Abstract
The aim of this review study was to assess the past significant events on diabetes mellitus, transformations that took place over the years in the medical records of treatment, countries involved, and the researchers who brought about the revolutions. This study used the content analysis to report the existence of diabetes mellitus and the treatments provided by researchers to control it. The focus was mainly on three main types of diabetes (type 1, type 2, and type 3 diabetes). Ethical consideration has also helped to boost diabetic studies globally. The research has a history path from pharmaceuticals of organic-based drugs to metal-based drugs with their nanoparticles in addition to the impacts of nanomedicine, biosensors, and telemedicine. Ongoing and future studies in alternative medicine such as vanadium nanoparticles (metal nanoparticles) are promising.
1 Introduction
There are many diseases that affect the health of human beings. Some referred to as communicable diseases are infections from microorganisms (bacteria, fungi, and viruses), which spread through contact. In other cases, noncommunicable diseases such as Alzheimer's disease, asthma, heart diseases, and diabetes mellitus could be inherited but not through contact. Diabetes mellitus, simply, “diabetes,” is referred to as a global disease. It is caused by a disorder in food metabolism in the human and mammals because of abnormal secretion of insulin from the beta cells in the pancreas [1]. The outcome is either high blood level/high glucose level (that is hyperglycemia) [1,2,3,4,5,6] or low blood level/high glucose level (that is hypoglycemia) [7,8]. Complications arising from high and low glucose levels when not treated lead to atherosclerosis, ocular disorder, diabetic retinopathy, cardiac abnormalities, cardiovascular diseases, renal dysfunction, and other diseases of the blood vessels [9,10,11]. Medications are failing with side effects, and there is the likelihood of more widespread diabetes this coming decade because of urbanization, growing and aging states of people, and increasing childhood and adult obesities [12,13,14,15]. The present statistics of diabetic patients is alarming with the prediction of higher subjects. World Health Organization (WHO) gave an estimate of about 171 million in the world that had diabetes in the year 2000 to 366 million by 2030 [16]. International Diabetes Federation’s (IDF) Diabetes Atlas also gave an estimate of 578 million adults as diabetic patients in 2030 and 700 million in 1945 [17]. This increase is believed to be primarily due to the global population aging, a decrease in exercise, and increasing rates of obesity [18,19]. Lasker et al. predicted that by the year 2025, 334 million (6.3%) of the global population will have diabetes [1]. The five countries with the greatest number of people with diabetes as of the year 2000 were India having 31.7 million, China 20.8 million, the United States 17.7 million, Indonesia 8.4 million, and Japan 6.8 million [16,20]. World Health Organization (WHO) recognized it as a global epidemic disease [21]. The chart in Figure 1 shows the number of diabetes sorted by age globally in 2017 and a predicted number also sorted by age groups in 2045 [15]. The curiosity was, “Why was there high statistics with over the years treatment?” In essence, aging population, western lifestyle, lack of exercise, obesity, drawbacks, and side effects due to surgery and use of drugs had led to the high statistics of diabetic patients [22]. In sub-Saharan Africa (SSA), diabetes mellitus affected 15.9 million people in 2017 and is predicted to increase to 40.7 million people by 2045 [23]. At the close of 2000, 1.7 million Africans were reported to be diabetic patients, with a predicted increase to 18.6 million in 2030 [24].
![Figure 1
Worldwide prevalence and prediction of diabetes in 2017 and 2045 [15].](/document/doi/10.1515/chem-2020-0153/asset/graphic/j_chem-2020-0153_fig_001.jpg)
Worldwide prevalence and prediction of diabetes in 2017 and 2045 [15].
At the continental level, the top five countries with the highest number of people affected by diabetes in SSA are about 1.2 million Nigerians, 841,000 South Africans, 552,000 Congolese, 550,000 Ethiopians, and 380,000 Tanzanians [25]. In terms of medical attention, the top five countries with the highest costs of diabetes’ treatment are South Africa, Kenya, Zimbabwe, Nigeria, and Ghana [23,24,25]. The American Diabetes Association (ADA) and WHO were able to classify diabetes into type 1 (autoimmune and non-autoimmune, with beta-cell damage), type 2 (various degrees of insulin hyposecretion and insulin resistance), GDM and other types such as endocrinopathy [26,27]. The terminologies such as “insulin-dependent diabetes” and “noninsulin-dependent diabetes” were no longer used to describe the main groups of diabetic patients. Currently, terminologies such as “type 1 diabetes” and “type 2 diabetes” are used to define diabetes. Diabetic patients, more than half of the world population, are from developing countries, including South Africa [28]. It was said that one of every five South African older than 35 years had the possibility of having type 2 diabetes (T2D), and 50% of this age group is not aware that they have it [29]. This study aimed at the history of diabetes and researchers’ contributions to control the disease.
2 Methodology
The methodological approach of this study included a historical review of diabetes from Before Common Era (B.C.E.) to the contemporary period.
2.1 Methodological approach
Content analyses that discussed history and medical records on diabetes were assessed.
2.1.1 Chronological antecedents and medical records of diabetes
The literary version of diabetes is to drain off or siphon fluids from diabetic patients than the quantity they consumed [1]. Historic events of diabetes can be dated back to 3,500 years ago in Egypt [1,30,31,32]. In 1552 B.C.E., Hesy-Ra, an Egyptian physician, recognized that people with recurrent urination that resulted in weight loss might have diabetes [33]. Primordial healers also observed that ants were drawn to the urine of diabetic patients [34]. Hesy-Ra and other Egyptian physicians researched to develop treatment for diabetes. This persuaded diabetic researchers in other border countries like Arab, Asia, and ancient Greece [1]. About 250 B.C.E., the Greeks explained that the disease dissolved flesh and limbs into urine [1]. Ionian Greek, Apollonius of Memphis could have named the disease, “diabetes,” but in the same era, he and his co-workers studied diabetes as a disease of the kidney where they suggested bloodletting and dehydration as mere remedies [35]. Between 30 B.C.E. and 50 C.E., Aulus Cornelius Celsus gave the maiden description of diabetes [36]. In the second century, ancient Greek physicians, named Aretaeus of Cappadocia and Galen, who were supporters of Hippocrates, made efforts in coining the name “diabetes” [1,31,34]. After the name was coined, a series of events followed. Between the fifth and sixth century C.E., apart from the discovery of gestational diabetes, two Indian physicians, Susruta and Charata, were able to differentiate between the two main types of diabetes, namely, type 1 and type 2 diabetes [32,37]. They also described that the urine of diabetic patients is sweet and sticky, which attracted ants. Then, in the seventh century C.E., two physicians, a Chinese Chen Chuan and a Japanese Li Hsuan, described the sweetness of urine of diabetic patients and also found that it attracted dogs [37]. They further said, “diabetics are susceptible to boils and lung contagion, whereby they suggested abstinence from intimacy and wine as solutions for the treatment of diabetes mellitus”. Between 9th–11th centuries, Avicenna (Ibn-Sina) gave an exact description of diabetes [38]. In addition, he said, “gangrene and fall down of sexual dysfunction were precise complications of diabetes” [1,37]. He suggested a mixture of fenugreek, lupin, and zedoary seeds as the treatment for the minor hypoglycemic activity [1]. In 1675, a British called Thomas Willis added the word, “mellitus,” meaning honey sweet after he found again the sweetness of urine and blood in ancient Indian diabetic patients [39]. He published his findings in his book called, Pharmaceutice Rationalis. Willis’s research prompted a novel study in diabetic studies in the United Kingdom [34]. Seven years after, Johann Brunner experimented on a dog to observe the importance of the pancreas in the pathogenesis of diabetes mellitus although he did not ascertain the exact organ [33,40]. A year after, Matthew Dobson, also a British, recognized the occurrence of surplus sugar in urine and blood due to their sweetness. Nine years later, William Buchan gave a stress description of dehydration, frothy saliva, thirst, and elevated body temperature experienced by diabetic patients [33]. In 1788, Cowley conducted the first autopsy on diabetic patients with his discoveries reported in London Journal of Medicine [33]. Between 1797 and 1809, a Scottish physician called John Rollo pioneered medical therapy to cure diabetes mellitus [1,41]. His prescription was based on the control of the disease with an animal diet, consisting of “normal blood puddings” and “fat and rotten meat” [42].
2.1.2 Contemporary period
In the modern era, historical antecedents of diabetes concurred with the occurrence of investigational medicine [37]. In 1815, Michel Eugene named sugar in the blood and urine as glucose [43]. In 1857, French Claude Bernard established the importance of the liver in glycogenesis [44]. Fourteen years after, a German medical student called Paul Langerhans found the islet cells of the pancreas; however, he could not describe the function [1]. Apollinaire Bouchardat, a physician from France in 1871, observed the loss of glycosuria in diabetic patients when the food was rationed during the Franco-Prussian War in the Siege of Paris. He made modified diets to treat the illness [45]. In 1889, two French scientists, Oskar Minkowski and Joseph von Mering of the University of Strasbourg, proved that the elimination of a dog’s pancreas ensued diabetes [34]. In 1901, Eugene Opie, a pathologist at John Hopkins University in Baltimore, Maryland, instituted a link between the failure of the islet of Langerhans in the pancreas and the occurrence of diabetes mellitus [46]. Nine years after, Sir Edward Albert Sharoey-Schafer, an English physiologist, discovered insulin [40]. It derived its name from a Latin name, “insula,” which means island [37,40]. This refers to insulin-producing islets of Langerhans in the pancreas [40]. John J. R. Macleod wrote a book on diabetes entitled, Diabetes: Its Pathological Physiology in 1913 [40]. Another author, Elliot Joslin, a Boston pathologist, brought together a thousand of his cases and wrote the textbook, The Treatment of Diabetes in 1916 [47]. In his textbook, he stressed the importance of fasting and consistent exercise as a treatment for diabetes. This book and his further research gave him a reputation as a renowned expert in diabetes in 1916 [47]. To control the disease of diabetes, Frederick Allen from Rockefeller Institute in New York in 1919 printed his write-up, “Total Dietary Regulations in the Treatment of Diabetes,” which was based on the treatment of strict dieting. Banting’s research made him to discover insulin in July 1921 [47]. The extract worked upon Dog 410 in Professor J.J.R. Macleod’s laboratory space in the University of Toronto in August 1921 [40]. Frederick Banting and Charles Best found that the extract of fetal pancreas from bovine reduced the blood glucose level when used on depancreatized dogs [48]. The extract served as a guide to produce abundant low-priced insulin in November 1921 [40]. The purification of extracts was done to improve the quality by James Bertram Collip, Frederick Banting, and Charles Best in November 1921 [40]. The treatment of diabetes using insulin was administered on Leonard Thompson, a volunteer, in January 1922, while insulin was first mentioned publicly in May 1922 [40]. The mass production of insulin was done with the collaboration of the University of Toronto and Eli Lilly & Co of Indianapolis [72]. In August 1922, Banting administered insulin on diabetic Elizabeth Evans Hughes, where she responded to healing through insulin [49]. The contributions of the four scientists were recognized in the discovery of insulin, but only Banting and Macleod were awarded 1923 Nobel Prize in Physiology or Medicine [40]. This same year, October 1923, insulin became marketable in the United States and Canada. Dr Priscilla White set up the Joslin Pregnancy Clinic from her experience of half of the babies who survived from diabetic mothers in 1924 [40]. Originally when delivering insulin, big and weighty reusable syringes were used. Boiling was used to sterilize these syringes to safeguard effective reuse [50]. In 1924, Becton Dickinson (BD) produced the first syringe specifically for insulin injection, while in 1925, Novo Nordisk launched its first insulin syringe called the “Novo Syringe” [50]. In 1926, Abel prepared the first chemical structure for insulin [1,40]. The two-dimensional chemical structure of insulin is shown in Figure 2 [51].
![Figure 2
The two-dimensional chemical structure of insulin [51].](/document/doi/10.1515/chem-2020-0153/asset/graphic/j_chem-2020-0153_fig_002.jpg)
The two-dimensional chemical structure of insulin [51].
In 1928, insulin was described to be a protein made up of amino acids [1]. Insulin has a molecular mass of 5831.648 g/mol with a chemical formula of C256H387N65O79S6 [52]. In 1936, Hans Christian Hagedorn founded Novo Nordisk and ascertained that the addition of protamine to insulin extended the period in which the drug acted [53]. As a result of the increase in the number of diabetic patients and the complications they experienced, American Diabetic Association (ADA) was founded in 1940 [54]. In 1942, Janbon discovered sulfonylurea as the first oral hypoglycemic agent [1]. Rachmiel Levine, a medical doctor by profession, and colleagues discovered in 1949 that insulin is responsible for transporting glucose into cells [55]. The same year, BD and Company produced a standardized insulin syringe which was endorsed by ADA [56]. In 1952, the ADA funded its first research grants in diabetes [57]. A year after, tablets for testing urine glucose and urine test strips were introduced and were commonly available [37]. In 1954, American Dietetic Association in collaboration with the United States Public Health Service formulated a meal planner, which divided foods into six groups based on calories, carbohydrates, protein, and fat in each served food [58]. In 1955, Franke and Fuchs discovered sulfonylureas hypoglycemic agents (tolbutamide and carbutamide), which were administered orally and were sold for the first time [59]. In 1959, two researchers, named Solomon Berson and Rosalyn Yalow, devised a method using the radioimmunoassay technology to measure insulin in the blood [60]. Both recognized type 1 diabetes as insulin-dependent diabetes and T2D as noninsulin-dependent diabetes. Barely, 24 months after, Eli Lily and Company introduced a hormone called glucagon, which was produced by the pancreas to increase glucose levels to treat severe low blood sugar levels (hypoglycemia) [61]. In 1964, Anton Hubert Clemens Company called “Ames Company” launched the first strips for testing blood glucose using color code [62]. A condition characterized by high blood glucose levels is caused by either a lack of insulin or the body’s inability to use insulin efficiently. Type 2 diabetes develops most often in middle-aged and older adults but can also appear in young people. Pancreas transplantation was carried out for the first time at the University of Manitoba Hospital in 1966 [63]. Subsequently, Ames Company launched the first handy glucose meter called Ames Reflectance Meter in 1970 [63,64]. In 1971, Pierre Freychet made known insulin receptors on cell membranes [55]. A year later, U100 insulin was introduced [34,40]. The introduction of U100 into marked U100 scale insulin syringes decreases the frequency of dosing errors. [65]. In 1974, Biostator was launched to allow continuous glucose monitoring and closed-loop insulin infusion [66,67]. In the same year, human leukocyte antigens were developed on cell surfaces [68]. Two years later, the first insulin pumps were invented to treat type 1 diabetes [50,69]. In 1977, Rosalyn Yalow's work was based on the measurement of insulin in the body, which fetched her Nobel Prize in Physiology and Medicine [70]. The same year, researchers in Boston developed a blood test called the A1C test to measure a person’s average blood glucose [71]. In 1978, researchers in City of Hope National Medical Center in Duarte, California, and Genentech, Inc., in San Francisco, California, used a form of the human insulin gene and introduced it in Escherichia coli to produce synthetic human insulin, which was identical to human insulin [72]. In diabetic patients, portable insulin pumps were introduced and used to obtain normal blood glucose levels [73]. Today, the size made it a disadvantage. The same year, Federal Government established the National Diabetes Information Clearing House to collect and document all diabetic literature [74]. In 1979, National Diabetes Data Group introduced new classification systems: (i) type 1 diabetes (insulin dependent), (ii) T2D (noninsulin dependent), (iii) gestational diabetes, and (iv) diabetes associated with other syndromes or conditions [74].
2.1.2.1 Type 1, type 2, and type 3 diabetes with their animal models
Animal models have immensely contributed to the study of diabetes mellitus, where researchers are privileged to control the genetic and environmental factors that may have an impact on the disease development and establishment of complications with in vivo tests [75–77]. As a result, researchers gain new information about its handling and treatment in humans. Animal models develop diabetes either freely or by using chemical, genetic, surgical, or other methods and show many clinical features or relevant disease phenotypes [75,76]. In addition, an animal model for biomedical research is a normative life science or action that can be studied by investigating the spontaneous or induced pathological process, and in which the occurrence in one or more regards looks like the same occurrence in humans or other animal species [78,79]. An innovative animal model of type 1 diabetes called the nonobese diabetic mouse strain was described in 1980 [77,80,81]. Initiation of the concept of basal-bolus, otherwise known as intensive insulin therapy, is used in clinics to treat patients with type 1 diabetes efficiently. Basal-bolus therapy is the first-line treatment given to type 1 diabetic subjects after the Diabetes Control and Complications Trial (DCCT) [82,83]. It involves self-administration of insulin based on regular home blood glucose monitoring (HBGM) [82,83]. In the case of T2D, TALLYHO/Jng mouse is used as an inherited polygenic model with tolerable obesity [84]. Another generally used model for T2D is the high fat-fed C57BL/6 mouse, which shows various types of features of the diabetic phenotype usually found in obese humans, including insulin resistance and hyperinsulinemia [85,86]. Nevertheless, the diet-induced obese mouse does not reveal glucose-mediated insulin secretion, which is typical of human type 2 diabetic subject, and show expansion of beta-cell mass like db/db and ob/ob mice [87,88].
Gestational diabetes (GDM) is glucose predisposition that develops or is first observed during pregnancy. There are inadequate treatment options for GDM [89]. It is otherwise known as type 3 diabetes. To enhance treatments and understand the mechanisms, suitable GDM animal models are essential [90,91]. In addition, various parts of human diabetic pregnancies, such as amplified spontaneous abortion rates, fetoplacental deficiencies, malformation, and descendants diseases in future life can be approached using suitable animal models [92]. Some researchers used C57BL/6J female mice as a GDM model [93]. Their findings revealed that GDM induces additional maternity weight gain and fetus weight, with irregular material circulating metabolic and inflammation matters and forms a placental hypoxia eco-friendly and influences the placental vascular development [94,95]. The outcome is the likelihood of high threats of perinatal complications of obesity in GDM mothers. Aziz et al. used female Sprague–Dawley rats as the GDM animal models [91]. Results from their findings showed the disease imitation in humans, which can serve as a reference for future study. With the similar result, but different animal models, Kiss et al. used female Wistar rats for the GDM animal model [96].
