Home Impact of multiple slips on thermally radiative peristaltic transport of Sisko nanofluid with double diffusion convection, viscous dissipation, and induced magnetic field
Article Open Access

Impact of multiple slips on thermally radiative peristaltic transport of Sisko nanofluid with double diffusion convection, viscous dissipation, and induced magnetic field

  • Humaira Yasmin EMAIL logo , Safia Akram EMAIL logo , Maria Athar , Khalid Saeed , Alia Razia and J. G. Al-Juaid
Published/Copyright: April 2, 2024
Become an author with De Gruyter Brill

Abstract

The analysis focuses on investigating the phenomenon of double-diffusive convection using the Sisko nanofluid model. It particularly highlights the impact of induced magnetic flux, viscous dissipation, and heat radiation within an asymmetric geometry having multiple slip conditions. To ascertain the salient of the Brownian diffusion coefficient and thermophoresis, we have incorporated viscous dissipation, heat radiation, and the Buongiorno model. The Soret and Dufour parameters describe the convective double diffusion phenomenon. The mathematical formulation is constructed through equations governing magnetic force function, concentration, temperature, momentum, and continuity. These formulations yield nonlinear partial differential equations to explain the designated flow. To simplify the nonlinear partial differential equations, the lubrication paradigm of mathematical simulations is employed. The subsequent system of coupled nonlinear differential equations is calculated numerically through the NDSolve function, which is a built-in program of Mathematica. Numerical results and graphs give evidence that supports the significance of different flow quantities in physiological contexts. The findings from this investigation are anticipated to contribute to the development of intelligent magneto-peristaltic pumps, particularly in thermal and drug administration applications. The current investigation suggests that the distribution of temperature reduces as the coefficient of radiation increases due to a system’s high heat emission and consequent effects of cooling. Furthermore, the increased influence of heat radiation raises the concentration profile. It is also highlighted that heat radiation has the potential to raise a fluid’s temperature, which raises the volume fraction of nanoparticles.

Nomenclature

c

propagation of velocity

C

solutal concentration

D B

Brownian diffusion coefficient

D CT

Soret diffusivity

D s

solutal diffusivity

D T

thermophoretic diffusion coefficient

D TC

Dufour diffusivity

E

induced electric field

G rc

solutal Grashof number

G rt

thermal Grashof number

G rF

nanoparticle Grashof number

g

acceleration due to gravity

J

current density

k

thermal conductivity

Le

Lewis number

Ln

nanofluid Lewis number

M

Hartmann number

N b

Brownian motion parameter

N CT

Soret parameter

N t

thermophoresis parameter

N TC

Dufour parameter

p

pressure

p m

sum of ordinary and magnetic pressures

Pr

Prandtl number

Re

Reynolds number

R m

magnetic Reynolds number

S 1

Stommer’s number

T

temperature

t

time

U , V

velocities in X and Y directions

α 0 , α 1

Sisko fluid parameters

ρ f

fluid density

μ e

magnetic permeability

ρ f 0

fluid density at T 0

β C

volumetric solutal expansion

ψ

stream function

σ

electrical conductivity

β 4 , β 1

wave amplitudes

β 2 , β 3

channel width

μ

fluid viscosity

ξ

magnetic diffusivity

Φ

magnetic force function

λ

wavelength

β T

volumetric thermal expansion

( ρ c ) p

heat capacity of nanoparticle

γ

dimensionless solutal concentration

( ρ c ) f

heat capacity of fluid

δ

wave number

θ

dimensionless temperature

Ω

dimensionless nanoparticle volume fraction

Θ

nanoparticle volume fraction

ρ p

nanoparticle mass density

1 Introduction

One of the significant physiological phenomena is peristaltic flow which has wide-ranging utilization in engineering fields and biomedicine, specifically in scenarios having micro/macro level transportation. These flows involve diverse functions both in human physiology and industrial applications that encompass transportation and excretion of body fluids as well as handling of corrosive liquids and various machine applications like roller and finger pumps. These diversified practical applications of peristaltic flow have instigated researchers to further explore the phenomenon. In 1960, Latham [1] explained this phenomenon in detail in his MS research where he explained the process as “natural siphon” which employs rhythmic squeezing that travels along the chamber walls and pushes the contents within the chamber or vessel. Jaffrin and Shapiro [2] conducted a detailed analysis of the process. Later, researchers like Misra and Rao [3], Hina et al. [4], Akbar et al. [5], Safia Akram et al. [6], and Nadeem et al. [7,8,9,10] experimented with the process having different fluids under various conditions involving numerous parameters both physiological and mechanical. Despite these investigations, there are diverse limitations and unresolved issues which necessitate further in-depth analysis and exploration.

Another influential area of peristaltic flow is nanofluids which have significant applications in medical engineering and biomedicine. The composition of nanofluid contains tiny oxides of metals, carbon nanotubes, and other carbon ions. However, the quantity of nanoparticles is minimal, which is calculated as less than 5%. Incredibly, a negligible amount like 1% added in the base fluid of nanostructure like fibre, sheet, rod, or wire could augment the heat properties by a considerable increase in heat conductivity. So, the addition of a minimal amount of nanoparticles can significantly enhance thermal flow. Choi and Eastman [11] explained the dispersion of nanosized particles within a heat-transmitting fluid. Similarly, Masuda et al. [12] further explored the nanofluid properties in terms of heat expansion and conductivity. A model is devised by Duangthongsuk and Wongwises [13] to examine nanofluid’s thermophysical characteristics and its impact on the liquid’s convection heat flow constant at the lowest nanoparticle concentration. Buongiorno and Hu [14] and Buongiorno [15] have investigated the Brownian diffusion with thermophoresis to understand the convective flow in nanofluids by applying a closed-form model. Another development to explain the dispersion of concentration polarity within the range of micro to nanochannel is through various models of analysis that is done by Mani et al. [16]. Whereas Akbar and Nadeem [17] combined the concept of nanofluids with models of peristaltic pumping to examine the nanofluid peristaltic flow under the endoscopic influence. Moreover, Akbar [18] observed the Sisko nanoliquid peristaltic flow in an asymmetric channel. Particularly, the examination reveals that an increase in parameter axial pressure of Sisko nanoliquid leads to a rise in the area of peristaltic pumping. The research literature contains a wide range of studies [19,20,21,22,23,24,25] which further shed light on the phenomena of non-Newtonian and Newtonian nanofluids under various parameters and different flow structures. Moreover, the concept of magnetohydrodynamics is salient in sweltering heat equipment like electric transformers, as well as in corporal conductive matter including pumps and machines for blood regulation and arterial blood flow, Magnetic resonance imaging, equipment for magnetic therapies, and in aviation where inclined magnetic flux impact is noticeable. In biomedicine and medical engineering issues, [26,27,28,29,30] peristaltic flow with magnetic flux has provided multifaceted solutions. In electrically charged fluids having optimal Reynolds number, magnetic diffusion is negligible as compared to induction, hence resulting in the significant impact of induced magnetic flux. Taking into consideration the velocity slip conditions, Shit et al. [31] observed the micropolar fluid peristalsis under magnetic flux. The results reveal the strengthening of peristalsis flow under magnetic influence causing mechanical simulation of the fluid. Therefore, induced magnetic force is effective for the treatment of cancers and magneto therapy is recommended in research [32,33,34]. Other notable findings are given in previous studies [29,3539].

The study of hydromagnetic peristaltic flow under thermal production and consumption impact has significant importance in various engineering and scientific fields. These encompass multifarious applications like processing of energy, and cooling and heating systems employed in industrial processing and in space technology and devices. Additional research exploring the phenomenon of peristalsis with heat and nanofluids is referred in previous studies [4044]. These investigations further delved into the various parameters including Brownian conditions, Hartmann number, and thermophoresis.

Double diffusion is a phenomenon of typology of convection with two asymmetric density gradients called solutal and density gradients, respectively. It exhibits differing diffusion rates. Numerous natural, technical, and industrial scenarios use blended convection motion that integrates the force and free convection flows. Any fluid having two contrasting density gradients at differing rate of diffusion leads to free mixed convection with double diffusion [45,46]. The practical utilization of hydromagnetic flow with heat dissemination properties includes wide industrial applications in nuclear reactor processes, manufacturing of electronic equipment and devices, which are few to mention. Owing to its extensive scope, the phenomenon has been investigated with various models of peristalsis and nanofluids flow [4753].

Furthermore, the conventional use of no-slip situation is inefficient in case of fluids having wall slip condition with macroscopic context as it involves the relation of grip and slip velocity. The role of slip condition is salient in different procedures such as hysteresis impacts, spurt, and shear skin. Similarly, nanofluids with boundary slip conditions are used in technology to build devices like artificial heart valves and conduits. Further notable studies are referred in previous studies [5459].

Due to the vast applications of the phenomenon mentioned above, the present study employs a unique merging of various intricate factors like heat radiation, induced magnetic flux, peristaltic transportation, viscous dissolution, multiple slip conditions, nanofluid, and double diffusive convection. The aim of the current investigation is to analyse the flow behaviour employing advanced mathematical and computational techniques. The study focuses on the fluid transportation with 2D peristalsis in an asymmetric channel. The driving force of the flow is sinusoidal waves transmitted through walls of the chamber with specific wavelength and persistent speed. The equation of temperature, mass, magnetic flux, concentration, momentum, and nanoparticle fraction is employed on fluid peristaltic transportation across the channel walls under slip boundary conditions. For the study, Mathematica command, NDSolve is employed for numerical solutions along with non-dimensional procedure. The result’s findings are represented in graphical representations of concentration, velocity, nanoparticle fraction, magnetic force function, and temperature that not only provides ease in the analysis but also depicts parameters variation and its impact on system’s behaviour. A comprehensive analysis of the results findings is presented in Section 4, while the significant resultant factors are summed up in the conclusion. It is noteworthy that insight of the convective double diffusion phenomenon upon nanoparticles in peristalsis have significance to assist in boosting nanofluid devices, enhance devices using microfluids, efficacious drug delivery, and proficient heat transmission systems.

