Abstract
Two new Cu(ii)-based coordination polymers (CPs) with the chemical formulae of [CuL(bimmb)0.5] n (1, bimmb is 4-bis(imidazole-1-ylmethyl)benzene) and [CuL(bbibp)] n (2, bbibp is 4,4'-bis(benzoimidazo-1-yl)biphenyl) have been successfully prepared by the reaction of 3,3'-azodibenzoic acid (H2L) ligand and metal salt Cu(NO3)2·3H2O in the presence of different nitrogen-donor coligands. In the bioactive evaluation experiments, the treatment activity of the prepared CPs against periodontitis was examined. Enzyme-linked immunosorbent assay detection was used to test interleukin-18 (IL-18) and IL-6 contents released into the gingival crevicular fluid after the treatment of above CPs, and the real-time reverse transcription polymerase chain reaction was subsequently performed to measure the relative expression level of HmuY gene in the Porphyromonas gingivalis.
1 Introduction
Periodontitis is a chronic infectious disease caused by the host’s immune response induced by pathogenic microorganisms in the oral cavity [1]. The interaction between the microorganisms and the host determines the course and progress of the disease. The mechanism of inflammation and destruction of periodontal tissue is still not very clear [2]. At present, it is believed that the oral pathogenic bacterial infection is the initiating factor of periodontitis, but most of the periodontal soft and hard tissue damage is mainly caused by the imbalance of the host’s immune response to the infection [3]. During this process, proinflammatory cytokines such as interleukin-6 (IL-6) and IL-18 could lead to and further amplify the inflammatory response.
The synthesis along with the design of coordination polymers (CPs) has gained extensive attention due to their interesting structures as well as underlying applications in biomedicine, adsorption, and luminescence [4,5,6,7,8]. The final goal of coordination chemistry is to control the architectures of the target products and explore the correlations between performances and structures. Despite crystal engineering providing us with a useful tool for designing and establishing the desired coordination skeletons, the proper design together with the generation of CPs containing the expected performances and architectures are still a long-term challenge [9,10,11]. The architectural diversity of above materials is generally affected by many factors, such as properties of the organic ligands, metal and ligand ratio, metal ions, counter anion, and pH [12,13,14]. Among the above-mentioned factors, the choice of proper ligands is a very significant factor to create the required products. The coordination manners, stiffness, length, functional substituents, or groups of the organic ligands have an essential influence on the ultimate architecture of CPs. As is known to all, the mixed-ligand system constructed from two or more ligands gives more possibilities for the establishment of CPs with strange topologies [15,16,17]. One of the most effective aspects is the combination of a variety of carboxylates and auxiliary ligands involving neutral pyridine, in which carboxylate ligands balance the metal center’s positive charge and produce secondary structural units, and the auxiliary ligands mediate and meet the metal center’s coordination surroundings [18]. In the present study, by exploiting the mixed-ligand generation approach, two fresh CPs involving Cu(ii), that is, [CuL(bbibp)] n (2, bbibp is 4,4'-bis(benzoimidazo-1-yl)biphenyl) and [CuL(bimmb)0.5] n (1, bimmb is 4-bis(imidazole-1-ylmethyl)benzene), have been generated with the reaction between 3,3'-azodibenzoic acid (H2L) ligand and metal salt Cu(NO3)2·3H2O in the presence of various nitrogen-donor coligands. The as-generated two CPS are characterized through the IR spectra, elemental analysis (EA), the diffraction of single-crystal X-ray, thermogravimetric analysis (TGA), and PXRD. In the biostudy, the treatment effect against periodontitis was assessed, and then the mechanism was explored.
2 Experimental
2.1 Chemicals and measurements
All of the reagents and chemicals utilized in this research were purchased from market source, which could be used with no modification. For exploring the elements of carbon, nitrogen, as well as hydrogen, the EA1110 CHNS was used. Varian 800 FT-IR (USA, Varian Company) spectrophotometer was used for recording IR spectra utilizing potassium bromide (KBr) pellets between 400 and 4,000 cm–1. The PANalytical X’Pert PRO MPD system (Netherlands, PANalytical Company) (PW3040/60) was utilized to investigate the PXRD. The thermal analysis was implemented using the Netzsch STA-409 PC (Germany, NETZSCH-Gerätebau GmbH) thermoanalyzer with 10°C min−1 increasing rate and 30 cm3 min−1 flow rate of (N2). JASCO FP-8600 (Japan, JASCO Company) fluorescence spectrophotometer was used for recording the luminescent spectra.
2.2 Preparation and characterization for [CuL(bimmb)0.5] n (1, bimmb = 4-bis(imidazole-1-ylmethyl)benzene) and [CuL(bbibp)] n (2)
The mixture synthesized from 0.024 g and 0.1 mmol Cu(NO3)2·3H2O, 0.1 mmol and 0.027 g H2L, 0.019 g and 0.1 mmol bimmb, 6 mL of acetonitrile, and 3 mL N,N-dimethylformamide (DMF) was stirred under the ultrasonic conditions for 30 min. The solution was subsequently transformed into the stainless steel container lining by Teflon (15 mL), placed, and heated to a temperature of 130°C for 72 h. Afterward, cooling the container to room temperature (RT) at 5°C h−1. The blue massive crystals were gathered at 61.2% yield (according to Cu(NO3)2·3H2O). The calculated elemental analysis result for C21H15CuN4O4: N, 12.43, C, 55.94, and H, 3.35%. Found: N, 12.87, C, 55.96, and H, 3.52%. IR (KBr disk, cm−1): 656 (w), 690 (s), 771 (s), 800 (m), 1,108 (m), 1,400 (s), 1,430 (m), 1,522 (m), 1,575 (m), 1,634 (s), 2,331 (w), and 2,361 (w).
The mixture formed by 0.024 g and 0.1 mmol Cu(NO3)2·3H2O, 0.1 mmol and 0.027 g H2L, 0.038 g and 0.1 mmol bbibp, 4 mL of H2O, and 4 mL of DMF was stirred under the ultrasonic conditions for 30 min. The solution was subsequently transformed into the stainless steel container lining by Teflon (15 mL), placed, and heated to a temperature of 130°C for 72 h. Afterward, cooling the container to RT at 5°C·h−1. The dark blue crystal was harvested at 54.2% yield (in accordance with Cu(NO3)2·3H2O). The calculated elemental analysis result for C40H26CuN6O4: N, 11.70, C, 66.89, and H, 3.65%. Found: N, 11.77, C, 66.33, and H, 3.64%. IR (KBr disk, cm−1): 676 (w), 687 (m), 783 (s), 829 (m), 1,239 (s), 1,295 (m), 1,336 (m), 1,403 (s), 1,456 (m), 1,508 (s), 1,548 (s), 1,596 (s), 3,270 (w), and 3,520 (w).
