Content and composition analysis of polysaccharides from Blaps rynchopetera and its macrophage phagocytic activity
-
Ying Wang
, Yin-He Yang , Qing Luo , Yuan Hu , Qian Lu , Wan-Xin Yu , Jin-Hu Chen , Yu-Jia Wang , Mu-Ling Wang , Yu Zhaoand Huai Xiao
Abstract
Blaps rynchopetera Fairmaire has a long history of use as a folk medicine in China for treating fever, cough, gastritis, boils, and tumors. In the present study, the content analyses, monosaccharide composition analyses, and the macrophage phagocytic activity of rynchopetera polysaccharides (RPS) were reported. B. rhynchoptera is rich in polysaccharides (content value 3.97%). Through PMP (1-phenyl-3-methyl-5-pyrazolone) pre-column derivatization and high performance liquid chromatography (HPLC) testing, the results showed that RPS consist of 8 known monosaccharides, including D-mannose (Man), Rhamnose (Rha), D-glucuronic acid (GlcUA), D-galacturonic acid (GalUA), D-glucose (Glc), D-galactose (Gal), Arabinose (Ara), and Fucose (Fuc), with the total content of 171.70 mg g−1 and Glc has the highest content of 45.40 mg g−1. The phagocytic ability of mouse peritoneal macrophages was investigated after RPS stimulating alone and combined with lipopolysaccharide (LPS). RPS played an important role in the engulfment of mouse peritoneal macrophages and can significantly enhance the phagocytic ability of macrophages. However, no synergistic effects were observed when RPS combined with LPS.
1 Introduction
Polysaccharide exists in almost all organisms, with diverse biological activities such as antitumor, antioxidant, antidiabetic, radiation protecting, antiviral, hypolipidemic, immunomodulatory activities, antiaging, and so on [1,2,3,4]. Based on a large number of basic research and application development, polysaccharide products, in addition to various forms of functional food [5], health care products [6], and auxiliary drugs [7], such as heparin, chondroitin sulfate, hyaluronic acid, chitin, and amylum, have been widely used in clinical practice as drugs or medical materials. However, polysaccharides in different organism may have different composition, structure, and activity, which would worth more attention and investigation.
B. rynchopetera, also called ‘smelly fart bug’, is widely used for fever, cough, gastritis, boils, and even tumors in Yunnan province for a long time [8,9]. This medical insect belongs to the family Tenebrionidae (Coleoptera), which consists of 12 subfamilies, more than 1,500 genera, and about 25,000 species with a global distribution, and 9 subfamilies, more than 280 genera, and nearly 1,300 species in China [10]. In the early stage, we carried out a series research on material basis and biological activities [8,9,11,12,13,14]. B. rynchopetera was rich in phenolics, especially catechol substances [8,12], and phenolics had strong in vitro and in vivo antioxidant effects [15]. In this paper, the preparation, content determination, monosaccharides composition, and macrophage phagocytic activity of polysaccharides from B. rynchopetera (RPS) were reported.
2 Materials and methods
2.1 Reagents and materials
TU-1901 UV-Vis Spectrophotometer (Beijing Puyi General Instrument Co., Ltd.); Agilent 1100 High Performance Liquid Chromatography, including G1313AALS Automatic sampler, G1315A/B DAD Detector, and 1100 Chromatography Workstation (Agilent, USA); Type 5510 CO2 incubator (US NUAIRE company); CKX41 inverted microscope (Olympus Co., Ltd.).
All the chemical reagents were AR grade. All the monosaccharide standards, including mannose (Man), rhamnose (Rha), glucuronic acid (GlcUA), galacturonic acid (GalUA), glucose (Glc), galactose (Gal), xylose (Xyl), arabinose (Ara), and fucose (Fuc), were purchased from China Institute for the Control of Pharmaceutical and Biological Products or Guizhou Dida Biotechnology Co. Lipopolysaccharide (LPS) (Sigma, Lot number: 026M4021V).
B. rynchopetera materials were purchased from the Farmers’ Market in Dali City, Yunnan Province, China. The original medicinal material was identified as B. rynchopetera Fairmaire by Professor Ren Guodong of Hebei University and the specimen was kept in the Yunnan Provincial Key Laboratory of Entomological Biopharmaceutical R&D.
2.2 Extraction and purification of RPS
The adults of B. rynchopetera were collected, dried, and crushed. Insect powder (1.0 Kg) was defatted with petroleum ether, then reflux extracted twice with 80% ethanol and filtered. The filter residue was reflux extracted with distilled water twice (1 h each time). Extracts solution was combined and concentrated to a certain volume and cooled, then oscillated with Sevage reagent (chloroform: n-butanol = 5:1) and centrifuged at 4,000 rpm, the upper aqueous solution was separated, repeating three times until it was cleared of protein layer. After that, 95% ethanol was added to the aqueous solution and the alcohol content was adjusted to 80%, placed at 4°C for 24 h, then filtered and the precipitate was collected. The precipitate was washed several times with anhydrous ethanol, acetone, and ether successively, dried at 60°C, then the gray-white refined polysaccharide, RPS was obtained.
2.3 Identification of RPS
Taking 1.0 mg of the above purified RPS into a plug tube, dissolving with 2.0 mL distilled water, and mixing with 2.0 mL α-naphthol solution (1 mg mL−1), 1 mL of concentrated H2SO4 was slowly added along the tube wall. The result showed that there was a purplish red ring at the junction of RPS solution and sulphuric acid.
2.4 Content determination of polysaccharide
Polysaccharide content in B. rynchopetera was determined with phenol-sulfuric acid method using glucose as the standard.
B. rynchopetera (0.5 g) was accurately weighed and placed in a round bottom flask, then defatted with petroleum ether, ultrasonic extracted with 80% ethanol for 30 min, filtered and washed once with hot 80% ethanol and dried. The filtered residue was ultrasonic extracted with distilled water for about 30 min, repeated 4 times, combined with filtrates to a volumetric flask to constant volume as 200.0 mL, shook well, and the sample solution for content determination was obtained.
In a plug test tube, 2.0 mL test solution and 1.0 mL prepared phenol reagent were added and mixed, then 5.0 mL concentrated sulfuric acid was added quickly and blended, stayed at room temperature for 5 min, heated in a 60°C water bath for 10 min, then cooled to room temperature. The absorbance value of colored solution was determined at 490 nm in triplicates. The procedure was repeated with 2.0 mL distilled water used as blank.
2.5 Monosaccharide composition and content analysis of RPS
PMP pre-column derivatization HPLC method was used to analyze the monosaccharide composition and content of RPS; 9 different standard monosaccharides, including mannose, rhamnose, glucuronic acid, galacturonic acid, glucose, galactose, arabinose, fucose, and xylose were used as control.
Nine different standard monosaccharide substances were precisely weighed respectively and resolved together to obtain the mixed standard monosaccharide solution.
The purified RPS was hydrolyzed before content and composition analyses by sealed heating [16]: RPS (10.0 mg) was accurately weighed in an ampoule bottle, mixed with 1.0 mL of 4 mol L−1 trifluoroacetic acid (TFA), then filled with nitrogen and sealed. It was hydrolyzed at 110°C for 2 h and cooled to room temperature. The hydrolyzed solution was vacuum distilled to solvent-free, diluted with pure water, fixed volume to 5.0 mL, and then centrifuged. The supernatant was the hydrolyzed monosaccharide solution for further derivatization.
