Abstract
Sex hormone-binding globulin (SHBG) is a serum glycoprotein exhibiting the unique feature of binding sex steroids with high affinity and specificity. Over the past few decades, there have been significant breakthroughs in our understanding of the function and regulation of SHBG. The biological role of SHBG has expanded from being considered a simple sex hormone transporter to being associated with several complex physiological and pathological changes in a variety of target tissues. Many factors can affect the plasma SHBG levels, with fluctuations in circulating levels affecting the development of various diseases, such as increasing the risk of developing breast cancer. This article reviews the clinical significance of changes in circulating SHBG levels in the development of breast cancer and the possible influence of these levels on endocrine drug resistance in hormone receptor-positive breast cancer. Higher levels of plasma SHBG significantly reduce the risk of estrogen receptor-positive breast cancer, especially in postmenopausal women. Moreover, the molecular mechanisms by which SHBG affects breast cancer risk are also summarized in detail. Finally, transcriptomics and proteomics data revealed that SHBG expression in breast tissue can effectively distinguish breast cancer from normal tissue. Additionally, the association between SHBG expression levels and various classical tumor-related pathways was investigated.
1 Introduction
Sex hormone-binding globulin (SHBG) is a homodimer plasma glycoprotein of 90–100 kDa that is produced mainly by hepatocytes and then secreted into the blood. SHBG is encoded by a single gene located on the short arm of chromosome 17 [1]. Although circulating SHBG is synthesized mainly in the liver, its genes are also expressed in the brain, uterus, breast, ovary, placenta, prostate, and testes [2,3]. Over the years, SHBG has generally been considered only as a passive carrier protein of sex hormones with a high affinity for androgen and estrogen that combines mainly with these sex hormones in the blood to adjust their bioavailability [4,5]. However, in the past few decades, its biological role has expanded from being a transporter or storage of sex hormones to affecting a variety of physiological and pathological changes in a variety of tissues and organs [6].
Currently, the commonly used endocrine therapy drugs for treating breast cancer include selective estrogen receptor modulators (SERMs), selective estrogen receptor down-regulators (SERDs), and aromatase inhibitors (AIs). These agents are generally only used for hormone receptor-positive breast cancer [7]. The SERM, tamoxifen, has a molecular structure similar to that of estrogen and competes with estradiol for receptors in the target organ. However, as the drug does not have the biological role of estradiol, it inhibits the growth of tumor cells [8]. SERDs such as fulvestrant also have an anti-breast cancer role by inducing degradation of the estrogen receptor (ER), blocking ER transcriptional activity, and reducing the mobility of nuclear ERs [9]. AIs such as anastrozole, letrozole, and exemestane are used commonly in breast cancer treatment to inhibit the CYP450 family aromatase, block the transformation of androgens secreted by peripheral tissues into estrogen [10], and reduce the systemic estrogen level of postmenopausal patients. Today, endocrine therapy plays an important role in adjuvant postoperative therapy for early ER-positive breast cancer to prevent recurrence and reduce mortality and also in advanced metastatic ER-positive breast cancer to prolong survival, maintain quality-of-life, or delay chemotherapy intervention [11]. Estrogen antagonists are the main drug used for this purpose because estrogen dependence on cell growth in ER-positive breast cancer patients often persists after several anti-estrogen treatments. Unfortunately, a part of ER-positive breast cancer patients are insensitive to endocrine therapy due to primary and secondary drug resistance [12,13].
This article reviews the clinical significance of changes in circulating SHBG levels in the development of breast cancer and the possible influence of these levels on endocrine drug resistance in hormone receptor-positive breast cancer. Additionally, the molecular mechanisms by which SHBG affects breast cancer risk are also summarized in detail. However, there is a paucity of research on the correlation between local SHBG expression and breast cancer. By means of bioinformatics analysis, we found that SHBG expression in breast tissue can effectively distinguish breast cancer from normal tissue and investigated the association between SHBG expression levels and several tumor-related pathways.
2 Plasma SHBG levels are considered as biomarkers of human disease
In the past few decades, it was found that the cell membranes of many tissues express SHBG receptors [14] and that circulating SHBG molecules can enter cells. The binding of SHBG to its receptor has been shown to induce activation of cyclic adenosine monophosphate (cAMP) [15]. This intracellular signal transduction pathway is important for many biological processes, including cancer growth [16]. Recent studies have emphasized the potential value of measuring SHBG levels for assessing the risk of a variety of other diseases. Of these, a low SHBG level is associated with metabolic syndrome, obesity, insulin resistance and type 2 diabetes, hypothyroidism, hormone excess (androgen, progestin, growth hormone, and glucocorticoid), and a higher risk of cardiovascular disease and breast cancer [17,18,19,20], while conditions associated with an increased SHBG level include aging, hyperthyroidism, liver disease, human immunodeficiency virus disease, bone loss, and a higher risk of fracture [21,22]. These findings have important implications for developing preventive measures for various diseases. However, the change in SHBG level is only a biomarker, and further studies are required to establish whether SHBG is actively involved in the pathogenesis of the above-mentioned diseases. In addition, although the role of SHBG in the development of breast cancer is complex and may play different roles according to the immunohistochemical phenotype of the ER [20], observational data have shown that circulating SHBG concentration correlates negatively with the risk of postmenopausal breast cancer, especially ER-positive breast cancer [23].
The molecular characteristics of SHBG may provide a potential new target for preventive or therapeutic interventions [24]. However, it is necessary to further study its molecular mechanisms and investigate its potential therapeutic effects. As the structure and function of SHBG are clarified in greater detail, the specific downstream effects of the SHBG receptor complex in intracellular signal transduction will be worthy of further study.
3 Clinical significance of SHBG levels in predicting breast cancer development
Plasma SHBG levels are not only associated with a variety of benign endocrine diseases [25,26,27] but also affect the incidence of several sex hormone-dependent malignancies [28], such as low levels of circulating SHBG may increase the risk of breast, endometrial, and prostate cancer [29,30]. Perhaps because breast cancer is the most common malignancy in women and also the most common sex hormone-dependent tumor [31], SHBG and breast cancer have been significantly more studied than the latter two cancers. In addition, existing studies have focused on the morbidity of overall breast cancer, suggesting that low SHBG levels increase the risk of breast cancer compared to controls [32]. A small number of studies based on tumor receptor status have concluded that low SHBG levels increase the risk of ER-positive breast cancer more significantly than overall breast cancer [20]. Researchers tend to get more statistically significant results when studying the onset of postmenopausal breast cancer [33], whereas the correlation is often less significant in premenopausal breast cancer studies [34,35]. This review shows some recent studies involving plasma SHBG levels and breast cancer risk (Table 1).
Studies on plasma SHBG levels and the incidence of breast cancer
Study | Source | Cases | Controls or total | HR or OR (95% CI) | p-value | References |
---|---|---|---|---|---|---|
James et al. (2011) | Germany | 378 | 596 | 0.71 (0.51–1.00) | 0.0400 | [36] |
Sieri et al. (2012) | Italy | 356 | 1,537 | 0.72 (0.51–1.02) | 0.0700 | [32] |
Fourkala et al. (2012) | UK | 200 | 400 | 0.48 (0.25–0.89) | 0.0220 | [37] |
Zhang et al. (2013) | USA | 258 | 515 | 0.68 (0.44–1.04) | 0.0400 | [38] |
Duggan et al. (2016) | USA | 43a | 358 | 0.48 (0.26–0.89) | 0.0200 | [39] |
102b | 0.64 (0.43–0.97) | 0.0400 | ||||
Hüsing et al. (2017) | EPIC cohort* | 787 | 1,292 | 0.86 (0.77–0.96) | 0.0074 | [34] |
Dimou et al. (2019) | Greece | 122,977c | 105,974 | 0.94 (0.90–0.98) | 0.0060 | [20] |
69,501d | 95,042 | 0.92 (0.87–0.97) | 0.0030 | |||
Arthur et al. (2020) | UK | 492 | 120,516 | 0.75 (0.56–0.99) | 0.0280 | [40] |
Watts et al. (2021) | UK Biobank | 1,870 | 111,170 | 0.88 (0.83–0.94) | 0.0002 | [30] |
Arthur et al. (2021) | UK Biobank | 890 | 43,373e | 0.70 (0.56–0.88) | 0.0010 | [41] |
Tin et al. (2021) | UK Biobank | 2,997 | 133,294 | 0.89 (0.84–0.94) | — | [35] |
Chen et al. (2022) | USA/China | — | — | 0.83 (0.73–0.94) | — | [42] |
*EPIC cohort: European Prospective Investigation into Cancer and Nutrition (EPIC) cohort.
aBreast cancer-specific mortality; bAll-cause mortality; cOverall breast cancer; dER+ ve disease; eNon-cases.
4 Mechanisms by which low plasma SHBG levels promote breast cancer
4.1 Plasma SHBG regulates free sex hormone levels
SHBG is a specific binding protein with a high affinity for sex hormones and binds androgens and estrogens with nanoscale affinity. As a consequence, SHBG acts as the main transporter and recognized regulator of sex hormones in plasma [43]. According to the free hormone hypothesis, the biological activity of sex hormones is affected by their free concentration in the circulation [44]. This provides a mechanism by which SHBG may regulate the action of sex hormones. Sex hormones that are not bound to SHBG are considered to be bioavailable and circulate freely (about 13% of the total) or are bound loosely to other proteins, such as albumin. In this way, the level of free available sex hormones in plasma is influenced greatly by the concentration of SHBG [21].
Lower levels of SHBG indicate higher levels of both free estrogen and androgen. In addition, in women, as a result of SHBG having a higher affinity for testosterone than for estradiol, a reduction in its plasma level causes the circulating androgen system to become relatively active. This results in reduced sensitivity of the hypothalamus to the luteinizing hormone (LH) pulse, leading to excessive production of the gonadotropin-releasing hormone that stimulates the pituitary gland and release of LH to promote the total level of estrogen and androgen [1]. In addition, estrogen promotes SHBG synthesis, while androgen inhibits its expression. Therefore, increased SHBG levels indicate a relative greater activation of estrogen compared to that of androgen [45]. Nevertheless, under these conditions, the absolute level of free estrogen is reduced.
4.2 SHBG reduces the risk of ER-positive breast cancer by downregulating free estrogen levels
Endogenous steroid hormones play a central role in the development of breast cancer, with lifetime exposure related to elevated circulating estrogen concentration. This increase is associated with recognized risk factors for breast cancer, such as an early age of menarche, late first-term delivery, childless, late menopause age, and need for hormone replacement therapy [46]. Multi-observational studies have confirmed the relationship between estrogen and androgen and the high risk of premenopausal breast cancer [47] and postmenopausal ER-positive breast cancer [48]. SHBG is one of the factors that regulate estrogen balance, and therefore, it must be considered when assessing the risk of breast cancer in elderly women. Key et al. analyzed personal data from nine prospective studies [23] that included 663 women with breast cancer and 1,765 women without breast cancer and indicated a significant correlation between higher levels of sex hormones and an increased risk of breast cancer, with increased SHBG levels related to a reduced risk of breast cancer. Other studies have also reported that not only high estrogen levels but also increased circulating testosterone levels have a significant effect on ER-positive breast cancer [49]. This finding indicates that higher androgen levels after menopause are more conducive to the conversion of estrogen [50]. Therefore, a decrease in the SHBG level leads to an increase in circulating free sex hormones, which promotes the proliferation of mammary epithelial cells and inhibits cell apoptosis, thereby preventing the destruction of precancerous cells [51] and increasing the risk of postmenopausal breast cancer, especially ER-positive breast cancer.
4.3 SHBG interacts with breast cancer cell membranes through receptors and affects intracellular pathways
The membrane interaction of SHBG with estrogen-dependent MCF-7 breast cancer cells is a time- and temperature-dependent highly specific binding relationship, which implies SHBG interacts with the membrane through a receptor capable of associating its extracellular macromolecular ligand with intracellular pathways [52]. The cell membrane can only bind with SHBG, which is free from steroids. If it binds to the sex hormone first, the interaction between SHBG and the cell will be inhibited, whereas when SHBG binds to the membrane first, it has the same affinity with the steroid as when in solution [53] (Figure 1). This relationship is consistent with the previous description that only free sex hormones are biologically active. The sensitivity of breast cancer cells to estrogen is closely associated with the interaction between SHBG and cell membranes. The binding site of SHBG has been characterized in ERα-positive MCF-7 cells, while no binding site has been detected on ERα-negative and estrogen-insensitive MDA-MB 231 cells [54]. In tissue samples from breast cancer patients, the proliferation rate of samples with a steroid-binding protein receptor bound with SHBG was reduced significantly compared to samples that could not bind with SHBG [55].