The diffractometer of SuperNova was used with the aim of gaining the X-ray data. CrysAlisPro was used for the exploration of the strength data, which was subsequently converted to the HKL files. The direct mean-based SHELXS together with the least-squares strategy based SHELXL-2014 software (Germany, Goeltingen University) were, respectively, used for the synthesis and modification of original architectural modes. The anisotropic parameters were mixed after using the whole non-H atoms. Eventually, the entire H-atoms could be fixed on the C atoms that they are connected to in geometry with AFIX commands. The complexes’ optimization details together with their parameters of crystallography were listed in Table 1.
The complexes’ optimization details together with their parameters of crystallography
| Identification code | 1 | 2 |
| Empirical formula | C21H15CuN4O4 | C40H26CuN6O4 |
| Formula weight | 450.91 | 718.21 |
| Temperature (K) | 173.0 | 173.0 |
| Crystal system | Monoclinic | Monoclinic |
| Space group | P21/c | C2/c |
| a (Å) | 10.9632(13) | 16.624(2) |
| b (Å) | 19.852(2) | 18.716(3) |
| c (Å) | 10.6923(15) | 13.143(4) |
| α (°) | 90 | 90 |
| β (°) | 109.231(2) | 127.675(11) |
| γ (°) | 90 | 90 |
| Volume (Å3) | 2197.2(5) | 3236.3(13) |
| Z | 4 | 4 |
| ρ calc (g cm−3) | 1.363 | 1.474 |
| μ (mm−1) | 1.027 | 0.730 |
| Data/restraints/parameters | 4,161/12/271 | 2,815/0/231 |
| Goodness-of-fit on F 2 | 1.042 | 1.066 |
| Final R indexes (I ≥ 2σ(I)) | R 1 = 0.0573 and ωR 2 = 0.1506 | R 1 = 0.0491 and ωR 2 = 0.1351 |
| Final R indexes (all data) | R 1 = 0.0909 and ωR 2 = 0.1741 | R 1 = 0.0563 and ωR 2 = 0.1403 |
| Largest diff. peak/hole (e/Å−3) | 0.59/−0.77 | 0.41/−0.80 |
| Cambridge crystallographic data centre | 2127148 | 2127149 |
2.3 Enzyme-linked immunosorbent assay (ELISA)
ELISA test was used for detecting the IL-18 content together with IL-6 content released into the gingival crevicular fluid after treating via compounds. This study was performed completely following the instructions after minor modifications. Shortly, 50 Sprague-Dawley rats (from 6 to 8 week old and between 200 and 220 g) were used in the current research; they were all provided by Experimental Animal Research Center of Nanjing University. All of the rats were stored under a temperature between 20 and 25°C, with 45% humidity with free water and free food prior to conducting the treatment of complexes. All of the rats were classified as four groups, namely model group (with n of 10), control group (with n of 10), complex 1 treatment group (with n of 10), and complex 2 treatment group (with n of 10). In complex treatment and model groups, the Porphyromonas gingivalis was injected to rats to produce a periodontitis model. Complexes were subsequently injected intraperitoneally to implement treatment at 5 mg kg−1 concentration. All of the implementation in the study were authorized through the Ethics Committee of the Experimental Animal Research Center of Nanjing University. After accomplishing the specific treatment, the gingival crevicular fluid in various groups was gathered, and the ELISA kit was used for the detection of the IL-18 and IL-6 contents in the gingival crevicular fluid.
2.4 Real-time reverse transcription polymerase chain reaction (RT-PCR) assay
In this study, a real-time RT-PCR assay was performed to measure the relative expression level of HmuY gene in the P. gingivalis after treating through the as-prepared compound. This research was conducted totally based on instructions after slight change. In short, P. gingivalis were cultivated in a medium of tryptic soy broth (TSB), the bacterial cells in the medium of TSB were harvested and inoculated into the culture plates of cell. The wells were added with compound with a variety of concentrations (namely 10, 20, and 50 ng mL−1). After finishing the specific treatment, the P. gingivalis were gathered, cleaned, the TRIzol Reagent was used for the extraction of overall RNA in P. gingivalis. Moreover, the overall RNA concentration was detected after determining the OD260/OD280 ratio, and it was reverse transcribed subsequently into the cDNA through utilizing the high-capacity cDNA reverse transcription kit. Eventually, the relative expression of HmuY gene in P. gingivalis was detected with Synergy Brands Synergy Brands, Inc Green Master Mix after treating via the complex. A 2−ΔΔCt approach was utilized to perform relative quantification for three times. All the results were described with mean ± standard deviation.
3 Results and discussion
3.1 Crystal structures
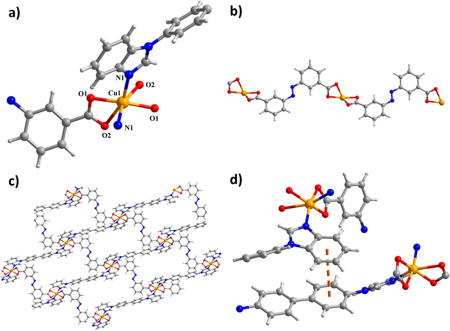
The diffraction of single-crystal X-ray suggested that 1 belongs to the monoclinic space group of P21/c displaying a three-fold interpenetrated topological skeleton of pcu. Based on Figure 1a, its structural unit is composed of a separated site of Cu(ii) in crystallography, 0.5 bimb, and a H2L. The distance of Cu–N bond is 2.055(2) Å, and the separation of Cu–O bond is varying from 2.031(2) to 2.082(2) Å. Each of the Cu(ii) atom is a five-coordination manner, which is coordinated via four O atoms provided by four diverse H2L and a N atom offered via a separated bimb, revealing a pyramidal coordination structure of {CuNO4}. The H2L is fully protonated and reveals a μ4-(κ1–κ1)-(κ1–κ1) coordination manner. The Cu1 connects to the symmetry-related Cu1 via four carboxylic acid groups of H2L to produce the famous paddle-wheel {Cu2(O2C)4} cluster. In terms of topology, each subunit of {Cu2(O2C)4} is linked with six identical subunits {Cu2(O2C)4} through four ligands of H2L together with two bimmb, generating a six-join net (Figure 1b). This linkage in directions a, b, and c produces a three-dimensional (3D) structure, and H-bonds exist inside the 3D skeleton to make the skeleton more stable. In meantime, along axis c, and there exist a large gap. According to Figure 1c, there also is a three-fold interpenetration. In the above interspersed architecture, there exist a weak force. The topology as the whole architecture can be exhibited in Figure 1d.

(a) The 1’s structural unit. (b) The six-linked node of compound 1. (c) The compound 1’s three-fold interpenetration. (d) The pcu network of complex 1.
