Comparative study of antioxidant and anticancer activities and HPTLC quantification of rutin in white radish (Raphanus sativus L.) leaves and root extracts grown in Saudi Arabia
-
Omar M. Noman
, Fahd A. Nasr
, Ali S. Alqahtani
Abstract
The nutrient contents of Raphanus sativus L. (white radish) leaves (RSLs) and roots are known to have promising vital effects. We comparatively investigated the leaves and roots of R. sativus grown in Saudi Arabia to estimate the total phenol and flavonoid contents using the standard colorimetric methods. The antioxidant activity of RSLs and R. sativus roots (RSRs) were measured by 2,2′-azino-bis-3-ethylbenzthiazoline-6-sulphonic acid (ABTS) and 1,1-diphenyl-2-picrylhydrazyl (DPPH) assays. Both extracts’ cytotoxic activity was assessed by MTT assay against several human cancer cell lines (A549, HepG2, MDA-MB-231, and MCF-7). High-performance thin-layer chromatography was used to identify and quantify the biomarker compound rutin in both extracts. The total phenolic content in RSLs (125.3 mg of gallic acid equivalent [GAE]/g) was higher than that in roots (95.8 of GAE/g), whereas the flavonoid content (44.5 mg of quercetin equivalent [QE]/g) was almost double compared in RSR extract (24.4 of QE/g). Similarly, RSLs exhibited a higher antioxidative activity than RSRs in both DPPH (IC50 216.8 vs 359.7 µg/mL) and ABTS (IC50 326.7 vs 549 µg/mL) models. RSLs also demonstrated the highest antiproliferative efficiency against all cell lines, with IC50 values of 217–453 µg/mL. The reversed-phase-high-performance thin-layer chromatography results showed the presence of rutin (5.2 µg/mg) only in RSLs. Our study indicates RSLs as a promising source of bioactive compounds compared with roots.
1 Introduction
Raphanus sativus L., also popularly called as radish, is a commonly cultivated crop that belongs to the Cruciferous family and widely distributed and consumed worldwide [1]. The radish roots are the most well-known part of consumption, although other parts such as the stem and leaves are also used as vegetables by several populations [2]. Radish’s nutritional benefit comes from its valuable constituents, including high-fiber and low-fat contents and several essential vitamins and minerals [3]. In folk medicine, the different parts of radish are used for various purposes; for example, the roots are used to treat bladder pain and syphilis diseases, and the leaf juice is used as a laxative and diuretic [4]. Studies have reported several important activities, and properties of R. sativus leaves and roots (RSLs and RSR), including antimicrobial [1], antioxidant [5], antimutagenic [6], and anticarcinogenic effects [7]. Radish’s biological activities are due to the presence of several classes of phytoconstituents such as alkaloids, phenols, and flavonoid compounds [1,3,8,9,10,11,12]. Flavonoid compounds known for their nutraceutical and pharmacological properties are among the most important of these phytochemicals in R. sativus. Rutin, a flavonoid compound, represents flavonoids that naturally and widely occur in several fruits as well as vegetables. It possesses powerful antioxidant properties and several nutritional and beneficial effects that reduce the risk of several complex diseases [13,14]. Hence, it is imperative to investigate novel natural sources of rutin. Owing to its health-protective phytoconstituents contents, R. sativus has been receiving research attention from the scientific community. Therefore, we conducted a comparative study of the RSLs and RSRs grown in Saudi Arabia. The phenolic and flavonoid contents and the antioxidant and anticancer activities of both leaves and roots were comparatively investigated. To estimate and establish the presence of rutin in the leaves or roots of radish, we also conducted RP-high-performance thin-layer chromatography (HPTLC) to quantify rutin (Figure 1) in both plant parts.

Total contents of phenols and flavonoids in RSLs and RSRs.
2 Materials and methods
2.1 Collection of plant material
Field-grown radishes were bought from one of the farms which is located in the area of Al-Hayer, Riyadh, Saudi Arabia. They were stored in darkness at 5 ± 1°C before processing. The roots were separated from leaves, and both parts were washed in tap water to eliminate any surface contamination. All determinations were made using fresh products immediately after washing.
2.2 Preparation of extracts
Fresh RSLs and RSRs (200 g each) were extracted with 70% ethanol following the maceration procedure. Rotary evaporator was used to concentrate the liquid extract and 11 g of RSL and 9 g of RSR extracts were obtained, which were then stored in the refrigerator prior to its use.
2.3 Phytochemical analysis
2.3.1 Estimation of total phenol content
The RSL and RSR extracts’ total phenolic content (TPC) were estimated using a standard Folin–Ciocalteu method [15]. Briefly, 100 µL of 0.5 N Folin–Ciocalteu reagent was added to 500 µL of each extract. This was followed by a thorough mixing of all contents within the flask, after which 2.5 mL sodium carbonate was included. The mixture was incubated for 0.5 h. Finally, the phenolic contents’ absorbance was measured at 760 nm and the concentration was expressed as milligram gallic acid equivalent (GAE)/g of the extract.
2.3.2 Estimation of total flavonoids
The standard aluminum chloride spectrophotometric method previously described [16] was used to estimate the total flavonoid content (TFC). Briefly, 1 mL of 10% AlCl₃ was sequentially added to 1 mL of each RSL and RSR extract of 1 mg/mL concentration. The solution was then thoroughly mixed after which it was incubated for 30 min. After the incubation, the absorbance measurement was conducted in which the known quercetin concentrations were used to generate a standard calibration plot at 415 nm. The concentrations of flavonoids in RSLs and RSRs were estimated using the calibration plot, and it was expressed as milligram quercetin equivalent (QE)/g of the extract.
2.4 Antioxidant activity
2.4.1 DPPH radical scavenging activity
Estimation of the antioxidative activity of the RSLs and RSRs of R. sativus was conducted following the DPPH (2,2-diphenyl-1-picrylhydrazyl) method, as previously reported [17]. Various concentrations of RSL and RSR extracts (10, 50, 100, 500, and 1,000 µg/mL) were prepared. Next 0.5 mL of RSL and RSR extracts was mixed with DPPH (0.1 mM, 0.125 mL) and methanol (0.375 mL). This was followed by incubation for 0.5 h and then the optical density was measured at λ max = 517 nm, and ascorbic acid served as a positive control. The radical scavenging activity was computed using the given formula:
The IC50 values were generated from dose–response curve.
2.4.2 Radical ABTS scavenging assay
Both RSL and RSR extracts’ antioxidative activity were also investigated using a previously described method [18], with slight modification. Freshly prepared solutions of ABTS+ (7 mM) and potassium persulfate (2.45 mM) were kept in the dark for 12 h, then mixed together, and incubated overnight in the refrigerator. The ABTS solution was diluted in ethanol, and different concentrations of RSLs and RSRs were allowed to react with ABTS solution (1:1). Absorbance was measured at wavelength (λ) 734 nm. The scavenging capacity of both extracts was compared to that of ascorbic acid, the standard antioxidant. The percentage of antioxidant capacity was calculated as described earlier [19], as follows:
2.5 Cytotoxic activity
The effect of leaf and root extracts on the proliferation and viability of two breasts (MCF-7 and MDA-MB-231), liver (HepG2), and lung (A549) cancer cells were evaluated using the MTT colorimetric, according to a previously described protocol [20]. Briefly, 1 mL of the cell suspension was dispensed into a 24-well plate at a density of 5 × 104 cells/well in triplicate. Cells were then incubated for 24 h at 37°C and 5% CO2 before treatment with different concentrations (500, 250, 125, and 62.5 µg/mL) of both RSLs and RSRs for 48 h. Doxorubicin-treated cells and the untreated cells were used as the positive and negative controls, respectively. After the incubation period, 100 μL of MTT solution (5 mg/mL) was added and further incubated for 4 h. Thereafter, formazan product was solubilized by acidified isopropanol and the optical density was read at 570 nm using a microplate reader (Bio-Tek, USA). The percentage of viable cells was computed using the formula:
2.6 HPTLC analysis
The HPTLC analysis of rutin present in RSL and RSR extracts was performed on the RP-HPTLC plate (10 × 10 cm). The dimensions of the band for each track were 0.6 and 0.94 cm apart. The speed (160 nL/s) was applied on the RP-HPTLC plate for both extracts as well as rutin compound. Pre-saturated twin-trough glass chamber (10 × 10 cm) at 25 ± 2°C under 60 ± 5% humidity was used for plate applied development. The developed plate of RP-HPTLC was dehydrated and quantitatively evaluated in the absorbance mode at λ = 254 nm.