2 Mathematical model

To investigate the peristaltic flow of Sisko nanofluid under dense and electrically charged medium, we consider the analysis of a two-dimensional channel, characterized by width β 3 + β 2 . The channel promotes sinusoidal waves at uniform velocity along the channel walls, serving as the source of initial flow. To facilitate the study, a coordinates system is adopted where the centre of the channel is aligned with X -axis, while the cross section of the channel lies along the Y -axis. The geometry of the problem under consideration is given in Figure 1.

Figure 1 
               Geometry of the problem.
Figure 1

Geometry of the problem.

The mathematical depiction of the wall’s geometric forms is described as follows:

(1) Y = W 1 = β 3 + β 4 cos 2 π λ ( X ct ) , Y = W 2 = β 2 β 1 cos 2 π λ ( X ct ) + φ ,

where β 3 + β 2 indicates the channel width, ( β 4 , β 1 ) stands for the wave amplitudes, c represents the speed of velocity, λ refers to the wavelength, and the time is represented by t . The phase difference is represented by φ having a range of 0 φ π . Moreover, when φ = 0 , it represents a symmetric channel with no phase wave, and when φ = π it represents a channel with a phase wave. Also β 1 , β 2 , β 3 , β 4 , and φ satisfy the condition β 4 2 + β 1 2 + 2 β 4 β 1 cos φ ( β 3 + β 2 ) 2 .

In this analysis, the right ( y = W 1 ) and left ( y = W 2 ) walls are retained at temperature ( T 0 , T 1 ), concentration of the solvent at ( C 0 , C 1 ), and nanoparticles volume fraction ( Θ 0 , Θ 1 ). The velocity V = ( U ( X , Y , t ) , V ( X , Y , t ) , 0 ) is used to represent the flow as two-dimensional and directional. Additionally, we introduced an outer transverse magnetic flux at uniform rate Z 0 , an induced magnetic force Z ( z X ( X , Y , t ) , z Y ( X , Y , t ) , 0 ) and accumulative magnetic flux Z + ( z X ( X , Y , t ) , Z 0 + z Y ( X , Y , t ) , 0 ) for the analysis.

The basic equations for hydro-magnetic Sisko nanofluid are as follows:

(a) Maxwell’s equation [31,32,33] is given as

(2) E = 0 , Z = 0 ,

(3) × Z = J , J = σ { E + μ e ( V × Z + ) } ,

(4) × E = μ e Z t ,

where V , E , μ e , J , and σ refer to the velocity vector, induced electric field, magnetic permeability, current density, and electric conductivity.

(b) Equation of continuity is given as

(5) V = 0 .

(c) Momentum equation is defined as [47,48,50]

(6) ρ d V d t = τ μ e ( Z + ) Z + 1 2 μ e ( Z + ) 2 + g { ρ f 0 ( 1 Θ 0 ) { β T ( T T 0 ) + ( C C 0 ) β C } ( ρ p ρ f 0 ) ( Θ Θ 0 ) } ,

where T indicates the temperature, d d t is the material derivative, g stands for the acceleration, ρ f 0 indicates the fluid density at T 0 , β T refers to the coefficient of volumetric thermal expansion, β C stands for the coefficient of volumetric solutal expansion, ρ p represents the mass density of nanoparticle, C refers to the concentration, Θ stands for the nanoparticle volume fraction, τ is the stress tensor for the Sisko fluid which is a kind of viscoelastic fluid that possesses both elastic and viscous features. The mathematical form of Sisko fluid stress tensor is defined as [7,18]

(7) τ = P I + S ,

(8) S = ( α 0 + α 1 ( Π ) i 1 ) A 1 , A 1 = L + L T L = grad V , Π = 1 2 trac ( A 1 2 ) ,

where P stands for the pressure and I is the Identity tensor.

(d) The nanoparticle thermal energy equation in the presence of mixed convection, radioactive heat flux, and viscous dissipation is defined as [49,52]

(9) ( ρ c ) f d T d t = k 2 T + ( ρ c ) p D B ( Θ T ) + D T T 0 2 T + S L q r + D TC 2 C ,

where ( ρ c ) f refers to the fluid’s heat capacity, k stands for the thermal conductivity, ( ρ c ) p represents the heat capacity of effective nanoparticles, D B is the component of Brownian diffusion, D T refers to the coefficient of thermophoretic diffusion, D TC stands for the Dufour diffusivity, L stands for the velocity gradient, 2 stands for the Laplacian operator, and q r stands for the radiation thermal flux, which can be established by using the Rosseland diffusion technique as:

(10) q r = 4 σ * 3 k * T 4 Y .

The tremendous radiation limit is considered in this investigation. Therefore, by assuming that there are not any substantial temperature changes inside the flow channel, Taylor expansion may be used to modify T 4 such that temperature can be expressed as a linear function. With respect to T 0 , Taylor expansion on T 4 is now defined as

(11) T 4 = T 0 4 + 4 T 0 3 ( T T 0 ) + 6 T 0 2 ( T T 0 ) 2 + . . . .

Now we obtain ( T T 0 ) by omitting the higher powers of T (more than the first).

(12) T 4 = 4 T 0 3 T 3 T 0 4 .

Eqs. (11) and (12) yield

(13) q r = 16 σ * T 0 3 3 k * T Y ,

(14) q r Y = 16 σ * T 0 3 3 k * 2 T Y 2 ,

where k * is the Rosseland mean absorption and σ * represents the Stefan–Boltzmann constant.

(e) The solute concentration is defined as [49,52]

(15) d C d t = D s 2 C + D CT 2 T ,

where D CT and D s indicate Soret diffusivity and solutal diffusivity, respectively.

(f) The nanoparticle volume fraction is defined as [49,52]

(16) d Θ d t = D B 2 Θ + D T T 0 2 T .

(g) The induction equation is calculated by means of equations (2)–(4)

(17) Z + t = × ( V × Z + ) + 1 ξ 2 Z + ,

where ξ = μ e σ is magnetic diffusivity.

Since we are interested in performing the flow simulation in wave frame ( x , y ). Therefore, the Galilean transformation relates the velocities and coordinates in the laboratory ( X , Y ) and wave ( x , y ) frames as

(18) u = U c , y = Y , x = X ct , p ( x , y ) = P ( X , Y , t ) , v = V ,

where ( u , v ) and ( U , V ) indicate the velocities in wave and laboratory frames, respectively.

The following quantities are defined in order to express the flow of fluid in a non-dimensional form as

(19) x ̄ = x λ , m 1 = β 4 β 3 , y ̄ = y β 3 , δ = β 3 λ , u ̄ = u c , m = β 2 β 3 , t ̄ = ct λ , w 2 = W 2 β 2 , w 1 = W 1 β 3 , m 0 = β 1 β 3 , p ̄ = β 3 2 p μ c λ , Pr = ( ρ c ) f υ k , Re = ρ f c β 3 μ , υ = μ ρ f , Le = υ D s , Ln = υ D B , θ = T T 0 T 1 T 0 , v ̄ = v c , γ = C C 0 C 1 C 0 , Ω = Θ Θ 0 Θ 1 Θ 0 , S ̄ xx = S xx λ μ c , S ̄ xy = S xy β 3 μ c , S ̄ yy = S yy β 3 μ c , N CT = D CT ( T 1 T 0 ) D s ( C 1 C 0 ) , N b = ( ρ c ) p D B ( Θ 1 Θ 0 ) k , G rc = g ( 1 Θ 0 ) ρ f β c ( C 1 C 0 ) β 3 2 μ c , N TC = D CT ( C 1 C 0 ) k ( T 1 T 0 ) , G rt = g β 3 2 ( 1 Θ 0 ) ( T 1 T 0 ) ρ f β T μ c , Rd = 16 σ * T 1 3 3 k * , G rF = g ( ρ p ρ f ) ( Θ 1 Θ 0 ) β 3 2 μ c , N t = ( ρ c ) p D T ( T 1 T 0 ) T 0 k , u = ψ y , h x = Φ y , Br = EcPr , v = δ ψ x , r = α 1 α 0 ( β 3 / c ) i 1 , M = σ μ B 0 β 3 , R m = σ c β 3 μ e , Φ ̄ = Φ Z 0 β 3 , h y = δ Φ x .