The complex 2 reveals a two-fold interpenetrated topological skeleton of sql, and it belongs to the monoclinic C2/c space group, and its architecture is revealed next in Figure 2a. The fundamental unit of 2 is constructed from a center of Cu(ii), a H2L carboxylate ligand, and a bbibp ligand containing nitrogen. The bond distance of Cu–N is 2.075(3) Å, and the separation of Cu–O bond is between 2.051(17) and 2.322(18) Å. Each of the Cu(ii) center is six-coordinated through a coordination structure of octahedron, composed of four O atoms provided by two separated H2L and two nitrogen atoms belong to two separated bbibp. Each of the H2L ligand is bridged to a neighboring H2L via two Cu(ii) ions, and they produce a jagged one-dimensional (1D) [Cu-L] n chain (Figure 2b), and the bbibp is connected to a consecutive ligand of bbibp through two Cu(ii) ions. Neighboring [Cu-L] 1D chain is stitched via single [Cu-bbibp] n chain to generate a fundamental two-dimensional (2D) planar architecture (Figure 2c). Two such 2D planar architectures interspersed with each other, there exist a weak force. The compound 2 creates a 2D + 2D → 2D architecture by a weak interaction among the layers (Figure 2d). In terms of topology, the 2’s skeleton can be rationalized to a four-linked sql network with (44.62) point symbol.

(a) The 2’s fundamental unit. (b) The 1D Cu–L chain of compound 2. (c) The 2’s 2D net. (d) The p–p stacking interactions between consecutive layers.
For the sake of examining the products’ phase purity, the investigation of powder X-ray diffraction (PXRD) for the as-prepared complexes was finished (Figure 3a). Between the PXRD patterns peak positions of the simulation and experiment, there exist a well accordance, and this result suggests that the crystal architectures is a real representation of massive crystal products. The strength differences may be resulted from crystal samples preferred selection. Simultaneously, for exploring the compounds’ thermal stabilities, TGA curves for the four compounds were exhibited in Figure 3b. In the nitrogen flow, the samples were heated with 10°C min−1 increasing rate. For the 1, when the temperature reaches 400°C, the sample was stable. The 1 quickly appears weightlessness between 400 and 440°C, and this is probably due to the architectural collapse; from 450 to 800°C, there is a weightlessness. There is a difference between 68.9% of total mass loss and the removal of the organic matter (with a calculated value of 83.2%), and this may be on account of the sample is not decomposed fully. The compound 2 naturally loses weight in a temperature between 50 and 380°C. A rapid weightlessness was subsequently detected when the temperature up to 400°C, and this is due to the architectural collapse; between 400 and 800°C, it gradually lost weight. An 89.1% of total mass loss is associated with the removal of organic species (with a calculated value of 89.5%).

(a) The complexes’ PXRD manners and their (b) TGA curves.
3.2 Significantly reduced IL-6 and IL-18 contents released into the gingival crevicular fluid after compound exposure
During periodontitis, P. gingivalis usually cause an overinflammatory response, exhibited as the upregulated IL-18 and IL-6 levels in the gingival crevicular fluid. Hence, in the study, the IL-18 and IL-6 contents released into the gingival crevicular fluid were detected through ELSA detection. According to Figure 4, the model group has a much higher IL-18 and IL-6 contents in the gingival crevicular fluid compared with the control group. There exist a marked difference between the above groups, where the P value is less than 0.005. After complex 1 treatment, the IL-18 and IL-6 levels released into the gingival crevicular fluid were remarkably suppressed. In comparison with 1, the 2 revealed nearly no effect on the IL-18 and IL-6 contents released in the gingival crevicular fluid.

Complex markedly downregulate the releasing of IL-18 together with IL-6 into the gingival crevicular fluid. The P. gingivalis was injected into animals to create a periodontitis model. The treatment was performed after the addition of compounds at 5 mg/kg concentration. The gingival crevicular fluid in various groups was gathered, and the ELISA kit was used to test the IL-18 and IL-6 contents in the gingival crevicular fluid. Control refers to the normal animal without treatment.
3.3 Strongly inhibited relative expression of the HmuY gene in P. gingivalis
In the previous research, we demonstrated that 1 was superior to complex 2 on suppressing the releasing of IL-18 together with IL-6 into the gingival crevicular fluid. As the HmuY gene was significant for the P. gingivalis survival, the real-time RT-PCR was deeply implemented in the study to test the relative expression of HmuY gene in P. gingivalis. Figure 5 shows that, in contrast to control group, 1 could downregulate the relative expression of HmuY gene in P. gingivalis in a dose-dependent manner. However, the 2 exhibited nearly no effect on the relative expression of HmuY gene in P. gingivalis. In accordance with the earlier outcomes, 1 revealed much stronger bioactivity than the complex 2.

Compound strongly inhibited the relative expression of HmuY gene in P. gingivalis. The P. gingivalis was cultivated in TSB medium, and the treatment was carried out after the adding compounds at 10, 20, and 50 ng mL concentration. The relative expression of HmuY gene in the P. gingivalis was tested using the RT-PCR detection.
4 Conclusion
On the whole, we have produced two fresh CPs involving Cu(ii) with the reaction between the corresponding metal salts with the 3,3'-azodibenzoic acid (H2L) ligand in the existence of various nitrogen-donor coligands. The as-generated two CPS are characterized through the EA and the diffraction of single crystal X-ray. The diffraction of single crystal X-ray suggests that 1 exhibits a uninodal six-linked 3D topology skeleton of pcu with (412.63) point symbol, but 2 has an uninodal four-linked topology skeleton of sql. With ELISA detection, the 1 could markedly decrease the releasing of IL-18 and IL-6 into the gingival crevicular fluid. Afterward, the relative expression level of HmuY gene in the P. gingivalis was also suppressed via complex 1, instead of 2. Eventually, complex 1 was superior to 2 on the treatment of periodontitis through suppressing inflammatory cytokines releasing and suppressing the relative expression level of HmuY gene in P. gingivalis.
-
Funding information: This study was supported by the National Natural Science Foundation of China (81600883).
-
Author contributions: Y.X. – data curation and writing – review and editing; Z.W. – validation and writing – original draft; X.Z. – formal analysis; and X.L. – software and resources.
-
Conflict of interest: The author(s) declare(s) that there is no conflict of interest regarding the publication of this article.
-
Ethical approval: The conducted research is not related to either human or animal use.
-
Data availability statement: The data included in this manuscript could be acquired from the corresponding authors via reasonable requests.
