patients in the intensive care unit
- Single-cell RNA sequencing data analysis of the inner ear in gentamicin-treated mice via intraperitoneal injection
- Suppression of cathepsin B attenuates myocardial injury via limiting cardiomyocyte apoptosis
- Influence of sevoflurane combined with propofol anesthesia on the anesthesia effect and adverse reactions in children with acute appendicitis
- Identification of hub genes related to acute kidney injury caused by sevoflurane anesthesia and endoplasmic reticulum stress
- Efficacy and safety of PD-1/PD-L1 inhibitors in pancreatic ductal adenocarcinoma: a systematic review and Meta-analysis of randomized controlled trials
- The value of diagnostic experience in O-RADS MRI score for ovarian-adnexal lesions
- Health education pathway for individuals with temporary enterostomies using patient journey mapping
- Serum TLR8 as a potential diagnostic biomarker of coronary heart disease
- Intraoperative temperature management and its effect on surgical outcomes in elderly patients undergoing lichtenstein unilateral inguinal hernia repair
- Immunohistochemical profiling and neuroepithelial heterogeneity in immature ovarian teratomas: a retrospective digital pathology-based study
- Associated risk factors and prevalence of human papillomavirus infection among females visiting tertiary care hospital: a cross-sectional study from Nepal
- Comparative evaluation of various disc elution methods for the detection of colistin-resistant gram-negative bacteria
- Effect of timing of cholecystectomy on weight loss after sleeve gastrectomy in morbidly obese individuals with cholelithiasis: a retrospective cohort study
- Causal association between ceramide levels and central precocious puberty: a mendelian randomization study
- Novel predictive model for colorectal liver metastases recurrence: a radiomics and clinical data approach
- Relationship between resident physicians’ perceived professional value and exposure to violence
- Multiple sclerosis and type 1 diabetes: a Mendelian randomization study of European ancestry
- Rapid pathogen identification in peritoneal dialysis effluent by MALDI-TOF MS following blood culture enrichment
- Comparison of open and percutaneous A1 pulley release in pediatric trigger thumb: a retrospective cohort study
- Impact of combined diaphragm-lung ultrasound assessment on postoperative respiratory function in patients under general anesthesia recovery
- Development and internal validation of a nomogram for predicting short-term prognosis in ICU patients with acute pyelonephritis
- The association between hypoxic burden and blood pressure in patients with obstructive sleep apnea
- Promotion of asthenozoospermia by C9orf72 through suppression of spermatogonia activity via fructose metabolism and mitophagy
- Review Articles
- The effects of enhanced external counter-pulsation on post-acute sequelae of COVID-19: A narrative review
- Diabetes-related cognitive impairment: Mechanisms, symptoms, and treatments
- Microscopic changes and gross morphology of placenta in women affected by gestational diabetes mellitus in dietary treatment: A systematic review
- Review of mechanisms and frontier applications in IL-17A-induced hypertension
- Research progress on the correlation between islet amyloid peptides and type 2 diabetes mellitus
- The safety and efficacy of BCG combined with mitomycin C compared with BCG monotherapy in patients with non-muscle-invasive bladder cancer: A systematic review and meta-analysis
- The application of augmented reality in robotic general surgery: A mini-review
- The effect of Greek mountain tea extract and wheat germ extract on peripheral blood flow and eicosanoid metabolism in mammals
- Neurogasobiology of migraine: Carbon monoxide, hydrogen sulfide, and nitric oxide as emerging pathophysiological trinacrium relevant to nociception regulation
- Plant polyphenols, terpenes, and terpenoids in oral health
- Laboratory medicine between technological innovation, rights safeguarding, and patient safety: A bioethical perspective
- End-of-life in cancer patients: Medicolegal implications and ethical challenges in Europe
- The maternal factors during pregnancy for intrauterine growth retardation: An umbrella review
- Intra-abdominal hypertension/abdominal compartment syndrome of pediatric patients in critical care settings
- PI3K/Akt pathway and neuroinflammation in sepsis-associated encephalopathy
- Screening of Group B Streptococcus in pregnancy: A systematic review for the laboratory detection
- Giant borderline ovarian tumours – review of the literature
- Leveraging artificial intelligence for collaborative care planning: Innovations and impacts in shared decision-making – A systematic review
- Cholera epidemiology analysis through the experience of the 1973 Naples epidemic
- Risk factors of frailty/sarcopenia in community older adults: Meta-analysis
- Supplement strategies for infertility in overweight women: Evidence and legal insights
- Scurvy, a not obsolete disorder: Clinical report in eight young children and literature review
- A meta-analysis of the effects of DBS on cognitive function in patients with advanced PD
- Protective role of selenium in sepsis: Mechanisms and potential therapeutic strategies
- Strategies for hyperkalemia management in dialysis patients: A systematic review
- C-reactive protein-to-albumin ratio in peripheral artery disease
- Research progress on autophagy and its roles in sepsis induced organ injury