Derivatization of mixed standard monosaccharide substance and hydrolyzed RPS were as follows [16]: 200 μL sample solution was precisely measured into the test tube, 200 μL of 0.3 mol L−1 NaOH solution was added, shook well, 200 μL 0.5 mol L−1 PMP methanol solution was added, vortex mixing for 30 s, then reacted 70 min in a constant temperature water bath at 70°C, cooled to room temperature, and then neutralized using 200 μL of 0.3 mol L−1 hydrochloric acid. After that, 2 mL of chloroform was added, vortex mixing for 3 min, centrifugated for 5 min, the organic layer was discarded, the supernatant was extracted repeatedly 3 times, and the water phase was filtered through 0.45 μm filter membrane before HPLC analysis.
The HPLC analysis of the derivatized monosaccharide was carried out using the following chromatographic conditions [17]: Phenomenex Gemini C18, 110 Å column (4.6 × 250 mm, particular size 5 μm); mobile phase: acetonitrile-0.05 mol L−1 phosphate buffer (17: 83, pH 6.7); column temperature: 30°C; flow rate: 0.8 mg mL−1; detection wavelength: 250 nm; and injection volume: 10 μL.
2.6 Phagocytes assay
Purified peritoneal macrophages were obtained as described [18]. The macrophages were added into 96-well culture plates and divided into a cell control group (cell and medium only), an LPS model group with final concentration of 10 μg mL−1, RPS groups (500, 250, 125, 62.5, 31.25 μg mL−1), and combined groups with both LPS and RPS treatment, 3 times in parallel. After cultured, the supernatant was discarded and neutral red solutions were added and incubated. Then the supernatant was removed, and the cells in 96-well plates were washed with PBS buffer. After cell lysate-acidic ethanol solution was added and the plate was placed at 4°C overnight, the absorbance was measured at 540 nm.
2.7 Statistical analysis
Statistical significance was analyzed by one-way ANOVA using SPSS 19.0. After the homogeneity test of the variance, the experimental data of the variance was statistically analyzed by the pairwise LSD method and the rank sum test. p value <0.05 was regarded as statistically significant.
-
Ethical approval: The conducted research is not related to either human or animal use.
3 Results
3.1 The maximum absorption wavelength for polysaccharide content determination
Standard glucose solution (1.0 mg mL−1) and polysaccharide extract solution were colored and scanned at 400–600 nm to determine the absorbance value (A); distilled water with same operation was used as blank. The results showed that both solutions had maximum absorption at 490 nm (Figure 1).

UV absorption curve of B. rynchopetera extract and glucose standard solution. (1) Glucose standard solution, (2) sample solution of B. rynchopetera extract.
3.2 Standard curve for polysaccharide content determination
A series of glucose standard solution was prepared, and the absorbance values were measured at 490 nm in triplicates. Drawing relational graph with the absorbance values as Y axis and the concentration as X axis (Figure 2), the standard curve equation was obtained as Y = 14.482X + 0.0221 (R 2 = 0.9991), with a linear range from 0.005 to 0.05 mg mL−1 (Figure 2).

Standard curve of glucose.
3.3 Conversion factor of RPS
Before RPS content determination, the conversion factor was tested [17]. The absorbance values of the colored RPS solution were determined at 490 nm, then A value was substituted into the above equation to calculate the glucose content, and the conversion factor was calculated according to the following formula: f = W/(C × D), in which “W” is the amount of RPS (mg), “C” is the calculated concentration (mg mL−1), and “D” is the dilution multiple. The RPS conversion factor “f” was determined and calculated as 5.05 (n = 3).
3.4 Methodological investigation of polysaccharide content determination
The absorbance value of colored glucose standard solution was determined at 490 nm (6 times in parallel) to evaluate the precision, the RSD = 1.6%, indicating the method has a good precision.
The absorbance values of glucose standard, RPS, and polysaccharide extract solution were measured at the points of been colored for 0, 10, 20, 30, 40, 50, 60, 70, 80, 90, and 100 min to test the stability, respectively. The data showed good sample stability with RSD of 1.41, 1.30, and 1.18% for glucose, RPS, and polysaccharide extract solution, respectively.
Five samples with same amount were taken, extracted, and colored as above and the absorbance values were tested for reproducibility. The absorbance values were 0.495, 0.483, 0.457, 0.476, and 0.473, with RSD 3.79%, indicating a receivable reproducibility for the method.
Taking 6 powder samples of B. rynchopetera, approximately 200 mg each, adding about 5.0 mg of glucose standard, then extracting the polysaccharide and testing the absorbance values with the same method, the recovery rates were inspected. Calculated according to the standard curve equation, the results met the requirement with the average recovery rate as 97.6% and the RSD = 2.26% (Table 1).
Recovery experiment result for polysaccharide determination of B. rynchopetera extract
| No. | Sample weight (g) | Amount of RPS (mg) | Adding standard matter amount (mg) | Measured amount (mg) | Recovery rate (%) | Average value (%) | RSD (%) |
|---|---|---|---|---|---|---|---|
| 1 | 0.2040 | 7.874 | 4.91 | 12.55 | 95.2 | ||
| 2 | 0.2036 | 7.859 | 5.25 | 12.86 | 95.3 | ||
| 3 | 0.2037 | 7.863 | 5.21 | 13.11 | 100.7 | 97.6 | 2.26 |
| 4 | 0.2039 | 7.871 | 5.23 | 12.93 | 96.7 | ||
| 5 | 0.2043 | 7.886 | 5.17 | 12.97 | 98.3 | ||
| 6 | 0.2031 | 7.840 | 5.42 | 13.21 | 99.1 |
3.5 Polysaccharide content in B. rynchopetera
Three polysaccharide extract solutions of B. rynchopetera were prepared and colored and the absorbance values tested; the polysaccharide content was calculated through the standard curve equation of item 3.2 and the following formula:
Polysaccharide content (mg g−1) = C × D × f/W, in which “W” is the amount of sample (g), “C” is the calculated concentration (mg mL−1), “D” is the dilution multiple of solution, and “f” is conversion factor obtained from item 3.3. The content of polysaccharide in B. rynchopetera was determinate as 39.7 mg g−1 (Table 2).
Result for polysaccharide determination of B. rynchopetera extract
| Sample weight (g) | Average absorbance value (A) | Content (mg g−1) | Average content (mg g−1) | RSD (%) |
|---|---|---|---|---|
| 0.2011 | 0.485 | 39.7 | ||
| 0.2052 | 0.502 | 40.3 | 39.7 | 1.69 |
| 0.1990 | 0.472 | 39.0 |
3.6 Monosaccharide composition analysis of RPS
The HPLC spectra of 9 standard monosaccharide derivatives were showed (Figure 3a); 9 peaks were separated well, except galactose, xylose, and arabinose (peaks 7, 8, 9) not been baseline separated. The hydrolyzed RPS derivatives spectra showed that there were 8 known monosaccharides, mannose, rhamnose, glucuronic acid, galacturonic acid, glucose, galactose, arabinose, and fucose, but no xylose was detected (Figure 3b).

HPLC spectra of mixed standard monosaccharide derivatives (a) and hydrolyzed monosaccharide derivatives of RPS (b) (1. PMP reagent; 2. Man; 3. Rha; 4. GlcUA; 5. GalUA; 6. Glc; 7. Gal; 8. Xyl; 9. Ara; 10. Fuc; X = Unknown).