2.7 Preparation of stock and standard solutions
The standard stock solution of rutin biomarker (PhytoLab, Vestenbergsgreuth, Germany) was prepared with methanol (HPLC grade) at a final concentration of 1 mg/mL. Next seven different dilutions ranging from 2 to 14 μg/mL were prepared with methanol using the rutin standard stock solution. All the dilutions were applied on the RP-HPTLC plate through a microliter syringe linked to the applicator to enhance the range of linearity (200–1,400 ng/band).
2.8 Statistical analysis
The data values of the untreated and treated samples of two parameters were analyzed using student’s t-test with excel Microsoft office. Data represent the mean ± S.D., and the difference was statistically significant at *P < 0.05 and **P < 0.01 compared to the control. The IC50 values were calculated by probit analysis using OriginPro 8.5 software.
-
Ethical approval: The conducted research is not related to either human or animal use.
3 Results and discussion
3.1 Contents of total phenols and flavonoids
Both RSLs and RSRs exhibited different values of TPC and TFC contents. As schemed in Figure 1, RSLs exhibited a higher TPC (125.3 mg of GAE/g) compared with RSRs (95.8 of GAE/g). The value of TPC reported here for radish root was higher than the value (91.8 mg GAE/ g) previously reported by Eugenio et al. [21]. Additionally, we found that the TPC of radish leaves was higher than that of the roots. This variance in TPC between different parts could be due to several factors that interfere with polyphenol biosynthesis, including postharvest handling, intraspecific chemodiversity, plant breeding, and environmental factors [22]. Regarding flavonoids, we found that the TFC in leaves was nearly two times higher than that in the roots (44.5 vs 24.4 of mg of QE/g) (Figure 1). Flavonoids constitute a special class of phenolic compounds that contain multiple hydroxyl groups, which confer valuable antioxidant activities to these phytoconstituents [23]. The protective effects of foods rich in flavonoids and phenolic compounds against several chronic ailments, including cardiovascular and cancer, have been well-documented [24,25]. Our results are consistent with those published by Goyeneche et al. who reported that phenols and flavonoids were most abundant in red radish leaves compared with its roots [26]. The beneficial effects of phenols and flavonoids may be associated with several activities they exert, the most important being the antioxidative effect [27,28]. Therefore, we next examined the antioxidative properties of both RSLs and RSRs.
3.2 Antioxidant activity
RSLs and RSRs showed dose-dependent scavenging activities (Table 1). RSL showed stronger antioxidant activity than RSR (IC50 216.8 vs 359.7 µg/mL) in the DPPH scavenging activity test. On the other hand, both RSLs and RSRs exerted dose-dependent antioxidative activity (Figure 2), and the calculated RSL IC50 was 326.7 µg/mL and RSR IC50 was 549 µg/mL in the ABTS test
Scavenging activities of RSL and RSR extracts
Sample | 10 | 50 | 100 | 500 | 1,000 |
---|---|---|---|---|---|
(µg/mL) | |||||
(% DPPH radical scavenging activity) | |||||
RSL | 13.7 ± 0.7 | 23.1 ± 1.1 | 46.5 ± 1.4 | 58.1 ± 1.5 | 72 ± 1.6 |
RSR | 12.4 ± 3.1 | 19.8 ± 1.3 | 40.6 ± 2 | 55 ± 1.7 | 67.9 ± 0.3 |
Ascorbic acid | 82.6 ± 2.1 | 85.7 ± 1.2 | 86 ± 2.4 | 89.6 ± 1.6 | 91.2 ± 1.5 |
(% ABTS radical cation scavenging activity) | |||||
RSL | 12.2 ± 3.7 | 20.6 ± 3.2 | 44.2 ± 2.6 | 54.4 ± 1.4 | 71.4 ± 0.6 |
RSR | 11.4 ± 0.6 | 17.1 ± 1.4 | 39.7 ± 0.4 | 48.4 ± 1.7 | 65 ± 1.6 |
Ascorbic acid | 81.7 ± 1.4 | 84.1 ± 2.1 | 85.4 ± 2.4 | 88.2 ± 2.3 | 89.8 ± 2.1 |

Antioxidant scavenging activities of R. sativus leaves and roots (DPPH and ABTS).
Due to their critical role in reducing oxidative stress, natural antioxidants play a vital role in human health [29]. The type of antioxidant assay is dependent on the characteristics of the specific system that can alter the analysis results. Therefore, one assay would not be representative of the antioxidant activity of plant extracts [30]. Hence, we used two different methods in the present study to examine the antioxidant activity of RSLs and RSRs, which could provide more reliable results. Both the RSLs and RSRs exhibited dose-dependent scavenging activities (Table 1) in both the DPPH and ABTS methods. We also found that the leaves demonstrated a stronger antioxidant activity than the roots. Our results were consistent with the study conducted by Agarwal and Varma [31] who found that the antioxidant activity of RSL extracts was more potent than that of the root extract. Similar results were reported by Chorol who investigated the phenolic and antioxidant profiles of four different radish parts and found that the leaves and peels demonstrated the most considerable amount of antioxidant activity [32]. Polyphenolics’ presence with their well-known radical scavenging properties can explain this previously documented activity in different model systems [33]. Moreover, our results support the positive correlation between the phenolic content and the reducing capacity or antioxidant activities of plant extracts, as previously reported [34,35,36]. Besides, it has been reported that the RSLs are a rich source of antioxidant compounds [37], which confirms our study results.
3.3 Anticancer activity
For investigating the anticancer potential of plant extracts, it is important to clearly explore the different pharmacological uses of those plants [38]. Previous research has explored the anticancer properties of different parts of R. sativus using various cancer cells [39]. In the present study, the MTT assay results revealed that both RSLs and RSRs exhibited antiproliferative activity against all the tested cancer cells. The viability of all the treated cells decreased in a dose-dependent manner (Figure 3). Based on the IC50 value (half-inhibitory concentration) of leaves and roots, it was found that the leaf extract has a stronger anticancer activity than the root extract (Table 2).

R. sativus leaf and root extracts inhibited the proliferation of various cancer cells. Cells were plated as described in materials, and MTT assay was performed to explore the inhibitory effects of RSLs and RSRs on cancer cell proliferation after 48 h of incubation. Data represent the mean ± SD of three independent experiments.
IC50 values of RSLs and RSRs against different cancer cells
Extract | Cell lines and IC50 (µg/mL) | |||
---|---|---|---|---|
A549 | HepG2 | MCF-7 | MDA-MB-231 | |
RSLs | 217 ± 2.1 | 287 ± 2.3 | 224 ± 2.2 | 453.2 ± 1.9 |
RSRs | 250.6 ± 3.1 | 444.6 ± 1.6 | 306.3 ± 2.2 | 470 ± 2.6 |
Doxorubicin | 1 ± 0.02 | 1.4 ± 0.04 | 1.2 ± 0.03 | 1.1 ± 0.04 |
Consistent with our study results, Kim et al. also observed that the ethanolic leaf extract of R. sativus significantly decreased MDA-MB-231 breast cancer cells’ proliferation after 48 h incubation [40]. The antiproliferative effects of different radish parts were also evaluated in different cancer cells by Beevi et al. They found that the root hexane extract of R. sativus inhibited the proliferation of different cancer cell lines, including A549 and MCF-7 cells, through the induction of apoptosis [41]. This antiproliferative activity could be attributed to the presence of several bioactive constituents in R. sativus, such as 4-methylthio-butanyl derivatives [42,43], sulforaphene [44], and different flavonoid compounds [45], which were found to exhibit antitumor activities against different cancer cells. Moreover, the compound rutin, quantified in this study, is known for its anticancer effect in several cancer cell lines [46,47,48,49,50].
4 HPTLC analysis
4.1 Rutin identification
The HPTLC analysis of the RSL and RSR extracts demonstrated the presence of rutin in the leaf extract, whereas rutin peak was not detected in the root extract (Figure 4).

Identification of rutin in RSL and RSR extracts. Rutin was detected in RSLs (left), whereas it was absent in RSR extract (right). (a) HPTLC chromatogram of RSLs containing rutin, (b) HPTLC chromatogram of RSLs not containing rutin.
