Home Numerical investigation of thermal radiation with entropy generation effects in hybrid nanofluid flow over a shrinking/stretching sheet
Article Open Access

Numerical investigation of thermal radiation with entropy generation effects in hybrid nanofluid flow over a shrinking/stretching sheet

  • Syed Muhammad Raza Shah Naqvi , Umair Manzoor , Hassan Waqas , Dong Liu EMAIL logo , Hamzah Naeem , Sayed M. Eldin and Taseer Muhammad
Published/Copyright: February 3, 2024
Become an author with De Gruyter Brill

Abstract

The need for efficiency in nanotechnology has spurred extraordinary development. Hybrid nanofluids, which are base fluids injected with nanoparticles, have a great potential for thermal enhancement in thermal systems. Particularly promising for magnetic thermal engineering are magnetic hybrid nanofluids. Understanding dynamic transport in Graphene Oxide (GO)–Fe3O4/H2O and GO/H2O nanofluids over stretching and shrinking surfaces, with severe entropy consequences, is still uncharted territory. To fully grasp this complexity, our study examines the numerical investigation of entropy formation in magnetohydrodynamic (MHD) hybrid nanofluids. The aim of this study is to establish a mathematical framework for understanding entropy production in the context of MHD, unsteady, incompressible flow of hybrid nanofluid flow over surfaces that experience both stretching and shrinking. The investigation encompasses the influence of MHD effects and nonlinear thermal radiation on flow behavior. The governing modeled form is modified into solvable representations in Cartesian configuration and then addressed utilizing the built-in bvp4c approach in MATLAB. For numerous quantities of the relevant parameters, several key features of flow and heat transmission are explored, discussed, and illustrated utilizing tables and graphs. Furthermore, the heat transfer properties in a magnetic field have been improved dramatically. The comprehensive entropy generation rate was condensed by up to 41% as opposed to refined water, according to the findings from the analysis.

Nomenclature

A

space-dependent coefficient

a,b

constants

B

temperature-dependent coefficient

Br

Brinkman number

B 0

strength of magnetic field (T)

C f

skin friction coefficient

E 0

strength of electric field (N/C)

E 1

electric field parameter

G

acceleration due to gravity (m s−2)

M

magnetic field parameter

Nu

Nusselt number

n

shape factor

P

fluid pressure (Pa)

Pr

Prandtl number

q r

radiative heat flux (W m−2)

Re

Reynolds number

Rd

radiation parameter

S

suction/injection

T

fluid temperature (K)

T w

surface temperature (K)

T

free stream temperature (K)

u,v

velocity component (m s−1)

v w

wall mass transfer

Greek symbols

β

thermal expansion (K−1)

ρ

density (kg m−3)

Ω

dimensionless temperature ratio

δ

unsteadiness parameter

c p

heat capacity (J kg−1 K−1)

δ

unsteadiness parameter

μ

dynamic viscosity (kg m−1 s−1)

σ

Stefan–Boltzmann constant (W m−2 K−4)

λ

mixed convection parameter

σ

electric conductivity (S m−1)

υ

kinematic viscosity (m2 s−1)

κ

thermal conductivity (W m−1 K−1)

Subscripts

f

base fluid

nf

nanofluid

hnf

hybrid nanofluid

s1

first solid nanoparticle

s2

second nanoparticle

1 Introduction

Now, scientists are deeply involved in their investigation of nanotechnology. Numerous heat transfer technologies are extensively used in industry, which has also sped up the development of applications that deal with energy. Transportation, manufacturing, and other basic functions that are closely related to heat exchange processes, such as heating food and materials, have all undergone tremendous technological advancement. For improving thermal performance in this environment, nanofluids have become an appealing choice of Kleinstreuer and Xu [1]. The innovative work of Choi and Eastman [2] showed the mastery of nanofluids for cooling purposes in a variety of technological applications. The fact that nanofluids differ from traditional base fluids in their ability to transport heat is noteworthy and suggests that the field of thermal enhancement may be about to undergo a revolution. Hybrid nanofluids are defined as mixtures in which different nanoparticles with different chemical properties are incorporated into a base fluid to enhance the thermal efficiency of nanofluids.