2.1.2.2 Animal model assessment
There must be an animal model assessment based on relevant species because of the various animal models developed to imitate human disease conditions [97]. Animal risk should be reduced to obtain the best model for both lawful and ethical obligations [98,99]. Ethical principles could assist to fill the gap between increasing the disease knowledge and the increasing disease incidence [100]. Russell and Burch suggested that the use of animals as models must stick to the three “Rs:” (i) replacement (exchanging animals with nonanimal (substitute) models), (ii) reduction (decreasing the number of animals for research), and (iii) refinement (embracing the best quality care for the animal) [101,102]. Food and Drug Administration (FDA) endorsed the induced human insulin produced from genetically human insulin [72]. In 1982, Eli Lilly used the recombinant DNA technology to build up Humulin, a new biosynthetic human insulin, which is the same as human insulin [103]. It can undergo mass production [104]. In addition, a 64K, an autoantibody was discovered and found to be linked with type 1 diabetes [105]. In 1983, low blood sugar’s association with brain metabolism was recognized [106]. Second-generation sulfonylureas became launched in the market, allowing patients to administer small doses with fewer side effects in 1983 [107,108]. A year later, insulin molecule was recognized to be the target of the autoimmune response in type 1 diabetic patients [109,110]. Scientists were able to connect pregnancy with aggravating cases of diabetic retinopathy in 1985 [111]. Twelve months later, a report from The National Diabetes Data Group showed that T2D was more prevalent among African Americans, Mexican Americans, and Native Americans than it can be found among Caucasians [112,113]. Reports further said that 50% of all Pima Indians in Arizona who were older than 35 years had diabetes – highest population worldwide in 1986 [114]. The 64K, which was first discovered in 1982, was predicted to be type 1 diabetes in 1987 [37,115]. In addition, researchers studied that proper control of glucose levels during pregnancy is essential for the health of the fetus [116]. They continued to research on how diabetes aggravates birth defects. In 1989, ADA publicized its first standards of care I order to guide physicians in treating diabetes [117,118]. The study also revealed how a transporter, called GLUT-4, distributes glucose to muscles and fat cells [119]. In 1990, an essential enzyme and a protein called glutamate dicarboxylate (GAD) was found to be involved in cellular communication in the brain and the pancreas [120]. The attack of the immune system on GAD activates a quick autoimmune response that causes diabetes [121,122]. In 1993, DCCT confirmed that good maintenance of blood glucose levels controls eye, kidney, and nerve diseases caused by problems arising from complications from diabetes after a ten-year clinical study [123]. A year later, FDA endorsed Captopril to treat end-stage renal disease [124,125]. Leptin, a fat cell hormone, that modulates attitudes of feeding and secreting hormone was cloned [126,127]. A survival study called “Scandinavarian Simvistatin Survival Study” (4S) confirmed that reducing the cholesterol with statins will decrease the risk of myocardial infarction or stroke, whose impact could be much felt among diabetic patients [129]. In the mid-1990, incretin hormone glucagon-like peptide-1 (GLP-1) was found. It helps to promote the production of insulin when it is secreted in response to food [130]. The GLP-1 led to the introduction of diabetic drugs that could enhance insulin secretion in response to glucose and also enhance the number of beta cells in the pancreas [131]. Metformin is a biguanide, which prevents the production of glucose in the liver (Figure 3) [132,133]. Metformin has a molecular mass of 129.163 g/mol with a chemical formula of C4H11N5 [134]. The trade name is “Glucophage,” and it became available in United States in 1995 [135].

The chemical structure of metformin.
The following year, acarbose, an alpha-glucosidase inhibitor, under the brand name “Precose,” which became available in United States, helped for slow digestion of some carbohydrates. Eli Lilly and Company introduced the longest-acting insulin, Lispro (Humalog), as the first human synthetic insulin in 1996 [53]. Insulin lispro and insulin glargine (toujeo) are optional valid treatments but do not work like natural insulin because they take a longer duration to absorb due to clumping when injected [137]. They are lysine–proline analog. In 1997, FDA endorsed another antidiabetic drug called troglitazone (Figure 4) [138]. Troglitazone has a molecular mass of 441.541 g/mol with a chemical formula of C24H27NO5S. Its brand name is Rezulin (Park–Davis). [139]. It belongs to thiazolidinediones that enhances insulin sensitivity in muscle cells. The drawback of liver toxicity made it to be banned from sale [138]. It had been replaced with rosiglitazone and pioglitazone.

The chemical structure of troglitazone.
In 1997, Richard Bernstein published a book called, Diabetes Solution, which dealt with reducing the consumption of carbohydrates to get excellent blood glucose and prevent diabetic-related complications [140]. Meanwhile, the fasting glucose level used to diagnose diabetes was reduced from 140 to 126 mg/dL [141]. In 1998, Novo Nordisk produced Repaglinide belonging to the class of drugs called meglitinides (Figure 5) [142]. It has a molecular mass of 452.586 g/mol and a chemical formula of C27H36N2. The brand name is Prandin. It stimulates the secretion of insulin in the presence of glucose [143].

The chemical structure of repaginate.
The United Kingdom Prospective Diabetes Study (UKPDS) confirmed that diabetic patients who control glucose levels and blood pressure reduce complications due to T2D [144]. Similar results were obtained from DCCT in type 1 diabetic patients [145,146]. There were transformations in diabetes around the world from these two studies. At the University of Alberta, scientists accomplished the pioneer islet transplant in 1999 [147]. The following year, Shapiro et al. published their results from a research carried out on seven patients with type 1 diabetes who went through the procedure to achieve insulin independence [148,149]. Many first-year patients of type 1 diabetes treated with anticluster of immunology 3 (anti-CD3) monoclonal antibody, hoKT3gamma1 (Ala-Ala), had enhanced metabolic control and insulin production in 2002 [150]. The same year, ADA defined prediabetes as impaired fasting glucose (IFG) of 100–125 mg/dL or impaired glucose tolerance (IGT) of 140–199 mg/dL [151]. Both processes included base consumption of glucose-rich drink after 2 h. Three years after, a first-in-class incretin mimetic (GLP-1) drug known as exenatide (brand name Byetta) was endorsed in the United States to treat T2D [152]. It is an injectable drug that helps to increase insulin production in response to blood sugar levels (BGLs) [153]. Another injectable adjunct drug, Pramlintide (brand name, Symlim), was endorsed in the United States to treat people who administer insulin during meal times, but the blood glucose levels still remained same [154]. Sitagliptin, which was formerly known as MK-0431, was sold as the phosphate salt with the trade name Januvia in the United States (Figure 6) [155]. The molar mass is 407.316 g/mol, and the molecular formula is C16H15F6N5O. It was introduced and sold by Merck and Company. It is an oral antidiabetic drug of dipeptidyl peptidase-4-(DPP-4) inhibitor used to treat T2D [156]. The enzyme-inhibiting agent could be used as a single therapy or a combination therapy (with metformin or thiazolidinediones) [157]. The DPP-4 is an enzyme that naturally obstructs incretin GLP-1 and GIP gastrointestinal hormones by inactivation because GLP-1 works in the gut to enhance insulin secretion [156]. It was introduced and sold by Merck and Company. The US FDA endorsed sitagliptin as the first drug in the class of drugs called DPP-4 inhibitors on October 17, 2006 [158]. They boost the body’s capability to reduce blood sugar [159].

The chemical structure of sitagliptin.
The FDA also endorsed an oral combination of sitagliptin and metformin, which was marketed in the United States as Janumet on April 2, 2007 [160]. In 2008, three studies, namely, ACCORD, ADVANCE, and VADT had the results published and presented at ADA Scientific Sessions [161]. The results were disadvantageous to promote thorough glycemic control on outcomes from high cardiovascular risk experienced in patients with T2D [162]. In the same year, Suzanna M de Monte suggested type 3 diabetes to illustrate insulin resistance in the brain [163]. Subsequently, in 2009, A1C levels of 5.7 to 6.4% were used to verify people with prediabetes [164]. In the United States, FDA endorsed another oral combination of sitagliptin and simvastatin sold as Juvisync on October 7, 2011 [165]. Simvastatin has a molar mass is 418.566 g/mol, and the molecular formula is C25H38O5 (Figure 7).

The chemical structure of simvastatin.
The first in the class of SGLT-2 inhibitors is called canagliflozin (Figure 8), with a molar mass of 444.52 g/mol, and the molecular formula is C29H25FO5S [166]. The trade names of canagliflozin are Invokana, Prominad, and Sulisent, with the FDA endorsement in 2013 [167,168]. In the same year, the University of Cambridge tested an artificial pancreas, which was a combination of an insulin pump with a continuous glucose monitor [169,170,171]. In 2015, Edward Damiano introduced iLet, which is a bionic pancreas that distributes both insulin and glucagon every 300 s [40]. He described the appliance as a, “bridge to a cure.”

The chemical structure of Canagliflozin.
-
Ethical approval: The conducted research is not related to either human or animal use.
3 Nanotechnology
In the 21st century, a recent concept is the application of nanotechnology to medicine [172]. It has several advantages such as improved glucose sensor technology with abilities of more numerous and appropriate blood glucose measurements [173–175]. Nanomedicine is navigating the progress of medical and pharmaceutical sciences to several nanoformulations and drug delivery systems [176]. Nanotechnology uses nanoscale influence to improve the in vivo delivery systems of therapeutic agents [177]. Numerous nanodrug delivery systems have been explored to orally deliver hypoglycemic agents such as lipid nanoparticles, liposomes, micelles, nanoemulsions, and classes of polymeric nanoparticles [178,179]. There is the supremacy of nanodrugs to conventional therapy in terms of availability, drug doses, drug side effects, target tissue selectivity, and purity [176,180].
3.1 Nanomedicine and diabetes mellitus
A recent development in nanotechnology-based methods embraces a significant possibility for improving the care of diabetic patients [181]. The clinical application of these technologies will enable diabetics to manage the disease more efficiently and improve their health and quality of life [182,183]. The nanotechnology research in diabetic management entails islet implantation, insulin and drug discovery, glucose monitoring, and diagnostic approaches [174,184].
3.2 Nanomedicine and type 1 diabetes treatment
Human islets transplantation of an undamaged pancreas could cure diabetes, provided they are cases with synchronized kidney transplantation, where immunosuppression is previously essential [185]. Current developments in cell reprogramming and beta-cell differentiation permit the individualized stem cell generation to give a limitless source of beta cells for research and to develop autologous cell therapies [186,187]. However, there are challenges to develop beta cell replacement therapies [188]. These challenges incorporate suitable quality controls of the stem cells being used, the capability to produce beta cell implantations of firm cellular configuration, and in type 1 diabetes cases, to protect implanted cells from autoimmune derelict without affecting the immune system, other aspects, or the implantation functionality [189]. These new treatments should match or surpass the comparative safety and efficiency for available diabetes care [187,189,190]. Two groups of researchers stated some other treatments, such as boxes with nanopores that protect transplanted beta cells from the immune system attack, nanoparticles, or nanospheres as biodegradable polymer carriers for oral delivery of insulin, as well as synthetic pancreas and synthetic beta cell as substitutes for oral delivery of insulin [189,191]. Nanomedicine has also supported stronger delivery systems that can detect variations in BGLs and automatically control the insulin release rate in type 1 diabetes to sustain normoglycemia [192]. For helping early type 1 diabetic diagnosis, developed nanoparticles are used as imaging contrast agents [174]. The method entails merging glucose nanosensors in implantable devices, which allow more exact and patient-friendly actual-time tracing of blood glucose levels, and also provides the source for glucose responsive, which acts better to imitate the body’s physiological requirements for insulin [174]. They also used nanotechnology in noninvasive methods for insulin delivery and bring about more efficient cell, gene, and vaccine therapies for type 1 diabetes. A group of researchers were not only of the opinion of the implantable nanosensors but also stated the use of microphysiometer and nanopump [192]. Microphysiometer is a structure made of multiwalled electrically conductive carbon nanotubes, which are like numerous flat sheets of carbon atoms arranged and moved into very small tubes to detect periodic functional responses from living cells as well as provide new information on cell signaling, which is often unavailable from other assay methods [193]. The nanotubes work steadily at body pH levels [194]. Nanopump is a basic device that has countless applications in medicine [195]. Current detection approaches entail insulin production measurement at intervals by collecting small samples and assessing their insulin levels period by period [196]. This new approach entails detecting insulin levels boundlessly by measuring electron transfer formed when insulin molecules oxidize in the presence of glucose [197,198]. When electrons are formed, there will be an increase in the sensor current and vice versa, permitting monitoring insulin concentration in actual time [198].
3.3 Nanomedicine and T2D treatment
It had been reported that insulin can treat T2D with its intracellular activity, but insulin intracellular delivery is a challenge in basic research or clinical medicine [198,199]. In drug delivery, nanotechnology supports drugs that have experienced poor bioavailability challenges or that caused adverse outcomes when delivered via conventional forms [184]. A model delivery vector with effective internalization and high stability should be able to overcome this challenge [200]. Xiao et al. stated that a biomineralization modification of insulin can deliver it into whole cells on a large scale, resulting in long-term therapeutic actions on diabetic mellitus [200]. Recently, several nanomaterials such as liposomes, micellar formulations, nanocages, nanotubes, polymer drug conjugates, and polymeric nanoparticles were used as intracellular insulin (protein) delivery carriers [201]. This gives a new approach to biomimetic nanotechnology for biomedical applications [202].
3.4 Nanomedicine and type three diabetes treatment
Currently, in the medical diagnostic method for GDM therapeutics, there is a challenge to deliver and secure drugs to the accurate position [203]. As a result, Cheng et al.’s research focused on the green synthesis of gold nanoparticles (Au-NPs) by means of Ramulus mori leaf extract with methanol in an environmentally friendly approach. Methanolic leaf extract, gold(III) chloride, and polyacrylic acid were used to synthesize polyacrylic acid gold nanoparticles (Au-PAA-Nps) via the process of institute chemical polymerization [203]. They used rat (in vivo screening) to assess the drug delivery system and concluded that Au-NPs were active against gestational diabetes, as a new approach to treat GDM. Other antidiabetic delivery drugs are anionic liposomes including (cholesterol, DPPC, DSPEPG8G, and DPPG for GLP-1) liposome-based system (glycerolphosphate–chitosan microcomplexaation for metformin), niosome-based system (cholesterol, span 40, and span 40/cholesterol dicetyl phosphate for metformin; DOTAP for metformin hydrochloride; cholesterol for repaglinide; cholesterol and span 20 for pioglitazone; cholesterol for gliclazide; and span 60), and polymeric nanoparticles-based system (for repaglinide) [204–207].
3.5 Safety of nanomedicine to diabetes treatment
Nanomedicine entails the use nanoparticles for therapeutics and diagnosis in diabetes treatment [172]. Present-day nanotherapeutics such as Abraxane and Doxil show some side effects, while other nanoparticles (metallic and carbon-based particles) are likely to show toxicity [174]. Significantly to be mentioned is the safety of these nanoparticles for biocompatibility and desired activity to be attained [208]. Wolfram et al. reported the use of surface modification and pretreatment with immunomodulators as strategies to improve nanoparticles’ safety [208].
4 Recent developments, biosensors, and telemedicine (TM)
4.1 Biosensors
To improve the management of diabetes mellitus, there is a need for devices of laboratory analyzers, self-monitoring, closed-loop insulin delivery, and alarms connected with implantable sensors [207]. Advancement in biosensors entails the use of glucose sensors [175]. The extension of biosensor technology to tackle other important substrates is discussed, the principal hurdle to success being seen as the lack of long-term stability of the biological component [209].
Currently, the use of biosensors for the glucose analysis in physiological fluids or samples containing large glucose quantities (such as beverages, food products, and pharmaceutical preparations) was based on nanobiocomposite consisting of poly(1,10-phenanthroline-5,6-dione), poly(pyrrole-2-carboxylic acid), gold nanoparticles, and glucose oxidase was developed [210–213]. It is a reagent-less amperometric glucose biosensor, which has anti-interference capability to common interfering substances, good reproducibility, high long-term stability, and wide linear range [211,214,215] In addition, it can be used to detect glucose in actual samples with good accuracy, which was confirmed by analyzing medical preparations [216,217]. Another application of biosensors is the in vitro model for evaluating glucose penetration through the skin [218]. The penetration spots nano holes in the skin as the main transdermal glucose penetration pathway [175,218].
4.2 TM
TM is an emerging technological advancement, which entails applying telecommunication systems to deliver health care remotely [219–221]. It can enhance patient health results, gain access to health care, and decrease health care expenses [222]. In 2015, Flodgren et al. assessed Cochrane Database Systematic Review, where they reported the efficiency and viability of applying TM to diabetic patients [219]. Their study concluded that TM involvement could give notable improvement and control blood glucose in comparison with typical diabetic care. The three main types of TM are real-time interactive services, remote monitoring, and store-and-forward. Each can provide substantial benefits for both healthcare personnel and patients [223,224].
Regardless of the factors of age and education level, there is a positive perception about TM among 75% of people with type 1 diabetes [225]. They considered TM beyond this COVID-19 pandemic. Nevertheless, poor glucose control generally in males appears to have a negative perception of TM [226].
In the case of T2D management, in addition to observing prescribed therapy and modified lifestyle, TM helps patients to adhere in various ways, such as reporting daily blood glucose assessments, a nurse could quickly respond to patient’s health status and prescribe medication when needed, and facilitation of regular communication between patients and nurse case manager [227].
In line with GDM, researchers defined TM as health facilities and medical actions offered by healthcare professionals via remote communication technologies [228–230]. Recently, information and communication technology introduced additional technological support for GDM clinical treatment [231]. The TM intervention is efficient in glycemic control and pregnancy outcomes in pregnant women with GDM because of its convenience in limiting face-to-face and impromptu consultations [231].
Gestational diabetes mellitus in women during the COVID-19 pandemic was remotely managed using a mobile phone application with artificial intelligence, which automatically classifies and analyses the data (ketonuria, diet transgressions, and blood glucose values), to make modification recommendations concerning the diet or insulin treatment [232,233].
5 Metallotherapy and diabetes treatment
The metals with antidiabetic and insulin-mimetic agents are chromium (Cr), cobalt (Co), manganese (Mn), molybdenum (Mo), selenium (Se), tungsten (W), vanadium (V), and zinc (Zn) [234]. They are useful as biomimetic drugs.