3.7 Content determination of monosaccharide in RPS
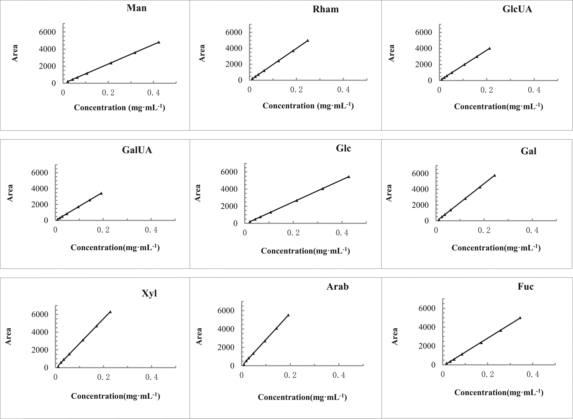
Series solutions of 9 mixed monosaccharide standards with different concentration were prepared and derived, then processed for HPLC analyses with the item 2.5 testing chromatographic conditions. Through SPSS analysis, the standard curves and the equations between concentration (X) and peak area (Y) for 9 monosaccharides were obtained (Figure 4 and Table 3).

Standard curves of 9 monosaccharides.
Standard curve equation of 9 monosaccharides
| Monosaccharide | Linear equation | Correlation coefficient (R 2) | Linear range (μg mL−1) |
|---|---|---|---|
| Man | Y = 11433X – 32.634 | 1 | 0.0212–0.424 |
| Rha | Y = 20204X – 48.595 | 0.9999 | 0.0124–0.248 |
| GlcUA | Y = 19040X – 20.109 | 1 | 0.0106–0.212 |
| GalUA | Y = 17955X – 15.488 | 1 | 0.0096–0.192 |
| Glc | Y = 12913X – 74.918 | 1 | 0.0214–0.535 |
| Gal | Y = 24061X – 96.033 | 0.9998 | 0.0122–0.244 |
| Xyl | Y = 28047X – 86.409 | 0.9995 | 0.0114–0.228 |
| Ara | Y = 28910X – 47.975 | 0.9994 | 0.0096–0.192 |
| Fuc | Y = 14835X – 142.93 | 0.9994 | 0.0112–0.224 |
Methodological study on determination of monosaccharide content in RPS indicated that the method was accurate, stable, and reliable. After derivatization, the peak area of the mixed monosaccharides standard substance was tested, 6 times in parallel to evaluate the precision; the RSD of each monosaccharide was less than 2.0% (Table 4). The RPS solution was hydrolyzed, derivatized, and analyzed with above HPLC conditions at 0, 2, 4, 6, 8, and 12 h to evaluate the stability. The testing data showed good sample stability with RSD not more than 3% (Table 4). Six samples of RPS were accurately weighed, hydrolyzed, derivatized, and analyzed in order to test the reproducibility. And the calculated average content of monosaccharide with RSD was not more than 3%, indicating a receivable reproducibility for the method (Table 4).
Methodology investigation result of monosaccharide content determination in RPS
| Monosaccharide | Precision RSD (%) | Stability RSD (%) | Reproducibility RSD (%) |
|---|---|---|---|
| Man | 0.81 | 0.66 | 1.90 |
| Rha | 1.37 | 0.19 | 0.69 |
| GlcUA | 1.37 | 1.50 | 1.19 |
| GalUA | 0.21 | 1.89 | 1.72 |
| Glc | 0.92 | 1.94 | 0.94 |
| Gal | 1.17 | 2.35 | 1.38 |
| Ara | 0.37 | 1.14 | 2.78 |
| Xyl | — | — | — |
| Fuc | 1.38 | 2.03 | 2.31 |
Taking 6 samples of the hydrolyzed RPS and adding the mixed solution of monosaccharides, derivatization and HPLC determination were carried out; the results met the requirement with the average recovery rate and the RSD, respectively (Table 5).
Recovery rates of 8 monosaccharides content of RPS
| Monosaccharide | Average recovery rate (%) | RSD (%) |
|---|---|---|
| Man | 97.5 | 1.58 |
| Rha | 97.0 | 2.32 |
| GlcUA | 96.5 | 1.38 |
| GalUA | 98.9 | 2.60 |
| Glc | 100.8 | 2.03 |
| Gal | 98.0 | 2.13 |
| Ara | 101.7 | 1.78 |
| Fuc | 98.3 | 1.95 |
At last, sample of RPS was hydrolyzed, derivatized, and determined using same HPLC conditions, three times each. The content of each monosaccharide in RPS was calculated by substituting the average peak area into the above equation and the results are shown in Table 6. The total content of monosaccharide was 171.70 mg g−1; 8 monosaccharides content varied from 11.47 to 45.40 mg g−1 and glucose was the richest in RPS.
Content determination result of monosaccharides in RPS (n = 3)
| Monosaccharide | Retention time (min) | Average peak area | Content (mg g−1) |
|---|---|---|---|
| Rha | 25.7 | 750.3 | 19.77 |
| GlcUA | 27.8 | 416.8 | 11.47 |
| GalUA | 31.2 | 650.6 | 18.55 |
| Glc | 36.4 | 1092.5 | 45.40 |
| Gal | 40.8 | 840.9 | 19.47 |
| Xyl | 42.6 | — | — |
| Ara | 44.3 | 895.7 | 16.32 |
| Fuc | 50.0 | 381.5 | 17.67 |
| Total content | 171.70 |
3.8 Effect of RPS on phagocytosis of macrophages
The phagocytic capability of mouse peritoneal macrophages was investigated by RPS stimulation alone and co-stimulation with LPS [19] for evaluating the immunological activity. Experimental result indicated that RPS could significantly enhance the phagocytic ability of macrophages. The effect was a little better than that of the positive drug LPS, but did not show a good dose-dependent relationship (Figure 5a), and there was no tendency of synergistic enhancement when co-stimulatied with LPS (Figure 5b).

Effect of RPS on phagocytosis of the macrophages (n = 3; *, p < 0.05). (a) Stimulation with RPS alone, (b) co-stimulation with RPS and LPS.
4 Discussion
In this report, the RPS were prepared by water extraction, alcohol precipitation, and Sevage method getting rid of protein, and the content of polysaccharides was 39.7 mg g−1 determined by phenol-sulfuric acid method. Sun [20] optimized the extraction methods of three kinds of insect polysaccharides; the contents of dilute alkali extraction, protease hydrolysis extraction and water extraction were 5.95, 6.0, and 3.8%, respectively, which were basically consistent with our studies.
HPLC monosaccharide analysis results showed that RPS was rich in monosaccharide types, containing not only all the testing samples except xylose, but also other unknown ones, such as peaks X1 to X4 in Figure 3b between t R 16 to 25 min. Meanwhile, there were other non-sugar macromolecules in RPS; the total content of monosaccharides was 171.70 mg g−1, and even the richest monosaccharide, glucose, had a content of 45.40 mg g−1.
Immunomodulation is an important activity for polysaccharides [4]. Sun [20] reported that polysaccharide from B. rynchopetera had a wide range of effects on body-specific, nonspecific immunity, cellular immunity, and humoral immunity. In this study, the immunological activity of RPS was verified and our results show that RPS had significant effect to enhance the phagocytic ability of mouse macrophages.
