Abstract
Dicranostigma leptopodum (Maxim.) Fedde, an intriguing plant of the Papaveraceae family, exhibits numerous physiological activities, including antitumor, cytotoxic, immune-boosting, antibacterial, antioxidant, insecticidal, smooth muscle modulation, antiarrhythmic, fluorescent probe capabilities, as well as hypolipidemic and hypoglycemic effects. The plant’s diverse pharmacological actions are believed to be attributed to its rich reservoir of alkaloids distributed throughout the entire plant. This review encompasses an exploration of the chemical constituents, pharmacological activities, species distribution, extraction and separation methodologies, and content determination of D. leptopodum, aiming to contribute to its further advancement in medicinal development.
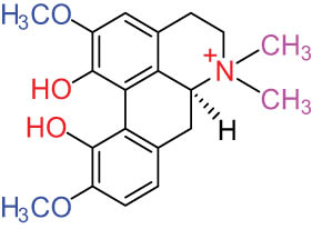
Graphical abstract

1 Introduction
Currently, within the Dicranostigma Hook. f. et Thoms. classification, six species have been identified: Dicranostigma lactucoides Hook. f. et Thoms. (DLT), Dicranostigma platycarpum C.Y. Wu et H. Chuang (DPC), Dicranostigma leptopodum (Maxim.) Fedde (DLF), Dicranostigma franchetianum (Prain) Fedde (DFF), Dicranostigma iliensis C.Y. Wu et H Chuang (DIW), and Dicranostigma henanensis S.Y. Wang et L. H. Wu (DHW) [1]. Among them, DLF or DFF are also known as Yunnan Sichuan tu chuang hua and hong mao cao, respectively [2,3]. These traditional medicinal herbs, derived from roots, possess cooling, bitter, astringent, and toxic properties. They are traditionally associated with heat-clearing, detoxification, reduction of swelling, and pain relief. These herbs find application in treating various conditions such as tonsillitis, toothache, sore throat, scrofula, gingival swelling and pain, scalp favus, scabies, carbuncle, tinea capitis, tinea corporis, and alopecia. Additionally, these herbs can be applied topically for alopecia, scabies, carbuncle, fistula, persistent stomatitis, suppurative otitis media, gastric ulcers, trauma, herpes zoster, scrotal tinea, vulval swelling and pain, mycotic vaginitis, and contagious ovine ecthyma (ORF), demonstrating notable therapeutic effects [4,5].
Compared to other species within the Dicranostigma genus, DLF stands out due to its higher concentration of alkaloids, particularly protoberberine derivatives, which are responsible for many of its medicinal properties [6]. Furthermore, recent studies have demonstrated that DLF possesses potent anti-inflammatory and analgesic effects, making it a promising candidate for the development of novel therapeutic agents [7]. Given the significant medicinal value and the unique chemical composition of DLF, this study focuses specifically on this species to explore its potential therapeutic applications and elucidate the mechanisms underlying its biological activities. By concentrating on DLF, we aim to provide a comprehensive understanding of its bioactive constituents and their pharmacological effects, thereby contributing to the development of evidence-based herbal therapies.
2 Main chemical constituents in DLF
2.1 Alkaloids
According to the Chinese Materia Medica, DLF primarily contains isoquinoline alkaloids. These include corydrine (CORY), isocorydrine (Iso-CORY), corytuberine, glaucine, magnoflorine (MAG), menisperine, dicranostigmine, corydaline, d-isocorydaline, isocorypalmine, sanguinarine (SAN), protopine (PRO), allocryptopine (ALL), and sinoacutine, which are derived from various parts of the plant [8]. For instance, chelerythrine (CHE), chelirubine (CHEL), cryptocavine, SAN, ALL, MAG, and PRO have been isolated from the roots [1]. Additionally, Chelombit’ko [9] collected aerial parts of DFF at the flowering stage and isolated berberine (BER, 12), coptisine (COP, 15), ALL, PRO, and Iso-CORY.
Gregorová et al. [10] isolated six compounds – SAN, CHE, BER, ALL, PRO, and COP – from the ethanol extracts of dried DLF roots using high-performance liquid chromatography (HPLC). In another study by Liu et al. [11], isoquinoline alkaloids were identified from DLF sourced from Pingliang (Gansu). These included 2 benzophenanthridines, 1 morphine, 4 aporphines, and 4 protoalkaloids identified as dihydrosanguinaline (D-SAN), 6-acetonyl-5,6-dihydrosanguinarine, N-methyl-hernovine, cis-protopinium, trans-protopinium, sinoacutine, dicranostigmine, isocorydaline, CORY, PRO, and ALL, respectively.
Moreover, Sun et al. [5] separated nine alkaloids – 10-O-methylhernovine, nantenine, corytuberine, lagesianine A, CORY, Iso-CORY, D-SAN, dihydrochelerythrine (D-CHE), PRO, and dihydrocryptopine – with three different structural skeletons of aporphine, protoberberine, and PRO by employing repeated silica gel column chromatography (CC).
Additionally, Zhong et al. [8] reported two quaternary protoberberine alkaloids, berberrubine and 5-hydroxycoptisine, from the entire plants of DLF. These alkaloids were isolated from the genus Dicranostigma for the first time, and the structure of a new compound was elucidated using various spectroscopic methods.
2.2 Triterpenoids
Wang and Li [12] discovered a novel hopane triterpene named Dicranostigmone and identified erythrodiol-3-O-palmitate, a previously known compound, in the petroleum ether extract of the 95% ethanol extract derived from the entire DLF plant located in Pinliang city, Gansu province. Additionally, Liu isolated β-sitosterol and β-daucosterin (β-sitosterol-3-O-glucoside) for the first time from the same DLF plant extract [13].
The structures of alkaloids and triterpenoids extracted from DLF are presented in Table 1.
Structures of alkaloids and triterpenoids from DLF
| Structure type | No. | Compound structure | Compound name (Abb.) | Molecular formula | Molecular weight | Plant parts [references] |
|---|---|---|---|---|---|---|
I Aporphine-type alkaloids ![]() |
1 |
![]() |
(+)-Corydrine (CORY) | C20H23NO4 | 341.4 | Whole plant [1,5,8,12] |
| 2 |
![]() |
(+)-Isocorydrine (Iso-CORY) | C20H23NO4 | 341.4 | Whole plant [1,5,8,12]; aerial parts [8] | |
| 3 |
![]() |
(+)-N-methylhernovine | C19H21NO4 | 327.4 | Whole plant [8,12] | |
| 4 |
![]() |
10-O-methylhernovine | C19H21NO4 | 327.4 | Whole plant [12] | |
| 5 |
![]() |
Corytuberine | C19H21NO4 | 327.4 | Whole plant [1,5] | |
| 6 |
![]() |
Glaucine | C21H25NO4 | 355.4 | Whole plant [1,5] | |
| 7 |
![]() |
Nantenine | C20H21NO4 | 339.4 | Whole plant [12] | |
| 8 |
![]() |
Lagesianine A | C20H23NO5 | 371.4 | Whole plant [12] | |
| 9 |
![]() |
Magnoflorine (MAG) | C20H24NO4 + | 342.5 | Whole plant [1,5]; roots [8,8] | |
| 10 |
![]() |
Menisperine | C21H26NO4 + | 356.4 | Whole plant [1,5] | |
| 11 |
![]() |
Dicranostigmine | C20H20NO5 | 354.1 | Whole plant [1,5,14] | |
II Protoberberine-type alkaloids ![]() |
12 |
![]() |
Berberine (BER) | C20H18NO4 + | 235.3 | Aerial parts [10]; roots [11] |
| 13 |
![]() |
Berberrubine | C19H16NO4 + | 322.1 | Whole plant [14,20] | |
| 14 |
![]() |
5-Hydroxycoptisine | C19H14NO5 + | 336.1 | Whole plant [14,20] | |
| 15 |
![]() |
Coptisine (COP) | C19H14NO4 | 320.3 | Aerial parts [10]; roots [11] | |
| 16 |
![]() |
cis-Protopinium | C20H20NO5 | 354.1 | Whole plant [8] | |
| 17 |
![]() |
trans-Protopinium | C20H20NO5 | 354.1 | Whole plant [8] | |
| 18 |
![]() |
Corydaline | C22H27NO4 | 369.4 | Whole plant [1,5] | |
| 19 |
![]() |
d-Isocorydaline | C22H27NO4 | 369.4 | Whole plant [1,5] | |
| 20 |
![]() |
(−)-Isocorypalmine | C20H23NO4 | 341.4 | Whole plant [1,5] | |
III Benzophenanthridine-type alkaloids ![]() ![]() |
21 |
![]() |
Sanguinarine (SAN) | C20H14NO4 + | 332.3 | Whole plant [1,5]; roots [8,9] |
| 22 |
![]() |
Chelerythrine (CHE) | C21H18NO4 + | 348.4 | Roots [8,9,11] | |
| 23 |
![]() |
Chelirubine (CHEL) | C21H16NO5 + | 362.3 | Roots [8,9] | |
| 24 |
![]() |
Dihydrosanguinaline (D-SAN) | C20H15NO4 | 333.3 | Whole plant [8,12] | |
| 25 |
![]() |
Dihydrochelerythrine (D-CHE) | C21H19NO4 | 349.4 | Whole plant [12] | |
| 26 |
![]() |
6-Acetonyl-5,6-dihydrosanguinaline | C23H19NO5 | 389.4 | Whole plant [8] | |
IV Protopine-type alkaloids ![]() |
27 |
![]() |
Protopine (PRO) | C20H19NO5 | 353.3 | Whole plant [1,5,8,12]; roots [8,9,11]; aerial parts [10] |
| 28 |
![]() |
Allocryptovine (ALL) | C21H23NO5 | 369.4 | Whole plant [1,5,8]; roots [7,8,11]; aerial parts [10] | |
| 29 |
![]() |
Cryptocavine | C21H23NO5 | 369.4 | Roots [8,9] | |
| 30 |
![]() |
Dihydrocryptopine | C21H25NO5 | 371.4 | Whole plant [12] | |
Ⅴ Morphine-type alkaloids ![]() |
31 |
![]() |
Sinoacutine | C19H21NO4 | 327.4 | Whole plant [1,5,8] |
Ⅵ Triterpenes ![]() |
32 |
![]() |
Dicranostigmone | C30H46O2 | 439.4 | Whole plant [12] |
![]() |
33 |
![]() |
Erythrodiol-3-O-palmitate | C46H80O3 | 681.1 | Whole plant [12] |
![]() |
34 |
![]() |
β-Sitosterol | C29H50O | 414.7 | Whole plant [14] |
| Tetracyclic triterpenoids: lanostane-type: triterpenoid saponin | 35 |
![]() |
β-Daucosterine | C35H60O6 | 576.9 | Whole plant [14] |
3 Extraction and separation of active sites and components from DLF
3.1 Ethanol extraction, acid-soluble alkali precipitation, chloroform extraction, silica gel CC
Initially, dried DLF was pulverized and subjected to extraction using 95% ethanol. The ethanol solvent was then removed through decompression, and the resulting extract was reconstituted in a 2% H2SO4 aqueous solution. Subsequently, an acidified chloroform extract was derived via chloroform extraction, concentrating the resulting extractant under reduced pressure. The pH of the aqueous solution was adjusted to 9 using ammonia water, followed by an extraction process using chloroform to acquire the alkalized chloroform phase. This alkalized chloroform extract underwent gradient elution on a silica gel CC using a chloroform–methanol–triethylamine solvent system [14].
3.2 Process of ethanol ultrasound extraction-Al2O3 CC
The hay powder of DLF was soaked or macerated with 95% ethanol and sealed for 2–3 days at room temperature, typically around 25°C. Following this, ultrasonic vibration was applied for 1 h, and the resultant mixture was then filtered under normal pressure. The filtrate obtained was concentrated under reduced pressure until no alcoholic taste was perceived. The ethanol extract obtained underwent elution with chloroform using a dry neutral Al2O3 (200–300 mesh) quartz CC. Subsequently, the chloroform eluate was concentrated under vacuum. NaOH was then added to the concentrated eluate, and the mixture was allowed to stand for 2–3 days. The resulting white crystals formed were collected through vacuum filtration and subsequently dried to yield the final product [15].
3.3 Process of preparation of dicranostigmine by high-pressure chromatography
Dicranostigmine was synthesized from the ethanol extract of DLF utilizing medium-pressure (ranging from 50 to 20 bar) preparative chromatography. The specific chromatography conditions employed were as follows: the QuikSep-50 medium-high pressure chromatography system was utilized along with a C18SMB100-20/45 (5 μm) filler within a self-loading high-pressure stainless steel pipe column measuring 30 mm × 250 mm. The column was maintained at a pressure of 2 MPa throughout the process. The mobile phase used was a mixture of methanol and water in a ratio of 80:20. Detection of the compound was conducted at a wavelength of 328 nm, with the column temperature set at room temperature. The flow rate during the process was maintained at 14 mL/min, and the injection volume was 4 mL. The purity of the synthesized sample was evaluated as 88%, calculated based on the normalization of the peak obtained via HPLC [8].