5.1 Choice for vanadium among other metals
Numerous applications of vanadium and its complexes seem to be the most potent among these metal complexes because the orally administered low concentration of vanadium complexes to animals prevented the onset of diabetes [234–236]. They also normalize BGLs of both type 1 diabetes and T2D [237–239]. Other factors contributing to the selection were based on availability, absorption, distribution, metabolism, transportation, and excretion [236].
5.1.1 Chemistry of vanadium metal
Vanadium has variable oxidation states ranging from −3 to +5 with the exception of −2 [240,241]. Among these oxidation states of vanadium, the commonest are +2, +3, +4, and +5. The oxidation states of vanadium, which are thermodynamically and physiologically stable and physiologically relevant are V3+, V4+, and V5+ [236,242,243]. Vanadium’s oxidation states of +3, +4, and +5 bond readily with oxygen, nitrogen, and sulfur to form big complexes [244].
5.2 Biological activities of vanadium compounds
After 18 years of misconception that vanadium was carcinogenic and slightly toxic, it was ratified as an essential trace element with antidiabetic and anticarcinogenic properties [245–247].
Inkling for the use of vanadium compounds as insulin-mimetic agents among nutritionists arose when they discovered that vanadium was an essential element in some marine animals [248]. Vanadium is accumulated up to 0.7 g/kg in dry weight in macro fungi species such as amanita muscaria and peculiar species [249]. Further investigation was performed to support the synthesis of vanadium compounds, i.e., the two classes of natural vanadium enzymes, namely, vanadium nitrogenase and vanadase-dependent haloperoxidases [250,251]. Some nitrogen-fixing microorganisms such as azotobacter uses vanadium nitrogenase, where vanadium replaces molybdenum or iron, giving slight different properties to vanadium nitrogenase [252]. Another driving force to vanadium coordination chemistry was the medical uses observed when vanadate, peroxovanadate, vanadyl, and other vanadium complexes influence insulin-mimetic properties [253].
The deficiency of vanadium in animals and humans leads to retarded growth and reduced reproduction [254]. Vanadium possibly has glycemic control because of its insulin-mimetic properties in both in vitro and in vivo models of animals, thereby preventing the phosphotyrosine phosphatase (PTP) enzyme system [236,253].
5.2.1 Vanadium uses as antidiabetic and insulin-mimetic agents
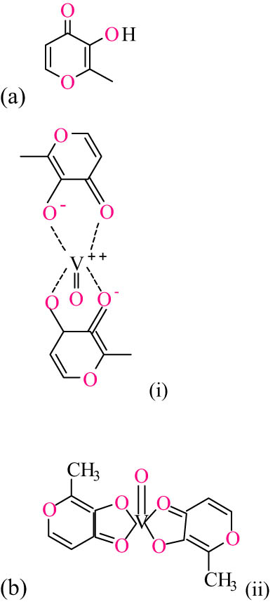
According to Crans et al., vanadium’s antidiabetic activities have been known for more than 100 years ago [243]. The activities entail vanadium compounds and its biological applications to diabetes. Vanadium compounds emerged as antidiabetic and insulin-mimetic agents for potential uses in diabetes therapy because they could mimic insulin in in vitro and in vivo systems against both type 1 diabetes and type 2 diabetes [236]. Antidiabetic treatment in animals with inorganic vanadium salts resulted in low absorption from gastrointestinal tracts, and side effects, such as gastrointestinal distress, reduced body weight gain, hepatic, and renal toxicities. Recently, studies showed that organic vanadium compounds were safer than inorganic vanadium salts with little or no effects. Bis(maltolato)oxovanadium(IV) (BMOV) made excellent glucose-lowering impacts at an extraordinary lower dose without obvious sign of toxicity than early used inorganic vanadium salts [254]. They used maltol as the organic ligand to coordinate vanadium(iv) ion. Maltol (3-hydroxy-2-methyl-4-pyrone) is one of the numerous hydroxypyrones, long identified for high bioavailability and extremely approved toxicity profiles [255,256]. It is a recommended food additive applied to give a desired malty flavor and smell to beer, bread, cakes, and other beverages [257,258]. Its analogue ethylmaltol (2-ethyl-3-hydroxy-4-pyrone) is also a recommended food additive [259]. Chemical structures of maltol and BMOV (ionic and neutral forms) are shown in Figure 9a and b, respectively. Adam et al. also reported that the insulin-mimetic antidiabetic efficacy of vanadium(iv) complex of vitamin A possesses enhanced antioxidant effect, kidney and liver functions, lipid profile, glutathione, malondialdehyde (MDA), and methionine synthase [260]. Conversely, Buglyó et al. were able to study the dipicolinate complexes in vanadium’s three oxidation states (+3, +4, and +5) in a chronic animal model system [261]. Results from their studies revealed vanadium(v) dipicolinate complex as the most active to decrease the blood glucose level. They concluded that both ligand and metal oxidation states influenced the antidiabetic and insulin-mimetic activities of compounds [261].

(a) Chemical structure of maltol (ligand). (b) Chemical structure of bis(maltolato)oxovanadium(iv) (BMOV) in ionic (i) and neutral (ii) forms.
5.2.2 Metal nanoparticles as antidiabetic and insulin-mimetic agent
Lushchak et al. emphasized the enhanced antidiabetic and insulin-mimetic activities from metal nanoparticles with a dimension of 1–100 nm, very promising for T2D treatment because of their tuned physicochemical characteristics properties and capability to alter the oxidative stress level [262].
5.2.3 Vanadium nanoparticles as antidiabetic and insulin-mimetic agent
Vijay et al. concluded from their studies that vanadium nanoparticles are better antidiabetic and insulin-mimetic agents than vanadium complexes (organic vanadium) in controlling the biochemical parameters (reduced creatinine, serum glucose, triacylglycerol, total cholesterol urea, as well as, increased liver glycogen levels and serum protein) without any side effects [263,264]. In other words, results revealed improved glucose homeostasis.
6 Conclusion
The fourth type of diabetes and other types of diabetes that are recognized to be initiated by other factors like cystic fibrosis or by chemical induction were outside the scope of this study. As a result, this study dealt with type 1, type 2, and type 3 diabetes. This study gave an overview of the history of diabetes mellitus and how researchers around the globe contributed to control it from early years to this present moment. The content analysis was used as the methodological approach to assess researchers’ impacts from the past to the contemporary era. An issue on animal models, which was held with ethical consideration, was highlighted to have helped to boost diabetic studies. Nanotechnology brought illumination to diabetes treatment. The safety of nanomedicine is to be ensured for biocompatibility and desired results. Recent studies and developments entail the diagnosis and treatment of diabetes mellitus with the eminent roles and applications of biosensors and TM. Biosensors are applied in glucose analysis and glucose penetration in the skin, while TM helps to deliver health care remotely to diabetic people. In metallotherapeutic approach to diabetes treatment, vanadium and its coordination compounds were selected because they were the most potent among other metal coordination compounds, can be orally administered at low concentration to animals, and other numerous factors based on availability, absorption, distribution, metabolism, transportation, and excretion. Vanadium nanoparticles (metal nanoparticles) also provided enhanced glucose homeostasis. The application of vanadium nanoparticles will help to solve the drawback experienced because of antidiabetic drugs sold to diabetic patients and limit the use of injection during the administration of insulin.
7 Future research
Future research will entail the comparative studies of oxovanadium(iv) nanoparticles and zinc(ii) nanoparticles as antidiabetic and insulin-mimetic agents.
Acknowledgment
The authors appreciate Govan Mbeki Research and Development Centre (GMRDC) for financial assistance.
-
Funding information: The authors appreciate Govan Mbeki Research and Development Centre (GMRDC) for financial assistance.
-
Author contributions: A. T. O.: conceptualized the study, collected the data, wrote the paper, revised the paper, and approved the final version to be published. P. A. A.: supervised, acquired funding, and approved the final version to be published.
-
Conflict of interest: The authors declare no conflict of interest.
-
Data availability statement: All data generated and analyzed during this study are included in this published article (and its supplementary information files).
References
[1] Lasker SP, McLachlan CS, Wang L, Ali SMK, Jelinek HF. Discovery treatment and management of diabetes. J Diabetol. 2010;1(1):1–8.10.4103/2078-7685.197528Search in Google Scholar
[2] American Diabetes Association. Diagnosis and classification of diabetes mellitus. Diabetes Care. 2009;32(Suppl 1):S62–7. 10.2337/dc09-S062.Search in Google Scholar
[3] Sakurai H, Kojima Y, Yoshikawa H, Kenji K, Yasui H. Antidiabetic vanadium(iv) and zinc(ii) complexes. Coord Chem Rev. 2002;226(1–2):187–98. 10.1016/S0010-8545(01)00447-7.Search in Google Scholar
[4] Thompson KH, Chiles J, Yuen VG, McNeill J, Orvig C. Comparison of anti-hyperglycemic effect amongst vanadium, molybdenum and other metal maltol complexes. J Inorg Biochem. 2004;98(5):683–90. 10.1016/j.jinorgbio.2004.01.006.Search in Google Scholar PubMed
[5] Adachi Y, Sakurai H. Comparative study of insulin-mimetic activity of vanadium and zinc complexes. Biomed Res Trace Elem. 2004;15(4):351–4. 10.11299/brte.15.351.Search in Google Scholar
[6] Alsahli M, Gerich JE. Hypoglycemia in patients with diabetes and renal disease. J Clin Med. 2015;4(5):948–64. 10.3390/jcm4050948.Search in Google Scholar PubMed PubMed Central
[7] Clarke W, Jones T, Rewers A, Dunger D, Klingensmith GJ. Assessment and management of hypoglycemia in children and adolescents with diabetes. Pediat Diab. 2009;10(12):134–45. 10.1111/j.1399-5448.2009.00583.Search in Google Scholar
[8] Shafiee G, Mohajeri-Tehrani M, Pajouhi M, Larijani B. The importance of hypoglycemia in diabetic patients. J Diabetes Metab Disord. 2012;11(1):1–7. 10.1186/2251-6581-11-17.Search in Google Scholar PubMed PubMed Central
[9] Sheela A, Mohana Roopan S, Vijayaraghavan R. New diketone based vanadium complexes as insulin mimetics. Euro J Med Chem. 2008;43(10):2206–10. 10.1016/j.ejmech.2008.01.002.Search in Google Scholar PubMed
[10] Rask-Madsen C, King GL. Vascular complications of diabetes: mechanisms of injury and protective factors. Cell Metab. 2013;17(1):20–33. 10.1016/j.cmet.2012.11.012.Search in Google Scholar PubMed PubMed Central
[11] Yeh GY, Eisenberg DM, Kaptchuk TJ, Phillips RS. Systematic review of herbs and dietary supplements for glycemic control in diabetes. Diabetes Care. 2003;26(4):1277–94. 10.2337/diacare.26.4.1277.Search in Google Scholar PubMed
[12] Pirgon Ö, Aslan N. The role of urbanization in childhood obesity. J Clin Res Pediatr Endocrinol. 2015;7(3):163–7. 10.4274/jcrpe.1984.Search in Google Scholar PubMed PubMed Central
[13] Wu Y, Ding Y, Tanaka Y, Zhang W. Risk factors contributing to type 2 diabetes and recent advances in the treatment and prevention. Int J Med Sci. 2014;11(11):1185–200. 10.7150/ijms.10001, PMID: 25249787.Search in Google Scholar PubMed PubMed Central
[14] Cheema A, Adeloye D, Sidhu S, Sridhar D, Chan KY. Urbanization and prevalence of type 2 diabetes in Southern Asia: a systematic analysis. J Glob Health. 2014;4(1):1–20. 10.7189/jogh.04.010404.Search in Google Scholar PubMed PubMed Central
[15] Elfflein J. Number of diabetics worldwide in 2017 and 2045, by age group (in millions)* [cited 2019 Feb 10] Available from: https://www.statista.com/statistics/495319/number-ofdiabetics-forecast-worldwide-by-age/#statisticContainerSearch in Google Scholar
[16] Wild S, Roglic G, Green A. Global prevalence of diabetes: estimates for the year 2000 and projections for 2030. Diabetes Care. 2004;27(5):1047–53.10.2337/diacare.27.10.2569-aSearch in Google Scholar
[17] IDF Diabetes Atlas (9th edition) 2019. [cited 2021 Apr 02] Available from: https://www.diabetesatlas.org/en/resources/Search in Google Scholar
[18] Zimmet PZ. Diabetes and its drivers: the largest epidemic in human history? Clin Diabetes Endocrinol. 2017;3(1):1–8. 10.1186/s40842-016-0039-3.Search in Google Scholar PubMed PubMed Central
[19] Bhupathiraju SN, Hu FB. Epidemiology of obesity and diabetes and their cardiovascular complications. Circ Res. 2016;118(11):1723–35. 10.1161/CIRCRESAHA.115.306825.Search in Google Scholar PubMed PubMed Central
[20] Standl E, Khunti K, Hansen TB, Schnell O. The global epidemics of diabetes in the twenty-first century: current situation and perspectives. Euro J Prev Cardiol. 2019;26(2S):7–14. 10.1177/2047487319881021.Search in Google Scholar PubMed
[21] Stewart WF, Ricci JA, Leotta C. Health-related lost productive time (LPT): recall interval and bias in LPT estimates. J Occup Env Med. 2004;46(6 Suppl):S12–22. 10.1097/01.jom.0000126685.59954.55.Search in Google Scholar PubMed
[22] Hurt RT, Kulisek C, Buchanan LA, McClave SA. The obesity epidemic: challenges, health initiatives, and implications for gastroenterologists. Gastroenterol Hepatol (N Y). 2010;6(12):780–92.Search in Google Scholar
[23] Mercer T, Chang AC, Fischer L, Gardner A, Kerubo I, Tran DN, et al. Mitigating the burden of diabetes in Sub-Saharan Africa through an integrated diagonal health systems approach. Diabetes Metab Syndr Obes. 2019;12:2261–72. 10.2147/DMSO.S207427.Search in Google Scholar PubMed PubMed Central
[24] Azevedo M, Alla S. Diabetes in Sub-Saharan Africa: Kenya, Mali, Mozambique, Nigeria, South Africa and Zambia. Int J Diabetes Dev Ctries. 2008;28(4):101–8. 10.4103/0973-3930.45268.Search in Google Scholar PubMed PubMed Central
[25] Mbanya JC, Ramiaya K. Diabetes mellitus. In: Jamison DT, Feachem RG, Makgoba MW, Bos ER, Baingana FK, Hofman KJ, et al. Disease and mortality in sub-Saharan Africa. 2nd edn Washington (DC): The International Bank for Reconstruction and Development/The World Bank; 2006. Chapter 19. [cited 2021 Apr 02] Available from: https://www.ncbi.nlm.nih.gov/books/NBK2291/Search in Google Scholar
[26] Raubenheimer P. What type of diabetes does my patient have and is it relevant? There may be overlap between the presentation of type 1 and type 2 diabetes. CME. 2010;28(10):474–8.Search in Google Scholar
[27] Forbes JM, Cooper ME. Mechanisms of diabetic complications. Physiol Rev. 2013;93:137–88. 10.1152/physrev.00045.2011.Search in Google Scholar PubMed
[28] Naicker A. End-stage renal disease in Sub-Saharan Africa. Kidney Int Suppl. 2013;3(2):161–3. 10.1038/kisup.2013.4.Search in Google Scholar
[29] Mutyambizi C, Booysen F, Stokes A, Pavlova M, Groot W. Lifestyle and socio-economic inequalities in diabetes prevalence in South Africa: a decomposition analysis. PLoS One. 2019;14(1):1–21. 10.1371/journal.pone.0211208.Search in Google Scholar PubMed PubMed Central
[30] Daniells S. Diabetes from ancient Egypt to modern pandemic [cited 2021 Apr 03] Available from: https://www.nutraingredients-usa.com/Article/2011/07/18/Diabetes-From-ancient-Egypt-to-modern-pandemicSearch in Google Scholar
[31] Khalid SA, Eqbal K, Patel I, Mulla I, Ansari S, Ayesha B. The history of diabetes: from olden days to discovering insulin. Int J Unani Integ Med. 2017;1(1):25–8.10.33545/2616454X.2017.v1.i1a.7Search in Google Scholar
[32] Pathak AK, Sinha PK, Sharma J. Diabetes-a historical review. J Drug Del Ther. 2013;3(1):83–4.10.22270/jddt.v3i1.389Search in Google Scholar
[33] Nwaneri C. Diabetes: a complete ancient and modern historical perspective. Webmed Cent. 2015;10:12–40.Search in Google Scholar
[34] Karamanou M, Protogerou A, Tsoucalas G, Androutsos G, Poulakou-Rebelakou E. Milestones in the history of diabetes mellitus: the main contributors. World J Diabet. 2016;7(1):1–7. 10.4239/wjd.v7.i1.1.Search in Google Scholar PubMed PubMed Central
[35] Anwer R, Al Qumaizi KI, Al Shaqha WM, Khan FI. From pancreatic to non-pancreatic insulin: a miraculous journey. Int J Bio Chem. 2016;9(6):302–17. 10.3923/ijbc.2015.302.317.Search in Google Scholar
[36] Lazzeri D, Agostini T, Figus M, Nardi M, Spinelli G, Pantaloni M, et al. The contribution of Aulus Cornelius Celsus (25 B.C.–50 A.D.) to eyelid surgery. Orbit. 2012;31(3):162–7. 10.3109/01676830.2011.648816.Search in Google Scholar PubMed
[37] Lakhtakia R. The history of diabetes mellitus. Sultan Qaboos Univ Med J. 2013;13(3):368–70. 10.12816/0003257.Search in Google Scholar PubMed PubMed Central
[38] Sharofova M, Nuraliev Y, Sukhrobov P, Sagdieva S, Dushenkov V. Can Avicenna help manage the diabetes epidemic in Central Asia? Cent Asian J Med Sci. 2017;3(3):200–20. 10.24079/CAJMS.2017.11.002.Search in Google Scholar
[39] Motilal Jaiswal KM, Shah C. Review of diabetes mellitus and herbs in ayurveda. Imper J Interdis Res. 2016;2(3):514–20.Search in Google Scholar