B. rynchopetera has been used in the treatment of tumor in many areas of Yunnan Province, China. Immune regulation played an important role for tumor therapy and other medical application. Further study of biological activity, the identification of possible substance(s) of the non-sugar macromolecules in RPS, and the mechanism of RPS would be necessary to explore its medical potentials.
5 Conclusions
In this study, the content of polysaccharide was 39.7 mg g−1 in B. rynchopetera determined by phenol-sulfuric acid method. There were at least 8 familiar monosaccharides in RPS, which had the total content of 171.70 mg g−1, with absence of xylose. RPS showed effective immunological activity for the enhancement of mouse macrophages phagocytosis. RPS is a complex institution composed of macromolecules with potential activity for disease treatment and worth for more investigation.
Acknowledgments
We appreciated J. Stöckigt from Mainz University (Germany) for stimulating discussion.
-
Funding information: This work was supported by the National Natural Science Foundation of China (No. 81960755, 81703742, 81860742); the Natural Science Foundation of Yunnan Province (No. 2017FA050); Yunnan Provincial 2011 Collaborative Innovation Center for Entomoceutics (No. [2012] 25); and Innovative Team of Dali University for Digital Development of Medicinal Insects and Arachnids Resources (No. ZKLX2020303).
-
Author contributions: Huai Xiao and Yu Zhao conceived and designed the experiments; Ying Wang, Qing Luo, Qian Lu, Wan-Xin Yu, Jin-Hu Chen, Yu-Jia Wang, and Mu-Ling Wang performed the experiments; Qian Lu and Yuan Hu analyzed the data; Ying Wang, Yin-He Yang, and Huai Xiao wrote the manuscript; and Yu Zhao polished it. Huai Xiao and Yu Zhao acquired funding for the research. All authors read and approved the final manuscript.
-
Conflict of interest: Authors state no conflict of interest.
-
Data availability statement: All the data of this manuscript are available from the authors.
References
[1] Chen S, Ding R, Zhou Y, Zhang X, Zhu R, Gao XD. Immunomodulatory effects of polysaccharide from marine fungus Phoma herbarum YS4108 on T cells and dendritic cells. Mediat Inflamm. 2014;2014:738631.10.1155/2014/738631Search in Google Scholar PubMed PubMed Central
[2] Huang SQ, Ning ZX. Extraction of polysaccharide from Ganoderma lucidum and its immune enhancement activity. Int J Biol Macromol. 2010;47(3):336–41.10.1016/j.ijbiomac.2010.03.019Search in Google Scholar PubMed
[3] Qiu SL, Chen J, Qin T, Hu YL, Wang DY, Fan Q, et al. Effects of selenylation modification on immune-enhancing activity of garlic polysaccharide. PLoS One. 2014;9(1):e86377.10.1371/journal.pone.0086377Search in Google Scholar PubMed PubMed Central
[4] Zeng P, Li J, Chen Y, Zhang L. The structures and biological functions of polysaccharides from traditional Chinese herbs. Progress in molecular biology and translational science. 2019;163:423–44.10.1016/bs.pmbts.2019.03.003Search in Google Scholar PubMed PubMed Central
[5] Bernaerts TMM, Gheysen L, Kyomugasho C, Kermani ZJ, Vandionant S, Foubert I, et al. Comparison of microalgal biomasses as functional food ingredients: focus on the composition of cell wall related polysaccharides. Algal Res. 2018;32:150–61.10.1016/j.algal.2018.03.017Search in Google Scholar
[6] Zhang YL, Huang XX, Cai MQ. Advances of functions of antioxidation and relieving physical fatigue of Lycium barbarum polysaccharide. Journal of Shanghai Jiaotong University. 2015;35(6):911–4 and 925.Search in Google Scholar
[7] García-González CA, Jin M, Gerth J, Alvarez-Lorenzo C, Smirnova I. Polysaccharide-based aerogel microspheres for oral drug delivery. Carbohydr Polym. 2014;117:797–806.10.1016/j.carbpol.2014.10.045Search in Google Scholar PubMed
[8] Xiao H, Yin TP, Dong JW, Wu XM, Luo Q, Luo JR, et al. Five new phenolic compounds with antioxidant activities from the medicinal insect Blaps rynchopetera. Molecules. 2017;22(8):1301.10.3390/molecules22081301Search in Google Scholar PubMed PubMed Central
[9] Xiao H, Dong JW, Zhou DJ, Wu XM, Luo JR, Zhang CG, et al. Cytotoxicity of the defensive secretion from the medicinal insect Blaps rynchopetera. Molecules. 2018;23(1):10.10.3390/molecules23010010Search in Google Scholar PubMed PubMed Central
[10] Liu XL, Ren GD. 16S rDNA sequences and relationships of nine darkling beetles species. J Hebei Univ. 2004;24:399–405.Search in Google Scholar
[11] Shi GR, Zhuang XL, Guo MX, Wu XM, Xiao H. Study on the in vitro antineoplastic activity of the extract from Blaps rynchopetera fairmaire. J Anhui Agric Sci. 2012;40(6):3387–8.Search in Google Scholar
[12] Shan H, Luo Q, Xiao H. The polyphenols content analysis of Blaps rynchopetera fairmaire. Lishizhen Med Mater Med Res. 2016;27(3):532–4.Search in Google Scholar
[13] Cui WB, Qian JF, Luo JR, Xiao H. Antioxidant activity of solvent extracts of Blaps rynchopetera fairmaire in vitro. Lishizhen Med Mater Med Res. 2013;24(7):1566–7.Search in Google Scholar
[14] Luo Q, Cai L, Wu XM, Guo NN, Luo JR, Xiao H. Cyclodipeptides from medicinal insect Blaps rynchopetera. Chin Herb Med. 2015;46(16):2381–4.Search in Google Scholar
[15] Hu XF, Ding ZB, Chen Y, Luo JF, He JM, Yin TP. Comparative study on the antioxidant activities of ten common flower teas from China. Open Chem. 2019;17:841–8.10.1515/chem-2019-0091Search in Google Scholar
[16] Wan Q, Wu XH, Fan HJ, Luo A, Chen Z, Huang XW, et al. Derivative chromatographic analysis of monosaccharides in hydrolyzed polysaccharide from Cassia obtusifolia L. and their composition characteristic. J Instrum Anal. 2014;33(11):1231–6.Search in Google Scholar
[17] Shang XH, Qu CL, Zhang JP, Liu XY, Jiao BH, Zheng H, et al. Study on the extraction technology of the sea urchin shell polysaccharide and monosaccharide composition by pre-column derivatization HPLC. Lishizhen Med Mater Med Res. 2015;26(4):830–2.Search in Google Scholar
[18] Tang M, Yu WX, Wu TQ, Ma XY, Liu H, Zhang CG, et al. Effects of periplaneta Americana extract Ento-A on immune function in immunosuppressed mice. Chin Pharmacol Bull. 2018;34(1):72–6.Search in Google Scholar
[19] Amura CR, Kamei T, Ito N, Soares MJ, Morrison DC. Differential regulation of lipopolysaccharide (LPS) activation pathways in mouse macrophages by LPS-binding proteins. J Immunol. 1998;161(5):2552–60.10.4049/jimmunol.161.5.2552Search in Google Scholar
[20] Sun L. Isolation, purification and immunological activity of three insect polysaccharides. Beijing: Chinese Academy of Forestry; 2007.Search in Google Scholar
© 2021 Ying Wang et al., published by De Gruyter
This work is licensed under the Creative Commons Attribution 4.0 International License.