Esfe et al. [3] introduced how to enhance the efficiency of the heat transfer rate of nanofluid by utilizing the MgO-water in order to reduce the cost. For the optimization of nanoparticles Response surface method (RSM) is used to attain the cost function and heat transfer coefficient function. On the basis of different thermo physical properties, Sharma et al. [4] investigated the metamodel framework to predict the effects of nanoparticles concentration and the temperature of nanofluid.

Mahian et al. [5] introduced the applications of nanofluid in wide ranges including the renewable energy system, also discussed the positive impact of the energy systems with the environmental point of view by using nanofluid.

These fluids are employed in several engineering and industrial applications, including heat exchangers, solar cells, solar collectors [6], heating conduits, cooling systems, and coolants for machinery and production processes [7]. Additionally, they work in the biomedical sector, auto production, maritime operations, nuclear system cooling, and refrigeration system cooling. Shojaie Chahregh and Dinarvand [8] worked on the applications of the nanofluid in the drug delivery through artery by using TiO2 and Ag over a porous channel. Saleh et al. [9] introduced the differential transformation method to describe the convective boundary on heat transfer analysis using carbon nanotubes incorporated with magnetic field with suction/injection phenomenon. Ahmad et al. [10] worked on magnetohydrodynamic (MHD) flow of nanofluid flow by using metallic nanoparticles taking blood as a base fluid. The new thermal and magnetic properties of two different types of hybrid nanofluid graphene oxide (GO)–Fe3O4/engine oil (EO) and mono nanofluid GO/EO were studied by Ahmad et al. [11] (Table 1). The effects of both induced and applied magnetic fields were considered in this study. In order to analyze the flow behavior of a hybrid nanofluid through a permeable Darcy porous medium, Abu Bakar et al. [12] investigated the slip effects with radiation over a shrinking sheet. Zainal et al. [13] performed a monetary analysis that investigated hybrid Al2O3-Cu/H2O nanofluid flow towards a permeable stretching/shrinking sheet, and its MHD behavior, considering the presence of quadratic velocity effects. In recent years, researchers have conducted various additional studies focusing on hybrid nanofluids. Neethu et al. [14] used TiO with Ag in water over a sheet with suction, Mahesh et al. [15] contemplated same hybrid nanoparticles in water over porous sheet, Devi and Devi [16] took into account copper and aluminum oxide in water on the same geometry, and the same geometry and same hybrid particles were studied by Venkateswarlu and Satya Narayana [17] along with viscous dissipation.

Table 1

Physical properties of the base fluid (water) and nanoparticles GO and Fe3O4 [11]

Physical properties ρ ( kg/m 3 ) C p ( J/kgK ) k ( W/m K ) β × 10 5 ( K 1 )
Fluid (water) 997.1 4,179 0.613 21
1,800 717 5,000 0.284
5,180 670 9.7 0.74 × 10 6