- Neuronutrition in autism spectrum disorders
- Pumilio 2 in neural development, function, and specific neurological disorders
- Antibiotic prescribing patterns in general dental practice- a scoping review
- Clinical and medico-legal reflections on non-invasive prenatal testing
- Smartphone use and back pain: a narrative review of postural pathologies
- Targeting endothelial oxidative stress in hypertension
- Exploring links between acne and metabolic syndrome: a narrative review
- Case Reports
- Delayed graft function after renal transplantation
- Semaglutide treatment for type 2 diabetes in a patient with chronic myeloid leukemia: A case report and review of the literature
- Diverse electrophysiological demyelinating features in a late-onset glycogen storage disease type IIIa case
- Giant right atrial hemangioma presenting with ascites: A case report
- Laser excision of a large granular cell tumor of the vocal cord with subglottic extension: A case report
- EsoFLIP-assisted dilation for dysphagia in systemic sclerosis: Highlighting the role of multimodal esophageal evaluation
- Molecular hydrogen-rhodiola as an adjuvant therapy for ischemic stroke in internal carotid artery occlusion: A case report
- Coronary artery anomalies: A case of the “malignant” left coronary artery and its surgical management
- Combined VAT and retroperitoneoscopy for pleural empyema due to nephro-pleuric fistula in xanthogranulomatous pyelonephritis
- A rare case of Opalski syndrome with a suspected multiple sclerosis etiology
- Newly diagnosed B-cell acute lymphoblastic leukemia demonstrating localized bone marrow infiltration exclusively in the lower extremities
- Rapid Communication
- Biological properties of valve materials using RGD and EC
-
A single oral administration of flavanols enhances short
-term memory in mice along with increased brain-derived neurotrophic factor - Repeat influenza incidence across two consecutive influenza seasons
- Letter to the Editor
- Role of enhanced external counterpulsation in long COVID
- Expression of Concern
- Expression of concern “A ceRNA network mediated by LINC00475 in papillary thyroid carcinoma”
- Expression of concern “Notoginsenoside R1 alleviates spinal cord injury through the miR-301a/KLF7 axis to activate Wnt/β-catenin pathway”
- Expression of concern “circ_0020123 promotes cell proliferation and migration in lung adenocarcinoma via PDZD8”
- Corrigendum
- Corrigendum to “Empagliflozin improves aortic injury in obese mice by regulating fatty acid metabolism”
- Corrigendum to “Comparing the therapeutic efficacy of endoscopic minimally invasive surgery and traditional surgery for early-stage breast cancer: A meta-analysis”
- Corrigendum to “The progress of autoimmune hepatitis research and future challenges”
- Retraction
- Retraction of “miR-654-5p promotes gastric cancer progression via the GPRIN1/NF-κB pathway”
- Retraction of: “LncRNA CASC15 inhibition relieves renal fibrosis in diabetic nephropathy through downregulating SP-A by sponging to miR-424”
- Retraction of: “SCARA5 inhibits oral squamous cell carcinoma via inactivating the STAT3 and PI3K/AKT signaling pathways”
- Special Issue Advancements in oncology: bridging clinical and experimental research - Part II
- Unveiling novel biomarkers for platinum chemoresistance in ovarian cancer
- Lathyrol affects the expression of AR and PSA and inhibits the malignant behavior of RCC cells
- The era of increasing cancer survivorship: Trends in fertility preservation, medico-legal implications, and ethical challenges
- Bone scintigraphy and positron emission tomography in the early diagnosis of MRONJ
- Meta-analysis of clinical efficacy and safety of immunotherapy combined with chemotherapy in non-small cell lung cancer
- Special Issue Computational Intelligence Methodologies Meets Recurrent Cancers - Part IV
- Exploration of mRNA-modifying METTL3 oncogene as momentous prognostic biomarker responsible for colorectal cancer development
- Special Issue The evolving saga of RNAs from bench to bedside - Part III
- Interaction and verification of ferroptosis-related RNAs Rela and Stat3 in promoting sepsis-associated acute kidney injury
- The mRNA MOXD1: Link to oxidative stress and prognostic significance in gastric cancer
- Special Issue Exploring the biological mechanism of human diseases based on MultiOmics Technology - Part II
- Dynamic changes in lactate-related genes in microglia and their role in immune cell interactions after ischemic stroke
- A prognostic model correlated with fatty acid metabolism in Ewing’s sarcoma based on bioinformatics analysis
- Red cell distribution width predicts early kidney injury: A NHANES cross-sectional study
- Special Issue Diabetes mellitus: pathophysiology, complications & treatment
- Nutritional risk assessment and nutritional support in children with congenital diabetes during surgery
- Correlation of the differential expressions of RANK, RANKL, and OPG with obesity in the elderly population in Xinjiang
- A discussion on the application of fluorescence micro-optical sectioning tomography in the research of cognitive dysfunction in diabetes
- A review of brain research on T2DM-related cognitive dysfunction
- Metformin and estrogen modulation in LABC with T2DM: A 36-month randomized trial
- Special Issue Innovative Biomarker Discovery and Precision Medicine in Cancer Diagnostics
- CircASH1L-mediated tumor progression in triple-negative breast cancer: PI3K/AKT pathway mechanisms