4.2 Concurrent analysis of rutin in the methanolic extract of RSLs by HPTLC method
The suitable mobile phase for the quantitative analysis of rutin in RSR extract using HPTLC was selected by examining the various compositions of different solvents, and a combination of toluene, ethyl acetate, and formic acid (7:3:0.1; v/v/v) was found to be the most suitable mobile phase (Table 3). This method resulted in intense peaks of rutin at R f = 0.65 and 0.67 and very clearly separated the standards and the different phytoconstituents of RSR extract (Figure 5). The regression equation (y)/correlation coefficient (r 2) for rutin was found to be 5.899x + 1161/0.9978 (Table 3). The HPTLC method was used to analyze rutin concurrently in the RSL extract, which revealed a rutin content of 5.2 mg/g of the extract’s dry weight.
Linear regression and R f data, for rutin calibration curve
Parameters | Rutin |
---|---|
Linearity range (ng/spot) | 200–1,400 |
Regression equation | y = 4.9267x − 736.25 |
Correlation coefficient (r 2 ) | 0.9971 |
Slope | 4.926721429 |
Intercept | 736.2 |
R f value | 0.65 |
LOD (ng) | 71.68 |
LOQ (ng) | 217.22 |
R f: retention factor, LOD: limit of detection, LOQ: limit of quantitation.
![Figure 5
Quantification of rutin in RSL by RP-HPTLC. (a) Chromatogram of standard rutin (R
f = 0.65; 800 ng/spot) at 365 nm (left). (b) Chromatogram of RSL extract (Rutin, spot 2, R
f = 0.65); [mobile phase: acetonitrile:water, (3.5:6.5, v/v)].](/document/doi/10.1515/chem-2021-0042/asset/graphic/j_chem-2021-0042_fig_005.jpg)
Quantification of rutin in RSL by RP-HPTLC. (a) Chromatogram of standard rutin (R f = 0.65; 800 ng/spot) at 365 nm (left). (b) Chromatogram of RSL extract (Rutin, spot 2, R f = 0.65); [mobile phase: acetonitrile:water, (3.5:6.5, v/v)].
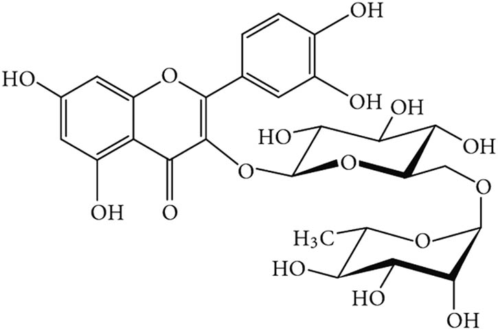
Rutin (Figure 6) is a polyphenolic bioflavonoid compound and one of the active constituents found in different parts of several plant species. Various studies have demonstrated its broad nutraceutical and pharmacological effects in treating complex chronic diseases such as cancer, cardiovascular disorders, and diabetes [48,51]. The growing area’s source and geographical conditions play a vital role in determining the components and activities of plant extracts [52]. Therefore, we developed a simple, optimized, and validated method in the current study to standardize rutin in R. sativus grown in Saudi Arabia using HPTLC. The HPTLC method may serve as an alternative to HPLC or LC-MS/MS, specifically in analyzing crude plant extracts. In contrast to HPLC, a quantitative analysis conducted using HPTLC does not require extensive clean-up procedures. Moreover, the availability of numerous accurate reagents for the confirmation and detection of specific compounds is considered as a valuable advantage of HPTLC [53,54].

Chemical structure of the biomarker rutin.
5 Conclusion
Plant products have been receiving increasing research attention as alternative medicine. This current study demonstrated that the leaves of R. sativus grown in Saudi Arabia consisted of the maximum phenol and flavonoid constituents and demonstrated the highest free radical scavenging capacity than the roots. The antioxidant biomarker compound rutin was detected only in radish leaves, as revealed by the RP-HPTLC method developed in this work. Altogether, our study results showed that radish leaves could be a better source of bioactive compounds, especially flavonoids than roots. Therefore, the inclusion of these leaves in the human diet could increase flavonoid compounds’ intake due to their high level. In conclusion, radish leaves and roots’ consumption may confer a nutritional, medicinal value to human health. Furthermore, extensive research is needed to optimize and estimate other compounds from the leaves to develop novel functional products.
Acknowledgments
This work was funded by the Deanship of Scientific Research at Princess Nourah bint Abdulrahman University, through the Research Groups Program Grant no. (RGP-1442-0033).
-
Author contributions: Conceptualization, A. S. A; methodology, O. M. N., F. A. N,. and M. Z.; validation, S. A. and A. D.; data curation, writing – original draft preparation, O. M. N., A. A. A., and M. A. W. C.; writing – review and editing, A. A. A., O. M. N., A. S. A., and A. B., funding acquisition, M. A. W. C. and A. B. All authors have read and agreed to the published version of the manuscript.
-
Funding: This work was supported by the Deanship of Scientific Research at Princess Nourah bint Abdulrahman University, through the Research Groups Program Grant no. (RGP-1442-0033).
-
Competing interests: The authors declare that they have no competing interests.
-
Data availability statement: The data sets used and/or analyzed during the current study are available with the corresponding author on reasonable request.
References
[1] Aruna G, Yerragunt VG, Raju AB. Photochemistry and pharmacology of Raphanus sativus. Int J Drug Formulation Res. 2012;3(1):43–52.Search in Google Scholar
[2] Beevi SS, Mangamoori LN, Anabrolu N. Comparative activity against pathogenic bacteria of the root, stem, and leaf of Raphanus sativus grown in India. World J Microbiol Biotechnol. 2009;25(3):465–73.10.1007/s11274-008-9911-3Search in Google Scholar
[3] Manchali S, Murthy KNC, Patil BS. Crucial facts about health benefits of popular cruciferous vegetables. J Funct Foods. 2012;4(1):94–106.10.1016/j.jff.2011.08.004Search in Google Scholar
[4] Ahmad F, Hasan I, Chishti DK, Ahmad H. Antibacterial activity of Raphanus sativus Linn. seed extract. Glob J Med Res. 2012;12(11):25–33.Search in Google Scholar
[5] Lugasi A, Dworschák E, Blazovics A, Kery A. Antioxidant and free radical scavenging properties of squeezed juice from black radish (Raphanus sativus L. var niger) root. Phytother Res. 1998;12(7):502–6.10.1002/(SICI)1099-1573(199811)12:7<502::AID-PTR336>3.0.CO;2-ISearch in Google Scholar
[6] Nakamura Y, Iwahashi T, Tanaka A, Koutani J, Matsuo T, Okamoto S, et al. 4-(Methylthio)-3-butenyl isothiocyanate, a principal antimutagen in daikon (Raphanus sativus; Japanese white radish). J Agric Food Chem. 2001;49(12):5755–60.10.1021/jf0108415Search in Google Scholar
[7] Hecht SS, Kenney PM, Wang M, Trushin N, Upadhyaya P. Effects of phenethyl isothiocyanate and benzyl isothiocyanate, individually and in combination, on lung tumorigenesis induced in A/J mice by benzo [a] pyrene and 4-(methylnitrosamino)-1-(3-pyridyl)-1-butanone. Cancer Lett. 2000;150(1):49–56.10.1016/S0304-3835(99)00373-0Search in Google Scholar
[8] Fahey JW, Zalcmann AT, Talalay P. The chemical diversity and distribution of glucosinolates and isothiocyanates among plants. Phytochemistry. 2001;56(1):5–51.10.1016/S0031-9422(00)00316-2Search in Google Scholar
[9] Gutiérrez RMP, Perez RL. Raphanus sativus (radish): their chemistry and biology. Sci World J. 2004;4:811–37.10.1100/tsw.2004.131Search in Google Scholar
[10] Montaut S, Barillari J, Iori R, Rollin P. Glucoraphasatin: chemistry, occurrence, and biological properties. Phytochemistry. 2010;71(1):6–12.10.1016/j.phytochem.2009.09.021Search in Google Scholar
[11] Kim KH, Kim CS, Park YJ, Moon E, Choi SU, Lee JH, et al. Anti-inflammatory and antitumor phenylpropanoid sucrosides from the seeds of Raphanus sativus. Bioorg Med Chem Lett. 2015;25(1):96–9.10.1016/j.bmcl.2014.11.001Search in Google Scholar
[12] Shin T, Ahn M, Kim GO, Park SU. Biological activity of various radish species. Orient Pharm Exp Med. 2015;15(2):105–11.10.1007/s13596-015-0183-9Search in Google Scholar
[13] Devaraj VC, Krishna B, Viswanatha GL. Simultaneous determination of quercetin, rutin and kaempferol in the leaf extracts of Moringa oleifera Lam. and Raphinus sativus Linn. by liquid chromatography-tandem mass spectrometry. J Chin Integr Med. 2011;9(9):1022–30.10.3736/jcim20110914Search in Google Scholar
[14] Ngoc PTK, Nguyet NTM, Dao DTA. In antimicrobial and antioxidant properties of the flavonoid extract from Raphanus sativus L. AIP conference proceedings. AIP Publishing LLC; 2017. p. 020026.10.1063/1.5000194Search in Google Scholar