References
[1] Slots J. Periodontitis: facts, fallacies and the future. Periodontol 2000. 2017;75:7–23.10.1111/prd.12221Search in Google Scholar PubMed
[2] Bartold PM. Lifestyle and periodontitis: the emergence of personalized periodontics. Periodontol 2000. 2018;78:7–11.10.1111/prd.12237Search in Google Scholar PubMed
[3] Cobb CM. Lasers and the treatment of periodontitis: the essence and the noise. Periodontol 2000. 2017;75:205–95.10.1111/prd.12137Search in Google Scholar PubMed
[4] Zhang ZZ, Lee GH, Yang CI. The use of a semi-flexible bipyrimidyl ligand for the construction of azide-based coordination polymers: structural diversities and magnetic properties. Dalt Trans. 2018;47:16709–22.10.1039/C8DT03928CSearch in Google Scholar PubMed
[5] Feng X, Feng YQ, Liu L, Wang LY, Song HL, Ng SW. A series of Zn-4f heterometallic coordination polymers and a zinc complex containing a flexible mixed donor dicarboxylate ligand. Dalt Trans. 2013;42:7741–54.10.1039/c3dt33002hSearch in Google Scholar PubMed
[6] Feng X, Ma LF, Liu L, Xie SY, Wang LY. A series of heterometallic three dimensional frameworks constructed from imidazole dicarboxylate: structures, luminescence and magnetic property. Cryst Growth Des. 2013;13:4469–79.10.1021/cg4009587Search in Google Scholar
[7] Rancan M, Armelao L. Exploiting dimensional variability in coordination polymers: Solvent promotes reversible conversion between 3D and chiral 1D architectures. Chem Commun. 2015;51:12947–9.10.1039/C5CC04349BSearch in Google Scholar
[8] Fan L, Zhao D, Li B, Wang F, Deng Y, Peng Y, et al. Luminescent binuclear zinc(ii) organic framework as bifunctional water-stable chemosensor for efficient detection of antibiotics and Cr(vi) anions in water. Spectrochim Acta A. 2022;264:120232.10.1016/j.saa.2021.120232Search in Google Scholar PubMed
[9] Fan L, Zhao D, Zhang H, Wang F, Li B, Yang L, et al. A hydrolytically stable amino-functionalized zinc(ii) metal-organic framework containing nanocages for selective gas adsorption and luminescent sensing. Micropor Mesopor Mat. 2021;326:111396.10.1016/j.micromeso.2021.111396Search in Google Scholar
[10] Han Z, Yu Y, Zhang Y, Dong B, Kong A, Shan Y. Al-coordination polymer-derived nanoporous nitrogen-doped carbon microfibers as metal-free catalysts for oxygen electroreduction and acetalization reactions. J Mater Chem A. 2015;3:23716–24.10.1039/C5TA05605ESearch in Google Scholar
[11] Li RF, Li RH, Liu XF, Chang XH, Feng X. Lanthanide complexes based on a conjugated pyridine carboxylate ligand: structures, luminescence and magnetic properties. RSC Adv. 2020;10:6192–9.10.1039/C9RA10975GSearch in Google Scholar PubMed PubMed Central
[12] Li RF, Zhang YW, Liu XF, Chang XH, Feng X. The synthesis, structural elucidation and fluorescent sensitization detection to Hg2 + based on two lanthanide-organic complexes. Inorg Chim Acta. 2020;502:119370.10.1016/j.ica.2019.119370Search in Google Scholar
[13] Senthil Raja D, Ramachandran E, Bhuvanesh NSP, Natarajan K. Synthesis, structure and in vitro pharmacological evaluation of a novel 2-oxo-1,2-dihydroquinoline-3-carbaldehyde (2′-methylbenzoyl) hydrazone bridged copper(ii) coordination polymer. Eur J Med Chem. 2013;64:148–59.10.1016/j.ejmech.2013.03.040Search in Google Scholar PubMed
[14] Qin L, Hu JS, Li YZ, Zheng HG. Three new coordination polymers based on one reduced symmetry tripodal Linker. Cryst Growth Des. 2011;11:3115–21.10.1021/cg2003673Search in Google Scholar
[15] Ren YN, Xu W, Zhou LX, Zheng YQ. Efficient tetracycline adsorption and photocatalytic degradation of rhodamine B by uranyl coordination polymer. J Solid State Chem. 2017;251:105–12.10.1016/j.jssc.2017.04.005Search in Google Scholar
[16] Wu B, Zhang WH, Ren ZG, Lang JP. A 1D anionic coordination polymer showing superior Congo Red sorption and its dye composite exhibiting remarkably enhanced photocurrent response. Chem Commun. 2015;51:14893–96.10.1039/C5CC05990ASearch in Google Scholar PubMed
[17] Sui Q, Yuan Y, Yang NN, Li X, Gong T, Gao EQ, et al. Coordination-modulated piezochromism in metal-viologen materials. J Mater Chem C. 2017;5:12400–8.10.1039/C7TC04208FSearch in Google Scholar
[18] Xue M, Zhu GS, Li YX, Zhao XJ, Jin Z, Kang EH, et al. Structure, hydrogen storage, and luminescence properties of three 3D metal–organic frameworks with NbO and PtS topologies. Cryst Growth Des. 2008;8:2478–83.10.1021/cg8001114Search in Google Scholar
© 2021 Yipu Xu et al., published by De Gruyter
This work is licensed under the Creative Commons Attribution 4.0 International License.
