Design, synthesis, and biological activities of novel thiophene, pyrimidine, pyrazole, pyridine, coumarin and isoxazole: Dydrogesterone derivatives as antitumor agents
Abstract
On the basis of our consideration to design and to develop antitumor activities of heterocyclic compound derivatives, especially in fused ring system, we refer to the possibility of the heterocyclic extension of one of the most important steroid compounds used as a medicinal drug. The reaction of dydrogesterone with each of the malononitrile or ethylcyanoacetate containing elemental sulfur afforded thiophene derivatives 1a,b. Also, dydrogesterone was reacted with a mixture of ethylcyanoacetate–hydrazine, ethylcyanoacetae–urea, or ethylcyanoacetate–thiourea to produce pyrazole derivative 4 and pyrimidine derivatives 5a,b. Thienopyrimidine derivatives 2a–d were introduced from the reaction of thiophene derivatives 1a,b with either phenylisothiocyanate or benzoylisothioyanate. Furthermore, compounds 1a,b were directed toward the reaction with ethylcyanoacetate to produce compounds 6a,b, and the last compounds 6a,b were directed toward cyclization to obtain thienopyridine derivatives 7a,b. In addition, compounds 6a,b were subjected to react with different carbonyl compounds, such as salicylaldehyde, cyclopentanone-elemental sulfur, malonaldehyde, and acetylacetone to produce coumarin derivatives 8a,b, fused thiophene derivatives 9a,b, and pyridine derivatives 10a–d. Isooxazole derivatives 12a,b were afforded through the reaction of compounds 6a,b with hydroxylamine hydrochloride. Finally, 2-pyridone derivatives 14a,b were obtained through the reaction of compounds 6a,b with benzoylacetonitrile. Conformation structure of the synthesized compounds was established by applying IR, 1H NMR, 13C NMR, and mass spectrometry, and their antitumor activity was examined. Some compounds showed promising growth inhibitory effects on the three different cell lines.
Graphical abstract

1 Introduction
Dydrogesterone is one of the most important nonacetylated pregnane [1] derivatives (Figure 1); many medical uses of dydrogestrone were introduced in the treatment of either miscarriage threats or miscarriage prevention [2,3]. The oral treatment of dydrogesterone versus vaginal progesterone gel was applied in the luteal phase support [4]. Oral estradiol and dydrogesterone combination therapy in postmenopausal women was applied [5]. Dydrogesterone was used in the treatment of endometriosis, adenomyosis [6], and recurrent pregnancy loss, and it was also used for modulation of cytokine production [7]. Furthermore, it was used in the treatment of premenstrual syndrome [8] and for the prevention of myometrial contraction [9]. Also, dydrogesterone and its derivative act as selective enzyme regulators for breast cancer cell lines [10] and used for the treatment of dysmenorrhea [11]. Moreover, dydrogesterone has an effective role against abortion [12]. However, the combination of pregnane derivative with heterocyclic rings afforded biologically active properties; thus, pregnane containing imidazole, triazole rings, glycoside moiety, and piperazine ring has anticancer activity, cytotoxic activity [13], antioxidant activity [14], and antileukemic properties [15], respectively.

Pregnane and its derivatives.
In this study, the synthesis of some heterocyclic extensions of dydrogesterone 1a,b, 2a–d, 4, 5a,b, 6a,b, 7a,b, 8a,b, 9a,b, 10a–d, 12a,b, and 14a,b was presented, and the antitumor activity test results were presented in Table 1.
Effect of compounds 1a,b–14a,b on the growth of three human tumor cell lines
GI50 (µmol L−1) | ||||
---|---|---|---|---|
Comp. No | SF-268 | MCF-7 | NCI-H460 | WI-38 |
1a | 33.2 ± 7.5 | 21.8 ± 4.6 | 27.5 ± 3.7 | >100 |
1b | 19.3 ± 5.3 | 15.5 ± 6.1 | 27.9 ± 4.4 | >100 |
2a | 4.3 ± 0.07 | 3.1 ± 0.04 | 6.5 ± 1.1 | 77.5 ± 10.2 |
2b | 2.9 ± 0.05 | 4.8 ± 0.04 | 3.4 ± 0.05 | na |
2c | 1.12 ± 2.1 | 0.09 ± 0.03 | 1.6 ± 3.7 | >100 |
2d | 0.05 ± 0.02 | 0.03 ± 0.02 | 0.06 ± 0.03 | >100 |
4 | 41.0 ± 8.9 | 37.2 ± 9.3 | 31.7 ± 6.5 | >100 |
5a | 4.8 ± 0.9 | 3.7 ± 0.7 | 2.9 ± 2.3 | na |
5b | 2.7 ± 0.8 | 2.2 ± 0.6 | 5.3 ± 0.7 | >100 |
6a | 3.7 ± 0.4 | 6.2 ± 0.6 | 7.6 ± 0.8 | >100 |
6b | 5.5 ± 1.3 | 9.3 ± 1.8 | 6.3 ± 1.2 | na |
7a | 39.1 ± 9.2 | 37.7 ± 8.5 | 42.8 ± 9.1 | 57.1 ± 8.2 |
7b | 40.3 ± 8.4 | 41.9 ± 7.2 | 33.8 ± 8.5 | 55.4 ± 7.4 |
8a | 33.2 ± 8.5 | 27.3 ± 6.4 | 29.1 ± 8.9 | >100 |
8b | 38.3 ± 7.8 | 36.3 ± 8.2 | 34.9 ± 10.2 | >100 |
9a | 25.2 ± 8.8 | 33.2 ± 8.1 | 35.1 ± 8.5 | >100 |
9b | 26.5 ± 7.9 | 40.9 ± 5.3 | 43.7 ± 6.5 | >100 |
10a | 1.7 ± 0.06 | 1.4 ± 0.9 | 1.1 ± 0.5 | >100 |
10b | 8.7 ± 2.5 | 4.4 ± 1.9 | 3.8 ± 8.5 | na |
10c | 3.9 ± 0.9 | 2.8 ± 1.2 | 4.9 ± 0.9 | >100 |
10d | 7.1 ± 1.2 | 4.5 ± 1.7 | 3.6 ± 0.7 | na |
12a | 28.5 ± 6.2 | 23.8 ± 4.7 | 30.9 ± 5.8 | >100 |
12b | 40.1 ± 12.2 | 42.4 ± 10.4 | 38.8 ± 7.9 | na |
14a | 26.7 ± 7.5 | 42.4 ± 8.4 | 30.6 ± 12.8 | na |
14b | 41.7 ± 8.5 | 43.4 ± 6.5 | 29.8 ± 10.5 | na |
Doxorubicin | 0.05 ± 0.007 | 0.07 ± 0.007 | 0.07 ± 0.008 | >100 |
2 Experimental
2.1 Materials and methods
2.1.1 Chemicals and reagents
All the chemicals and reagents in this study were obtained from Sigma Aldrich (United Kingdom).
2.1.2 Instruments
The melting points of the synthesized dydrogesterone derivatives were measured in open capillaries, and they are uncorrected. Elemental analyses were performed on a Yanaco CHNS Corder elemental analyzer (Japan). IR spectra were estimated using KBr discs on a Pye Unicam SP-1000 spectrophotometer. 1H NMR and 13C NMR spectra were evaluated on a Varian EM 390-200 MHz instrument with CD3SOCD3 as a solvent and TMS as an internal standard reference material, and chemical shifts were expressed as δ ppm. Mass spectra were recorded on Kratos (75 eV) MS equipment (Germany).
2.2 Synthesis
2.2.1 General procedures for the synthesis of compounds 1a,b
Either malononitrile (0.66 g, 0.01 mol) or ethylcyanoacetate (1.131 g, 0.01 mol) together with elemental sulfur (0.32 g, 0.01 mol) was added to a solution of dydrogesterone (3.124 g, 0.01 mol) in 1,4 dioxane (100 mL) containing catalytic amount of triethylamine (1.0 mL). The reaction mixture in each case was heated under reflux for 5 h and then poured onto ice/water mixture containing few drops of hydrochloric acid (HCl). The solid product formed was collected by filtration and recrystallized from absolute ethanol.
2.2.1.1 2-Amino-4-((8S,9R,10S,13S,14S,17S)-10,13-dimethyl-3-oxo-2,3,8,9,10,11,12,13,14,15,16,17-dodecahydro-1H-cyclopenta[a]phenanthren-17-yl)thiophene-3 carbonitrile (1a)
Off-white crystals; yield: 63%, 2.473 g; m.p. 218–221°C; IR (KBr): υ max 3,368–3,223 (NH2), 2,987, 2,956 (2CH3), 2,883 (CH2), 2,234 (CN), 1,668 (C═O), 1,645 (C═C) cm−1, 1H NMR (390-200 MHz, DMSO-d 6): δ 0.95, 1.12 (2s, 6H, 2CH3), 1.68, 1.94 (2m, 12H, 6CH2), 4.12 (s, 2H, D2O-exchangeable, NH2), 4.86, 4.97 (2s, 2H), 5.23 (s, 1H), 5.33, 5.48 (2s, 2H), 5.76, 5.89 (d.d, 2H, J = 2.48 Hz), 6.14 (s, 1H, thiophene ring); EI-MS: m/z 392 (M+, 32.2%). Ana. Calcd for C24H28N2OS (392.56): C, 73.43; H, 7.19; N, 7.14; S, 8.17%. Found: C, 73.69; H, 7.39; N, 7.35; S, 8.45%.
2.2.1.2 Ethyl-2-amino-4-((8S,9R,10S,13S,14S,17S)-10,13-dimethyl-3-oxo-2,3,8,9,10,11,12,13,14,15,16,17-dodecahydro-1H-cyclopenta[a]phenanthren-17-yl)thiophene-3-carboxylate (1b)
Creamy white crystals; yield: 58%, 2.55 g; m.p. 254–256°C; IR (KBr): υ max 3,354–3,187 (NH2), 2,956, 2,943 (2CH3), 2,876 (CH2), 1,775, 1,674 (2C═O), 1,642 (C═C) cm−1, 1H NMR (390-200 MHz, DMSO-d 6): δ 0.82, 1.26 (2s, 6H, 2CH3), 1.84, 1.99 (2m, 12H, 6CH2), 2.67 (t, 3H, J = 3.5 Hz, CH3), 3.95 (q, 2H, J = 3.5 Hz, CH2), 4.34 (s, 2H, D2O-exchangeable, NH2), 4.75, 4.88 (2s, 2H), 5.16 (s, 1H), 5.28, 5.36 (2s, 2H), 5.52, 5.73 (d.d, 2H, J = 2.31 Hz), 6.24 (s, 1H, thiophene ring); EI-MS: m/z 439 (M+, 19.3%). Ana. Calcd for C26H33NO3S (439.61): C, 71.04; H, 7.57; N, 3.19; S, 7.29%. Found: C, 70.79; H, 7.28; N, 3.31; S, 7.57%.
2.2.2 General procedure for the synthesis of compounds 2a–d
Either phenylisothiocyanate (0.406 g, 0.003 mol) or benzoyl isothiocyanate (0.49 g, 0.003 mol) was added to each of the solution of compound 1a (1.177 g, 0.003 mol) or the solution of compound 1b (1.319 g, 0.003 mol) in 1,4-dioxane (50 mL) containing 0.5 mL of triethylamine. The reaction mixture was refluxed for 7 h, cooled, and poured onto ice/water mixture containing few drops of HCl. The formed solid product in each case was collected by filtration and recrystallized from absolute ethanol.
2.2.2.1 (8S,9R,10S,13S,14S,17S)-17-(4-Imino-2-mercapto-3-phenyl-3,4-dihydrothieno-[2,3-d]pyrimidin-5-yl)-10,13-dimethyl-8,9,10,11,12,13,14,15,16,17-decahydro-1H-cyclopenta[a]phenanthren-3(2H)-one (2a)
Off-white crystals; yield: 52%; 0.823 g; m.p. 141–143°C; IR (KBr): υ max 3,391 (NH), 3,062 (CH aromatic), 2,881 (CH2), 2,652 (SH), 1,665 (C═O), 1,651 (C═N), 1,642 (C═C) cm−1, 1H NMR (390-200 MHz, DMSO-d 6): δ 0.91, 1.12 (2s, 6H, 2CH3), 1.76, 1.86 (2m, 12H, 6CH2), 4.63, 4.74 (2s, 2H), 5.11 (s, 1H), 5.34, 5.56 (2s, 2H), 6.58, 6.73 (d.d, 2H, J = 3.38 Hz), 6.78 (s, 1H, thiophene ring), 7.33–7.54 (m, 5H, C6H5), 8.68 (bs, 1H, SH), 9.11 (s, 1H, D2O-exchangeable, NH); EI-MS: m/z 527 (M+, 15.3%). Ana. Calcd for C31H33N3OS2 (527.74): C, 70.55; H, 6.30; N, 7.96; S, 12.15%. Found: C, 70.83; H, 6.06; N, 7.69; S, 12.38%.
2.2.2.2 (8S,9R,10S,13S,14S,17S)-17-(3-Benzoyl-4-imino-2-mercapto-3,4-dihydrothieno-[2,3-d]pyrimidin-5-yl)-10,13-dimethyl-8,9,10,11,12,13,14,15,16,17-decahydro-1H-cyclopenta[a]phenanthren-3(2H)-one (2b)
Off-white crystals; yield: 61%; 1.017 g; m.p. 122–124°C; IR (KBr): υ max 3,288 (NH), 3,037 (CH aromatic), 2,827 (CH2), 2,689 (SH), 1,714, 1,678 (2C═O), 1,618 (C═N), 1,533 (C═C) cm−1, 1H NMR (390-200 MHz, DMSO-d 6): δ 0.82, 1.06 (2s, 6H, 2CH3), 1.61, 1.72 (2m, 12H, 6CH2), 4.33, 4.58 (2s, 2H), 4.89 (s, 1H), 5.17, 5.41 (2s, 2H), 6.34, 6.52 (d.d, 2H, J = 5.32 Hz), 6.44 (s, 1H, thiophene ring), 7.45–7.68 (m, 5H, C6H5), 7.88 (bs, 1H, SH), 9.52 (s, 1H, D2O-exchangeable, NH); EI-MS: m/z 555 (M+, 23.7%). Ana. Calcd for C32H33N3OS2 (555.75): C, 69.16; H, 5.99; N, 7.56; S, 11.54%. Found: C, 69.42; H, 6.08; N, 7.62; S, 11.31%.