3.4 Simultaneous determination of alkaloids in DLF by HPLC
The purification process of the effective fraction of alkaloids (EFA) in DLF involved using D101 macroporous resin. High-performance liquid chromatography with diode-array detection (HPLC-DAD) was established to determine the total alkaloid content of EFA. Results indicated that the total alkaloid content of EFA was 19.04 ± 1.23% as determined by the HPLC-DAD method. Meanwhile, UV-visible spectrophotometry suggested the total alkaloid content of EFA to be 65.92 ± 1.33%. These newly established methods demonstrated rapid and accurate determinations with high repeatability, paving the way for further applications of EFA from DLF [13].
Furthermore, a straightforward and efficient method was developed for the simultaneous determination and effective fractionation of eight isoquinoline alkaloids in the methanol extracts of DLF using HPLC-DAD. The chromatographic conditions were optimized on a SinoChrom ODS-BP column to identify two aporphines (Iso-CORY and CORY), two protopines (PRO and ALLO), morphine (sinoacutine), and three protoberberine alkaloids (BER, 5-hydroxycoptisine, and berberrubine). The optimized chromatogram conditions for the standard solution included wavelengths at 270 and 360 nm, mobile phase consisting of acetonitrile (A) and 0.2% phosphoric acid in water adjusted to pH 6.32 by triethylamine solution (B), gradient elution from 20 to 26% (A) at 0–20 min, 26–50% (A) at 20–35 min, holding at 50% (A) at 35–37 min, 50–20% (A) at 37–40 min, and finally 20% (A) at 40–45 min. The injection volume was 20 μL, and the flow rate was 1.0 mL/min [4].
4 Pharmacological effects of DLF
The crude extracts and active constituents derived from DLF showcase a diverse range of pharmacological activities. These activities encompass antitumor and cytotoxic properties, immune protection, antimicrobial effects against pathogens, antioxidant capabilities, insecticidal attributes, impacts on smooth muscle function, anti-arrhythmic potential, utilization as a DNA fluorescence probe, as well as hypolipidemic and hypoglycemic activities.
4.1 Antitumor and cytotoxic activities
Hammerová et al. [15] discovered that SAN, CHE, and CHEL extracted from DLT exhibited potent anti-proliferative effects on melanoma cells. These compounds also demonstrated efficacy in treating malignant melanoma, including p53 deficient melanoma, by inducing apoptosis through reduced levels of anti-apoptotic proteins (Bcl-xL, Mcl-1, XIAP), mitochondrial membrane potential disruption, and activation of caspase-3 and poly ADP-ribose polymerase cleavage [16]. SAN displayed antitumor effects in epithelial ovarian cancer cells by modulating the CASC2-EIF4A3 axis, inhibiting NF-κB signaling or the PI3K/AKT/mTOR pathway [17], and by upregulating Fas-associated factor 1 in non-small cell lung cancer [18]. Liposomal SAN demonstrated dose-dependent cytotoxic activity (CTA) against prostate cancer cell lines LNCaP, DU 145, and PC-3, inducing efficient apoptosis in both hormone-sensitive and -independent cells. Thus, liposomal SAN emerges as a promising antitumor agent for both hormone-sensitive and -independent tumors [19].
Additionally, Fox et al. [20] identified PRO, ALL, and cryptocavine from DLF as topoisomerase I toxicants, resembling camptothecins for their cytotoxicity in human cancer cell cultures. Sun et al. [5] isolated nine alkaloids with diverse structural skeletons (aporphine, protoberberine, and PRO) from DLF. Cell proliferation and cytotoxicity assays using the cell counting kit-8 demonstrated that these alkaloids hinder the growth of human lung cancer cells (H1299), breast cancer cells (MCF-7), and human hepatoma cells (SMMC-7721) via CTA. Furthermore, nantenine, corytuberine, and D-SAN exhibited cytotoxic effects on the SMMC-7721 cell line both in vitro and in vivo. Lagesianine A exhibited anti-poliovirus activity. Although CORY and Iso-CORY were inactive against KB cells, they curbed the proliferative activity of hepatocellular carcinoma cell lines by inducing G2/M stage cell cycle arrest [21] and apoptosis related to programmed cell death 4 [22]. D-SAN exhibited superior CTA compared to PRO against human non-small cell lung cancer cells (A549), human colon cancer cells (HT-29), oral cancer cells (KB cells), and mouse leukemia cells (P-388) [23]. Consequently, a series of mild C(sp3)-H functionalization of D-SAN and D-CHE were synthesized to develop highly cytotoxic derivatives against human breast, colorectal, and prostate cancer cell lines, exhibiting IC50 values in the range of 0.6–8.2 μM, akin to the positive control doxorubicin. D-SAN and D-CHE represent potential lead compounds for the development of novel anticancer agents [24]. The aforementioned studies highlight the greater cytotoxicity of BER-type alkaloids compared to PRO and aporphine. The structure–activity correlation revealed the critical role of 1-OH and 11-OH of aporphine alkaloids in the cytotoxicity on selected cell lines, while 1-OCH3 did not exhibit any cytotoxicity. These compounds might target the D2 receptor in cells. Nevertheless, further research is indispensable to elucidate the mechanism of DLF alkaloids.
Moreover, Ahsan et al. [25] demonstrated that SAN triggers apoptosis in human pancreatic cancer cells, AsPC-1 and BxPC-3, by modulating the B-cell lymphoma-2 (Bcl-2) protein. SAN’s induction of apoptosis and cell cycle disturbance attributes its effects to the modulation of Bcl-2 and the human tumor suppressor gene (p53). SAN hindered viability, growth, and colony formation ability, induced apoptosis and G0–G1 phase cell cycle arrest, elevated pro-apoptotic Bax, Bid, and Bak proteins while reducing anti-apoptotic Bcl-2 and Bcl-X(L) proteins. It also decreased p53 levels but enhanced its phosphorylation in AsPC-1 and BXPC-3 cells in a dose-dependent manner. This study suggests SAN’s potential as a therapeutic agent for managing pancreatic cancer. Nonetheless, further studies employing animal models are imperative. The mechanisms involved encompass increased levels of apoptotic proteins (Bax, Bid, and Bak), reduced inhibition of anti-apoptotic proteins (Bcl-2 and Bcl-XL), and increased phosphorylation yet decreased levels of the human tumor suppressor gene p53. Thus, SAN holds promise as a therapeutic agent for pancreatic cancer.
Wolff and Knipling [26] presented evidence that benzophenanthridine alkaloids, namely CHEL, SAN, and CHE, act as inhibitors, impeding paclitaxel-mediated microtubulin aggregation in rat brains. CHEL competitively weakens the binding of colchicine to tubulin without affecting podophyllotoxin binding to microtubulin. Conversely, SAN inhibits the binding of colchicine and podophyllotoxin to microtubulin. The IC50 values of SAN were measured at 32 and 46 mM, respectively, while those of CHE were 55 and 60 mM, respectively. Notably, the combined effect of the two drugs was synergistic. The disappearance of fluorescence peaks at 596 nm and yellow staining indicated the potential reversible formation of an acid-pseudobase by SAN via tubulin, involving several sulfhydryl groups and its ammonium ion. Additionally, the pharmacological impact of these drugs might be due to their role in hindering tubulin polymerization and preventing cell mitosis.
Overall, aporphine-type, benzophenanthridine-type, and protoberberine-type alkaloids found in DLF potentially constitute the fundamental framework of leading compounds for antitumor drugs.
4.2 Immune protection
The therapeutic options for Severe Acute Respiratory Syndrome Coronavirus (SARS-CoV-2) are currently confined to repurposed drugs aimed at symptom management and nonspecific interventions to bolster the human immune system. This study employed chromatographic and in silico methodologies to pinpoint bioactive compounds potentially acting as inhibitors for SARS-CoV-2, alongside human immunomodulators like tumor growth factor-beta (TGF-β) and tumor necrosis factor-alpha (TNF-α). Notably, bioactive compounds such as BER and MAG were identified as potent inhibitors against the main protease (Mpro) of SARS-CoV-2 through multiple docking strategies. These inhibitors demonstrated significant roles in viral replication/transcription during infection and targeted the conserved binding cleft common among various coronavirus strains [27].
MAG was observed to notably upregulate TNF-α and interleukin-1 beta levels, prostaglandin E2 production, and cyclooxygenase-2 protein expression. This, in turn, stimulated mRNA transcription levels of these pro-inflammatory mediators and enhanced NF-κB activation by triggering phosphorylation of p65, IκBα (inhibitor of NF-κB), and IKK (inhibitor of kappa B kinase) α/β. Additionally, it prompted IκBα degradation and upregulated MyD88 (myeloid differentiation primary response gene 88) and TLR4 (Toll-like receptor 4). These results suggested that MAG amplifies immune responses, contributing to immunomodulation [28]. Shan demonstrated that DLF induced a significant O2 effect in peritoneal macrophages (PMΦ) in mice. DLF intake positively affected PMΦ activity and phagocytosis, along with increased lysozyme levels, showcasing the activation of PMΦ and enhancement of immune function [29].
Moreover, experiments conducted by Zhang et al. [30] in a hypoimmune mouse model indicated that DLF injection activated PMΦ, significantly enhancing immune function in mice with low immune responses. The injection also notably improved nonspecific immunity and specific humoral immunity, as reflected by alterations in various measured indicators. In an immune-related liver injury model disrupted by Bacillus Calmette-Guerin (BCG) and lipopolysaccharide (LPS) in mice, DLF administration resulted in lowered levels of liver enzymes (AST, ALT, LDH), reduced malondialdehyde (MDA) content in liver homogenate, and alleviated liver tissue damage compared to the control group. These findings suggest that the DLF extract offers protective effects against immune-related liver injury induced by BCG and LPS [31].
Additionally, Zhang [32] reported significantly reduced levels of liver injury markers and increased superoxide dismutase (SOD) levels in mice treated with different DLF doses compared to the CCl4-induced acute chemical liver injury group. Microscopic pathology revealed DLF’s protective effect against hepatocyte degeneration and necrosis caused by CCl4-induced liver injury, potentially attributed to its anti-free radical effect and involvement in nonspecific immune defense [33].
In summary, various DLF extracts or their natural components, including MAG, exhibit potential as immunomodulators contributing to immune protection in the domain of Chinese medicine.
4.3 Anti-pathogenic microorganism action
Li [34] utilized the plate dilution method and determined that the minimum inhibitory concentration (MIC) values of the 95% ethanol extract of DLF against Gram-positive and Gram-negative bacteria were 0.18 mg/mL for Escherichia coli, 0.14 mg/mL for Staphylococcus aureus, and 0.26 mg/mL for Enterococcus faecalis, highlighting the notable antibacterial effect of DLF.
Xue [35] established that DLF preparations effectively hinder the proliferation of the H52 strain (infectious bronchitis virus) in chicken embryos. The effective concentration ranged from 2.5 to 5 mg/mL, and its inhibitory effect was positively correlated with increasing DLF concentration.
Chen et al. [36] presented the MIC values of β-magarine against various fungi, showcasing values of 10 μg/disc for Penicillium avellaneum (UC-4376), 100 μg/disc for Pyricularia oryzae, and 5 μg/disc for Penicillium corylus. Notably, no inhibition of Magnaporthe oryzae was observed at 100 μg/disc.
Wei et al. [37] evaluated the inhibitory effects of CHE against Ustilaginoidea virens and Cochliobolus miyabeanus with 50% effective concentrations (EC50) of 6.53 × 10−3 mg/mL and 5.62 × 10−3 mg/mL, respectively. Additionally, CHE exhibited high efficacy in inhibiting spore growth of U. virens and outperformed the commercial fungicide validamycin. After treatment with CHE, significant morphological changes occurred in U. virens mycelia, indicating potential apoptosis induction in pathogenic fungi.
Cheng and Liu [38] demonstrated the robust inhibitory effects of various alkaloids (MAG, SAN, CHE, and ALL) in DLF against the acid production of Streptococcus mutans. The observed bacteriostatic and antibacterial effects are attributed to the combined activity of these alkaloids.
Qin and Dang [39] screened the medicinal components of DLF by water-soluble injection of murine interferon-gamma (mIFN-γ) and determined the standard for the DLF water-soluble preparation that contains 250 mg/mL of dry substance. The killing rate of 106 E. coli was >95% at 4°C after 72 h, and the average nitrogen content was 2.29%. The average content of IFN-γ of 5 × 105 leukomonocytes was >450 pg/mL, and the average nitrogen content was 1.67% in vitro culture medium of 1-month-old Balb/c mice. The bactericidal effect of the water extract from the DLF water-soluble preparation was significantly higher than the precipitation of the water extract and exhibited adequate antibacterial and immunomodulatory functions.