Articles in the same Issue
- Regular Articles
- Qualitative and semi-quantitative assessment of anthocyanins in Tibetan hulless barley from different geographical locations by UPLC-QTOF-MS and their antioxidant capacities
- Effect of sodium chloride on the expression of genes involved in the salt tolerance of Bacillus sp. strain “SX4” isolated from salinized greenhouse soil
- GC-MS analysis of mango stem bark extracts (Mangifera indica L.), Haden variety. Possible contribution of volatile compounds to its health effects
- Influence of nanoscale-modified apatite-type calcium phosphates on the biofilm formation by pathogenic microorganisms
- Removal of paracetamol from aqueous solution by containment composites
- Investigating a human pesticide intoxication incident: The importance of robust analytical approaches
- Induction of apoptosis and cell cycle arrest by chloroform fraction of Juniperus phoenicea and chemical constituents analysis
- Recovery of γ-Fe2O3 from copper ore tailings by magnetization roasting and magnetic separation
- Effects of different extraction methods on antioxidant properties of blueberry anthocyanins
- Modeling the removal of methylene blue dye using a graphene oxide/TiO2/SiO2 nanocomposite under sunlight irradiation by intelligent system
- Antimicrobial and antioxidant activities of Cinnamomum cassia essential oil and its application in food preservation
- Full spectrum and genetic algorithm-selected spectrum-based chemometric methods for simultaneous determination of azilsartan medoxomil, chlorthalidone, and azilsartan: Development, validation, and application on commercial dosage form
- Evaluation of the performance of immunoblot and immunodot techniques used to identify autoantibodies in patients with autoimmune diseases
- Computational studies by molecular docking of some antiviral drugs with COVID-19 receptors are an approach to medication for COVID-19
- Synthesis of amides and esters containing furan rings under microwave-assisted conditions
- Simultaneous removal efficiency of H2S and CO2 by high-gravity rotating packed bed: Experiments and simulation
- Design, synthesis, and biological activities of novel thiophene, pyrimidine, pyrazole, pyridine, coumarin and isoxazole: Dydrogesterone derivatives as antitumor agents
- Content and composition analysis of polysaccharides from Blaps rynchopetera and its macrophage phagocytic activity
- A new series of 2,4-thiazolidinediones endowed with potent aldose reductase inhibitory activity
- Assessing encapsulation of curcumin in cocoliposome: In vitro study
- Rare norisodinosterol derivatives from Xenia umbellata: Isolation and anti-proliferative activity
- Comparative study of antioxidant and anticancer activities and HPTLC quantification of rutin in white radish (Raphanus sativus L.) leaves and root extracts grown in Saudi Arabia
- Comparison of adsorption properties of commercial silica and rice husk ash (RHA) silica: A study by NIR spectroscopy
- Sodium borohydride (NaBH4) as a high-capacity material for next-generation sodium-ion capacitors
- Aroma components of tobacco powder from different producing areas based on gas chromatography ion mobility spectrometry
- The effects of salinity on changes in characteristics of soils collected in a saline region of the Mekong Delta, Vietnam
- Synthesis, properties, and activity of MoVTeNbO catalysts modified by zirconia-pillared clays in oxidative dehydrogenation of ethane
- Synthesis and crystal structure of N,N′-bis(4-chlorophenyl)thiourea N,N-dimethylformamide
- Quantitative analysis of volatile compounds of four Chinese traditional liquors by SPME-GC-MS and determination of total phenolic contents and antioxidant activities
- A novel separation method of the valuable components for activated clay production wastewater
- On ve-degree- and ev-degree-based topological properties of crystallographic structure of cuprite Cu2O
- Antihyperglycemic effect and phytochemical investigation of Rubia cordifolia (Indian Madder) leaves extract
- Microsphere molecularly imprinted solid-phase extraction for diazepam analysis using itaconic acid as a monomer in propanol
- A nitric oxide-releasing prodrug promotes apoptosis in human renal carcinoma cells: Involvement of reactive oxygen species
- Machine vision-based driving and feedback scheme for digital microfluidics system
- Study on the application of a steam-foam drive profile modification technology for heavy oil reservoir development
- Ni–Ru-containing mixed oxide-based composites as precursors for ethanol steam reforming catalysts: Effect of the synthesis methods on the structural and catalytic properties
- Preparation of composite soybean straw-based materials by LDHs modifying as a solid sorbent for removal of Pb(ii) from water samples
- Synthesis and spectral characterizations of vanadyl(ii) and chromium(iii) mixed ligand complexes containing metformin drug and glycine amino acid
- In vitro evaluation of lactic acid bacteria with probiotic activity isolated from local pickled leaf mustard from Wuwei in Anhui as substitutes for chemical synthetic additives
- Utilization and simulation of innovative new binuclear Co(ii), Ni(ii), Cu(ii), and Zn(ii) diimine Schiff base complexes in sterilization and coronavirus resistance (Covid-19)
- Phosphorylation of Pit-1 by cyclin-dependent kinase 5 at serine 126 is associated with cell proliferation and poor prognosis in prolactinomas
- Molecularly imprinted membrane for transport of urea, creatinine, and vitamin B12 as a hemodialysis candidate membrane
- Optimization of Murrayafoline A ethanol extraction process from the roots of Glycosmis stenocarpa, and evaluation of its Tumorigenesis inhibition activity on Hep-G2 cells
- Highly sensitive determination of α-lipoic acid in pharmaceuticals on a boron-doped diamond electrode
- Synthesis, chemo-informatics, and anticancer evaluation of fluorophenyl-isoxazole derivatives
- In vitro and in vivo investigation of polypharmacology of propolis extract as anticancer, antibacterial, anti-inflammatory, and chemical properties
- Topological indices of bipolar fuzzy incidence graph
- Preparation of Fe3O4@SiO2–ZnO catalyst and its catalytic synthesis of rosin glycol ester
- Construction of a new luminescent Cd(ii) compound for the detection of Fe3+ and treatment of Hepatitis B
- Investigation of bovine serum albumin aggregation upon exposure to silver(i) and copper(ii) metal ions using Zetasizer
- Discoloration of methylene blue at neutral pH by heterogeneous photo-Fenton-like reactions using crystalline and amorphous iron oxides
- Optimized extraction of polyphenols from leaves of Rosemary (Rosmarinus officinalis L.) grown in Lam Dong province, Vietnam, and evaluation of their antioxidant capacity
- Synthesis of novel thiourea-/urea-benzimidazole derivatives as anticancer agents
- Potency and selectivity indices of Myristica fragrans Houtt. mace chloroform extract against non-clinical and clinical human pathogens
- Simple modifications of nicotinic, isonicotinic, and 2,6-dichloroisonicotinic acids toward new weapons against plant diseases
- Synthesis, optical and structural characterisation of ZnS nanoparticles derived from Zn(ii) dithiocarbamate complexes
- Presence of short and cyclic peptides in Acacia and Ziziphus honeys may potentiate their medicinal values
- The role of vitamin D deficiency and elevated inflammatory biomarkers as risk factors for the progression of diabetic nephropathy in patients with type 2 diabetes mellitus
- Quantitative structure–activity relationship study on prolonged anticonvulsant activity of terpene derivatives in pentylenetetrazole test