Using Eqs. (18) and (19), Eq. (5) is automatically satisfied and Eqs. (6)–(17) in terms of the stream function ψ and magnetic force function Φ (dropping the bars) are as follows:

(20) Re δ ( ψ y ψ xy ψ x ψ yy ) = p m x + δ 2 S xx x + S xy y + Re S 1 2 Φ yy + Re S 1 2 δ ( Φ y Φ xy Φ x Φ yy ) + G rt θ + G rc γ G rF Ω ,

(21) Re δ 3 ( ψ x ψ xy ψ y ψ xx ) = p m y + δ 2 S xy x + δ S yy y Re δ 2 S 1 2 Φ yy Re S 1 2 δ 3 ( Φ y Φ xx Φ x Φ xy ) ,

(22) Re ( ψ y θ x ψ x θ y ) = 1 Pr ( θ yy + δ 2 θ xx ) + N TC ( δ 2 γ xx + γ yy ) + Rd θ yy + N b ( δ 2 Ω x θ x + θ y Ω y ) + Ec ( δ 2 S xx ψ xy + S xy ( ψ yy δ 2 ψ xx ) δ S yy ψ xy ) + N t ( ( θ y ) 2 + δ 2 ( θ x ) 2 ) ,

(23) Re δ Le ( ψ y γ x ψ x γ y ) = ( γ yy + δ 2 γ xx ) + N CT ( θ yy + δ 2 θ xx ) ,

(24) Re δ Ln ( Ω x ψ y Ω y ψ x ) = ( Ω yy + δ 2 Ω xx ) + N t N b ( δ 2 θ xx + θ yy ) ,

(25) ψ y δ ( Φ x ψ y Φ y ψ x ) + 1 R m ( δ 2 Φ xx + Φ yy ) = E ,

where N CT illustrates the Soret parameter, Ω represents the nanoparticle fraction, N t stands for the thermophoresis parameters, δ symbolizes the wave number, Ln represents the nanofluid Lewis number, G rF stands for the nanoparticle Grashof number, Re refers to the Reynolds number, Le stands for the Lewis number, N TC stands for the Dufour parameter, N b represents the Brownian motion, γ represents the solutal (species) concentration, G rt stands for the thermal Grashof number, θ represents the temperature, G rc stands for the solutal Grashof number, Pr is the Prandtl number, R m is the magnetic Reynolds number, and ( S xx , S xy , S yy ) are the non-dimensional form of stresses determined from equation (8), and is defined as follows:

(26) S xx = 2 δ 1 + r 2 δ 2 2 ψ x y 2 + 2 ψ y 2 δ 2 2 ψ x 2 2 + 2 δ 2 2 ψ x y 2 i 1 2 2 ψ x y , S xy = 1 + r 2 δ 2 2 ψ x y 2 + 2 ψ y 2 δ 2 2 ψ x 2 2 + 2 δ 2 2 ψ x y 2 i 1 2 2 ψ y 2 δ 2 2 ψ x 2 , S yy = 2 δ 1 + r 2 δ 2 2 ψ x y 2 + 2 ψ y 2 δ 2 2 ψ x 2 2 + 2 δ 2 2 ψ x y 2 i 1 2 2 ψ x y .

Now using δ 1 (long wavelength) and finite approximation of a low Reynolds number, Eqs. (20)–(26) become

(27) p x = y S xy + Re S 1 2 Φ yy + G rt θ + G rc γ G rF Ω ,

(28) 0 = p y ,

(29) 0 = 2 θ y 2 + N TC Pr 2 γ y 2 + N b Pr θ y Ω y + N t Pr θ y 2 + RdPr 2 θ y 2 + Br 2 ψ y 2 2 ψ y 2 + r 2 ψ y 2 i ,

(30) 2 γ y 2 + N CT 2 θ y 2 = 0 ,

(31) 2 Ω y 2 + N t N b 2 θ y 2 = 0 ,

(32) Φ yy = R m E ψ y ,

where

(33) S xy = 1 + r 2 ψ y 2 2 i 1 2 2 ψ y 2 .

Now pressure is eliminated from Eqs. (27) and (28) to yield the stream function equation as

(34) 2 y 2 1 + r 2 ψ y 2 2 i 1 2 2 ψ y 2 Re S 1 2 R m 2 ψ y 2 + G rt θ y + G rc γ y G rF Ω y = 0 .

The boundary conditions in non-dimensional form are expressed as

(35) ψ = F 2 , ψ y = l 1 S xy 1 on y = w 1 ( x ) , ψ = F 2 , ψ y = l 1 S xy 1 on y = w 2 ( x ) ,

(36) θ + l 2 θ y = 0 , on y = w 1 , θ l 2 θ y = 1 , on y = w 2 ,

(37) γ + l 3 γ y = 0 , on y = w 1 , γ l 3 γ y = 1 , on y = w 2 ,

(38) Ω + l 4 Ω y = 0 , on y = w 1 , Ω l 4 Ω y = 1 , on y = w 2 ,

(39) Φ = 0 , at y = w 1 ( x ) and y = w 2 ( x ) ,

where l 1 , l 2 , l 3 , and l 4 stands for velocity slip parameter, temperature slip parameter, concentration slip parameter, and nanoparticle slip parameter, respectively. The no slip conditions in the aforementioned criteria are indicated when l 1 , l 2 , l 3 , l 4 = 0 .

Table 1

Comparison of the current problem with available literature

Profile of velocity ( u )
y = h ( x ) Current problem Akbar [18] Mehmood et al. [55] Viscous fluid [3]
1.6472 0.000806 1 0.0179032 1
1.23979 0.282405 0.317149 0.262324 0.168407
0.83237 0.511743 0.309694 0.500021 0.478388
0.424954 0.674745 0.863047 0.686395 0.940385
0.0175371 0.769948 1.31172 0.808947 1.21758
0.38988 0.802025 1.57029 0.852524 1.30998
0.797296 0.774457 1.40441 0.808946 1.21758
1.20471 0.685145 0.976262 0.686394 0.940385
1.61213 0.529514 0.411789 0.50002 0.478388
2.01955 0.306978 0.252917 0.262323 0.168407
‒2.42696 0.024901 1 ‒0.0179043 1

The mean flow ( Q ) in non-dimensional form is computed as

(40) Q = 1 + m + F ,

where

(41) F = w 2 ( x ) w 1 ( x ) ψ y d y = ψ ( w 1 ( x ) ) ψ ( w 2 ( x ) ) ,

where

(42) w 1 ( x ) = 1 + m 1 cos 2 π x , w 2 ( x ) = m m 0 cos ( 2 π x + φ ) .

3 Special cases

  • The results of Akbar [18] can be recovered as a special case of our problem by dropping/ignoring the phenomena of induced magnetic field ( Φ ) , viscous dissipation ( Br ), slip parameters ( l 1 , l 2 , l 3 , l 4 ) , thermal radiation (Rd), solutal (species) concentration ( γ ) .

  • The outcomes of Mehmood et al. [55] may be obtained as a special case of our problem by dropping the phenomena of double diffusion convection ( G rF , G rt , G rc ) , induced magnetic field ( Φ ) , thermal radiation (Rd), solutal (species) concentration ( γ ) , nanoparticle fraction ( Ω ) , and slip parameters ( l 3 , l 4 ) .

  • By considering the value of the non-Newtonian parameter ( r ) = 0 and excluding the phenomena of heat transfer, double diffusion convection, slip parameters, and induced magnetic field, the results of the viscous fluid [3] can be found as a special case of our problem (Table 1).

4 Numerical solution and graphical analysis

The exact solution to Eqs. (27), (29)–(32), and (34) appears to be difficult to attain; the solution may be found by using computing techniques. Mathematica 9 and MATLAB software is used for performing the numerical computations of Eqs. (27), (29)–(32), and (34). NDSolve command is utilized for solving the nonlinear equations in Mathematica. NDSolve is basically a Wolfram Language function that is used to solve numerical differential equations. It is capable of solving a large variety of ordinary differential equations and certain partial differential equations. In NDSolve, the solutions for the functions are represented by interpolating function objects. The interpolating function objects approximate the function throughout the independent variable’s range of minimum to maximum values. In general, NDSolve iteratively discovers solutions. To investigate the thermodynamic features of our model, a graphical analysis of the numerical results is produced.

The effects of pressure rise on non-Newtonian parameter (r), velocity slip (l 1), thermophoresis parameter (N t ), and thermal slip (l 2) are analysed in Figure 2(a)–(c). To expose all aspects of pressure rise, the pumping phases are classified into the following segments:

  1. The augmented region exists when Q < 0 and Δp < 0: The pressure induced by the peristaltic force enhances flow in this area.

  2. The peristaltic region exists when Q > 0 and Δp > 0 gt is 0: Fluid is propelled in the direction of flow by peristalsis waves, which continually regulates the pressure in this area.

  3. The retrograde region exists when Q < 0 and Δp > 0: Peristalsis contractions are preventing the flow in this area, which increase pressure in the direction opposite to the flow. The retrograde motion may generate a “backflow” effect that spreads the fluid and avoids system congestion.

  4. The free pumping region exist when Δp = 0 and Q = 0: Peristalsis walls are the sole means of flow in this region.

Figure 2 
               Behaviour of Pressure rise on r, l
                  1, N
                  t, and l
                  2.
Figure 2

Behaviour of Pressure rise on r, l 1, N t, and l 2.

It is seen from Figure 2(a) that increasing the influence of the non-Newtonian parameter (r) increases the pressure rise in the zones of retrograde, free, and peristaltic pumping, but the reverse effect is seen in the augmented region. Here pressure rise drops because of the rising influence of r. In Figure 2(b), it is shown that as the influence of velocity slip (l 1) increases, the pressure rise falls in the peristaltic, free, and retrograde pumping zones, but the opposite behaviour is noted in the augmented pumping region. The rising influence of velocity slip causes pressure to increase in this region. As observed in Figure 2(c) and (d), increasing the thermophoresis (N t ) and thermal slip (l 2) parameters cause pressure to increase in all peristaltic pumping zones. Figure 3(a)–(d) depicts the significance of various parameters on the pressure gradient distribution. It is noted from Figure 3(a) that increasing the non-Newtonian variable causes the pressure gradient to accelerate at the central region of the channel while decreasing towards the right and left sides. According to Figure 3(b), the pressure gradient reduces in the region x ∈ [0.3,0.6] due to the increasing impact of velocity slip, whereas it increases in the regions x ∈ [0,0.3] and x ∈ [0.6,1]. As illustrated in Figure 3(c) and (d), the pressure gradient drops as a result of the increasing impact of nanoparticle Grashof number (G rF) and thermal radiation (Rd).

Figure 3 
               Pressure gradient impact on r, l
                  1, G
                  rF, and Rd.
Figure 3

Pressure gradient impact on r, l 1, G rF, and Rd.