Temperature distribution changes under the influence of thermal emissions, specifically in flows which undergo the chemical reactions. The re-entry of spacecraft, astrophysical flows, the production of electricity, and solar power technology are a few examples of varied situations where this effect is relevant [18]. A lot of investigation into the effects of radiative and thermal control in nanofluids has been done over the years. By taking into account the combined effects of permeable moving surface under the influence of MHD and heat radiation, Zainal et al. [19] explored the flow and heat allocation dynamics of a hybrid nanofluid (Cu-Al2O3/water). Unsteady MHD hybrid nanofluid flow across a stretched surface was used to study the movement of heat and mass by Sreedevi et al. [20]. This experiment included thermal radiation, chemical reactions, suction, and slide effects. In a study, Mabood et al. [21] explained the different physical properties of a hybrid water-based nanofluid under the effects of thermal radiation. Many scientists have recently investigated how thermal radiation affects the dynamics of heat transfer inside the flow of hybrid nanofluids. Shatnawi et al. [22] studied the effects of nonlinear radiation on hybrid nanofluid flow of Casson fluid along with magnetic effects. In another study, thermal radiation effects on hybrid nanofluid flow over a Riga sheet were explored by Shatwani et al. [23]. Entropy generation occurs throughout a range of thermal processes and is linked to thermodynamic irreversibility. Entropy heat production is caused by numerous types of irreversibility, including heat flow along a thermal profile, features of laminar thermal transmission, and the viscosity reaction. Engineering perspectives include emphasizing irreversibility and seeking components that promote entropy generation, as entropy is linked to a measure of disorder that reduces the performance of thermal systems. Entropy analysis is presently being used in a variety of applications, spinning reactors, heat exchangers, nuclear fuel rod cooling, and solar energy collectors are a few examples of these industries. Total entropy rate on a convectively heat disk was calculated by Khan et al. [24] while considering the effects of magnetic field and ohmic dissipation. Entropy generation of boundary layer hybrid nanofluid flow under the effects of magnetic field and thermal radiation was discussed by Seth et al. [25]. Sithole et al. [26] provided an insight into entropy generation of nanofluid flow over heated sheet under the influence of viscous dissipation and thermal radiation. Fatunmbi and Salawu [27] talked about micropolar nanofluid flow induced by chemical reaction, mass flux, and multiple slip. They provided an insight into entropy calculations of this type of flow. Entropy generation of Brownian motion and thermophoresis effects on non-Newtonian nanofluid over stretching sheet was calculated by Bhatti et al. [28]. Hayat et al. [29] also calculated the entropy generation of nonlinear mixed convection of tangent hyperbolic nanomaterials.

2 Novelty

Motivated by the preceding research, the current work intends to examine the implications of thermal radiation on hybrid nanoliquid GO–Fe3O4/H2O flow across a linear stretching/shrinking surface using Tiwari and Das’s [30] nanofluid model. This framework examines the repercussions of hybrid nanofluid while taking GO and Fe3O4 nanomaterials into consideration. The similarity approach reduces the transport problem’s primary equations to ordinary differential equations (ODEs). The nonlinear ODEs were numerically employed in the MATLAB built-in bvp4c method. To corroborate the obtained numerical outcome, it was compared to prior research in the literature. There is no prior record of this precise merger.

  1. We take into account a factor that has not been fully covered in other studies: the simultaneous impact of both electric and magnetic fields.

  2. Our investigation covers the properties of two different kinds of nanofluids: GO/H2O designated as a mono nanofluid, and GO–Fe3O4/H2O, designated as a hybrid nanofluid.

  3. We explore the effects of suction, chemical reaction, non-uniform heat flux, and activation energy in both types of nanofluids, enhancing our knowledge of these factors’ functions.

The findings of this research offer excellent promise for number of useful applications. These improved potentials of hybrid nanofluids will be used to greatly boost heat exchanger efficiency and energy savings, revolutionizing the field of thermal engineering. These nanofluids may provide accurate temperature control and effective heat transmission in the field of magnetic thermal engineering, having an impact on industries like electronics cooling and medical treatments that require regulated localized heating. Improved cooling systems and better material processing could assist industries including automotive, aerospace, and manufacturing, and the lower entropy generation could lead to more environmentally friendly procedures. The study’s ramifications also cover energy conversion, advances in nanotechnology, and even the use of renewable energy sources, displaying a wide range of real-world uses.

2.1 Physical description of the model

The fluid passes with wall velocity u w ( x , t ) over the sheet that shifts over time extemporaneously stretched from opposite sides. The orientation of the Cartesian coordinates is set such that flow is restricted in the zone where the x-axis is parallel to the surface and the y-axis is assumed to be perpendicular to it, as shown in Figure 1.

Figure 1 
                  Flow geometry of the problem.
Figure 1

Flow geometry of the problem.