- GADD45B induced the enhancing of cell viability and proliferation in radiotherapy and increased the radioresistance of HONE1 cells
- Cannabis sativa L. chemical compositions as potential plasmodium falciparum dihydrofolate reductase-thymidinesynthase enzyme inhibitors: An in silico study for drug development
- Dynamics of λ-cyhalothrin disappearance and expression of selected P450 genes in bees depending on the ambient temperature
- Identification of synthetic cannabinoid methyl 2-{[1-(cyclohexylmethyl)-1H-indol-3-yl] formamido}-3-methylbutanoate using modern mass spectrometry and nuclear magnetic resonance techniques
- Study on the speciation of arsenic in the genuine medicinal material honeysuckle
- Two Cu(ii)-based coordination polymers: Crystal structures and treatment activity on periodontitis
- Conversion of furfuryl alcohol to ethyl levulinate in the presence of mesoporous aluminosilicate catalyst
- Review Articles
- Hsien Wu and his major contributions to the chemical era of immunology
- Overview of the major classes of new psychoactive substances, psychoactive effects, analytical determination and conformational analysis of selected illegal drugs
- An overview of persistent organic pollutants along the coastal environment of Kuwait
- Mechanism underlying sevoflurane-induced protection in cerebral ischemia–reperfusion injury
- COVID-19 and SARS-CoV-2: Everything we know so far – A comprehensive review
- Challenge of diabetes mellitus and researchers’ contributions to its control
- Advances in the design and application of transition metal oxide-based supercapacitors
- Color and composition of beauty products formulated with lemongrass essential oil: Cosmetics formulation with lemongrass essential oil
- The structural chemistry of zinc(ii) and nickel(ii) dithiocarbamate complexes
- Bioprospecting for antituberculosis natural products – A review
- Recent progress in direct urea fuel cell
- Rapid Communications
- A comparative morphological study of titanium dioxide surface layer dental implants
- Changes in the antioxidative properties of honeys during their fermentation
- Erratum
- Erratum to “Corrosion study of copper in aqueous sulfuric acid solution in the presence of (2E,5E)-2,5-dibenzylidenecyclopentanone and (2E,5E)-bis[(4-dimethylamino)benzylidene]cyclopentanone: Experimental and theoretical study”
- Erratum to “Modified TDAE petroleum plasticiser”
- Corrigendum
- Corrigendum to “A nitric oxide-releasing prodrug promotes apoptosis in human renal carcinoma cells: Involvement of reactive oxygen species”
- Special Issue on 3rd IC3PE 2020
- Visible light-responsive photocatalyst of SnO2/rGO prepared using Pometia pinnata leaf extract
- Antihyperglycemic activity of Centella asiatica (L.) Urb. leaf ethanol extract SNEDDS in zebrafish (Danio rerio)
- Selection of oil extraction process from Chlorella species of microalgae by using multi-criteria decision analysis technique for biodiesel production
- Special Issue on the 14th Joint Conference of Chemistry (14JCC)
- Synthesis and in vitro cytotoxicity evaluation of isatin-pyrrole derivatives against HepG2 cell line
- CO2 gas separation using mixed matrix membranes based on polyethersulfone/MIL-100(Al)
- Effect of synthesis and activation methods on the character of CoMo/ultrastable Y-zeolite catalysts
- Special Issue on Electrochemical Amplified Sensors
- Enhancement of graphene oxide through β-cyclodextrin composite to sensitive analysis of an antidepressant: Sulpiride
- Investigation of the spectroelectrochemical behavior of quercetin isolated from Zanthoxylum bungeanum
- An electrochemical sensor for high sensitive determination of lysozyme based on the aptamer competition approach
- An improved non-enzymatic electrochemical sensor amplified with CuO nanostructures for sensitive determination of uric acid
- Special Issue on Applied Biochemistry and Biotechnology 2020
- Fast discrimination of avocado oil for different extracted methods using headspace-gas chromatography-ion mobility spectroscopy with PCA based on volatile organic compounds
- Effect of alkali bases on the synthesis of ZnO quantum dots
- Quality evaluation of Cabernet Sauvignon wines in different vintages by 1H nuclear magnetic resonance-based metabolomics
- Special Issue on the Joint Science Congress of Materials and Polymers (ISCMP 2019)
- Diatomaceous Earth: Characterization, thermal modification, and application
- Electrochemical determination of atenolol and propranolol using a carbon paste sensor modified with natural ilmenite
- Special Issue on the Conference of Energy, Fuels, Environment 2020
- Assessment of the mercury contamination of landfilled and recovered foundry waste – a case study
- Primary energy consumption in selected EU Countries compared to global trends
- Modified TDAE petroleum plasticiser
- Use of glycerol waste in lactic acid bacteria metabolism for the production of lactic acid: State of the art in Poland
- Topical Issue on Applications of Mathematics in Chemistry
- Theoretical study of energy, inertia and nullity of phenylene and anthracene
- Banhatti, revan and hyper-indices of silicon carbide Si2C3-III[n,m]
- Topical Issue on Agriculture
- Occurrence of mycotoxins in selected agricultural and commercial products available in eastern Poland
- Special Issue on Ethnobotanical, Phytochemical and Biological Investigation of Medicinal Plants
- Acute and repeated dose 60-day oral toxicity assessment of chemically characterized Berberis hispanica Boiss. and Reut in Wistar rats
- Phytochemical profile, in vitro antioxidant, and anti-protein denaturation activities of Curcuma longa L. rhizome and leaves
- Antiplasmodial potential of Eucalyptus obliqua leaf methanolic extract against Plasmodium vivax: An in vitro study
- Prunus padus L. bark as a functional promoting component in functional herbal infusions – cyclooxygenase-2 inhibitory, antioxidant, and antimicrobial effects
- Molecular and docking studies of tetramethoxy hydroxyflavone compound from Artemisia absinthium against carcinogens found in cigarette smoke
- Special Issue on the Joint Science Congress of Materials and Polymers (ISCMP 2020)
- Preparation of cypress (Cupressus sempervirens L.) essential oil loaded poly(lactic acid) nanofibers
- Influence of mica mineral on flame retardancy and mechanical properties of intumescent flame retardant polypropylene composites
- Production and characterization of thermoplastic elastomer foams based on the styrene–ethylene–butylene–styrene (SEBS) rubber and thermoplastic material
- Special Issue on Applied Chemistry in Agriculture and Food Science
- Impact of essential oils on the development of pathogens of the Fusarium genus and germination parameters of selected crops
- Yield, volume, quality, and reduction of biotic stress influenced by titanium application in oilseed rape, winter wheat, and maize cultivations
- Influence of potato variety on polyphenol profile composition and glycoalcaloid contents of potato juice
- Carryover effect of direct-fed microbial supplementation and early weaning on the growth performance and carcass characteristics of growing Najdi lambs
- Special Issue on Applied Biochemistry and Biotechnology (ABB 2021)
- The electrochemical redox mechanism and antioxidant activity of polyphenolic compounds based on inlaid multi-walled carbon nanotubes-modified graphite electrode
- Study of an adsorption method for trace mercury based on Bacillus subtilis
- Special Issue on The 1st Malaysia International Conference on Nanotechnology & Catalysis (MICNC2021)
- Mitigating membrane biofouling in biofuel cell system – A review
- Mechanical properties of polymeric biomaterials: Modified ePTFE using gamma irradiation