[15] Slinkard K, Singleton VL. Total phenol analysis: automation and comparison with manual methods. Am J Enol Vitic. 1977;28(1):49–55.10.5344/ajev.1977.28.1.49Search in Google Scholar
[16] Mervat M, Far E, Hanan A, Taie A. Antioxidant activities, total anthocyanins, phenolics and flavonoids contents of some sweet potato genotypes under stress of different concentrations of sucrose and sorbitol. Aust J Basic Appl Sci. 2009;3(4):3609–16.Search in Google Scholar
[17] Brand-Williams W, Cuvelier M-E, Berset C. Use of a free radical method to evaluate antioxidant activity. LWT-Food Sci Technol. 1995;28(1):25–30.10.1016/S0023-6438(95)80008-5Search in Google Scholar
[18] Li W, Hosseinian FS, Tsopmo A, Friel JK, Beta T. Evaluation of antioxidant capacity and aroma quality of breast milk. Nutrition. 2009;25(1):105–14.10.1016/j.nut.2008.07.017Search in Google Scholar PubMed
[19] Celli GB, Pereira-Netto AB, Beta T. Comparative analysis of total phenolic content, antioxidant activity, and flavonoids profile of fruits from two varieties of Brazilian cherry (Eugenia uniflora L.) throughout the fruit developmental stages. Food Res Int. 2011;44(8):2442–51.10.1016/j.foodres.2010.12.036Search in Google Scholar
[20] Al-Zharani M, Nasr FA, Abutaha N, Alqahtani AS, Noman OM, Mubarak M, et al. Apoptotic induction and anti-migratory effects of rhazya stricta fruit extracts on a human breast cancer cell line. Molecules (Basel, Switzerland). 2019;24(21):3968.10.3390/molecules24213968Search in Google Scholar PubMed PubMed Central
[21] Eugenio MHA, Pereira RGFA, Abreu WCd, Pereira MCd. A. Phenolic compounds and antioxidant activity of tuberous root leaves. Int J Food Prop. 2017;20(12):2966–73.10.1080/10942912.2016.1263654Search in Google Scholar
[22] Bruni R, Sacchetti G. Factors affecting polyphenol biosynthesis in wild and field grown St. John’s Wort (Hypericum perforatum L. hypericaceae/guttiferae). Molecules. 2009;14(2):682–725.10.3390/molecules14020682Search in Google Scholar PubMed PubMed Central
[23] Kim J-S, Kang O-J, Gweon O-C. Comparison of phenolic acids and flavonoids in black garlic at different thermal processing steps. J Funct Foods. 2013;5(1):80–6.10.1016/j.jff.2012.08.006Search in Google Scholar
[24] Del Rio D, Rodriguez-Mateos A, Spencer JPE, Tognolini M, Borges G, Crozier A. Dietary (poly)phenolics in human health: structures, bioavailability, and evidence of protective effects against chronic diseases. Antioxid Redox Signal. 2013;18(14):1818–92.10.1089/ars.2012.4581Search in Google Scholar PubMed PubMed Central
[25] Rodriguez-Mateos A, Vauzour D, Krueger CG, Shanmuganayagam D, Reed J, Calani L, et al. Bioavailability, bioactivity and impact on health of dietary flavonoids and related compounds: an update. Arch Toxicol. 2014;88(10):1803–53.10.1007/s00204-014-1330-7Search in Google Scholar
[26] Goyeneche R, Roura S, Ponce A, Vega-Gálvez A, Quispe-Fuentes I, Uribe E, et al. Chemical characterization and antioxidant capacity of red radish (Raphanus sativus L.) leaves and roots. J Funct Foods. 2015;16:256–64.10.1016/j.jff.2015.04.049Search in Google Scholar
[27] Rice-Evans C, Miller N, Paganga G. Antioxidant properties of phenolic compounds. Trends Plant Sci. 1997;2(4):152–9.10.1016/S1360-1385(97)01018-2Search in Google Scholar
[28] Panche AN, Diwan AD, Chandra SR. Flavonoids: an overview. J Nutr Sci. 2016;5:e47.10.1017/jns.2016.41Search in Google Scholar PubMed PubMed Central
[29] Lobo V, Patil A, Phatak A, Chandra N. Free radicals, antioxidants and functional foods: impact on human health. Pharmacogn Rev. 2010;4(8):118–26.10.4103/0973-7847.70902Search in Google Scholar PubMed PubMed Central
[30] Moon JK, Shibamoto T. Antioxidant assays for plant and food components. J Agric Food Chem. 2009;57(5):1655–66.10.1021/jf803537kSearch in Google Scholar PubMed
[31] Agarwal K, Varma R. Radical scavenging ability and biochemical screening of a common asian vegetable – Raphanus sativus L. Int J Pharm Sci Rev Res. 2014;27(1):127–34.Search in Google Scholar
[32] Chorol S. Antioxidant content in different parts of radish (Raphanus sativus L.) from cold arid Ladakh region of trans-Himalaya (Jammu and Kashmir). Pharmacogn J. 2019;11:5.10.5530/pj.2019.11.166Search in Google Scholar
[33] Beevi SS, Mangamoori LN, Gowda BB. Polyphenolics profile and antioxidant properties of Raphanus sativus L. Nat Product Res. 2012;26(6):557–63.10.1080/14786419.2010.521884Search in Google Scholar PubMed
[34] Pandey KB, Rizvi SI. Plant polyphenols as dietary antioxidants in human health and disease. Oxid Med Cell Longev. 2009;2:270–8.10.4161/oxim.2.5.9498Search in Google Scholar PubMed PubMed Central
[35] Piluzza G, Bullitta S. Correlations between phenolic content and antioxidant properties in twenty-four plant species of traditional ethnoveterinary use in the Mediterranean area. Pharm Biol. 2011;49(3):240–7.10.3109/13880209.2010.501083Search in Google Scholar PubMed
[36] Terpinc P, Čeh B, Ulrih NP, Abramovič H. Studies of the correlation between antioxidant properties and the total phenolic content of different oil cake extracts. Ind Crop Prod. 2012;39:210–7.10.1016/j.indcrop.2012.02.023Search in Google Scholar
[37] Reddy PV, Desai S, Ahmed F, Urooj A. Antioxidant properties and stability of Raphanus sativus extracts. J Pharm Res. 2011;3(3):658–61.Search in Google Scholar
[38] Greenwell M, Rahman PKSM. Medicinal plants: their use in anticancer treatment. Int J Pharm Sci Res. 2015;6(10):4103–12.Search in Google Scholar
[39] Manivannan A, Kim J-H, Kim D-S, Lee E-S, Lee H-E. Deciphering the nutraceutical potential of Raphanus sativus - A comprehensive overview. Nutrients. 2019;11(2):402.10.3390/nu11020402Search in Google Scholar PubMed PubMed Central
[40] Kim WK, Kim JH, Jeong DH, Chun YH, Kim SH, Cho KJ, et al. Radish (Raphanus sativus L. leaf) ethanol extract inhibits protein and mRNA expression of ErbB(2) and ErbB(3) in MDA-MB-231 human breast cancer cells. Nutr Res Pract. 2011;5(4):288–93.10.4162/nrp.2011.5.4.288Search in Google Scholar PubMed PubMed Central
[41] Beevi SS, Mangamoori LN, Subathra M, Edula JR. Hexane extract of Raphanus sativus L. roots inhibits cell proliferation and induces apoptosis in human cancer cells by modulating genes related to apoptotic pathway. Plant Foods Hum Nutr. 2010;65(3):200–9.10.1007/s11130-010-0178-0Search in Google Scholar PubMed
[42] Papi A, Orlandi M, Bartolini G, Barillari J, Iori R, Paolini M, et al. Cytotoxic and antioxidant activity of 4-methylthio-3-butenyl isothiocyanate from Raphanus sativus L. (Kaiware Daikon) sprouts. J Agric Food Chem. 2008;56(3):875–83.10.1021/jf073123cSearch in Google Scholar PubMed
[43] Kim KH, Moon E, Kim SY, Choi SU, Lee JH, Lee KR. 4-Methylthio-butanyl derivatives from the seeds of Raphanus sativus and their biological evaluation on anti-inflammatory and antitumor activities. J Ethnopharmacol. 2014;151(1):503–8.10.1016/j.jep.2013.11.003Search in Google Scholar PubMed
[44] Pawlik A, Wała M, Hać A, Felczykowska A, Herman-Antosiewicz A. Sulforaphene, an isothiocyanate present in radish plants, inhibits proliferation of human breast cancer cells. Phytomedicine. 2017;29:1–10.10.1016/j.phymed.2017.03.007Search in Google Scholar PubMed
[45] Sangthong S, Weerapreeyakul N, Lehtonen M, Leppanen J, Rautio J. High-accuracy mass spectrometry for identification of sulphur-containing bioactive constituents and flavonoids in extracts of Raphanus sativus var. caudatus Alef (Thai rat-tailed radish). J Funct Foods. 2017;31:237–47.10.1016/j.jff.2017.02.003Search in Google Scholar
[46] Chen H, Miao Q, Geng M, Liu J, Hu Y, Tian L, et al. Anti-tumor effect of rutin on human neuroblastoma cell lines through inducing G2/M cell cycle arrest and promoting apoptosis. Sci World J. 2013;2013:269165.10.1155/2013/269165Search in Google Scholar PubMed PubMed Central
[47] Perk AA, Shatynska-Mytsyk I, Gerçek YC, Boztaş K, Yazgan M, Fayyaz S, et al. Rutin mediated targeting of signaling machinery in cancer cells. Cancer Cell Int. 2014;14(1):1–5.10.1186/s12935-014-0124-6Search in Google Scholar PubMed PubMed Central
[48] Ganeshpurkar A, Saluja AK. The pharmacological potential of rutin. Saudi Pharm J. 2017;25(2):149–64.10.1016/j.jsps.2016.04.025Search in Google Scholar