The following assumptions are included in this framework:

  1. The flow is presumed to be unsteady, 2-dimensional, and incompressible.

  2. Both electric and magnetic fields are provoked orthogonal to the fluid flow.

  3. The wall temperature is indicated by T w and the free stream temperature by T that is less than the wall temperature.

2.2 Mathematical modeling

The leading equations are as follows [31]:

(1) u x + v y = 0 ,

where u and v are velocity components along the x, y axes.

(2) u t + u u x + v u y = 1 ρ hnf P x + υ hnf ( u x x + u y y ) + σ hnf ρ hnf ( E B B 2 u ) + ( ρ β ) hnf ρ hnf ( T T ) g ,

where P denotes the pressure of the fluid, ρ hnf is the density of the hybrid fluid, υ hnf is the kinematic viscosity, g is the gravity, σ hnf is the electric conductivity, temperature of the fluid and free stream temperature are denoted as T & T , E is the electric field, and B is temperature-dependent coefficient.

(3) v t + u v x + v v y = 1 ρ hnf P y + υ hnf ( v x x + v y y ) ,

(4) T t + u T x + v T y = α hnf ( T x x + T y y ) 1 ( ρ c p ) hnf ( q r ) y + q ( ρ c p ) hnf + μ hnf ( 2 ( ( u x ) 2 + ( v y ) 2 ) + ( u y + v x ) 2 ) ( ρ c p ) hnf + μ hnf ( ρ c p ) hnf ( u y ) 2 ,

where radiative heat flux and heat generation/absorption are given as q r & q , heat capacity and dynamic viscosity of the hybrid nanofluid are denoted by c p & μ hnf , respectively.

2.3 Governing boundary constraints

The subjected boundary conditions are [31,32] as follows:

(5) u = u w ( x , t ) , v = v w ( x , t ) , T = T w ( x , t ) , at y = 0 u 0 , T T as y ,

where u w = c 1 a t x signify the linear shrinking sheet velocity and v w symbolizes the mass transfer at the wall.

Variable heat generation/absorption is represented by q in equation (4).

(6) q = k hnf υ hnf A ¯ ( T w T ) u w ( x , t ) f + B ¯ k hnf u w ( x , t ) ( T T ) x .

According to the Rosseland technique, the condition ( A , B ) > 0 in this case denotes heat generation within the flow, while ( A , B ) < 0 denotes heat absorption from the flow.

(7) q r = 4 σ 3 k ( T 4 ) y ,

where k is the mean absorption coefficient and σ designates the Stefan–Boltzmann coefficient. Using Taylor’s expansion of T 4 about T, we obtain while neglecting terms with higher order.

(8) T 2 4 T 3 T 3 T 4 .

Adding equation (7) with equation (4) yields the following:

(9) ( ρ c p ) hnf ( T t + u T x + v T y ) = k hnf ( T x x + T y y ) + 16 T 3 3 k T y y + μ hnf ( u y ) 2 + q .

Engaging the boundary layer estimation as

(10) u v , u y u x , v t , v x , v y , T y T x , P y = 0 .

After the execution of equation (10) in equations (2)–(4), we obtained the following expressions:

(11) u x + v y = 0 ,

(12) u t + u u x + v u y = υ hnf ( u y y ) + σ hnf ρ hnf ( E B B 2 u ) + ( ρ β ) hnf ρ hnf ( T T ) g ,

(13) T t + u T x + v T y = α hnf ( T y y ) + 1 ( ρ c p ) hnf 16 T 3 σ 3 k T y y + Q 0 ( T T ) ( ρ C p ) hnf + μ hnf ( u y ) 2 .

2.4 Similarity formulation [31,32]

(14) ψ = b v f 1 a t x f ( ζ ) , ζ = y b ( 1 a t ) υ f , T w = b x T 0 2 υ f ( 1 a t ) 2 + T , θ = T T T w T .

The stream function of the flow problem is designated as

(15) u = ψ y , v = ψ x .