MAG exhibited substantial antifungal activity against Trichophyton rubrum and Trichophyton mentagrophyte, demonstrating better fungicidal efficiency against T. rubrum than T. mentagrophyte. Its impact on T. rubrum encompassed inhibiting conidia germination, suppressing hyphal growth, and inducing morphological alterations in the mycelium, including deformation growth, surface peeling, and cytoplasmic contraction. While MAG did not significantly affect cell wall integrity, it effectively disrupted the fungal cell membrane of T. rubrum. This disruption led to increased nucleic acid leakage, reduced activities of squalene epoxidase and CYP51 enzyme, and decreased ergosterol content in hyphae, all indicative of its potential as an effective antifungal agent [40]. Isoquinoline alkaloids, including BER, COP, corydaline, CHEL, D-SAN, CHE, and SAN, exhibited varying degrees of inhibition against plant fungi [41]. Among these, SAN displayed notable antifungal activity within a range of 6.96–59.36 μg/mL, exhibiting superior inhibitory effects against M. oryzae when compared to azoxystrobin. SAN significantly suppressed spore germination of M. oryzae, achieving a 100% inhibition rate at 50 μg/mL. Observations through optical microscopy and scanning electron microscopy following treatment of M. oryzae mycelia with SAN at 10 μg/mL revealed substantial alterations in mycelial structure, including curvature, collapse, and damaged cell membrane integrity. Additionally, changes were observed in reactive oxygen species production, mitochondrial membrane potential, and nuclear morphometry, indicating the disruption of membrane function and cell proliferation of the mycelium. These findings provide valuable insights into the mechanisms underlying SAN’s potent antifungal activity against M. oryzae.
4.4 Antioxidant activities
Zhao et al. investigated the impact and mechanism of DLF extract on H2O2-induced oxidative hemolysis of mouse erythrocytes in vitro and acetylphenylhydrazine (APH) in vivo. Consequently, the H2O2-induced oxidative hemolysis was suppressed, leading to increased erythrocyte count and hemoglobin content. Additionally, the activity of catalase (CAT), glutathione peroxidase (GSH-Px), and glucose-6-phosphate dehydrogenase (G-6-PD) was enhanced, while SOD activity remained unaltered. These findings indicated that DLF extract mitigated H2O2- or APH-induced hemolysis, potentially attributed to increased G-6-PD activity, consequently alleviating oxidative hemolysis of erythrocytes by inhibiting APH interference with G-6-PD [42].
Moreover, Aihong examined the effect of DLF on hepatic microsome injury resulting from lipid peroxidation after CCl4 administration in mice. They assessed the activities of SOD, CAT, and GSH-Px in liver plasma, and Na+, K+-ATPase, and Ca2+-ATPase in hepatic microsomes suspension using commercial kits. They also measured the activities of NADPH and cytochrome C (P450) reductase in the microsome via spectrometry. Additionally, the levels of MDA in hepatic microsome suspension were measured using the thiobarbituric acid method. The results demonstrated that DLF pretreatment significantly increased the activities of SOD and GSH-Px, notably enhancing Na+, K+-ATPase, and Ca2+-ATPase activities, and partially mitigating the rise in NADPH cytochrome C (P450) reductase activity and MDA levels. These findings indicated that DLF stimulated hepatic antioxidant enzyme activity, neutralizing free radicals generated by CCl4 metabolism, thus exhibiting a protective effect against resulting liver injury in mice [43].
4.5 Insecticidal activities
Wang [44] demonstrated SAN’s robust killing activity against Dactylogyrus in goldfish water, with a lethal range between 0.4 and 0.6 mg/L. It exhibited a complete lethal effect on Dactylogyrus at a 100% insecticidal rate beyond 0.6 mg/L, while its toxic effect on goldfish exceeded 1 mg/L, indicating a higher tolerance threshold.
Ming [45] employed the indoor immersion method to create specific SAN concentrations. Oncomelania hupensis, immersed for 24, 48, 72, and 96 h at a constant temperature of 25°C, exhibited mortality rates of over 90% at 25 mg/L for 48 h, 6.25 mg/L for 72 h, and 0.78125 mg/L for 96 h. A complete mortality rate was observed at 25 mg/L for 72 h and 12.5 mg/L for 96 h. The findings revealed SAN’s pronounced lethality against O. hupensis, even at low mass concentrations.
Zhou and Yang [46] evaluated the insecticidal activity of ALLO through the insect immersion method. Their bioassay results displayed substantial bioactivity of ALLO against Pieris rapae larvae, Tribolium castaeum adults, and Culex quinquefasciatus larvae. The mortality rates of C. quinquefasciatus 3rd instar larvae were 70.00, 73.33, 80.00, and 86.67% at 0.05 mg/mL over 12, 24, 48, and 72 h, respectively. Non-selective rejections of P. rapae 5th instar larvae were 84.03 and 89.76% at 0.5 mg/mL in 24 and 48 h, respectively. T. castaeum adults exhibited oviposition contraceptive rates of 56.67, 70.00, 76.67, and 83.33% at 0.5 mg/mL over 12, 24, 48, and 72 h, respectively. These experimental findings highlight SAN and ALLO as integral components of DLF insecticides.
5 Effects on smooth muscle
Li et al. [47] investigated the indirect and direct effects of PRO on the intracellular calcium concentration ([Ca2+]i) in rat vascular smooth muscle cells (VSMCs) via the Ca2+-free Ca2+ method and fluorescence calcium indicator (Fura-2/AM). Their study revealed that 10, 30, and 100 μmol/L PRO significantly inhibited the transient contraction of NA-induced vascular strips in Ca2+-free Krebs solution in a concentration-dependent manner. Moreover, PRO dose-dependently reduced the persistent contraction induced by NA after Ca2+ restoration. In VSMCs loaded with Fura-2/AM, PRO (at 50 and 100 μmol/L) did not significantly affect [Ca2+]i at rest. However, in the presence of exogenous calcium, PRO was observed to mitigate the increase in [Ca2+]i triggered by NA and high K+ levels. This suggested that PRO might impede vascular smooth muscle contraction by suppressing Ca2+ release and/or influx in response to NA and high K+ stimulation, contributing to its vasodilator effect.
In a prior investigation on rabbit aorta, PRO’s vasodilatory effect was linked to increased cyclic adenosine monophosphate (cAMP) and cyclic guanosine monophosphate (cGMP) [48]. Moreover, PRO attenuated NA and high K+-induced aortic strip contractions and significantly reduced the maximal response. In Fura-2/AM-loaded VSMCs, PRO (at 50 and 100 μmol/L) did not induce notable changes in resting [Ca2+]i levels but significantly mitigated the elevation of [Ca2+]i caused by NA and high K+. Additionally, PRO (at 30 and 100 μmol/L) led to the translocation of protein kinase C (PKC) from the cytosol to the membrane in the presence of NA, indicating its potential role in modulating PKC translocation, [Ca2+]i reduction, and effects on cAMP and cGMP levels, contributing to its vasodilatory effect.
Fan [49] identified PRO as a potential candidate for anti-asthma treatment. They reported that PRO exhibited pD2’ in vitro values of 3.11 and 3.45 for constrictions induced by histamine and acetylcholine, respectively. Moreover, in rabbit tracheal smooth muscle cells (TSMCs), PRO demonstrated an increase in cAMP levels, while no significant change was observed in cGMP levels. Interestingly, PRO inhibited cAMP-PDE (phosphodiesterase) activity in guinea pig TSMCs without showing a significant effect on cGMP-PDE activity. Additionally, PRO successfully inhibited TSM constriction. These findings suggest that one of the mechanisms underlying PRO’s action might involve its increased impact on cAMP levels via the inhibition of cyclic nucleotide PDE activity in the trachea, leading to the relaxation of tracheal smooth muscle.
5.1 Antiarrhythmic effects
Lu [50] conducted a study utilizing eight animal models to investigate the antiarrhythmic effects of PRO. Their findings revealed that PRO demonstrated protective effects against arrhythmia induced by aconitine, calcium chloride, and benzene adrenaline in rats. Additionally, it showed effectiveness in preventing ventricular fibrillation induced by chloroform (CHCl3) in mice and ventricular fibrillation triggered by electrical stimulation in rabbits. The proposed underlying mechanism of this effect involved the blockage of the Na+ channel in myocardial cells, which led to a prolonged refractory period.
5.2 Fluorescence properties or DNA fluorescence probe
The study conducted by Cao [51] focused on exploring the fluorescence and absorption spectra of MAG. They found that in the aqueous solution of MAG, three distinct fluorescent peaks appeared in the three-dimensional (3D) fluorescence spectra. These peaks were observed at excitation wavelengths [λ(ex)] of 230, 275, and 315 nm, emitting at the same wavelength [λ(ex)] of 420 nm. Notably, variations in pH levels of the solution caused shifts in the fluorescence peak and led to the emergence of an isosbestic point in the absorption spectrum, indicating proton ionization in a hydroxyl group within the MAG molecule. Through the pH-absorption method, they determined the proton ionization constant (pK a = 4.77) of MAG.
Using l-tryptophan as a reference, the researchers calculated the fluorescence quantum yield (Y) of the aqueous MAG solution to be 0.19. These characteristic fluorescence peaks were identified in the 3D fluorescence spectra of various Chinese herbal medicines. By preparing extracts of Sinomenium acutum in a methanol–water solvent, specifically with 60% methanol, the team obtained 3D fluorescence spectra. In the neutral aqueous solution derived from S. acutum, the fluorescence peak appeared at λ(ex)/λ(em) = 315 nm/420 nm, which remained unaffected by coexisting components. Consequently, they established a method for determining MAG in S. acutum. The developed regression equation for fluorescence intensity (IF) and MAG concentration (c) in the range of 0.04–1.25 μg/mL was IF = 6146.8c + 24.4 (R = 0.999, n = 11), with a detection limit of 0.52 ng/mL. The determined MAG content in S. acutum reference material was 0.63%, with a recovery rate of 101.2–102.7%. The fluorescence method was consistent with the LC-MS/MS method, which determined the MAG content in the same sample as 0.61%.
Regarding Rajecky et al.’s study [52], they highlighted that extracts from the Himalayan herb DLT containing CHEL could serve as DNA fluorescent probes. These probes exhibited blue (free-form) and red (intercalated to DNA) luminescence after irradiation by near-UV light. Besides quantifying DNA (with a limit of detection = 6 ng/mL), CHEL showed potential as a supravital cell probe due to its ability to permeate cell membranes.
5.3 Hypolipidemic and hypoglycemic activity
The study conducted by Hung et al. [53] demonstrated several notable effects of MAG on lipid peroxidation and its potential in preventing oxidation-related damage. MAG showed protection against human high-density lipoprotein (HDL) from lipid peroxidation. It notably inhibited Cu2+-induced HDL lipid peroxidation, prolonging the lag phase of oxidation (62–123 min) at a concentration of 3 mM. Additionally, MAG inhibited the generation of thiobarbituric acid reactive substances in a dose-dependent manner, with IC50 values of 2.3 ± 0.2 and 6.2 ± 0.5 mM when HDL oxidation was induced by Cu2+ or 2,2-azobis(2-amidinopropane) dihydrochloride, respectively. Moreover, the inclusion of MAG in Cu2+-oxidized HDL protected against low-density lipoprotein oxidation, suggesting a preventive role for MAG in HDL oxidation.
Patel and Mishra [54] identified MAG as a promising α-glucosidase inhibitor, indicating its potential as an antidiabetic agent. The enzyme kinetics study using sucrose and maltose as substrates revealed that MAG caused an increase in the apparent Michaelis–Menten constant (Km) and acted as a reversible, competitive inhibitor. The IC50 values for MAG as a sucrase inhibitor and a maltase inhibitor were determined to be 9.8 and 7.6 μg/mL, respectively. In vivo studies conducted on rats through an oral glucose tolerance test showed that MAG at a dose of 20 mg/kg body weight significantly suppressed (P < 0.01) the increase in plasma glucose levels, indicating its potential as an α-glucosidase inhibitor in vitro and in vivo.
These findings suggest that MAG possesses antioxidative properties against lipid peroxidation, particularly in HDL protection, and exhibits inhibitory effects on α-glucosidase, showcasing potential as an antidiabetic agent.
5.4 Analgesic effect
The currently utilized opioid analgesics act as agonists to the mu-opioid receptor (MOR) but are also associated with significant side effects. Hence, medicinal plants serve as crucial sources for potential new drug candidates; morphine and its semisynthetic analogs stand as well-known examples of analgesic medications. As novel MOR agonists, two naturally occurring plant alkaloids, CORY and corydaline, elicit antinociceptive effects in mice upon subcutaneous administration through a MOR-dependent mechanism. Furthermore, CORY and corydaline have been identified as G protein-biased agonists targeting the MOR, not inducing β-arrestin2 recruitment upon receptor activation. These novel scaffolds thus offer promising initial points for future chemical optimization, paving the way for the development of new opioid analgesics with potentially enhanced therapeutic profiles [55].