[40] Vecchio I, Tornali C, Bragazzi NL, Martini M The discovery of insulin: an important milestone in the history of medicine. Front Endocrinol (Lausanne). 2018;9(613):1–8. 10.3389/fendo.2018.00613.Search in Google Scholar PubMed PubMed Central
[41] Stylianou C, Kelnar C. The introduction of successful treatment of diabetes mellitus with insulin. J R Soc Med. 2009;102(7):298–303. 10.1258/jrsm.2009.09k035.Search in Google Scholar PubMed PubMed Central
[42] Day C, Bailey C. The hypocaloric diet in type 2 diabetes – déjà vu. Brit J Diabetes Vasc Dis. 2012;12(1):48–51. 10.1177/1474651412437503.Search in Google Scholar
[43] Jörgens V, Porta M, (eds). Unveiling diabetes – historical milestones in diabetology. Front diabetes. Vol. 29, Basel, Karger; 2020. p. 1–13. 10.1159/000506554.Search in Google Scholar
[44] Ahmed AM. History of diabetes mellitus. Saudi Med J. 2002;23(4):373–8.Search in Google Scholar
[45] Karamanou M, Koutsilieris M, Laios K, Marineli F, Androutsos G. Apollinaire Bouchardat (1806–1886): Founder of modern diabetology. Horm. 2014;3(2):296–300.10.1007/BF03401345Search in Google Scholar PubMed
[46] Ceranowicz P, Cieszkowski J, Warzecha Z, Kuśnierz-Cabala B, Dembiński A. The beginnings of pancreatology as a field of experimental and clinical medicine. Biomed Res Int. 2015;2015(128095):1–5. 10.1155/2015/128095.Search in Google Scholar PubMed PubMed Central
[47] Mazur A. Why were “starvation diets” promoted for diabetes in the pre-insulin period? Nutr J. 2011;10(23):1–9. 10.1186/1475-2891-10-23.Search in Google Scholar PubMed PubMed Central
[48] Stansfield WD. The discovery of insulin: a case study of scientific methodology. Amer Bio Teach. 2012;74(1):10–4. 10.1525/abt.2012.74.1.4.Search in Google Scholar
[49] Cameron I. An operatic version of the Banting story. CMAJ. 2011;183(14):e1092. 10.1503/cmaj.110091.Search in Google Scholar
[50] Kesavadev J, Saboo B, Krishna MB, Krishnan G. Evolution of insulin delivery devices: from syringes, pens, and pumps to DIY artificial pancreas. Diabetes Ther. 2020;11(6):1251–69. 10.1007/s13300-020-00831-z.Search in Google Scholar PubMed PubMed Central
[51] Insulin Aspart. [cited 2019 Feb]. Available from https://pubchem.ncbi.nlm.nih.gov/compound/118984445#section=TopSearch in Google Scholar
[52] PubChem [Internet]. National Center for Biotechnology Information. Bethesda (MD): National Library of Medicine (US); 2004. PubChem Compound Summary for CID 118984375, Insulin human [cited 2021 Apr. 4]. Available from: https://pubchem.ncbi.nlm.nih.gov/compound/Insulin-humanSearch in Google Scholar
[53] Hirsch IB, Juneja R, Beals JM, Antalis CJ, Wright EE. The evolution of insulin and how it informs therapy and treatment choices. Endocr Rev. 2020;41(5):733–55. 10.1210/endrev/bnaa015.Search in Google Scholar PubMed PubMed Central
[54] Jörgens V, Porta M, (eds). Unveiling diabetes – historical milestones in diabetology. Front diabetes. Vol. 29, Basel, Karger; 2020. p. 180–90. 10.1159/000506560.Search in Google Scholar
[55] De Meyts P. The insulin receptor and its signal transduction network. [Updated 2016 Apr 27]. In: Feingold KR, Anawalt B, Boyce A, et al. editors, Endotext [Internet]. South Dartmouth (MA): MDText.com, Inc; 2000. Available from: https://www.ncbi.nlm.nih.gov/books/NBK378978/Search in Google Scholar
[56] Shah RB, Patel M, Maahs DM, Shah VN. Insulin delivery methods: past, present and future. Int J Pharm Investig. 2016;6(1):1–9. 10.4103/2230-973X.176456.Search in Google Scholar PubMed PubMed Central
[57] Fonseca VA, Kirkman MS, Darsow T, Ratner RE. The American diabetes association diabetes research perspective. Diabetes Care. 2012;35(6):1380–7. 10.2337/dc12-9001.Search in Google Scholar PubMed PubMed Central
[58] Gray A, Threlkeld RJ. Nutritional recommendations for individuals with diabetes. [Updated 2019 Oct 13]. In: Feingold KR, Anawalt B, Boyce A, et al. editors, Endotext [Internet]. South Dartmouth (MA): MDText.com, Inc; 2000. Available from: https://www.ncbi.nlm.nih.gov/books/NBK279012/Search in Google Scholar
[59] Lebovitz HE, Bonhomme Y. Unveiling diabetes-historical milestones in diabetology. In: Jörgens V, Porta M. editors, Front diabetes. Vol. 29, Basel, Karger; 2020. p. 115–33. 10.1159/000506558.Search in Google Scholar
[60] Polonsky KS. The past 200 years in diabetes. N Engl J Med. 2012;367:1332–40.10.1056/NEJMra1110560Search in Google Scholar PubMed
[61] Lebovitz HE, Bonhomme Y, Lund A, Knop FK. Unveiling diabetes-historical milestones in diabetology. In: Jörgens V, Porta M, editors, Front diabetes. Vol. 29, Basel, Karger; 2020. p. 115–33. 10.1159/000506558.Search in Google Scholar
[62] Tonyushkina K, Nichols JH. Glucose meters: a review of technical challenges to obtaining accurate results. J Diabetes Sci Technol. 2009;3(4):971–80. 10.1177/193229680900300446.Search in Google Scholar PubMed PubMed Central
[63] Fabian J, Maher H, Bentley A, Gaylard P, Crymble K, Rossi B, et al. Favourable outcomes for the first 10 years of kidney and pancreas transplantation at Wits Donald Gordon praMedical Centre, Johannesburg, South Africa. Afr Med J. 2016;106(2):172–6. 10.7196/SAMJ.2016.v106i2.10190.Search in Google Scholar PubMed
[64] Rajendran R, Rayman G. Point-of-care blood glucose testing for diabetes care in hospitalized patients: an evidence-based review. J Diabetes Sci Technol. 2014;8(6):1081–90. 10.1177/1932296814538940.Search in Google Scholar PubMed PubMed Central
[65] Reutrakul S, Wroblewski K, Brown RL. Clinical use of U-500 regular insulin: review and meta-analysis. J Diabetes Sci Technol. 2012;6(2):412–20. 10.1177/193229681200600229.Search in Google Scholar PubMed PubMed Central
[66] Cobelli C, Renard E, Kovatchev B. Artificial pancreas: past, present, future. Diabetes. 2011;60(11):2672–82. 10.2337/db11-0654.Search in Google Scholar PubMed PubMed Central
[67] Thabit H, Hovorka R. Closed-loop insulin delivery in type 1 diabetes. Endocrinol Metab Clin North Am. 2012;41(1):105–17. 10.1016/j.ecl.2011.12.003.Search in Google Scholar PubMed PubMed Central
[68] Mossad YM. Clinical role of human leukocyte antigen in health and disease. Found Scandinav J Immun. 2015;82(4):285–306. 10.1111/sji.12329.Search in Google Scholar PubMed
[69] Ghazanfar H, Rizvi SW, Khurram A, Orooj F, Qaiser I. Impact of insulin pump on quality of life of diabetic patients. Indian J Endocrinol Metab. 2016;20(4):506–11. 10.4103/2230-8210.183472.Search in Google Scholar PubMed PubMed Central
[70] Kahn R, Roth J. Rosalyn Sussman Yalow (1921–2011). PNAS. 2012;109(3):669–70. 10.1073/pnas.1120470109.Search in Google Scholar
[71] Saudek CD, Brick JC. The clinical use of hemoglobin A1c. J Diabetes Sci Technol. 2009;3(4):629–34. 10.1177/193229680900300402.Search in Google Scholar PubMed PubMed Central
[72] Quianzon CC, Cheikh I. History of insulin. J Comm Hosp Intern Med Perspect. 2012;2(2):1–3. 10.3402/jchimp.v2i2.18701.Search in Google Scholar PubMed PubMed Central
[73] McAdams BH, Rizvi AA. An overview of insulin pumps and glucose sensors for the generalist. J Clin Med. 2016;5(1):1–17. 10.3390/jcm5010005.Search in Google Scholar PubMed PubMed Central
[74] Dean L, McEntyre J. The genetic landscape of diabetes [Internet]. Bethesda (MD): National Center for Biotechnology Information (US); 2004; 2004 Jul 7. Chapter 1, Introduction to Diabetes. Available from: https://www.ncbi.nlm.nih.gov/books/NBK1671/Search in Google Scholar
[75] Chatzigeorgiou A, Halapas A, Kalafatakis K, Kamper E. The use of animal models in the study of diabetes mellitus. In Vivo. 2009;23(2):245–58.Search in Google Scholar
[76] King AJ. The use of animal models in diabetes research. Br J Pharmacol. 2012;166(3):877–94. 10.1111/j.1476-5381.2012.01911.x.Search in Google Scholar PubMed PubMed Central
[77] Al-awar A, Kupai K, Veszelka M, Szűcs G, Attieh Z, Murlasits Z, et al. Experimental diabetes mellitus in different animal models. J Diabetes Res. 2016;9051426:1–12. 10.1155/2016/9051426.Search in Google Scholar PubMed PubMed Central
[78] Barré-Sinoussi F, Montagutelli X. Animal models are essential to biological research: issues and perspectives. Future Sci OA. 2015;1(4):1–3. 10.4155/fso.15.63.Search in Google Scholar PubMed PubMed Central
[79] Andersen ML, Winter LMF. Animal models in biological and biomedical research–Experimental and ethical concerns. An Acad Bras Cienc. 2019;91(1):1–14. 10.1590/0001-3765201720170238.Search in Google Scholar PubMed
[80] Aldrich VR, Hernandez-Rovira BB, Chandwani A, Abdulred MH. NOD mice –good model for T1D but not without limitations. Cell Transplan. 2020;29:1–10. 10.1177/0963689720939127.Search in Google Scholar PubMed PubMed Central
[81] Mullen Y. Development of the nonobese diabetic mouse and contribution of animal models for understanding type 1 diabetes. Pancreas. 2017;46(4):455–66. 10.1097/MPA.0000000000000828.Search in Google Scholar PubMed PubMed Central
[82] Silver B, Ramaiya K, Andrew SB, Fredrick O, Bajaj S, Kalra S, et al. EADSG guidelines: insulin therapy in diabetes. Diabetes Ther. 2018;9(2):449–92. 10.1007/s13300-018-0384-6.Search in Google Scholar PubMed PubMed Central
[83] Abrahamson MJ, Peters A. Intensification of insulin therapy in patients with type 2 diabetes mellitus: an algorithm for basal-bolus therapy. Ann Med. 2012;44(8):836–46. 10.3109/07853890.2012.699715.Search in Google Scholar PubMed PubMed Central
[84] Kim JH, Saxton AM. The TALLYHO mouse as a model of human type 2 diabetes. Methods Mol Biol. 2012;933:75–87. 10.1007/978-1-62703-068-7_6.Search in Google Scholar PubMed
[85] Wang CY, Liao JK. A mouse model of diet-induced obesity and insulin resistance. Methods Mol Biol. 2012;821:421–33. 10.1007/978-1-61779-430-8_27.Search in Google Scholar PubMed PubMed Central
[86] Burke SJ, Batdorf HM, Burk DH, Noland RC, Eder AE, Boulos MS, et al. db/db mice exhibit features of human type 2 diabetes that are not present in weight-matched C57BL/6J mice fed a Western diet. J Diabetes Res. 2017;2017:8503754. 10.1155/2017/8503754.Search in Google Scholar PubMed PubMed Central
[87] Parilla JH, Willard JR, Barrow BM, Zraika S. A mouse model of beta-cell dysfunction as seen in human type 2 diabetes. J Diabetes Res. 2018;2018(6106051):1–12. 10.1155/2018/6106051. PMID: 29854823; PMCID: PMC5952555.Search in Google Scholar PubMed PubMed Central
[88] Golson ML, Misfeldt AA, Kopsombut UG, Petersen CP, Gannon M. High fat diet regulation of β-cell proliferation and β-cell mass. Open Endocrinol J. 2010;4:1–22. 10.2174/1874216501004010066.Search in Google Scholar PubMed PubMed Central
[89] Plows JF, Stanley JL, Baker PN, Reynolds CM, Vickers MH. The pathophysiology of gestational diabetes mellitus. Int J Mol Sci. 2018;19(11):1–21. 10.3390/ijms19113342.Search in Google Scholar PubMed PubMed Central
[90] Pasek RC, Gannon M. Advancements and challenges in generating accurate animal models of gestational diabetes mellitus. Am J Physiol Endocrinol Metab. 2013;305(11):E1327–38. 10.1152/ajpendo.00425.2013.Search in Google Scholar PubMed PubMed Central
[91] Abdul Aziz SH, John CM, Mohamed Yusof NI, Nordin M, Ramasamy R, Adam A, et al. Animal model of gestational diabetes mellitus with pathophysiological resemblance to the human condition induced by multiple factors (nutritional, pharmacological, and stress) in rats. Biomed Res Int. 2016;2016(9704607):1–14. 10.1155/2016/9704607.Search in Google Scholar PubMed PubMed Central
[92] Gutaj P, Sibiak R, Jankowski M, Awdi K, Bryl R, Mozdziak P, et al. The role of the adipokines in the most common gestational complications. Int J Mol Sci. 2020;21(24):1–32. 10.3390/ijms21249408.Search in Google Scholar PubMed PubMed Central
[93] Plows JF, Yu X, Broadhurst R, Vickers MH, Tong C, Zhang H, et al. Absence of a gestational diabetes phenotype in the LepRdb/+ mouse is independent of control strain, diet, misty allele, or parity. Sci Rep. 2017;24(7):1–14. 10.1038/srep45130.Search in Google Scholar PubMed PubMed Central
[94] Martino J, Sebert S, Segura MT, García-Valdés L, Florido J, Padilla MC, et al. Maternal body weight gestational diabetes differentially influence placental and pregnancy outcomes. J Clin Endocrinol Metab. 2016;101(1):59–68. 10.1210/jc.2015-2590.Search in Google Scholar PubMed PubMed Central
[95] Hedderson MM, Gunderson EP, Ferrara A. Gestational weight gain and risk of gestational diabetes mellitus. Obstet Gynecol. 2010;115(3):597–604. 10.1097/AOG.0b013e3181cfce4f.Search in Google Scholar PubMed PubMed Central
[96] Kiss AC, Lima PH, Sinzato YK, Takaku M, Takeno MA, Rudge MV, et al. Animal models for clinical and gestational diabetes: maternal and fetal outcomes. Diabetol Metab Syndr. 2009;1(1):1–7. 10.1186/1758-5996-1-21.Search in Google Scholar PubMed PubMed Central
[97] Desmoulin-Canselier S, Moutaud B. Animal models and animal experimentation in the development of deep brain stimulation: from a specific controversy to a multidimensional debate. Front Neuroanat. 2019;13(51):1–13. 10.3389/fnana.2019.00051.Search in Google Scholar PubMed PubMed Central
[98] Naderi MM, Sarvari A, Milanifar A, Boroujeni SB, Akhondi MM. Regulations and ethical considerations in animal experiments: international laws and islamic perspectives. Avicenna J Med Biotechnol. 2012;4(3):114–20.Search in Google Scholar
[99] Simmonds RC. Bioethics and animal use in programs of research, teaching, and testing. In: Weichbrod RH, Thompson GAH, Norton JN, editors. Management of animal care and use programs in research, education, and testing. 2nd edn. Boca Raton (FL): CRC Press/Taylor & Francis; 2018. Chapter 4. 10.1201/9781315152189-4. Available from: https://www.ncbi.nlm.nih.gov/books/NBK500418/Search in Google Scholar
[100] Selgelid MJ. Disease prevention and control. 2016 Apr 13. In: Barrett DH, Ortmann LH, Dawson A, Saenz C, Reis A, Bolan G, editors. Public health ethics: cases spanning the globe [Internet]. Cham (CH): Springer; 2016. Chapter 4. 10.1007/978-3-319-23847-0_4. Available from: https://www.ncbi.nlm.nih.gov/books/NBK435775/Search in Google Scholar
[101] Graham ML, Prescott MJ. The multifactorial role of the 3Rs in shifting the harm-benefit analysis in animal models of disease. Eur J Pharmacol. 2015;15(759):19–29. 10.1016/j.ejphar.2015.03.040.Search in Google Scholar
[102] Smith AJ, Lilley E. The role of the three Rs in improving the planning and reproducibility of animal experiments. Animals. 2019;9(975):1–8. 10.3390/ani9110975.Search in Google Scholar
[103] Wolfgang Landgraf W, Sandow J. Recombinant human insulins – clinical efficacy and safety in diabetes therapy. Euro Endocrin. 2015;12(1):1–7. 10.17925/EE.2016.12.01.12.Search in Google Scholar
[104] Weiss M, Steiner DF, Philipson LH. Insulin biosynthesis, secretion, structure, and structure-activity relationships. [Updated 2014 Feb 1]. In: Feingold KR, Anawalt B, Boyce A., et al., editors. Endotext [Internet]. South Dartmouth (MA): MDText.com, Inc; 2000. Available from: https://www.ncbi.nlm.nih.gov/books/NBK279029/Search in Google Scholar
[105] Atkinson MA, Eisenbarth GS, Michels AW. Type 1 diabetes. Lancet. 2014;383(9911):69–82. 10.1016/S0140-6736(13)60591-7.Search in Google Scholar
[106] Rehni AK, Dave KR. Impact of hypoglycemia on brain metabolism during diabetes. Mol Neurobiol. 2018;55(12):9075–88. 10.1007/s12035-018-1044-6.Search in Google Scholar PubMed PubMed Central
[107] Sola D, Rossi L, Schianca GP, Maffioli P, Bigliocca M, Mella R, et al. Sulfonylureas and their use in clinical practice. Arch Med Sci. 2015;11(4):840–8. 10.5114/aoms.2015.53304.Search in Google Scholar PubMed PubMed Central
[108] LiverTox. Clinical and research information on drug-induced liver injury [Internet]. Bethesda (MD): National Institute of Diabetes and Digestive and Kidney Diseases; 2012. Sulfonylureas, Second Generation. [Updated 2018 Mar 16]. Available from: https://www.ncbi.nlm.nih.gov/books/NBK548133/Search in Google Scholar
[109] Nakayama M. Insulin as a key autoantigen in the development of type 1 diabetes. Diabetes Metab Res Rev. 2011;27(8):773–7. 10.1002/dmrr.1250.Search in Google Scholar PubMed PubMed Central
[110] Mannering SI, Pathiraja V, Kay TW. The case for an autoimmune aetiology of type 1 diabetes. Clin Exp Immunol. 2016;183(1):8–15. 10.1111/cei.12699.Search in Google Scholar PubMed PubMed Central
[111] Solomon SD, Chew E, Duh EJ, Sobrin L, Sun JK, VanderBeek BL, et al. Diabetic retinopathy: a position statement by the American diabetes association. Diabetes Care. 2017;40(3):412–8. 10.2337/dc16-2641.Search in Google Scholar PubMed PubMed Central
[112] Spanakis EK, Golden SH. Race/ethnic difference in diabetes and diabetic complications. Curr Diab Rep. 2013;13(6):1–18. 10.1007/s11892-013-0421-9.Search in Google Scholar PubMed PubMed Central
[113] Rodríguez JE, Campbell KM. Racial and ethnic disparities in prevalence and care of patients with type 2 diabetes. Clin Diabetes. 2017;35(1):66–70. 10.2337/cd15-0048.Search in Google Scholar PubMed PubMed Central