Articles in the same Issue
- Regular Articles
- Qualitative and semi-quantitative assessment of anthocyanins in Tibetan hulless barley from different geographical locations by UPLC-QTOF-MS and their antioxidant capacities
- Effect of sodium chloride on the expression of genes involved in the salt tolerance of Bacillus sp. strain “SX4” isolated from salinized greenhouse soil
- GC-MS analysis of mango stem bark extracts (Mangifera indica L.), Haden variety. Possible contribution of volatile compounds to its health effects
- Influence of nanoscale-modified apatite-type calcium phosphates on the biofilm formation by pathogenic microorganisms
- Removal of paracetamol from aqueous solution by containment composites
- Investigating a human pesticide intoxication incident: The importance of robust analytical approaches
- Induction of apoptosis and cell cycle arrest by chloroform fraction of Juniperus phoenicea and chemical constituents analysis
- Recovery of γ-Fe2O3 from copper ore tailings by magnetization roasting and magnetic separation
- Effects of different extraction methods on antioxidant properties of blueberry anthocyanins
- Modeling the removal of methylene blue dye using a graphene oxide/TiO2/SiO2 nanocomposite under sunlight irradiation by intelligent system
- Antimicrobial and antioxidant activities of Cinnamomum cassia essential oil and its application in food preservation
- Full spectrum and genetic algorithm-selected spectrum-based chemometric methods for simultaneous determination of azilsartan medoxomil, chlorthalidone, and azilsartan: Development, validation, and application on commercial dosage form
- Evaluation of the performance of immunoblot and immunodot techniques used to identify autoantibodies in patients with autoimmune diseases
- Computational studies by molecular docking of some antiviral drugs with COVID-19 receptors are an approach to medication for COVID-19
- Synthesis of amides and esters containing furan rings under microwave-assisted conditions
- Simultaneous removal efficiency of H2S and CO2 by high-gravity rotating packed bed: Experiments and simulation
- Design, synthesis, and biological activities of novel thiophene, pyrimidine, pyrazole, pyridine, coumarin and isoxazole: Dydrogesterone derivatives as antitumor agents
- Content and composition analysis of polysaccharides from Blaps rynchopetera and its macrophage phagocytic activity
- A new series of 2,4-thiazolidinediones endowed with potent aldose reductase inhibitory activity
- Assessing encapsulation of curcumin in cocoliposome: In vitro study
- Rare norisodinosterol derivatives from Xenia umbellata: Isolation and anti-proliferative activity
- Comparative study of antioxidant and anticancer activities and HPTLC quantification of rutin in white radish (Raphanus sativus L.) leaves and root extracts grown in Saudi Arabia
- Comparison of adsorption properties of commercial silica and rice husk ash (RHA) silica: A study by NIR spectroscopy
- Sodium borohydride (NaBH4) as a high-capacity material for next-generation sodium-ion capacitors
- Aroma components of tobacco powder from different producing areas based on gas chromatography ion mobility spectrometry
- The effects of salinity on changes in characteristics of soils collected in a saline region of the Mekong Delta, Vietnam
- Synthesis, properties, and activity of MoVTeNbO catalysts modified by zirconia-pillared clays in oxidative dehydrogenation of ethane
- Synthesis and crystal structure of N,N′-bis(4-chlorophenyl)thiourea N,N-dimethylformamide
- Quantitative analysis of volatile compounds of four Chinese traditional liquors by SPME-GC-MS and determination of total phenolic contents and antioxidant activities
- A novel separation method of the valuable components for activated clay production wastewater
- On ve-degree- and ev-degree-based topological properties of crystallographic structure of cuprite Cu2O
- Antihyperglycemic effect and phytochemical investigation of Rubia cordifolia (Indian Madder) leaves extract
- Microsphere molecularly imprinted solid-phase extraction for diazepam analysis using itaconic acid as a monomer in propanol
- A nitric oxide-releasing prodrug promotes apoptosis in human renal carcinoma cells: Involvement of reactive oxygen species
- Machine vision-based driving and feedback scheme for digital microfluidics system
- Study on the application of a steam-foam drive profile modification technology for heavy oil reservoir development
- Ni–Ru-containing mixed oxide-based composites as precursors for ethanol steam reforming catalysts: Effect of the synthesis methods on the structural and catalytic properties
- Preparation of composite soybean straw-based materials by LDHs modifying as a solid sorbent for removal of Pb(ii) from water samples
- Synthesis and spectral characterizations of vanadyl(ii) and chromium(iii) mixed ligand complexes containing metformin drug and glycine amino acid
- In vitro evaluation of lactic acid bacteria with probiotic activity isolated from local pickled leaf mustard from Wuwei in Anhui as substitutes for chemical synthetic additives
- Utilization and simulation of innovative new binuclear Co(ii), Ni(ii), Cu(ii), and Zn(ii) diimine Schiff base complexes in sterilization and coronavirus resistance (Covid-19)
- Phosphorylation of Pit-1 by cyclin-dependent kinase 5 at serine 126 is associated with cell proliferation and poor prognosis in prolactinomas
- Molecularly imprinted membrane for transport of urea, creatinine, and vitamin B12 as a hemodialysis candidate membrane
- Optimization of Murrayafoline A ethanol extraction process from the roots of Glycosmis stenocarpa, and evaluation of its Tumorigenesis inhibition activity on Hep-G2 cells
- Highly sensitive determination of α-lipoic acid in pharmaceuticals on a boron-doped diamond electrode
- Synthesis, chemo-informatics, and anticancer evaluation of fluorophenyl-isoxazole derivatives
- In vitro and in vivo investigation of polypharmacology of propolis extract as anticancer, antibacterial, anti-inflammatory, and chemical properties
- Topological indices of bipolar fuzzy incidence graph
- Preparation of Fe3O4@SiO2–ZnO catalyst and its catalytic synthesis of rosin glycol ester
- Construction of a new luminescent Cd(ii) compound for the detection of Fe3+ and treatment of Hepatitis B
- Investigation of bovine serum albumin aggregation upon exposure to silver(i) and copper(ii) metal ions using Zetasizer
- Discoloration of methylene blue at neutral pH by heterogeneous photo-Fenton-like reactions using crystalline and amorphous iron oxides
- Optimized extraction of polyphenols from leaves of Rosemary (Rosmarinus officinalis L.) grown in Lam Dong province, Vietnam, and evaluation of their antioxidant capacity
- Synthesis of novel thiourea-/urea-benzimidazole derivatives as anticancer agents
- Potency and selectivity indices of Myristica fragrans Houtt. mace chloroform extract against non-clinical and clinical human pathogens
- Simple modifications of nicotinic, isonicotinic, and 2,6-dichloroisonicotinic acids toward new weapons against plant diseases
- Synthesis, optical and structural characterisation of ZnS nanoparticles derived from Zn(ii) dithiocarbamate complexes
- Presence of short and cyclic peptides in Acacia and Ziziphus honeys may potentiate their medicinal values
- The role of vitamin D deficiency and elevated inflammatory biomarkers as risk factors for the progression of diabetic nephropathy in patients with type 2 diabetes mellitus
- Quantitative structure–activity relationship study on prolonged anticonvulsant activity of terpene derivatives in pentylenetetrazole test