Articles in the same Issue
- Regular Articles
- Qualitative and semi-quantitative assessment of anthocyanins in Tibetan hulless barley from different geographical locations by UPLC-QTOF-MS and their antioxidant capacities
- Effect of sodium chloride on the expression of genes involved in the salt tolerance of Bacillus sp. strain “SX4” isolated from salinized greenhouse soil
- GC-MS analysis of mango stem bark extracts (Mangifera indica L.), Haden variety. Possible contribution of volatile compounds to its health effects
- Influence of nanoscale-modified apatite-type calcium phosphates on the biofilm formation by pathogenic microorganisms
- Removal of paracetamol from aqueous solution by containment composites
- Investigating a human pesticide intoxication incident: The importance of robust analytical approaches
- Induction of apoptosis and cell cycle arrest by chloroform fraction of Juniperus phoenicea and chemical constituents analysis
- Recovery of γ-Fe2O3 from copper ore tailings by magnetization roasting and magnetic separation
- Effects of different extraction methods on antioxidant properties of blueberry anthocyanins
- Modeling the removal of methylene blue dye using a graphene oxide/TiO2/SiO2 nanocomposite under sunlight irradiation by intelligent system
- Antimicrobial and antioxidant activities of Cinnamomum cassia essential oil and its application in food preservation
- Full spectrum and genetic algorithm-selected spectrum-based chemometric methods for simultaneous determination of azilsartan medoxomil, chlorthalidone, and azilsartan: Development, validation, and application on commercial dosage form
- Evaluation of the performance of immunoblot and immunodot techniques used to identify autoantibodies in patients with autoimmune diseases
- Computational studies by molecular docking of some antiviral drugs with COVID-19 receptors are an approach to medication for COVID-19
- Synthesis of amides and esters containing furan rings under microwave-assisted conditions
- Simultaneous removal efficiency of H2S and CO2 by high-gravity rotating packed bed: Experiments and simulation
- Design, synthesis, and biological activities of novel thiophene, pyrimidine, pyrazole, pyridine, coumarin and isoxazole: Dydrogesterone derivatives as antitumor agents
- Content and composition analysis of polysaccharides from Blaps rynchopetera and its macrophage phagocytic activity
- A new series of 2,4-thiazolidinediones endowed with potent aldose reductase inhibitory activity
- Assessing encapsulation of curcumin in cocoliposome: In vitro study
- Rare norisodinosterol derivatives from Xenia umbellata: Isolation and anti-proliferative activity
- Comparative study of antioxidant and anticancer activities and HPTLC quantification of rutin in white radish (Raphanus sativus L.) leaves and root extracts grown in Saudi Arabia
- Comparison of adsorption properties of commercial silica and rice husk ash (RHA) silica: A study by NIR spectroscopy
- Sodium borohydride (NaBH4) as a high-capacity material for next-generation sodium-ion capacitors
- Aroma components of tobacco powder from different producing areas based on gas chromatography ion mobility spectrometry
- The effects of salinity on changes in characteristics of soils collected in a saline region of the Mekong Delta, Vietnam
- Synthesis, properties, and activity of MoVTeNbO catalysts modified by zirconia-pillared clays in oxidative dehydrogenation of ethane
- Synthesis and crystal structure of N,N′-bis(4-chlorophenyl)thiourea N,N-dimethylformamide
- Quantitative analysis of volatile compounds of four Chinese traditional liquors by SPME-GC-MS and determination of total phenolic contents and antioxidant activities
- A novel separation method of the valuable components for activated clay production wastewater
- On ve-degree- and ev-degree-based topological properties of crystallographic structure of cuprite Cu2O
- Antihyperglycemic effect and phytochemical investigation of Rubia cordifolia (Indian Madder) leaves extract
- Microsphere molecularly imprinted solid-phase extraction for diazepam analysis using itaconic acid as a monomer in propanol
- A nitric oxide-releasing prodrug promotes apoptosis in human renal carcinoma cells: Involvement of reactive oxygen species
- Machine vision-based driving and feedback scheme for digital microfluidics system
- Study on the application of a steam-foam drive profile modification technology for heavy oil reservoir development
- Ni–Ru-containing mixed oxide-based composites as precursors for ethanol steam reforming catalysts: Effect of the synthesis methods on the structural and catalytic properties
- Preparation of composite soybean straw-based materials by LDHs modifying as a solid sorbent for removal of Pb(ii) from water samples
- Synthesis and spectral characterizations of vanadyl(ii) and chromium(iii) mixed ligand complexes containing metformin drug and glycine amino acid
- In vitro evaluation of lactic acid bacteria with probiotic activity isolated from local pickled leaf mustard from Wuwei in Anhui as substitutes for chemical synthetic additives
- Utilization and simulation of innovative new binuclear Co(ii), Ni(ii), Cu(ii), and Zn(ii) diimine Schiff base complexes in sterilization and coronavirus resistance (Covid-19)
- Phosphorylation of Pit-1 by cyclin-dependent kinase 5 at serine 126 is associated with cell proliferation and poor prognosis in prolactinomas
- Molecularly imprinted membrane for transport of urea, creatinine, and vitamin B12 as a hemodialysis candidate membrane
- Optimization of Murrayafoline A ethanol extraction process from the roots of Glycosmis stenocarpa, and evaluation of its Tumorigenesis inhibition activity on Hep-G2 cells
- Highly sensitive determination of α-lipoic acid in pharmaceuticals on a boron-doped diamond electrode
- Synthesis, chemo-informatics, and anticancer evaluation of fluorophenyl-isoxazole derivatives
- In vitro and in vivo investigation of polypharmacology of propolis extract as anticancer, antibacterial, anti-inflammatory, and chemical properties
- Topological indices of bipolar fuzzy incidence graph
- Preparation of Fe3O4@SiO2–ZnO catalyst and its catalytic synthesis of rosin glycol ester
- Construction of a new luminescent Cd(ii) compound for the detection of Fe3+ and treatment of Hepatitis B
- Investigation of bovine serum albumin aggregation upon exposure to silver(i) and copper(ii) metal ions using Zetasizer
- Discoloration of methylene blue at neutral pH by heterogeneous photo-Fenton-like reactions using crystalline and amorphous iron oxides
- Optimized extraction of polyphenols from leaves of Rosemary (Rosmarinus officinalis L.) grown in Lam Dong province, Vietnam, and evaluation of their antioxidant capacity
- Synthesis of novel thiourea-/urea-benzimidazole derivatives as anticancer agents
- Potency and selectivity indices of Myristica fragrans Houtt. mace chloroform extract against non-clinical and clinical human pathogens
- Simple modifications of nicotinic, isonicotinic, and 2,6-dichloroisonicotinic acids toward new weapons against plant diseases
- Synthesis, optical and structural characterisation of ZnS nanoparticles derived from Zn(ii) dithiocarbamate complexes
- Presence of short and cyclic peptides in Acacia and Ziziphus honeys may potentiate their medicinal values
- The role of vitamin D deficiency and elevated inflammatory biomarkers as risk factors for the progression of diabetic nephropathy in patients with type 2 diabetes mellitus
- Quantitative structure–activity relationship study on prolonged anticonvulsant activity of terpene derivatives in pentylenetetrazole test