[49] Gullón B, Lú-Chau TA, Moreira MT, Lema JM, Eibes G. Rutin: A review on extraction, identification and purification methods, biological activities and approaches to enhance its bioavailability. Trends Food Sci Technol. 2017;67:220–35.10.1016/j.tifs.2017.07.008Search in Google Scholar
[50] Caparica R, Júlio A, Araújo MEM, Baby AR, Fonte P, Costa JG, et al. Anticancer activity of rutin and its combination with ionic liquids on renal cells. Biomolecules. 2020;10(2):233.10.3390/biom10020233Search in Google Scholar
[51] Sharma S, Ali A, Ali J, Sahni JK, Baboota S. Rutin: therapeutic potential and recent advances in drug delivery. Expert Opin Invest Drugs. 2013;22(8):1063–79.10.1517/13543784.2013.805744Search in Google Scholar
[52] Schaffer S, Schmitt-Schillig S, Müller WE, Eckert GP. Antioxidant properties of Mediterranean food plant extracts: geographical differences. J Physiol Pharmacol. 2005;56(Suppl 1):115–24.Search in Google Scholar
[53] Wójciak-Kosior M, Skalska A, Matysik A. Determination of phenothiazine derivatives by high performance thin-layer chromatography combined with densitometry. J Pharm Biomed Anal. 2006;41(1):286–9.10.1016/j.jpba.2005.10.035Search in Google Scholar
[54] Vilegas JH, Lanças FM, Wauters JN, Angenot L. Characterization of adulteration of “espinheira santa”(Maytenus ilicifolia and Maytenus aquifolium, Celastraceae) hydroalcoholic extracts with Sorocea bomplandii (Moraceae) by high‐performance thin layer chromatography. Phytochem Anal. 1998;9(6):263–6.10.1002/(SICI)1099-1565(199811/12)9:6<263::AID-PCA415>3.0.CO;2-NSearch in Google Scholar
© 2021 Omar M. Noman et al., published by De Gruyter
This work is licensed under the Creative Commons Attribution 4.0 International License.
Articles in the same Issue
- Regular Articles
- Qualitative and semi-quantitative assessment of anthocyanins in Tibetan hulless barley from different geographical locations by UPLC-QTOF-MS and their antioxidant capacities
- Effect of sodium chloride on the expression of genes involved in the salt tolerance of Bacillus sp. strain “SX4” isolated from salinized greenhouse soil
- GC-MS analysis of mango stem bark extracts (Mangifera indica L.), Haden variety. Possible contribution of volatile compounds to its health effects
- Influence of nanoscale-modified apatite-type calcium phosphates on the biofilm formation by pathogenic microorganisms
- Removal of paracetamol from aqueous solution by containment composites
- Investigating a human pesticide intoxication incident: The importance of robust analytical approaches
- Induction of apoptosis and cell cycle arrest by chloroform fraction of Juniperus phoenicea and chemical constituents analysis
- Recovery of γ-Fe2O3 from copper ore tailings by magnetization roasting and magnetic separation
- Effects of different extraction methods on antioxidant properties of blueberry anthocyanins
- Modeling the removal of methylene blue dye using a graphene oxide/TiO2/SiO2 nanocomposite under sunlight irradiation by intelligent system
- Antimicrobial and antioxidant activities of Cinnamomum cassia essential oil and its application in food preservation
- Full spectrum and genetic algorithm-selected spectrum-based chemometric methods for simultaneous determination of azilsartan medoxomil, chlorthalidone, and azilsartan: Development, validation, and application on commercial dosage form
- Evaluation of the performance of immunoblot and immunodot techniques used to identify autoantibodies in patients with autoimmune diseases
- Computational studies by molecular docking of some antiviral drugs with COVID-19 receptors are an approach to medication for COVID-19
- Synthesis of amides and esters containing furan rings under microwave-assisted conditions
- Simultaneous removal efficiency of H2S and CO2 by high-gravity rotating packed bed: Experiments and simulation
- Design, synthesis, and biological activities of novel thiophene, pyrimidine, pyrazole, pyridine, coumarin and isoxazole: Dydrogesterone derivatives as antitumor agents
- Content and composition analysis of polysaccharides from Blaps rynchopetera and its macrophage phagocytic activity
- A new series of 2,4-thiazolidinediones endowed with potent aldose reductase inhibitory activity
- Assessing encapsulation of curcumin in cocoliposome: In vitro study
- Rare norisodinosterol derivatives from Xenia umbellata: Isolation and anti-proliferative activity
- Comparative study of antioxidant and anticancer activities and HPTLC quantification of rutin in white radish (Raphanus sativus L.) leaves and root extracts grown in Saudi Arabia
- Comparison of adsorption properties of commercial silica and rice husk ash (RHA) silica: A study by NIR spectroscopy
- Sodium borohydride (NaBH4) as a high-capacity material for next-generation sodium-ion capacitors
- Aroma components of tobacco powder from different producing areas based on gas chromatography ion mobility spectrometry
- The effects of salinity on changes in characteristics of soils collected in a saline region of the Mekong Delta, Vietnam
- Synthesis, properties, and activity of MoVTeNbO catalysts modified by zirconia-pillared clays in oxidative dehydrogenation of ethane
- Synthesis and crystal structure of N,N′-bis(4-chlorophenyl)thiourea N,N-dimethylformamide
- Quantitative analysis of volatile compounds of four Chinese traditional liquors by SPME-GC-MS and determination of total phenolic contents and antioxidant activities
- A novel separation method of the valuable components for activated clay production wastewater
- On ve-degree- and ev-degree-based topological properties of crystallographic structure of cuprite Cu2O
- Antihyperglycemic effect and phytochemical investigation of Rubia cordifolia (Indian Madder) leaves extract
- Microsphere molecularly imprinted solid-phase extraction for diazepam analysis using itaconic acid as a monomer in propanol
- A nitric oxide-releasing prodrug promotes apoptosis in human renal carcinoma cells: Involvement of reactive oxygen species
- Machine vision-based driving and feedback scheme for digital microfluidics system
- Study on the application of a steam-foam drive profile modification technology for heavy oil reservoir development
- Ni–Ru-containing mixed oxide-based composites as precursors for ethanol steam reforming catalysts: Effect of the synthesis methods on the structural and catalytic properties
- Preparation of composite soybean straw-based materials by LDHs modifying as a solid sorbent for removal of Pb(ii) from water samples
- Synthesis and spectral characterizations of vanadyl(ii) and chromium(iii) mixed ligand complexes containing metformin drug and glycine amino acid
- In vitro evaluation of lactic acid bacteria with probiotic activity isolated from local pickled leaf mustard from Wuwei in Anhui as substitutes for chemical synthetic additives
- Utilization and simulation of innovative new binuclear Co(ii), Ni(ii), Cu(ii), and Zn(ii) diimine Schiff base complexes in sterilization and coronavirus resistance (Covid-19)
- Phosphorylation of Pit-1 by cyclin-dependent kinase 5 at serine 126 is associated with cell proliferation and poor prognosis in prolactinomas
- Molecularly imprinted membrane for transport of urea, creatinine, and vitamin B12 as a hemodialysis candidate membrane
- Optimization of Murrayafoline A ethanol extraction process from the roots of Glycosmis stenocarpa, and evaluation of its Tumorigenesis inhibition activity on Hep-G2 cells
- Highly sensitive determination of α-lipoic acid in pharmaceuticals on a boron-doped diamond electrode
- Synthesis, chemo-informatics, and anticancer evaluation of fluorophenyl-isoxazole derivatives
- In vitro and in vivo investigation of polypharmacology of propolis extract as anticancer, antibacterial, anti-inflammatory, and chemical properties
- Topological indices of bipolar fuzzy incidence graph
- Preparation of Fe3O4@SiO2–ZnO catalyst and its catalytic synthesis of rosin glycol ester
- Construction of a new luminescent Cd(ii) compound for the detection of Fe3+ and treatment of Hepatitis B