6 Application prospects
The alkaloids present in DLF exhibit a wide array of physiological activities encompassing cytotoxicity, antitumor, antibacterial, antiviral, antioxidation, antiarrhythmic, immunoregulatory, insecticidal, and fluorescence properties within the realm of natural medicine. Numerous isoquinoline alkaloids, such as SAN, CHE, MAG, Cop, Iso-CORY, and corydaline, could potentially account for the anticancer effects attributed to DLF. Three distinct structural skeletons – aporphine, protoberberine, and PRO – might serve as natural precursors for the development of novel drugs. Therefore, there is a necessity to delve into their chemical components, elaborate on the pharmacodynamic basis, and identify the specific antitumor or precursor compounds. This exploration should encompass understanding the chemical foundation responsible for antioxidation and liver protection, as well as isolating antibacterial compounds with substantial efficacy.
Acknowledgements
We greatly appreciate the financial support from Henan Provin cial Science and Technology International Cooperation Grant (242102521040) and Zhengzhou Railway Vocational and Technical College (ZZRVTC), the technical guidance from Henan Railway Food Safety Management Engineering Technology ResearchCenter.
-
Funding information: This work was supported by Henan Provincial Science and Technology International Cooperation Grant (242102521040) and Zhengzhou Railway Vocational and Technical College (ZZRVTC).
-
Author contributions: All authors participated in the design, interpretation of the studies and analysis of the data, and review of the manuscript. Y.T. drafted the work and revised it critically for important intellectual content; Y.G., Y.Z., Z.Z., and L.R. were responsible for the acquisition, analysis, or interpretation of data for the work; C.Z. made substantial contributions to the conception or design of the work. All authors read and approved the final manuscript.
-
Conflict of interest: Authors state no conflict of interest.
-
Data availability statement: The datasets generated during and/or analyzed during the current study are available from the corresponding author on reasonable request.
References
[1] Suchomelová J, Bochoráková H, Paulová H, Musil P, Táborská E. HPLC quantification of seven quaternary benzo[c]phenanthridine alkaloids in six species of the family Papaveraceae. J Pharm Biomed Anal. 2007 May;44(1):283–7. 10.1016/j.jpba.2007.02.005, Epub 2007 Feb 13. PMID: 17367981.Search in Google Scholar PubMed
[2] Wang L, Li F, Wang N, Gao Y, Liu K, Zhang G, et al. Characterization of the Dicranostigma leptopodum chloroplast genome and comparative analysis within subfamily Papaveroideae. BMC Genomics. 2022 Dec;23(1):794. 10.1186/s12864-022-09049-8, PMID: 36460956; PMCID: PMC9717546.Search in Google Scholar PubMed PubMed Central
[3] Wijaya V, Janďourek O, Křoustková J, Hradiská-Breiterová K, Korábečný J, Sobolová K, et al. Alkaloids of Dicranostigma franchetianum (Papaveraceae) and berberine derivatives as a new class of antimycobacterial agents. Biomolecules. 2022 Jun;12(6):844. 10.3390/biom12060844. PMID: 35740968; PMCID: PMC9221290.10.3390/biom12060844Search in Google Scholar PubMed PubMed Central
[4] Chen Y, Li M, Liu J, Yan Q, Zhong M, Liu J, et al. Simultaneous determination of the content of isoquinoline alkaloids in Dicranostigma leptopodum (Maxim) Fedde and the effective fractionation of the alkaloids by high-performance liquid chromatography with diode array detection. J Sep Sci. 2015 Jan;38(1):9–17. 10.1002/jssc.201400905, Epub 2014 Nov 19. PMID: 25330407.Search in Google Scholar PubMed
[5] Sun R, Jiang H, Zhang W, Yang K, Wang C, Fan L, et al. Cytotoxicity of aporphine, protoberberine, and protopine alkaloids from Dicranostigma leptopodum (maxim.) Fedde. Evid Based Complement Altern Med. 2014;2014:580483. 10.1155/2014/580483, Epub 2014 May 21. PMID: 24963327; PMCID: PMC4055583.Search in Google Scholar PubMed PubMed Central
[6] Wang L, Li F, Wang N, Gao Y, Liu K, Zhang G, et al. Characterization of the Dicranostigma leptopodum chloroplast genome and comparative analysis within subfamily Papaveroideae. BMC Genomics. 2022;23(1):794.10.1186/s12864-022-09049-8Search in Google Scholar
[7] Lei W, Zhu H, Cao M, Zhang F, Lai Q, Lu S, et al. From genomics to metabolomics: deciphering sanguinarine biosynthesis in Dicranostigma leptopodum. Int J Biol Macromol. 2024;257(Pt 2):128727.10.1016/j.ijbiomac.2023.128727Search in Google Scholar PubMed
[8] Zhong M, Ma YX, Liu JX, Di DL. A new quaternary protoberberine alkaloid isolated from Dicranostigma leptopodum (Maxim) Fedde. Nat Prod Res. 2014;28(8):507–10. 10.1080/14786419.2013.879586, Epub 2014 Feb 5. PMID: 24499388.Search in Google Scholar PubMed
[9] Chelombit’Ko VA. Dicranostigma franchetianum (Prain) Fedde: a plant promising as a source of the alkaloid isocorydine. Pharm Chem J. 1979;13(8):844–5.10.1007/BF00772226Search in Google Scholar
[10] Gregorová J, Babica J, Marek R, Paulová H, Táborská E, Dostál J. Extractions of isoquinoline alkaloids with butanol and octanol. Fitoterapia. 2010 Sep;81(6):565–8. 10.1016/j.fitote.2010.01.020, Epub 2010 Feb 1. PMID: 20117181.Search in Google Scholar PubMed
[11] Liu D, Zhang T, Liu J. Chemical constituents of alkaloids from Dicranostigma leptopodum. Chin Herb Med. 2011;42:1505–8.Search in Google Scholar
[12] Wang F, Li YM. New hopane triterpene from Dicranostigma leptopodum (Maxim) Fedde. J Asian Nat Prod Res. 2010 Jan;12(1):94–7. 10.1080/10286020903443028, PMID: 20390749.Search in Google Scholar PubMed
[13] Liu D. Chemical constituents of Dicranostigma leptopodum (Maxim) Fedde. Chin Tradit Herb Drugs. 2011. 10.1007/s10570-010-9464-0.Search in Google Scholar
[14] Sun R, Jiang H, Zhang W, Yang K, Wang C, Fan L, He Q, et al. Cytotoxicity of aporphine, protoberberine, and protopine alkaloids from Dicranostigma leptopodum (Maxim.) Fedde. Evid Based Complement Altern Med. 2014;2014:580483. 10.1155/2014/580483, Epub 2014 May 21. PMID: 24963327; PMCID: PMC4055583.Search in Google Scholar PubMed PubMed Central
[15] Hammerová J, Uldrijan S, Táborská E, Slaninová I. Benzo[c]phenanthridine alkaloids exhibit strong anti-proliferative activity in malignant melanoma cells regardless of their p53 status. J Dermatol Sci. 2011 Apr;62(1):22–35. 10.1016/j.jdermsci.2011.01.006, Epub 2011 Jan 25. PMID: 21324654.Search in Google Scholar PubMed
[16] Chen Y. Total content determination for the effective fraction of the alkaloids in Dicranostigma leptopodum (Maxim.) Fedde by HPLC and ultraviolet-visible spectrophotometry. Anal Methods. 2016;8(12):2645–52.10.1039/C5AY03054DSearch in Google Scholar
[17] Zhang S, Leng T, Zhang Q, Zhao Q, Nie X, Yang L. Sanguinarine inhibits epithelial ovarian cancer development via regulating long non-coding RNA CASC2-EIF4A3 axis and/or inhibiting NF-κB signaling or PI3K/AKT/mTOR pathway. Biomed Pharmacother. 2018 Jun;102:302–8. 10.1016/j.biopha.2018.03.071, Epub 2018 Mar 22. PMID: 29571014.Search in Google Scholar PubMed
[18] Wei G, Xu Y, Peng T, Yan J, Wang Z, Sun Z. Sanguinarine exhibits antitumor activity via up-regulation of Fas-associated factor 1 in non-small cell lung cancer. J Biochem Mol Toxicol. 2017 Aug;31(8):2017. 10.1002/jbt.21914, Epub 2017 Mar 14. PMID: 28296008.Search in Google Scholar PubMed
[19] Feldman NB. Preparation of liposomal sanguinarine and study of its cytotoxic effects against prostate cancer cells. Nanobiotechnol Rep (Online). 2020;15(2):230–5.10.1134/S199507802002007XSearch in Google Scholar
[20] Fox BM, Xiao X, Antony S, Kohlhagen G, Pommier Y, Staker BL, et al. Design, synthesis, and biological evaluation of cytotoxic 11-alkenylindenoisoquinoline topoisomerase I inhibitors and indenoisoquinoline-camptothecin hybrids. J Med Chem. 2003 Jul;46(15):3275–82. 10.1021/jm0300476, PMID: 12852757.Search in Google Scholar PubMed
[21] Chen L, Tian H, Li M, Ge C, Zhao F, Zhang L, et al. Derivate isocorydine inhibits cell proliferation in hepatocellular carcinoma cell lines by inducing G2/M cell cycle arrest and apoptosis. Tumour Biol. 2016 May;37(5):5951–61. 10.1007/s13277-015-4362-6, Epub 2015 Nov 23. PMID: 26596832.Search in Google Scholar PubMed
[22] Duan X, Li W, Hu P, Jiang B, Yang J, Zhou L, et al. MicroRNA-183-5p contributes to malignant progression through targeting PDCD4 in human hepatocellular carcinoma. Biosci Rep. 2020 Oct;40(10):BSR20201761. 10.1042/BSR20201761, PMID: 33078826; PMCID: PMC7601345.Search in Google Scholar PubMed PubMed Central
[23] Cao Z, Zhu S, Xue Z, Zhang F, Zhang L, Zhang Y, et al. Isoquinoline alkaloids from Hylomecon japonica and their potential anti-breast cancer activities. Phytochemistry. 2022 Oct;202:113321. 10.1016/j.phytochem.2022.113321, Epub 2022 Jul 31. PMID: 35921889.Search in Google Scholar PubMed
[24] Romo-Pérez A, Miranda LD, Chávez-Blanco AD, Dueñas-González A, Camacho-Corona MDR, Acosta-Huerta A, et al. Mild C(sp3)-H functionalization of dihydrosanguinarine and dihydrochelerythrine for development of highly cytotoxic derivatives. Eur J Med Chem. 2017 Sep;138:1–12. 10.1016/j.ejmech.2017.06.021, Epub 2017 Jun 13. PMID: 28641156.Search in Google Scholar PubMed
[25] Ahsan H, Reagan-Shaw S, Breur J, Ahmad N. Sanguinarine induces apoptosis of human pancreatic carcinoma AsPC-1 and BxPC-3 cells via modulations in Bcl-2 family proteins. Cancer Lett. 2007 May;249(2):198–208. 10.1016/j.canlet.2006.08.018, Epub 2006 Sep 26. PMID: 17005319.Search in Google Scholar PubMed
[26] Wolff J, Knipling L. Antimicrotubule properties of benzophenanthridine alkaloids. Biochemistry. 1993 Dec;32(48):13334–9. 10.1021/bi00211a047, PMID: 7902132.Search in Google Scholar PubMed
[27] Manne M, Goudar G, Varikasuvu SR, Khetagoudar MC, Kanipakam H, Natarajan P, et al. Cordifolioside: potent inhibitor against Mpro of SARS-CoV-2 and immunomodulatory through human TGF-β and TNF-α. 3 Biotech. 2021 Mar;11(3):136. 10.1007/s13205-021-02685-z, Epub 2021 Feb 22. PMID: 33643762; PMCID: PMC7898013.Search in Google Scholar PubMed PubMed Central