The phenomenon of flow velocity is investigated in Figure 4(a)–(d) for various values of non-Newtonian parameter (r), velocity slip (l 1), thermophoresis (N t), and thermal radiation (Rd). As depicted in Figure 4(a), when the fluid is in the range x ∈ [−2.45, −2] and x ∈ [1,1.6], the velocity of the fluid rises owing to the increase in the influence of the non-Newtonian parameter, but when the fluid is at the channel’s centre at x = −0.5, the maximum fluid velocity exists. Furthermore, as fluid approaches the regions x ∈ [−2.0, −0.6] and x ∈ [−0.6,1.0], the velocity begins to decrease due to the increasing behaviour of r. According to Figure 4(b), the velocity of fluid drops in the region x ∈ [−1.3,0.8] as the effect of velocity slip parameter (l 1) increases. Furthermore, similar behaviour of fluid velocity is noted in the regions x ∈ [−2.45, −1.3] and x ∈ [0.8,1.6]. Here magnitude value of fluid velocity decreases as l 1 increases. As shown in Figure 4(c), fluid velocity tends to rise when it is in the region x ∈ [−1.0,1.6], but it tends to drop when it is in the region x ∈ [−2.5, −1] due to an increase in the influence of thermophoresis (N t) parameter. The fluid velocity exhibits opposite behaviour on thermal radiation (Rd) when compared to the thermophoresis (N t) parameter. The velocity profile enhances when fluid is in the region x ∈ [−2.5, −1.3] and drops when the fluid is in the region x ∈ [ − 1.3,1.6] due to the enhancing influence of thermal radiation (Figure 4(d)).

Figure 4 
               Behaviour of velocity profile on r, l
                  1, N
                  t and Rd.
Figure 4

Behaviour of velocity profile on r, l 1, N t and Rd.

Figure 5(a)–(d) displays the effect of temperature distribution on Brinkman number (Br), thermal slip parameter (l 2), radiation parameter (Rd), and Brownian motion (N b). Figure 5(a) illustrates the impact of Brinkman number (Br) on temperature distribution. It is demonstrated in this figure that by using Br, it is possible to increase the internal resistance among the fluid’s particles, which leads to a better temperature distribution. A similar characteristic is being investigated in Figure 5(b) for the thermal slip parameter (l 2). Figure 5(c) shows the graphical impact of temperature on radiation (Rd) parameter. This figure illustrates that increasing the values of the radiation parameter reduces temperature. It is due to the fact that as the radiation parameter rises, heat conduction is reduced, and electromagnetic wave motion is improved. Because irregular atom growth leads to dispersion of heat exchange, when it is sent out, the adjoining particles spread less and the vitality exchange rate between them slows down. Diffusive heat exchange also happens more slowly than radiative heat exchange. It is noted in Figure 5(d) that the system’s temperature may change as a result of the enhanced Brownian motion. This occurs because when particles collide more frequently and violently, some of their kinetic energy is transferred to the suspended particles. The particles internal energy is increased, and their temperature is raised as a result of the energy transfer. Therefore, a rise in Brownian motion usually correlates with a rise in temperature.

Figure 5 
               Behaviour of temperature profile on impact on Br, l
                  2, Rd and N
                  b .
Figure 5

Behaviour of temperature profile on impact on Br, l 2, Rd and N b .

Figure 6(a)–(d) displays the characteristics of solutal concentration on slip parameter of concentration (l 3), Soret parameter (N CT), Prandtl number (Pr), and radiation parameter (Rd). Figure 6(a) demonstrates that the concentration profile decreases as a result of the increasing influence of the concentration’s slip parameter (l 3). It is noted in Figure 6(b) that due to the increasing impact of the Soret parameter, the profile of concentration tends to drop. The Soret parameter shows a higher impact of heat diffusion on concentration profiles as it rises. In these situations, the concentration profile frequently exhibits a tendency to decline or become more reduced in areas of greater temperature. As seen in Figure 6(c), a rise in the Prandtl number causes irregularities and a general drop in the particle distribution. The flow field’s temperature rise is the primary factor in the lowering of nanoparticle concentration, which is caused by the temperature of the channel. The radiation parameter exhibits opposite effect on concentration profile when compared to l 3, N CT, and Pr. The concentration profile rises due to the increasing influence of heat radiation. Increased movement of molecules and energy transfer throughout the system might be a result of high radiation intensity. This improved molecular mobility may cause diffusion coefficients to rise, facilitating the transport of particles throughout the medium. The concentration profile may consequently stretch out or become more diffuse, increasing concentration across a larger region, as seen in Figure 6(d).

Figure 6 
               Behaviour of solutal concentration impact on l
                  3, N
                  CT, Pr, and Rd.
Figure 6

Behaviour of solutal concentration impact on l 3, N CT, Pr, and Rd.

Figure 7(a)–(d) shows how the nanoparticles volume fraction affects several fluid properties such as Prandtl number (Pr), nanoparticle slip parameter (l 4), Brinkman number (Br), and thermal radiation (Rd). The graph in Figure 7(a) demonstrates the effect of nanoparticle volume fraction on Prandtl number (Pr). Figure 7(a) illustrates that when the effect of the Prandtl number increases, the nanoparticle volume fraction profile decreases. From Figure 7(b), it is seen that the profile of nanoparticle volume fraction enhances when the impact of nanoparticle slip parameter increases. It is highlighted in Figure 7(c) that when the Brinkman number increases, the convective flow dominates. The fluid’s nanoparticles may mix more effectively as a result of the enhanced flow. The outcome is a greater nanoparticle volume percentage because the nanoparticles are spread more uniformly. It is observed from Figure 7(d) that increasing the radiation parameter may result in considerable fluid heating or temperature gradients. As a result, thermal buoyancy forces may be produced, causing convective fluid motion. Increased convection promotes nanoparticle dispersion and mixing throughout the fluid resulting in a higher nanoparticle volume fraction.

Figure 7 
               Behaviour of nanoparticle volume fraction on Pr, l
                  4, Br, and Rd.
Figure 7

Behaviour of nanoparticle volume fraction on Pr, l 4, Br, and Rd.

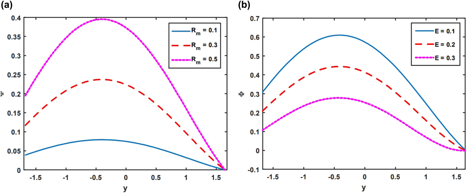
Figure 8(a) and (b) show the effects of the magnetic force function on the magnetic Reynolds number (R m) and electric field (E). To study the impact of magnetic force function on magnetic Reynolds number (R m) and electric field (E) , Figure 8(a) and (b) are plotted. As seen in Figure 8(a), the magnetic force function frequently increases as the magnetic Reynolds number increases, indicating that magnetic induction impact on fluid behaviour is becoming more important. The profile of magnetic force function decreases when the intensity of electric field increases (Figure 8(b)).

Figure 8 
               Behaviour of magnetic force function on R
                  m and E.
Figure 8

Behaviour of magnetic force function on R m and E.

4.1 Streamlines

The conceptual lines, used in fluid dynamics, are called streamlines. These hypothetical lines depict the instantaneous direction of fluid movement at varying points within the fluid field. When taken into consideration in the study of peristaltic flow, the streamlines have significance as they provide valuable insights through flow patterns and pathways of fluid particles in the system. Hence, the streamlines analysis is beneficial for the development and enhancement of peristaltic flow system. The visualization of streamlines enables the researchers to detect zones of flow separation areas, characterized by elevated sheer stress, or potential sites for particle deposition. This knowledge is invaluable as it can be used to develop more efficient peristaltic devices or improve the parameters matrix for specified flow characteristics.

The impact of streamlines on velocity slip ( l 1 ) , thermal slip ( l 2 ) , concentration slip ( l 3 ) , and nanoparticle slip ( l 4 ) parameters are examined in Figures 912. According to Figure 9, the quantity and shape of the trapped bolus reduces in both the top and bottom regions of the channel as the velocity slip increases. This occurs because velocity slip may strengthen the fluid mixing, especially at channel boundaries. This improved mixing may have an impact on the bolus’ solute or particle distribution, which may change the bolus’ composition and characteristics. As shown in Figure 10, the appearance of the trapped bolus changes in the top area of the channel as the influence of the thermal slip parameter increases, whereas the number of trapped boluses increases in the bottom region. In Figure 11, it is shown that when the concentration slip parameter increases, the size of the trapped bolus decreases in the top region of the channel while increasing in the bottom. The opposite behaviour is noted when nanoparticle parameter increases. According to Figure 12, the volume of the trapped bolus increases due to the increasing impact of nanoparticle slip parameter, whereas in the lower part, the trapped bolus decreases.

Figure 9 
                  Impact of velocity slip parameter (l
                     1)  on streamlines. (a) l
                     1 = 0.0; (b) l
                     1 = 0.1 and (c) l
                     1 = 0.2.
Figure 9

Impact of velocity slip parameter (l 1) on streamlines. (a) l 1 = 0.0; (b) l 1 = 0.1 and (c) l 1 = 0.2.

Figure 10 
                  Impact of thermal slip parameter (l
                     2) on streamlines. (a) l
                     2 = 0.0; (b) l
                     2 = 0.4 and (c) l
                     2 = 0.8.
Figure 10

Impact of thermal slip parameter (l 2) on streamlines. (a) l 2 = 0.0; (b) l 2 = 0.4 and (c) l 2 = 0.8.

Figure 11 
                  Impact of concentration slip parameter (l
                     3) on streamlines. (a) l
                     3 = 0.0; (b) l
                     3 = 0.2 and (c) l
                     3 = 0.4.
Figure 11

Impact of concentration slip parameter (l 3) on streamlines. (a) l 3 = 0.0; (b) l 3 = 0.2 and (c) l 3 = 0.4.

Figure 12 
                  Impact of nanoparticle slip parameter (l
                     4) on streamlines. (a) l
                     4 = 0.0; (b) l
                     4 = 0.4 and (c) l
                     4 = 0.8.
Figure 12

Impact of nanoparticle slip parameter (l 4) on streamlines. (a) l 4 = 0.0; (b) l 4 = 0.4 and (c) l 4 = 0.8.