2.2.2.3 ((8S,9R,10S,13S,14S,17S)-10,13-Dimethyl-3-oxo-2,3,8,9,10,11,12,13,14,15,16,17-dodecahydro-1H-cyclopenta[a]phenanthren-17-yl)-2-mercapto-3-phenylthieno-[2,3-d]pyrimidin-4(3H)-one (2c)
White crystals; yield: 48%; 0.761 g; m.p. 179–181°C; IR (KBr): υ max 3,052 (CH aromatic), 2,887 (CH2), 2,711 (SH), 1,668, 1,653 (2C═O), 1,648 (C═N), 1,641 (C═C) cm−1, 1H NMR (390-200 MHz, DMSO-d 6): δ 0.84, 1.23 (2s, 6H, 2CH3), 1.55, 1.67 (2m, 12H, 6CH2), 4.56, 4.64 (2s, 2H), 5.22 (s, 1H), 5.41, 5.52 (2s, 2H), 6.47, 6.68 (d.d, 2H, J = 3.38 Hz), 6.79 (s, 1H, thiophene ring), 7.12–7.42 (m, 5H, C6H5), 8.47 (bs, 1H, SH); EI-MS: m/z 528 (M+, 31.3%). Ana. Calcd for C31H32N2O2S2 (528.73): C, 70.42; H, 6.10; N, 5.30; S, 12.13%. Found: C, 70.71; H, 6.01; N, 5.59; S, 12.37%.
2.2.2.4 3-Benzoyl-5-((8S,9R,10S,13S,14S,17S)-10,13-dimethyl-3-oxo-2,3,8,9,10,11,12,13,14,15,16,17-dodecahydro-1H-cyclopenta[a]phenanthren-17-yl)-2-mercaptothieno[2,3-d]pyrimidin-4(3H)-one (2d)
White crystals; yield: 59%; 0.985 g; m.p. 159–160°C; IR (KBr): 3,068 (CH aromatic), 2,873 (CH2), 2,684 (SH), 1,668, 1,660, 1,653 (3C═O), 1,646 (C═N), 1,640 (C═C) cm−1, 1H NMR (390-200 MHz, DMSO-d 6): δ 1.17, 1.29 (2s, 6H, 2CH3), 1.64, 1.78 (2m, 12H, 6CH2), 4.26, 4.45 (2s, 2H), 5.11 (s, 1H), 5.36, 5.48 (2s, 2H), 6.18, 6.44 (d.d, 2H, J = 4.67 Hz), 6.69 (s, 1H, thiophene ring), 7.28–7.47 (m, 5H, C6H5), 8.31 (bs, 1H, SH); EI-MS: m/z 556 (M+, 27.1%). Ana. Calcd for C31H32N2O3S2 (556.74): C, 69.03; H, 5.79; N, 5.03; S, 11.52%. Found: C, 69.21; H, 6.04; N, 5.22; S, 11.35%.
2.2.3 General procedure for the synthesis of compounds 4,5a,b
Ethylcyanoacetate (0.262 g, 0.002 mol) together with hydrazine (0.1 g, 0.002 mol), urea (0.12 g, 0.002 mol), or thiourea (0.152 g, 0.002 mol) was added to a solution of dydrogesterone (0.625 g, 0.002 mol) in 1,4 dioxane (50 mL) containing catalytic amount of triethylamine (1.0 mL). The reaction mixture in each case was heated under reflux for 8 h and then poured onto ice/water containing few drops of HCl. The precipitated product formed was collected by filtration and recrystallized from ethanol–water.
2.2.3.1 (8S,9R,10S,13S,14S,17S)-17-((E/Z)-1-(3-amino-5-hydroxy-4H-pyrazol-4-ylidene)ethyl)-10,13-dimethyl-8,9,10,11,12,13,14,15,16,17-decahydro-1H-cyclopenta[a]phenanthren-3(2H)-one (4)
Off-white crystals; yield: 57%, 0.448 g; m.p. 263–265°C. IR (KBr): υ max 3,394–3,169 (OH, NH2), 2,955 (CH3), 2,843 (CH2), 1,653 (C═O), 1,643 (C═C) cm−1, 1H NMR (390-200 MHz, DMSO-d 6): δ 1.18, 1.34, 1.47 (3s, 9H, 3CH3), 1.77, 2.12 (2m, 12H, 6CH2), 4.38 (s, 2H, D2O-exchangeable, NH2), 4.56, 4.63 (2s, 2H), 5.38 (s, 1H), 5.55, 5.67 (2s, 2H), 6.79, 6.89 (d.d, 2H, J = 3.12 Hz), 8.13 (s, 1H, D2O-exchangeable, OH); EI-MS: m/z 393 (M+, 21.2%). Ana. Calcd for C24H31N3O2 (393.52): C, 73.25; H, 7.94; N, 10.68%. Found: C, 73.61; H, 7.69; N, 10.39%.
2.2.3.2 (E/Z)-4-Amino-5-(1-((8S,9R,10S,13S,14S,17S)-10,13-dimethyl-3-oxo-2,3,8,9,10,11,12,13,14,15,16,17-dodecahydro-1H-cyclopenta[a]phenanthren-17-yl)ethylidene)-6-hydroxypyrimidin-2(5H)-one (5a)
Creamy white crystals; yield 63%, 0.53 g; m.p. 212–214°C. IR (KBr): υ max 3,331–3,125 (OH, NH2), 2,961 (CH3), 2,855 (CH2), 1,653, 1,646 (2C═O), 1,640 (C═C) cm−1, 1H NMR (390-200 MHz, DMSO-d 6): δ 0.87, 1.21, 1.37 (3s, 9H, 3CH3), 1.68, 1.89 (2m, 12H, 6CH2), 4.12 (s, 2H, D2O-exchangeable, NH2), 4.27, 4.78 (2s, 2H), 5.16 (s, 1H), 5.34, 5.71 (2s, 2H), 6.73, 6.85 (d.d, 2H, J = 2.68 Hz), 7.45 (s, 1H, D2O-exchangeable, OH); 13C NMR (300 MHz, DMSO-d 6): δ 16.6, 19.2, 21.1, 24.8, 25.9, 26.7, 29.2, 32.3, 43.6, 48.5, 49.6, 119.8, 121.6, 122.9, 124.7, 126.2, 127.2, 130.8, 132.5, 139.2, 140.1, 142.3, 157.6, 159.4; EI-MS: m/z 421 (M+, 27.3%). Ana. Calcd for C25H31N3O3 (421.53): C, 71.23; H, 7.41; N, 9.97%. Found: C, 70.91; H, 7.68; N, 10.22%.
2.2.3.3 (8S,9R,10S,13S,14S,17S)-17-((E/Z)-1-(4-amino-6-hydroxy-2-thioxopyrimidin-5(2H)-ylidene)ethyl)-10,13-dimethyl-8,9,10,11,12,13,14,15,16,17-decahydro-1H-cyclo-penta[a]phenanthren-3(2H)-one (5b)
White crystals; yield 57%, 0.499 g; m.p. 190–192°C. IR (KBr): υ max 3,378–3,212 (OH, NH2), 2,955 (CH3), 2,848 (CH2), 1,657, (C═O), 1,642 (C═C) cm−1, 1H NMR (390-200 MHz, DMSO-d 6): δ 0.91, 1.18, 1.43 (3s, 9H, 3CH3), 1.78, 1.98 (2m, 12H, 6CH2), 4.34 (s, 2H, D2O-exchangeable, NH2), 4.45, 4.73 (2s, 2H), 5.28 (s, 1H), 5.44, 5.77 (2s, 2H), 6.54, 6.75 (d.d, 2H, J = 2.14 Hz), 8.24 (s, 1H, D2O-exchangeable, OH); 13C NMR (300 MHz, DMSO-d 6): δ 14.5, 17.8, 20.2, 23.1, 24.8, 26.9, 28.4, 30.5, 43.2, 46.4, 48.1, 113.5, 119.2, 120.3, 124.6, 125.1, 126.3, 129.2, 131.7, 134.7, 139.2, 142.8, 154.5, 158.3; EI-MS: m/z 437 (M+, 20.7%). Ana. Calcd for C25H31N3O2S (437.6): C, 68.62; H, 7.14; N, 9.60: S, 7.33%. Found: C, 68.91; H, 7.45; N, 9.29; S, 7.61%.
2.2.4 General procedure for the synthesis of compounds 6a,b
The solution dydrogesterone thiophene derivative 1a (1.177 g, 0.003 mol) or 1b (1.319 g, 0.003 mol) in absolute ethanol (70 mL) containing triethylamine (1 mL) and ethylcyanoacetate (0.339 g, 0.003 mol) was added. The reaction mixture was heated under reflux for 6 h, and the reaction was observed by TLC control, and then, the mixture poured onto ice/water containing few drops of HCl. The formed solid product in each case was filtered, dried, and recrystallized from the absolute ethanol.
2.2.4.1 2-Cyano-N-(3-cyano-4-((8S,9R,10S,13S,14S,17S)-10,13-dimethyl-3-oxo-2,3,8,9,10,11,12,13,14,15,16,17-dodecahydro-1H-cyclopenta[a]phenanthren-17-yl)thiophen-2-yl)acetamide (6a)
Yellowish-white crystals; yield 64%, 0.882 g; m.p. 112–114°C. IR (KBr): υ max 3,176 (NH), 2,956, 2,934 (2CH3), 2,871 (CH2), 2,242, 2,221 (2CN), 1,669, 1,663 (2C═O), 1,647 (C═C), cm−1, 1H NMR (390-200 MHz, DMSO-d 6): δ 1.15, 1.23 (2s, 6H, 2CH3), 1.88, 1.98, 3.12 (2m, s, 14H, 7CH2), 4.92, 5.11 (2s, 2H), 5.31 (s, 1H), 5.44, 5.62 (2s, 2H), 6.53, 6.89 (d.d, 2H, J = 3.12 Hz), 6.94 (s, 1H, thiophene ring), 9.23 (s, 1H, D2O-exchangeable, NH); EI-MS: m/z 459 (M+, 18.2%). Ana. Calcd for C27H29N3O2S (459.60): C, 70.56; H, 6.36; N, 9.14; S, 6.98%. Found: C, 70.29; H, 6.39; N, 9.35; S, 6.65%.
2.2.4.2 Ethyl-2-(2-cyanoacetamido)-4-((8S,9R,10S,13S,14S,17S)-10,13-dimethyl-3-oxo-2,3,8,9,10,11,12,13,14,15,16,17-dodecahydro-1H-cyclopenta[a]phenanthren-17-yl)thiophene-3-carboxylate (6b)
Faint brown crystals; yield 51%, 0.775 g; m.p. 226–228°C. IR (KBr): υ max 3,216 (NH), 2,985–2,930 (3CH3), 2,841–2,815 (CH2), 2,239 (CN), 1,667, 1,660, 1,649 (3C═O), 1,640 (C═C), cm−1, 1H NMR (390-200 MHz, DMSO-d 6): δ 1.12, 1.21, 1.42 (2s, t 9H, 3CH3), 2.12, 2.33, 3.12, 3.38 (2m, s, q 16H, 8CH2), 4.77, 4.89 (2s, 2H), 5.27 (s, 1H), 5.33, 5.56 (2s, 2H), 6.35, 6.47 (d.d, 2H, J = 2.82 Hz), 6.76 (s, 1H, thiophene ring), 9.14 (s, 1H, D2O-exchangeable, NH); EI-MS: m/z 506 (M+, 13.3%). Ana. Calcd for C29H34N2O4S (506.66): C, 68.75; H, 6.76; N, 5.53; S, 6.33%. Found: C, 68.51; H, 6.46; N, 5.25; S, 6.66%.
2.2.5 General procedure for the synthesis of compounds 7a,b
2.2.5.1 Method A
The solution of either compound 6a (0.46 g, 0.001 mol) or 6b (0.507 g, 0.001 mol) in absolute ethanol (50 mL) containing triethylamine (1 mL) was added. The reaction was heated under reflux for 4 h, and then it was monitored under TLC control and poured onto ice/water containing few drops of HCl. The formed solid product for each case was filtered, dried, and recrystallized from 1,4-dioxane.
2.2.5.2 Method B
Ethylcyanoacetate (0.113 g, 0.001 mol) was added to a suspension of either 1a (0.392 g, 0.001 mol) or 1b (0.439 g, 0.001 mol) in sodium ethoxide [(0.001 mol; prepared by dissolving sodium metal (0.023 g, 0.001 mol) in absolute ethanol (30 mL)]. The reaction mixture was heated in a boiling water bath for 6 h and then left to cool. The formed solid product was poured onto ice/water containing few drops of HCL, and it was collected by filtration and dried.