[28] Haque MA, Jantan I, Harikrishnan H, Abdul Wahab SM. Magnoflorine enhances LPS-activated pro-inflammatory responses via MyD88-dependent pathways in U937 macrophages. Planta Med. 2018 Nov;84(17):1255–64. 10.1055/a-0637-9936, Epub 2018 Jun 15. PMID: 29906814.Search in Google Scholar PubMed
[29] Shan CZ. Influences of Dicranostigma leptopodum (Maxim) Fedde (DLF) on the immune functions of murine peritoneal macrophages (PMΦ). Shanghai J Immunol. 2001;4(21):216–8.Search in Google Scholar
[30] Zhang XW, He LL, Qin W. Enhanced effect of Dicranostigma leptopodum (Maxim.) Fedde on experimental immunosuppression in mice. J Lanzhou Univ (Nat Sci). 2006;42:60–2.Search in Google Scholar
[31] Mao AH. Protective effect of Dicranostigma leptopodum (Maxim.) Fedde on immunological live injury in mice. Chin Pharmacol Bull. 2004;20(8):940–3.Search in Google Scholar
[32] Zhang Y. The protective effect of the effective components of Dicranostigma leptopodum (Maxim.) Fedde on CCl4 liver injury in mice. J Qinghai Med Coll. 2004;1(25):7–11.Search in Google Scholar
[33] Wen JH, Li DY, Liang S, Yang C, Tang JX, Liu HF. Macrophage autophagy in macrophage polarization, chronic inflammation and organ fibrosis. Front Immunol. 2022 Oct;13:946832. 10.3389/fimmu.2022.946832, PMID: 36275654; PMCID: PMC9583253.Search in Google Scholar PubMed PubMed Central
[34] Li TL. Determination on the contents of Dicranostigma leptodum (Maxim.) Fedde alkaloid by TLC and test on its antimicrobial activities. J Tradit Chin Vet Med. 2010;29:47–51.Search in Google Scholar
[35] Xue Z. Observation on the inhibitory effect of injection of Dicranostigma leptopodum (Maxim.) Fedde on infectious bronchitis virus. Gansu Anim Husb Vet. 2004;34:16–7.Search in Google Scholar
[36] Chen JH, Du ZZ, Shen YM, Yang YP. Aporphine alkaloids from Clematis parviloba and their antifungal activity. Arch Pharm Res. 2009 Jan;32(1):3–5. 10.1007/s12272-009-1111-7, Epub 2009 Jan 29. PMID: 19183870.Search in Google Scholar PubMed
[37] Wei QH, Cui DZ, Liu XF, Chai YY, Zhao N, Wang JY, et al. In vitro antifungal activity and possible mechanisms of action of chelerythrine. Pestic Biochem Physiol. 2020 Mar;164:140–8. 10.1016/j.pestbp.2020.01.007. Epub 2020 Jan 28. PMID: 32284120.Search in Google Scholar PubMed
[38] Cheng RX, Liu S. Inhibitory effects of Chelerythrine on the acidogenicity of Streptococcus mutans. J Pract Dent. 2008;24:364–6.Search in Google Scholar
[39] Qin D, Dang Y. Screening test of water soluble preparations of Dicranostigma leptopodum (Maxim.) Fedde. Agric Sci Technol Inf. 2012;21:29–31.Search in Google Scholar
[40] Luo N, Jin L, Yang C, Zhu Y, Ye X, Li X, et al. Antifungal activity and potential mechanism of magnoflorine against Trichophyton rubrum. J Antibiot (Tokyo). 2021 Mar;74(3):206–14. 10.1038/s41429-020-00380-4, Epub 2020 Oct 20. PMID: 33082529.Search in Google Scholar PubMed
[41] Zhao ZM, Shang XF, Lawoe RK, Liu YQ, Zhou R, Sun Y, et al. Anti-phytopathogenic activity and the possible mechanisms of action of isoquinoline alkaloid sanguinarine. Pestic Biochem Physiol. 2019 Sep;159:51–8. 10.1016/j.pestbp.2019.05.015, Epub 2019 May 25. PMID: 31400784.Search in Google Scholar PubMed
[42] Zhao Q, Han Y, Du YP. The effect of Dicranostigma leptopodum (Maxim) fedde (DLF) extraction on suppressing oxidative hemolysis of erythrocytes and its mechanism. J Lanzhou Univ. 2006;32:40–5.Search in Google Scholar
[43] Aihong M. Protection of Picranostigma leptopodum extraction against acute hepatic microsome injuries induced by carbon tetrachloride. Pharmacol Clin Chin Mater Medica. 2011;27:73–5.Search in Google Scholar
[44] Wang G. The application of sanguinarine in the preparation of aquatic animal drugs and the preparation method of its preparation. 2008.Search in Google Scholar
[45] Ming L. The effect of molluscicidal oncomelania hupensis and impact on the MDA content for SAN of Eomecon chionantha Hance. J Cent South Univ For Technol. 2009;29:142–5.Search in Google Scholar
[46] Zhou GZ, Yang MS. Measurement of active ingredient of Macleya cordata and its bioactivity against insects. J Anhui Agric Univ. 2009.Search in Google Scholar
[47] Li B, Wu Q, Shi JS, Sun AS, Huang XN. Effects of protopine on intracellular calcium and the PKC activity of rat aorta smooth muscle. Sheng Li Xue Bao. 2005 Apr;57(2):240–6. PMID: 15830111.Search in Google Scholar
[48] Yu LM. Vasodilative mechanism of protopine in rabbit aorta. Chin J Pharmacol Toxicol. 2000;14(1):21–5.Search in Google Scholar
[49] Fan JS. Effects of protopine on tracheal smooth muscle and its mechanism. Chin J Pharmacol Toxicol. 2004;18(4):285–8.Search in Google Scholar
[50] Lu Z. Effects of protopine on experimental arrhythmia. Chin Pharm J. 1995;2(30):81–4.Search in Google Scholar
[51] Cao JJ. Fluorescence properties of magnoflorine and its application in analysis of traditional Chinese medicine. Chin J Anal Chem. 2019;47(6):950–6.Search in Google Scholar
[52] Rajecky M, Slaninova I, Mokrisova P, Urbanova J, Palkovsky M, Taborska E, et al. Alkaloid chelirubine and DNA: blue and red luminescence. Talanta. 2013 Feb;105:317–9. 10.1016/j.talanta.2012.10.045, Epub 2012 Nov 2. PMID: 23598024.Search in Google Scholar PubMed
[53] Hung TM, Lee JP, Min BS, Choi JS, Na M, Zhang X, et al. Magnoflorine from Coptidis Rhizoma protects high density lipoprotein during oxidant stress. Biol Pharm Bull. 2007 Jun;30(6):1157–60. 10.1248/bpb.30.1157. PMID: 17541173.Search in Google Scholar PubMed
[54] Patel MB, Mishra SM. Magnoflorine from Tinospora cordifolia stem inhibits α-glucosidase and is antiglycemic in rats. J Funct Foods. 2012;4(1):79–86.10.1016/j.jff.2011.08.002Search in Google Scholar
[55] Kaserer T, Steinacher T, Kainhofer R, Erli F, Sturm S, Waltenberger B, et al. Identification and characterization of plant-derived alkaloids, corydine and corydaline, as novel mu opioid receptor agonists. Sci Rep. 2020 Aug;10(1):13804. 10.1038/s41598-020-70493-1, PMID: 32796875; PMCID: PMC7427800.Search in Google Scholar PubMed PubMed Central
© 2024 the author(s), published by De Gruyter
This work is licensed under the Creative Commons Attribution 4.0 International License.
Articles in the same Issue
- Biomedical Sciences
- Constitutive and evoked release of ATP in adult mouse olfactory epithelium
- LARP1 knockdown inhibits cultured gastric carcinoma cell cycle progression and metastatic behavior
- PEGylated porcine–human recombinant uricase: A novel fusion protein with improved efficacy and safety for the treatment of hyperuricemia and renal complications
- Research progress on ocular complications caused by type 2 diabetes mellitus and the function of tears and blepharons
- The role and mechanism of esketamine in preventing and treating remifentanil-induced hyperalgesia based on the NMDA receptor–CaMKII pathway
- Brucella infection combined with Nocardia infection: A case report and literature review
- Detection of serum interleukin-18 level and neutrophil/lymphocyte ratio in patients with antineutrophil cytoplasmic antibody-associated vasculitis and its clinical significance
- Ang-1, Ang-2, and Tie2 are diagnostic biomarkers for Henoch-Schönlein purpura and pediatric-onset systemic lupus erythematous
- PTTG1 induces pancreatic cancer cell proliferation and promotes aerobic glycolysis by regulating c-myc
- Role of serum B-cell-activating factor and interleukin-17 as biomarkers in the classification of interstitial pneumonia with autoimmune features
- Effectiveness and safety of a mumps containing vaccine in preventing laboratory-confirmed mumps cases from 2002 to 2017: A meta-analysis
- Low levels of sex hormone-binding globulin predict an increased breast cancer risk and its underlying molecular mechanisms
- A case of Trousseau syndrome: Screening, detection and complication
- Application of the integrated airway humidification device enhances the humidification effect of the rabbit tracheotomy model
- Preparation of Cu2+/TA/HAP composite coating with anti-bacterial and osteogenic potential on 3D-printed porous Ti alloy scaffolds for orthopedic applications
- Aquaporin-8 promotes human dermal fibroblasts to counteract hydrogen peroxide-induced oxidative damage: A novel target for management of skin aging
- Current research and evidence gaps on placental development in iron deficiency anemia
- Single-nucleotide polymorphism rs2910829 in PDE4D is related to stroke susceptibility in Chinese populations: The results of a meta-analysis
- Pheochromocytoma-induced myocardial infarction: A case report
- Kaempferol regulates apoptosis and migration of neural stem cells to attenuate cerebral infarction by O‐GlcNAcylation of β-catenin
- Sirtuin 5 regulates acute myeloid leukemia cell viability and apoptosis by succinylation modification of glycine decarboxylase
- Apigenin 7-glucoside impedes hypoxia-induced malignant phenotypes of cervical cancer cells in a p16-dependent manner
- KAT2A changes the function of endometrial stromal cells via regulating the succinylation of ENO1
- Current state of research on copper complexes in the treatment of breast cancer
- Exploring antioxidant strategies in the pathogenesis of ALS
- Helicobacter pylori causes gastric dysbacteriosis in chronic gastritis patients
- IL-33/soluble ST2 axis is associated with radiation-induced cardiac injury
- The predictive value of serum NLR, SII, and OPNI for lymph node metastasis in breast cancer patients with internal mammary lymph nodes after thoracoscopic surgery
- Carrying SNP rs17506395 (T > G) in TP63 gene and CCR5Δ32 mutation associated with the occurrence of breast cancer in Burkina Faso
- P2X7 receptor: A receptor closely linked with sepsis-associated encephalopathy
- Probiotics for inflammatory bowel disease: Is there sufficient evidence?