![Figure 1
(a) SHBG interacts with the membrane through a receptor. If SHBG binds to the sex hormone first, the interaction between it and the cell will be inhibited, whereas when a macromolecule binds to the membrane first, it has the same affinity with the steroid as when in solution. (b) The binding of SHBG to the MCF-7 cell membrane results in a signaling cascade. E2, estradiol; ERm, membrane estrogen receptors; mERα, membrane-bound estrogen receptors alpha; ERα, estrogen receptor alpha. Partially prepared from previous studies [52,56].](/document/doi/10.1515/biol-2022-0822/asset/graphic/j_biol-2022-0822_fig_001.jpg)
(a) SHBG interacts with the membrane through a receptor. If SHBG binds to the sex hormone first, the interaction between it and the cell will be inhibited, whereas when a macromolecule binds to the membrane first, it has the same affinity with the steroid as when in solution. (b) The binding of SHBG to the MCF-7 cell membrane results in a signaling cascade. E2, estradiol; ERm, membrane estrogen receptors; mERα, membrane-bound estrogen receptors alpha; ERα, estrogen receptor alpha. Partially prepared from previous studies [52,56].
When SHBG binds to the MCF-7 cell membrane, it initiates a signaling cascade, leading to an increase in intracellular cAMP induced by estradiol. This increase in cAMP level and activation of its target protein, PKA, inhibits estradiol-induced activation of ERK, a member of the mitogen-activated protein kinase family that plays a critical role in regulating cell proliferation. This inhibition of ERK reduces the antiapoptotic effect induced by estradiol, thereby inhibiting the proliferation of breast cancer cells [56] (Figure 1).
4.4 SHBG interferes with the ability of estradiol to regulate genes in breast cancer cells
Several genes are affected by SHBG, including those involved in cell growth, apoptosis control, or estrogen dependence in cells [52]. For example, SHBG downregulates the proto-oncogenes, bcl-2 and c-myc, and the growth factor receptor [52]. Proto-oncogene bcl-2 expresses antiapoptotic protein and is overexpressed in breast cancer [57]. The capacity of SHBG to suppress bcl-2 expression counteracts the typical gene amplification caused by estradiol, which may be one of the mechanisms of SHBG binding to its membrane receptor and then combining with estrogen to induce recovery of apoptosis in breast cancer cells. Several factors in the cell cycle play an important role in ER-positive breast cancer. Studies have shown that ER antagonists reduce the expression of cyclin D, with continuous expression of cyclin D known to lead to anti-estrogen drug resistance [58]. In breast cancer cells, oncogene c-myc is upregulated by estradiol and then impacts several key cell cycle regulatory targets. In particular, c-myc regulates the expression and activity of cyclin D, cyclin E, CDK4, and CDK6 [59,60], thereby affecting cell cycle progression. However, SHBG inhibits estradiol-induced c-myc expression, resulting in the elimination of the amplification effect on the positive regulation of the cell cycle and growth induced by estradiol. This prevents the overexpression of cyclin, which, in turn, prevents the generation of anti-estrogen drug resistance, changes that are conducive to improving the effect of endocrine therapy. Activation of the growth factor receptor pathway is also associated closely with endocrine resistance in ER-positive breast cancer. For example, overexpression or amplification of HER2, a member of the epidermal growth factor receptor (EGFR) family, can lead to resistance to endocrine drugs [61]. EGFR overexpression may be caused by estradiol, while activation of its derived signaling pathways amplifies the role of estradiol in breast cancer [62,63]. Therefore, SHBG disrupts the loop connecting the two pathways by inhibiting estradiol-induced EGFR expression, thereby reducing the growth of breast cancer cells (Figure 2).

(a) Estradiol induced bcl-2 overexpression and inhibited apoptosis; SHBG interferes with estrogen, downregulates Bcl-2, and restores apoptosis. (b) Estradiol induced c-myc overexpression and promoted cell circulation; SHBG interferes with estradiol, downregulates c-myc, and inhibits DNA replication. (c) Estradiol induced EGFR overexpression, while activation of EGFR-derived signaling pathways amplified the role of estradiol; SHBG disrupts the loop connecting the two pathways by inhibiting estradiol-induced EGFR expression, thereby reducing the growth of breast cancer cells. E2, estradiol; EGFR, epidermal growth factor receptor; Src, tyrosine-protein kinase; Grb2, growth factor receptor-bound protein 2; SOS, son of sevenless; Partially prepared from KEGG database (map01522).
5 A decrease in SHBG levels promotes endocrine therapy resistance in ER-positive breast cancer
Definitions of drug resistance to ER-positive breast cancer vary in international treatment guidelines, but most are based on the duration of the response to endocrine therapy or the time to recurrence after completion of endocrine therapy. For example, according to the guidelines of the European Society of Oncology (ESMO) for metastatic breast cancer [64], primary endocrine resistance can be defined as recurrence within the first 2 years of adjuvant endocrine therapy or progression in the first 6 months of first-line endocrine therapy. Secondary resistance was defined as recurrence 2 years after initiation of adjuvant endocrine therapy, recurrence within the first 12 months after completion of adjuvant therapy, or progression of metastatic breast cancer 6 months after initiation of endocrine therapy. The definition of endocrine therapy resistance provides a broader space for investigating the role of SHBG in endocrine therapy resistance. Because only the impact of SHBG on the therapeutic effect and recurrence risk of breast cancer during and after endocrine therapy needs to be analyzed, this is beneficial for clarifying the correlation between SHBG changes and endocrine therapy resistance of ER-positive breast cancer (Figure 3).
![Figure 3
SHBG, estradiol, breast cancer, and endocrine resistance. Partially prepared from the study of Fortunati et al. [52].](/document/doi/10.1515/biol-2022-0822/asset/graphic/j_biol-2022-0822_fig_003.jpg)
SHBG, estradiol, breast cancer, and endocrine resistance. Partially prepared from the study of Fortunati et al. [52].
5.1 Decreased SHBG levels reduce the efficacy of endocrine drugs by increasing free estrogen levels
Tamoxifen is used mainly in endocrine therapy for premenopausal ER-positive breast cancer [65]. SHBG levels in healthy women increase gradually before menopause [45]. A decrease in SHBG levels not caused by sex hormone changes can lead to an increase in free estrogen and free androgen, with the increase in free androgen stimulating the release of LH to further enhance estrogen levels by blocking the negative feedback regulation of estrogen and progesterone to LH [66]. Tamoxifen works by competing with estrogen for receptors, and if more estrogen is available, tamoxifen treatment may be less effective, or at a higher dose may even lead to an increased risk of relapse after completion of treatment and withdrawal.
AI drugs are used mainly to treat postmenopausal ER-positive breast cancer [67]. After menopause, SHBG levels in healthy women decline in the short term and then increase [68]. The short-term decline in SHBG may be related to a sudden reduction in estrogen after menopause, which does not have a lasting impact on the effect of endocrine therapy. However, in the long term, if SHBG decreases too much, the levels may remain low for a long time and then rise slowly, or if SHBG decreases in postmenopausal women due to other factors, free androgens will increase. This change is more conducive to the transformation and production of estrogen, thereby reducing the effect of endocrine therapy drugs.
5.2 Antagonistic effects of SHBG on estrogen in ER-positive breast cancer cells help to improve endocrine therapy
The membrane initiation pathways of SHBG and estrogen function at different levels, either in the membrane or at the ERK site, ultimately inhibiting cell proliferation and inducing apoptosis, which is beneficial for improving the effect of endocrine therapy and reducing the risk of recurrence after treatment. In addition, by preventing estradiol from upregulating bcl-2, c-myc, and EGFR [52], SHBG is conducive to the recovery of the apoptosis mechanism of breast cancer cells. However, it is not conducive to excessive replication and amplification of cancer cells and also not conducive to the negative role of estrogen in the occurrence and development of breast cancer. These effects may improve the efficacy of endocrine therapy on ER-positive breast cancer and reduce the occurrence of drug resistance. In contrast, the decline in SHBG level may promote the occurrence of drug resistance.
6 Analyzing the molecular mechanisms of SHBG affecting breast cancer based on transcriptomics and proteomics data
Despite numerous studies on the impact of SHBG in plasma on breast cancer risk, there remains a lack of research into the effects of local SHBG expression within the breast. To further validate the predictive ability of SHBG for breast cancer risk, we analyzed SHBG expression in both normal and cancerous breast tissues using data from the Cancer Genome Atlas (TCGA) database and the Genotype Tissue Expression Project (GTEx) database (TCGA: https://portal.gdc.cancer.gov/; GTEx: https://commonfund.nih.gov/gtex). Our results were also validated by proteomic data of CPTAC samples from the UALCAN (https://ualcan.path.uab.edu) [69,70,71,72].
6.1 Data and methods
We obtained the TPM format RNA-sequencing data of TCGA-BRCA (1,099 tumor samples; 113 para-cancer samples) and GTEx (179 normal samples) for breast cancer analysis. TCGA + GTEx samples were used for differential expression analysis by the Wilcoxon rank sum test, including 1,099 tumor samples RNA sequencing data and 292 non-tumor data (Figure 4a). A paired samples t-test was used for differential expression analysis, using 113 pairs of matched tumor and paracancerous data from the TCGA samples (Figure 4b). The data are analyzed using the Xiantao academic analysis tool (https://www.xiantaozi.com/products) [73], where visualization was implemented through the R (version 4.2.1), stats[4.2.1] package, car package, and ggplot 2 [3.3.6] package.

SHBG expression levels in normal breast tissue and breast tumors. (a) The expression level of SHBG in breast cancer tissue is lower than that in normal breast tissue, based on RNA sequencing data from TCGA and GTEx databases, with p < 0.001. (b) Differential expression of SHBG in paired samples of breast cancer patients from TCGA database. (c) The predictive efficacy of SHBG for breast cancer, by receiver operating characteristic (ROC) curve and area under curve (AUC). SHBG proteomic expression profile based on (d) sample types, (e) major subclass, and (f) tumor histology. ***, p < 0.001; *, p < 0.05.
We obtained the SHBG proteomic expression profile based on sample types, major subclass, and tumor histology by using the UALCAN-CPTAC dataset (Figure 4d–f). The resulting figures were analyzed and downloaded directly online and retouched in Adobe Illustrator.
Furthermore, we performed a systematical evaluation of somatic alterations at the pathway level in breast cancer using the CPTAC dataset, which combined proteomic, whole-exome, and copy number alteration data. This involved critical pathways and genes that were previously annotated across multiple cancer types based on domain knowledge (pathway annotations from PMID: 33568653) [74,75].
6.2 Results
In breast cancer samples, the level of SHBG expression was considerably lower than in normal breast tissues, as indicated in Figure 4a (p < 0.001). Moreover, SHBG exhibited low expression in 113 matched breast cancer tissues with a p-value of less than 0.001, as shown in Figure 4b. In addition, SHBG expression exhibited an area under the ROC curve (AUC) of 0.768 (95% confidence interval [CI]: 0.739–0.797) for discriminating breast cancer from normal tissues, as depicted in Figure 4c, indicating its potential as a reliable predictor.
The expression level of SHBG protein in primary breast cancer is lower than that in normal tissue (Figure 4d, p < 0.001), regardless of breast cancer subclass (Figure 4e, all p < 0.001). In addition, in the results based on tumor histology, SHBG protein expression was significantly lower in infiltrating ductal carcinoma, infiltrating lobular carcinoma, and mixed histology (Figure 4f, all p < 0.05).
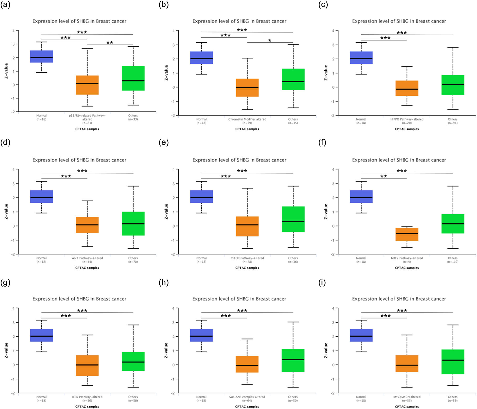
A total of nine pathways were analyzed, including the status of the p53/Rb-related pathway, chromatin modifier, HIPPO pathway, WNT pathway, mTOR pathway, NRF2 pathway, RTK pathway, SWI-SNF complex, and MYC/MYCN. The expression of SHBG was lower in all samples with altered pathways compared to the normal control groups (Figure 5a–i; all p < 0.01). Meanwhile, the expression of SHBG was lower in samples with altered p53/Rb-related pathways or chromatin modifiers than in their respective corresponding samples with unaltered pathways (Figure 5a and b; p < 0.05). These findings suggest that the low expression of SHBG in the breast may be associated with the nine tumor-related pathways mentioned above, particularly alterations in p53/Rb-related pathway status and chromatin modifier status, thus confirming that low SHBG expression may be a risk factor for breast cancer development.