[114] Schulz LO, Chaudhari LS. High-risk populations: the Pimas of Arizona and Mexico. Curr Obes Rep. 2015 Mar;4(1):92–8. 10.1007/s13679-014-0132-9.Search in Google Scholar PubMed PubMed Central
[115] Michels A, Zhang L, Khadra A, Kushner JA, Redondo MJ, Pietropaolo M. Prediction and prevention of type 1 diabetes: update on success of prediction and struggles at prevention. Pediatr Diabetes. 2015;16(7):465–84. 10.1111/pedi.12299.Search in Google Scholar PubMed PubMed Central
[116] Buschur E, Stetson B, Barbour LA. Diabetes in pregnancy. [Updated 2018 Jan 17]. In: Feingold KR, Anawalt B, Boyce A, et al., editors. Endotext [Internet]. South Dartmouth (MA): MDText.com, Inc.; 2000. Available from: https://www.ncbi.nlm.nih.gov/books/NBK279010/Search in Google Scholar
[117] American Diabetes Association. Standards of medical care in diabetes–2009. Diabetes Care. 2009;32(Suppl 1):S13–61. 10.2337/dc09-S013.Search in Google Scholar PubMed PubMed Central
[118] American Diabetes Association. Standards of medical care in diabetes–2010. Diabetes Care. 2010;33(Suppl 1):S11–61. 10.2337/dc10-S011.Search in Google Scholar PubMed PubMed Central
[119] Vargas E, Podder V, Carrillo Sepulveda MA. Physiology, glucose transporter type 4. [Updated 2020 Jul 10]. StatPearls [Internet]. Treasure Island (FL): StatPearls Publishing; 2021 Jan. Available from: https://www.ncbi.nlm.nih.gov/books/NBK537322/Search in Google Scholar
[120] Zhou Y, Danbolt NC. Glutamate as a neurotransmitter in the healthy brain. J Neural Transm (Vienna). 2014;121(8):799–817. 10.1007/s00702-014-1180-8.Search in Google Scholar PubMed PubMed Central
[121] Tohid H. Anti-glutamic acid decarboxylase antibody positive neurological syndromes. Neurosci (Riyadh). 2016;21(3):215–22. 10.17712/nsj.2016.3.20150596.Search in Google Scholar PubMed PubMed Central
[122] de Candia P, Prattichizzo F, Garavelli S, De Rosa V, Galgani M, Di Rella F, et al. Type 2 diabetes: how much of an autoimmune disease? Front Endocrinol (Lausanne). 2019;10(451):1–14. 10.3389/fendo.2019.00451.Search in Google Scholar PubMed PubMed Central
[123] Nathan DM, DCCT/EDIC Research Group. The diabetes control and complications trial/epidemiology of diabetes interventions and complications study at 30 years: overview. Diabetes Care. 2014;37(1):9–16. 10.2337/dc13-2112.Search in Google Scholar PubMed PubMed Central
[124] Cohen EP, Irving AA, Drobyski WR, Klein JP, Passweg J, Talano JA, et al. Captopril to mitigate chronic renal failure after hematopoietic stem cell transplantation: a randomized controlled trial. Int J Radiat Oncol Biol Phys. 2008;70(5):1546–51. 10.1016/j.ijrobp.2007.08.041.Search in Google Scholar PubMed PubMed Central
[125] Marte F, Sankar P, Captopril CM. [Updated 2020 Nov 4]. StatPearls [Internet]. Treasure Island (FL): StatPearls Publishing; 2021 Jan. Available from: https://www.ncbi.nlm.nih.gov/books/NBK535386/Search in Google Scholar
[126] Schmidt S, Monk JM, Robinson LE, Mourtzakis M. The integrative role of leptin, oestrogen and the insulin family in obesity-associated breast cancer: potential effects of exercise. Obes Rev. 2015;16(6):473–87. 10.1111/obr.12281.Search in Google Scholar PubMed PubMed Central
[127] Ramos-Lobo AM, Donato J Jr. The role of leptin in health and disease. Temp (Austin). 2017;4(3):258–91. 10.1080/23328940.2017.1327003.Search in Google Scholar PubMed PubMed Central
[128] Hajar R. Statins: past and present. Heart Views. 2011;12(3):121–7. 10.4103/1995-705X.95070.Search in Google Scholar PubMed PubMed Central
[129] Pyŏrälä K, Pedersen TR, Kjekshus J, Faergeman O, Olsson AG, Thorgeirsson G. Cholesterol lowering with simvastatin improves prognosis of diabetic patients with coronary heart disease. A subgroup analysis of the Scandinavian Simvastatin Survival Study (4S). Diabetes Care. 1997;20(4):614–20. 10.2337/diacare.20.4.614.Search in Google Scholar PubMed
[130] Holst JJ. From the incretin concept and the discovery of GLP-1 to today’s diabetes therapy. Front Endocrinol (Lausanne). 2019;10(260):1–10. 10.3389/fendo.2019.00260.Search in Google Scholar PubMed PubMed Central
[131] Meloni AR, DeYoung MB, Lowe C, Parkes DG. GLP-1 receptor activated insulin secretion from pancreatic β-cells: mechanism and glucose dependence. Diabetes Obes Metab. 2013;15(1):15–27. 10.1111/j.1463-1326.2012.01663.x.Search in Google Scholar PubMed PubMed Central
[132] Rena G, Hardie DG, Pearson ER. The mechanisms of action of metformin. Diabetologia. 2017;60(9):1577–85. 10.1007/s00125-017-4342-z.Search in Google Scholar PubMed PubMed Central
[133] Hunter RW, Hughey CC, Lantier L, Sundelin EI, Peggie M, Zeqiraj E, et al. Metformin reduces liver glucose production by inhibition of fructose-1-6-bisphosphatase. Nat Med. 2018;24(9):1395–406. 10.1038/s41591-018-0159-7.Search in Google Scholar PubMed PubMed Central
[134] PubChem [Internet]. Bethesda (MD): National Library of Medicine (US), National Center for Biotechnology Information; 2004. PubChem Compound Summary for CID 4091, Metformin; [cited 2021 Apr. 6]. Available from: https://pubchem.ncbi.nlm.nih.gov/compound/MetforminSearch in Google Scholar
[135] Bailey CJ. Metformin: historical overview. Diabetologia. 2017;60:1566–76. 10.1007/s00125-017-4318-z.Search in Google Scholar
[136] DiNicolantonio JJ, Bhutani J, O’Keefe JH. Acarbose: safe and effective for lowering postprandial hyperglycaemia and improving cardiovascular outcomes. Open Heart. 2015;2(1):1–13. 10.1136/openhrt-2015-000327.Search in Google Scholar
[137] Donner T, Sarkar S. Insulin – pharmacology, therapeutic regimens, and principles of intensive insulin therapy. [Updated 2019 Feb 23]. In: Feingold KR, Anawalt B, Boyce A, et al., editors. Endotext [Internet]. South Dartmouth (MA): MDText.com, Inc; 2000. Available from: https://www.ncbi.nlm.nih.gov/books/NBK278938/Search in Google Scholar
[138] LiverTox. Clinical and research information on drug-induced liver injury [Internet]. Bethesda (MD): National Institute of Diabetes and Digestive and Kidney Diseases; 2012. Troglitazone. [Updated 2018 Jun 6]. Available from: https://www.ncbi.nlm.nih.gov/books/NBK548142/Search in Google Scholar
[139] Johnson MD, Campbell LK, Campbell RK. Troglitazone: review and assessment of its role in the treatment of patients with impaired glucose tolerance and diabetes mellitus. Ann Pharmacother. 1998;32(3):337–48. 10.1345/aph.17046.Search in Google Scholar
[140] Lennerz BS, Barton A, Bernstein RK, Bernstein RK, Dikerman RD, Diulus C, et al. Management of type 1 diabetes with a very low–carbohydrate diet. Pediatrics. 2018;141(6):1–10. 10.1542/peds.2017-3349.Search in Google Scholar
[141] Eyth E, Basit H, Smith CJ. Glucose tolerance test. [Updated 2020 Aug 11]. StatPearls [Internet]. Treasure Island (FL): StatPearls Publishing; 2021 Jan. Available from: https://www.ncbi.nlm.nih.gov/books/NBK532915/Search in Google Scholar
[142] Milner Z, Repaglinide AH. [Updated 2020 Jul 6]. StatPearls [Internet]. Treasure Island (FL): StatPearls Publishing; 2021 Jan. Available from: https://www.ncbi.nlm.nih.gov/books/NBK559305/Search in Google Scholar
[143] PubChem [Internet]. Bethesda (MD): National Library of Medicine (US), National Center for Biotechnology Information; 2004. PubChem Compound Summary for CID 65981, Repaglinide; [cited 2021 Apr. 7]. Available from: https://pubchem.ncbi.nlm.nih.gov/compound/RepaglinideSearch in Google Scholar
[144] King P, Peacock I, Donnelly R. The UK prospective diabetes study (UKPDS): clinical and therapeutic implications for type 2 diabetes. Br J Clin Pharmacol. 1999;48(5):643–8. 10.1046/j.1365-2125.1999.00092.x.Search in Google Scholar
[145] Kilpatrick E, Rigby A, Atkin S. The diabetes control and complications trial: the gift that keeps giving. Nat Rev Endocrinol. 2009;5:537–45. 10.1038/nrendo.2009.179. Search in Google Scholar
[146] Esmel EV, Álvarez JN, Meseguer ES. The legacy effect in the prevention of cardiovascular disease. Nutr. 2020;12(3227):1–20. 10.3390/nu12113227.Search in Google Scholar
[147] Cheng M. Islet Xeno/transplantation and the risk of contagion: local responses from Canada and Australia to an emerging global technoscience. Life Sci Soc Policy. 2015;11(12):1–20. 10.1186/s40504-015-0030-2.Search in Google Scholar
[148] Shapiro AM, Lakey JR, Ryan EA, Korbutt GS, Toth E, Warnock GL, et al. Islet transplantation in seven patients with type 1 diabetes mellitus using a glucocorticoid-free immunosuppressive regimen. N Engl J Med. 2000;343(4):230–8. 10.1056/NEJM200007273430401.Search in Google Scholar
[149] DiMeglio LA, Evans-Molina C, Oram RA. Type 1 diabetes. Lancet. 2018;391(10138):2449–62. 10.1016/S0140-6736(18)31320-5.Search in Google Scholar
[150] Herold KC, Hagopian W, Auger JA, Poumian-Ruiz E, Taylor L, Donaldson D, et al. Anti-CD3 monoclonal antibody in new-onset type 1 diabetes mellitus. N Engl J Med. 2002;346(22):1692–8. 10.1056/NEJMoa012864.Search in Google Scholar PubMed
[151] Selph S, Dana T, Bougatsos C, Blazina I, Patel H, Chou R. Screening for abnormal glucose and type 2 diabetes mellitus: a systematic review to Update the 2008 U.S. Preventive Services Task Force Recommendation [Internet]. Rockville (MD): Agency for Healthcare Research and Quality (US); 2015 Apr. (Evidence Syntheses, No. 117.) Table 1, Test Values for Normal, IFG, or IGT and Type 2 Diabetes Definitions. Available from: https://www.ncbi.nlm.nih.gov/books/NBK293872/table/ch1.t1/Search in Google Scholar
[152] Bond A. Exenatide (Byetta) as a novel treatment option for type 2 diabetes mellitus. Proc (Bayl Univ Med Cent). 2006;19(3):281–4. 10.1080/08998280.2006.11928181PMID: 17252050; PMCID: PMC1484540.Search in Google Scholar PubMed PubMed Central
[153] Kim W, Egan JM. The role of incretins in glucose homeostasis and diabetes treatment. Pharmacol Rev. 2008;60(4):470–512. 10.1124/pr.108.000604.Search in Google Scholar PubMed PubMed Central
[154] Ryan G, Briscoe TA, Jobe L. Review of pramlintide as adjunctive therapy in treatment of type 1 and type 2 diabetes. Drug Des Devel Ther. 2009;2:203–14. 10.2147/dddt.s3225.Search in Google Scholar PubMed PubMed Central
[155] PubChem [Internet]. Bethesda (MD): National Library of Medicine (US), National Center for Biotechnology Information; 2004. PubChem Compound Summary for CID 4369359, Sitagliptin; [cited 2021 Apr. 7]. Available from: https://pubchem.ncbi.nlm.nih.gov/compound/SitagliptinSearch in Google Scholar
[156] Godinho R, Mega C, Teixeira-de-Lemos Carvalho E, Teixeira F, Fernandes R, Reis F. The place of dipeptidyl peptidase-4 inhibitors in type 2 diabetes therapeutics: A “me too” or “the special one” antidiabetic class?”. J Diabetes Res. 2015;2015(806979):1–28. 10.1155/2015/806979.Search in Google Scholar PubMed PubMed Central
[157] Ahrén B. Novel combination treatment of type 2 diabetes DPP-4 inhibition + metformin. Vasc Health Risk Manag. 2008;4(2):383–94. 10.2147/vhrm.s1944.Search in Google Scholar PubMed PubMed Central
[158] Pathak R, Bridgeman MB. Dipeptidyl peptidase-4 (DPP-4) inhibitors in the management of diabetes. P T. 2010;35(9):509–13.Search in Google Scholar
[159] Bekur R, Nagaraja MV, Shivashankara KN, Stanley W. Sitagliptin-induced hemolysis. Indian J Pharmacol. 2010;42(5):320–1. 10.4103/0253-7613.70405.Search in Google Scholar PubMed PubMed Central
[160] St Onge EL, Miller S, Clements E. Sitagliptin/Metformin (janumet) as combination therapy in the treatment of type-2 diabetes mellitus. P T. 2012;37(12):699–708.Search in Google Scholar
[161] Buse JB. Glycemic targets in diabetes care: Emerging clarity after accord. Trans Am Clin Climatol Assoc. 2015;126:62–76.Search in Google Scholar
[162] Del Prato S, Penno G, Miccoli R. Changing the treatment paradigm for type 2 diabetes. Diabetes Care. 2009;32(Suppl 2):S217–22. 10.2337/dc09-S314.Search in Google Scholar PubMed PubMed Central
[163] de la Monte SM, Tong M, Wands JR. ‘The 20-year voyage aboard the journal of Alzheimer’s disease: Docking at “type 3 diabetes,” Environmental/exposure factors, pathogenic mechanisms, and potential treatments. J Alzheimer’s Dis. 2018;62(3):1381–90. 10.3233/JAD-170829.Search in Google Scholar PubMed PubMed Central
[164] Zhang X, Gregg EW, Williamson DF, Barker LE, Thomas W, Bullard KM, et al. A1C level and future risk of diabetes: a systematic review. Diabetes Care. 2010;33(7):1665–73. 10.2337/dc09-1939.Search in Google Scholar PubMed PubMed Central
[165] Ramadan WH, Kabbara WK. Sitagliptin/Simvastatin: A first combination tablet to treat type 2 diabetes and hypercholesterolemia–a review of its characteristics. Vasc Health Risk Manag. 2015;11(11):125–32. 10.2147/VHRM.S79198.Search in Google Scholar PubMed PubMed Central
[166] PubChem [Internet]. Bethesda (MD): National Library of Medicine (US), National Center for Biotechnology Information; 2004. PubChem Compound Summary for CID 24812758, Canagliflozin; [cited 2021 Apr. 7]. Available from: https://pubchem.ncbi.nlm.nih.gov/compound/CanagliflozinSearch in Google Scholar
[167] Akhtar N. Type 2 diabetes mellitus and Invokana: An FDA approved drug. Curr Diabetes Rev. 2013;9(6):478–90. 10.2174/15733998113096660085.Search in Google Scholar PubMed
[168] Sarnoski-Brocavich S, Hilas O. Canagliflozin (invokana), a novel oral agent for type-2 diabetes. P T. 2013;38(11):656–66.Search in Google Scholar
[169] Kumareswaran K, Evans ML, Hovorka R. Closed-loop insulin delivery: towards improved diabetes care. Discov Med. 2012;13(69):159–70.Search in Google Scholar
[170] Wilinska ME, Budiman ES, Taub MB, Elleri D, Allen JM, Acerini CL, et al. Overnight closed-loop insulin delivery with model predictive control: assessment of hypoglycemia and hyperglycemia risk using simulation studies. J Diabetes Sci Technol. 2009;3(5):1109–20. 10.1177/193229680900300514.Search in Google Scholar PubMed PubMed Central
[171] Thabit H, Hovorka R. Coming of age: the artificial pancreas for type 1 diabetes. Diabetol. 2016;59:1795–805. 10.1007/s00125-016-4022-4.Search in Google Scholar PubMed PubMed Central
[172] El-Sayed A, Kamel M. Advances in nanomedical applications: diagnostic, therapeutic, immunization, and vaccine production. Env Sci Pollut Res. 2020;27:19200–13. 10.1007/s11356-019-06459-2.Search in Google Scholar PubMed
[173] Gonzales MV, Mobashsher AT, Abbosh A. The Progress of glucose monitoring–a review of invasive to minimally and non-invasive techniques, devices and sensors. Sensors. 2019;19(4):1–45. 10.3390/s19040800.Search in Google Scholar PubMed PubMed Central
[174] Veiseh O, Tang BC, Whitehead KA, Anderson DG, Langer R. Managing diabetes with nanomedicine: challenges and opportunities. Nat Rev Drug Discov. 2015;14(1):45–57. 10.1038/nrd4477.Search in Google Scholar PubMed PubMed Central
[175] Tang L, Chan SJ, Chen C, Liu J. Non-invasive blood glucose monitoring technology: a review. Sensors. 2020;20(6925):1–32. 10.3390/s20236925.Search in Google Scholar PubMed PubMed Central
[176] Ventola CL. Progress in nanomedicine: approved and investigational nanodrugs. P T. 2017;42(12):742–55.Search in Google Scholar
[177] Shi J, Votruba AR, Farokhzad OC, Langer R. Nanotechnology in drug delivery and tissue engineering: from discovery to applications. Nano Lett. 2010;10(9):3223–30. 10.1021/nl102184c.Search in Google Scholar PubMed PubMed Central
[178] Yetisgin AA, Cetinel S, Merve Zuvin M, Kosar A, Kutlu O. Therapeutic nanoparticles and their targeted delivery applications. Mole. 2020;25(2193):1–31. 10.3390/molecules25092193.Search in Google Scholar PubMed PubMed Central
[179] Souto EB, Souto SB, Campos JR, Severino P, Pashirova TN, Zakharova LY, et al. Nanoparticle delivery systems in the treatment of diabetes complications. Mole. 2019;24(23):4209. 10.3390/molecules24234209.Search in Google Scholar PubMed PubMed Central
[180] Patra JK, Das G, Fraceto LF, Campos EVR, Rodriguez-Torres MDP, Acosta-Torres LS, et al. Nano based drug delivery systems: recent developments and future prospects. J Nanobiotechol. 2018;16(1):71. 10.1186/s12951-018-0392-8.Search in Google Scholar PubMed PubMed Central
[181] Siwach R, Pandey P, Chawla V, Dureja H. Role of nanotechnology in diabetic management. Recent Pat Nanotechnol. 2019;13(1):28–37. 10.2174/1872210513666190104122032.Search in Google Scholar PubMed
[182] Spanakis EG, Chiarugi F, Kouroubali A, Spat S, Beck P, Asanin S, et al. Diabetes management using modern information and communication technologies and new care models. Interact J Med Res. 2012;1(2):e8. 10.2196/ijmr.2193.Search in Google Scholar PubMed PubMed Central
[183] Fleming GA, Petrie JR, Bergenstal RM, Hall RW, Peters AL, Heinemann L. Diabetes digital app technology: benefits, challenges, and recommendations. A consensus report by the European Association for the Study of Diabetes (EASD) and the American Diabetes Association (ADA) Diabetes Technology Working Group. Diabetol. 2020;63:229–41. 10.1007/s00125-019-05034-1.Search in Google Scholar PubMed