- Identification of KDM4C as a gene conferring drug resistance in multiple myeloma
- Microbial perspective on the skin–gut axis and atopic dermatitis
- Thymosin α1 combined with XELOX improves immune function and reduces serum tumor markers in colorectal cancer patients after radical surgery
- Highly specific vaginal microbiome signature for gynecological cancers
- Sample size estimation for AQP4-IgG seropositive optic neuritis: Retinal damage detection by optical coherence tomography
- The effects of SDF-1 combined application with VEGF on femoral distraction osteogenesis in rats
- Fabrication and characterization of gold nanoparticles using alginate: In vitro and in vivo assessment of its administration effects with swimming exercise on diabetic rats
- Mitigating digestive disorders: Action mechanisms of Mediterranean herbal active compounds
- Distribution of CYP2D6 and CYP2C19 gene polymorphisms in Han and Uygur populations with breast cancer in Xinjiang, China
- VSP-2 attenuates secretion of inflammatory cytokines induced by LPS in BV2 cells by mediating the PPARγ/NF-κB signaling pathway
- Factors influencing spontaneous hypothermia after emergency trauma and the construction of a predictive model
- Long-term administration of morphine specifically alters the level of protein expression in different brain regions and affects the redox state
- Application of metagenomic next-generation sequencing technology in the etiological diagnosis of peritoneal dialysis-associated peritonitis
- Clinical diagnosis, prevention, and treatment of neurodyspepsia syndrome using intelligent medicine
- Case report: Successful bronchoscopic interventional treatment of endobronchial leiomyomas
- Preliminary investigation into the genetic etiology of short stature in children through whole exon sequencing of the core family
- Cystic adenomyoma of the uterus: Case report and literature review
- Mesoporous silica nanoparticles as a drug delivery mechanism
- Dynamic changes in autophagy activity in different degrees of pulmonary fibrosis in mice
- Vitamin D deficiency and inflammatory markers in type 2 diabetes: Big data insights
- Lactate-induced IGF1R protein lactylation promotes proliferation and metabolic reprogramming of lung cancer cells
- Meta-analysis on the efficacy of allogeneic hematopoietic stem cell transplantation to treat malignant lymphoma
- Mitochondrial DNA drives neuroinflammation through the cGAS-IFN signaling pathway in the spinal cord of neuropathic pain mice
- Application value of artificial intelligence algorithm-based magnetic resonance multi-sequence imaging in staging diagnosis of cervical cancer
- Embedded monitoring system and teaching of artificial intelligence online drug component recognition
- Investigation into the association of FNDC1 and ADAMTS12 gene expression with plumage coloration in Muscovy ducks
- Yak meat content in feed and its impact on the growth of rats
- A rare case of Richter transformation with breast involvement: A case report and literature review
- First report of Nocardia wallacei infection in an immunocompetent patient in Zhejiang province
- Rhodococcus equi and Brucella pulmonary mass in immunocompetent: A case report and literature review
- Downregulation of RIP3 ameliorates the left ventricular mechanics and function after myocardial infarction via modulating NF-κB/NLRP3 pathway
- Evaluation of the role of some non-enzymatic antioxidants among Iraqi patients with non-alcoholic fatty liver disease
- The role of Phafin proteins in cell signaling pathways and diseases
- Ten-year anemia as initial manifestation of Castleman disease in the abdominal cavity: A case report
- Coexistence of hereditary spherocytosis with SPTB P.Trp1150 gene variant and Gilbert syndrome: A case report and literature review
- Utilization of convolutional neural networks to analyze microscopic images for high-throughput screening of mesenchymal stem cells
- Exploratory evaluation supported by experimental and modeling approaches of Inula viscosa root extract as a potent corrosion inhibitor for mild steel in a 1 M HCl solution
- Imaging manifestations of ductal adenoma of the breast: A case report
- Gut microbiota and sleep: Interaction mechanisms and therapeutic prospects
- Isomangiferin promotes the migration and osteogenic differentiation of rat bone marrow mesenchymal stem cells
- Prognostic value and microenvironmental crosstalk of exosome-related signatures in human epidermal growth factor receptor 2 positive breast cancer
- Circular RNAs as potential biomarkers for male severe sepsis
- Knockdown of Stanniocalcin-1 inhibits growth and glycolysis in oral squamous cell carcinoma cells
- The expression and biological role of complement C1s in esophageal squamous cell carcinoma
- A novel GNAS mutation in pseudohypoparathyroidism type 1a with articular flexion deformity: A case report
- Predictive value of serum magnesium levels for prognosis in patients with non-small cell lung cancer undergoing EGFR-TKI therapy
- HSPB1 alleviates acute-on-chronic liver failure via the P53/Bax pathway
- IgG4-related disease complicated by PLA2R-associated membranous nephropathy: A case report
- Baculovirus-mediated endostatin and angiostatin activation of autophagy through the AMPK/AKT/mTOR pathway inhibits angiogenesis in hepatocellular carcinoma
- Metformin mitigates osteoarthritis progression by modulating the PI3K/AKT/mTOR signaling pathway and enhancing chondrocyte autophagy
- Evaluation of the activity of antimicrobial peptides against bacterial vaginosis
- Atypical presentation of γ/δ mycosis fungoides with an unusual phenotype and SOCS1 mutation
- Analysis of the microecological mechanism of diabetic kidney disease based on the theory of “gut–kidney axis”: A systematic review
- Omega-3 fatty acids prevent gestational diabetes mellitus via modulation of lipid metabolism
- Refractory hypertension complicated with Turner syndrome: A case report
- Interaction of ncRNAs and the PI3K/AKT/mTOR pathway: Implications for osteosarcoma
- Association of low attenuation area scores with pulmonary function and clinical prognosis in patients with chronic obstructive pulmonary disease
- Long non-coding RNAs in bone formation: Key regulators and therapeutic prospects
- The deubiquitinating enzyme USP35 regulates the stability of NRF2 protein
- Neutrophil-to-lymphocyte ratio and platelet-to-lymphocyte ratio as potential diagnostic markers for rebleeding in patients with esophagogastric variceal bleeding
- G protein-coupled receptor 1 participating in the mechanism of mediating gestational diabetes mellitus by phosphorylating the AKT pathway
- LL37-mtDNA regulates viability, apoptosis, inflammation, and autophagy in lipopolysaccharide-treated RLE-6TN cells by targeting Hsp90aa1
- The analgesic effect of paeoniflorin: A focused review
- Chemical composition’s effect on Solanum nigrum Linn.’s antioxidant capacity and erythrocyte protection: Bioactive components and molecular docking analysis
- Knockdown of HCK promotes HREC cell viability and inner blood–retinal barrier integrity by regulating the AMPK signaling pathway
- The role of rapamycin in the PINK1/Parkin signaling pathway in mitophagy in podocytes
- Laryngeal non-Hodgkin lymphoma: Report of four cases and review of the literature
- Clinical value of macrogenome next-generation sequencing on infections
- Overview of dendritic cells and related pathways in autoimmune uveitis
- TAK-242 alleviates diabetic cardiomyopathy via inhibiting pyroptosis and TLR4/CaMKII/NLRP3 pathway
- Hypomethylation in promoters of PGC-1α involved in exercise-driven skeletal muscular alterations in old age
- Profile and antimicrobial susceptibility patterns of bacteria isolated from effluents of Kolladiba and Debark hospitals
- The expression and clinical significance of syncytin-1 in serum exosomes of hepatocellular carcinoma patients
- A histomorphometric study to evaluate the therapeutic effects of biosynthesized silver nanoparticles on the kidneys infected with Plasmodium chabaudi
- PGRMC1 and PAQR4 are promising molecular targets for a rare subtype of ovarian cancer
- Analysis of MDA, SOD, TAOC, MNCV, SNCV, and TSS scores in patients with diabetes peripheral neuropathy
- SLIT3 deficiency promotes non-small cell lung cancer progression by modulating UBE2C/WNT signaling
- The relationship between TMCO1 and CALR in the pathological characteristics of prostate cancer and its effect on the metastasis of prostate cancer cells
- Heterogeneous nuclear ribonucleoprotein K is a potential target for enhancing the chemosensitivity of nasopharyngeal carcinoma
- PHB2 alleviates retinal pigment epithelium cell fibrosis by suppressing the AGE–RAGE pathway
- Anti-γ-aminobutyric acid-B receptor autoimmune encephalitis with syncope as the initial symptom: Case report and literature review
- Comparative analysis of chloroplast genome of Lonicera japonica cv. Damaohua
- Human umbilical cord mesenchymal stem cells regulate glutathione metabolism depending on the ERK–Nrf2–HO-1 signal pathway to repair phosphoramide mustard-induced ovarian cancer cells
- Electroacupuncture on GB acupoints improves osteoporosis via the estradiol–PI3K–Akt signaling pathway
- Renalase protects against podocyte injury by inhibiting oxidative stress and apoptosis in diabetic nephropathy
- Review: Dicranostigma leptopodum: A peculiar plant of Papaveraceae
- Combination effect of flavonoids attenuates lung cancer cell proliferation by inhibiting the STAT3 and FAK signaling pathway
- Renal microangiopathy and immune complex glomerulonephritis induced by anti-tumour agents: A case report
- Correlation analysis of AVPR1a and AVPR2 with abnormal water and sodium and potassium metabolism in rats
- Gastrointestinal health anti-diarrheal mixture relieves spleen deficiency-induced diarrhea through regulating gut microbiota
- Myriad factors and pathways influencing tumor radiotherapy resistance
- Exploring the effects of culture conditions on Yapsin (YPS) gene expression in Nakaseomyces glabratus
- Screening of prognostic core genes based on cell–cell interaction in the peripheral blood of patients with sepsis
- Coagulation factor II thrombin receptor as a promising biomarker in breast cancer management
- Ileocecal mucinous carcinoma misdiagnosed as incarcerated hernia: A case report
- Methyltransferase like 13 promotes malignant behaviors of bladder cancer cells through targeting PI3K/ATK signaling pathway
- The debate between electricity and heat, efficacy and safety of irreversible electroporation and radiofrequency ablation in the treatment of liver cancer: A meta-analysis
- ZAG promotes colorectal cancer cell proliferation and epithelial–mesenchymal transition by promoting lipid synthesis
- Baicalein inhibits NLRP3 inflammasome activation and mitigates placental inflammation and oxidative stress in gestational diabetes mellitus
- Impact of SWCNT-conjugated senna leaf extract on breast cancer cells: A potential apoptotic therapeutic strategy
- MFAP5 inhibits the malignant progression of endometrial cancer cells in vitro
- Major ozonated autohemotherapy promoted functional recovery following spinal cord injury in adult rats via the inhibition of oxidative stress and inflammation
- Axodendritic targeting of TAU and MAP2 and microtubule polarization in iPSC-derived versus SH-SY5Y-derived human neurons
- Differential expression of phosphoinositide 3-kinase/protein kinase B and Toll-like receptor/nuclear factor kappa B signaling pathways in experimental obesity Wistar rat model
- The therapeutic potential of targeting Oncostatin M and the interleukin-6 family in retinal diseases: A comprehensive review
- BA inhibits LPS-stimulated inflammatory response and apoptosis in human middle ear epithelial cells by regulating the Nf-Kb/Iκbα axis
- Role of circRMRP and circRPL27 in chronic obstructive pulmonary disease
- Investigating the role of hyperexpressed HCN1 in inducing myocardial infarction through activation of the NF-κB signaling pathway
- Characterization of phenolic compounds and evaluation of anti-diabetic potential in Cannabis sativa L. seeds: In vivo, in vitro, and in silico studies
- Quantitative immunohistochemistry analysis of breast Ki67 based on artificial intelligence
- Ecology and Environmental Science
- Screening of different growth conditions of Bacillus subtilis isolated from membrane-less microbial fuel cell toward antimicrobial activity profiling
- Degradation of a mixture of 13 polycyclic aromatic hydrocarbons by commercial effective microorganisms
- Evaluation of the impact of two citrus plants on the variation of Panonychus citri (Acari: Tetranychidae) and beneficial phytoseiid mites
- Prediction of present and future distribution areas of Juniperus drupacea Labill and determination of ethnobotany properties in Antalya Province, Türkiye
- Population genetics of Todarodes pacificus (Cephalopoda: Ommastrephidae) in the northwest Pacific Ocean via GBS sequencing
- A comparative analysis of dendrometric, macromorphological, and micromorphological characteristics of Pistacia atlantica subsp. atlantica and Pistacia terebinthus in the middle Atlas region of Morocco
- Macrofungal sporocarp community in the lichen Scots pine forests
- Assessing the proximate compositions of indigenous forage species in Yemen’s pastoral rangelands
- Food Science
- Gut microbiota changes associated with low-carbohydrate diet intervention for obesity
- Reexamination of Aspergillus cristatus phylogeny in dark tea: Characteristics of the mitochondrial genome
- Differences in the flavonoid composition of the leaves, fruits, and branches of mulberry are distinguished based on a plant metabolomics approach
- Investigating the impact of wet rendering (solventless method) on PUFA-rich oil from catfish (Clarias magur) viscera
- Non-linear associations between cardiovascular metabolic indices and metabolic-associated fatty liver disease: A cross-sectional study in the US population (2017–2020)
- Knockdown of USP7 alleviates atherosclerosis in ApoE-deficient mice by regulating EZH2 expression
- Utility of dairy microbiome as a tool for authentication and traceability
- Agriculture
- Enhancing faba bean (Vicia faba L.) productivity through establishing the area-specific fertilizer rate recommendation in southwest Ethiopia
- Impact of novel herbicide based on synthetic auxins and ALS inhibitor on weed control
- Perspectives of pteridophytes microbiome for bioremediation in agricultural applications
- Fertilizer application parameters for drip-irrigated peanut based on the fertilizer effect function established from a “3414” field trial
- Improving the productivity and profitability of maize (Zea mays L.) using optimum blended inorganic fertilization
- Application of leaf multispectral analyzer in comparison to hyperspectral device to assess the diversity of spectral reflectance indices in wheat genotypes
- Animal Sciences
- Knockdown of ANP32E inhibits colorectal cancer cell growth and glycolysis by regulating the AKT/mTOR pathway
- Development of a detection chip for major pathogenic drug-resistant genes and drug targets in bovine respiratory system diseases
- Exploration of the genetic influence of MYOT and MB genes on the plumage coloration of Muscovy ducks
- Transcriptome analysis of adipose tissue in grazing cattle: Identifying key regulators of fat metabolism
- Comparison of nutritional value of the wild and cultivated spiny loaches at three growth stages
- Transcriptomic analysis of liver immune response in Chinese spiny frog (Quasipaa spinosa) infected with Proteus mirabilis
- Disruption of BCAA degradation is a critical characteristic of diabetic cardiomyopathy revealed by integrated transcriptome and metabolome analysis
- Plant Sciences
- Effect of long-term in-row branch covering on soil microorganisms in pear orchards
- Photosynthetic physiological characteristics, growth performance, and element concentrations reveal the calcicole–calcifuge behaviors of three Camellia species
- Transcriptome analysis reveals the mechanism of NaHCO3 promoting tobacco leaf maturation
- Bioinformatics, expression analysis, and functional verification of allene oxide synthase gene HvnAOS1 and HvnAOS2 in qingke
- Water, nitrogen, and phosphorus coupling improves gray jujube fruit quality and yield
- Improving grape fruit quality through soil conditioner: Insights from RNA-seq analysis of Cabernet Sauvignon roots
- Role of Embinin in the reabsorption of nucleus pulposus in lumbar disc herniation: Promotion of nucleus pulposus neovascularization and apoptosis of nucleus pulposus cells
- Revealing the effects of amino acid, organic acid, and phytohormones on the germination of tomato seeds under salinity stress
- Combined effects of nitrogen fertilizer and biochar on the growth, yield, and quality of pepper
- Comprehensive phytochemical and toxicological analysis of Chenopodium ambrosioides (L.) fractions
- Impact of “3414” fertilization on the yield and quality of greenhouse tomatoes
- Exploring the coupling mode of water and fertilizer for improving growth, fruit quality, and yield of the pear in the arid region
- Metagenomic analysis of endophytic bacteria in seed potato (Solanum tuberosum)
- Antibacterial, antifungal, and phytochemical properties of Salsola kali ethanolic extract
- Exploring the hepatoprotective properties of citronellol: In vitro and in silico studies on ethanol-induced damage in HepG2 cells
- Enhanced osmotic dehydration of watermelon rind using honey–sucrose solutions: A study on pre-treatment efficacy and mass transfer kinetics
- Effects of exogenous 2,4-epibrassinolide on photosynthetic traits of 53 cowpea varieties under NaCl stress
- Comparative transcriptome analysis of maize (Zea mays L.) seedlings in response to copper stress
- An optimization method for measuring the stomata in cassava (Manihot esculenta Crantz) under multiple abiotic stresses
- Fosinopril inhibits Ang II-induced VSMC proliferation, phenotype transformation, migration, and oxidative stress through the TGF-β1/Smad signaling pathway
- Antioxidant and antimicrobial activities of Salsola imbricata methanolic extract and its phytochemical characterization
- Bioengineering and Biotechnology
- Absorbable calcium and phosphorus bioactive membranes promote bone marrow mesenchymal stem cells osteogenic differentiation for bone regeneration
- New advances in protein engineering for industrial applications: Key takeaways
- An overview of the production and use of Bacillus thuringiensis toxin
- Research progress of nanoparticles in diagnosis and treatment of hepatocellular carcinoma
- Bioelectrochemical biosensors for water quality assessment and wastewater monitoring
- PEI/MMNs@LNA-542 nanoparticles alleviate ICU-acquired weakness through targeted autophagy inhibition and mitochondrial protection
- Unleashing of cytotoxic effects of thymoquinone-bovine serum albumin nanoparticles on A549 lung cancer cells
- Erratum
- Erratum to “Investigating the association between dietary patterns and glycemic control among children and adolescents with T1DM”
- Erratum to “Activation of hypermethylated P2RY1 mitigates gastric cancer by promoting apoptosis and inhibiting proliferation”
- Retraction
- Retraction to “MiR-223-3p regulates cell viability, migration, invasion, and apoptosis of non-small cell lung cancer cells by targeting RHOB”
- Retraction to “A data mining technique for detecting malignant mesothelioma cancer using multiple regression analysis”
- Special Issue on Advances in Neurodegenerative Disease Research and Treatment
- Transplantation of human neural stem cell prevents symptomatic motor behavior disability in a rat model of Parkinson’s disease
- Special Issue on Multi-omics
- Inflammasome complex genes with clinical relevance suggest potential as therapeutic targets for anti-tumor drugs in clear cell renal cell carcinoma
- Gastroesophageal varices in primary biliary cholangitis with anti-centromere antibody positivity: Early onset?