- Investigation of bovine serum albumin aggregation upon exposure to silver(i) and copper(ii) metal ions using Zetasizer
- Discoloration of methylene blue at neutral pH by heterogeneous photo-Fenton-like reactions using crystalline and amorphous iron oxides
- Optimized extraction of polyphenols from leaves of Rosemary (Rosmarinus officinalis L.) grown in Lam Dong province, Vietnam, and evaluation of their antioxidant capacity
- Synthesis of novel thiourea-/urea-benzimidazole derivatives as anticancer agents
- Potency and selectivity indices of Myristica fragrans Houtt. mace chloroform extract against non-clinical and clinical human pathogens
- Simple modifications of nicotinic, isonicotinic, and 2,6-dichloroisonicotinic acids toward new weapons against plant diseases
- Synthesis, optical and structural characterisation of ZnS nanoparticles derived from Zn(ii) dithiocarbamate complexes
- Presence of short and cyclic peptides in Acacia and Ziziphus honeys may potentiate their medicinal values
- The role of vitamin D deficiency and elevated inflammatory biomarkers as risk factors for the progression of diabetic nephropathy in patients with type 2 diabetes mellitus
- Quantitative structure–activity relationship study on prolonged anticonvulsant activity of terpene derivatives in pentylenetetrazole test
- GADD45B induced the enhancing of cell viability and proliferation in radiotherapy and increased the radioresistance of HONE1 cells
- Cannabis sativa L. chemical compositions as potential plasmodium falciparum dihydrofolate reductase-thymidinesynthase enzyme inhibitors: An in silico study for drug development
- Dynamics of λ-cyhalothrin disappearance and expression of selected P450 genes in bees depending on the ambient temperature
- Identification of synthetic cannabinoid methyl 2-{[1-(cyclohexylmethyl)-1H-indol-3-yl] formamido}-3-methylbutanoate using modern mass spectrometry and nuclear magnetic resonance techniques
- Study on the speciation of arsenic in the genuine medicinal material honeysuckle
- Two Cu(ii)-based coordination polymers: Crystal structures and treatment activity on periodontitis
- Conversion of furfuryl alcohol to ethyl levulinate in the presence of mesoporous aluminosilicate catalyst
- Review Articles
- Hsien Wu and his major contributions to the chemical era of immunology
- Overview of the major classes of new psychoactive substances, psychoactive effects, analytical determination and conformational analysis of selected illegal drugs
- An overview of persistent organic pollutants along the coastal environment of Kuwait
- Mechanism underlying sevoflurane-induced protection in cerebral ischemia–reperfusion injury
- COVID-19 and SARS-CoV-2: Everything we know so far – A comprehensive review
- Challenge of diabetes mellitus and researchers’ contributions to its control
- Advances in the design and application of transition metal oxide-based supercapacitors
- Color and composition of beauty products formulated with lemongrass essential oil: Cosmetics formulation with lemongrass essential oil
- The structural chemistry of zinc(ii) and nickel(ii) dithiocarbamate complexes
- Bioprospecting for antituberculosis natural products – A review
- Recent progress in direct urea fuel cell
- Rapid Communications
- A comparative morphological study of titanium dioxide surface layer dental implants
- Changes in the antioxidative properties of honeys during their fermentation
- Erratum
- Erratum to “Corrosion study of copper in aqueous sulfuric acid solution in the presence of (2E,5E)-2,5-dibenzylidenecyclopentanone and (2E,5E)-bis[(4-dimethylamino)benzylidene]cyclopentanone: Experimental and theoretical study”
- Erratum to “Modified TDAE petroleum plasticiser”
- Corrigendum
- Corrigendum to “A nitric oxide-releasing prodrug promotes apoptosis in human renal carcinoma cells: Involvement of reactive oxygen species”
- Special Issue on 3rd IC3PE 2020
- Visible light-responsive photocatalyst of SnO2/rGO prepared using Pometia pinnata leaf extract
- Antihyperglycemic activity of Centella asiatica (L.) Urb. leaf ethanol extract SNEDDS in zebrafish (Danio rerio)
- Selection of oil extraction process from Chlorella species of microalgae by using multi-criteria decision analysis technique for biodiesel production
- Special Issue on the 14th Joint Conference of Chemistry (14JCC)
- Synthesis and in vitro cytotoxicity evaluation of isatin-pyrrole derivatives against HepG2 cell line
- CO2 gas separation using mixed matrix membranes based on polyethersulfone/MIL-100(Al)
- Effect of synthesis and activation methods on the character of CoMo/ultrastable Y-zeolite catalysts
- Special Issue on Electrochemical Amplified Sensors
- Enhancement of graphene oxide through β-cyclodextrin composite to sensitive analysis of an antidepressant: Sulpiride
- Investigation of the spectroelectrochemical behavior of quercetin isolated from Zanthoxylum bungeanum
- An electrochemical sensor for high sensitive determination of lysozyme based on the aptamer competition approach
- An improved non-enzymatic electrochemical sensor amplified with CuO nanostructures for sensitive determination of uric acid
- Special Issue on Applied Biochemistry and Biotechnology 2020
- Fast discrimination of avocado oil for different extracted methods using headspace-gas chromatography-ion mobility spectroscopy with PCA based on volatile organic compounds
- Effect of alkali bases on the synthesis of ZnO quantum dots
- Quality evaluation of Cabernet Sauvignon wines in different vintages by 1H nuclear magnetic resonance-based metabolomics
- Special Issue on the Joint Science Congress of Materials and Polymers (ISCMP 2019)
- Diatomaceous Earth: Characterization, thermal modification, and application
- Electrochemical determination of atenolol and propranolol using a carbon paste sensor modified with natural ilmenite
- Special Issue on the Conference of Energy, Fuels, Environment 2020
- Assessment of the mercury contamination of landfilled and recovered foundry waste – a case study
- Primary energy consumption in selected EU Countries compared to global trends
- Modified TDAE petroleum plasticiser
- Use of glycerol waste in lactic acid bacteria metabolism for the production of lactic acid: State of the art in Poland
- Topical Issue on Applications of Mathematics in Chemistry
- Theoretical study of energy, inertia and nullity of phenylene and anthracene
- Banhatti, revan and hyper-indices of silicon carbide Si2C3-III[n,m]
- Topical Issue on Agriculture
- Occurrence of mycotoxins in selected agricultural and commercial products available in eastern Poland
- Special Issue on Ethnobotanical, Phytochemical and Biological Investigation of Medicinal Plants
- Acute and repeated dose 60-day oral toxicity assessment of chemically characterized Berberis hispanica Boiss. and Reut in Wistar rats
- Phytochemical profile, in vitro antioxidant, and anti-protein denaturation activities of Curcuma longa L. rhizome and leaves
- Antiplasmodial potential of Eucalyptus obliqua leaf methanolic extract against Plasmodium vivax: An in vitro study
- Prunus padus L. bark as a functional promoting component in functional herbal infusions – cyclooxygenase-2 inhibitory, antioxidant, and antimicrobial effects
- Molecular and docking studies of tetramethoxy hydroxyflavone compound from Artemisia absinthium against carcinogens found in cigarette smoke
- Special Issue on the Joint Science Congress of Materials and Polymers (ISCMP 2020)
- Preparation of cypress (Cupressus sempervirens L.) essential oil loaded poly(lactic acid) nanofibers
- Influence of mica mineral on flame retardancy and mechanical properties of intumescent flame retardant polypropylene composites
- Production and characterization of thermoplastic elastomer foams based on the styrene–ethylene–butylene–styrene (SEBS) rubber and thermoplastic material
- Special Issue on Applied Chemistry in Agriculture and Food Science
- Impact of essential oils on the development of pathogens of the Fusarium genus and germination parameters of selected crops
- Yield, volume, quality, and reduction of biotic stress influenced by titanium application in oilseed rape, winter wheat, and maize cultivations