[184] Devadasu VR, Alshammari TM, Aljofan M. Current advances in the utilization of nanotechnology for the diagnosis and treatment of diabetes. Int J Diabetes Dev Ctries. 2018;38:11–9. 10.1007/s13410-017-0558-1.Search in Google Scholar
[185] Rheinheimer J, Bauer AC, Silveiro SP, Estivalet AAF, Bouças AP, Rosa AR, et al. Human pancreatic islet transplantation: an update and description of the establishment of a pancreatic islet isolation laboratory. Arch Endocrinol Metab. 2015;59(2):161–70. 10.1590/2359-3997000000030.Search in Google Scholar PubMed
[186] Pagliuca FW, Melton DA. How to make a functional β-cell. Devel. 2013;140(12):2472–83. 10.1242/dev.093187.Search in Google Scholar PubMed PubMed Central
[187] Chen S, Du K, Zou C. Current progress in stem cell therapy for type 1 diabetes mellitus. Stem Cell Res Ther. 2020;11(275):1–13. 10.1186/s13287-020-01793-6.Search in Google Scholar PubMed PubMed Central
[188] Cito M, Pellegrini S, Piemonti L, Sordi V. The potential and challenges of alternative sources of β cells for the cure of type 1 diabetes. Endocr Connect. 2018;7(3):R114–25. 10.1530/EC-18-0012.Search in Google Scholar PubMed PubMed Central
[189] Johannesson B, Sui L, Freytes DO, Creusot RJ, Egli D. Toward beta cell replacement for diabetes. EMBO J. 2015;34(7):841–55. 10.15252/embj.201490685.Search in Google Scholar PubMed PubMed Central
[190] Sneddon JB, Tang Q, Stock P, Bluestone JA, Roy S, Desai T, et al. Stem cell therapies for treating diabetes: progress and remaining challenges. Cell Stem Cell. 2018;22(6):810–23. 10.1016/j.stem.2018.05.016.Search in Google Scholar PubMed PubMed Central
[191] Primavera R, Kevadiya BD, Swaminathan G, Wilson RJ, De Pascale A, Decuzzi P, et al. Emerging nano- and micro-technologies used in the treatment of type-1 diabetes. Nanomaterials (Basel). 2020;10(4):1–27. 10.3390/nano10040789.Search in Google Scholar PubMed PubMed Central
[192] DiSanto RM, Subramanian V, Gu Z. Recent advances in nanotechnology for diabetes treatment. Wiley Interdiscip Rev Nanomed Nanobiotechnol. 2015;7(4):548–64. 10.1002/wnan.1329.Search in Google Scholar PubMed PubMed Central
[193] Wisitsoraat A, Tuantranont A. Applications of nanomaterials in sensors and diagnostics; 2013. p. 103–41.10.1007/5346_2012_47Search in Google Scholar
[194] Girardello R, Baranzini N, Tettamanti G, de Eguileor M, Grimaldi A. Cellular responses induced by multi-walled carbon nanotubes: in vivo and in vitro studies on the medicinal leech macrophages. Sci Rep. 2017;7(8871):1–12. 10.1038/s41598-017-09011-9.Search in Google Scholar PubMed PubMed Central
[195] Arya AK, Kumar L, Pokharia D, Tripathi K. Applications of nanotechnology in diabetes. Dig J Nanomat Biostruct. 2008;3(4):221–5.Search in Google Scholar
[196] Muniyappa R, Madan R. Assessing insulin sensitivity and resistance in humans. [Updated 2018 Jul 10]. In: Feingold KR, Anawalt B, Boyce A, et al. editors. Endotext [Internet]. South Dartmouth (MA): MDText.com, Inc; 2000. Available from: https://www.ncbi.nlm.nih.gov/books/NBK278954/Search in Google Scholar
[197] Bruen D, Delaney C, Florea L, Diamond D. Glucose sensing for diabetes monitoring: recent developments. Sens (Basel). 2017;17(8):1–21. 10.3390/s17081866.Search in Google Scholar PubMed PubMed Central
[198] Wilcox G. Insulin and insulin resistance. Clin Biochem Rev. 2005;26(2):19–39.Search in Google Scholar
[199] Czech MP. Insulin action and resistance in obesity and type 2 diabetes. Nat Med. 2017;23(7):804–14. 10.1038/nm.4350.Search in Google Scholar PubMed PubMed Central
[200] Xiao Y, Wang X, Wang B, Liu X, Xu X, Tang R. Long-term effect of biomineralized insulin nanoparticles on type 2 diabetes treatment. Theranostics. 2017;7(17):4301–12. 10.7150/thno.21450.Search in Google Scholar PubMed PubMed Central
[201] Pudlarz A, Szemraj J. Nanoparticles as carriers of proteins, peptides and other therapeutic molecules. Open Life Sci. 2018;13:285–98. 10.1515/biol-2018-0035.Search in Google Scholar PubMed PubMed Central
[202] Karimi M, Ghasemi A, Sahandi Zangabad P, Rahighi R, Moosavi Basri SM, Mirshekari H, et al. Smart micro/nanoparticles in stimulus-responsive drug/gene delivery systems. Chem Soc Rev. 2016;45(5):1457–501. 10.1039/c5cs00798d.Search in Google Scholar PubMed PubMed Central
[203] Cheng X, Xu Y, Jia Q, Guo N, Wang Z, Wang Y. Novel greener approached synthesis of polyacrylic nanoparticles for therapy and care of gestational diabetes. Drug Delivery. 2020;27(1):1263–70. 10.1080/10717544.2020.1809555.Search in Google Scholar PubMed PubMed Central
[204] Ismail R, Csóka I. Novel strategies in the oral delivery of antidiabetic peptide drugs –insulin, GLP 1 and its analogs. Eur J Pharm Biopharm. 2017;115:257–67. 10.1016/j.ejpb.2017.03.015.Search in Google Scholar PubMed
[205] Kesharwani P, Gorain B, Low SY, Tan SA, Ling ECS, Lim YK, et al. Nanotechnology based approaches for anti-diabetic drugs delivery. Diabetes Res Clin Pract. 2018;136:52–77. 10.1016/j.diabres.2017.11.018.Search in Google Scholar PubMed
[206] Scollo F, La Rose C. Amyloidogenic Intrinsically disordered proteins: new insights into their self-assembly and their interaction with membranes. Life. 2020;10(8):1–20. 10.3390/life10080144.Search in Google Scholar PubMed PubMed Central
[207] Ebrahimi HA, Javadzadeh Y, Hamidi M, Jalali MB. Repaglinide-loaded solid lipid nanoparticles: effect of using different surfactants/stabilizers on physicochemical properties of nanoparticles. DARU J Pharm Sci. 2015;23:46. 10.1186/s40199-015-0128-3.Search in Google Scholar PubMed PubMed Central
[208] Wolfram J, Zhu M, Yang Y, Shen J, Gentile E, Paolino D, et al. Safety of nanoparticles in medicine. Curr Drug Targets. 2015;16(14):1671–81. 10.2174/1389450115666140804124808.Search in Google Scholar PubMed PubMed Central
[209] Vigneshvar S, Sudhakumari CC, Senthilkumaran B, Prakash H. Recent advances in biosensor technology for potential applications – an overview. Front Bioeng Biotechnol. 2016;4(11):1–9. 10.3389/fbioe.2016.00011.Search in Google Scholar PubMed PubMed Central
[210] Yoo EH, Lee SY. Glucose biosensors: an overview of use in clinical practice. Sens (Basel). 2010;10(5):4558–76. 10.3390/s100504558.Search in Google Scholar PubMed PubMed Central
[211] Yusan S, Rahman MM, Mohamad N, Arrif TM, Latif AZA, Aznan MAM, et al. Development of an amperometric glucose biosensor based on the immobilization of glucose oxidase on the Se-MCM-41 mesoporous composite. J Analy Methods Chem. 2018;2018(2687341):1–8. 10.1155/2018/2687341.Search in Google Scholar PubMed PubMed Central
[212] Lopes FM, Batista K, Batista GLA, Fernandes KF. Biosensor for determination of glucose in real samples of beverages. Ciênc Tecnol Aliment Camp. 2012;32(1):65–9. 10.1590/S0101-20612012005000003.Search in Google Scholar
[213] Ramanavicius S, Jagminas A, Ramanavicius A. Advances in molecularly imprinted polymers based affinity sensors (review). Polymer. 2021;13(6):1–28. 10.3390/polym13060974.Search in Google Scholar PubMed PubMed Central
[214] Kulkarni T, Slaughter G. Application of semipermeable membranes in glucose biosensing. Membr (Basel). 2016;6(4):1–20. 10.3390/membranes6040055.Search in Google Scholar PubMed PubMed Central
[215] Ahmad R, Tripathy N, Ahn MS, Bhat KS, Mahmoudi T, Wang Y, et al. Highly efficient non-enzymatic glucose sensor based on CuO modified vertically-Grown ZnO nanorods on electrode. Sci Rep. 2017;7(1):1–10. 10.1038/s41598-017-06064-8.Search in Google Scholar PubMed PubMed Central
[216] Monošík R, Stred’anský M, Šturdík E. Application of electrochemical biosensors in clinical diagnosis. J Clin Lab Anal. 2012;26(1):22–34. 10.1002/jcla.20500.Search in Google Scholar PubMed PubMed Central
[217] Bhalla N, Jolly P, Formisano N, Estrela P. Introduction to biosensors. Essays Biochem. 2016 Jun 30;60(1):1–8. 10.1042/EBC20150001.Search in Google Scholar PubMed PubMed Central
[218] Ullah S, Hamade F, Bubniene U, Engblom J, Ramanavicius A, Ramanaviciene A, et al. In-vitro model for assessing glucose diffusion through skin. Biosens Bioelectron. 2018;110:175–9. 10.1016/j.bios.2018.03.039.Search in Google Scholar PubMed
[219] Flodgren G, Rachas A, Farmer AJ, Inzitari M, Shepperd S. Interactive telemedicine: effects on professional practice and health care outcomes. Cochrane Database Syst Rev. 2015;2015(9):1–510. 10.1002/14651858.CD002098.pub2.Search in Google Scholar PubMed PubMed Central
[220] Lindberg B, Nilsson C, Zotterman D, Söderberg S, Skär L. Using information and communication technology in home care for communication between patients, family members, and healthcare professionals: A systematic review. Int J Telemed Appl. 2013;2013(461829):1–32. 10.1155/2013/461829.Search in Google Scholar PubMed PubMed Central
[221] Anthony B Jr. Use of telemedicine and virtual care for remote treatment in response to COVID-19 pandemic. J Med Syst 44(132):1–9. 10.1007/s10916-020-01596-5.Search in Google Scholar PubMed PubMed Central
[222] Snoswell CL, Taylor ML, Comans TA, Smith AC, Gray LC, Caffery LJ. Determining if telehealth can reduce health system costs: scoping review. J Med Internet Res. 2020;22(10):1–22. 10.2196/17298.Search in Google Scholar PubMed PubMed Central
[223] Whitten P, Holtz B, Laplante C. Telemedicine: What have we learned? Appl Clin Inf. 2010;1(2):132–41. 10.4338/ACI-2009-12-R-0020.Search in Google Scholar PubMed PubMed Central
[224] Mechanic OJ, Persaud Y, Kimball AB. Telehealth systems. [Updated 2020 Sep 18]. StatPearls [Internet]. Treasure Island (FL): StatPearls Publishing; 2021 Jan. Available from: https://www.ncbi.nlm.nih.gov/books/NBK459384/Search in Google Scholar
[225] Bashshur RL, Shannon GW, Smith BR, Woodward MA. The empirical evidence for the telemedicine intervention in diabetes management. Telemed J E Health. 2015;21(5):321–54. 10.1089/tmj.2015.0029.Search in Google Scholar PubMed PubMed Central
[226] Galiero R, Pafundi PC, Nevola R, Rinaldi L, Acierno C, Caturano A, et al. The importance of telemedicine during COVID-19 pandemic: a focus on diabetic retinopathy. J Diabetes Res. 2020;2020(9036847):1–8. 10.1155/2020/9036847.Search in Google Scholar PubMed PubMed Central
[227] Lee TT, Huang TY, Chang CP, Lin KC, Tu HM, Fan CJ, et al. The evaluation of diabetic patients’ use of a telehealth program. Comput Inf Nurs. 2014;32(12):569–77. 10.1097/CIN.0000000000000103.Search in Google Scholar PubMed
[228] Riazi H, Larijani B, Langarizadeh M, Shahmoradi L. Managing diabetes mellitus using information technology: a systematic review. J Diabetes Metab Disord. 2015;14(49):1–9. 10.1186/s40200-015-0174-x.Search in Google Scholar PubMed PubMed Central
[229] Bartholomew ML, Soules K, Church K, Shaha S, Burlingame J, Graham G, et al. Managing diabetes in pregnancy using cell phone/internet technology. Clin Diabetes. 2015;33(4):169–74. 10.2337/diaclin.33.4.169.Search in Google Scholar PubMed PubMed Central
[230] Murphy HR. Managing diabetes in pregnancy before, during, and after COVID-19. Diabetes Technol Ther. 2020 Jun;22(6):454–61. 10.1089/dia.2020.0223.Search in Google Scholar PubMed
[231] Xie W, Dai P, Qin Y, Wu M, Yang B, Yu X. Effectiveness of telemedicine for pregnant women with gestational diabetes mellitus: an updated meta-analysis of 32 randomized controlled trials with trial sequential analysis. BMC Pregnancy Childbirth. 2020;20(1):1–14. 10.1186/s12884-020-02892-1.Search in Google Scholar PubMed PubMed Central
[232] Albert L, Capel I, García-Sáez G, Martín-Redondo P, Hernando ME, Rigla M. Managing gestational diabetes mellitus using a smartphone application with artificial intelligence (SineDie) during the COVID-19 pandemic: much more than just telemedicine. Diabetes Res Clin Pract. 2020;169:108396. 10.1016/j.diabres.2020.108396.Search in Google Scholar PubMed PubMed Central
[233] Rigla M, Martínez-Sarriegui I, García-Sáez G, Pons B, Hernando ME. Gestational diabetes management using smart mobile telemedicine. J Diabetes Sci Tech. 2018;12(2):260–4. 10.1177/1932296817704442.Search in Google Scholar PubMed PubMed Central
[234] Maanvizhi S, Boppana T, Krishnan C, Arumugam G. Metal complexes in the management of diabetes mellitis. Int J Pharm Pharm Sci. 2014;6(7):1–5.Search in Google Scholar
[235] Pessoa JC, Etcheverry S, Gambino D. Vanadium compounds in medicine. Coord Chem Rev. 2014;301(302):1–25. 10.1016/j.ccr.2014.12.002.Search in Google Scholar PubMed PubMed Central
[236] Treviño S, Díaz A, Sánchez-Lara E, Sanchez-Gaytan B, Perez-Aguilar JM, González-Vergara E. Vanadium in biological action: chemical, pharmacological aspects, and metabolic implications in diabetes mellitus. Biol Trace Elem Res. 2019;188:68–98. 10.1007/s12011-018-1540-6.Search in Google Scholar PubMed PubMed Central
[237] Soveid M, Dehghani GA, Omrani GR. Long- term efficacy and safety of vanadium in the treatment of type 1 diabetes. Arch Iran Med. 2013;16(7):408–11.Search in Google Scholar
[238] Missaoui S, Ben Rhouma K, Yacoubi MT, Sakly M, Tebourbi O. Vanadyl sulfate treatment stimulates proliferation and regeneration of beta cells in pancreatic islets. J Diabetes Res. 2014;2014(540242):1–7. 10.1155/2014/540242.Search in Google Scholar PubMed PubMed Central
[239] Srivastava AK. Anti-diabetic and toxic effects of vanadium compounds. Mol Cell Biochem. 2000;206:177–82. 10.1023/A:1007075204494.Search in Google Scholar
[240] Gustafsson JP. Vanadium geochemistry in the biogeosphere–speciation, solid-solution interactions, and ecotoxicity. Appl Geochem. 2019;102:1–25. 10.1016/j.apgeochem.2018.12.027.Search in Google Scholar
[241] Template: List of oxidation states of the elements. [cited 2021 Apr. 24]. Available from: https://en.wikipedia.org/wiki/Template:List_of_oxidation_states_of_the_elementsSearch in Google Scholar
[242] Kamika I, Momba MNB. Effect of vanadium toxicity at its different oxidation states on selected bacterial and protozoan isolates in wastewater systems. Env Tech. 2014;35(16):2075–85. 10.1080/09593330.2014.Search in Google Scholar
[243] Crans DC, Smee JJ, Gaidamauskas E, Yang L. The chemistry and biochemistry of vanadium and the biological activities exerted by vanadium compounds. Chem Rev. 2004;104(2):849–902. 10.1021/cr020607t.Search in Google Scholar PubMed
[244] Krakowiak J, Lundberg D, Persson I. A coordination chemistry study of hydrated and solvated cationic vanadium ions in oxidation states +iii, +iv, and +v in solution and solid state. Inorg Chem. 2012;51(18):9598–609. 10.1021/ic300202f.Search in Google Scholar PubMed PubMed Central
[245] Willsky GR, Chi LH, Godzala M, Kostyniak PJ, Smee JJ, Trujillo AM, et al. Anti-diabetic effects of a series of vanadium dipicolinate complexes in rats with streptozotocin-induced diabetes. Coord Chem Rev. 2011;255(19–20):2258–69. 10.1016/j.ccr.2011.06.015.Search in Google Scholar PubMed PubMed Central
[246] Odularu AT. Synthesis, characterization and biological studies of oxovanadium(iv) and zinc(ii) complexes of mixed ligands of sulfadiazine and dithiocarbamate (Thesis). University of Fort Hare, Alice, South Africa; January 2016.Search in Google Scholar
[247] Ścibior A, Pietrzyk Ł, Plewa Z, Skiba A. Vanadium: risks and possible benefits in the light of a comprehensive overview of its pharmacotoxicological mechanisms and multi-applications with a summary of further research trends. J Trace Elem Med Biol. 2020;126508:1–25. 10.1016/j.jtemb.2020.126508.Search in Google Scholar PubMed PubMed Central
[248] Korbecki J, Baranowska-Bosiacka I, Gutowska I, Chlubek D. Insulin-mimetic property of vanadium compounds. Postepy Biochem. 2016;62(1):60–5.Search in Google Scholar
[249] Falandysz J, Mędyk M, Treu R. Bio-concentration potential and associations of heavy metals in Amanita muscaria (L.) Lam. from northern regions of Poland. Env Sci Pollut Res Int. 2018;25(25):25190–206. 10.1007/s11356-018-2603-0.Search in Google Scholar PubMed PubMed Central
[250] Sippel D, Einsle O. The structure of vanadium nitrogenase reveals an unusual bridging ligand. Nat Chem Biol. 2017;13(9):956–60. 10.1038/nchembio.2428.Search in Google Scholar PubMed PubMed Central
[251] Sippel D, Schlesier J, Rohde M, Trncik C, Decamps L, Djurdjevic I, et al. Production and isolation of vanadium nitrogenase from Azotobacter vinelandii by molybdenum depletion. J Biol Inorg Chem. 2017;22(1):161–8. 10.1007/s00775-016-1423-2.Search in Google Scholar PubMed
[252] Benediktsson B, Bjornsson R. Quantum mechanics/molecular mechanics study of resting-state vanadium nitrogenase: molecular and electronic structure of the iron–vanadium cofactor. Inorg Chem. 2020;59(16):11514–27. 10.1021/acs.inorgchem.0c01320.Search in Google Scholar PubMed PubMed Central
[253] Scior T, Guevara-Garcia JA, Do QT, Bernard P, Laufer S. Why antidiabetic vanadium complexes are not in the pipeline of “Big Pharma” drug research? A critical review. Curr Med Chem. 2016;23(25):2874–91. 10.2174/0929867323666160321121138.Search in Google Scholar PubMed PubMed Central