- GADD45B induced the enhancing of cell viability and proliferation in radiotherapy and increased the radioresistance of HONE1 cells
- Cannabis sativa L. chemical compositions as potential plasmodium falciparum dihydrofolate reductase-thymidinesynthase enzyme inhibitors: An in silico study for drug development
- Dynamics of λ-cyhalothrin disappearance and expression of selected P450 genes in bees depending on the ambient temperature
- Identification of synthetic cannabinoid methyl 2-{[1-(cyclohexylmethyl)-1H-indol-3-yl] formamido}-3-methylbutanoate using modern mass spectrometry and nuclear magnetic resonance techniques
- Study on the speciation of arsenic in the genuine medicinal material honeysuckle
- Two Cu(ii)-based coordination polymers: Crystal structures and treatment activity on periodontitis
- Conversion of furfuryl alcohol to ethyl levulinate in the presence of mesoporous aluminosilicate catalyst
- Review Articles
- Hsien Wu and his major contributions to the chemical era of immunology
- Overview of the major classes of new psychoactive substances, psychoactive effects, analytical determination and conformational analysis of selected illegal drugs
- An overview of persistent organic pollutants along the coastal environment of Kuwait
- Mechanism underlying sevoflurane-induced protection in cerebral ischemia–reperfusion injury
- COVID-19 and SARS-CoV-2: Everything we know so far – A comprehensive review
- Challenge of diabetes mellitus and researchers’ contributions to its control
- Advances in the design and application of transition metal oxide-based supercapacitors
- Color and composition of beauty products formulated with lemongrass essential oil: Cosmetics formulation with lemongrass essential oil
- The structural chemistry of zinc(ii) and nickel(ii) dithiocarbamate complexes
- Bioprospecting for antituberculosis natural products – A review
- Recent progress in direct urea fuel cell
- Rapid Communications
- A comparative morphological study of titanium dioxide surface layer dental implants
- Changes in the antioxidative properties of honeys during their fermentation
- Erratum
- Erratum to “Corrosion study of copper in aqueous sulfuric acid solution in the presence of (2E,5E)-2,5-dibenzylidenecyclopentanone and (2E,5E)-bis[(4-dimethylamino)benzylidene]cyclopentanone: Experimental and theoretical study”
- Erratum to “Modified TDAE petroleum plasticiser”
- Corrigendum
- Corrigendum to “A nitric oxide-releasing prodrug promotes apoptosis in human renal carcinoma cells: Involvement of reactive oxygen species”
- Special Issue on 3rd IC3PE 2020
- Visible light-responsive photocatalyst of SnO2/rGO prepared using Pometia pinnata leaf extract
- Antihyperglycemic activity of Centella asiatica (L.) Urb. leaf ethanol extract SNEDDS in zebrafish (Danio rerio)
- Selection of oil extraction process from Chlorella species of microalgae by using multi-criteria decision analysis technique for biodiesel production
- Special Issue on the 14th Joint Conference of Chemistry (14JCC)
- Synthesis and in vitro cytotoxicity evaluation of isatin-pyrrole derivatives against HepG2 cell line
- CO2 gas separation using mixed matrix membranes based on polyethersulfone/MIL-100(Al)
- Effect of synthesis and activation methods on the character of CoMo/ultrastable Y-zeolite catalysts
- Special Issue on Electrochemical Amplified Sensors
- Enhancement of graphene oxide through β-cyclodextrin composite to sensitive analysis of an antidepressant: Sulpiride
- Investigation of the spectroelectrochemical behavior of quercetin isolated from Zanthoxylum bungeanum
- An electrochemical sensor for high sensitive determination of lysozyme based on the aptamer competition approach
- An improved non-enzymatic electrochemical sensor amplified with CuO nanostructures for sensitive determination of uric acid
- Special Issue on Applied Biochemistry and Biotechnology 2020
- Fast discrimination of avocado oil for different extracted methods using headspace-gas chromatography-ion mobility spectroscopy with PCA based on volatile organic compounds
- Effect of alkali bases on the synthesis of ZnO quantum dots
- Quality evaluation of Cabernet Sauvignon wines in different vintages by 1H nuclear magnetic resonance-based metabolomics
- Special Issue on the Joint Science Congress of Materials and Polymers (ISCMP 2019)
- Diatomaceous Earth: Characterization, thermal modification, and application
- Electrochemical determination of atenolol and propranolol using a carbon paste sensor modified with natural ilmenite
- Special Issue on the Conference of Energy, Fuels, Environment 2020
- Assessment of the mercury contamination of landfilled and recovered foundry waste – a case study
- Primary energy consumption in selected EU Countries compared to global trends
- Modified TDAE petroleum plasticiser
- Use of glycerol waste in lactic acid bacteria metabolism for the production of lactic acid: State of the art in Poland
- Topical Issue on Applications of Mathematics in Chemistry
- Theoretical study of energy, inertia and nullity of phenylene and anthracene
- Banhatti, revan and hyper-indices of silicon carbide Si2C3-III[n,m]
- Topical Issue on Agriculture
- Occurrence of mycotoxins in selected agricultural and commercial products available in eastern Poland
- Special Issue on Ethnobotanical, Phytochemical and Biological Investigation of Medicinal Plants
- Acute and repeated dose 60-day oral toxicity assessment of chemically characterized Berberis hispanica Boiss. and Reut in Wistar rats
- Phytochemical profile, in vitro antioxidant, and anti-protein denaturation activities of Curcuma longa L. rhizome and leaves
- Antiplasmodial potential of Eucalyptus obliqua leaf methanolic extract against Plasmodium vivax: An in vitro study
- Prunus padus L. bark as a functional promoting component in functional herbal infusions – cyclooxygenase-2 inhibitory, antioxidant, and antimicrobial effects
- Molecular and docking studies of tetramethoxy hydroxyflavone compound from Artemisia absinthium against carcinogens found in cigarette smoke
- Special Issue on the Joint Science Congress of Materials and Polymers (ISCMP 2020)
- Preparation of cypress (Cupressus sempervirens L.) essential oil loaded poly(lactic acid) nanofibers
- Influence of mica mineral on flame retardancy and mechanical properties of intumescent flame retardant polypropylene composites
- Production and characterization of thermoplastic elastomer foams based on the styrene–ethylene–butylene–styrene (SEBS) rubber and thermoplastic material
- Special Issue on Applied Chemistry in Agriculture and Food Science
- Impact of essential oils on the development of pathogens of the Fusarium genus and germination parameters of selected crops
- Yield, volume, quality, and reduction of biotic stress influenced by titanium application in oilseed rape, winter wheat, and maize cultivations
- Influence of potato variety on polyphenol profile composition and glycoalcaloid contents of potato juice
- Carryover effect of direct-fed microbial supplementation and early weaning on the growth performance and carcass characteristics of growing Najdi lambs
- Special Issue on Applied Biochemistry and Biotechnology (ABB 2021)
- The electrochemical redox mechanism and antioxidant activity of polyphenolic compounds based on inlaid multi-walled carbon nanotubes-modified graphite electrode
- Study of an adsorption method for trace mercury based on Bacillus subtilis
- Special Issue on The 1st Malaysia International Conference on Nanotechnology & Catalysis (MICNC2021)
- Mitigating membrane biofouling in biofuel cell system – A review
- Mechanical properties of polymeric biomaterials: Modified ePTFE using gamma irradiation