SHBG proteomic expression profile and its association with common tumor-related molecular pathways. (a–i) Pathway-level somatic alterations across tumors, involving key pathways and genes previously annotated across multiple cancer types based on domain knowledge (pathway annotations from PMID: 33568653), with all p value < 0.001. ***, p < 0.001; **, p < 0.01; *, p < 0.05.
7 Conclusions and perspectives
Changes in human SHBG levels are influenced by many in vivo and in vitro factors and have been found to have a wide range of clinical implications. Many of these factors cause changes in SHBG levels and include estrogen level, age, glucose metabolism, and a diet high in fat, all of which are also generally believed to be related to the incidence of breast cancer. In addition, gene polymorphisms are also important factors affecting SHBG levels, and more in-depth studies are needed in the future [76,77]. We can exert positive effects on serum SHBG by modulating some known factors [25]. For example, (1) encourage a sensible diet, reducing fat and sugar and increasing dietary fiber intake; (2) moderately increase physical exercise [78] to relieve obesity and fatty liver [79]; and (3) control good thyroid metabolism and glucose metabolism levels.
Studies and published literature have shown that SHBG levels are related to breast cancer. Increased plasma SHBG levels can act through the following mechanisms: (1) downregulation of free estrogen levels; (2) binding to the membrane SHBG receptor and interfering with the role of estrogen in breast cancer cells; and (3) inhibiting the ability of estrogen to regulate cancer-related genes. These effects can help to fight breast cancer, improve the effect of endocrine therapy for ER-positive breast cancer, and hopefully reduce the risk of recurrence after endocrine therapy and the occurrence of drug resistance. Not only are changes in plasma SHBG clinically significant, but SHBG generated locally in the mammary gland is also more likely to produce noteworthy effects. For example, we found that the expression level of SHBG in breast cancer tissue is significantly lower than that in normal tissue through transcriptomics and proteomics analysis, and the decreased expression of SHBG in breast tissue may be associated with alterations in multiple pathways related to tumorigenesis. If it is possible to specifically increase the synthesis of SHBG by breast tissue cells in the future, this may have a significant positive effect in the treatment of ER positive breast cancer.
Unfortunately, SHBG has not shown a positive effect on hormone-receptor-negative breast cancer, such as triple-negative breast cancer, which is less incident. Meanwhile, in the few studies in premenopausal patients, although there is a trend to show positive results, these findings are often not statistically significant, which may be related to insufficient sample size and data analysis design. In order to obtain more accurate results, it is necessary to increase the data of these patients in future studies and design more reasonable data collection and statistical analysis methods. Furthermore, among the most widely utilized SERMs, tamoxifen not only exhibits competitive inhibition of estrogen but also occasionally exerts estrogen-like effects in certain tissues, such as the endometrium, bone, and heart tissues [80,81]. This particular attribute has been linked to potential resistance to endocrine therapy [82]. The authors propose that tamoxifen’s estrogen-like activity could potentially impede the beneficial impacts of SHBG in the endocrine treatment of premenopausal patients with ER-positive conditions. In other words, maintaining moderate SHBG levels may potentially mitigate the development of tamoxifen resistance arising from the estrogen-like activity of tamoxifen. Finally, research studies on the relationship between serum SHBG and breast cancer recurrence during endocrine therapy are particularly rare, and more attention is needed in the future. Further investigation is also warranted to explore the diagnostic and therapeutic potential of local SHBG expression in breast tissue.
-
Funding information: Authors state no funding involved.
-
Author contributions: S.Z. contributed to the conception of the study, drafted the manuscript and illustrated the figures for the article. J.G., Y.T., and R.W. contributed to manuscript revision, modification of language, and literature collection. W.L. also contributed to the conception and reviewed the manuscript. All authors read and approved the final manuscript. The SDC approach was applied for the sequence of authors.
-
Conflict of interest: Authors state no conflict of interest.
-
Data availability statement: The datasets generated during and/or analyzed during the current study are available in the following databases: TCGA: https://portal.gdc.cancer.gov/; GTEx: https://commonfund.nih.gov/gtex; UALCAN: https://ualcan.path.uab.edu; Xiantao: https://www.xiantaozi.com/.
References
[1] Qu X, Donnelly R. Sex hormone-binding globulin (SHBG) as an early biomarker and therapeutic target in polycystic ovary syndrome. Int J Mol Sci. 2020;21(21):8191.10.3390/ijms21218191Search in Google Scholar PubMed PubMed Central
[2] Hammond GL. Diverse roles for sex hormone-binding globulin in reproduction. Biol Reprod. 2011;85:431–41.10.1095/biolreprod.111.092593Search in Google Scholar PubMed PubMed Central
[3] Kahn SM, Hryb DJ, Nakhla AM, Romas NA, Rosner W. Sex hormone-binding globulin is synthesized in target cells. J Endocrinol. 2002;175(1):113–20.10.1677/joe.0.1750113Search in Google Scholar PubMed
[4] Simó R, Saez-Lopez C, Barbosa-Desongles A, Hernández C, Selva DM. Novel insights in SHBG regulation and clinical implications. Trends Endocrinol Metab. 2015;26(7):376–83.10.1016/j.tem.2015.05.001Search in Google Scholar PubMed
[5] Muka T, Nano J, Jaspers L, Meun C, Bramer WM, Hofman A, et al. Associations of steroid sex hormones and sex hormone-binding globulin with the risk of type 2 diabetes in women: A population-based cohort study and meta-analysis. Diabetes. 2017;66(3):577–86.10.2337/db16-0473Search in Google Scholar PubMed
[6] Le TN, Nestler JE, Strauss JF, Wickham EP 3rd. Sex hormone-binding globulin and type 2 diabetes mellitus. Trends Endocrinol Metab. 2012;23(1):32–40.10.1016/j.tem.2011.09.005Search in Google Scholar PubMed PubMed Central
[7] Lu Y, Liu W. Selective estrogen receptor degraders (SERDs): A promising strategy for estrogen receptor positive endocrine-resistant breast cancer. J Med Chem. 2020;63(24):15094–114.10.1021/acs.jmedchem.0c00913Search in Google Scholar PubMed
[8] Jordan VC. Tamoxifen: A most unlikely pioneering medicine. Nat Rev Drug Discov. 2003;2(3):205–13.10.1038/nrd1031Search in Google Scholar PubMed
[9] Hanker AB, Sudhan DR, Arteaga CL. Overcoming endocrine resistance in breast cancer. Cancer Cell. 2020;37(4):496–513.10.1016/j.ccell.2020.03.009Search in Google Scholar PubMed PubMed Central
[10] Sainsbury R. The development of endocrine therapy for women with breast cancer. Cancer Treat Rev. 2013;39(5):507–17.10.1016/j.ctrv.2012.07.006Search in Google Scholar PubMed
[11] Harbeck N, Gnant M. Breast cancer. Lancet. 2017;389(10074):1134–50.10.1016/S0140-6736(16)31891-8Search in Google Scholar PubMed
[12] Osborne CK, Schiff R. Mechanisms of endocrine resistance in breast cancer. Annu Rev Med. 2011;62:233–47.10.1146/annurev-med-070909-182917Search in Google Scholar PubMed PubMed Central
[13] Fedele P, Calvani N, Marino A, Orlando L, Schiavone P, Quaranta A, et al. Targeted agents to reverse resistance to endocrine therapy in metastatic breast cancer: Where are we now and where are we going? Crit Rev Oncol Hematol. 2012;84(2):243–51.10.1016/j.critrevonc.2012.03.004Search in Google Scholar PubMed
[14] Balogh A, Karpati E, Schneider AE, Hetey S, Szilagyi A, Juhasz K, et al. Sex hormone-binding globulin provides a novel entry pathway for estradiol and influences subsequent signaling in lymphocytes via membrane receptor. Sci Rep. 2019;9(1):4.10.1038/s41598-018-36882-3Search in Google Scholar PubMed PubMed Central
[15] Rosner W, Hryb DJ, Kahn SM, Nakhla AM, Romas NA. Interactions of sex hormone-binding globulin with target cells. Mol Cell Endocrinol. 2010;316:79–85.10.1016/j.mce.2009.08.009Search in Google Scholar PubMed
[16] Abramovitch R, Tavor E, Jacob-Hirsch J, Zeira E, Amariglio N, Pappo O, et al. A pivotal role of cyclic AMP-responsive element binding protein in tumor progression. Cancer Res. 2004;64:1338–46.10.1158/0008-5472.CAN-03-2089Search in Google Scholar
[17] Hammond GL, Wu TS, Simard M. Evolving utility of sex hormone-binding globulin measurements in clinical medicine. Curr Opin Endocrinol Diabetes Obes. 2012;19:183–9.10.1097/MED.0b013e328353732fSearch in Google Scholar PubMed
[18] Winters SJ, Gogineni J, Karegar M, Scoggins C, Wunderlich CA, Baumgartner R, et al. Sex hormone-binding globulin gene expression and insulin resistance. J Clin Endocrinol Metab. 2014;99(12):E2780–8.10.1210/jc.2014-2640Search in Google Scholar PubMed
[19] Siddiqui K, Al-Rubeaan K, Nawaz SS, Aburisheh KH, Alaabdin AMZ, Tolba IA. Serum sex hormone binding globulin (SHBG) relation with different components of metabolic syndrome in men with type 2 diabetes. Horm Metab Res. 2018;50:138–44.10.1055/s-0043-123348Search in Google Scholar PubMed
[20] Dimou NL, Papadimitriou N, Gill D, Christakoudi S, Murphy N, Gunter MJ, et al. Sex hormone binding globulin and risk of breast cancer: A Mendelian randomization study. Int J Epidemiol. 2019;48(3):807–16.10.1093/ije/dyz107Search in Google Scholar PubMed PubMed Central
[21] Laurent MR, Vanderschueren D. Reproductive endocrinology: Functional effects of sex hormone-binding globulin variants. Nat Rev Endocrinol. 2014;10(9):516–7.10.1038/nrendo.2014.120Search in Google Scholar PubMed
[22] Basaria S. Testosterone levels for evaluation of androgen deficiency. JAMA. 2015;313(17):1749–50.10.1001/jama.2015.4179Search in Google Scholar PubMed