- GADD45B induced the enhancing of cell viability and proliferation in radiotherapy and increased the radioresistance of HONE1 cells
- Cannabis sativa L. chemical compositions as potential plasmodium falciparum dihydrofolate reductase-thymidinesynthase enzyme inhibitors: An in silico study for drug development
- Dynamics of λ-cyhalothrin disappearance and expression of selected P450 genes in bees depending on the ambient temperature
- Identification of synthetic cannabinoid methyl 2-{[1-(cyclohexylmethyl)-1H-indol-3-yl] formamido}-3-methylbutanoate using modern mass spectrometry and nuclear magnetic resonance techniques
- Study on the speciation of arsenic in the genuine medicinal material honeysuckle
- Two Cu(ii)-based coordination polymers: Crystal structures and treatment activity on periodontitis
- Conversion of furfuryl alcohol to ethyl levulinate in the presence of mesoporous aluminosilicate catalyst
- Review Articles
- Hsien Wu and his major contributions to the chemical era of immunology
- Overview of the major classes of new psychoactive substances, psychoactive effects, analytical determination and conformational analysis of selected illegal drugs
- An overview of persistent organic pollutants along the coastal environment of Kuwait
- Mechanism underlying sevoflurane-induced protection in cerebral ischemia–reperfusion injury
- COVID-19 and SARS-CoV-2: Everything we know so far – A comprehensive review
- Challenge of diabetes mellitus and researchers’ contributions to its control
- Advances in the design and application of transition metal oxide-based supercapacitors
- Color and composition of beauty products formulated with lemongrass essential oil: Cosmetics formulation with lemongrass essential oil
- The structural chemistry of zinc(ii) and nickel(ii) dithiocarbamate complexes
- Bioprospecting for antituberculosis natural products – A review
- Recent progress in direct urea fuel cell
- Rapid Communications
- A comparative morphological study of titanium dioxide surface layer dental implants
- Changes in the antioxidative properties of honeys during their fermentation
- Erratum
- Erratum to “Corrosion study of copper in aqueous sulfuric acid solution in the presence of (2E,5E)-2,5-dibenzylidenecyclopentanone and (2E,5E)-bis[(4-dimethylamino)benzylidene]cyclopentanone: Experimental and theoretical study”
- Erratum to “Modified TDAE petroleum plasticiser”
- Corrigendum
- Corrigendum to “A nitric oxide-releasing prodrug promotes apoptosis in human renal carcinoma cells: Involvement of reactive oxygen species”
- Special Issue on 3rd IC3PE 2020
- Visible light-responsive photocatalyst of SnO2/rGO prepared using Pometia pinnata leaf extract
- Antihyperglycemic activity of Centella asiatica (L.) Urb. leaf ethanol extract SNEDDS in zebrafish (Danio rerio)
- Selection of oil extraction process from Chlorella species of microalgae by using multi-criteria decision analysis technique for biodiesel production
- Special Issue on the 14th Joint Conference of Chemistry (14JCC)
- Synthesis and in vitro cytotoxicity evaluation of isatin-pyrrole derivatives against HepG2 cell line
- CO2 gas separation using mixed matrix membranes based on polyethersulfone/MIL-100(Al)
- Effect of synthesis and activation methods on the character of CoMo/ultrastable Y-zeolite catalysts
- Special Issue on Electrochemical Amplified Sensors
- Enhancement of graphene oxide through β-cyclodextrin composite to sensitive analysis of an antidepressant: Sulpiride
- Investigation of the spectroelectrochemical behavior of quercetin isolated from Zanthoxylum bungeanum
- An electrochemical sensor for high sensitive determination of lysozyme based on the aptamer competition approach
- An improved non-enzymatic electrochemical sensor amplified with CuO nanostructures for sensitive determination of uric acid
- Special Issue on Applied Biochemistry and Biotechnology 2020
- Fast discrimination of avocado oil for different extracted methods using headspace-gas chromatography-ion mobility spectroscopy with PCA based on volatile organic compounds
- Effect of alkali bases on the synthesis of ZnO quantum dots
- Quality evaluation of Cabernet Sauvignon wines in different vintages by 1H nuclear magnetic resonance-based metabolomics
- Special Issue on the Joint Science Congress of Materials and Polymers (ISCMP 2019)
- Diatomaceous Earth: Characterization, thermal modification, and application
- Electrochemical determination of atenolol and propranolol using a carbon paste sensor modified with natural ilmenite
- Special Issue on the Conference of Energy, Fuels, Environment 2020
- Assessment of the mercury contamination of landfilled and recovered foundry waste – a case study
- Primary energy consumption in selected EU Countries compared to global trends
- Modified TDAE petroleum plasticiser
- Use of glycerol waste in lactic acid bacteria metabolism for the production of lactic acid: State of the art in Poland
- Topical Issue on Applications of Mathematics in Chemistry
- Theoretical study of energy, inertia and nullity of phenylene and anthracene
- Banhatti, revan and hyper-indices of silicon carbide Si2C3-III[n,m]
- Topical Issue on Agriculture
- Occurrence of mycotoxins in selected agricultural and commercial products available in eastern Poland
- Special Issue on Ethnobotanical, Phytochemical and Biological Investigation of Medicinal Plants
- Acute and repeated dose 60-day oral toxicity assessment of chemically characterized Berberis hispanica Boiss. and Reut in Wistar rats
- Phytochemical profile, in vitro antioxidant, and anti-protein denaturation activities of Curcuma longa L. rhizome and leaves
- Antiplasmodial potential of Eucalyptus obliqua leaf methanolic extract against Plasmodium vivax: An in vitro study
- Prunus padus L. bark as a functional promoting component in functional herbal infusions – cyclooxygenase-2 inhibitory, antioxidant, and antimicrobial effects
- Molecular and docking studies of tetramethoxy hydroxyflavone compound from Artemisia absinthium against carcinogens found in cigarette smoke
- Special Issue on the Joint Science Congress of Materials and Polymers (ISCMP 2020)
- Preparation of cypress (Cupressus sempervirens L.) essential oil loaded poly(lactic acid) nanofibers
- Influence of mica mineral on flame retardancy and mechanical properties of intumescent flame retardant polypropylene composites
- Production and characterization of thermoplastic elastomer foams based on the styrene–ethylene–butylene–styrene (SEBS) rubber and thermoplastic material
- Special Issue on Applied Chemistry in Agriculture and Food Science
- Impact of essential oils on the development of pathogens of the Fusarium genus and germination parameters of selected crops
- Yield, volume, quality, and reduction of biotic stress influenced by titanium application in oilseed rape, winter wheat, and maize cultivations
- Influence of potato variety on polyphenol profile composition and glycoalcaloid contents of potato juice
- Carryover effect of direct-fed microbial supplementation and early weaning on the growth performance and carcass characteristics of growing Najdi lambs
- Special Issue on Applied Biochemistry and Biotechnology (ABB 2021)
- The electrochemical redox mechanism and antioxidant activity of polyphenolic compounds based on inlaid multi-walled carbon nanotubes-modified graphite electrode
- Study of an adsorption method for trace mercury based on Bacillus subtilis
- Special Issue on The 1st Malaysia International Conference on Nanotechnology & Catalysis (MICNC2021)
- Mitigating membrane biofouling in biofuel cell system – A review
- Mechanical properties of polymeric biomaterials: Modified ePTFE using gamma irradiation