2.2.5.3 4-Amino-3-((8S,9R,10S,13S,14S,17S)-10,13-dimethyl-3-oxo-2,3,8,9,10,11,12,13,14,15,16,17-dodeca-hydro-1H-cyclopenta[a]phenanthren-17-yl)-6-oxo-6,7-dihydrothieno[2,3-b]pyridine-5-carbonitrile (7a)
Faint brown crystals; yield 57%, 0.262 g; m.p. 187–189°C. IR (KBr): υ max 3,338–3,154 (NH2,NH), 2,944, 2,927 (2CH3), 2,843 (CH2), 2,239 (CN), 1,665, 1,656 (2C═O), 1,642 (C═C) cm−1, 1H NMR (390-200 MHz, DMSO-d 6): δ 1.28, 1.43 (2s, 6H, 2CH3), 1.81, 2.27 (2m, 12H, 6CH2), 4.34 (s, 2H, D2O-exchangeable, NH2), 4.86, 5.18 (2s, 2H), 5.22 (s, 1H), 5.47, 5.68 (2s, 2H), 6.63, 6.78 (d.d, 2H, J = 2.54 Hz), 6.85 (s, 1H, thiophene ring), 9.45 (s, 1H, D2O-exchangeable, NH); 13C NMR (300 MHz, DMSO-d 6): δ 12.5, 17.2, 19.2, 21.2, 23.4, 25.1, 27.3, 29.8, 38.2, 43.7, 48.9, 114.1, 117.4, 125.5, 127.8, 128.2, 129.4, 130.2, 132.7, 134.5, 136.5, 138.5, 140.2, 141.7, 155.6, 160.3; EI-MS: m/z 459 (M+, 13.6%). Ana. Calcd for C27H29N3O2S (459.60): C, 70.56; H, 6.36; N, 9.14; S, 6.98%. Found: C, 70.87; H, 6.65; N, 9.43; S, 6.72%.
2.2.5.4 3-((8S,9R,10S,13S,14S,17S)-10,13-Dimethyl-3-oxo-2,3,8,9,10,11,12,13,14,15,16,17-dodecahydro-1H-cyclopenta[a]phenanthren-17-yl)-4-hydroxy-6-oxo-6,7-dihydrothieno[2,3-b]pyridine-5-carbonitrile (7b)
Yellowish white crystals; yield 61%, 0.281 g; m.p. 221–223°C. IR (KBr): υ max 3,254–3,123 (OH,NH), 2,982, 2,945 (2CH3), 2,851 (CH2), 2,223 (CN), 1,663, 1,651 (2C═O), 1,644 (C═C) cm−1, 1H NMR (390-200 MHz, DMSO-d 6): δ 1.15, 1.32 (2s, 6H, 2CH3), 1.57, 1.86 (2m, 12H, 6CH2), 4.52, 4.68 (2s, 2H), 5.13 (s, 1H), 5.59, 5.65 (2s, 2H), 6.47, 6.63 (d.d, 2H, J = 2.78 Hz), 6.77 (s, 1H, thiophene ring), 7.82 (s, 1H, D2O-exchangeable, NH), 9.23 (s, 1H, D2O-exchangeable, OH); 13C NMR (300 MHz, DMSO-d 6): δ 14.2, 16.7, 20.1, 21.8, 23.8, 25.7, 28.1, 29.9, 36.3, 40.6, 46.7, 113.4, 116.5, 122.5, 125.7, 128.9, 129.6, 131.3, 132.9, 134.3, 136.3, 137.6, 141.1, 142.8, 153.7, 158.9; EI-MS: m/z 460 (M+, 17.4%). Ana. Calcd for C27H28N2O3S (460.59): C, 70.41; H, 6.13; N, 6.08; S, 6.96%. Found: C, 70.16; H, 6.44; N, 6.33; S, 6.67%.
2.2.6 General procedure for the synthesis of compounds 8a,b
Salicylaldehyde (0.122 g, 0.001 mol) was added to a solution of either dydrogesterone thiophene derivative 6a (0.46 g, 0.001 mol) or 6b (0.507 g, 0.001 mol) in ethanol (50 mL) containing triethylamine (1 mL). The mixture of the reaction was refluxed under heating for 7 h and then evaporated under vacuum. The solid product for each compound was triturated with ethanol and collected by filtration, dried, and recrystallized from 1,4-dioxane.
2.2.6.1 N-(3-Cyano-4-((8S,9R,10S,13S,14S,17S)-10,13-dimethyl-3-oxo-2,3,8,9,10,11,12,13,14,15,16,17-dodeca-hydro-1H-cyclopenta[a]phenanthren-17-yl)thiophen-2-yl)-2-oxo-2H-chromene-3-carboxamide (8a)
Off-white crystals; yield 55%, 0.31 g; m.p. 149–151°C. IR (KBr): υ max 3,212 (NH), 3,048 (CH arom.), 2,973, 2,928 (2CH3), 2,852 (CH2), 2,228 (CN), 1,668, 1,661, 1,657 (3C═O), 1,642 (C═C) cm−1, 1H NMR (390-200 MHz, DMSO-d 6): δ 1.23, 1.35 (2s, 6H, 2CH3), 1.51, 1.77 (2m, 12H, 6CH2), 4.53, 4.79 (2s, 2H), 5.22 (s, 1H), 5.31, 5.73 (2s, 2H), 6.33, 6.45 (d.d, 2H, J = 2.87 Hz), 6.57 (s, 1H, coumarin H-4), 6.73 (s, 1H, thiophene ring), 7.28–7.41 (m, 4H, C6H4), 9.45 (s, 1H, D2O-exchangeable, NH); 13C NMR (300 MHz, DMSO-d 6): δ 13.8, 15.5, 18.8, 20.7, 23.4, 24.9, 26.6, 28.5, 33.6, 38.6, 44.2, 111.5, 115.8, 121.7, 123.8, 126.5, 128.2, 130.1, 132.7, 133.5, 135.3, 136.9, 138.7, 139.5, 141.7, 142.6, 151.6, 154.5, 157.8, 160.2, 173.2; EI-MS: m/z 564 (M+, 33.4%). Ana. Calcd for C34H32N2O4S (564.69): C, 72.32; H, 5.71; N, 4.96; S, 5.86%. Found: C, 72.05; H, 5.44; N, 4.65; S, 5.95%.
2.2.6.2 Ethyl-4-((8S,9R,10S,13S,14S,17S)-10,13-dimethyl-3-oxo-2,3,8,9,10,11,12,13,14,15,16,17-dodecahydro-1H-cyclopenta[a]phenanthren-17-yl)-2-(2-oxo-2H-chromene-3-carboxamido)thiophene-3-carboxylate (8b)
Off-white crystals; yield 60%, 0.367 g; m.p. 168–170°C. IR (KBr): υ max 3,182 (NH), 3,062 (CH arom.), 2,984, 2,943, 2,924 (3CH3), 2,844 (CH2), 2,228 (CN), 1,668, 1,661, 1,657 (3C═O), 1,642 (C═C) cm−1, 1H NMR (390-200 MHz, DMSO-d 6): δ 1.11, 1.23, 1.35 (2s, t, 9H, 3CH3), 1.51, 1.77, 3.62 (2m, q, 14H, 7CH2), 4.33, 4.79 (2s, 2H), 5.18 (s, 1H), 5.21, 5.53 (2s, 2H), 6.33, 6.48 (d.d, 2H, J = 2.87 Hz), 6.52 (s, 1H, coumarin H-4), 6.63 (s, 1H, thiophene ring), 7.12–7.38 (m, 4H, C6H4), 10.17 (s, 1H, D2O-exchangeable, NH); 13C NMR (300 MHz, DMSO-d 6): δ 11.2, 13.9, 14.7, 19.8, 20.5, 24.4, 25.8, 26.7, 27.3, 29.2, 31.6, 37.5, 44.9, 112.2, 115.2, 120.9, 122.6, 125.7, 126.8, 129.7, 131.4, 133.7, 136.8, 137.9, 138.9, 139.4, 141.3, 143.7, 150.9, 155.8, 157.6, 161.5, 166.3, 173.2; EI-MS: m/z 611 (M+, 21.2%). Ana. Calcd for C36H37NO6S (611.75): C, 70.68; H, 6.10; N, 2.29; S, 5.24%. Found: C, 70.99; H, 5.94; N, 2.61; S, 5.05%.
2.2.7 General procedure for the synthesis of compounds 9a,b
Cyclopentanone (0.084 g, 0.001 mol) together with elemental sulfur (0.032 g, 0.001) was added to a solution of either compounds 6a (0.46 g, 0.001 mol) or 6b (0.507 g, 0.001 mol) in 50 mL absolute ethanol containing triethylamine (1.0 mL). The reaction mixture was heated under reflux for 4 h and then poured onto ice/water mixture containing few drops of HCL. The solid product formed in each case was collected by filtration, dried, and recrystallized from 1,4-dioxane.
2.2.7.1 2-Amino-N-(3-cyano-4-((8S,9R,10S,13S,14S,17S)-10,13-dimethyl-3-oxo-2,3,8,9,10,11,12,13,14,15,16,17dodecahydro-1H-cyclopenta[a]phenanthren-17-yl)thiophen-2-yl)-5,6-dihydro-4H-cyclopenta[b] thiophene-3-carboxamide (9a)
Brown crystals; yield 71%, 0.395 g; m.p. 200–202°C; IR (KBr): υ max 3,328–3,130 (NH2, NH), 2,973, 2,912 (2CH3), 2,855 (CH2), 2,233 (CN), 1,664, 1,652 (2C═O), 1,641 (C═C) cm−1, 1H NMR (390-200 MHz, DMSO-d 6): δ 1.05, 1.18 (2s, 6H, 2CH3), 1.76, 2.23, 2.85 (3 m, 18H, 9CH2), 4.12 (s, 2H, D2O-exchangeable, NH2), 4.45, 4.67 (2s, 2H), 5.15 (s, 1H), 5.37, 5.43 (2s, 2H), 6.23, 6.44 (d.d, 2H, J = 2.49 Hz), 6.63 (s, 1H, thiophene ring), 9.45 (s, 1H, D2O-exchangeable, NH); EI-MS: m/z 557 (M+, 27.2%). Ana. Calcd for C32H35N3O2S2 (557.77): C, 68.91; H, 6.32; N, 7.53; S, 11.50%. Found: C, 68.62; H, 6.03; N, 7.84; S, 11.80%.
2.2.7.2 Ethyl-2-(2-amino-5,6-dihydro-4H-cyclopenta[b]thiophene-3-carboxamido)-4-((8s,9 R,10s,13s,14s, 17s)-10,13-dimethyl-3-oxo-2,3,8,9,10,11,12,13,14,15,16,17-dodecahydro-1H-cyclopenta[a] phenanthren-17-yl)thiophene-3-carboxylate (9b)
Light brown crystals; yield 63%, 0.381 g; m.p. 231–233°C. IR (KBr): υ max 3,367–3,182 (NH2, NH), 2,951, 2,933, 2,921 (3CH3), 2,834 (CH2), 1,728, 1,660, 1,647 (3C═O), 1,635 (C═C) cm−1, 1H NMR (390-200 MHz, DMSO-d 6): δ 1.11, 1.23, 1.63 (2s, t, 9H, 3CH3), 1.91, 2.17, 2.38, 2.72 (3 m, q, 20H, 10CH2), 4.26 (s, 2H, D2O-exchangeable, NH2), 4.39, 4.62 (2s, 2H), 5.21 (s, 1H), 5.34, 5.48 (2s, 2H), 6.31, 6.49 (d.d, 2H, J = 2.32 Hz), 6.72 (s, 1H, thiophene ring), 10.15 (s, 1H, D2O-exchangeable, NH); EI-MS: m/z 604 (M+, 31.9%). Ana. Calcd for C34H40N2O4S2 (604.82): C, 67.52; H, 6.67; N, 4.63; S, 10.60%. Found: C, 67.17; H, 6.36; N, 4.34; S, 10.91%.
2.2.8 General procedure for the synthesis of compounds 10a–d
Either malonaldehyde (0.072 g, 0.001 mol) or acetylacetone (0.1 g, 0.001 mol) was added to a solution of either compound 6a (0.46 g, 0.001 mol) or 6b (0.507 g, 0.001 mol) in absolute ethanol (50 mL) containing piperidine (1 mL). The reaction mixture in each case was heated under reflux for 7 h and then poured onto ice/water containing few drops of HCL. The formed solid product was collected, filtered, dried, and recrystallized from ethanol–water.
2.2.8.1 1-(3-Cyano-4-((8S,9R,10S,13S,14S,17S)-10,13-dimethyl-3-oxo-2,3,8,9,10,11,12,13,14,15,16,17-dodeca-hydro-1H-cyclopenta[a]phenanthren-17-yl)thiophen-2-yl)-2-oxo-1,2-dihydropyridine-3-carbonitrile (10a)
Creamy white crystals; yield 63%, 0.312 g; m.p. 131–133°C. IR (KBr): υ max 2,993, 2,972 (2CH3), 2,856 (CH2), 2,233, 2,212 (2CN), 1,665, 1,655 (2C═O), 1,640 (C═C) cm−1, 1H NMR (390-200 MHz, DMSO-d 6): δ 1.33, 1.42 (2s, 6H, 2CH3), 1.76, 1.92 (2m, 12H, 6CH2), 4.22, 4.54 (2s, 2H), 5.12 (s, 1H), 5.37, 5.65 (2s, 2H), 6.18, 6.33 (d.d, 2H, J = 2.24 Hz), 6.48 (m, 3H, pyridine ring), 6.56 (s, 1H, thiophene ring); 13C NMR (300 MHz, DMSO-d 6): δ 14.2, 15.7, 23.7, 24.5, 26.9, 27.8, 31.7, 36.4, 44.3, 111.2, 114.6, 120.8, 122.9, 127.7, 128.9, 130.3, 132.4, 135.6, 136.7, 137.8, 138.2, 139.9, 140.5, 142.1, 143.7, 147.5, 151.9, 159.4, 161.2, 166.2; EI-MS: m/z 495 (M+, 21.7%). Ana. Calcd for C30H29N3O2S (495.64): C, 72.70; H, 5.90; N, 8.48; S, 6.47%. Found: C, 72.36; H, 5.64; N, 8.75; S, 6.81%.