[23] Key T, Appleby P, Barnes I, Reeves G, Endogenous Hormones and Breast Cancer Collaborative G. Endogenous sex hormones and breast cancer in postmenopausal women: Reanalysis of nine prospective studies. J Natl Cancer Inst. 2002;94(8):606–16.10.1093/jnci/94.8.606Search in Google Scholar PubMed
[24] Wang Q, Kangas AJ, Soininen P, Tiainen M, Tynkkynen T, Puukka K, et al. Sex hormone-binding globulin associations with circulating lipids and metabolites and the risk for type 2 diabetes: Observational and causal effect estimates. Int J Epidemiol. 2015;44(2):623–37.10.1093/ije/dyv093Search in Google Scholar PubMed
[25] Simons PIHGValkenburg, O, Stehouwer CDA, Brouwers MCGJ. Sex hormone-binding globulin: Biomarker and hepatokine? Trends Endocrinol Metab. 2021;32(8):544–53.10.1016/j.tem.2021.05.002Search in Google Scholar PubMed
[26] Kjaergaard AD, Marouli E, Papadopoulou A, Deloukas P, Kuś A, Sterenborg R, et al. Thyroid function, sex hormones and sexual function: A mendelian randomization study. Eur J Epidemiol. 2021;36(3):335–44.10.1007/s10654-021-00721-zSearch in Google Scholar PubMed PubMed Central
[27] Yeap BB, Marriott RJ, Antonio L, Raj S, Dwivedi G, Reid CM, et al. Associations of serum testosterone and sex hormone-binding globulin with incident cardiovascular events in middle-aged to older men. Ann Intern Med. 2022;175(2):159–70.10.7326/M21-0551Search in Google Scholar PubMed
[28] Thaler MA, Seifert-Klauss V, Luppa PB. The biomarker sex hormone-binding globulin—From established applications to emerging trends in clinical medicine. Best Pract Res Clin Endocrinol Metab. 2015;29(5):749–60.10.1016/j.beem.2015.06.005Search in Google Scholar PubMed
[29] Hazelwood E, Sanderson E, Tan VY, Ruth KS, Frayling TM, Dimou N, et al. Identifying molecular mediators of the relationship between body mass index and endometrial cancer risk: A Mendelian randomization analysis. BMC Med. 2022;20(1):125.10.1186/s12916-022-02322-3Search in Google Scholar PubMed PubMed Central
[30] Watts EL, Perez-Cornago A, Knuppel A, Tsilidis KK, Key TJ, Travis RC. Prospective analyses of testosterone and sex hormone-binding globulin with the risk of 19 types of cancer in men and postmenopausal women in UK Biobank. Int J Cancer. 2021;149(3):573–84.10.1002/ijc.33555Search in Google Scholar PubMed
[31] Global Burden of Disease Cancer Collaboration, Fitzmaurice C, Akinyemiju TF, Al Lami FH, Alam T, Alizadeh-Navaei R, et al. Global, regional, and national cancer incidence, mortality, years of life lost, years lived with disability, and disability-adjusted life-years for 29 cancer groups, 1990 to 2016: A systematic analysis for the Global Burden of Disease study. JAMA Oncol. 2018;4(11):1553–68.10.1200/JCO.2018.36.15_suppl.1568Search in Google Scholar
[32] Sieri S, Muti P, Claudia A, Berrino F, Pala V, Grioni S, et al. Prospective study on the role of glucose metabolism in breast cancer occurrence. Int J Cancer. 2012;130:921–9.10.1002/ijc.26071Search in Google Scholar PubMed
[33] He XY, Liao YD, Yu S, Zhang Y, Wang R. Sex hormone binding globulin and risk of breast cancer in postmenopausal women: A meta-analysis of prospective studies. Horm Metab Res. 2015;47(7):485–90.10.1055/s-0034-1395606Search in Google Scholar PubMed
[34] Hüsing A, Fortner RT, Kühn T, Overvad K, Tjønneland A, Olsen A, et al. Added value of serum hormone measurements in risk prediction models for breast cancer for women not using exogenous hormones: Results from the EPIC cohort. Clin Cancer Res. 2017;23(15):4181–9.10.1158/1078-0432.CCR-16-3011Search in Google Scholar PubMed
[35] Tin S, Reeves GK, Key TJ. Endogenous hormones and risk of invasive breast cancer in pre- and post-menopausal women: Findings from the UK Biobank. Br J Cancer. 2021;125(1):126–34.10.1038/s41416-021-01392-zSearch in Google Scholar PubMed PubMed Central
[36] James RE, Lukanova A, Dossus L, Becker S, Rinaldi S, Tjønneland A, et al. Postmenopausal serum sex steroids and risk of hormone receptor-positive and -negative breast cancer: A nested case-control study. Cancer Prev Res (Phila). 2011;4:1626–35.10.1158/1940-6207.CAPR-11-0090Search in Google Scholar PubMed
[37] Fourkala EO, Zaikin A, Burnell M, Gentry-Maharaj A, Ford J, Gunu R, et al. Association of serum sex steroid receptor bioactivity and sex steroid hormones with breast cancer risk in postmenopausal women. Endocr Relat Cancer. 2012;19:137–47.10.1530/ERC-11-0310Search in Google Scholar PubMed PubMed Central
[38] Zhang X, Tworoger SS, Eliassen AH, Hankinson SE. Postmenopausal plasma sex hormone levels and breast cancer risk over 20 years of follow-up. Breast Cancer Res Treat. 2013;137:883–92.10.1007/s10549-012-2391-zSearch in Google Scholar PubMed PubMed Central
[39] Duggan C, Stanczyk F, Campbell K, Neuhouser ML, Baumgartner RN, Baumgartner KB, et al. Associations of sex steroid hormones with mortality in women with breast cancer. Breast Cancer Res Treat. 2016;155(3):559–67.10.1007/s10549-016-3704-4Search in Google Scholar PubMed PubMed Central
[40] Arthur RS, Xue X, Rohan TE. Prediagnostic circulating levels of sex steroid hormones and SHBG in relation to risk of ductal carcinoma in situ of the breast among UK women. Cancer Epidemiol Biomarkers Prev. 2020;29(5):1058–66.10.1158/1055-9965.EPI-19-1302Search in Google Scholar PubMed
[41] Arthur RS, Dannenberg AJ, Rohan TE. The association of prediagnostic circulating levels of cardiometabolic markers, testosterone and sex hormone-binding globulin with risk of breast cancer among normal weight postmenopausal women in the UK Biobank. Int J Cancer. 2021;149(1):42–57.10.1002/ijc.33508Search in Google Scholar PubMed
[42] Chen F, Wen W, Long J, Shu X, Yang Y, Shu XO, et al. Mendelian randomization analyses of 23 known and suspected risk factors and biomarkers for breast cancer overall and by molecular subtypes. Int J Cancer. 2022;151(3):372–80.10.1002/ijc.34026Search in Google Scholar PubMed PubMed Central
[43] Arathimos R, Millard LAC, Bell JA, Relton CL, Suderman M. Impact of sex hormone-binding globulin on the human phenome. Hum Mol Genet. 2020;29(11):1824–32.10.1093/hmg/ddz269Search in Google Scholar PubMed PubMed Central
[44] Mendel CM. The free hormone hypothesis: A physiologically based mathematical model. Endocr Rev. 1989;10:232–74.10.1210/edrv-10-3-232Search in Google Scholar PubMed
[45] Elmlinger MW, Kühnel W, Wormstall H, Döller PC. Reference intervals for testosterone, androstenedione and SHBG levels in healthy females and males from birth until old age. Clin Lab. 2005;51(11–12):625–32.Search in Google Scholar
[46] Collaborative Group on Hormonal Factors in Breast C. Menarche, menopause, and breast cancer risk: Individual participant meta-analysis, including 118 964 women with breast cancer from 117 epidemiological studies. Lancet Oncol. 2012;13:1141–51.10.1016/S1470-2045(12)70425-4Search in Google Scholar PubMed PubMed Central
[47] Endogenous Hormones and Breast Cancer Collaborative Group, Key TJ, Appleby PN, Reeves GK, Travis RC, Alberg AJ, et al. Sex hormones and risk of breast cancer in premenopausal women: A collaborative reanalysis of individual participant data from seven prospective studies. Lancet Oncol. 2013;14(10):1009–19.10.1016/S1470-2045(13)70301-2Search in Google Scholar PubMed PubMed Central
[48] Tworoger SS, Zhang X, Eliassen AH, Qian J, Colditz GA, Willett WC, et al. Inclusion of endogenous hormone levels in risk prediction models of postmenopausal breast cancer. J Clin Oncol. 2014;32(28):3111–7.10.1200/JCO.2014.56.1068Search in Google Scholar PubMed PubMed Central
[49] Sieri S, Krogh V, Bolelli G, Abagnato CA, Grioni S, Pala V, et al. Sex hormone levels, breast cancer risk, and cancer receptor status in postmenopausal women: The ORDET cohort. Cancer Epidemiol Biomarkers Prev. 2009;18:169–76.10.1158/1055-9965.EPI-08-0808Search in Google Scholar PubMed
[50] Dimitrakakis C, Bondy C. Androgens and the breast. Breast Cancer Res. 2009;11:212.10.1186/bcr2413Search in Google Scholar PubMed PubMed Central
[51] Tsugane S, Inoue M. Insulin resistance and cancer: Epidemiological evidence. Cancer Sci. 2010;101(5):1073–9.10.1111/j.1349-7006.2010.01521.xSearch in Google Scholar PubMed
[52] Fortunati N, Catalano MG, Boccuzzi G, Frairia R. Sex hormone-binding globulin (SHBG), estradiol and breast cancer. Mol Cell Endocrinol. 2010;316(1):86–92.10.1016/j.mce.2009.09.012Search in Google Scholar PubMed
[53] Hryb DJ, Khan MS, Romas NA, Rosner W. The control of the interaction of sex hormone-binding globulin with its receptor by steroid hormones. J Biol Chem. 1990;265(11):6048–54.10.1016/S0021-9258(19)39289-0Search in Google Scholar
[54] Fortunati N, Becchis M, Catalano MG, Comba A, Ferrera P, Raineri M, et al. Sex hormone binding globulin, its membrane receptor, and breast cancer: A new approach to the modulation of estradiol action in neoplastic cells. J Steroid Biochem Mol Biol. 1999;69(1–6):473–9.10.1016/S0960-0760(99)00068-0Search in Google Scholar PubMed
[55] Catalano MG, Comba A, Fazzari A, Benedusi-Pagliano E, Sberveglieri M, Revelli A, et al. Sex steroid binding protein receptor (SBP-R) is related to a reduced proliferation rate in human breast cancer. Breast Cancer Res Treat. 1997;42(3):227–34.10.1023/A:1005702009367Search in Google Scholar PubMed
[56] Fortunati N, Catalano MG. Sex hormone-binding globulin (SHBG) and estradiol cross-talk in breast cancer cells. Horm Metab Res. 2006;38(4):236–40.10.1055/s-2006-925337Search in Google Scholar PubMed
[57] Merino D, Lok SW, Visvader JE, Lindeman GJ. Targeting BCL-2 to enhance vulnerability to therapy in estrogen receptor-positive breast cancer. Oncogene. 2016;35(15):1877–87.10.1038/onc.2015.287Search in Google Scholar PubMed
[58] Rudas M, Lehnert M, Huynh A, Jakesz R, Singer C, Lax S, et al. Cyclin D1 expression in breast cancer patients receiving adjuvant tamoxifen-based therapy. Clin Cancer Res. 2008;14(6):1767–74.10.1158/1078-0432.CCR-07-4122Search in Google Scholar PubMed