- Influence of potato variety on polyphenol profile composition and glycoalcaloid contents of potato juice
- Carryover effect of direct-fed microbial supplementation and early weaning on the growth performance and carcass characteristics of growing Najdi lambs
- Special Issue on Applied Biochemistry and Biotechnology (ABB 2021)
- The electrochemical redox mechanism and antioxidant activity of polyphenolic compounds based on inlaid multi-walled carbon nanotubes-modified graphite electrode
- Study of an adsorption method for trace mercury based on Bacillus subtilis
- Special Issue on The 1st Malaysia International Conference on Nanotechnology & Catalysis (MICNC2021)
- Mitigating membrane biofouling in biofuel cell system – A review
- Mechanical properties of polymeric biomaterials: Modified ePTFE using gamma irradiation
Articles in the same Issue
- Regular Articles
- Qualitative and semi-quantitative assessment of anthocyanins in Tibetan hulless barley from different geographical locations by UPLC-QTOF-MS and their antioxidant capacities
- Effect of sodium chloride on the expression of genes involved in the salt tolerance of Bacillus sp. strain “SX4” isolated from salinized greenhouse soil
- GC-MS analysis of mango stem bark extracts (Mangifera indica L.), Haden variety. Possible contribution of volatile compounds to its health effects
- Influence of nanoscale-modified apatite-type calcium phosphates on the biofilm formation by pathogenic microorganisms
- Removal of paracetamol from aqueous solution by containment composites
- Investigating a human pesticide intoxication incident: The importance of robust analytical approaches
- Induction of apoptosis and cell cycle arrest by chloroform fraction of Juniperus phoenicea and chemical constituents analysis
- Recovery of γ-Fe2O3 from copper ore tailings by magnetization roasting and magnetic separation
- Effects of different extraction methods on antioxidant properties of blueberry anthocyanins
- Modeling the removal of methylene blue dye using a graphene oxide/TiO2/SiO2 nanocomposite under sunlight irradiation by intelligent system
- Antimicrobial and antioxidant activities of Cinnamomum cassia essential oil and its application in food preservation
- Full spectrum and genetic algorithm-selected spectrum-based chemometric methods for simultaneous determination of azilsartan medoxomil, chlorthalidone, and azilsartan: Development, validation, and application on commercial dosage form
- Evaluation of the performance of immunoblot and immunodot techniques used to identify autoantibodies in patients with autoimmune diseases
- Computational studies by molecular docking of some antiviral drugs with COVID-19 receptors are an approach to medication for COVID-19
- Synthesis of amides and esters containing furan rings under microwave-assisted conditions
- Simultaneous removal efficiency of H2S and CO2 by high-gravity rotating packed bed: Experiments and simulation
- Design, synthesis, and biological activities of novel thiophene, pyrimidine, pyrazole, pyridine, coumarin and isoxazole: Dydrogesterone derivatives as antitumor agents
- Content and composition analysis of polysaccharides from Blaps rynchopetera and its macrophage phagocytic activity
- A new series of 2,4-thiazolidinediones endowed with potent aldose reductase inhibitory activity
- Assessing encapsulation of curcumin in cocoliposome: In vitro study
- Rare norisodinosterol derivatives from Xenia umbellata: Isolation and anti-proliferative activity
- Comparative study of antioxidant and anticancer activities and HPTLC quantification of rutin in white radish (Raphanus sativus L.) leaves and root extracts grown in Saudi Arabia
- Comparison of adsorption properties of commercial silica and rice husk ash (RHA) silica: A study by NIR spectroscopy
- Sodium borohydride (NaBH4) as a high-capacity material for next-generation sodium-ion capacitors
- Aroma components of tobacco powder from different producing areas based on gas chromatography ion mobility spectrometry
- The effects of salinity on changes in characteristics of soils collected in a saline region of the Mekong Delta, Vietnam
- Synthesis, properties, and activity of MoVTeNbO catalysts modified by zirconia-pillared clays in oxidative dehydrogenation of ethane
- Synthesis and crystal structure of N,N′-bis(4-chlorophenyl)thiourea N,N-dimethylformamide
- Quantitative analysis of volatile compounds of four Chinese traditional liquors by SPME-GC-MS and determination of total phenolic contents and antioxidant activities
- A novel separation method of the valuable components for activated clay production wastewater
- On ve-degree- and ev-degree-based topological properties of crystallographic structure of cuprite Cu2O
- Antihyperglycemic effect and phytochemical investigation of Rubia cordifolia (Indian Madder) leaves extract
- Microsphere molecularly imprinted solid-phase extraction for diazepam analysis using itaconic acid as a monomer in propanol
- A nitric oxide-releasing prodrug promotes apoptosis in human renal carcinoma cells: Involvement of reactive oxygen species
- Machine vision-based driving and feedback scheme for digital microfluidics system
- Study on the application of a steam-foam drive profile modification technology for heavy oil reservoir development
- Ni–Ru-containing mixed oxide-based composites as precursors for ethanol steam reforming catalysts: Effect of the synthesis methods on the structural and catalytic properties
- Preparation of composite soybean straw-based materials by LDHs modifying as a solid sorbent for removal of Pb(ii) from water samples
- Synthesis and spectral characterizations of vanadyl(ii) and chromium(iii) mixed ligand complexes containing metformin drug and glycine amino acid
- In vitro evaluation of lactic acid bacteria with probiotic activity isolated from local pickled leaf mustard from Wuwei in Anhui as substitutes for chemical synthetic additives
- Utilization and simulation of innovative new binuclear Co(ii), Ni(ii), Cu(ii), and Zn(ii) diimine Schiff base complexes in sterilization and coronavirus resistance (Covid-19)
- Phosphorylation of Pit-1 by cyclin-dependent kinase 5 at serine 126 is associated with cell proliferation and poor prognosis in prolactinomas
- Molecularly imprinted membrane for transport of urea, creatinine, and vitamin B12 as a hemodialysis candidate membrane
- Optimization of Murrayafoline A ethanol extraction process from the roots of Glycosmis stenocarpa, and evaluation of its Tumorigenesis inhibition activity on Hep-G2 cells
- Highly sensitive determination of α-lipoic acid in pharmaceuticals on a boron-doped diamond electrode
- Synthesis, chemo-informatics, and anticancer evaluation of fluorophenyl-isoxazole derivatives
- In vitro and in vivo investigation of polypharmacology of propolis extract as anticancer, antibacterial, anti-inflammatory, and chemical properties
- Topological indices of bipolar fuzzy incidence graph
- Preparation of Fe3O4@SiO2–ZnO catalyst and its catalytic synthesis of rosin glycol ester
- Construction of a new luminescent Cd(ii) compound for the detection of Fe3+ and treatment of Hepatitis B
- Investigation of bovine serum albumin aggregation upon exposure to silver(i) and copper(ii) metal ions using Zetasizer
- Discoloration of methylene blue at neutral pH by heterogeneous photo-Fenton-like reactions using crystalline and amorphous iron oxides
- Optimized extraction of polyphenols from leaves of Rosemary (Rosmarinus officinalis L.) grown in Lam Dong province, Vietnam, and evaluation of their antioxidant capacity
- Synthesis of novel thiourea-/urea-benzimidazole derivatives as anticancer agents
- Potency and selectivity indices of Myristica fragrans Houtt. mace chloroform extract against non-clinical and clinical human pathogens
- Simple modifications of nicotinic, isonicotinic, and 2,6-dichloroisonicotinic acids toward new weapons against plant diseases
- Synthesis, optical and structural characterisation of ZnS nanoparticles derived from Zn(ii) dithiocarbamate complexes