2.2.8.2 1-(3-Cyano-4-((8S,9R,10S,13S,14S,17S)-10,13-dimethyl-3-oxo-2,3,8,9,10,11,12,13,14,15,16,17-dodeca-hydro-1H-cyclopenta[a]phenanthren-17-yl)thiophen-2-yl)-4,6-dimethyl-2-oxo-1,2-dihydro-pyridine-3-carbonitrile (10b)
Off-white crystals; yield 51%, 0.267 g; m.p. 138–140°C. IR (KBr): υ max 2,963–2,941 (CH3), 2,848 (CH2), 2,254, 2,235 (2CN), 1,669, 1,653 (2C═O), 1,641 (C═C) cm−1, 1H NMR (390-200 MHz, DMSO-d 6): δ 1.17, 1.29, 1.34 (2s, m, 12H, 4CH3), 1.55, 1.82 (2m, 12H, 6CH2), 4.11, 4.43 (2s, 2H), 5.23 (s, 1H), 5.36, 5.61 (2s, 2H), 6.21, 6.35 (d.d, 2H, J = 2.19 Hz), 6.76 (s, 1H, pyridine ring), 6.83 (s, 1H, thiophene ring); 13C NMR (300 MHz, DMSO-d 6): δ 13.4, 15.9, 19.5, 20.2, 22.6, 23.5, 25.5, 27.4, 30.4, 33.7, 42.4, 110.6, 113.5, 121.2, 122.7, 125.6, 127.7, 130.8, 131.3, 134.5, 136.9, 137.6, 138.5, 139.6, 141.3, 142.4, 143.8, 145.3, 150.9, 153.7, 160.4, 167.5; EI-MS: m/z 523 (M+, 17.7%). Ana. Calcd for C32H33N3O2S (523.69): C, 73.39; H, 6.35; N, 8.02; S, 6.12%. Found: C, 73.65; H, 6.64; N, 8.34; S, 6.41%.
2.2.8.3 Ethyl2-(3-cyano-2-oxopyridin-1(2H)-yl)-4-((8S,9R,10S,13S,14S,17S)-10,13-dimethyl-3-oxo-2,3,8,9,10,11,12,13,14,15,16,17-dodecahydro-1H-cyclopenta[a]phenanthren-17-yl)thiophene-3-carboxylate (10c)
Buff crystals; yield 64%, 0.347 g; m.p. 157–159°C. IR (KBr): υ max 2,988–2,928 (CH3), 2,873 (CH2), 2,244 (CN), 1,662, 1,652 (2C═O), 1,643 (C═C) cm−1, 1H NMR (390-200 MHz, DMSO-d 6): δ 1.21, 1.37, 1.56 (2s, t, 9H, 3CH3), 1.61, 1.82, 3.34 (2m, q, 14H, 7CH2), 4.14, 4.32 (2s, 2H), 5.19 (s, 1H), 5.27, 5.52 (2s, 2H), 6.12, 6.27 (d.d, 2H, J = 2.54 Hz), 6.52 (m, 3H, pyridine ring), 6.61 (s, 1H, thiophene ring); 13C NMR (300 MHz, DMSO-d 6): δ 16.2, 17.3, 19.4, 23.3, 25.5, 27.2, 28.7, 29.3, 31.5, 36.2, 43.2, 113.1, 114.8, 121.6, 123.8, 125.8, 128.6, 131.2, 133.5, 135.7, 136.4, 137.9, 139.3, 140.3, 141.4, 143.6, 145.3, 150.2, 155.5, 160.3, 164.1; EI-MS: m/z 542 (M+, 33.5%). Ana. Calcd for C32H34N2O4S (542.69): C, 70.82; H, 6.31; N, 5.16; S, 5.91%. Found: C, 70.54; H, 6.62; N, 5.45; S, 5.62%.
2.2.8.4 Ethyl-2-(3-cyano-4,6-dimethyl-2-oxopyridin-1(2H)-yl)-4-((8S,9R,10S,13S,14S,17S)-10,13-dimethyl-3-oxo-2,3,8,9,10,11,12,13,14,15,16,17-dodecahydro-1H-cyclopenta[a]phenanthren-17-yl)thiophene-3-carboxylate (10d)
Buff crystals; yield 48%, 0.228 g; m.p. 237–239°C. IR (KBr): υ max 2,976–2,912 (CH3), 2,878–2,824 (CH2), 2,220 (CN), 1,668, 1,652 (2C═O), 1,647 (C═C) cm−1, 1H NMR (390-200 MHz, DMSO-d 6): δ 1.13, 1.25, 1.43, 1.68 (2s, t, m, 15H, 5CH3), 1.76, 1.93, 3.14 (2m, q, 14H, 7CH2), 4.26, 4.36 (2s, 2H), 5.06 (s, 1H), 5.22, 5.33 (2s, 2H), 6.14, 6.39 (d.d, 2H, J = 3.45 Hz), 6.47 (s, 1H, pyridine ring), 6.58 (s, 1H, thiophene ring); 13C NMR (300 MHz, DMSO-d 6): δ 13.7, 15.9, 16.7, 17.8, 19.2, 21.4, 23.6, 26.1, 28.3, 29.7, 30.8, 35.4, 42.7, 114.2, 115.9, 120.6, 121.7, 124.7, 126.9, 130.4, 132.1, 135.5, 136.5, 137.8, 139.2, 140.6, 141.6, 142.7, 146.4, 152.3, 156.3, 158.4, 163.2; EI-MS: m/z 570 (M+, 23.8%). Ana. Calcd for C34H38N2O4S (570.74): C, 71.55; H, 6.71; N, 4.91; S, 5.62%. Found: C, 71.83; H, 6.42; N, 5.25; S, 5.42%.
2.2.9 General procedure for the synthesis of compounds 12a,b
Hydroxyl amine hydrochloride (0.069 g, 0.001 mol) was added to a solution of either compounds 6a (0.46 g, 0.001 mol) or 6b (0.507 g, 0.001 mol) in absolute ethanol (50 mL) containing sodium acetate (0.082 g, 0.001 mol). The reaction mixture was heated under reflux for 5 h, and now a nonsoluble intermediate 11a,b and the latter final product 12a,b were formed. After cooling the reaction mixture, it was poured onto ice/water containing few drops of HCl. The formed solid product was collected, filtered, dried, and recrystallized from 1,4-dioxane.
2.2.9.1 2-(5-Aminoisoxazol-3-ylamino)-4-((8S,9R,10S,13S,14S,17S)-10,13-dimethyl-3-oxo-2,3,8,9,10,11,12,13,14,15,16,17-dodecahydro-1H-cyclopenta[a]phenanthren-17-yl)thiophene-3-carbonitrile (12a)
Creamy white crystals; yield 66%, 0.313 g; m.p. 218–220°C. IR (KBr): υ max 3,375–3,238 (NH2, NH), 2,965–2,944 (2CH3), 2,841 (CH2), 2,242 (CN), 1,658 (C═O), 1,643 (C═C) cm−1, 1H NMR (390-200 MHz, DMSO-d 6): δ 1.23, 1.37 (2s, 6H, 2CH3), 2.21, 2.37 (2m, 12H, 6CH2), 4.27 (s, 2H, D2O-exchangeable, NH2), 4.53, 4.69 (2s, 2H), 5.06 (s, 1H), 5.27, 5.52 (2s, 2H), 6.18, 6.34 (d.d, 2H, J = 2.16 Hz), 6.56, 6.74 (s, s, 2H, thiophene, isoxazole rings), 10.38 (s, 1H, D2O-exchangeable, NH); EI-MS: m/z 474 (M+, 31.5%). Ana. Calcd for C27H30N4O2S (474.62): C, 68.33; H, 6.37; N, 11.80; S, 6.76%. Found: C, 68.02; H, 6.68; N, 11.55; S, 6.47%.
2.2.9.2 Ethyl-2-(5-aminoisoxazol-3-ylamino)-4-((8S,9R,10S,13S,14S,17S)-10,13-dimethyl-3-oxo-2,3,8,9,10,11,12,13,14,15,16,17-dodecahydro-1H-cyclopenta[a]phenanthren-17-yl)thiophene-3-carboxylate (12b)
Faint brown crystals; yield 58%, 0.302 g; m.p. 237–239oC; IR (KBr): υ max 3,321–3,188 (NH2, NH), 2,976–2,930 (2CH3), 2,822 (CH2), 1,753, 1,653 (2C═O), 1,644 (C═C) cm−1, 1H NMR (390-200 MHz, DMSO-d 6): δ 0.93, 1.12, 1.33 (2s, t, 9H, 3CH3), 1.86, 2.11, 3.16 (2m, q, 14H, 7CH2), 4.41 (s, 2H, D2O-exchangeable, NH2), 4.56, 4.65 (2s, 2H), 5.11 (s, 1H), 5.21, 5.42 (2s, 2H), 6.22, 6.37 (d.d, 2H, J = 2.28 Hz), 6.63, 6.78 (s, s, 2H, thiophene, isoxazole rings), 10.54 (s, 1H, D2O-exchangeable, NH); EI-MS: m/z 521 (M+, 28.2%). Ana. Calcd for C29H35N3O4S (521.67): C, 66.77; H, 6.76; N, 8.05; S, 6.15%. Found: C, 67.05; H, 6.48; N, 8.32; S, 6.43%.
2.2.10 General procedure for the synthesis of compounds 14a,b
Benzoyl acetonitrile (0.145 g, 0.001 mol) was added to the solution of either compound 6a (0.46 g, 0.001 mol) or 6b (0.507 g, 0.001 mol) in sodium ethoxide (0.001 mol) [prepared by dissolving sodium metal (0.023 g, 0.001 mol) in absolute ethanol (50 mL)]. The mixture of the reaction was heated under reflux for 6 h, and the solvent was then evaporated under vacuum. The product was triturated with ethanol, and the formed product was collected by filtration, dried, and recrystallized from 1,4-dioxane.
2.2.10.1 6-Amino-1-(3-cyano-4-((8S,9R,10S,13S,14S,17S)-10,13-dimethyl-3-oxo-2,3,8,9,10,11,12,13,14,15,16,17-dodecahydro-1H-cyclopenta[a]phenanthren-17-yl)thiophen-2-yl)-2-oxo-4-phenyl-1,2-dihydropyridine-3-carbonitrile (14a)
Buff crystals; yield 58%, 0.340 g; m.p. 250–251°C. IR (KBr): υ max 3,338 (NH2), 3,065 (CH arom.), 2,951, 2,937 (2CH3), 2,843 (CH2), 2,242, 2,230 (2CN), 1,670, 1,658 (2C═O), 1,643 (C═C) cm−1, 1H NMR (390-200 MHz, DMSO-d 6): δ 1.22, 1.35 (2s, 6H, 2CH3), 1.56, 1.89 (2m, 12H, 6CH2), 3.98, 4.16 (2s, 2H), 4.43 (s, 2H, D2O-exchangeable, NH2), 4.87 (s, 1H), 5.12, 5.41 (2s, 2H), 5.83, 5.94 (d.d, 2H, J = 2.53 Hz), 6.68, 6.84 (s, s, 2H, thiophene, pyridine rings), 7.23–7.41 (m, 5H, C6H5); 13C NMR (300 MHz, DMSO-d 6): δ 13.1, 14.8, 24.6, 25.3, 26.3, 27.9, 30.4, 35.3, 43.7, 112.2, 114.3, 120.7, 121.6, 125.8, 126.4, 128.4, 130.9, 131.8, 133.9, 135.3, 136.4, 137.2, 138.6, 139.5, 140.8, 141.7, 142.5, 143.8, 145.9, 148.3, 151.4, 156.1, 158.1, 164.8, 166.2; EI-MS: m/z 586 (M+, 16.5%). Ana. Calcd for C36H34N4O2S (586.75): C, 73.69; H, 5.84; N, 9.55; S, 5.46%. Found: C, 73.96; H, 5.60; N, 9.25; S, 5.14%.
2.2.10.2 Ethyl-2-(6-amino-3-cyano-2-oxo-4-phenylpyridin-1(2H)-yl)-4-((8S,9R,10S,13S,14S,17S)-10,13-dimethyl-3-oxo-2,3,8,9,10,11,12,13,14,15,16,17-dodecahydro-1H-cyclopenta[a]phenanthren-17-yl) thiophene-3-carboxylate (14b)
Faint brown crystals; yield 66%, 0.418 g; m.p. 272–274°C. IR (KBr): υ max 3,340 (NH2), 3,054 (CH arom.), 2,963–2,942 (CH3), 2,856 (CH2), 2,234 (CN), 1,778, 1,668, 1,654 (3C═O), 1,641 (C═C) cm−1, 1H NMR (390-200 MHz, DMSO-d 6): δ 0.87, 1.19, 1.97 (2s, t, 9H, 3CH3), 1.69, 1.93, 3.25 (2m, q, 14H, 7CH2), 3.87, 4.05 (2s, 2H), 4.35 (s, 2H, D2O-exchangeable, NH2), 4.64 (s, 1H), 5.23, 5.47 (2s, 2H), 5.76, 5.91 (d.d, 2H, J = 2.84 Hz), 6.53, 6.73 (s, s, 2H, thiophene, pyridine rings), 7.18–7.39 (m, 5H, C6H5); 13C NMR (300 MHz, DMSO-d 6): δ 13.7, 14.9, 17.2, 23.5, 24.8, 26.7, 28.6, 30.9, 34.7, 41.8, 111.9, 114.8, 119.6, 122.7, 124.4, 126.5, 127.8, 129.6, 131.5, 132.7, 134.6, 136.3, 137.5, 138.9, 139.8, 141.6, 142.4, 143.6, 144.7, 145.8, 147.3, 150.6, 155.3, 157.9, 163.5, 165.5; EI-MS: m/z 633 (M+, 14.8%). Ana. Calcd for C38H39N3O4S (633.80): C, 72.01; H, 6.20; N, 6.63; S, 5.06%. Found: C, 71.70; H, 5.92; N, 6.35; S, 5.38%.