Articles in the same Issue
- Biomedical Sciences
- Constitutive and evoked release of ATP in adult mouse olfactory epithelium
- LARP1 knockdown inhibits cultured gastric carcinoma cell cycle progression and metastatic behavior
- PEGylated porcine–human recombinant uricase: A novel fusion protein with improved efficacy and safety for the treatment of hyperuricemia and renal complications
- Research progress on ocular complications caused by type 2 diabetes mellitus and the function of tears and blepharons
- The role and mechanism of esketamine in preventing and treating remifentanil-induced hyperalgesia based on the NMDA receptor–CaMKII pathway
- Brucella infection combined with Nocardia infection: A case report and literature review
- Detection of serum interleukin-18 level and neutrophil/lymphocyte ratio in patients with antineutrophil cytoplasmic antibody-associated vasculitis and its clinical significance
- Ang-1, Ang-2, and Tie2 are diagnostic biomarkers for Henoch-Schönlein purpura and pediatric-onset systemic lupus erythematous
- PTTG1 induces pancreatic cancer cell proliferation and promotes aerobic glycolysis by regulating c-myc
- Role of serum B-cell-activating factor and interleukin-17 as biomarkers in the classification of interstitial pneumonia with autoimmune features
- Effectiveness and safety of a mumps containing vaccine in preventing laboratory-confirmed mumps cases from 2002 to 2017: A meta-analysis
- Low levels of sex hormone-binding globulin predict an increased breast cancer risk and its underlying molecular mechanisms
- A case of Trousseau syndrome: Screening, detection and complication
- Application of the integrated airway humidification device enhances the humidification effect of the rabbit tracheotomy model
- Preparation of Cu2+/TA/HAP composite coating with anti-bacterial and osteogenic potential on 3D-printed porous Ti alloy scaffolds for orthopedic applications
- Aquaporin-8 promotes human dermal fibroblasts to counteract hydrogen peroxide-induced oxidative damage: A novel target for management of skin aging
- Current research and evidence gaps on placental development in iron deficiency anemia
- Single-nucleotide polymorphism rs2910829 in PDE4D is related to stroke susceptibility in Chinese populations: The results of a meta-analysis
- Pheochromocytoma-induced myocardial infarction: A case report
- Kaempferol regulates apoptosis and migration of neural stem cells to attenuate cerebral infarction by O‐GlcNAcylation of β-catenin
- Sirtuin 5 regulates acute myeloid leukemia cell viability and apoptosis by succinylation modification of glycine decarboxylase
- Apigenin 7-glucoside impedes hypoxia-induced malignant phenotypes of cervical cancer cells in a p16-dependent manner
- KAT2A changes the function of endometrial stromal cells via regulating the succinylation of ENO1
- Current state of research on copper complexes in the treatment of breast cancer
- Exploring antioxidant strategies in the pathogenesis of ALS
- Helicobacter pylori causes gastric dysbacteriosis in chronic gastritis patients
- IL-33/soluble ST2 axis is associated with radiation-induced cardiac injury
- The predictive value of serum NLR, SII, and OPNI for lymph node metastasis in breast cancer patients with internal mammary lymph nodes after thoracoscopic surgery
- Carrying SNP rs17506395 (T > G) in TP63 gene and CCR5Δ32 mutation associated with the occurrence of breast cancer in Burkina Faso
- P2X7 receptor: A receptor closely linked with sepsis-associated encephalopathy
- Probiotics for inflammatory bowel disease: Is there sufficient evidence?
- Identification of KDM4C as a gene conferring drug resistance in multiple myeloma
- Microbial perspective on the skin–gut axis and atopic dermatitis
- Thymosin α1 combined with XELOX improves immune function and reduces serum tumor markers in colorectal cancer patients after radical surgery
- Highly specific vaginal microbiome signature for gynecological cancers
- Sample size estimation for AQP4-IgG seropositive optic neuritis: Retinal damage detection by optical coherence tomography
- The effects of SDF-1 combined application with VEGF on femoral distraction osteogenesis in rats
- Fabrication and characterization of gold nanoparticles using alginate: In vitro and in vivo assessment of its administration effects with swimming exercise on diabetic rats
- Mitigating digestive disorders: Action mechanisms of Mediterranean herbal active compounds
- Distribution of CYP2D6 and CYP2C19 gene polymorphisms in Han and Uygur populations with breast cancer in Xinjiang, China
- VSP-2 attenuates secretion of inflammatory cytokines induced by LPS in BV2 cells by mediating the PPARγ/NF-κB signaling pathway
- Factors influencing spontaneous hypothermia after emergency trauma and the construction of a predictive model
- Long-term administration of morphine specifically alters the level of protein expression in different brain regions and affects the redox state
- Application of metagenomic next-generation sequencing technology in the etiological diagnosis of peritoneal dialysis-associated peritonitis
- Clinical diagnosis, prevention, and treatment of neurodyspepsia syndrome using intelligent medicine
- Case report: Successful bronchoscopic interventional treatment of endobronchial leiomyomas
- Preliminary investigation into the genetic etiology of short stature in children through whole exon sequencing of the core family
- Cystic adenomyoma of the uterus: Case report and literature review
- Mesoporous silica nanoparticles as a drug delivery mechanism
- Dynamic changes in autophagy activity in different degrees of pulmonary fibrosis in mice
- Vitamin D deficiency and inflammatory markers in type 2 diabetes: Big data insights
- Lactate-induced IGF1R protein lactylation promotes proliferation and metabolic reprogramming of lung cancer cells
- Meta-analysis on the efficacy of allogeneic hematopoietic stem cell transplantation to treat malignant lymphoma
- Mitochondrial DNA drives neuroinflammation through the cGAS-IFN signaling pathway in the spinal cord of neuropathic pain mice
- Application value of artificial intelligence algorithm-based magnetic resonance multi-sequence imaging in staging diagnosis of cervical cancer
- Embedded monitoring system and teaching of artificial intelligence online drug component recognition
- Investigation into the association of FNDC1 and ADAMTS12 gene expression with plumage coloration in Muscovy ducks
- Yak meat content in feed and its impact on the growth of rats
- A rare case of Richter transformation with breast involvement: A case report and literature review
- First report of Nocardia wallacei infection in an immunocompetent patient in Zhejiang province
- Rhodococcus equi and Brucella pulmonary mass in immunocompetent: A case report and literature review
- Downregulation of RIP3 ameliorates the left ventricular mechanics and function after myocardial infarction via modulating NF-κB/NLRP3 pathway
- Evaluation of the role of some non-enzymatic antioxidants among Iraqi patients with non-alcoholic fatty liver disease
- The role of Phafin proteins in cell signaling pathways and diseases
- Ten-year anemia as initial manifestation of Castleman disease in the abdominal cavity: A case report
- Coexistence of hereditary spherocytosis with SPTB P.Trp1150 gene variant and Gilbert syndrome: A case report and literature review
- Utilization of convolutional neural networks to analyze microscopic images for high-throughput screening of mesenchymal stem cells
- Exploratory evaluation supported by experimental and modeling approaches of Inula viscosa root extract as a potent corrosion inhibitor for mild steel in a 1 M HCl solution
- Imaging manifestations of ductal adenoma of the breast: A case report
- Gut microbiota and sleep: Interaction mechanisms and therapeutic prospects
- Isomangiferin promotes the migration and osteogenic differentiation of rat bone marrow mesenchymal stem cells
- Prognostic value and microenvironmental crosstalk of exosome-related signatures in human epidermal growth factor receptor 2 positive breast cancer
- Circular RNAs as potential biomarkers for male severe sepsis
- Knockdown of Stanniocalcin-1 inhibits growth and glycolysis in oral squamous cell carcinoma cells
- The expression and biological role of complement C1s in esophageal squamous cell carcinoma
- A novel GNAS mutation in pseudohypoparathyroidism type 1a with articular flexion deformity: A case report
- Predictive value of serum magnesium levels for prognosis in patients with non-small cell lung cancer undergoing EGFR-TKI therapy
- HSPB1 alleviates acute-on-chronic liver failure via the P53/Bax pathway
- IgG4-related disease complicated by PLA2R-associated membranous nephropathy: A case report
- Baculovirus-mediated endostatin and angiostatin activation of autophagy through the AMPK/AKT/mTOR pathway inhibits angiogenesis in hepatocellular carcinoma
- Metformin mitigates osteoarthritis progression by modulating the PI3K/AKT/mTOR signaling pathway and enhancing chondrocyte autophagy
- Evaluation of the activity of antimicrobial peptides against bacterial vaginosis
- Atypical presentation of γ/δ mycosis fungoides with an unusual phenotype and SOCS1 mutation
- Analysis of the microecological mechanism of diabetic kidney disease based on the theory of “gut–kidney axis”: A systematic review
- Omega-3 fatty acids prevent gestational diabetes mellitus via modulation of lipid metabolism
- Refractory hypertension complicated with Turner syndrome: A case report
- Interaction of ncRNAs and the PI3K/AKT/mTOR pathway: Implications for osteosarcoma
- Association of low attenuation area scores with pulmonary function and clinical prognosis in patients with chronic obstructive pulmonary disease
- Long non-coding RNAs in bone formation: Key regulators and therapeutic prospects
- The deubiquitinating enzyme USP35 regulates the stability of NRF2 protein
- Neutrophil-to-lymphocyte ratio and platelet-to-lymphocyte ratio as potential diagnostic markers for rebleeding in patients with esophagogastric variceal bleeding
- G protein-coupled receptor 1 participating in the mechanism of mediating gestational diabetes mellitus by phosphorylating the AKT pathway
- LL37-mtDNA regulates viability, apoptosis, inflammation, and autophagy in lipopolysaccharide-treated RLE-6TN cells by targeting Hsp90aa1
- The analgesic effect of paeoniflorin: A focused review
- Chemical composition’s effect on Solanum nigrum Linn.’s antioxidant capacity and erythrocyte protection: Bioactive components and molecular docking analysis
- Knockdown of HCK promotes HREC cell viability and inner blood–retinal barrier integrity by regulating the AMPK signaling pathway
- The role of rapamycin in the PINK1/Parkin signaling pathway in mitophagy in podocytes
- Laryngeal non-Hodgkin lymphoma: Report of four cases and review of the literature
- Clinical value of macrogenome next-generation sequencing on infections
- Overview of dendritic cells and related pathways in autoimmune uveitis
- TAK-242 alleviates diabetic cardiomyopathy via inhibiting pyroptosis and TLR4/CaMKII/NLRP3 pathway
- Hypomethylation in promoters of PGC-1α involved in exercise-driven skeletal muscular alterations in old age
- Profile and antimicrobial susceptibility patterns of bacteria isolated from effluents of Kolladiba and Debark hospitals
- The expression and clinical significance of syncytin-1 in serum exosomes of hepatocellular carcinoma patients
- A histomorphometric study to evaluate the therapeutic effects of biosynthesized silver nanoparticles on the kidneys infected with Plasmodium chabaudi
- PGRMC1 and PAQR4 are promising molecular targets for a rare subtype of ovarian cancer
- Analysis of MDA, SOD, TAOC, MNCV, SNCV, and TSS scores in patients with diabetes peripheral neuropathy