2.5 Modified flow model

After the implementation of similarity formulation, equations (11)–(13) get the following form:

(16) A 1 f ( ζ ) + A 2 f f ( ζ ) ( f ( ζ ) ) 2 f ( ζ ) + ζ 2 f ( ζ ) δ + A 3 M ( E 1 f ( ζ ) ) + A 4 λ θ ,

(17) A 5 + 4 3 Rd θ ( ζ ) + A 6 Pr θ ( ζ ) f ( ζ ) f ( ζ ) θ ( ζ ) δ ζ 2 θ ( ζ ) + 2 θ ( ζ ) + Ec f 2 + A 1 Br ( f ( ζ ) ) 2 + α θ ( ζ ) = 0 ,

where A i is delineated as follows:

(18) A 1 = ( 1 ϕ 2 ) 2.5 ( 1 ϕ 1 ) 2.5 ,

(19) A 2 = ( 1 ϕ 1 ) ( 1 ϕ 2 ) + ϕ 1 ( 1 ϕ 2 ) ρ s 1 ρ f + ϕ 2 ρ s 2 ρ f ,

(20) A 3 = [ σ s 1 + 2 σ f 2 ϕ 1 ( σ f σ s 1 ) ] × [ σ s 2 + 2 σ nf 2 ϕ 2 ( σ nf σ s 2 ) ] [ σ s 1 + 2 σ f + ( σ f σ s 1 ) ϕ 1 ] × [ σ s 2 + 2 σ nf + ( σ nf σ s 2 ) ϕ 2 ] ,

(21) A 4 = ( 1 ϕ 1 ) ( 1 ϕ 2 ) + ϕ 1 ( 1 ϕ 2 ) ( ρ β ) s 1 ( ρ β ) f + ϕ 2 ( ρ β ) s 2 ( ρ β ) f ,

(22) A 5 = [ k s 1 + ( n 1 ) k f ( k f k s 1 ) ( n 1 ) ϕ 1 ] × [ k s 2 + ( n 1 ) k nf ( n 1 ) ( k nf k s 2 ) ϕ 2 ] [ k s 1 + k f ( n 1 ) + ( k f k s 1 ) ϕ 1 ] × [ k s 2 + ( n 1 ) k nf + ( k nf k s 2 ) ϕ 2 ] ,

(23) A 6 = ( 1 ϕ 2 ) ( 1 ϕ 1 ) + ϕ 1 ( ρ c p ) s 1 ( ρ c p ) f + ϕ 2 ( ρ c p ) s 2 ( ρ c p ) f .

2.6 Revised boundary conditions

The following are the related boundary conditions:

(24) f ( ζ ) = S , λ = f ( ζ ) , θ ( ζ ) = 1 at ζ = 0 , f ( ζ ) = 0 , θ ( ζ ) = 0 as ζ = .

where λ is the stretching/shrinking parameter.

The governing model mentioned above represents the emerging physical parameter as follows:

(25) M = σ f B 0 2 b ρ f , G r = g β f ( T w T ) x 3 υ f 2 , δ = a b , Re = b x 2 υ f ( 1 at ) , λ = Gr Re 2 , Ec = u w 2 c p ( T w T ) , Pr = υ f α , B r = μ f u w 2 k f ( T w T ) , S = v 0 υ f b , R d = 4 σ T 3 k f k , E 1 = E 0 u w B 0 , α = Q 0 a ( ρ C p ) f , E c = u w C p ( T w T ) .

Coefficient of skin friction C f , Nusselt number Nu , tangential stress at the sheet τ w , and heat flux q w are major considerable quantities that are referred to as:

(26) q w = k knf + 16 σ T 3 3 k T y y = 0 , τ w = μ hnf ( u y ) y = 0 .

3 Physical parameters

In dimensionless form, the fascinating engineering parameters are articulated as

(27) Re 1 2 C f = A 1 f ( 0 ) , Nu Re 1 2 = A 5 + 4 3 Rd θ ( 0 ) .

4 Entropy production

Entropy generation is a variety of industrial and technological activities that use all the energy available. As it turns out, it is essential to know how quickly a system produces entropy. Under the action of electric and magnetic phenomena, the volumetric entropy generation is given as follows:

(28) S gen = k hnf T 2 ( T y ) 2 + μ hnf T ( u y ) 2 + σ hnf T ( u B E ) 2 .