2.3 Antitumor activity tests
All the reagents and chemicals, penicillin, streptomycin, doxorubicin, sulforhodamine B (SRB), and dimethyl sulfoxide (DMSO), used for antitumor activity tests were obtained from Sigma Chemical Co. (USA). Fetal bovine serum (FBS) and l-glutamine were purchased from Gibco Invitrogen Co. (UK). RPMI-1640 medium was obtained from Cambrex (USA).
The three human tumor cell lines that are used for the evaluation are as follows: SF-268 (CNS cancer), MCF-7 (breast adenocarcinoma), and NCI-H460 (non-small lung cancer cell). The SF-268, NCI-H460, and normal fibroblast cells (WI-38) were kindly provided by the National Cancer Institute (NCI, Cairo, Egypt), and MCF-7 was obtained from the European Collection of Cell Cultures (ECACC, Salisbury, UK).
The cell lines were grown as monolayers and were routinely maintained in RPMI-1640 medium supplemented with 5% heat-inactivated FBS, antibiotics (penicillin 100 U mL−1 and streptomycin 100 µg mL−1), and 2 mmol L−1 glutamine at 37°C in a humidified atmosphere containing 5% CO2. Exponentially growing cells were obtained by plating 1.5 × 105 cell mL−1 for SF-268 and MCF-7 and 0.75 × 104 cell mL−1 for NCI-H460, followed by 24 h of incubation. The effect of the vehicle solvent (DMSO) on the growth of these cell lines was evaluated in all the experiments by exposing untreated control cells to the maximum concentration (0.5%) of DMSO used in each assay.
Tumor cell growth assay: The effects on the in vitro growth of human tumor cell lines were evaluated on the newly synthesized compounds 1a,b, 2a–d, 4–10a–d, 12a,b, and 14a,b according to the specified procedure by the National Cancer Institute (NCI, USA) [16] that uses the protein-binding dye sulforhodamine B to consider the cell growth. Exponentially growing cells in 96-well plates were exposed for 48 h to five serial concentrations of each synthesized compound starting from the maximum concentration of 150 µmol L−1. After this exposure period, the adherent cells were fixed, washed, and stained. The bound stain was dissolved in dimethylsulfoxide, and then, the absorbance was measured at 492 nm in a plate reader (Power wave XS, Bio-Tec Instruments, USA). For each test compound and cell line, a dose–response curve was obtained and the growth inhibition of 50% (GI50; corresponding to the concentration of each compound that inhibited 50% of the net cell growth) was calculated as described earlier [17]. Doxorubicin was used as a positive control test, and it was tested under the same condition.
-
Ethical approval: The conducted research is not related to either human or animal use.
3 Results and discussion
3.1 Chemistry
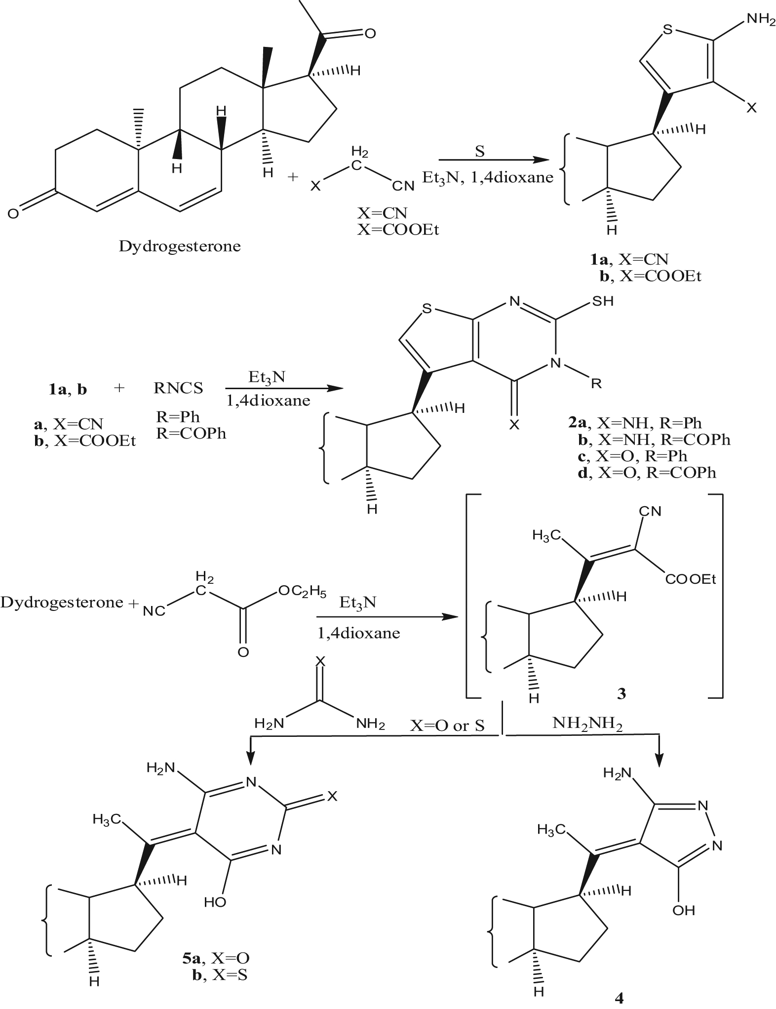
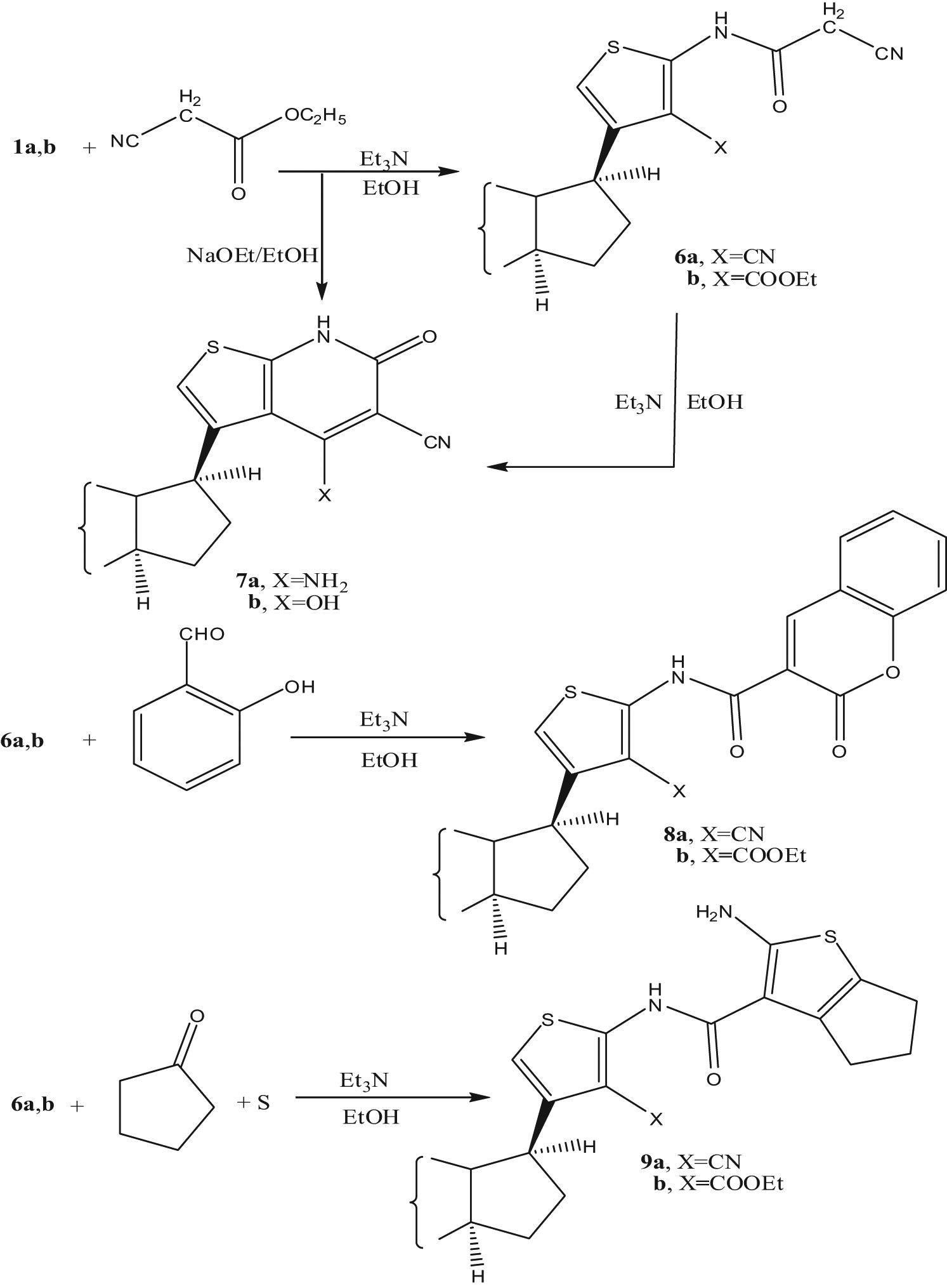
In the framework of our ongoing attempts of our team to try to develop and synthesize some of the heterocyclic compound derivatives with interesting antitumor activities [18,19], here we designed the newly dydrogesterone heterocyclic extension compounds, such as thiophene, thienopyrimidine, pyrimidine, pyrazole, thienopyridine, coumarin, and isoxazole derivatives, Schemes 1–4. The reaction of dydrogesterone with either malononitrile or ethylcyanoacetate together with elemental sulfur to form 2-aminothiophene derivatives 1a,b, the structure of such compounds 1a,b was established using analytical and spectral data. Fused thiophene derivatives were afforded through the reaction of the latter compounds 1a,b with either isothiocyanate derivatives or ethylcyanoacetate to afford thienopyrimidine derivatives 2a–d and thienopyridine derivatives 7a,b, respectively. The structure of compounds 2a–d and 7a,b was established by applying analytical and spectral data; the compound 2a 1H NMR spectrum indicated the presence one singlet at δ = 6.78 ppm because of the presence of 1H of thiophene ring, and multiplet at δ = 7.33–7.54 ppm indicates the presence of 5H of phenyl group, broad signal at δ = 8.68 ppm corresponding to 1H of SH group and one singlet, D2O-exchangeable at δ = 9.11 ppm because of the presence of 1H of NH group. In addition, the mass spectrum revealed m/z at 527 [M]+ and m/z at 77 [C6H5]+ for the phenyl moiety. In addition, compounds 7a,b were obtained through the reaction of ethylcyanoacetate with compounds 1a,b to produce compounds 6a,b, which underwent cyclization afforded fused thiophene derivatives 7a,b. The structures of these compounds are confirmed using analytical and spectral data. Also, the reaction of ethylcyanoacetate with dydrogesterone in the presence of hydrazine, urea, or thiourea afforded either pyrazole derivative 4 or pyrimidine derivatives 5a,b. The structure of compound 5a was proved using analytical and spectral data; 1H NMR spectrum showed singlet, D2O-exchangeable at δ = 4.12 ppm because of the presence of 2H of NH2 group, singlet at δ = 7.45 ppm, D2O-exchangeable because of the presence of 1H of OH group. Furthermore, the 13C NMR spectrum revealed two signals at δ = 119.8 and 121.6 ppm because of the presence of C═C group and three signals at δ = 130.8, 132.5, 139.2 ppm corresponding to the pyrimidine ring. A series of chemical reaction were acceptable of compounds 6a,b; thus, cyanoacetamidothiophene derivatives 6a,b were reacted with either salicylaldehyde or cyclopentanone and elemental sulfur to form coumarin derivatives 8a,b and cyclopenta[b]thiophene derivatives 9a,b, respectively. The structure of such compounds was confirmed according to the analytical and spectral data. Compound 8a was proved using the analytical and spectral data; 1H NMR spectrum showed the presence of singlet at δ = 6.57 ppm because of the presence of 1H of coumarin ring, multiplet at δ = 7.28–7.41 ppm corresponding to 4H of benzene ring. In addition, IR spectrum of compound 8a detected the presence of stretching vibration bands of the CN group at υ max = 2,228 cm−1 (Schemes 1 and 2).

Synthesis of compounds 1a,b, 2a–d, 4 and 5a,b.

Synthesis of compounds 6a,b, 7a,b, 8a,b and 9a,b.

Synthesis of compounds 10a–d and 12a,b.

Synthesis of compounds 14a,b.