[59] Mateyak MK, Obaya AJ, Sedivy JM. c-Myc regulates cyclin D-Cdk4 and -Cdk6 activity but affects cell cycle progression at multiple independent points. Mol Cell Biol. 1999;19(7):4672–83.10.1128/MCB.19.7.4672Search in Google Scholar PubMed PubMed Central
[60] Santoni-Rugiu E, Falck J, Miland N, Bartek J, Lukas J. Involvement of myc activity in a G(1)/S-promoting mechanism parallel to the pRb/E2F pathway. Mol Cell Biol. 2000;20(10):3497–509.10.1128/.20.10.3497-3509.2000Search in Google Scholar
[61] Shibata T, Watari K, Izumi H, Kawahara A, Hattori S, Fukumitsu C, et al. Breast cancer resistance to antiestrogens is enhanced by increased ER degradation and ERBB2 expression. Cancer Res. 2017;77(2):545–56.10.1158/0008-5472.CAN-16-1593Search in Google Scholar PubMed
[62] Nicholson RI, Gee JM. Oestrogen and growth factor cross-talk and endocrine insensitivity and acquired resistance in breast cancer. Br J Cancer. 2000;82(3):501–13.10.1054/bjoc.1999.0954Search in Google Scholar PubMed PubMed Central
[63] Osborne CK, Shou J, Massarweh S, Schiff R. Crosstalk between estrogen receptor and growth factor receptor pathways as a cause for endocrine therapy resistance in breast cancer. Clin Cancer Res. 2005;11(2 Pt 2):865s–70s.10.1158/1078-0432.865s.11.2Search in Google Scholar
[64] Cardoso F, Paluch-Shimon S, Senkus E, Curigliano G, Aapro MS, André F, et al. 5th ESO-ESMO international consensus guidelines for advanced breast cancer (ABC 5). Ann Oncol. 2020;31(12):1623–49.10.1016/j.annonc.2020.09.010Search in Google Scholar PubMed PubMed Central
[65] Gori S, Puglisi F, Cinquini M, Pappagallo G, Frassoldati A, Biganzoli L, et al. Adjuvant endocrine therapy in premenopausal patients with hormone receptor-positive early breast cancer: Evidence evaluation and GRADE recommendations by the Italian Association of Medical Oncology (AIOM). Eur J Cancer. 2018;99:9–19.10.1016/j.ejca.2018.04.006Search in Google Scholar PubMed
[66] Chang RJ. The reproductive phenotype in polycystic ovary syndrome. Nat Clin Pract Endocrinol Metab. 2007;3:688–95.10.1038/ncpendmet0637Search in Google Scholar PubMed
[67] Goss PE, Ingle JN, Pritchard KI, Robert NJ, Muss H, Gralow J, et al. Extending aromatase-inhibitor adjuvant therapy to 10 years. N Engl J Med. 2016;375(3):209–19.10.1056/NEJMoa1604700Search in Google Scholar PubMed PubMed Central
[68] Clerico A, Passino C, Emdin M. When gonads talk to the heart sex hormones and cardiac endocrine function. J Am Coll Cardiol. 2011;58(6):627–8.10.1016/j.jacc.2011.03.043Search in Google Scholar PubMed
[69] Li Y, Porta-Pardo E, Tokheim C, Bailey MH, Yaron TM, Stathias V, et al. Pan-cancer proteogenomics connects oncogenic drivers to functional states. Cell. 2023;186(18):3921–44.e25.Search in Google Scholar
[70] Geffen Y, Anand S, Akiyama Y, Yaron TM, Song Y, Johnson JL, et al. Pan-cancer analysis of post-translational modifications reveals shared patterns of protein regulation. Cell. 2023;186(18):3945–67.e26.Search in Google Scholar
[71] Liu Y, Zhu C, Tang L, Chen Q, Guan N, Xu K, et al. MYC dysfunction modulates stemness and tumorigenesis in breast cancer. Int J Biol Sci. 2021;17(1):178–87.10.7150/ijbs.51458Search in Google Scholar PubMed PubMed Central
[72] Chandrashekar DS, Karthikeyan SK, Korla PK, Patel H, Shovon AR, Athar M, et al. UALCAN: An update to the integrated cancer data analysis platform. Neoplasia. 2022;25:18–27.10.1016/j.neo.2022.01.001Search in Google Scholar PubMed PubMed Central
[73] Zhu Y, Chen Y, Xie D, Xia D, Kuang H, Guo X, et al. Macrophages depletion alleviates lung injury by modulating AKT3/GXP4 following ventilator associated pneumonia. Front Immunol. 2023;14:1260584.10.3389/fimmu.2023.1260584Search in Google Scholar PubMed PubMed Central
[74] Zhang Y, Chen F, Chandrashekar DS, Varambally S, Creighton CJ. Proteogenomic characterization of 2002 human cancers reveals pan-cancer molecular subtypes and associated pathways. Nat Commun. 2022;13(1):2669. Erratum in: Nat Commun. 2022;13(1):4688.10.1038/s41467-022-30342-3Search in Google Scholar PubMed PubMed Central
[75] Chen F, Zhang Y, Chandrashekar DS, Varambally S, Creighton CJ. Global impact of somatic structural variation on the cancer proteome. Nat Commun. 2023;14(1):5637.10.1038/s41467-023-41374-8Search in Google Scholar PubMed PubMed Central
[76] Wickham EP 3rd, Ewens KG, Legro RS, Dunaif A, Nestler JE, Strauss JF 3rd. Polymorphisms in the SHBG gene influence serum SHBG levels in women with polycystic ovary syndrome. J Clin Endocrinol Metab. 2011;96(4):E719–27.10.1210/jc.2010-1842Search in Google Scholar PubMed PubMed Central
[77] Abu-Hijleh TM, Gammoh E, Al-Busaidi AS, Malalla ZH, Madan S, Mahmood N, et al. Common variants in the sex hormone-binding globulin (SHBG) gene influence SHBG levels in women with polycystic ovary syndrome. Ann Nutr Metab. 2016;68(1):66–74.10.1159/000441570Search in Google Scholar PubMed
[78] Goto A, Chen BH, Song Y, Cauley J, Cummings SR, Farhat GN, et al. Age, body mass, usage of exogenous estrogen, and lifestyle factors in relation to circulating sex hormone-binding globulin concentrations in postmenopausal women. Clin Chem. 2014;60(1):174–85.10.1373/clinchem.2013.207217Search in Google Scholar PubMed
[79] de Roon M, May AM, McTiernan A, Scholten RJPM, Peeters PHM, Friedenreich CM, et al. Effect of exercise and/or reduced calorie dietary interventions on breast cancer-related endogenous sex hormones in healthy postmenopausal women. Breast Cancer Res. 2018;20(1):81.10.1186/s13058-018-1009-8Search in Google Scholar PubMed PubMed Central
[80] Patel HK, Bihani T. Selective estrogen receptor modulators (SERMs) and selective estrogen receptor degraders (SERDs) in cancer treatment. Pharmacol Ther. 2018;186:1–24.10.1016/j.pharmthera.2017.12.012Search in Google Scholar PubMed
[81] Johänning J, Kröner P, Thomas M, Zanger UM, Nörenberg A, Eichelbaum M, et al. The formation of estrogen-like tamoxifen metabolites and their influence on enzyme activity and gene expression of ADME genes. Arch Toxicol. 2018;92(3):1099–112.10.1007/s00204-017-2147-ySearch in Google Scholar PubMed PubMed Central
[82] Will M, Liang J, Metcalfe C, Chandarlapaty S. Therapeutic resistance to anti-oestrogen therapy in breast cancer. Nat Rev Cancer. 2023;23(10):673–85.10.1038/s41568-023-00604-3Search in Google Scholar PubMed PubMed Central
© 2024 the author(s), published by De Gruyter
This work is licensed under the Creative Commons Attribution 4.0 International License.
Articles in the same Issue
- Biomedical Sciences
- Constitutive and evoked release of ATP in adult mouse olfactory epithelium
- LARP1 knockdown inhibits cultured gastric carcinoma cell cycle progression and metastatic behavior
- PEGylated porcine–human recombinant uricase: A novel fusion protein with improved efficacy and safety for the treatment of hyperuricemia and renal complications
- Research progress on ocular complications caused by type 2 diabetes mellitus and the function of tears and blepharons
- The role and mechanism of esketamine in preventing and treating remifentanil-induced hyperalgesia based on the NMDA receptor–CaMKII pathway
- Brucella infection combined with Nocardia infection: A case report and literature review
- Detection of serum interleukin-18 level and neutrophil/lymphocyte ratio in patients with antineutrophil cytoplasmic antibody-associated vasculitis and its clinical significance
- Ang-1, Ang-2, and Tie2 are diagnostic biomarkers for Henoch-Schönlein purpura and pediatric-onset systemic lupus erythematous
- PTTG1 induces pancreatic cancer cell proliferation and promotes aerobic glycolysis by regulating c-myc
- Role of serum B-cell-activating factor and interleukin-17 as biomarkers in the classification of interstitial pneumonia with autoimmune features
- Effectiveness and safety of a mumps containing vaccine in preventing laboratory-confirmed mumps cases from 2002 to 2017: A meta-analysis
- Low levels of sex hormone-binding globulin predict an increased breast cancer risk and its underlying molecular mechanisms
- A case of Trousseau syndrome: Screening, detection and complication
- Application of the integrated airway humidification device enhances the humidification effect of the rabbit tracheotomy model
- Preparation of Cu2+/TA/HAP composite coating with anti-bacterial and osteogenic potential on 3D-printed porous Ti alloy scaffolds for orthopedic applications
- Aquaporin-8 promotes human dermal fibroblasts to counteract hydrogen peroxide-induced oxidative damage: A novel target for management of skin aging
- Current research and evidence gaps on placental development in iron deficiency anemia
- Single-nucleotide polymorphism rs2910829 in PDE4D is related to stroke susceptibility in Chinese populations: The results of a meta-analysis
- Pheochromocytoma-induced myocardial infarction: A case report
- Kaempferol regulates apoptosis and migration of neural stem cells to attenuate cerebral infarction by O‐GlcNAcylation of β-catenin
- Sirtuin 5 regulates acute myeloid leukemia cell viability and apoptosis by succinylation modification of glycine decarboxylase
- Apigenin 7-glucoside impedes hypoxia-induced malignant phenotypes of cervical cancer cells in a p16-dependent manner
- KAT2A changes the function of endometrial stromal cells via regulating the succinylation of ENO1
- Current state of research on copper complexes in the treatment of breast cancer
- Exploring antioxidant strategies in the pathogenesis of ALS
- Helicobacter pylori causes gastric dysbacteriosis in chronic gastritis patients
- IL-33/soluble ST2 axis is associated with radiation-induced cardiac injury
- The predictive value of serum NLR, SII, and OPNI for lymph node metastasis in breast cancer patients with internal mammary lymph nodes after thoracoscopic surgery
- Carrying SNP rs17506395 (T > G) in TP63 gene and CCR5Δ32 mutation associated with the occurrence of breast cancer in Burkina Faso
- P2X7 receptor: A receptor closely linked with sepsis-associated encephalopathy
- Probiotics for inflammatory bowel disease: Is there sufficient evidence?