5 Conclusion

The study looks at the phenomena of double-diffusive convection making use of the Sisko nanofluid model. It illustrates the effects of induced magnetic field, viscous dissipation, and heat radiation in an asymmetric geometry with numerous slip conditions. The convective double diffusion phenomena are described by the Soret and Dufour parameters. Mathematical formulation of the proposed model is carried out in 2 -dimensional and 2 -directional flow. A group of nonlinear partial differential equations are generated by the mathematical modelling of fluid flow. Using Mathematica’s built-in NDSolve program, the coupled nonlinear differential equations are numerically computed. Graphical data are shown to highlight the importance of various physiological features of flow amounts. The following are the key conclusions drawn from this investigation:

  • As the radiation parameter increases, the distribution of temperature decreases as a result of the system’s significant heat radiation and thereby resulting in cooling effects.

  • An increase in the Brownian motion corresponds to an increase in the temperature distribution because when particles collide more frequently and strongly, some of their kinetic energy is transmitted to the suspended particles. As a result of the energy transfer, the particles’ internal energy increases and their temperature rises.

  • Heat diffusion has a greater effect on the concentration profile as the Soret parameter increases.

  • An increasing impact of heat radiation causes the concentration profile to increase.

  • The nanoparticle volume fraction profile lessens as the Prandtl number’s influence increases.

  • When a fluid’s temperature changes due to thermal radiation, buoyancy effects occur that cause the fluid to rise to a higher level, which can increase the volume fraction of nanoparticles.

  • As the velocity slip rises, the trapped bolus shape and size are reduced in both the upper and bottom parts of the channel.

  • The volume of the confined bolus reduces in the upper part of the channel while boosting in the bottom as the concentration slip parameter rises.

Acknowledgments

This work was supported by the Deanship of Scientific Research, Vice Presidency for Graduate Studies and Scientific Research, King Faisal University, Saudi Arabia (Grant No. 6012).

  1. Funding information: This work was supported by the Deanship of Scientific Research, Vice Presidency for Graduate Studies and Scientific Research, King Faisal University, Saudi Arabia (Grant No. 6012).

  2. Author contributions: H.Y., S.A., M.A., and A.R.: developed the mathematical modelling for the proposed problem, suggested the solution for the problem, written the manuscript, and supervised the project; H.Y., K.S., J.G.A.: provided graphical conclusions, mathematical simulation of the proposed problem, solved the problem, and revised the manuscript; S. A., A. R., K.S., J.G.A.: examined the theory validation and drawn the graphical conclusion. H.Y.: provided funding. All authors have accepted responsibility for the entire content of this manuscript and approved its submission.

  3. Conflict of interest: The authors state no conflict of interest.

References

[1] Latham TW. Fluid motion in a peristaltic pump, M.Sc. Thesis. Cambridge: MIT; 1966.Search in Google Scholar

[2] Shapiro AH, Jaffrin MY, Weinberg SL. Peristaltic pumping with long wavelengths at low Reynolds number. Cambridge Univ Press. 1969;37:799–825.10.1017/S0022112069000899Search in Google Scholar

[3] Mishra M, Rao AR. Peristaltic transport of a Newtonian fluid in an asymmetric channel. Z Angew Math Phys. 2003;54:532–50.10.1007/s00033-003-1070-7Search in Google Scholar

[4] Hina S, Hayat T, Asghar S. Peristaltic transport of Johnson-Segalman fluid in a curved channel with wall compliant properties. Nonlinear Anal: Model Control. 2012;17:297–311.10.15388/NA.17.3.14057Search in Google Scholar

[5] Akbar NS, Hayat T, Nadeem S, Obaidat S. Peristaltic flow of a Williamson fluid in an inclined asymmetric channel with partial slip and heat transfer. Int J Heat Mass Transf. 2012;55:1855–62.10.1016/j.ijheatmasstransfer.2011.11.038Search in Google Scholar

[6] Safia Akram KHS, Mekheimer S. Nadeem, Influence of lateral walls on peristaltic flow of a couple stress fluid in a non-uniform rectangular duct. Appl Maths Inf Sci. 2014;8:1127–33.10.12785/amis/080323Search in Google Scholar

[7] Nadeem S, Akbar NS. Peristaltic flow of Sisko fluid in a uniform inclined tube. Acta Mech Sin. 2010;26:675–83.10.1007/s10409-010-0356-1Search in Google Scholar

[8] Nadeem S, Akhtar S, Saleem A, Akkurt N, Almutairi S, Ghazwani HA, Eldin SM. Entropy analysis for a novel peristaltic flow in a curved heated endoscope: an application of applied sciences. Sci Rep. 2023;13:1504.10.1038/s41598-023-28047-8Search in Google Scholar PubMed PubMed Central

[9] Nadeem S, Akram S. Peristaltic transport of a hyperbolic tangent fluid model in an asymmetric channel. Z Naturforsch A. 2009;64:559–67.10.1515/zna-2009-9-1004Search in Google Scholar

[10] Nadeem S, Akram S. Peristaltic flow of a Williamson fluid in an asymmetric channel. Commun Nonlinear Sci Numer Simul. 2010;15:1705–16.10.1016/j.cnsns.2009.07.026Search in Google Scholar

[11] Choi SUS, Eastman JA. Enhancing thermal conductivity of fluids with nanoparticles. In Proceedings of Enhancing Thermal Conductivity of Fluids with Nanoparticles. 231, San Francisco, CA, USA: American Society of Mechanical EngineersFED; 1995. p. 99–105 New York, NY, USA.Search in Google Scholar

[12] Masuda H, Ebata A, Teramae K. Alteration of thermal conductivity and viscosity of liquids by dispersing ultra-fine particles. Netsu Bussei. 1993;7:227–33.10.2963/jjtp.7.227Search in Google Scholar

[13] Daungthongsuk W, Wongwises S. Effect of thermophysical properties models on the predicting of the convective heat transfer coefficient for low concentration nanofluid. Int Commun Heat Mass Transf. 2008;35:1320–6.10.1016/j.icheatmasstransfer.2008.07.015Search in Google Scholar

[14] Buongiorno J, Hu W. Nanofluid coolants for advanced nuclear power plants, (ICAPP'05). Seoul, Korea: May 2005.Search in Google Scholar

[15] Buongiorno J. Convective transport in nanofluids. J Heat Transf. 2005;128:240–50.10.1115/1.2150834Search in Google Scholar

[16] Mani A, Zangle TA, Santiago JG. On the propagation of concentration polarization from microchannel-nanochannel interfaces part I: analytical model and characteristic analysis. Langmuir. 2009;25:3898–908.10.1021/la803317pSearch in Google Scholar PubMed PubMed Central

[17] Akbar NS, Nadeem S. Endoscopic effects on peristaltic flow of a nanofluid. Commun Theor Phys. 2011;56:761–8.10.1088/0253-6102/56/4/28Search in Google Scholar

[18] Akbar NS. Peristaltic Sisko nanofluid in an asymmetric channel. Appl Nanosci. 2014;4:663–73.10.1007/s13204-013-0205-1Search in Google Scholar

[19] Tripathi D, Bég OA. A study on peristaltic flow of nanofluids: Application in drug delivery systems. Int J Heat Mass Transf. 2014;70:61–70.10.1016/j.ijheatmasstransfer.2013.10.044Search in Google Scholar

[20] Ramzan M, Bilal M, Chungy JD. Radiative Williamson nanofluid flow over a convectively heated Riga plate with chemical reaction-A numerical approach. Chin J Phys. 2017;55:1663–73.10.1016/j.cjph.2017.04.014Search in Google Scholar

[21] Bilal M, Ramzan M, Siddique I, Sajjad A. Magneto-micropolar nanofluid flow through the convective permeable channel using Koo–Kleinstreuer–Li model. J Magn Magn Mater. 2023;565:170288.10.1016/j.jmmm.2022.170288Search in Google Scholar

[22] Aly EH, Ebaid A. Exact analytical solution for the peristaltic flow of nanofluids in an asymmetric channel with slip effect of the velocity, temperature and concentration. J Mech. 2014;30:411–22.10.1017/jmech.2014.13Search in Google Scholar

[23] Nadeem S, Riaz A, Ellahi R, Akbar NS. Mathematical model for the peristaltic flow of nanofluid through eccentric tubes comprising porous medium. Appl Nanosci. 2014;4:733–43.10.1007/s13204-013-0249-2Search in Google Scholar

[24] Alhowaity A, Mehmood Y, Hamam H, Bilal M. Radiative flow of nanofluid past a convected vertical Riga plate with activation energy and nonlinear heat generation. Proc Inst Mech Eng, Part E: J Process Mech Eng. 2023;237(5):1799–807.10.1177/09544089221126439Search in Google Scholar

[25] Bilal M, Ramzan M, Zafar R, Siddique I. A finite thin film flow of pseudo-plastic MHD hybrid nanofluid with heat generation and variable thermal conductivity. Waves Random Complex Media. 2023. 10.1080/17455030.2023.2177502.Search in Google Scholar

[26] Hayat T, Tanveer A, Alsaedi A. Numerical analysis of partial slip-on peristalsis of MHD Jeffery nanofluid in curved channel with porous space. J Mol Liq. 2016;224:944–53.10.1016/j.molliq.2016.10.057Search in Google Scholar

[27] Mekheimer KS, Hasona WM, Abo-Elkhair RE, Zaher AZ. Peristaltic blood flow with gold nanoparticles as a third grade nanofluid in catheter: Application of cancer therapy. Phys Lett A. 2018;382:85–93.10.1016/j.physleta.2017.10.042Search in Google Scholar