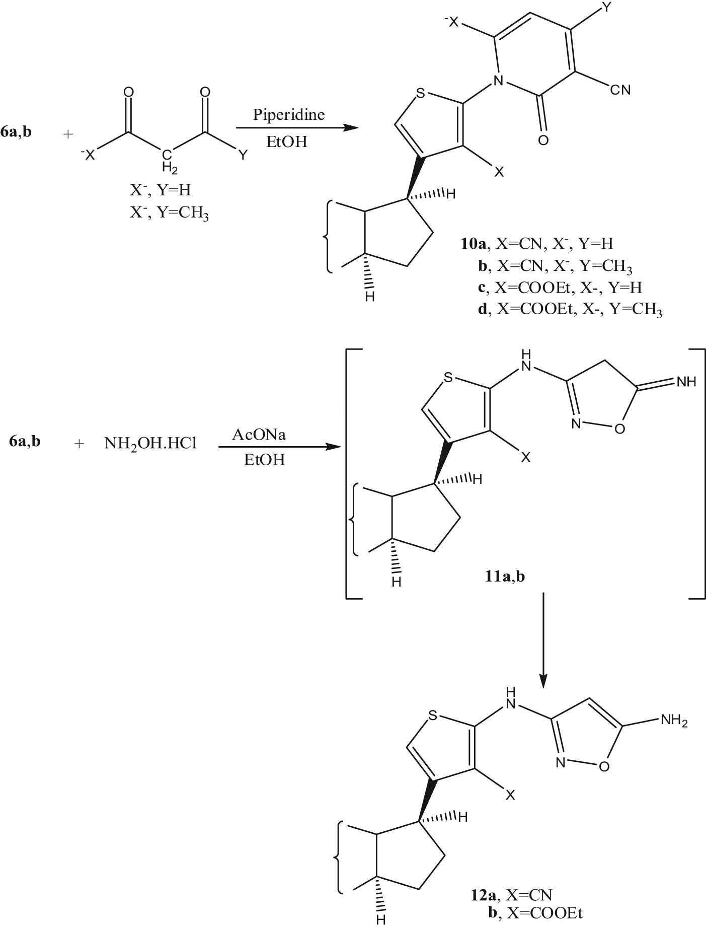
However, compounds 6a,b were directed toward the reaction with either 1,3-dicarbonyl compounds or hydroxylaminehydrochloride to produce pyridine derivatives 10a–d or isoxazole derivatives 12a,b through intermediate formation 11a,b, respectively (Scheme 3). The structure of compounds 10a–d and 12a,b was confirmed by the analytical and spectral data. The 1H NMR spectrum of compound 10a showed the presence of multiplet at δ = 6.48 ppm, which indicated 3H of pyridine ring, singlet at δ = 6.56 ppm because of the presence of 1H of thiophene ring. Also, the 13C NMR spectrum revealed eight signals at δ = 138.2, 139.9, 140.5, 142.1, 143.7, 147.5, 151.9, and 159.4 ppm because of the presence of thiophene ring and pyridine ring. Furthermore, the mass spectrum revealed m/z at 495 [M]+. Finally, the reaction of compounds 6a,b with benzoyl acetonitrile afforded phenylpyridine derivatives 14a,b through intermediate formation 13a,b. The isomeric structures 15a,b were excluded (Scheme 4). The 1H NMR spectral data in compounds 14a,b showed that the final products contained two singlets at δ = 4.43 and 4.35 ppm, respectively, which represented the presence of NH2 groups. However, both OH and NH groups of compounds 15a,b were absent.
3.2 Effect on the growth of human tumor cell lines and QSAR
The inhibitory effect of the newly synthesized compounds 1a,b–14a,b was evaluated on the in vitro growth of the three human tumor cell lines representing different tumor types, namely, breast adenocarcinoma (MCF-7), non-small cell lung cancer (NCI-H460), and CNS cancer (SF-268) after a continuous exposure for 48 h. All of the synthesized products 1a,b–14a,b were able to inhibit the growth of the tested human tumor cell lines in a dose-dependent manner. The results (Table 1) showed that benzoyl thienopyrimidine derivative 2d is the highest one effective against all the three different tumor cell lines, (SF-268), (MCF-7), and (NCI-H460), with respect to the reference standard material (doxorubicin). In addition, phenyl thienopyrimidine derivative 2c showed the highest inhibitory effect against all the three tumor cell lines, (SF-268), (MCF-7), and (NCI-H460), corresponding to the remaining synthesized compounds. However, imino-thienopyrimidine derivatives 2a,b, hydroxypyrimidine derivatives 5a,b, cyanoacetamido thiophene derivatives 6a,b, and thienopyridine derivatives 10a–d showed good inhibitory effects against three cancer cell lines, (SF-268), (MCF-7), and (NCI-H460). Regarding the remaining, compounds 1a,b, 4, 7a,b, 8a,b, 9a,b, 12a,b, and 14a,b showed a moderate growth in the inhibitory effect.
Comparing thienopyrimidine derivatives 2a–d, it was found that compound 2d acts as the most effective one, that is may be because of the presence of benzoyl-pyrimidinone moiety. Also, comparing thienopyridine compound derivatives 10a–d, one can say that compound 10a is the most effective one in this group. It may be because of the presence of cyano group with the absence of the methyl group. Furthermore, on comparing compounds hydroxypyrimidine derivatives 5a,b and cyanoacetamido thiophene derivatives 6a,b, although these compounds nearly has the same good inhibitory effect against three different cell lines, (SF-268), (MCF-7), and (NCI-H460), it may be that they are containing hydroxypyrimidine and cyanoacetamido-thiophene moieties, respectively, but it was clear that compound 5b is slightly more effective than the remaining compounds 5a,6a,b on three different tumor cell lines, (SF-268), (MCF-7), and (NCI-H460). It may be because of containing thiopyrimidine moiety. In addition, comparing compounds 1a,b, 4, 7a,b, 8a,b, 9a,b, 12a,b, and 14a,b, it was clear that they have a moderate inhibitory effect, but compound 1b showed that it is the most effective one in this groups. It may be because of the presence of both amino and ethylcarboxylate groups of thiophene moiety.
The results are presented in concentrations that were able to cause 50% of cell growth inhibition (GI50) after a continuous exposure for 48 h and show means ± SEM of three independent experiments performed in duplicate.
4 Conclusion
In this article, the synthesized compounds of dydrogesterone heterocyclic extension such as thiophene, thienopyrimidine, pyrimidine, pyrazole, thienopyridine, coumarin, and isoxazole derivatives were investigated to detect the antitumor activity of such compounds against three different cell lines. Among the synthesized compounds, benzoyl thienopyrimidine derivative 2d showed the highest one effective against all the three different tumor cell lines, (SF-268), (MCF-7), and (NCI-H460), with respect to the reference standard material (doxorubicin). In addition, phenyl thienopyrimidine derivative 2c showed the highest inhibitory effect against all the three tumor cell lines, (SF-268), (MCF-7), and (NCI-H460), corresponding to the remaining synthesized compounds.
Acknowledgments
The authors would like to thank the research groups working at both the National Research Center, Dokki, Egypt and the National Cancer Institute for recording the antitumor evaluation for the synthesized products. Moreover, the effort of the staff working at (SARC) Substance Abuse Research Center in Pharmacy Collage, Jazan University, are greatly appreciated for their kind revisions for the analytical and spectral data.
-
Funding information: This work was supported by Substance abuse research center (SARC) at Jazan University for carrying out the analytical and spectral data and National Cancer Institute, Egypt, for recording the antitumor evaluation of the newly synthesized compounds.
-
Author contributions: K. A. and H. A.: conceived the research formulations and information of the synthesized compounds and wrote the paper; M. M.: performed and established the structures by applying different spectral data; M. M.: performed to integrate and maintain the obtained research data; K. A. and A. N.: prepared, write, and revised the manuscript for publication.
-
Conflict of interest: The authors declare no conflict of interest.
-
Data availability statement: The datasets generated during and/or analyzed during the current study are available from the corresponding author on reasonable request.
References
[1] Stanczyk FZ. Treatment of the postmenopausal woman. Basic and clinical aspects, structure – function relationships, pharmacokinetics, and potency of orally and parenterally administered progestogens. 3rd edn. London, United Kingdom: Academic Press; 2007. p. 779–98. 10.1016/B978-012369443-0/50067-3.Suche in Google Scholar
[2] Carp HA. Systematic review of dydrogesterone for the treatment of threatened miscarriage. Gynecol Endocrinol. 2012;28(12):983–90. 10.3109/09513590.2012.702875.Suche in Google Scholar
[3] Walch K, Hefler L, Nagele F. Oral dydrogesterone treatment during the first trimester of pregnancy: the prevention of miscarriage study (PROMIS). A double-blind, prospectively randomized, placebo-controlled, parallel group trial. J Matern-Fetal Neo M. 2005;18(4):265–9. 10.1080/14767050500246243.Suche in Google Scholar
[4] Tomic V, Tomic J, Klaic DZ, Kasum M, Kuna K. Oral dydrogesterone versus vaginal progesterone gel in the luteal phase support: randomized controlled trial. Eur J Obstet Gyn R B. 2015;186:49–53. 10.1016/j.ejogrb.2014.11.002.Suche in Google Scholar
[5] Stevenson JC, Panay N, Fiethc CP. Oral estradiol and dydrogesterone combination therapy in postmenopausal women: review of efficacy and safety. Maturitas. 2013;76(1):10–21. 10.1016/j. maturitas.2013.05.018.Suche in Google Scholar
[6] Schweppe KW. The place of dydrogesterone in the treatment of endometriosis and adenomyosis. Maturitas. 2009;65:S23–7. 10.1016/j.maturitas. 2009.11.011.Suche in Google Scholar
[7] Begum N, Prasad S, Kumar SA, Aggarwal S, Sharma S. Oral dydrogesterone treatment during early pregnancy to prevent recurrent pregnancy loss and its role in modulation of cytokine production: a double-blind, randomized, parallel, placebo-controlled trial. Fertil Steril. 2014;102(5):1357–63. 10.1016/j.fertnstert.2014.07.1251.Suche in Google Scholar
[8] Dennerstein L, Morse C, Gotts G, Brown J, Smith M, Oats J, et al. Treatment of premenstrual syndrome: a double-blind trial of dydrogesterone. J Affect Disord. 1986;11(3):199–205. 10.1016/0165-0327(86)90070-4.Suche in Google Scholar
[9] Yasudaa K, Sumia GI, Muratab H, Kidab N, Kidob T, Okadab H. The steroid hormone dydrogesterone inhibits myometrial contraction independently of the progesterone/progesterone receptor pathway. Life Sci. 2018;207:508–15. 10.1016/j.lfs.2018.07.004.Suche in Google Scholar PubMed
[10] Chetrite GS, Thole HH, Philippe JC, Pasqualini JR. Dydrogesterone (Duphaston®) and its 20-dihydro-derivative as selective estrogen enzyme modulators in human breast cancer cell lines. effect on sulfatase and on 17‚-hydroxysteroid dehydrogenase (17‚-HSD) activity. Anticancer Res. 2004;24(3a):1433–38.Suche in Google Scholar
[11] Taniguchi F, Ota I, Iba Y, Toda T, Tagashira Y, Ohata Y, et al. The efficacy and safety of dydrogesterone for treatment of dysmenorrhea: an open-label multicenter clinical study. J Obstet Gynaecol Re. 2019;45(1):168–75. 10.1111/jog.13807.Suche in Google Scholar PubMed
[12] Joachim R, Zenclussen AC, Polgar B, Douglas AJ, Fest S, Knackstedt M, et al. The progesterone derivative dydrogesterone abrogates murine stress-triggered abortion by inducing a Th2 biased local immune response. Steroids. 2003;68(10–13):931–40. 10.1016/j.steroids.2003.08.010.Suche in Google Scholar PubMed
[13] Ortiza AVS, Bratoeff E, Apan MTR, Becerra RG, Rosado DO, Martínez NN, et al. Synthesis and biological activity of two pregnane derivatives with a triazole or imidazole ring at C-21. J Steroid Biochem. 2016;159:8–18. 10.1016/j.jsbmb.2016.02.013.Suche in Google Scholar PubMed
[14] Sethi A, Bhatia A, Maurya A, Panday A, Bhatia G, Shrivastava A, et al. Proficient synthesis of biologically active pregnane derivatives and its glycoside – experimental and theoretical approach. J Mol Struct. 2013;1052:112–24. 1016/j.molstruc.2013.08.048.Suche in Google Scholar
[15] Jegham H, Maltais R, Dufour P, Roy J, Poirier D. Solid-phase chemical synthesis and in vitro biological evaluation of novel 2β-piperazino-(20R)-5α-pregnane-3α,20-diol N-derivatives as anti-leukemic agents. Steroids. 2012;77(13):1403–18. 10.1016/j.steroids.2012.07.012.Suche in Google Scholar PubMed
[16] Skehan Ph, Storeng R, Scudiero D, Monks A, McMahon J, Vistica D, et al. New colorimetric cytotoxicity assay for anticancer-drug screening. J Natl Cancer I. 1990;82:1107–12. 10.1093/jnci/82.13.1107.Suche in Google Scholar PubMed
[17] Monks A, Scudiero D, Skehan P, Shoemaker R, Paull K, Vistica D, et al. Feasibility of a high-flux anticancer drug screen using a diverse panel of cultured human tumor cell lines. J Natl Cancer I. 1991;83:757–66. 10.1093/jnci/83.11.757.Suche in Google Scholar PubMed
[18] Mohareb RM, EL-Sharkawy KA, Al Farouk FO. Synthesis, cytotoxicity against cancer and normal cell lines of novel hydrazide–hydrazone derivatives bearing 5H-chromen-5-one. Med Chem Res. 2019;28:1885–900. 10.1007/s00044-019-02421-6.Suche in Google Scholar
[19] AlBratty M, El-Sharkawy KA, Alam MS. Synthesis and antitumor activity of some novel thiophene, pyrimidine, coumarin, pyrazole and pyridine derivatives. Acta Pharm. 2017;67(1):15–33. 10.1515/acph-2017-0004.Suche in Google Scholar PubMed
© 2021 Karam A. El-Sharkawy et al., published by De Gruyter
This work is licensed under the Creative Commons Attribution 4.0 International License.