- SLIT3 deficiency promotes non-small cell lung cancer progression by modulating UBE2C/WNT signaling
- The relationship between TMCO1 and CALR in the pathological characteristics of prostate cancer and its effect on the metastasis of prostate cancer cells
- Heterogeneous nuclear ribonucleoprotein K is a potential target for enhancing the chemosensitivity of nasopharyngeal carcinoma
- PHB2 alleviates retinal pigment epithelium cell fibrosis by suppressing the AGE–RAGE pathway
- Anti-γ-aminobutyric acid-B receptor autoimmune encephalitis with syncope as the initial symptom: Case report and literature review
- Comparative analysis of chloroplast genome of Lonicera japonica cv. Damaohua
- Human umbilical cord mesenchymal stem cells regulate glutathione metabolism depending on the ERK–Nrf2–HO-1 signal pathway to repair phosphoramide mustard-induced ovarian cancer cells
- Electroacupuncture on GB acupoints improves osteoporosis via the estradiol–PI3K–Akt signaling pathway
- Renalase protects against podocyte injury by inhibiting oxidative stress and apoptosis in diabetic nephropathy
- Review: Dicranostigma leptopodum: A peculiar plant of Papaveraceae
- Combination effect of flavonoids attenuates lung cancer cell proliferation by inhibiting the STAT3 and FAK signaling pathway
- Renal microangiopathy and immune complex glomerulonephritis induced by anti-tumour agents: A case report
- Correlation analysis of AVPR1a and AVPR2 with abnormal water and sodium and potassium metabolism in rats
- Gastrointestinal health anti-diarrheal mixture relieves spleen deficiency-induced diarrhea through regulating gut microbiota
- Myriad factors and pathways influencing tumor radiotherapy resistance
- Exploring the effects of culture conditions on Yapsin (YPS) gene expression in Nakaseomyces glabratus
- Screening of prognostic core genes based on cell–cell interaction in the peripheral blood of patients with sepsis
- Coagulation factor II thrombin receptor as a promising biomarker in breast cancer management
- Ileocecal mucinous carcinoma misdiagnosed as incarcerated hernia: A case report
- Methyltransferase like 13 promotes malignant behaviors of bladder cancer cells through targeting PI3K/ATK signaling pathway
- The debate between electricity and heat, efficacy and safety of irreversible electroporation and radiofrequency ablation in the treatment of liver cancer: A meta-analysis
- ZAG promotes colorectal cancer cell proliferation and epithelial–mesenchymal transition by promoting lipid synthesis
- Baicalein inhibits NLRP3 inflammasome activation and mitigates placental inflammation and oxidative stress in gestational diabetes mellitus
- Impact of SWCNT-conjugated senna leaf extract on breast cancer cells: A potential apoptotic therapeutic strategy
- MFAP5 inhibits the malignant progression of endometrial cancer cells in vitro
- Major ozonated autohemotherapy promoted functional recovery following spinal cord injury in adult rats via the inhibition of oxidative stress and inflammation
- Axodendritic targeting of TAU and MAP2 and microtubule polarization in iPSC-derived versus SH-SY5Y-derived human neurons
- Differential expression of phosphoinositide 3-kinase/protein kinase B and Toll-like receptor/nuclear factor kappa B signaling pathways in experimental obesity Wistar rat model
- The therapeutic potential of targeting Oncostatin M and the interleukin-6 family in retinal diseases: A comprehensive review
- BA inhibits LPS-stimulated inflammatory response and apoptosis in human middle ear epithelial cells by regulating the Nf-Kb/Iκbα axis
- Role of circRMRP and circRPL27 in chronic obstructive pulmonary disease
- Investigating the role of hyperexpressed HCN1 in inducing myocardial infarction through activation of the NF-κB signaling pathway
- Characterization of phenolic compounds and evaluation of anti-diabetic potential in Cannabis sativa L. seeds: In vivo, in vitro, and in silico studies
- Quantitative immunohistochemistry analysis of breast Ki67 based on artificial intelligence
- Ecology and Environmental Science
- Screening of different growth conditions of Bacillus subtilis isolated from membrane-less microbial fuel cell toward antimicrobial activity profiling
- Degradation of a mixture of 13 polycyclic aromatic hydrocarbons by commercial effective microorganisms
- Evaluation of the impact of two citrus plants on the variation of Panonychus citri (Acari: Tetranychidae) and beneficial phytoseiid mites
- Prediction of present and future distribution areas of Juniperus drupacea Labill and determination of ethnobotany properties in Antalya Province, Türkiye
- Population genetics of Todarodes pacificus (Cephalopoda: Ommastrephidae) in the northwest Pacific Ocean via GBS sequencing
- A comparative analysis of dendrometric, macromorphological, and micromorphological characteristics of Pistacia atlantica subsp. atlantica and Pistacia terebinthus in the middle Atlas region of Morocco
- Macrofungal sporocarp community in the lichen Scots pine forests
- Assessing the proximate compositions of indigenous forage species in Yemen’s pastoral rangelands
- Food Science
- Gut microbiota changes associated with low-carbohydrate diet intervention for obesity
- Reexamination of Aspergillus cristatus phylogeny in dark tea: Characteristics of the mitochondrial genome
- Differences in the flavonoid composition of the leaves, fruits, and branches of mulberry are distinguished based on a plant metabolomics approach
- Investigating the impact of wet rendering (solventless method) on PUFA-rich oil from catfish (Clarias magur) viscera
- Non-linear associations between cardiovascular metabolic indices and metabolic-associated fatty liver disease: A cross-sectional study in the US population (2017–2020)
- Knockdown of USP7 alleviates atherosclerosis in ApoE-deficient mice by regulating EZH2 expression
- Utility of dairy microbiome as a tool for authentication and traceability
- Agriculture
- Enhancing faba bean (Vicia faba L.) productivity through establishing the area-specific fertilizer rate recommendation in southwest Ethiopia
- Impact of novel herbicide based on synthetic auxins and ALS inhibitor on weed control
- Perspectives of pteridophytes microbiome for bioremediation in agricultural applications
- Fertilizer application parameters for drip-irrigated peanut based on the fertilizer effect function established from a “3414” field trial
- Improving the productivity and profitability of maize (Zea mays L.) using optimum blended inorganic fertilization
- Application of leaf multispectral analyzer in comparison to hyperspectral device to assess the diversity of spectral reflectance indices in wheat genotypes
- Animal Sciences
- Knockdown of ANP32E inhibits colorectal cancer cell growth and glycolysis by regulating the AKT/mTOR pathway
- Development of a detection chip for major pathogenic drug-resistant genes and drug targets in bovine respiratory system diseases
- Exploration of the genetic influence of MYOT and MB genes on the plumage coloration of Muscovy ducks
- Transcriptome analysis of adipose tissue in grazing cattle: Identifying key regulators of fat metabolism
- Comparison of nutritional value of the wild and cultivated spiny loaches at three growth stages
- Transcriptomic analysis of liver immune response in Chinese spiny frog (Quasipaa spinosa) infected with Proteus mirabilis
- Disruption of BCAA degradation is a critical characteristic of diabetic cardiomyopathy revealed by integrated transcriptome and metabolome analysis
- Plant Sciences
- Effect of long-term in-row branch covering on soil microorganisms in pear orchards
- Photosynthetic physiological characteristics, growth performance, and element concentrations reveal the calcicole–calcifuge behaviors of three Camellia species
- Transcriptome analysis reveals the mechanism of NaHCO3 promoting tobacco leaf maturation
- Bioinformatics, expression analysis, and functional verification of allene oxide synthase gene HvnAOS1 and HvnAOS2 in qingke
- Water, nitrogen, and phosphorus coupling improves gray jujube fruit quality and yield
- Improving grape fruit quality through soil conditioner: Insights from RNA-seq analysis of Cabernet Sauvignon roots
- Role of Embinin in the reabsorption of nucleus pulposus in lumbar disc herniation: Promotion of nucleus pulposus neovascularization and apoptosis of nucleus pulposus cells
- Revealing the effects of amino acid, organic acid, and phytohormones on the germination of tomato seeds under salinity stress
- Combined effects of nitrogen fertilizer and biochar on the growth, yield, and quality of pepper
- Comprehensive phytochemical and toxicological analysis of Chenopodium ambrosioides (L.) fractions
- Impact of “3414” fertilization on the yield and quality of greenhouse tomatoes
- Exploring the coupling mode of water and fertilizer for improving growth, fruit quality, and yield of the pear in the arid region
- Metagenomic analysis of endophytic bacteria in seed potato (Solanum tuberosum)
- Antibacterial, antifungal, and phytochemical properties of Salsola kali ethanolic extract
- Exploring the hepatoprotective properties of citronellol: In vitro and in silico studies on ethanol-induced damage in HepG2 cells
- Enhanced osmotic dehydration of watermelon rind using honey–sucrose solutions: A study on pre-treatment efficacy and mass transfer kinetics
- Effects of exogenous 2,4-epibrassinolide on photosynthetic traits of 53 cowpea varieties under NaCl stress
- Comparative transcriptome analysis of maize (Zea mays L.) seedlings in response to copper stress
- An optimization method for measuring the stomata in cassava (Manihot esculenta Crantz) under multiple abiotic stresses
- Fosinopril inhibits Ang II-induced VSMC proliferation, phenotype transformation, migration, and oxidative stress through the TGF-β1/Smad signaling pathway
- Antioxidant and antimicrobial activities of Salsola imbricata methanolic extract and its phytochemical characterization
- Bioengineering and Biotechnology
- Absorbable calcium and phosphorus bioactive membranes promote bone marrow mesenchymal stem cells osteogenic differentiation for bone regeneration
- New advances in protein engineering for industrial applications: Key takeaways
- An overview of the production and use of Bacillus thuringiensis toxin
- Research progress of nanoparticles in diagnosis and treatment of hepatocellular carcinoma
- Bioelectrochemical biosensors for water quality assessment and wastewater monitoring
- PEI/MMNs@LNA-542 nanoparticles alleviate ICU-acquired weakness through targeted autophagy inhibition and mitochondrial protection
- Unleashing of cytotoxic effects of thymoquinone-bovine serum albumin nanoparticles on A549 lung cancer cells
- Erratum
- Erratum to “Investigating the association between dietary patterns and glycemic control among children and adolescents with T1DM”
- Erratum to “Activation of hypermethylated P2RY1 mitigates gastric cancer by promoting apoptosis and inhibiting proliferation”
- Retraction
- Retraction to “MiR-223-3p regulates cell viability, migration, invasion, and apoptosis of non-small cell lung cancer cells by targeting RHOB”
- Retraction to “A data mining technique for detecting malignant mesothelioma cancer using multiple regression analysis”
- Special Issue on Advances in Neurodegenerative Disease Research and Treatment
- Transplantation of human neural stem cell prevents symptomatic motor behavior disability in a rat model of Parkinson’s disease
- Special Issue on Multi-omics
- Inflammasome complex genes with clinical relevance suggest potential as therapeutic targets for anti-tumor drugs in clear cell renal cell carcinoma
- Gastroesophageal varices in primary biliary cholangitis with anti-centromere antibody positivity: Early onset?











