- Identification of KDM4C as a gene conferring drug resistance in multiple myeloma
- Microbial perspective on the skin–gut axis and atopic dermatitis
- Thymosin α1 combined with XELOX improves immune function and reduces serum tumor markers in colorectal cancer patients after radical surgery
- Highly specific vaginal microbiome signature for gynecological cancers
- Sample size estimation for AQP4-IgG seropositive optic neuritis: Retinal damage detection by optical coherence tomography
- The effects of SDF-1 combined application with VEGF on femoral distraction osteogenesis in rats
- Fabrication and characterization of gold nanoparticles using alginate: In vitro and in vivo assessment of its administration effects with swimming exercise on diabetic rats
- Mitigating digestive disorders: Action mechanisms of Mediterranean herbal active compounds
- Distribution of CYP2D6 and CYP2C19 gene polymorphisms in Han and Uygur populations with breast cancer in Xinjiang, China
- VSP-2 attenuates secretion of inflammatory cytokines induced by LPS in BV2 cells by mediating the PPARγ/NF-κB signaling pathway
- Factors influencing spontaneous hypothermia after emergency trauma and the construction of a predictive model
- Long-term administration of morphine specifically alters the level of protein expression in different brain regions and affects the redox state
- Application of metagenomic next-generation sequencing technology in the etiological diagnosis of peritoneal dialysis-associated peritonitis
- Clinical diagnosis, prevention, and treatment of neurodyspepsia syndrome using intelligent medicine
- Case report: Successful bronchoscopic interventional treatment of endobronchial leiomyomas
- Preliminary investigation into the genetic etiology of short stature in children through whole exon sequencing of the core family
- Cystic adenomyoma of the uterus: Case report and literature review
- Mesoporous silica nanoparticles as a drug delivery mechanism
- Dynamic changes in autophagy activity in different degrees of pulmonary fibrosis in mice
- Vitamin D deficiency and inflammatory markers in type 2 diabetes: Big data insights
- Lactate-induced IGF1R protein lactylation promotes proliferation and metabolic reprogramming of lung cancer cells
- Meta-analysis on the efficacy of allogeneic hematopoietic stem cell transplantation to treat malignant lymphoma
- Mitochondrial DNA drives neuroinflammation through the cGAS-IFN signaling pathway in the spinal cord of neuropathic pain mice
- Application value of artificial intelligence algorithm-based magnetic resonance multi-sequence imaging in staging diagnosis of cervical cancer
- Embedded monitoring system and teaching of artificial intelligence online drug component recognition
- Investigation into the association of FNDC1 and ADAMTS12 gene expression with plumage coloration in Muscovy ducks
- Yak meat content in feed and its impact on the growth of rats
- A rare case of Richter transformation with breast involvement: A case report and literature review
- First report of Nocardia wallacei infection in an immunocompetent patient in Zhejiang province
- Rhodococcus equi and Brucella pulmonary mass in immunocompetent: A case report and literature review
- Downregulation of RIP3 ameliorates the left ventricular mechanics and function after myocardial infarction via modulating NF-κB/NLRP3 pathway
- Evaluation of the role of some non-enzymatic antioxidants among Iraqi patients with non-alcoholic fatty liver disease
- The role of Phafin proteins in cell signaling pathways and diseases
- Ten-year anemia as initial manifestation of Castleman disease in the abdominal cavity: A case report
- Coexistence of hereditary spherocytosis with SPTB P.Trp1150 gene variant and Gilbert syndrome: A case report and literature review
- Utilization of convolutional neural networks to analyze microscopic images for high-throughput screening of mesenchymal stem cells
- Exploratory evaluation supported by experimental and modeling approaches of Inula viscosa root extract as a potent corrosion inhibitor for mild steel in a 1 M HCl solution
- Imaging manifestations of ductal adenoma of the breast: A case report
- Gut microbiota and sleep: Interaction mechanisms and therapeutic prospects
- Isomangiferin promotes the migration and osteogenic differentiation of rat bone marrow mesenchymal stem cells
- Prognostic value and microenvironmental crosstalk of exosome-related signatures in human epidermal growth factor receptor 2 positive breast cancer
- Circular RNAs as potential biomarkers for male severe sepsis
- Knockdown of Stanniocalcin-1 inhibits growth and glycolysis in oral squamous cell carcinoma cells
- The expression and biological role of complement C1s in esophageal squamous cell carcinoma
- A novel GNAS mutation in pseudohypoparathyroidism type 1a with articular flexion deformity: A case report
- Predictive value of serum magnesium levels for prognosis in patients with non-small cell lung cancer undergoing EGFR-TKI therapy
- HSPB1 alleviates acute-on-chronic liver failure via the P53/Bax pathway
- IgG4-related disease complicated by PLA2R-associated membranous nephropathy: A case report
- Baculovirus-mediated endostatin and angiostatin activation of autophagy through the AMPK/AKT/mTOR pathway inhibits angiogenesis in hepatocellular carcinoma
- Metformin mitigates osteoarthritis progression by modulating the PI3K/AKT/mTOR signaling pathway and enhancing chondrocyte autophagy
- Evaluation of the activity of antimicrobial peptides against bacterial vaginosis
- Atypical presentation of γ/δ mycosis fungoides with an unusual phenotype and SOCS1 mutation
- Analysis of the microecological mechanism of diabetic kidney disease based on the theory of “gut–kidney axis”: A systematic review
- Omega-3 fatty acids prevent gestational diabetes mellitus via modulation of lipid metabolism
- Refractory hypertension complicated with Turner syndrome: A case report
- Interaction of ncRNAs and the PI3K/AKT/mTOR pathway: Implications for osteosarcoma
- Association of low attenuation area scores with pulmonary function and clinical prognosis in patients with chronic obstructive pulmonary disease
- Long non-coding RNAs in bone formation: Key regulators and therapeutic prospects
- The deubiquitinating enzyme USP35 regulates the stability of NRF2 protein
- Neutrophil-to-lymphocyte ratio and platelet-to-lymphocyte ratio as potential diagnostic markers for rebleeding in patients with esophagogastric variceal bleeding
- G protein-coupled receptor 1 participating in the mechanism of mediating gestational diabetes mellitus by phosphorylating the AKT pathway
- LL37-mtDNA regulates viability, apoptosis, inflammation, and autophagy in lipopolysaccharide-treated RLE-6TN cells by targeting Hsp90aa1
- The analgesic effect of paeoniflorin: A focused review
- Chemical composition’s effect on Solanum nigrum Linn.’s antioxidant capacity and erythrocyte protection: Bioactive components and molecular docking analysis
- Knockdown of HCK promotes HREC cell viability and inner blood–retinal barrier integrity by regulating the AMPK signaling pathway
- The role of rapamycin in the PINK1/Parkin signaling pathway in mitophagy in podocytes
- Laryngeal non-Hodgkin lymphoma: Report of four cases and review of the literature
- Clinical value of macrogenome next-generation sequencing on infections
- Overview of dendritic cells and related pathways in autoimmune uveitis
- TAK-242 alleviates diabetic cardiomyopathy via inhibiting pyroptosis and TLR4/CaMKII/NLRP3 pathway
- Hypomethylation in promoters of PGC-1α involved in exercise-driven skeletal muscular alterations in old age
- Profile and antimicrobial susceptibility patterns of bacteria isolated from effluents of Kolladiba and Debark hospitals
- The expression and clinical significance of syncytin-1 in serum exosomes of hepatocellular carcinoma patients
- A histomorphometric study to evaluate the therapeutic effects of biosynthesized silver nanoparticles on the kidneys infected with Plasmodium chabaudi
- PGRMC1 and PAQR4 are promising molecular targets for a rare subtype of ovarian cancer
- Analysis of MDA, SOD, TAOC, MNCV, SNCV, and TSS scores in patients with diabetes peripheral neuropathy
- SLIT3 deficiency promotes non-small cell lung cancer progression by modulating UBE2C/WNT signaling
- The relationship between TMCO1 and CALR in the pathological characteristics of prostate cancer and its effect on the metastasis of prostate cancer cells
- Heterogeneous nuclear ribonucleoprotein K is a potential target for enhancing the chemosensitivity of nasopharyngeal carcinoma
- PHB2 alleviates retinal pigment epithelium cell fibrosis by suppressing the AGE–RAGE pathway
- Anti-γ-aminobutyric acid-B receptor autoimmune encephalitis with syncope as the initial symptom: Case report and literature review
- Comparative analysis of chloroplast genome of Lonicera japonica cv. Damaohua
- Human umbilical cord mesenchymal stem cells regulate glutathione metabolism depending on the ERK–Nrf2–HO-1 signal pathway to repair phosphoramide mustard-induced ovarian cancer cells
- Electroacupuncture on GB acupoints improves osteoporosis via the estradiol–PI3K–Akt signaling pathway
- Renalase protects against podocyte injury by inhibiting oxidative stress and apoptosis in diabetic nephropathy
- Review: Dicranostigma leptopodum: A peculiar plant of Papaveraceae
- Combination effect of flavonoids attenuates lung cancer cell proliferation by inhibiting the STAT3 and FAK signaling pathway
- Renal microangiopathy and immune complex glomerulonephritis induced by anti-tumour agents: A case report
- Correlation analysis of AVPR1a and AVPR2 with abnormal water and sodium and potassium metabolism in rats
- Gastrointestinal health anti-diarrheal mixture relieves spleen deficiency-induced diarrhea through regulating gut microbiota
- Myriad factors and pathways influencing tumor radiotherapy resistance
- Exploring the effects of culture conditions on Yapsin (YPS) gene expression in Nakaseomyces glabratus
- Screening of prognostic core genes based on cell–cell interaction in the peripheral blood of patients with sepsis
- Coagulation factor II thrombin receptor as a promising biomarker in breast cancer management
- Ileocecal mucinous carcinoma misdiagnosed as incarcerated hernia: A case report
- Methyltransferase like 13 promotes malignant behaviors of bladder cancer cells through targeting PI3K/ATK signaling pathway
- The debate between electricity and heat, efficacy and safety of irreversible electroporation and radiofrequency ablation in the treatment of liver cancer: A meta-analysis
- ZAG promotes colorectal cancer cell proliferation and epithelial–mesenchymal transition by promoting lipid synthesis
- Baicalein inhibits NLRP3 inflammasome activation and mitigates placental inflammation and oxidative stress in gestational diabetes mellitus
- Impact of SWCNT-conjugated senna leaf extract on breast cancer cells: A potential apoptotic therapeutic strategy
- MFAP5 inhibits the malignant progression of endometrial cancer cells in vitro
- Major ozonated autohemotherapy promoted functional recovery following spinal cord injury in adult rats via the inhibition of oxidative stress and inflammation
- Axodendritic targeting of TAU and MAP2 and microtubule polarization in iPSC-derived versus SH-SY5Y-derived human neurons
- Differential expression of phosphoinositide 3-kinase/protein kinase B and Toll-like receptor/nuclear factor kappa B signaling pathways in experimental obesity Wistar rat model
- The therapeutic potential of targeting Oncostatin M and the interleukin-6 family in retinal diseases: A comprehensive review
- BA inhibits LPS-stimulated inflammatory response and apoptosis in human middle ear epithelial cells by regulating the Nf-Kb/Iκbα axis
- Role of circRMRP and circRPL27 in chronic obstructive pulmonary disease
- Investigating the role of hyperexpressed HCN1 in inducing myocardial infarction through activation of the NF-κB signaling pathway
- Characterization of phenolic compounds and evaluation of anti-diabetic potential in Cannabis sativa L. seeds: In vivo, in vitro, and in silico studies
- Quantitative immunohistochemistry analysis of breast Ki67 based on artificial intelligence
- Ecology and Environmental Science
- Screening of different growth conditions of Bacillus subtilis isolated from membrane-less microbial fuel cell toward antimicrobial activity profiling
- Degradation of a mixture of 13 polycyclic aromatic hydrocarbons by commercial effective microorganisms
- Evaluation of the impact of two citrus plants on the variation of Panonychus citri (Acari: Tetranychidae) and beneficial phytoseiid mites
- Prediction of present and future distribution areas of Juniperus drupacea Labill and determination of ethnobotany properties in Antalya Province, Türkiye
- Population genetics of Todarodes pacificus (Cephalopoda: Ommastrephidae) in the northwest Pacific Ocean via GBS sequencing
- A comparative analysis of dendrometric, macromorphological, and micromorphological characteristics of Pistacia atlantica subsp. atlantica and Pistacia terebinthus in the middle Atlas region of Morocco
- Macrofungal sporocarp community in the lichen Scots pine forests
- Assessing the proximate compositions of indigenous forage species in Yemen’s pastoral rangelands
- Food Science
- Gut microbiota changes associated with low-carbohydrate diet intervention for obesity
- Reexamination of Aspergillus cristatus phylogeny in dark tea: Characteristics of the mitochondrial genome
- Differences in the flavonoid composition of the leaves, fruits, and branches of mulberry are distinguished based on a plant metabolomics approach
- Investigating the impact of wet rendering (solventless method) on PUFA-rich oil from catfish (Clarias magur) viscera
- Non-linear associations between cardiovascular metabolic indices and metabolic-associated fatty liver disease: A cross-sectional study in the US population (2017–2020)
- Knockdown of USP7 alleviates atherosclerosis in ApoE-deficient mice by regulating EZH2 expression
- Utility of dairy microbiome as a tool for authentication and traceability
- Agriculture
- Enhancing faba bean (Vicia faba L.) productivity through establishing the area-specific fertilizer rate recommendation in southwest Ethiopia
- Impact of novel herbicide based on synthetic auxins and ALS inhibitor on weed control
- Perspectives of pteridophytes microbiome for bioremediation in agricultural applications
- Fertilizer application parameters for drip-irrigated peanut based on the fertilizer effect function established from a “3414” field trial
- Improving the productivity and profitability of maize (Zea mays L.) using optimum blended inorganic fertilization
- Application of leaf multispectral analyzer in comparison to hyperspectral device to assess the diversity of spectral reflectance indices in wheat genotypes
- Animal Sciences
- Knockdown of ANP32E inhibits colorectal cancer cell growth and glycolysis by regulating the AKT/mTOR pathway
- Development of a detection chip for major pathogenic drug-resistant genes and drug targets in bovine respiratory system diseases
- Exploration of the genetic influence of MYOT and MB genes on the plumage coloration of Muscovy ducks
- Transcriptome analysis of adipose tissue in grazing cattle: Identifying key regulators of fat metabolism
- Comparison of nutritional value of the wild and cultivated spiny loaches at three growth stages
- Transcriptomic analysis of liver immune response in Chinese spiny frog (Quasipaa spinosa) infected with Proteus mirabilis
- Disruption of BCAA degradation is a critical characteristic of diabetic cardiomyopathy revealed by integrated transcriptome and metabolome analysis
- Plant Sciences
- Effect of long-term in-row branch covering on soil microorganisms in pear orchards
- Photosynthetic physiological characteristics, growth performance, and element concentrations reveal the calcicole–calcifuge behaviors of three Camellia species
- Transcriptome analysis reveals the mechanism of NaHCO3 promoting tobacco leaf maturation
- Bioinformatics, expression analysis, and functional verification of allene oxide synthase gene HvnAOS1 and HvnAOS2 in qingke
- Water, nitrogen, and phosphorus coupling improves gray jujube fruit quality and yield
- Improving grape fruit quality through soil conditioner: Insights from RNA-seq analysis of Cabernet Sauvignon roots
- Role of Embinin in the reabsorption of nucleus pulposus in lumbar disc herniation: Promotion of nucleus pulposus neovascularization and apoptosis of nucleus pulposus cells
- Revealing the effects of amino acid, organic acid, and phytohormones on the germination of tomato seeds under salinity stress
- Combined effects of nitrogen fertilizer and biochar on the growth, yield, and quality of pepper
- Comprehensive phytochemical and toxicological analysis of Chenopodium ambrosioides (L.) fractions
- Impact of “3414” fertilization on the yield and quality of greenhouse tomatoes
- Exploring the coupling mode of water and fertilizer for improving growth, fruit quality, and yield of the pear in the arid region
- Metagenomic analysis of endophytic bacteria in seed potato (Solanum tuberosum)
- Antibacterial, antifungal, and phytochemical properties of Salsola kali ethanolic extract
- Exploring the hepatoprotective properties of citronellol: In vitro and in silico studies on ethanol-induced damage in HepG2 cells
- Enhanced osmotic dehydration of watermelon rind using honey–sucrose solutions: A study on pre-treatment efficacy and mass transfer kinetics
- Effects of exogenous 2,4-epibrassinolide on photosynthetic traits of 53 cowpea varieties under NaCl stress
- Comparative transcriptome analysis of maize (Zea mays L.) seedlings in response to copper stress
- An optimization method for measuring the stomata in cassava (Manihot esculenta Crantz) under multiple abiotic stresses
- Fosinopril inhibits Ang II-induced VSMC proliferation, phenotype transformation, migration, and oxidative stress through the TGF-β1/Smad signaling pathway
- Antioxidant and antimicrobial activities of Salsola imbricata methanolic extract and its phytochemical characterization
- Bioengineering and Biotechnology
- Absorbable calcium and phosphorus bioactive membranes promote bone marrow mesenchymal stem cells osteogenic differentiation for bone regeneration
- New advances in protein engineering for industrial applications: Key takeaways
- An overview of the production and use of Bacillus thuringiensis toxin
- Research progress of nanoparticles in diagnosis and treatment of hepatocellular carcinoma
- Bioelectrochemical biosensors for water quality assessment and wastewater monitoring
- PEI/MMNs@LNA-542 nanoparticles alleviate ICU-acquired weakness through targeted autophagy inhibition and mitochondrial protection
- Unleashing of cytotoxic effects of thymoquinone-bovine serum albumin nanoparticles on A549 lung cancer cells
- Erratum
- Erratum to “Investigating the association between dietary patterns and glycemic control among children and adolescents with T1DM”
- Erratum to “Activation of hypermethylated P2RY1 mitigates gastric cancer by promoting apoptosis and inhibiting proliferation”
- Retraction
- Retraction to “MiR-223-3p regulates cell viability, migration, invasion, and apoptosis of non-small cell lung cancer cells by targeting RHOB”
- Retraction to “A data mining technique for detecting malignant mesothelioma cancer using multiple regression analysis”
- Special Issue on Advances in Neurodegenerative Disease Research and Treatment
- Transplantation of human neural stem cell prevents symptomatic motor behavior disability in a rat model of Parkinson’s disease
- Special Issue on Multi-omics
- Inflammasome complex genes with clinical relevance suggest potential as therapeutic targets for anti-tumor drugs in clear cell renal cell carcinoma
- Gastroesophageal varices in primary biliary cholangitis with anti-centromere antibody positivity: Early onset?