Artikel in diesem Heft
- Regular Articles
- Qualitative and semi-quantitative assessment of anthocyanins in Tibetan hulless barley from different geographical locations by UPLC-QTOF-MS and their antioxidant capacities
- Effect of sodium chloride on the expression of genes involved in the salt tolerance of Bacillus sp. strain “SX4” isolated from salinized greenhouse soil
- GC-MS analysis of mango stem bark extracts (Mangifera indica L.), Haden variety. Possible contribution of volatile compounds to its health effects
- Influence of nanoscale-modified apatite-type calcium phosphates on the biofilm formation by pathogenic microorganisms
- Removal of paracetamol from aqueous solution by containment composites
- Investigating a human pesticide intoxication incident: The importance of robust analytical approaches
- Induction of apoptosis and cell cycle arrest by chloroform fraction of Juniperus phoenicea and chemical constituents analysis
- Recovery of γ-Fe2O3 from copper ore tailings by magnetization roasting and magnetic separation
- Effects of different extraction methods on antioxidant properties of blueberry anthocyanins
- Modeling the removal of methylene blue dye using a graphene oxide/TiO2/SiO2 nanocomposite under sunlight irradiation by intelligent system
- Antimicrobial and antioxidant activities of Cinnamomum cassia essential oil and its application in food preservation
- Full spectrum and genetic algorithm-selected spectrum-based chemometric methods for simultaneous determination of azilsartan medoxomil, chlorthalidone, and azilsartan: Development, validation, and application on commercial dosage form
- Evaluation of the performance of immunoblot and immunodot techniques used to identify autoantibodies in patients with autoimmune diseases
- Computational studies by molecular docking of some antiviral drugs with COVID-19 receptors are an approach to medication for COVID-19
- Synthesis of amides and esters containing furan rings under microwave-assisted conditions
- Simultaneous removal efficiency of H2S and CO2 by high-gravity rotating packed bed: Experiments and simulation
- Design, synthesis, and biological activities of novel thiophene, pyrimidine, pyrazole, pyridine, coumarin and isoxazole: Dydrogesterone derivatives as antitumor agents
- Content and composition analysis of polysaccharides from Blaps rynchopetera and its macrophage phagocytic activity
- A new series of 2,4-thiazolidinediones endowed with potent aldose reductase inhibitory activity
- Assessing encapsulation of curcumin in cocoliposome: In vitro study
- Rare norisodinosterol derivatives from Xenia umbellata: Isolation and anti-proliferative activity
- Comparative study of antioxidant and anticancer activities and HPTLC quantification of rutin in white radish (Raphanus sativus L.) leaves and root extracts grown in Saudi Arabia
- Comparison of adsorption properties of commercial silica and rice husk ash (RHA) silica: A study by NIR spectroscopy
- Sodium borohydride (NaBH4) as a high-capacity material for next-generation sodium-ion capacitors
- Aroma components of tobacco powder from different producing areas based on gas chromatography ion mobility spectrometry
- The effects of salinity on changes in characteristics of soils collected in a saline region of the Mekong Delta, Vietnam
- Synthesis, properties, and activity of MoVTeNbO catalysts modified by zirconia-pillared clays in oxidative dehydrogenation of ethane
- Synthesis and crystal structure of N,N′-bis(4-chlorophenyl)thiourea N,N-dimethylformamide
- Quantitative analysis of volatile compounds of four Chinese traditional liquors by SPME-GC-MS and determination of total phenolic contents and antioxidant activities
- A novel separation method of the valuable components for activated clay production wastewater
- On ve-degree- and ev-degree-based topological properties of crystallographic structure of cuprite Cu2O
- Antihyperglycemic effect and phytochemical investigation of Rubia cordifolia (Indian Madder) leaves extract
- Microsphere molecularly imprinted solid-phase extraction for diazepam analysis using itaconic acid as a monomer in propanol
- A nitric oxide-releasing prodrug promotes apoptosis in human renal carcinoma cells: Involvement of reactive oxygen species
- Machine vision-based driving and feedback scheme for digital microfluidics system
- Study on the application of a steam-foam drive profile modification technology for heavy oil reservoir development
- Ni–Ru-containing mixed oxide-based composites as precursors for ethanol steam reforming catalysts: Effect of the synthesis methods on the structural and catalytic properties
- Preparation of composite soybean straw-based materials by LDHs modifying as a solid sorbent for removal of Pb(ii) from water samples
- Synthesis and spectral characterizations of vanadyl(ii) and chromium(iii) mixed ligand complexes containing metformin drug and glycine amino acid
- In vitro evaluation of lactic acid bacteria with probiotic activity isolated from local pickled leaf mustard from Wuwei in Anhui as substitutes for chemical synthetic additives
- Utilization and simulation of innovative new binuclear Co(ii), Ni(ii), Cu(ii), and Zn(ii) diimine Schiff base complexes in sterilization and coronavirus resistance (Covid-19)
- Phosphorylation of Pit-1 by cyclin-dependent kinase 5 at serine 126 is associated with cell proliferation and poor prognosis in prolactinomas
- Molecularly imprinted membrane for transport of urea, creatinine, and vitamin B12 as a hemodialysis candidate membrane
- Optimization of Murrayafoline A ethanol extraction process from the roots of Glycosmis stenocarpa, and evaluation of its Tumorigenesis inhibition activity on Hep-G2 cells
- Highly sensitive determination of α-lipoic acid in pharmaceuticals on a boron-doped diamond electrode
- Synthesis, chemo-informatics, and anticancer evaluation of fluorophenyl-isoxazole derivatives
- In vitro and in vivo investigation of polypharmacology of propolis extract as anticancer, antibacterial, anti-inflammatory, and chemical properties
- Topological indices of bipolar fuzzy incidence graph
- Preparation of Fe3O4@SiO2–ZnO catalyst and its catalytic synthesis of rosin glycol ester
- Construction of a new luminescent Cd(ii) compound for the detection of Fe3+ and treatment of Hepatitis B
- Investigation of bovine serum albumin aggregation upon exposure to silver(i) and copper(ii) metal ions using Zetasizer
- Discoloration of methylene blue at neutral pH by heterogeneous photo-Fenton-like reactions using crystalline and amorphous iron oxides
- Optimized extraction of polyphenols from leaves of Rosemary (Rosmarinus officinalis L.) grown in Lam Dong province, Vietnam, and evaluation of their antioxidant capacity
- Synthesis of novel thiourea-/urea-benzimidazole derivatives as anticancer agents
- Potency and selectivity indices of Myristica fragrans Houtt. mace chloroform extract against non-clinical and clinical human pathogens
- Simple modifications of nicotinic, isonicotinic, and 2,6-dichloroisonicotinic acids toward new weapons against plant diseases
- Synthesis, optical and structural characterisation of ZnS nanoparticles derived from Zn(ii) dithiocarbamate complexes
- Presence of short and cyclic peptides in Acacia and Ziziphus honeys may potentiate their medicinal values
- The role of vitamin D deficiency and elevated inflammatory biomarkers as risk factors for the progression of diabetic nephropathy in patients with type 2 diabetes mellitus
- Quantitative structure–activity relationship study on prolonged anticonvulsant activity of terpene derivatives in pentylenetetrazole test
- GADD45B induced the enhancing of cell viability and proliferation in radiotherapy and increased the radioresistance of HONE1 cells
- Cannabis sativa L. chemical compositions as potential plasmodium falciparum dihydrofolate reductase-thymidinesynthase enzyme inhibitors: An in silico study for drug development
- Dynamics of λ-cyhalothrin disappearance and expression of selected P450 genes in bees depending on the ambient temperature
- Identification of synthetic cannabinoid methyl 2-{[1-(cyclohexylmethyl)-1H-indol-3-yl] formamido}-3-methylbutanoate using modern mass spectrometry and nuclear magnetic resonance techniques
- Study on the speciation of arsenic in the genuine medicinal material honeysuckle
- Two Cu(ii)-based coordination polymers: Crystal structures and treatment activity on periodontitis
- Conversion of furfuryl alcohol to ethyl levulinate in the presence of mesoporous aluminosilicate catalyst
- Review Articles
- Hsien Wu and his major contributions to the chemical era of immunology
- Overview of the major classes of new psychoactive substances, psychoactive effects, analytical determination and conformational analysis of selected illegal drugs
- An overview of persistent organic pollutants along the coastal environment of Kuwait
- Mechanism underlying sevoflurane-induced protection in cerebral ischemia–reperfusion injury
- COVID-19 and SARS-CoV-2: Everything we know so far – A comprehensive review
- Challenge of diabetes mellitus and researchers’ contributions to its control
- Advances in the design and application of transition metal oxide-based supercapacitors
- Color and composition of beauty products formulated with lemongrass essential oil: Cosmetics formulation with lemongrass essential oil
- The structural chemistry of zinc(ii) and nickel(ii) dithiocarbamate complexes
- Bioprospecting for antituberculosis natural products – A review
- Recent progress in direct urea fuel cell
- Rapid Communications
- A comparative morphological study of titanium dioxide surface layer dental implants
- Changes in the antioxidative properties of honeys during their fermentation
- Erratum
- Erratum to “Corrosion study of copper in aqueous sulfuric acid solution in the presence of (2E,5E)-2,5-dibenzylidenecyclopentanone and (2E,5E)-bis[(4-dimethylamino)benzylidene]cyclopentanone: Experimental and theoretical study”
- Erratum to “Modified TDAE petroleum plasticiser”
- Corrigendum
- Corrigendum to “A nitric oxide-releasing prodrug promotes apoptosis in human renal carcinoma cells: Involvement of reactive oxygen species”
- Special Issue on 3rd IC3PE 2020
- Visible light-responsive photocatalyst of SnO2/rGO prepared using Pometia pinnata leaf extract
- Antihyperglycemic activity of Centella asiatica (L.) Urb. leaf ethanol extract SNEDDS in zebrafish (Danio rerio)
- Selection of oil extraction process from Chlorella species of microalgae by using multi-criteria decision analysis technique for biodiesel production
- Special Issue on the 14th Joint Conference of Chemistry (14JCC)
- Synthesis and in vitro cytotoxicity evaluation of isatin-pyrrole derivatives against HepG2 cell line
- CO2 gas separation using mixed matrix membranes based on polyethersulfone/MIL-100(Al)
- Effect of synthesis and activation methods on the character of CoMo/ultrastable Y-zeolite catalysts
- Special Issue on Electrochemical Amplified Sensors
- Enhancement of graphene oxide through β-cyclodextrin composite to sensitive analysis of an antidepressant: Sulpiride
- Investigation of the spectroelectrochemical behavior of quercetin isolated from Zanthoxylum bungeanum
- An electrochemical sensor for high sensitive determination of lysozyme based on the aptamer competition approach
- An improved non-enzymatic electrochemical sensor amplified with CuO nanostructures for sensitive determination of uric acid
- Special Issue on Applied Biochemistry and Biotechnology 2020
- Fast discrimination of avocado oil for different extracted methods using headspace-gas chromatography-ion mobility spectroscopy with PCA based on volatile organic compounds
- Effect of alkali bases on the synthesis of ZnO quantum dots
- Quality evaluation of Cabernet Sauvignon wines in different vintages by 1H nuclear magnetic resonance-based metabolomics
- Special Issue on the Joint Science Congress of Materials and Polymers (ISCMP 2019)
- Diatomaceous Earth: Characterization, thermal modification, and application
- Electrochemical determination of atenolol and propranolol using a carbon paste sensor modified with natural ilmenite
- Special Issue on the Conference of Energy, Fuels, Environment 2020
- Assessment of the mercury contamination of landfilled and recovered foundry waste – a case study
- Primary energy consumption in selected EU Countries compared to global trends
- Modified TDAE petroleum plasticiser
- Use of glycerol waste in lactic acid bacteria metabolism for the production of lactic acid: State of the art in Poland
- Topical Issue on Applications of Mathematics in Chemistry
- Theoretical study of energy, inertia and nullity of phenylene and anthracene
- Banhatti, revan and hyper-indices of silicon carbide Si2C3-III[n,m]
- Topical Issue on Agriculture
- Occurrence of mycotoxins in selected agricultural and commercial products available in eastern Poland
- Special Issue on Ethnobotanical, Phytochemical and Biological Investigation of Medicinal Plants
- Acute and repeated dose 60-day oral toxicity assessment of chemically characterized Berberis hispanica Boiss. and Reut in Wistar rats
- Phytochemical profile, in vitro antioxidant, and anti-protein denaturation activities of Curcuma longa L. rhizome and leaves
- Antiplasmodial potential of Eucalyptus obliqua leaf methanolic extract against Plasmodium vivax: An in vitro study
- Prunus padus L. bark as a functional promoting component in functional herbal infusions – cyclooxygenase-2 inhibitory, antioxidant, and antimicrobial effects
- Molecular and docking studies of tetramethoxy hydroxyflavone compound from Artemisia absinthium against carcinogens found in cigarette smoke
- Special Issue on the Joint Science Congress of Materials and Polymers (ISCMP 2020)
- Preparation of cypress (Cupressus sempervirens L.) essential oil loaded poly(lactic acid) nanofibers
- Influence of mica mineral on flame retardancy and mechanical properties of intumescent flame retardant polypropylene composites
- Production and characterization of thermoplastic elastomer foams based on the styrene–ethylene–butylene–styrene (SEBS) rubber and thermoplastic material
- Special Issue on Applied Chemistry in Agriculture and Food Science
- Impact of essential oils on the development of pathogens of the Fusarium genus and germination parameters of selected crops
- Yield, volume, quality, and reduction of biotic stress influenced by titanium application in oilseed rape, winter wheat, and maize cultivations
- Influence of potato variety on polyphenol profile composition and glycoalcaloid contents of potato juice
- Carryover effect of direct-fed microbial supplementation and early weaning on the growth performance and carcass characteristics of growing Najdi lambs
- Special Issue on Applied Biochemistry and Biotechnology (ABB 2021)
- The electrochemical redox mechanism and antioxidant activity of polyphenolic compounds based on inlaid multi-walled carbon nanotubes-modified graphite electrode
- Study of an adsorption method for trace mercury based on Bacillus subtilis
- Special Issue on The 1st Malaysia International Conference on Nanotechnology & Catalysis (MICNC2021)
- Mitigating membrane biofouling in biofuel cell system – A review
- Mechanical properties of polymeric biomaterials: Modified ePTFE using gamma irradiation