[28] Ellahi R, Sait SM, Shehzad N, Mobin N. Numerical simulation and mathematical modeling of electro-osmotic Couette–Poiseuille flow of MHD power-law nanofluid with entropy generation. Symmetry. 2019;11:1038.10.3390/sym11081038Search in Google Scholar

[29] Bhatti MM, Zeeshan A, Ellahi R. Simultaneous effects of coagulation and variable magnetic field on peristaltically induced motion of Jeffrey nanofluid containing gyrotactic microorganism. Microvasc Res. 2017;110:32–42.10.1016/j.mvr.2016.11.007Search in Google Scholar PubMed

[30] Hayat T, Farooq S, Ahmad B, Alsaedi A. Homogeneous-heterogeneous reactions and heat source/sink effects in MHD peristaltic flow of micropolar fluid with Newtonian heating in a curved channel. J Mol Liq. 2016;223:469–88.10.1016/j.molliq.2016.08.067Search in Google Scholar

[31] Shit GC, Roy M, Eddie YK. Ng, Effect of induced magnetic field on Peristaltic flow of a micropolar fluid in an asymmetric channel. Int J Numer Methods Biomed Eng. 2010;26:1380–403.10.1002/cnm.1397Search in Google Scholar

[32] Shit GC, Ranjit NK, Sinha A, Roy M. Effect of induced magnetic field on peristaltic transport of a micropolar fluid in the presence of slip velocity. Int J Appl Maths Mech. 2014;10:81–107.Search in Google Scholar

[33] Akram S, Nadeem S, Hanif M. Numerical and analytical treatment on peristaltic flow of Williamson fluid in the occurrence of induced magnetic field. J Magn Magn Mater. 2013;346:142–51.10.1016/j.jmmm.2013.07.014Search in Google Scholar

[34] Akram S, Nadeem S. Influence of induced magnetic field and heat transfer on the peristaltic motion of a Jeffrey fluid in an asymmetric channel: closed form solutions. J Magn Magn Mater. 2013;328:11–20.10.1016/j.jmmm.2012.09.052Search in Google Scholar

[35] Reddy MG, Makinde OD. Magnetohydrodynamic peristaltic transport of Jeffrey nanofluid in an asymmetric channel. J Mol Liq. 2016;223:1242–8.10.1016/j.molliq.2016.09.080Search in Google Scholar

[36] Bhatti MM, Sheikholeslami M, Zeeshan A. Entropy analysis on electro-kinetically modulated peristaltic propulsion of magnetized nanofluid flow through a microchannel. Entropy. 2017;19:481.10.3390/e19090481Search in Google Scholar

[37] Bhatti MM, Zeeshan A. Study of variable magnetic field and endoscope on peristaltic blood flow of particle-fluid suspension through an annulus. Biomed Eng Lett. 2016;6:242–9.10.1007/s13534-016-0226-2Search in Google Scholar

[38] Akbar NS, Tripathi D, Khan ZH, Bég OA. Mathematical model for ciliary induced transport in MHD flow of Cu/H2O nanofluids with magnetic induction. Chin J Phys. 2017;55:947–62.10.1016/j.cjph.2017.03.005Search in Google Scholar

[39] Safia Akram SN. Consequence of nanofluid on peristaltic transport of a hyperbolic tangent fluid model in the occurrence of apt (tending) magnetic field. J Magn Magn Mater. 2014;358:183–91.10.1016/j.jmmm.2014.01.052Search in Google Scholar

[40] Hayat T, Bilal Ahmed FM, Abbasi AA. Numerical investigation for peristaltic flow of Carreau-Yasuda magneto-nanofluid with modified Darcy and radiation. J Therm Anal Calorim. 2019;137:1359–67.10.1007/s10973-019-08018-wSearch in Google Scholar

[41] Sadia Ayub T, Hayat S, Asghar B. Ahmad, Thermal radiation impact in mixed convective peristaltic flow of third grade nanofluid. Results Phys. 2017;7:3687–95.10.1016/j.rinp.2017.09.029Search in Google Scholar

[42] Hussain Q, Latif T, Alvi N, Asghar S. Nonlinear radiative peristaltic flow of hydromagnetic fluid through porous medium. Results Phys. 2018;9:121–34.10.1016/j.rinp.2018.02.014Search in Google Scholar

[43] Kothandapani M, Prakash J. Effects of thermal radiation parameter and magnetic field on the peristaltic motion of Williamson nanofluids in a tapered asymmetric channel. Int J Heat Mass Transf. 2015;81:234–45.10.1016/j.ijheatmasstransfer.2014.09.062Search in Google Scholar

[44] Hayat T, Nisar Z, Yasmin H, Alsaedi A. Peristaltic transport of nanofluid in a compliant wall channel with convective conditions and thermal radiation. J Mol Liq. 2016;220:448–53.10.1016/j.molliq.2016.04.080Search in Google Scholar

[45] Mojtabi A, Charrier-Mojtabi MC. Double diffusive convection in porous media. In: Vafai K, editor. Handbook of Porous Media. New York, NY, USA: Taylor and Francis; 2005. p. 269–320.10.1201/9780415876384.pt3Search in Google Scholar

[46] Ostrach S. Natural convection with combined driving forces. Physicochem Hydrodyn. 1980;1:233–47.Search in Google Scholar

[47] Sharma A, Tripathi D, Sharma RK, Tiwari AK. Analysis of double diffusive convection in electroosmosis regulated peristaltic transport of nanofluids. Phys A: Stat Mech Appl. 2019;535:122148.10.1016/j.physa.2019.122148Search in Google Scholar

[48] Akram S, Afzal Q, Aly EH. Half-breed effects of thermal and concentration convection of peristaltic pseudoplastic nanofluid in a tapered channel with induced magnetic field. Case Stud Therm Eng. 2020;22:100775.10.1016/j.csite.2020.100775Search in Google Scholar

[49] Asha SK, Sunitha G. Influence of thermal radiation on peristaltic blood flow of a Jeffrey fluid with double diffusion in the presence of gold nanoparticles. Inform Med Unlocked. 2019;17:100272.10.1016/j.imu.2019.100272Search in Google Scholar

[50] Anwar Bég O, Tripathi D. Mathematica simulation of peristaltic pumping with double-diffusive convection in nanofluids: a bio-nanoengineering model. Proc Inst Mech Eng, Part N: J Nanoeng Nanosyst. 2012;225:99–114.10.1177/1740349912437087Search in Google Scholar

[51] Alolaiyan H, Riaz A, Razaq A, Saleem N, Zeeshan A, Bhatti MM. Effects of double diffusion convection on third grade nanofluid through a curved compliant peristaltic channel. Coatings. 2020;10(2):154.10.3390/coatings10020154Search in Google Scholar

[52] Akram S, Athar M, Saeed K, Razia A. Influence of an induced magnetic field on double diffusion convection for peristaltic flow of thermally radiative Prandtl nanofluid in non-uniform channel. Tribol Int. 2023;187:108719.10.1016/j.triboint.2023.108719Search in Google Scholar

[53] Asha SK, Sunitha G. Thermal radiation and Hall effects on peristaltic blood flow with double diffusion in the presence of nanoparticles. Case Stud Therm Eng. 2020;17:100560.10.1016/j.csite.2019.100560Search in Google Scholar

[54] Riaz A, Nadeem S, Ellahi R, Zeeshan A. Exact solution for peristaltic flow of Jeffrey fluid model in a three-dimensional rectangular duct having slip at the walls. Appl Bionics Biomech. 2014;11:81–90.10.1155/2014/901313Search in Google Scholar

[55] Mehmood OU, Mustapha N, Shafie S, Fetecau C. Simultaneous effects of dissipative heating and partial slip-on peristaltic transport of Sisko fluid in asymmetric channel. Int J Appl Mech. 2014;6:1450008.10.1142/S1758825114500082Search in Google Scholar

[56] Mandviwalla X, Archer R. The influence of slip boundary conditions on peristaltic pumping in a rectangular channel. J Fluids Eng. 2008;130:124501.10.1115/1.3001107Search in Google Scholar

[57] Khan Y, Athar M, Akram S, Saeed K, Razia A, Alameer A. Roll of partial slip-on Ellis nanofluid in the proximity of double diffusion convection and tilted magnetic field: Application of Chyme movement. Heliyon. 2023;9:e14760.10.1016/j.heliyon.2023.e14760Search in Google Scholar PubMed PubMed Central

[58] Akram S, Mekheimer K, Elmaboud YA. Particulate suspension slip flow induced by peristaltic waves in a rectangular duct: Effect of lateral walls. Alex Eng J. 2018;57:407–14.10.1016/j.aej.2016.09.011Search in Google Scholar

[59] saeed K, akram S, ahmad A. Outcomes of partial slip-on double-diffusive convection on peristaltic waves of Johnson–Segalman nanofluids under the impact of inclined magnetic field. Arab J Sci Eng. 2023;48:15865–81. 10.1007/s13369-023-07706-y.Search in Google Scholar

Received: 2023-11-20
Revised: 2024-02-24
Accepted: 2024-03-07
Published Online: 2024-04-02

© 2024 the author(s), published by De Gruyter

This work is licensed under the Creative Commons Attribution 4.0 International License.