Articles in the same Issue
- Biomedical Sciences
- Constitutive and evoked release of ATP in adult mouse olfactory epithelium
- LARP1 knockdown inhibits cultured gastric carcinoma cell cycle progression and metastatic behavior
- PEGylated porcine–human recombinant uricase: A novel fusion protein with improved efficacy and safety for the treatment of hyperuricemia and renal complications
- Research progress on ocular complications caused by type 2 diabetes mellitus and the function of tears and blepharons
- The role and mechanism of esketamine in preventing and treating remifentanil-induced hyperalgesia based on the NMDA receptor–CaMKII pathway
- Brucella infection combined with Nocardia infection: A case report and literature review
- Detection of serum interleukin-18 level and neutrophil/lymphocyte ratio in patients with antineutrophil cytoplasmic antibody-associated vasculitis and its clinical significance
- Ang-1, Ang-2, and Tie2 are diagnostic biomarkers for Henoch-Schönlein purpura and pediatric-onset systemic lupus erythematous
- PTTG1 induces pancreatic cancer cell proliferation and promotes aerobic glycolysis by regulating c-myc
- Role of serum B-cell-activating factor and interleukin-17 as biomarkers in the classification of interstitial pneumonia with autoimmune features
- Effectiveness and safety of a mumps containing vaccine in preventing laboratory-confirmed mumps cases from 2002 to 2017: A meta-analysis
- Low levels of sex hormone-binding globulin predict an increased breast cancer risk and its underlying molecular mechanisms
- A case of Trousseau syndrome: Screening, detection and complication
- Application of the integrated airway humidification device enhances the humidification effect of the rabbit tracheotomy model
- Preparation of Cu2+/TA/HAP composite coating with anti-bacterial and osteogenic potential on 3D-printed porous Ti alloy scaffolds for orthopedic applications
- Aquaporin-8 promotes human dermal fibroblasts to counteract hydrogen peroxide-induced oxidative damage: A novel target for management of skin aging
- Current research and evidence gaps on placental development in iron deficiency anemia
- Single-nucleotide polymorphism rs2910829 in PDE4D is related to stroke susceptibility in Chinese populations: The results of a meta-analysis
- Pheochromocytoma-induced myocardial infarction: A case report
- Kaempferol regulates apoptosis and migration of neural stem cells to attenuate cerebral infarction by O‐GlcNAcylation of β-catenin
- Sirtuin 5 regulates acute myeloid leukemia cell viability and apoptosis by succinylation modification of glycine decarboxylase
- Apigenin 7-glucoside impedes hypoxia-induced malignant phenotypes of cervical cancer cells in a p16-dependent manner
- KAT2A changes the function of endometrial stromal cells via regulating the succinylation of ENO1
- Current state of research on copper complexes in the treatment of breast cancer
- Exploring antioxidant strategies in the pathogenesis of ALS
- Helicobacter pylori causes gastric dysbacteriosis in chronic gastritis patients
- IL-33/soluble ST2 axis is associated with radiation-induced cardiac injury
- The predictive value of serum NLR, SII, and OPNI for lymph node metastasis in breast cancer patients with internal mammary lymph nodes after thoracoscopic surgery
- Carrying SNP rs17506395 (T > G) in TP63 gene and CCR5Δ32 mutation associated with the occurrence of breast cancer in Burkina Faso
- P2X7 receptor: A receptor closely linked with sepsis-associated encephalopathy
- Probiotics for inflammatory bowel disease: Is there sufficient evidence?
- Identification of KDM4C as a gene conferring drug resistance in multiple myeloma
- Microbial perspective on the skin–gut axis and atopic dermatitis
- Thymosin α1 combined with XELOX improves immune function and reduces serum tumor markers in colorectal cancer patients after radical surgery
- Highly specific vaginal microbiome signature for gynecological cancers
- Sample size estimation for AQP4-IgG seropositive optic neuritis: Retinal damage detection by optical coherence tomography
- The effects of SDF-1 combined application with VEGF on femoral distraction osteogenesis in rats
- Fabrication and characterization of gold nanoparticles using alginate: In vitro and in vivo assessment of its administration effects with swimming exercise on diabetic rats
- Mitigating digestive disorders: Action mechanisms of Mediterranean herbal active compounds
- Distribution of CYP2D6 and CYP2C19 gene polymorphisms in Han and Uygur populations with breast cancer in Xinjiang, China
- VSP-2 attenuates secretion of inflammatory cytokines induced by LPS in BV2 cells by mediating the PPARγ/NF-κB signaling pathway
- Factors influencing spontaneous hypothermia after emergency trauma and the construction of a predictive model
- Long-term administration of morphine specifically alters the level of protein expression in different brain regions and affects the redox state
- Application of metagenomic next-generation sequencing technology in the etiological diagnosis of peritoneal dialysis-associated peritonitis
- Clinical diagnosis, prevention, and treatment of neurodyspepsia syndrome using intelligent medicine
- Case report: Successful bronchoscopic interventional treatment of endobronchial leiomyomas
- Preliminary investigation into the genetic etiology of short stature in children through whole exon sequencing of the core family
- Cystic adenomyoma of the uterus: Case report and literature review
- Mesoporous silica nanoparticles as a drug delivery mechanism
- Dynamic changes in autophagy activity in different degrees of pulmonary fibrosis in mice
- Vitamin D deficiency and inflammatory markers in type 2 diabetes: Big data insights
- Lactate-induced IGF1R protein lactylation promotes proliferation and metabolic reprogramming of lung cancer cells
- Meta-analysis on the efficacy of allogeneic hematopoietic stem cell transplantation to treat malignant lymphoma
- Mitochondrial DNA drives neuroinflammation through the cGAS-IFN signaling pathway in the spinal cord of neuropathic pain mice
- Application value of artificial intelligence algorithm-based magnetic resonance multi-sequence imaging in staging diagnosis of cervical cancer
- Embedded monitoring system and teaching of artificial intelligence online drug component recognition
- Investigation into the association of FNDC1 and ADAMTS12 gene expression with plumage coloration in Muscovy ducks
- Yak meat content in feed and its impact on the growth of rats
- A rare case of Richter transformation with breast involvement: A case report and literature review
- First report of Nocardia wallacei infection in an immunocompetent patient in Zhejiang province
- Rhodococcus equi and Brucella pulmonary mass in immunocompetent: A case report and literature review
- Downregulation of RIP3 ameliorates the left ventricular mechanics and function after myocardial infarction via modulating NF-κB/NLRP3 pathway
- Evaluation of the role of some non-enzymatic antioxidants among Iraqi patients with non-alcoholic fatty liver disease
- The role of Phafin proteins in cell signaling pathways and diseases
- Ten-year anemia as initial manifestation of Castleman disease in the abdominal cavity: A case report
- Coexistence of hereditary spherocytosis with SPTB P.Trp1150 gene variant and Gilbert syndrome: A case report and literature review
- Utilization of convolutional neural networks to analyze microscopic images for high-throughput screening of mesenchymal stem cells
- Exploratory evaluation supported by experimental and modeling approaches of Inula viscosa root extract as a potent corrosion inhibitor for mild steel in a 1 M HCl solution
- Imaging manifestations of ductal adenoma of the breast: A case report
- Gut microbiota and sleep: Interaction mechanisms and therapeutic prospects
- Isomangiferin promotes the migration and osteogenic differentiation of rat bone marrow mesenchymal stem cells
- Prognostic value and microenvironmental crosstalk of exosome-related signatures in human epidermal growth factor receptor 2 positive breast cancer
- Circular RNAs as potential biomarkers for male severe sepsis
- Knockdown of Stanniocalcin-1 inhibits growth and glycolysis in oral squamous cell carcinoma cells
- The expression and biological role of complement C1s in esophageal squamous cell carcinoma
- A novel GNAS mutation in pseudohypoparathyroidism type 1a with articular flexion deformity: A case report
- Predictive value of serum magnesium levels for prognosis in patients with non-small cell lung cancer undergoing EGFR-TKI therapy
- HSPB1 alleviates acute-on-chronic liver failure via the P53/Bax pathway
- IgG4-related disease complicated by PLA2R-associated membranous nephropathy: A case report
- Baculovirus-mediated endostatin and angiostatin activation of autophagy through the AMPK/AKT/mTOR pathway inhibits angiogenesis in hepatocellular carcinoma
- Metformin mitigates osteoarthritis progression by modulating the PI3K/AKT/mTOR signaling pathway and enhancing chondrocyte autophagy
- Evaluation of the activity of antimicrobial peptides against bacterial vaginosis
- Atypical presentation of γ/δ mycosis fungoides with an unusual phenotype and SOCS1 mutation
- Analysis of the microecological mechanism of diabetic kidney disease based on the theory of “gut–kidney axis”: A systematic review
- Omega-3 fatty acids prevent gestational diabetes mellitus via modulation of lipid metabolism
- Refractory hypertension complicated with Turner syndrome: A case report
- Interaction of ncRNAs and the PI3K/AKT/mTOR pathway: Implications for osteosarcoma
- Association of low attenuation area scores with pulmonary function and clinical prognosis in patients with chronic obstructive pulmonary disease
- Long non-coding RNAs in bone formation: Key regulators and therapeutic prospects
- The deubiquitinating enzyme USP35 regulates the stability of NRF2 protein
- Neutrophil-to-lymphocyte ratio and platelet-to-lymphocyte ratio as potential diagnostic markers for rebleeding in patients with esophagogastric variceal bleeding
- G protein-coupled receptor 1 participating in the mechanism of mediating gestational diabetes mellitus by phosphorylating the AKT pathway
- LL37-mtDNA regulates viability, apoptosis, inflammation, and autophagy in lipopolysaccharide-treated RLE-6TN cells by targeting Hsp90aa1
- The analgesic effect of paeoniflorin: A focused review
- Chemical composition’s effect on Solanum nigrum Linn.’s antioxidant capacity and erythrocyte protection: Bioactive components and molecular docking analysis
- Knockdown of HCK promotes HREC cell viability and inner blood–retinal barrier integrity by regulating the AMPK signaling pathway
- The role of rapamycin in the PINK1/Parkin signaling pathway in mitophagy in podocytes
- Laryngeal non-Hodgkin lymphoma: Report of four cases and review of the literature
- Clinical value of macrogenome next-generation sequencing on infections
- Overview of dendritic cells and related pathways in autoimmune uveitis
- TAK-242 alleviates diabetic cardiomyopathy via inhibiting pyroptosis and TLR4/CaMKII/NLRP3 pathway
- Hypomethylation in promoters of PGC-1α involved in exercise-driven skeletal muscular alterations in old age
- Profile and antimicrobial susceptibility patterns of bacteria isolated from effluents of Kolladiba and Debark hospitals
- The expression and clinical significance of syncytin-1 in serum exosomes of hepatocellular carcinoma patients
- A histomorphometric study to evaluate the therapeutic effects of biosynthesized silver nanoparticles on the kidneys infected with Plasmodium chabaudi
- PGRMC1 and PAQR4 are promising molecular targets for a rare subtype of ovarian cancer
- Analysis of MDA, SOD, TAOC, MNCV, SNCV, and TSS scores in patients with diabetes peripheral neuropathy