Artikel in diesem Heft
- Regular Articles
- Qualitative and semi-quantitative assessment of anthocyanins in Tibetan hulless barley from different geographical locations by UPLC-QTOF-MS and their antioxidant capacities
- Effect of sodium chloride on the expression of genes involved in the salt tolerance of Bacillus sp. strain “SX4” isolated from salinized greenhouse soil
- GC-MS analysis of mango stem bark extracts (Mangifera indica L.), Haden variety. Possible contribution of volatile compounds to its health effects
- Influence of nanoscale-modified apatite-type calcium phosphates on the biofilm formation by pathogenic microorganisms
- Removal of paracetamol from aqueous solution by containment composites
- Investigating a human pesticide intoxication incident: The importance of robust analytical approaches
- Induction of apoptosis and cell cycle arrest by chloroform fraction of Juniperus phoenicea and chemical constituents analysis
- Recovery of γ-Fe2O3 from copper ore tailings by magnetization roasting and magnetic separation
- Effects of different extraction methods on antioxidant properties of blueberry anthocyanins
- Modeling the removal of methylene blue dye using a graphene oxide/TiO2/SiO2 nanocomposite under sunlight irradiation by intelligent system
- Antimicrobial and antioxidant activities of Cinnamomum cassia essential oil and its application in food preservation
- Full spectrum and genetic algorithm-selected spectrum-based chemometric methods for simultaneous determination of azilsartan medoxomil, chlorthalidone, and azilsartan: Development, validation, and application on commercial dosage form
- Evaluation of the performance of immunoblot and immunodot techniques used to identify autoantibodies in patients with autoimmune diseases
- Computational studies by molecular docking of some antiviral drugs with COVID-19 receptors are an approach to medication for COVID-19
- Synthesis of amides and esters containing furan rings under microwave-assisted conditions
- Simultaneous removal efficiency of H2S and CO2 by high-gravity rotating packed bed: Experiments and simulation
- Design, synthesis, and biological activities of novel thiophene, pyrimidine, pyrazole, pyridine, coumarin and isoxazole: Dydrogesterone derivatives as antitumor agents
- Content and composition analysis of polysaccharides from Blaps rynchopetera and its macrophage phagocytic activity
- A new series of 2,4-thiazolidinediones endowed with potent aldose reductase inhibitory activity
- Assessing encapsulation of curcumin in cocoliposome: In vitro study
- Rare norisodinosterol derivatives from Xenia umbellata: Isolation and anti-proliferative activity
- Comparative study of antioxidant and anticancer activities and HPTLC quantification of rutin in white radish (Raphanus sativus L.) leaves and root extracts grown in Saudi Arabia
- Comparison of adsorption properties of commercial silica and rice husk ash (RHA) silica: A study by NIR spectroscopy
- Sodium borohydride (NaBH4) as a high-capacity material for next-generation sodium-ion capacitors
- Aroma components of tobacco powder from different producing areas based on gas chromatography ion mobility spectrometry
- The effects of salinity on changes in characteristics of soils collected in a saline region of the Mekong Delta, Vietnam
- Synthesis, properties, and activity of MoVTeNbO catalysts modified by zirconia-pillared clays in oxidative dehydrogenation of ethane
- Synthesis and crystal structure of N,N′-bis(4-chlorophenyl)thiourea N,N-dimethylformamide
- Quantitative analysis of volatile compounds of four Chinese traditional liquors by SPME-GC-MS and determination of total phenolic contents and antioxidant activities
- A novel separation method of the valuable components for activated clay production wastewater
- On ve-degree- and ev-degree-based topological properties of crystallographic structure of cuprite Cu2O
- Antihyperglycemic effect and phytochemical investigation of Rubia cordifolia (Indian Madder) leaves extract
- Microsphere molecularly imprinted solid-phase extraction for diazepam analysis using itaconic acid as a monomer in propanol
- A nitric oxide-releasing prodrug promotes apoptosis in human renal carcinoma cells: Involvement of reactive oxygen species
- Machine vision-based driving and feedback scheme for digital microfluidics system
- Study on the application of a steam-foam drive profile modification technology for heavy oil reservoir development
- Ni–Ru-containing mixed oxide-based composites as precursors for ethanol steam reforming catalysts: Effect of the synthesis methods on the structural and catalytic properties
- Preparation of composite soybean straw-based materials by LDHs modifying as a solid sorbent for removal of Pb(ii) from water samples
- Synthesis and spectral characterizations of vanadyl(ii) and chromium(iii) mixed ligand complexes containing metformin drug and glycine amino acid
- In vitro evaluation of lactic acid bacteria with probiotic activity isolated from local pickled leaf mustard from Wuwei in Anhui as substitutes for chemical synthetic additives
- Utilization and simulation of innovative new binuclear Co(ii), Ni(ii), Cu(ii), and Zn(ii) diimine Schiff base complexes in sterilization and coronavirus resistance (Covid-19)
- Phosphorylation of Pit-1 by cyclin-dependent kinase 5 at serine 126 is associated with cell proliferation and poor prognosis in prolactinomas
- Molecularly imprinted membrane for transport of urea, creatinine, and vitamin B12 as a hemodialysis candidate membrane
- Optimization of Murrayafoline A ethanol extraction process from the roots of Glycosmis stenocarpa, and evaluation of its Tumorigenesis inhibition activity on Hep-G2 cells
- Highly sensitive determination of α-lipoic acid in pharmaceuticals on a boron-doped diamond electrode
- Synthesis, chemo-informatics, and anticancer evaluation of fluorophenyl-isoxazole derivatives
- In vitro and in vivo investigation of polypharmacology of propolis extract as anticancer, antibacterial, anti-inflammatory, and chemical properties
- Topological indices of bipolar fuzzy incidence graph
- Preparation of Fe3O4@SiO2–ZnO catalyst and its catalytic synthesis of rosin glycol ester
- Construction of a new luminescent Cd(ii) compound for the detection of Fe3+ and treatment of Hepatitis B
- Investigation of bovine serum albumin aggregation upon exposure to silver(i) and copper(ii) metal ions using Zetasizer
- Discoloration of methylene blue at neutral pH by heterogeneous photo-Fenton-like reactions using crystalline and amorphous iron oxides
- Optimized extraction of polyphenols from leaves of Rosemary (Rosmarinus officinalis L.) grown in Lam Dong province, Vietnam, and evaluation of their antioxidant capacity
- Synthesis of novel thiourea-/urea-benzimidazole derivatives as anticancer agents
- Potency and selectivity indices of Myristica fragrans Houtt. mace chloroform extract against non-clinical and clinical human pathogens
- Simple modifications of nicotinic, isonicotinic, and 2,6-dichloroisonicotinic acids toward new weapons against plant diseases
- Synthesis, optical and structural characterisation of ZnS nanoparticles derived from Zn(ii) dithiocarbamate complexes
- Presence of short and cyclic peptides in Acacia and Ziziphus honeys may potentiate their medicinal values
- The role of vitamin D deficiency and elevated inflammatory biomarkers as risk factors for the progression of diabetic nephropathy in patients with type 2 diabetes mellitus
- Quantitative structure–activity relationship study on prolonged anticonvulsant activity of terpene derivatives in pentylenetetrazole test
- GADD45B induced the enhancing of cell viability and proliferation in radiotherapy and increased the radioresistance of HONE1 cells
- Cannabis sativa L. chemical compositions as potential plasmodium falciparum dihydrofolate reductase-thymidinesynthase enzyme inhibitors: An in silico study for drug development
- Dynamics of λ-cyhalothrin disappearance and expression of selected P450 genes in bees depending on the ambient temperature
- Identification of synthetic cannabinoid methyl 2-{[1-(cyclohexylmethyl)-1H-indol-3-yl] formamido}-3-methylbutanoate using modern mass spectrometry and nuclear magnetic resonance techniques
- Study on the speciation of arsenic in the genuine medicinal material honeysuckle
- Two Cu(ii)-based coordination polymers: Crystal structures and treatment activity on periodontitis
- Conversion of furfuryl alcohol to ethyl levulinate in the presence of mesoporous aluminosilicate catalyst
- Review Articles
- Hsien Wu and his major contributions to the chemical era of immunology
- Overview of the major classes of new psychoactive substances, psychoactive effects, analytical determination and conformational analysis of selected illegal drugs
- An overview of persistent organic pollutants along the coastal environment of Kuwait
- Mechanism underlying sevoflurane-induced protection in cerebral ischemia–reperfusion injury
- COVID-19 and SARS-CoV-2: Everything we know so far – A comprehensive review
- Challenge of diabetes mellitus and researchers’ contributions to its control
- Advances in the design and application of transition metal oxide-based supercapacitors
- Color and composition of beauty products formulated with lemongrass essential oil: Cosmetics formulation with lemongrass essential oil
- The structural chemistry of zinc(ii) and nickel(ii) dithiocarbamate complexes
- Bioprospecting for antituberculosis natural products – A review
- Recent progress in direct urea fuel cell
- Rapid Communications
- A comparative morphological study of titanium dioxide surface layer dental implants
- Changes in the antioxidative properties of honeys during their fermentation
- Erratum
- Erratum to “Corrosion study of copper in aqueous sulfuric acid solution in the presence of (2E,5E)-2,5-dibenzylidenecyclopentanone and (2E,5E)-bis[(4-dimethylamino)benzylidene]cyclopentanone: Experimental and theoretical study”
- Erratum to “Modified TDAE petroleum plasticiser”
- Corrigendum
- Corrigendum to “A nitric oxide-releasing prodrug promotes apoptosis in human renal carcinoma cells: Involvement of reactive oxygen species”
- Special Issue on 3rd IC3PE 2020
- Visible light-responsive photocatalyst of SnO2/rGO prepared using Pometia pinnata leaf extract
- Antihyperglycemic activity of Centella asiatica (L.) Urb. leaf ethanol extract SNEDDS in zebrafish (Danio rerio)
- Selection of oil extraction process from Chlorella species of microalgae by using multi-criteria decision analysis technique for biodiesel production
- Special Issue on the 14th Joint Conference of Chemistry (14JCC)
- Synthesis and in vitro cytotoxicity evaluation of isatin-pyrrole derivatives against HepG2 cell line
- CO2 gas separation using mixed matrix membranes based on polyethersulfone/MIL-100(Al)
- Effect of synthesis and activation methods on the character of CoMo/ultrastable Y-zeolite catalysts
- Special Issue on Electrochemical Amplified Sensors
- Enhancement of graphene oxide through β-cyclodextrin composite to sensitive analysis of an antidepressant: Sulpiride
- Investigation of the spectroelectrochemical behavior of quercetin isolated from Zanthoxylum bungeanum
- An electrochemical sensor for high sensitive determination of lysozyme based on the aptamer competition approach
- An improved non-enzymatic electrochemical sensor amplified with CuO nanostructures for sensitive determination of uric acid
- Special Issue on Applied Biochemistry and Biotechnology 2020
- Fast discrimination of avocado oil for different extracted methods using headspace-gas chromatography-ion mobility spectroscopy with PCA based on volatile organic compounds
- Effect of alkali bases on the synthesis of ZnO quantum dots
- Quality evaluation of Cabernet Sauvignon wines in different vintages by 1H nuclear magnetic resonance-based metabolomics
- Special Issue on the Joint Science Congress of Materials and Polymers (ISCMP 2019)
- Diatomaceous Earth: Characterization, thermal modification, and application
- Electrochemical determination of atenolol and propranolol using a carbon paste sensor modified with natural ilmenite
- Special Issue on the Conference of Energy, Fuels, Environment 2020
- Assessment of the mercury contamination of landfilled and recovered foundry waste – a case study
- Primary energy consumption in selected EU Countries compared to global trends
- Modified TDAE petroleum plasticiser
- Use of glycerol waste in lactic acid bacteria metabolism for the production of lactic acid: State of the art in Poland
- Topical Issue on Applications of Mathematics in Chemistry
- Theoretical study of energy, inertia and nullity of phenylene and anthracene
- Banhatti, revan and hyper-indices of silicon carbide Si2C3-III[n,m]
- Topical Issue on Agriculture
- Occurrence of mycotoxins in selected agricultural and commercial products available in eastern Poland
- Special Issue on Ethnobotanical, Phytochemical and Biological Investigation of Medicinal Plants
- Acute and repeated dose 60-day oral toxicity assessment of chemically characterized Berberis hispanica Boiss. and Reut in Wistar rats
- Phytochemical profile, in vitro antioxidant, and anti-protein denaturation activities of Curcuma longa L. rhizome and leaves
- Antiplasmodial potential of Eucalyptus obliqua leaf methanolic extract against Plasmodium vivax: An in vitro study
- Prunus padus L. bark as a functional promoting component in functional herbal infusions – cyclooxygenase-2 inhibitory, antioxidant, and antimicrobial effects
- Molecular and docking studies of tetramethoxy hydroxyflavone compound from Artemisia absinthium against carcinogens found in cigarette smoke
- Special Issue on the Joint Science Congress of Materials and Polymers (ISCMP 2020)
- Preparation of cypress (Cupressus sempervirens L.) essential oil loaded poly(lactic acid) nanofibers
- Influence of mica mineral on flame retardancy and mechanical properties of intumescent flame retardant polypropylene composites
- Production and characterization of thermoplastic elastomer foams based on the styrene–ethylene–butylene–styrene (SEBS) rubber and thermoplastic material
- Special Issue on Applied Chemistry in Agriculture and Food Science
- Impact of essential oils on the development of pathogens of the Fusarium genus and germination parameters of selected crops
- Yield, volume, quality, and reduction of biotic stress influenced by titanium application in oilseed rape, winter wheat, and maize cultivations
- Influence of potato variety on polyphenol profile composition and glycoalcaloid contents of potato juice
- Carryover effect of direct-fed microbial supplementation and early weaning on the growth performance and carcass characteristics of growing Najdi lambs
- Special Issue on Applied Biochemistry and Biotechnology (ABB 2021)
- The electrochemical redox mechanism and antioxidant activity of polyphenolic compounds based on inlaid multi-walled carbon nanotubes-modified graphite electrode
- Study of an adsorption method for trace mercury based on Bacillus subtilis
- Special Issue on The 1st Malaysia International Conference on Nanotechnology & Catalysis (MICNC2021)
- Mitigating membrane biofouling in biofuel cell system – A review
- Mechanical properties of polymeric biomaterials: Modified ePTFE using gamma irradiation