Articles in the same Issue

  1. Research Articles
  2. Tension buckling and postbuckling of nanocomposite laminated plates with in-plane negative Poisson’s ratio
  3. Polyvinylpyrrolidone-stabilised gold nanoparticle coatings inhibit blood protein adsorption
  4. Energy and mass transmission through hybrid nanofluid flow passing over a spinning sphere with magnetic effect and heat source/sink
  5. Surface treatment with nano-silica and magnesium potassium phosphate cement co-action for enhancing recycled aggregate concrete
  6. Numerical investigation of thermal radiation with entropy generation effects in hybrid nanofluid flow over a shrinking/stretching sheet
  7. Enhancing the performance of thermal energy storage by adding nano-particles with paraffin phase change materials
  8. Using nano-CaCO3 and ceramic tile waste to design low-carbon ultra high performance concrete
  9. Numerical analysis of thermophoretic particle deposition in a magneto-Marangoni convective dusty tangent hyperbolic nanofluid flow – Thermal and magnetic features
  10. Dual numerical solutions of Casson SA–hybrid nanofluid toward a stagnation point flow over stretching/shrinking cylinder
  11. Single flake homo p–n diode of MoTe2 enabled by oxygen plasma doping
  12. Electrostatic self-assembly effect of Fe3O4 nanoparticles on performance of carbon nanotubes in cement-based materials
  13. Multi-scale alignment to buried atom-scale devices using Kelvin probe force microscopy
  14. Antibacterial, mechanical, and dielectric properties of hydroxyapatite cordierite/zirconia porous nanocomposites for use in bone tissue engineering applications
  15. Time-dependent Darcy–Forchheimer flow of Casson hybrid nanofluid comprising the CNTs through a Riga plate with nonlinear thermal radiation and viscous dissipation
  16. Durability prediction of geopolymer mortar reinforced with nanoparticles and PVA fiber using particle swarm optimized BP neural network
  17. Utilization of zein nano-based system for promoting antibiofilm and anti-virulence activities of curcumin against Pseudomonas aeruginosa
  18. Antibacterial effect of novel dental resin composites containing rod-like zinc oxide
  19. An extended model to assess Jeffery–Hamel blood flow through arteries with iron-oxide (Fe2O3) nanoparticles and melting effects: Entropy optimization analysis
  20. Comparative study of copper nanoparticles over radially stretching sheet with water and silicone oil
  21. Cementitious composites modified by nanocarbon fillers with cooperation effect possessing excellent self-sensing properties
  22. Confinement size effect on dielectric properties, antimicrobial activity, and recycling of TiO2 quantum dots via photodegradation processes of Congo red dye and real industrial textile wastewater
  23. Biogenic silver nanoparticles of Moringa oleifera leaf extract: Characterization and photocatalytic application
  24. Novel integrated structure and function of Mg–Gd neutron shielding materials
  25. Impact of multiple slips on thermally radiative peristaltic transport of Sisko nanofluid with double diffusion convection, viscous dissipation, and induced magnetic field
  26. Magnetized water-based hybrid nanofluid flow over an exponentially stretching sheet with thermal convective and mass flux conditions: HAM solution
  27. A numerical investigation of the two-dimensional magnetohydrodynamic water-based hybrid nanofluid flow composed of Fe3O4 and Au nanoparticles over a heated surface
  28. Development and modeling of an ultra-robust TPU-MWCNT foam with high flexibility and compressibility
  29. Effects of nanofillers on the physical, mechanical, and tribological behavior of carbon/kenaf fiber–reinforced phenolic composites
  30. Polymer nanocomposite for protecting photovoltaic cells from solar ultraviolet in space
  31. Study on the mechanical properties and microstructure of recycled concrete reinforced with basalt fibers and nano-silica in early low-temperature environments
  32. Synergistic effect of carbon nanotubes and polyvinyl alcohol on the mechanical performance and microstructure of cement mortar
  33. CFD analysis of paraffin-based hybrid (Co–Au) and trihybrid (Co–Au–ZrO2) nanofluid flow through a porous medium
  34. Forced convective tangent hyperbolic nanofluid flow subject to heat source/sink and Lorentz force over a permeable wedge: Numerical exploration
  35. Physiochemical and electrical activities of nano copper oxides synthesised via hydrothermal method utilising natural reduction agents for solar cell application
  36. A homotopic analysis of the blood-based bioconvection Carreau–Yasuda hybrid nanofluid flow over a stretching sheet with convective conditions
  37. In situ synthesis of reduced graphene oxide/SnIn4S8 nanocomposites with enhanced photocatalytic performance for pollutant degradation
  38. A coarse-grained Poisson–Nernst–Planck model for polyelectrolyte-modified nanofluidic diodes
  39. A numerical investigation of the magnetized water-based hybrid nanofluid flow over an extending sheet with a convective condition: Active and passive controls of nanoparticles
  40. The LyP-1 cyclic peptide modified mesoporous polydopamine nanospheres for targeted delivery of triptolide regulate the macrophage repolarization in atherosclerosis
  41. Synergistic effect of hydroxyapatite-magnetite nanocomposites in magnetic hyperthermia for bone cancer treatment
  42. The significance of quadratic thermal radiative scrutinization of a nanofluid flow across a microchannel with thermophoretic particle deposition effects
  43. Ferromagnetic effect on Casson nanofluid flow and transport phenomena across a bi-directional Riga sensor device: Darcy–Forchheimer model
  44. Performance of carbon nanomaterials incorporated with concrete exposed to high temperature
  45. Multicriteria-based optimization of roller compacted concrete pavement containing crumb rubber and nano-silica
  46. Revisiting hydrotalcite synthesis: Efficient combined mechanochemical/coprecipitation synthesis to design advanced tunable basic catalysts
  47. Exploration of irreversibility process and thermal energy of a tetra hybrid radiative binary nanofluid focusing on solar implementations
  48. Effect of graphene oxide on the properties of ternary limestone clay cement paste
  49. Improved mechanical properties of graphene-modified basalt fibre–epoxy composites
  50. Sodium titanate nanostructured modified by green synthesis of iron oxide for highly efficient photodegradation of dye contaminants
  51. Green synthesis of Vitis vinifera extract-appended magnesium oxide NPs for biomedical applications
  52. Differential study on the thermal–physical properties of metal and its oxide nanoparticle-formed nanofluids: Molecular dynamics simulation investigation of argon-based nanofluids
  53. Heat convection and irreversibility of magneto-micropolar hybrid nanofluids within a porous hexagonal-shaped enclosure having heated obstacle
  54. Numerical simulation and optimization of biological nanocomposite system for enhanced oil recovery
  55. Laser ablation and chemical vapor deposition to prepare a nanostructured PPy layer on the Ti surface
  56. Cilostazol niosomes-loaded transdermal gels: An in vitro and in vivo anti-aggregant and skin permeation activity investigations towards preparing an efficient nanoscale formulation
  57. Linear and nonlinear optical studies on successfully mixed vanadium oxide and zinc oxide nanoparticles synthesized by sol–gel technique
  58. Analytical investigation of convective phenomena with nonlinearity characteristics in nanostratified liquid film above an inclined extended sheet
  59. Optimization method for low-velocity impact identification in nanocomposite using genetic algorithm
  60. Analyzing the 3D-MHD flow of a sodium alginate-based nanofluid flow containing alumina nanoparticles over a bi-directional extending sheet using variable porous medium and slip conditions
  61. A comprehensive study of laser irradiated hydrothermally synthesized 2D layered heterostructure V2O5(1−x)MoS2(x) (X = 1–5%) nanocomposites for photocatalytic application
  62. Computational analysis of water-based silver, copper, and alumina hybrid nanoparticles over a stretchable sheet embedded in a porous medium with thermophoretic particle deposition effects
  63. A deep dive into AI integration and advanced nanobiosensor technologies for enhanced bacterial infection monitoring
  64. Effects of normal strain on pyramidal I and II 〈c + a〉 screw dislocation mobility and structure in single-crystal magnesium
  65. Computational study of cross-flow in entropy-optimized nanofluids
  66. Significance of nanoparticle aggregation for thermal transport over magnetized sensor surface
  67. A green and facile synthesis route of nanosize cupric oxide at room temperature
  68. Effect of annealing time on bending performance and microstructure of C19400 alloy strip
  69. Chitosan-based Mupirocin and Alkanna tinctoria extract nanoparticles for the management of burn wound: In vitro and in vivo characterization
  70. Electrospinning of MNZ/PLGA/SF nanofibers for periodontitis
  71. Photocatalytic degradation of methylene blue by Nd-doped titanium dioxide thin films
  72. Shell-core-structured electrospinning film with sequential anti-inflammatory and pro-neurogenic effects for peripheral nerve repairment
  73. Flow and heat transfer insights into a chemically reactive micropolar Williamson ternary hybrid nanofluid with cross-diffusion theory
  74. One-pot fabrication of open-spherical shapes based on the decoration of copper sulfide/poly-O-amino benzenethiol on copper oxide as a promising photocathode for hydrogen generation from the natural source of Red Sea water
  75. A penta-hybrid approach for modeling the nanofluid flow in a spatially dependent magnetic field
  76. Advancing sustainable agriculture: Metal-doped urea–hydroxyapatite hybrid nanofertilizer for agro-industry
  77. Utilizing Ziziphus spina-christi for eco-friendly synthesis of silver nanoparticles: Antimicrobial activity and promising application in wound healing
  78. Plant-mediated synthesis, characterization, and evaluation of a copper oxide/silicon dioxide nanocomposite by an antimicrobial study
  79. Effects of PVA fibers and nano-SiO2 on rheological properties of geopolymer mortar
  80. Investigating silver and alumina nanoparticles’ impact on fluid behavior over porous stretching surface
  81. Potential pharmaceutical applications and molecular docking study for green fabricated ZnO nanoparticles mediated Raphanus sativus: In vitro and in vivo study
  82. Effect of temperature and nanoparticle size on the interfacial layer thickness of TiO2–water nanofluids using molecular dynamics
  83. Characteristics of induced magnetic field on the time-dependent MHD nanofluid flow through parallel plates
  84. Flexural and vibration behaviours of novel covered CFRP composite joints with an MWCNT-modified adhesive