- Presence of short and cyclic peptides in Acacia and Ziziphus honeys may potentiate their medicinal values
- The role of vitamin D deficiency and elevated inflammatory biomarkers as risk factors for the progression of diabetic nephropathy in patients with type 2 diabetes mellitus
- Quantitative structure–activity relationship study on prolonged anticonvulsant activity of terpene derivatives in pentylenetetrazole test
- GADD45B induced the enhancing of cell viability and proliferation in radiotherapy and increased the radioresistance of HONE1 cells
- Cannabis sativa L. chemical compositions as potential plasmodium falciparum dihydrofolate reductase-thymidinesynthase enzyme inhibitors: An in silico study for drug development
- Dynamics of λ-cyhalothrin disappearance and expression of selected P450 genes in bees depending on the ambient temperature
- Identification of synthetic cannabinoid methyl 2-{[1-(cyclohexylmethyl)-1H-indol-3-yl] formamido}-3-methylbutanoate using modern mass spectrometry and nuclear magnetic resonance techniques
- Study on the speciation of arsenic in the genuine medicinal material honeysuckle
- Two Cu(ii)-based coordination polymers: Crystal structures and treatment activity on periodontitis
- Conversion of furfuryl alcohol to ethyl levulinate in the presence of mesoporous aluminosilicate catalyst
- Review Articles
- Hsien Wu and his major contributions to the chemical era of immunology
- Overview of the major classes of new psychoactive substances, psychoactive effects, analytical determination and conformational analysis of selected illegal drugs
- An overview of persistent organic pollutants along the coastal environment of Kuwait
- Mechanism underlying sevoflurane-induced protection in cerebral ischemia–reperfusion injury
- COVID-19 and SARS-CoV-2: Everything we know so far – A comprehensive review
- Challenge of diabetes mellitus and researchers’ contributions to its control
- Advances in the design and application of transition metal oxide-based supercapacitors
- Color and composition of beauty products formulated with lemongrass essential oil: Cosmetics formulation with lemongrass essential oil
- The structural chemistry of zinc(ii) and nickel(ii) dithiocarbamate complexes
- Bioprospecting for antituberculosis natural products – A review
- Recent progress in direct urea fuel cell
- Rapid Communications
- A comparative morphological study of titanium dioxide surface layer dental implants
- Changes in the antioxidative properties of honeys during their fermentation
- Erratum
- Erratum to “Corrosion study of copper in aqueous sulfuric acid solution in the presence of (2E,5E)-2,5-dibenzylidenecyclopentanone and (2E,5E)-bis[(4-dimethylamino)benzylidene]cyclopentanone: Experimental and theoretical study”
- Erratum to “Modified TDAE petroleum plasticiser”
- Corrigendum
- Corrigendum to “A nitric oxide-releasing prodrug promotes apoptosis in human renal carcinoma cells: Involvement of reactive oxygen species”
- Special Issue on 3rd IC3PE 2020
- Visible light-responsive photocatalyst of SnO2/rGO prepared using Pometia pinnata leaf extract
- Antihyperglycemic activity of Centella asiatica (L.) Urb. leaf ethanol extract SNEDDS in zebrafish (Danio rerio)
- Selection of oil extraction process from Chlorella species of microalgae by using multi-criteria decision analysis technique for biodiesel production
- Special Issue on the 14th Joint Conference of Chemistry (14JCC)
- Synthesis and in vitro cytotoxicity evaluation of isatin-pyrrole derivatives against HepG2 cell line
- CO2 gas separation using mixed matrix membranes based on polyethersulfone/MIL-100(Al)
- Effect of synthesis and activation methods on the character of CoMo/ultrastable Y-zeolite catalysts
- Special Issue on Electrochemical Amplified Sensors
- Enhancement of graphene oxide through β-cyclodextrin composite to sensitive analysis of an antidepressant: Sulpiride
- Investigation of the spectroelectrochemical behavior of quercetin isolated from Zanthoxylum bungeanum
- An electrochemical sensor for high sensitive determination of lysozyme based on the aptamer competition approach
- An improved non-enzymatic electrochemical sensor amplified with CuO nanostructures for sensitive determination of uric acid
- Special Issue on Applied Biochemistry and Biotechnology 2020
- Fast discrimination of avocado oil for different extracted methods using headspace-gas chromatography-ion mobility spectroscopy with PCA based on volatile organic compounds
- Effect of alkali bases on the synthesis of ZnO quantum dots
- Quality evaluation of Cabernet Sauvignon wines in different vintages by 1H nuclear magnetic resonance-based metabolomics
- Special Issue on the Joint Science Congress of Materials and Polymers (ISCMP 2019)
- Diatomaceous Earth: Characterization, thermal modification, and application
- Electrochemical determination of atenolol and propranolol using a carbon paste sensor modified with natural ilmenite
- Special Issue on the Conference of Energy, Fuels, Environment 2020
- Assessment of the mercury contamination of landfilled and recovered foundry waste – a case study
- Primary energy consumption in selected EU Countries compared to global trends
- Modified TDAE petroleum plasticiser
- Use of glycerol waste in lactic acid bacteria metabolism for the production of lactic acid: State of the art in Poland
- Topical Issue on Applications of Mathematics in Chemistry
- Theoretical study of energy, inertia and nullity of phenylene and anthracene
- Banhatti, revan and hyper-indices of silicon carbide Si2C3-III[n,m]
- Topical Issue on Agriculture
- Occurrence of mycotoxins in selected agricultural and commercial products available in eastern Poland
- Special Issue on Ethnobotanical, Phytochemical and Biological Investigation of Medicinal Plants
- Acute and repeated dose 60-day oral toxicity assessment of chemically characterized Berberis hispanica Boiss. and Reut in Wistar rats
- Phytochemical profile, in vitro antioxidant, and anti-protein denaturation activities of Curcuma longa L. rhizome and leaves
- Antiplasmodial potential of Eucalyptus obliqua leaf methanolic extract against Plasmodium vivax: An in vitro study
- Prunus padus L. bark as a functional promoting component in functional herbal infusions – cyclooxygenase-2 inhibitory, antioxidant, and antimicrobial effects
- Molecular and docking studies of tetramethoxy hydroxyflavone compound from Artemisia absinthium against carcinogens found in cigarette smoke
- Special Issue on the Joint Science Congress of Materials and Polymers (ISCMP 2020)
- Preparation of cypress (Cupressus sempervirens L.) essential oil loaded poly(lactic acid) nanofibers
- Influence of mica mineral on flame retardancy and mechanical properties of intumescent flame retardant polypropylene composites
- Production and characterization of thermoplastic elastomer foams based on the styrene–ethylene–butylene–styrene (SEBS) rubber and thermoplastic material
- Special Issue on Applied Chemistry in Agriculture and Food Science
- Impact of essential oils on the development of pathogens of the Fusarium genus and germination parameters of selected crops
- Yield, volume, quality, and reduction of biotic stress influenced by titanium application in oilseed rape, winter wheat, and maize cultivations
- Influence of potato variety on polyphenol profile composition and glycoalcaloid contents of potato juice
- Carryover effect of direct-fed microbial supplementation and early weaning on the growth performance and carcass characteristics of growing Najdi lambs
- Special Issue on Applied Biochemistry and Biotechnology (ABB 2021)
- The electrochemical redox mechanism and antioxidant activity of polyphenolic compounds based on inlaid multi-walled carbon nanotubes-modified graphite electrode
- Study of an adsorption method for trace mercury based on Bacillus subtilis
- Special Issue on The 1st Malaysia International Conference on Nanotechnology & Catalysis (MICNC2021)
- Mitigating membrane biofouling in biofuel cell system – A review
- Mechanical properties of polymeric biomaterials: Modified ePTFE using gamma irradiation