- SLIT3 deficiency promotes non-small cell lung cancer progression by modulating UBE2C/WNT signaling
- The relationship between TMCO1 and CALR in the pathological characteristics of prostate cancer and its effect on the metastasis of prostate cancer cells
- Heterogeneous nuclear ribonucleoprotein K is a potential target for enhancing the chemosensitivity of nasopharyngeal carcinoma
- PHB2 alleviates retinal pigment epithelium cell fibrosis by suppressing the AGE–RAGE pathway
- Anti-γ-aminobutyric acid-B receptor autoimmune encephalitis with syncope as the initial symptom: Case report and literature review
- Comparative analysis of chloroplast genome of Lonicera japonica cv. Damaohua
- Human umbilical cord mesenchymal stem cells regulate glutathione metabolism depending on the ERK–Nrf2–HO-1 signal pathway to repair phosphoramide mustard-induced ovarian cancer cells
- Electroacupuncture on GB acupoints improves osteoporosis via the estradiol–PI3K–Akt signaling pathway
- Renalase protects against podocyte injury by inhibiting oxidative stress and apoptosis in diabetic nephropathy
- Review: Dicranostigma leptopodum: A peculiar plant of Papaveraceae
- Combination effect of flavonoids attenuates lung cancer cell proliferation by inhibiting the STAT3 and FAK signaling pathway
- Renal microangiopathy and immune complex glomerulonephritis induced by anti-tumour agents: A case report
- Correlation analysis of AVPR1a and AVPR2 with abnormal water and sodium and potassium metabolism in rats
- Gastrointestinal health anti-diarrheal mixture relieves spleen deficiency-induced diarrhea through regulating gut microbiota
- Myriad factors and pathways influencing tumor radiotherapy resistance
- Exploring the effects of culture conditions on Yapsin (YPS) gene expression in Nakaseomyces glabratus
- Screening of prognostic core genes based on cell–cell interaction in the peripheral blood of patients with sepsis
- Coagulation factor II thrombin receptor as a promising biomarker in breast cancer management
- Ileocecal mucinous carcinoma misdiagnosed as incarcerated hernia: A case report
- Methyltransferase like 13 promotes malignant behaviors of bladder cancer cells through targeting PI3K/ATK signaling pathway
- The debate between electricity and heat, efficacy and safety of irreversible electroporation and radiofrequency ablation in the treatment of liver cancer: A meta-analysis
- ZAG promotes colorectal cancer cell proliferation and epithelial–mesenchymal transition by promoting lipid synthesis
- Baicalein inhibits NLRP3 inflammasome activation and mitigates placental inflammation and oxidative stress in gestational diabetes mellitus
- Impact of SWCNT-conjugated senna leaf extract on breast cancer cells: A potential apoptotic therapeutic strategy
- MFAP5 inhibits the malignant progression of endometrial cancer cells in vitro
- Major ozonated autohemotherapy promoted functional recovery following spinal cord injury in adult rats via the inhibition of oxidative stress and inflammation
- Axodendritic targeting of TAU and MAP2 and microtubule polarization in iPSC-derived versus SH-SY5Y-derived human neurons
- Differential expression of phosphoinositide 3-kinase/protein kinase B and Toll-like receptor/nuclear factor kappa B signaling pathways in experimental obesity Wistar rat model
- The therapeutic potential of targeting Oncostatin M and the interleukin-6 family in retinal diseases: A comprehensive review
- BA inhibits LPS-stimulated inflammatory response and apoptosis in human middle ear epithelial cells by regulating the Nf-Kb/Iκbα axis
- Role of circRMRP and circRPL27 in chronic obstructive pulmonary disease
- Investigating the role of hyperexpressed HCN1 in inducing myocardial infarction through activation of the NF-κB signaling pathway
- Characterization of phenolic compounds and evaluation of anti-diabetic potential in Cannabis sativa L. seeds: In vivo, in vitro, and in silico studies
- Quantitative immunohistochemistry analysis of breast Ki67 based on artificial intelligence
- Ecology and Environmental Science
- Screening of different growth conditions of Bacillus subtilis isolated from membrane-less microbial fuel cell toward antimicrobial activity profiling
- Degradation of a mixture of 13 polycyclic aromatic hydrocarbons by commercial effective microorganisms
- Evaluation of the impact of two citrus plants on the variation of Panonychus citri (Acari: Tetranychidae) and beneficial phytoseiid mites
- Prediction of present and future distribution areas of Juniperus drupacea Labill and determination of ethnobotany properties in Antalya Province, Türkiye
- Population genetics of Todarodes pacificus (Cephalopoda: Ommastrephidae) in the northwest Pacific Ocean via GBS sequencing
- A comparative analysis of dendrometric, macromorphological, and micromorphological characteristics of Pistacia atlantica subsp. atlantica and Pistacia terebinthus in the middle Atlas region of Morocco
- Macrofungal sporocarp community in the lichen Scots pine forests
- Assessing the proximate compositions of indigenous forage species in Yemen’s pastoral rangelands
- Food Science
- Gut microbiota changes associated with low-carbohydrate diet intervention for obesity
- Reexamination of Aspergillus cristatus phylogeny in dark tea: Characteristics of the mitochondrial genome
- Differences in the flavonoid composition of the leaves, fruits, and branches of mulberry are distinguished based on a plant metabolomics approach
- Investigating the impact of wet rendering (solventless method) on PUFA-rich oil from catfish (Clarias magur) viscera
- Non-linear associations between cardiovascular metabolic indices and metabolic-associated fatty liver disease: A cross-sectional study in the US population (2017–2020)
- Knockdown of USP7 alleviates atherosclerosis in ApoE-deficient mice by regulating EZH2 expression
- Utility of dairy microbiome as a tool for authentication and traceability
- Agriculture
- Enhancing faba bean (Vicia faba L.) productivity through establishing the area-specific fertilizer rate recommendation in southwest Ethiopia
- Impact of novel herbicide based on synthetic auxins and ALS inhibitor on weed control
- Perspectives of pteridophytes microbiome for bioremediation in agricultural applications
- Fertilizer application parameters for drip-irrigated peanut based on the fertilizer effect function established from a “3414” field trial
- Improving the productivity and profitability of maize (Zea mays L.) using optimum blended inorganic fertilization
- Application of leaf multispectral analyzer in comparison to hyperspectral device to assess the diversity of spectral reflectance indices in wheat genotypes
- Animal Sciences
- Knockdown of ANP32E inhibits colorectal cancer cell growth and glycolysis by regulating the AKT/mTOR pathway
- Development of a detection chip for major pathogenic drug-resistant genes and drug targets in bovine respiratory system diseases
- Exploration of the genetic influence of MYOT and MB genes on the plumage coloration of Muscovy ducks
- Transcriptome analysis of adipose tissue in grazing cattle: Identifying key regulators of fat metabolism
- Comparison of nutritional value of the wild and cultivated spiny loaches at three growth stages
- Transcriptomic analysis of liver immune response in Chinese spiny frog (Quasipaa spinosa) infected with Proteus mirabilis
- Disruption of BCAA degradation is a critical characteristic of diabetic cardiomyopathy revealed by integrated transcriptome and metabolome analysis
- Plant Sciences
- Effect of long-term in-row branch covering on soil microorganisms in pear orchards
- Photosynthetic physiological characteristics, growth performance, and element concentrations reveal the calcicole–calcifuge behaviors of three Camellia species
- Transcriptome analysis reveals the mechanism of NaHCO3 promoting tobacco leaf maturation
- Bioinformatics, expression analysis, and functional verification of allene oxide synthase gene HvnAOS1 and HvnAOS2 in qingke
- Water, nitrogen, and phosphorus coupling improves gray jujube fruit quality and yield
- Improving grape fruit quality through soil conditioner: Insights from RNA-seq analysis of Cabernet Sauvignon roots
- Role of Embinin in the reabsorption of nucleus pulposus in lumbar disc herniation: Promotion of nucleus pulposus neovascularization and apoptosis of nucleus pulposus cells
- Revealing the effects of amino acid, organic acid, and phytohormones on the germination of tomato seeds under salinity stress
- Combined effects of nitrogen fertilizer and biochar on the growth, yield, and quality of pepper
- Comprehensive phytochemical and toxicological analysis of Chenopodium ambrosioides (L.) fractions
- Impact of “3414” fertilization on the yield and quality of greenhouse tomatoes
- Exploring the coupling mode of water and fertilizer for improving growth, fruit quality, and yield of the pear in the arid region
- Metagenomic analysis of endophytic bacteria in seed potato (Solanum tuberosum)
- Antibacterial, antifungal, and phytochemical properties of Salsola kali ethanolic extract
- Exploring the hepatoprotective properties of citronellol: In vitro and in silico studies on ethanol-induced damage in HepG2 cells
- Enhanced osmotic dehydration of watermelon rind using honey–sucrose solutions: A study on pre-treatment efficacy and mass transfer kinetics
- Effects of exogenous 2,4-epibrassinolide on photosynthetic traits of 53 cowpea varieties under NaCl stress
- Comparative transcriptome analysis of maize (Zea mays L.) seedlings in response to copper stress
- An optimization method for measuring the stomata in cassava (Manihot esculenta Crantz) under multiple abiotic stresses
- Fosinopril inhibits Ang II-induced VSMC proliferation, phenotype transformation, migration, and oxidative stress through the TGF-β1/Smad signaling pathway
- Antioxidant and antimicrobial activities of Salsola imbricata methanolic extract and its phytochemical characterization
- Bioengineering and Biotechnology
- Absorbable calcium and phosphorus bioactive membranes promote bone marrow mesenchymal stem cells osteogenic differentiation for bone regeneration
- New advances in protein engineering for industrial applications: Key takeaways
- An overview of the production and use of Bacillus thuringiensis toxin
- Research progress of nanoparticles in diagnosis and treatment of hepatocellular carcinoma
- Bioelectrochemical biosensors for water quality assessment and wastewater monitoring
- PEI/MMNs@LNA-542 nanoparticles alleviate ICU-acquired weakness through targeted autophagy inhibition and mitochondrial protection
- Unleashing of cytotoxic effects of thymoquinone-bovine serum albumin nanoparticles on A549 lung cancer cells
- Erratum
- Erratum to “Investigating the association between dietary patterns and glycemic control among children and adolescents with T1DM”
- Erratum to “Activation of hypermethylated P2RY1 mitigates gastric cancer by promoting apoptosis and inhibiting proliferation”
- Retraction
- Retraction to “MiR-223-3p regulates cell viability, migration, invasion, and apoptosis of non-small cell lung cancer cells by targeting RHOB”
- Retraction to “A data mining technique for detecting malignant mesothelioma cancer using multiple regression analysis”
- Special Issue on Advances in Neurodegenerative Disease Research and Treatment
- Transplantation of human neural stem cell prevents symptomatic motor behavior disability in a rat model of Parkinson’s disease
- Special Issue on Multi-omics
- Inflammasome complex genes with clinical relevance suggest potential as therapeutic targets for anti-tumor drugs in clear cell renal cell carcinoma
- Gastroesophageal varices in primary biliary cholangitis with anti-centromere antibody positivity: Early onset?