  85. Experimental research on mechanically and thermally activation of nano-kaolin to improve the properties of ultra-high-performance fiber-reinforced concrete
  86. Analysis of variable fluid properties for three-dimensional flow of ternary hybrid nanofluid on a stretching sheet with MHD effects
  87. Biodegradability of corn starch films containing nanocellulose fiber and thymol
  88. Toxicity assessment of copper oxide nanoparticles: In vivo study
  89. Some measures to enhance the energy output performances of triboelectric nanogenerators
  90. Reinforcement of graphene nanoplatelets on water uptake and thermomechanical behaviour of epoxy adhesive subjected to water ageing conditions
  91. Optimization of preparation parameters and testing verification of carbon nanotube suspensions used in concrete
  92. Max-phase Ti3SiC2 and diverse nanoparticle reinforcements for enhancement of the mechanical, dynamic, and microstructural properties of AA5083 aluminum alloy via FSP
  93. Advancing drug delivery: Neural network perspectives on nanoparticle-mediated treatments for cancerous tissues
  94. PEG-PLGA core–shell nanoparticles for the controlled delivery of picoplatin–hydroxypropyl β-cyclodextrin inclusion complex in triple-negative breast cancer: In vitro and in vivo study
  95. Conduction transportation from graphene to an insulative polymer medium: A novel approach for the conductivity of nanocomposites
  96. Review Articles
  97. Developments of terahertz metasurface biosensors: A literature review
  98. Overview of amorphous carbon memristor device, modeling, and applications for neuromorphic computing
  99. Advances in the synthesis of gold nanoclusters (AuNCs) of proteins extracted from nature
  100. A review of ternary polymer nanocomposites containing clay and calcium carbonate and their biomedical applications
  101. Recent advancements in polyoxometalate-functionalized fiber materials: A review
  102. Special contribution of atomic force microscopy in cell death research
  103. A comprehensive review of oral chitosan drug delivery systems: Applications for oral insulin delivery
  104. Cellular senescence and nanoparticle-based therapies: Current developments and perspectives
  105. Cyclodextrins-block copolymer drug delivery systems: From design and development to preclinical studies
  106. Micelle-based nanoparticles with stimuli-responsive properties for drug delivery
  107. Critical assessment of the thermal stability and degradation of chemically functionalized nanocellulose-based polymer nanocomposites
  108. Research progress in preparation technology of micro and nano titanium alloy powder
  109. Nanoformulations for lysozyme-based additives in animal feed: An alternative to fight antibiotic resistance spread
  110. Incorporation of organic photochromic molecules in mesoporous silica materials: Synthesis and applications
  111. A review on modeling of graphene and associated nanostructures reinforced concrete
  112. A review on strengthening mechanisms of carbon quantum dots-reinforced Cu-matrix nanocomposites
  113. Review on nanocellulose composites and CNFs assembled microfiber toward automotive applications
  114. Nanomaterial coating for layered lithium rich transition metal oxide cathode for lithium-ion battery
  115. Application of AgNPs in biomedicine: An overview and current trends
  116. Nanobiotechnology and microbial influence on cold adaptation in plants
  117. Hepatotoxicity of nanomaterials: From mechanism to therapeutic strategy
  118. Applications of micro-nanobubble and its influence on concrete properties: An in-depth review
  119. A comprehensive systematic literature review of ML in nanotechnology for sustainable development
  120. Exploiting the nanotechnological approaches for traditional Chinese medicine in childhood rhinitis: A review of future perspectives
  121. Twisto-photonics in two-dimensional materials: A comprehensive review
  122. Current advances of anticancer drugs based on solubilization technology
  123. Recent process of using nanoparticles in the T cell-based immunometabolic therapy
  124. Future prospects of gold nanoclusters in hydrogen storage systems and sustainable environmental treatment applications
  125. Preparation, types, and applications of one- and two-dimensional nanochannels and their transport properties for water and ions
  126. Microstructural, mechanical, and corrosion characteristics of Mg–Gd–x systems: A review of recent advancements
  127. Functionalized nanostructures and targeted delivery systems with a focus on plant-derived natural agents for COVID-19 therapy: A review and outlook
  128. Mapping evolution and trends of cell membrane-coated nanoparticles: A bibliometric analysis and scoping review
  129. Nanoparticles and their application in the diagnosis of hepatocellular carcinoma
  130. In situ growth of carbon nanotubes on fly ash substrates
  131. Structural performance of boards through nanoparticle reinforcement: An advance review
  132. Reinforcing mechanisms review of the graphene oxide on cement composites
  133. Seed regeneration aided by nanomaterials in a climate change scenario: A comprehensive review
  134. Surface-engineered quantum dot nanocomposites for neurodegenerative disorder remediation and avenue for neuroimaging
  135. Graphitic carbon nitride hybrid thin films for energy conversion: A mini-review on defect activation with different materials
  136. Nanoparticles and the treatment of hepatocellular carcinoma
  137. Special Issue on Advanced Nanomaterials and Composites for Energy Conversion and Storage - Part II
  138. Highly safe lithium vanadium oxide anode for fast-charging dendrite-free lithium-ion batteries
  139. Recent progress in nanomaterials of battery energy storage: A patent landscape analysis, technology updates, and future prospects
  140. Special Issue on Advanced Nanomaterials for Carbon Capture, Environment and Utilization for Energy Sustainability - Part II
  141. Calcium-, magnesium-, and yttrium-doped lithium nickel phosphate nanomaterials as high-performance catalysts for electrochemical water oxidation reaction
  142. Low alkaline vegetation concrete with silica fume and nano-fly ash composites to improve the planting properties and soil ecology
  143. Mesoporous silica-grafted deep eutectic solvent-based mixed matrix membranes for wastewater treatment: Synthesis and emerging pollutant removal performance
  144. Electrochemically prepared ultrathin two-dimensional graphitic nanosheets as cathodes for advanced Zn-based energy storage devices
  145. Enhanced catalytic degradation of amoxicillin by phyto-mediated synthesised ZnO NPs and ZnO-rGO hybrid nanocomposite: Assessment of antioxidant activity, adsorption, and thermodynamic analysis
  146. Incorporating GO in PI matrix to advance nanocomposite coating: An enhancing strategy to prevent corrosion
  147. Synthesis, characterization, thermal stability, and application of microporous hyper cross-linked polyphosphazenes with naphthylamine group for CO2 uptake
  148. Engineering in ceramic albite morphology by the addition of additives: Carbon nanotubes and graphene oxide for energy applications
  149. Nanoscale synergy: Optimizing energy storage with SnO2 quantum dots on ZnO hexagonal prisms for advanced supercapacitors
  150. Aging assessment of silicone rubber materials under corona discharge accompanied by humidity and UV radiation
  151. Tuning structural and electrical properties of Co-precipitated and Cu-incorporated nickel ferrite for energy applications
  152. Sodium alginate-supported AgSr nanoparticles for catalytic degradation of malachite green and methyl orange in aqueous medium
  153. An environmentally greener and reusability approach for bioenergy production using Mallotus philippensis (Kamala) seed oil feedstock via phytonanotechnology
  154. Micro-/nano-alumina trihydrate and -magnesium hydroxide fillers in RTV-SR composites under electrical and environmental stresses
  155. Mechanism exploration of ion-implanted epoxy on surface trap distribution: An approach to augment the vacuum flashover voltages
  156. Nanoscale engineering of semiconductor photocatalysts boosting charge separation for solar-driven H2 production: Recent advances and future perspective
  157. Excellent catalytic performance over reduced graphene-boosted novel nanoparticles for oxidative desulfurization of fuel oil
  158. Special Issue on Advances in Nanotechnology for Agriculture
  159. Deciphering the synergistic potential of mycogenic zinc oxide nanoparticles and bio-slurry formulation on phenology and physiology of Vigna radiata
  160. Nanomaterials: Cross-disciplinary applications in ornamental plants
  161. Special Issue on Catechol Based Nano and Microstructures
  162. Polydopamine films: Versatile but interface-dependent coatings
  163. In vitro anticancer activity of melanin-like nanoparticles for multimodal therapy of glioblastoma
  164. Poly-3,4-dihydroxybenzylidenhydrazine, a different analogue of polydopamine
  165. Chirality and self-assembly of structures derived from optically active 1,2-diaminocyclohexane and catecholamines
  166. Advancing resource sustainability with green photothermal materials: Insights from organic waste-derived and bioderived sources
  167. Bioinspired neuromelanin-like Pt(iv) polymeric nanoparticles for cancer treatment
  168. Special Issue on Implementing Nanotechnology for Smart Healthcare System
  169. Intelligent explainable optical sensing on Internet of nanorobots for disease detection
  170. Special Issue on Green Mono, Bi and Tri Metallic Nanoparticles for Biological and Environmental Applications
  171. Tracking success of interaction of green-synthesized Carbopol nanoemulgel (neomycin-decorated Ag/ZnO nanocomposite) with wound-based MDR bacteria
  172. Green synthesis of copper oxide nanoparticles using genus Inula and evaluation of biological therapeutics and environmental applications
  173. Biogenic fabrication and multifunctional therapeutic applications of silver nanoparticles synthesized from rose petal extract
  174. Metal oxides on the frontlines: Antimicrobial activity in plant-derived biometallic nanoparticles
  175. Controlling pore size during the synthesis of hydroxyapatite nanoparticles using CTAB by the sol–gel hydrothermal method and their biological activities
  176. Special Issue on State-of-Art Advanced Nanotechnology for Healthcare
  177. Applications of nanomedicine-integrated phototherapeutic agents in cancer theranostics: A comprehensive review of the current state of research
  178. Smart bionanomaterials for treatment and diagnosis of inflammatory bowel disease
  179. Beyond conventional therapy: Synthesis of multifunctional nanoparticles for rheumatoid arthritis therapy
Downloaded on 17.10.2025 from https://www.degruyterbrill.com/document/doi/10.1515/ntrev-2024-0004/html?lang=en&srsltid=AfmBOophi2uu5KuFgYCpFtlM6frkK8rlrj2dy6zGoRu1mOBsPBetkI7t
Scroll to top button