Articles in the same Issue
- Regular Articles
- Qualitative and semi-quantitative assessment of anthocyanins in Tibetan hulless barley from different geographical locations by UPLC-QTOF-MS and their antioxidant capacities
- Effect of sodium chloride on the expression of genes involved in the salt tolerance of Bacillus sp. strain “SX4” isolated from salinized greenhouse soil
- GC-MS analysis of mango stem bark extracts (Mangifera indica L.), Haden variety. Possible contribution of volatile compounds to its health effects
- Influence of nanoscale-modified apatite-type calcium phosphates on the biofilm formation by pathogenic microorganisms
- Removal of paracetamol from aqueous solution by containment composites
- Investigating a human pesticide intoxication incident: The importance of robust analytical approaches
- Induction of apoptosis and cell cycle arrest by chloroform fraction of Juniperus phoenicea and chemical constituents analysis
- Recovery of γ-Fe2O3 from copper ore tailings by magnetization roasting and magnetic separation
- Effects of different extraction methods on antioxidant properties of blueberry anthocyanins
- Modeling the removal of methylene blue dye using a graphene oxide/TiO2/SiO2 nanocomposite under sunlight irradiation by intelligent system
- Antimicrobial and antioxidant activities of Cinnamomum cassia essential oil and its application in food preservation
- Full spectrum and genetic algorithm-selected spectrum-based chemometric methods for simultaneous determination of azilsartan medoxomil, chlorthalidone, and azilsartan: Development, validation, and application on commercial dosage form
- Evaluation of the performance of immunoblot and immunodot techniques used to identify autoantibodies in patients with autoimmune diseases
- Computational studies by molecular docking of some antiviral drugs with COVID-19 receptors are an approach to medication for COVID-19
- Synthesis of amides and esters containing furan rings under microwave-assisted conditions
- Simultaneous removal efficiency of H2S and CO2 by high-gravity rotating packed bed: Experiments and simulation
- Design, synthesis, and biological activities of novel thiophene, pyrimidine, pyrazole, pyridine, coumarin and isoxazole: Dydrogesterone derivatives as antitumor agents
- Content and composition analysis of polysaccharides from Blaps rynchopetera and its macrophage phagocytic activity
- A new series of 2,4-thiazolidinediones endowed with potent aldose reductase inhibitory activity
- Assessing encapsulation of curcumin in cocoliposome: In vitro study
- Rare norisodinosterol derivatives from Xenia umbellata: Isolation and anti-proliferative activity
- Comparative study of antioxidant and anticancer activities and HPTLC quantification of rutin in white radish (Raphanus sativus L.) leaves and root extracts grown in Saudi Arabia
- Comparison of adsorption properties of commercial silica and rice husk ash (RHA) silica: A study by NIR spectroscopy
- Sodium borohydride (NaBH4) as a high-capacity material for next-generation sodium-ion capacitors
- Aroma components of tobacco powder from different producing areas based on gas chromatography ion mobility spectrometry
- The effects of salinity on changes in characteristics of soils collected in a saline region of the Mekong Delta, Vietnam
- Synthesis, properties, and activity of MoVTeNbO catalysts modified by zirconia-pillared clays in oxidative dehydrogenation of ethane
- Synthesis and crystal structure of N,N′-bis(4-chlorophenyl)thiourea N,N-dimethylformamide
- Quantitative analysis of volatile compounds of four Chinese traditional liquors by SPME-GC-MS and determination of total phenolic contents and antioxidant activities
- A novel separation method of the valuable components for activated clay production wastewater
- On ve-degree- and ev-degree-based topological properties of crystallographic structure of cuprite Cu2O
- Antihyperglycemic effect and phytochemical investigation of Rubia cordifolia (Indian Madder) leaves extract
- Microsphere molecularly imprinted solid-phase extraction for diazepam analysis using itaconic acid as a monomer in propanol
- A nitric oxide-releasing prodrug promotes apoptosis in human renal carcinoma cells: Involvement of reactive oxygen species
- Machine vision-based driving and feedback scheme for digital microfluidics system
- Study on the application of a steam-foam drive profile modification technology for heavy oil reservoir development
- Ni–Ru-containing mixed oxide-based composites as precursors for ethanol steam reforming catalysts: Effect of the synthesis methods on the structural and catalytic properties
- Preparation of composite soybean straw-based materials by LDHs modifying as a solid sorbent for removal of Pb(ii) from water samples
- Synthesis and spectral characterizations of vanadyl(ii) and chromium(iii) mixed ligand complexes containing metformin drug and glycine amino acid
- In vitro evaluation of lactic acid bacteria with probiotic activity isolated from local pickled leaf mustard from Wuwei in Anhui as substitutes for chemical synthetic additives
- Utilization and simulation of innovative new binuclear Co(ii), Ni(ii), Cu(ii), and Zn(ii) diimine Schiff base complexes in sterilization and coronavirus resistance (Covid-19)
- Phosphorylation of Pit-1 by cyclin-dependent kinase 5 at serine 126 is associated with cell proliferation and poor prognosis in prolactinomas
- Molecularly imprinted membrane for transport of urea, creatinine, and vitamin B12 as a hemodialysis candidate membrane
- Optimization of Murrayafoline A ethanol extraction process from the roots of Glycosmis stenocarpa, and evaluation of its Tumorigenesis inhibition activity on Hep-G2 cells
- Highly sensitive determination of α-lipoic acid in pharmaceuticals on a boron-doped diamond electrode
- Synthesis, chemo-informatics, and anticancer evaluation of fluorophenyl-isoxazole derivatives
- In vitro and in vivo investigation of polypharmacology of propolis extract as anticancer, antibacterial, anti-inflammatory, and chemical properties
- Topological indices of bipolar fuzzy incidence graph
- Preparation of Fe3O4@SiO2–ZnO catalyst and its catalytic synthesis of rosin glycol ester
- Construction of a new luminescent Cd(ii) compound for the detection of Fe3+ and treatment of Hepatitis B
- Investigation of bovine serum albumin aggregation upon exposure to silver(i) and copper(ii) metal ions using Zetasizer
- Discoloration of methylene blue at neutral pH by heterogeneous photo-Fenton-like reactions using crystalline and amorphous iron oxides
- Optimized extraction of polyphenols from leaves of Rosemary (Rosmarinus officinalis L.) grown in Lam Dong province, Vietnam, and evaluation of their antioxidant capacity
- Synthesis of novel thiourea-/urea-benzimidazole derivatives as anticancer agents
- Potency and selectivity indices of Myristica fragrans Houtt. mace chloroform extract against non-clinical and clinical human pathogens
- Simple modifications of nicotinic, isonicotinic, and 2,6-dichloroisonicotinic acids toward new weapons against plant diseases
- Synthesis, optical and structural characterisation of ZnS nanoparticles derived from Zn(ii) dithiocarbamate complexes
- Presence of short and cyclic peptides in Acacia and Ziziphus honeys may potentiate their medicinal values
- The role of vitamin D deficiency and elevated inflammatory biomarkers as risk factors for the progression of diabetic nephropathy in patients with type 2 diabetes mellitus
- Quantitative structure–activity relationship study on prolonged anticonvulsant activity of terpene derivatives in pentylenetetrazole test