[254] Tripathi D, Mani V, Pal RP. Vanadium in biosphere and its role in biological processes. Biol Trace Elem Res. 2019;186:52–67. 10.1007/s12011-018-1289-y.Search in Google Scholar PubMed
[255] McNeill JH, Yuen VG, Dai S, Orvig C. Increased potency of vanadium using organic ligands. Mol Cell Biochem. 1995;153:175–80. 10.1007/BF01075935.Search in Google Scholar PubMed
[256] Bethesda (MD): National Library of Medicine (US), National Center for Biotechnology Information; 2004. PubChem Compound Summary for CID 8369, Maltol; [cited 2021 Apr. 24]. Available from: https://pubchem.ncbi.nlm.nih.gov/compound/MaltolSearch in Google Scholar
[257] Dinu V, Kilic A, Wang Q, Ayed C, Fadel A, Harding SE, et al. Policy, toxicology and physicochemical considerations on the inhalation of high concentrations of food flavour. NPJ Sci Food. 2020;4(15):1–10. 10.1038/s41538-020-0.Search in Google Scholar
[258] Taylor AJ, Linforth RST, editors. Food flavour technology. 2nd edn. Blackwell Publishing Ltd; 2010. ISBN:9781405185431 | Online ISBN:9781444317770. 10.1002/9781444317770.Search in Google Scholar
[259] Katherine H, Thompson KH, Liboiron BD, Sun Y, Bellman KDD, Setyawati IA, et al. Preparation and characterization of vanadyl complexes with bidentate maltol-type ligands; In vivo comparisons of anti-diabetic therapeutic potential. J Biol Inorg Chem. 2003;8:66–74. 10.1007/s00775-002-0388-5.Search in Google Scholar PubMed
[260] Adam AMA, Naglah AM, Al-Omar MA, Refat MS. Synthesis of a new insulin-mimetic anti-diabetic drug containing vitamin A and vanadium(iv) salt: chemico-biological characterizations. Int J Immunopathol Pharmacol. 2017;30(3):272–81. 10.1177/0394632017719601.Search in Google Scholar PubMed PubMed Central
[261] Buglyó P, Crans DC, Nagy EM, Lindo RL, Yang L, Smee JJ, et al. Aqueous chemistry of the vanadium(iii) (v(iii)) and the v(iii)-dipicolinate systems and a comparison of the effect of three oxidation states of vanadium compounds on diabetic hyperglycemia in rats. Inorg Chem. 2005 Jul 25;44(15):5416–27. 10.1021/ic048331q.Search in Google Scholar PubMed
[262] Lushchak O, Zayachkivska A, Vaiserman A. Metallic nanoantioxidants as potential therapeutics for type 2 diabetes: A hypothetical background and translational perspectives. Oxid Med Cell Longev. 2018;2018:1–9. 10.1155/2018/3407375.Search in Google Scholar PubMed PubMed Central
[263] Vijay K, Suresh R, Loganathasamy K, Narayaran V, Pandiyan V, Kumar TS, et al. Anti-diabetic effects of vanadium pentoxide and vanadium Pentoxide Nanoparticles in STZ-Induced diabetic rats. Int J Pure App Biosci. 2018;6(3):460–7.10.18782/2320-7051.6203Search in Google Scholar
[264] Vijay K, Suresh R, Loganathasamy K, Narayaran V, Pratheepa K, Venkataraman K, et al. Antioxidant status in STZ-induced diabetic rats treated with vanadium pentoxide nanoparticles. Indian J Anim Res. 2019;53(12):154–9. 10.18805/ijar.B-3709.Search in Google Scholar
© 2021 Ayodele T. Odularu and Peter A. Ajibade, published by De Gruyter
This work is licensed under the Creative Commons Attribution 4.0 International License.
Articles in the same Issue
- Regular Articles
- Qualitative and semi-quantitative assessment of anthocyanins in Tibetan hulless barley from different geographical locations by UPLC-QTOF-MS and their antioxidant capacities
- Effect of sodium chloride on the expression of genes involved in the salt tolerance of Bacillus sp. strain “SX4” isolated from salinized greenhouse soil
- GC-MS analysis of mango stem bark extracts (Mangifera indica L.), Haden variety. Possible contribution of volatile compounds to its health effects
- Influence of nanoscale-modified apatite-type calcium phosphates on the biofilm formation by pathogenic microorganisms
- Removal of paracetamol from aqueous solution by containment composites
- Investigating a human pesticide intoxication incident: The importance of robust analytical approaches
- Induction of apoptosis and cell cycle arrest by chloroform fraction of Juniperus phoenicea and chemical constituents analysis
- Recovery of γ-Fe2O3 from copper ore tailings by magnetization roasting and magnetic separation
- Effects of different extraction methods on antioxidant properties of blueberry anthocyanins
- Modeling the removal of methylene blue dye using a graphene oxide/TiO2/SiO2 nanocomposite under sunlight irradiation by intelligent system
- Antimicrobial and antioxidant activities of Cinnamomum cassia essential oil and its application in food preservation
- Full spectrum and genetic algorithm-selected spectrum-based chemometric methods for simultaneous determination of azilsartan medoxomil, chlorthalidone, and azilsartan: Development, validation, and application on commercial dosage form
- Evaluation of the performance of immunoblot and immunodot techniques used to identify autoantibodies in patients with autoimmune diseases
- Computational studies by molecular docking of some antiviral drugs with COVID-19 receptors are an approach to medication for COVID-19
- Synthesis of amides and esters containing furan rings under microwave-assisted conditions
- Simultaneous removal efficiency of H2S and CO2 by high-gravity rotating packed bed: Experiments and simulation
- Design, synthesis, and biological activities of novel thiophene, pyrimidine, pyrazole, pyridine, coumarin and isoxazole: Dydrogesterone derivatives as antitumor agents
- Content and composition analysis of polysaccharides from Blaps rynchopetera and its macrophage phagocytic activity
- A new series of 2,4-thiazolidinediones endowed with potent aldose reductase inhibitory activity
- Assessing encapsulation of curcumin in cocoliposome: In vitro study
- Rare norisodinosterol derivatives from Xenia umbellata: Isolation and anti-proliferative activity
- Comparative study of antioxidant and anticancer activities and HPTLC quantification of rutin in white radish (Raphanus sativus L.) leaves and root extracts grown in Saudi Arabia
- Comparison of adsorption properties of commercial silica and rice husk ash (RHA) silica: A study by NIR spectroscopy
- Sodium borohydride (NaBH4) as a high-capacity material for next-generation sodium-ion capacitors
- Aroma components of tobacco powder from different producing areas based on gas chromatography ion mobility spectrometry
- The effects of salinity on changes in characteristics of soils collected in a saline region of the Mekong Delta, Vietnam
- Synthesis, properties, and activity of MoVTeNbO catalysts modified by zirconia-pillared clays in oxidative dehydrogenation of ethane
- Synthesis and crystal structure of N,N′-bis(4-chlorophenyl)thiourea N,N-dimethylformamide
- Quantitative analysis of volatile compounds of four Chinese traditional liquors by SPME-GC-MS and determination of total phenolic contents and antioxidant activities
- A novel separation method of the valuable components for activated clay production wastewater
- On ve-degree- and ev-degree-based topological properties of crystallographic structure of cuprite Cu2O
- Antihyperglycemic effect and phytochemical investigation of Rubia cordifolia (Indian Madder) leaves extract
- Microsphere molecularly imprinted solid-phase extraction for diazepam analysis using itaconic acid as a monomer in propanol
- A nitric oxide-releasing prodrug promotes apoptosis in human renal carcinoma cells: Involvement of reactive oxygen species
- Machine vision-based driving and feedback scheme for digital microfluidics system
- Study on the application of a steam-foam drive profile modification technology for heavy oil reservoir development
- Ni–Ru-containing mixed oxide-based composites as precursors for ethanol steam reforming catalysts: Effect of the synthesis methods on the structural and catalytic properties
- Preparation of composite soybean straw-based materials by LDHs modifying as a solid sorbent for removal of Pb(ii) from water samples
- Synthesis and spectral characterizations of vanadyl(ii) and chromium(iii) mixed ligand complexes containing metformin drug and glycine amino acid
- In vitro evaluation of lactic acid bacteria with probiotic activity isolated from local pickled leaf mustard from Wuwei in Anhui as substitutes for chemical synthetic additives
- Utilization and simulation of innovative new binuclear Co(ii), Ni(ii), Cu(ii), and Zn(ii) diimine Schiff base complexes in sterilization and coronavirus resistance (Covid-19)
- Phosphorylation of Pit-1 by cyclin-dependent kinase 5 at serine 126 is associated with cell proliferation and poor prognosis in prolactinomas
- Molecularly imprinted membrane for transport of urea, creatinine, and vitamin B12 as a hemodialysis candidate membrane
- Optimization of Murrayafoline A ethanol extraction process from the roots of Glycosmis stenocarpa, and evaluation of its Tumorigenesis inhibition activity on Hep-G2 cells
- Highly sensitive determination of α-lipoic acid in pharmaceuticals on a boron-doped diamond electrode
- Synthesis, chemo-informatics, and anticancer evaluation of fluorophenyl-isoxazole derivatives
- In vitro and in vivo investigation of polypharmacology of propolis extract as anticancer, antibacterial, anti-inflammatory, and chemical properties
- Topological indices of bipolar fuzzy incidence graph
- Preparation of Fe3O4@SiO2–ZnO catalyst and its catalytic synthesis of rosin glycol ester
- Construction of a new luminescent Cd(ii) compound for the detection of Fe3+ and treatment of Hepatitis B
- Investigation of bovine serum albumin aggregation upon exposure to silver(i) and copper(ii) metal ions using Zetasizer
- Discoloration of methylene blue at neutral pH by heterogeneous photo-Fenton-like reactions using crystalline and amorphous iron oxides
- Optimized extraction of polyphenols from leaves of Rosemary (Rosmarinus officinalis L.) grown in Lam Dong province, Vietnam, and evaluation of their antioxidant capacity
- Synthesis of novel thiourea-/urea-benzimidazole derivatives as anticancer agents
- Potency and selectivity indices of Myristica fragrans Houtt. mace chloroform extract against non-clinical and clinical human pathogens
- Simple modifications of nicotinic, isonicotinic, and 2,6-dichloroisonicotinic acids toward new weapons against plant diseases
- Synthesis, optical and structural characterisation of ZnS nanoparticles derived from Zn(ii) dithiocarbamate complexes
- Presence of short and cyclic peptides in Acacia and Ziziphus honeys may potentiate their medicinal values
- The role of vitamin D deficiency and elevated inflammatory biomarkers as risk factors for the progression of diabetic nephropathy in patients with type 2 diabetes mellitus
- Quantitative structure–activity relationship study on prolonged anticonvulsant activity of terpene derivatives in pentylenetetrazole test
- GADD45B induced the enhancing of cell viability and proliferation in radiotherapy and increased the radioresistance of HONE1 cells
- Cannabis sativa L. chemical compositions as potential plasmodium falciparum dihydrofolate reductase-thymidinesynthase enzyme inhibitors: An in silico study for drug development
- Dynamics of λ-cyhalothrin disappearance and expression of selected P450 genes in bees depending on the ambient temperature
- Identification of synthetic cannabinoid methyl 2-{[1-(cyclohexylmethyl)-1H-indol-3-yl] formamido}-3-methylbutanoate using modern mass spectrometry and nuclear magnetic resonance techniques
- Study on the speciation of arsenic in the genuine medicinal material honeysuckle
- Two Cu(ii)-based coordination polymers: Crystal structures and treatment activity on periodontitis
- Conversion of furfuryl alcohol to ethyl levulinate in the presence of mesoporous aluminosilicate catalyst
- Review Articles
- Hsien Wu and his major contributions to the chemical era of immunology
- Overview of the major classes of new psychoactive substances, psychoactive effects, analytical determination and conformational analysis of selected illegal drugs
- An overview of persistent organic pollutants along the coastal environment of Kuwait
- Mechanism underlying sevoflurane-induced protection in cerebral ischemia–reperfusion injury
- COVID-19 and SARS-CoV-2: Everything we know so far – A comprehensive review
- Challenge of diabetes mellitus and researchers’ contributions to its control
- Advances in the design and application of transition metal oxide-based supercapacitors
- Color and composition of beauty products formulated with lemongrass essential oil: Cosmetics formulation with lemongrass essential oil
- The structural chemistry of zinc(ii) and nickel(ii) dithiocarbamate complexes
- Bioprospecting for antituberculosis natural products – A review
- Recent progress in direct urea fuel cell
- Rapid Communications
- A comparative morphological study of titanium dioxide surface layer dental implants
- Changes in the antioxidative properties of honeys during their fermentation
- Erratum
- Erratum to “Corrosion study of copper in aqueous sulfuric acid solution in the presence of (2E,5E)-2,5-dibenzylidenecyclopentanone and (2E,5E)-bis[(4-dimethylamino)benzylidene]cyclopentanone: Experimental and theoretical study”
- Erratum to “Modified TDAE petroleum plasticiser”
- Corrigendum
- Corrigendum to “A nitric oxide-releasing prodrug promotes apoptosis in human renal carcinoma cells: Involvement of reactive oxygen species”
- Special Issue on 3rd IC3PE 2020
- Visible light-responsive photocatalyst of SnO2/rGO prepared using Pometia pinnata leaf extract
- Antihyperglycemic activity of Centella asiatica (L.) Urb. leaf ethanol extract SNEDDS in zebrafish (Danio rerio)
- Selection of oil extraction process from Chlorella species of microalgae by using multi-criteria decision analysis technique for biodiesel production
- Special Issue on the 14th Joint Conference of Chemistry (14JCC)
- Synthesis and in vitro cytotoxicity evaluation of isatin-pyrrole derivatives against HepG2 cell line
- CO2 gas separation using mixed matrix membranes based on polyethersulfone/MIL-100(Al)
- Effect of synthesis and activation methods on the character of CoMo/ultrastable Y-zeolite catalysts
- Special Issue on Electrochemical Amplified Sensors
- Enhancement of graphene oxide through β-cyclodextrin composite to sensitive analysis of an antidepressant: Sulpiride
- Investigation of the spectroelectrochemical behavior of quercetin isolated from Zanthoxylum bungeanum
- An electrochemical sensor for high sensitive determination of lysozyme based on the aptamer competition approach
- An improved non-enzymatic electrochemical sensor amplified with CuO nanostructures for sensitive determination of uric acid
- Special Issue on Applied Biochemistry and Biotechnology 2020
- Fast discrimination of avocado oil for different extracted methods using headspace-gas chromatography-ion mobility spectroscopy with PCA based on volatile organic compounds
- Effect of alkali bases on the synthesis of ZnO quantum dots
- Quality evaluation of Cabernet Sauvignon wines in different vintages by 1H nuclear magnetic resonance-based metabolomics
- Special Issue on the Joint Science Congress of Materials and Polymers (ISCMP 2019)
- Diatomaceous Earth: Characterization, thermal modification, and application
- Electrochemical determination of atenolol and propranolol using a carbon paste sensor modified with natural ilmenite
- Special Issue on the Conference of Energy, Fuels, Environment 2020
- Assessment of the mercury contamination of landfilled and recovered foundry waste – a case study
- Primary energy consumption in selected EU Countries compared to global trends
- Modified TDAE petroleum plasticiser
- Use of glycerol waste in lactic acid bacteria metabolism for the production of lactic acid: State of the art in Poland
- Topical Issue on Applications of Mathematics in Chemistry
- Theoretical study of energy, inertia and nullity of phenylene and anthracene
- Banhatti, revan and hyper-indices of silicon carbide Si2C3-III[n,m]
- Topical Issue on Agriculture
- Occurrence of mycotoxins in selected agricultural and commercial products available in eastern Poland
- Special Issue on Ethnobotanical, Phytochemical and Biological Investigation of Medicinal Plants
- Acute and repeated dose 60-day oral toxicity assessment of chemically characterized Berberis hispanica Boiss. and Reut in Wistar rats
- Phytochemical profile, in vitro antioxidant, and anti-protein denaturation activities of Curcuma longa L. rhizome and leaves
- Antiplasmodial potential of Eucalyptus obliqua leaf methanolic extract against Plasmodium vivax: An in vitro study
- Prunus padus L. bark as a functional promoting component in functional herbal infusions – cyclooxygenase-2 inhibitory, antioxidant, and antimicrobial effects
- Molecular and docking studies of tetramethoxy hydroxyflavone compound from Artemisia absinthium against carcinogens found in cigarette smoke
- Special Issue on the Joint Science Congress of Materials and Polymers (ISCMP 2020)