- GADD45B induced the enhancing of cell viability and proliferation in radiotherapy and increased the radioresistance of HONE1 cells
- Cannabis sativa L. chemical compositions as potential plasmodium falciparum dihydrofolate reductase-thymidinesynthase enzyme inhibitors: An in silico study for drug development
- Dynamics of λ-cyhalothrin disappearance and expression of selected P450 genes in bees depending on the ambient temperature
- Identification of synthetic cannabinoid methyl 2-{[1-(cyclohexylmethyl)-1H-indol-3-yl] formamido}-3-methylbutanoate using modern mass spectrometry and nuclear magnetic resonance techniques
- Study on the speciation of arsenic in the genuine medicinal material honeysuckle
- Two Cu(ii)-based coordination polymers: Crystal structures and treatment activity on periodontitis
- Conversion of furfuryl alcohol to ethyl levulinate in the presence of mesoporous aluminosilicate catalyst
- Review Articles
- Hsien Wu and his major contributions to the chemical era of immunology
- Overview of the major classes of new psychoactive substances, psychoactive effects, analytical determination and conformational analysis of selected illegal drugs
- An overview of persistent organic pollutants along the coastal environment of Kuwait
- Mechanism underlying sevoflurane-induced protection in cerebral ischemia–reperfusion injury
- COVID-19 and SARS-CoV-2: Everything we know so far – A comprehensive review
- Challenge of diabetes mellitus and researchers’ contributions to its control
- Advances in the design and application of transition metal oxide-based supercapacitors
- Color and composition of beauty products formulated with lemongrass essential oil: Cosmetics formulation with lemongrass essential oil
- The structural chemistry of zinc(ii) and nickel(ii) dithiocarbamate complexes
- Bioprospecting for antituberculosis natural products – A review
- Recent progress in direct urea fuel cell
- Rapid Communications
- A comparative morphological study of titanium dioxide surface layer dental implants
- Changes in the antioxidative properties of honeys during their fermentation
- Erratum
- Erratum to “Corrosion study of copper in aqueous sulfuric acid solution in the presence of (2E,5E)-2,5-dibenzylidenecyclopentanone and (2E,5E)-bis[(4-dimethylamino)benzylidene]cyclopentanone: Experimental and theoretical study”
- Erratum to “Modified TDAE petroleum plasticiser”
- Corrigendum
- Corrigendum to “A nitric oxide-releasing prodrug promotes apoptosis in human renal carcinoma cells: Involvement of reactive oxygen species”
- Special Issue on 3rd IC3PE 2020
- Visible light-responsive photocatalyst of SnO2/rGO prepared using Pometia pinnata leaf extract
- Antihyperglycemic activity of Centella asiatica (L.) Urb. leaf ethanol extract SNEDDS in zebrafish (Danio rerio)
- Selection of oil extraction process from Chlorella species of microalgae by using multi-criteria decision analysis technique for biodiesel production
- Special Issue on the 14th Joint Conference of Chemistry (14JCC)
- Synthesis and in vitro cytotoxicity evaluation of isatin-pyrrole derivatives against HepG2 cell line
- CO2 gas separation using mixed matrix membranes based on polyethersulfone/MIL-100(Al)
- Effect of synthesis and activation methods on the character of CoMo/ultrastable Y-zeolite catalysts
- Special Issue on Electrochemical Amplified Sensors
- Enhancement of graphene oxide through β-cyclodextrin composite to sensitive analysis of an antidepressant: Sulpiride
- Investigation of the spectroelectrochemical behavior of quercetin isolated from Zanthoxylum bungeanum
- An electrochemical sensor for high sensitive determination of lysozyme based on the aptamer competition approach
- An improved non-enzymatic electrochemical sensor amplified with CuO nanostructures for sensitive determination of uric acid
- Special Issue on Applied Biochemistry and Biotechnology 2020
- Fast discrimination of avocado oil for different extracted methods using headspace-gas chromatography-ion mobility spectroscopy with PCA based on volatile organic compounds
- Effect of alkali bases on the synthesis of ZnO quantum dots
- Quality evaluation of Cabernet Sauvignon wines in different vintages by 1H nuclear magnetic resonance-based metabolomics
- Special Issue on the Joint Science Congress of Materials and Polymers (ISCMP 2019)
- Diatomaceous Earth: Characterization, thermal modification, and application
- Electrochemical determination of atenolol and propranolol using a carbon paste sensor modified with natural ilmenite
- Special Issue on the Conference of Energy, Fuels, Environment 2020
- Assessment of the mercury contamination of landfilled and recovered foundry waste – a case study
- Primary energy consumption in selected EU Countries compared to global trends
- Modified TDAE petroleum plasticiser
- Use of glycerol waste in lactic acid bacteria metabolism for the production of lactic acid: State of the art in Poland
- Topical Issue on Applications of Mathematics in Chemistry
- Theoretical study of energy, inertia and nullity of phenylene and anthracene
- Banhatti, revan and hyper-indices of silicon carbide Si2C3-III[n,m]
- Topical Issue on Agriculture
- Occurrence of mycotoxins in selected agricultural and commercial products available in eastern Poland
- Special Issue on Ethnobotanical, Phytochemical and Biological Investigation of Medicinal Plants
- Acute and repeated dose 60-day oral toxicity assessment of chemically characterized Berberis hispanica Boiss. and Reut in Wistar rats
- Phytochemical profile, in vitro antioxidant, and anti-protein denaturation activities of Curcuma longa L. rhizome and leaves
- Antiplasmodial potential of Eucalyptus obliqua leaf methanolic extract against Plasmodium vivax: An in vitro study
- Prunus padus L. bark as a functional promoting component in functional herbal infusions – cyclooxygenase-2 inhibitory, antioxidant, and antimicrobial effects
- Molecular and docking studies of tetramethoxy hydroxyflavone compound from Artemisia absinthium against carcinogens found in cigarette smoke
- Special Issue on the Joint Science Congress of Materials and Polymers (ISCMP 2020)
- Preparation of cypress (Cupressus sempervirens L.) essential oil loaded poly(lactic acid) nanofibers
- Influence of mica mineral on flame retardancy and mechanical properties of intumescent flame retardant polypropylene composites
- Production and characterization of thermoplastic elastomer foams based on the styrene–ethylene–butylene–styrene (SEBS) rubber and thermoplastic material
- Special Issue on Applied Chemistry in Agriculture and Food Science
- Impact of essential oils on the development of pathogens of the Fusarium genus and germination parameters of selected crops
- Yield, volume, quality, and reduction of biotic stress influenced by titanium application in oilseed rape, winter wheat, and maize cultivations
- Influence of potato variety on polyphenol profile composition and glycoalcaloid contents of potato juice
- Carryover effect of direct-fed microbial supplementation and early weaning on the growth performance and carcass characteristics of growing Najdi lambs
- Special Issue on Applied Biochemistry and Biotechnology (ABB 2021)
- The electrochemical redox mechanism and antioxidant activity of polyphenolic compounds based on inlaid multi-walled carbon nanotubes-modified graphite electrode
- Study of an adsorption method for trace mercury based on Bacillus subtilis
- Special Issue on The 1st Malaysia International Conference on Nanotechnology & Catalysis (MICNC2021)
- Mitigating membrane biofouling in biofuel cell system – A review
- Mechanical properties of polymeric biomaterials: Modified ePTFE using gamma irradiation