- Preparation of cypress (Cupressus sempervirens L.) essential oil loaded poly(lactic acid) nanofibers
- Influence of mica mineral on flame retardancy and mechanical properties of intumescent flame retardant polypropylene composites
- Production and characterization of thermoplastic elastomer foams based on the styrene–ethylene–butylene–styrene (SEBS) rubber and thermoplastic material
- Special Issue on Applied Chemistry in Agriculture and Food Science
- Impact of essential oils on the development of pathogens of the Fusarium genus and germination parameters of selected crops
- Yield, volume, quality, and reduction of biotic stress influenced by titanium application in oilseed rape, winter wheat, and maize cultivations
- Influence of potato variety on polyphenol profile composition and glycoalcaloid contents of potato juice
- Carryover effect of direct-fed microbial supplementation and early weaning on the growth performance and carcass characteristics of growing Najdi lambs
- Special Issue on Applied Biochemistry and Biotechnology (ABB 2021)
- The electrochemical redox mechanism and antioxidant activity of polyphenolic compounds based on inlaid multi-walled carbon nanotubes-modified graphite electrode
- Study of an adsorption method for trace mercury based on Bacillus subtilis
- Special Issue on The 1st Malaysia International Conference on Nanotechnology & Catalysis (MICNC2021)
- Mitigating membrane biofouling in biofuel cell system – A review
- Mechanical properties of polymeric biomaterials: Modified ePTFE using gamma irradiation
Articles in the same Issue
- Regular Articles
- Qualitative and semi-quantitative assessment of anthocyanins in Tibetan hulless barley from different geographical locations by UPLC-QTOF-MS and their antioxidant capacities
- Effect of sodium chloride on the expression of genes involved in the salt tolerance of Bacillus sp. strain “SX4” isolated from salinized greenhouse soil
- GC-MS analysis of mango stem bark extracts (Mangifera indica L.), Haden variety. Possible contribution of volatile compounds to its health effects
- Influence of nanoscale-modified apatite-type calcium phosphates on the biofilm formation by pathogenic microorganisms
- Removal of paracetamol from aqueous solution by containment composites
- Investigating a human pesticide intoxication incident: The importance of robust analytical approaches
- Induction of apoptosis and cell cycle arrest by chloroform fraction of Juniperus phoenicea and chemical constituents analysis
- Recovery of γ-Fe2O3 from copper ore tailings by magnetization roasting and magnetic separation
- Effects of different extraction methods on antioxidant properties of blueberry anthocyanins
- Modeling the removal of methylene blue dye using a graphene oxide/TiO2/SiO2 nanocomposite under sunlight irradiation by intelligent system
- Antimicrobial and antioxidant activities of Cinnamomum cassia essential oil and its application in food preservation
- Full spectrum and genetic algorithm-selected spectrum-based chemometric methods for simultaneous determination of azilsartan medoxomil, chlorthalidone, and azilsartan: Development, validation, and application on commercial dosage form
- Evaluation of the performance of immunoblot and immunodot techniques used to identify autoantibodies in patients with autoimmune diseases
- Computational studies by molecular docking of some antiviral drugs with COVID-19 receptors are an approach to medication for COVID-19
- Synthesis of amides and esters containing furan rings under microwave-assisted conditions
- Simultaneous removal efficiency of H2S and CO2 by high-gravity rotating packed bed: Experiments and simulation
- Design, synthesis, and biological activities of novel thiophene, pyrimidine, pyrazole, pyridine, coumarin and isoxazole: Dydrogesterone derivatives as antitumor agents
- Content and composition analysis of polysaccharides from Blaps rynchopetera and its macrophage phagocytic activity
- A new series of 2,4-thiazolidinediones endowed with potent aldose reductase inhibitory activity
- Assessing encapsulation of curcumin in cocoliposome: In vitro study
- Rare norisodinosterol derivatives from Xenia umbellata: Isolation and anti-proliferative activity
- Comparative study of antioxidant and anticancer activities and HPTLC quantification of rutin in white radish (Raphanus sativus L.) leaves and root extracts grown in Saudi Arabia
- Comparison of adsorption properties of commercial silica and rice husk ash (RHA) silica: A study by NIR spectroscopy
- Sodium borohydride (NaBH4) as a high-capacity material for next-generation sodium-ion capacitors
- Aroma components of tobacco powder from different producing areas based on gas chromatography ion mobility spectrometry
- The effects of salinity on changes in characteristics of soils collected in a saline region of the Mekong Delta, Vietnam
- Synthesis, properties, and activity of MoVTeNbO catalysts modified by zirconia-pillared clays in oxidative dehydrogenation of ethane
- Synthesis and crystal structure of N,N′-bis(4-chlorophenyl)thiourea N,N-dimethylformamide
- Quantitative analysis of volatile compounds of four Chinese traditional liquors by SPME-GC-MS and determination of total phenolic contents and antioxidant activities
- A novel separation method of the valuable components for activated clay production wastewater
- On ve-degree- and ev-degree-based topological properties of crystallographic structure of cuprite Cu2O
- Antihyperglycemic effect and phytochemical investigation of Rubia cordifolia (Indian Madder) leaves extract
- Microsphere molecularly imprinted solid-phase extraction for diazepam analysis using itaconic acid as a monomer in propanol
- A nitric oxide-releasing prodrug promotes apoptosis in human renal carcinoma cells: Involvement of reactive oxygen species
- Machine vision-based driving and feedback scheme for digital microfluidics system
- Study on the application of a steam-foam drive profile modification technology for heavy oil reservoir development
- Ni–Ru-containing mixed oxide-based composites as precursors for ethanol steam reforming catalysts: Effect of the synthesis methods on the structural and catalytic properties
- Preparation of composite soybean straw-based materials by LDHs modifying as a solid sorbent for removal of Pb(ii) from water samples
- Synthesis and spectral characterizations of vanadyl(ii) and chromium(iii) mixed ligand complexes containing metformin drug and glycine amino acid
- In vitro evaluation of lactic acid bacteria with probiotic activity isolated from local pickled leaf mustard from Wuwei in Anhui as substitutes for chemical synthetic additives
- Utilization and simulation of innovative new binuclear Co(ii), Ni(ii), Cu(ii), and Zn(ii) diimine Schiff base complexes in sterilization and coronavirus resistance (Covid-19)
- Phosphorylation of Pit-1 by cyclin-dependent kinase 5 at serine 126 is associated with cell proliferation and poor prognosis in prolactinomas
- Molecularly imprinted membrane for transport of urea, creatinine, and vitamin B12 as a hemodialysis candidate membrane
- Optimization of Murrayafoline A ethanol extraction process from the roots of Glycosmis stenocarpa, and evaluation of its Tumorigenesis inhibition activity on Hep-G2 cells
- Highly sensitive determination of α-lipoic acid in pharmaceuticals on a boron-doped diamond electrode
- Synthesis, chemo-informatics, and anticancer evaluation of fluorophenyl-isoxazole derivatives
- In vitro and in vivo investigation of polypharmacology of propolis extract as anticancer, antibacterial, anti-inflammatory, and chemical properties
- Topological indices of bipolar fuzzy incidence graph
- Preparation of Fe3O4@SiO2–ZnO catalyst and its catalytic synthesis of rosin glycol ester
- Construction of a new luminescent Cd(ii) compound for the detection of Fe3+ and treatment of Hepatitis B
- Investigation of bovine serum albumin aggregation upon exposure to silver(i) and copper(ii) metal ions using Zetasizer
- Discoloration of methylene blue at neutral pH by heterogeneous photo-Fenton-like reactions using crystalline and amorphous iron oxides
- Optimized extraction of polyphenols from leaves of Rosemary (Rosmarinus officinalis L.) grown in Lam Dong province, Vietnam, and evaluation of their antioxidant capacity
- Synthesis of novel thiourea-/urea-benzimidazole derivatives as anticancer agents
- Potency and selectivity indices of Myristica fragrans Houtt. mace chloroform extract against non-clinical and clinical human pathogens
- Simple modifications of nicotinic, isonicotinic, and 2,6-dichloroisonicotinic acids toward new weapons against plant diseases
- Synthesis, optical and structural characterisation of ZnS nanoparticles derived from Zn(ii) dithiocarbamate complexes
- Presence of short and cyclic peptides in Acacia and Ziziphus honeys may potentiate their medicinal values
- The role of vitamin D deficiency and elevated inflammatory biomarkers as risk factors for the progression of diabetic nephropathy in patients with type 2 diabetes mellitus
- Quantitative structure–activity relationship study on prolonged anticonvulsant activity of terpene derivatives in pentylenetetrazole test
- GADD45B induced the enhancing of cell viability and proliferation in radiotherapy and increased the radioresistance of HONE1 cells
- Cannabis sativa L. chemical compositions as potential plasmodium falciparum dihydrofolate reductase-thymidinesynthase enzyme inhibitors: An in silico study for drug development
- Dynamics of λ-cyhalothrin disappearance and expression of selected P450 genes in bees depending on the ambient temperature
- Identification of synthetic cannabinoid methyl 2-{[1-(cyclohexylmethyl)-1H-indol-3-yl] formamido}-3-methylbutanoate using modern mass spectrometry and nuclear magnetic resonance techniques
- Study on the speciation of arsenic in the genuine medicinal material honeysuckle
- Two Cu(ii)-based coordination polymers: Crystal structures and treatment activity on periodontitis
- Conversion of furfuryl alcohol to ethyl levulinate in the presence of mesoporous aluminosilicate catalyst
- Review Articles
- Hsien Wu and his major contributions to the chemical era of immunology
- Overview of the major classes of new psychoactive substances, psychoactive effects, analytical determination and conformational analysis of selected illegal drugs
- An overview of persistent organic pollutants along the coastal environment of Kuwait
- Mechanism underlying sevoflurane-induced protection in cerebral ischemia–reperfusion injury
- COVID-19 and SARS-CoV-2: Everything we know so far – A comprehensive review
- Challenge of diabetes mellitus and researchers’ contributions to its control
- Advances in the design and application of transition metal oxide-based supercapacitors
- Color and composition of beauty products formulated with lemongrass essential oil: Cosmetics formulation with lemongrass essential oil
- The structural chemistry of zinc(ii) and nickel(ii) dithiocarbamate complexes
- Bioprospecting for antituberculosis natural products – A review
- Recent progress in direct urea fuel cell
- Rapid Communications
- A comparative morphological study of titanium dioxide surface layer dental implants
- Changes in the antioxidative properties of honeys during their fermentation
- Erratum
- Erratum to “Corrosion study of copper in aqueous sulfuric acid solution in the presence of (2E,5E)-2,5-dibenzylidenecyclopentanone and (2E,5E)-bis[(4-dimethylamino)benzylidene]cyclopentanone: Experimental and theoretical study”
- Erratum to “Modified TDAE petroleum plasticiser”
- Corrigendum
- Corrigendum to “A nitric oxide-releasing prodrug promotes apoptosis in human renal carcinoma cells: Involvement of reactive oxygen species”
- Special Issue on 3rd IC3PE 2020
- Visible light-responsive photocatalyst of SnO2/rGO prepared using Pometia pinnata leaf extract
- Antihyperglycemic activity of Centella asiatica (L.) Urb. leaf ethanol extract SNEDDS in zebrafish (Danio rerio)
- Selection of oil extraction process from Chlorella species of microalgae by using multi-criteria decision analysis technique for biodiesel production
- Special Issue on the 14th Joint Conference of Chemistry (14JCC)
- Synthesis and in vitro cytotoxicity evaluation of isatin-pyrrole derivatives against HepG2 cell line
- CO2 gas separation using mixed matrix membranes based on polyethersulfone/MIL-100(Al)
- Effect of synthesis and activation methods on the character of CoMo/ultrastable Y-zeolite catalysts
- Special Issue on Electrochemical Amplified Sensors
- Enhancement of graphene oxide through β-cyclodextrin composite to sensitive analysis of an antidepressant: Sulpiride
- Investigation of the spectroelectrochemical behavior of quercetin isolated from Zanthoxylum bungeanum
- An electrochemical sensor for high sensitive determination of lysozyme based on the aptamer competition approach
- An improved non-enzymatic electrochemical sensor amplified with CuO nanostructures for sensitive determination of uric acid
- Special Issue on Applied Biochemistry and Biotechnology 2020
- Fast discrimination of avocado oil for different extracted methods using headspace-gas chromatography-ion mobility spectroscopy with PCA based on volatile organic compounds
- Effect of alkali bases on the synthesis of ZnO quantum dots
- Quality evaluation of Cabernet Sauvignon wines in different vintages by 1H nuclear magnetic resonance-based metabolomics
- Special Issue on the Joint Science Congress of Materials and Polymers (ISCMP 2019)
- Diatomaceous Earth: Characterization, thermal modification, and application
- Electrochemical determination of atenolol and propranolol using a carbon paste sensor modified with natural ilmenite
- Special Issue on the Conference of Energy, Fuels, Environment 2020
- Assessment of the mercury contamination of landfilled and recovered foundry waste – a case study
- Primary energy consumption in selected EU Countries compared to global trends
- Modified TDAE petroleum plasticiser
- Use of glycerol waste in lactic acid bacteria metabolism for the production of lactic acid: State of the art in Poland
- Topical Issue on Applications of Mathematics in Chemistry
- Theoretical study of energy, inertia and nullity of phenylene and anthracene
- Banhatti, revan and hyper-indices of silicon carbide Si2C3-III[n,m]
- Topical Issue on Agriculture
- Occurrence of mycotoxins in selected agricultural and commercial products available in eastern Poland
- Special Issue on Ethnobotanical, Phytochemical and Biological Investigation of Medicinal Plants
- Acute and repeated dose 60-day oral toxicity assessment of chemically characterized Berberis hispanica Boiss. and Reut in Wistar rats
- Phytochemical profile, in vitro antioxidant, and anti-protein denaturation activities of Curcuma longa L. rhizome and leaves
- Antiplasmodial potential of Eucalyptus obliqua leaf methanolic extract against Plasmodium vivax: An in vitro study
- Prunus padus L. bark as a functional promoting component in functional herbal infusions – cyclooxygenase-2 inhibitory, antioxidant, and antimicrobial effects
- Molecular and docking studies of tetramethoxy hydroxyflavone compound from Artemisia absinthium against carcinogens found in cigarette smoke
- Special Issue on the Joint Science Congress of Materials and Polymers (ISCMP 2020)
- Preparation of cypress (Cupressus sempervirens L.) essential oil loaded poly(lactic acid) nanofibers
- Influence of mica mineral on flame retardancy and mechanical properties of intumescent flame retardant polypropylene composites
- Production and characterization of thermoplastic elastomer foams based on the styrene–ethylene–butylene–styrene (SEBS) rubber and thermoplastic material
- Special Issue on Applied Chemistry in Agriculture and Food Science
- Impact of essential oils on the development of pathogens of the Fusarium genus and germination parameters of selected crops
- Yield, volume, quality, and reduction of biotic stress influenced by titanium application in oilseed rape, winter wheat, and maize cultivations
- Influence of potato variety on polyphenol profile composition and glycoalcaloid contents of potato juice
- Carryover effect of direct-fed microbial supplementation and early weaning on the growth performance and carcass characteristics of growing Najdi lambs
- Special Issue on Applied Biochemistry and Biotechnology (ABB 2021)
- The electrochemical redox mechanism and antioxidant activity of polyphenolic compounds based on inlaid multi-walled carbon nanotubes-modified graphite electrode
- Study of an adsorption method for trace mercury based on Bacillus subtilis
- Special Issue on The 1st Malaysia International Conference on Nanotechnology & Catalysis (MICNC2021)
- Mitigating membrane biofouling in biofuel cell system – A review
- Mechanical properties of polymeric biomaterials: Modified ePTFE using gamma irradiation