The above equation accounts for conduction, Joule effects, and viscosity. In non-dimensional, the entropy consequence is specified as,

(29) N G = S gen S 0 = A 5 Re θ 2 + A 1 Br Ω Re f 2 + A 3 Ha 2 Br Ω ( f E 1 ) 2 ,

5 Numerical scheme

The bvp4c function of the MATLAB, a commercial software, is instigated to crack the highly nonlinear system of equations. At this moment, the system of equations with a higher order is converted into a system with a lower order. Furthermore, computations in bvp4c necessitate an initial guess. The outcomes can be obtained by raising the number of steps until the requisite precision is attained, starting with an estimate at an initial mesh point. The appropriate beginning of estimation and boundary layer thickness must depend on the parametric values. Flow chart of the numerical code is obtained in Figure 2.

(30) f = z 1 , f = z 2 , z 3 = f , z 3 = f , θ = z 4 , z 5 = θ , θ = z 5 ,

(31) z 3 = A 2 A 1 z 1 z 3 ( z 2 ) 2 + δ A 1 z 2 + η 2 z 3 A 3 A 1 M ( E 1 z 2 ) A 4 A 1 λ z 4 ,

(32) z 5 = A 6 Pr z 1 z 5 z 2 z 4 δ η 2 z 5 + 2 z 4 A 1 Br ( z 3 ) 2 z 4 α Ecz 3 2 A 5 + 4 3 Rd ,

z 1 ( 0 ) = S , z 2 ( 0 ) = λ , z 4 ( 0 ) = 1 , at η = 0

(33) z 2 ( ) 1 , z 4 ( ) 0 . η

Figure 2 
               A flow chart of the solution process.
Figure 2

A flow chart of the solution process.

Tolerance considered in this problem is 10−6.

The authors have opted for the aforementioned numerical approach due to several notable advantages as follows:

  1. This method adeptly handles highly nonlinear equations.

  2. It allows for user-adjustable error tolerance, providing flexibility in the solving process.

  3. Complex systems of equations that are challenging to solve analytically can be effectively addressed.

  4. Remarkably, this method offers swift solutions, significantly reducing computational time compared to other established techniques.

6 Discussion and results

By taking into consideration nonlinear heat source/sink, viscous dissipation, and nonlinear convection, the entropy effects of an unstable, hybrid nanofluid flow passing through a stretching/shrinking sheet are examined. The model’s non-linear boundary value issue is solved using the bvp4c MATLAB technique. ODEs are used in this strategy to resolve the boundary value problem. The definition and explanation of the dimensionless parameterization effect on flow, temperature, Nusselt, and Sherwood numbers are the main objectives of this article. The ranges and specific values of the prominent parameter are 0.01 ϕ = ϕ 1 = ϕ 2 0.04 , 0.1 M 1.2 , 0.1 Rd 1.2 , 0.4 α 1.6 , 3.0 m 8.3 , 5.0 Re 20.0 , and 1.0 λ 1.0 , 0.2 S 0.2 . We performed the process with a wide range of values for variables to evaluate the proposed algorithm’s correctness. The gradual development of these variables is significantly influenced by the values of these parameters. The outcomes are visualized as streamlining, isotherm, and Nusselt number graphs. In real-world applications of the research, using a range of values rather than specific values for the parameters might produce better results.

6.1 Impact of prominent parameters on the velocity profile

Figure 3 explains the aftereffects of the concentration of nanoparticles against the velocity concentration for GO–Fe3O4/H2O and GO/H2O. It can be seen that the distinct solid lines reveal the response of hybrid nanofluid and the dotted lines give the illustration of nanofluid flow with the separate stretching ( λ = 1.0 ) and shrinking ( λ = 1.0 ) surfaces. As a result, for both instances, the velocity profile increases as the concentration of nanoparticles enhances. This phenomenon results from the fact that the thickness of the thermal boundary layer extends as the parameters relating to nanoparticle volume fraction increase. As a result, the rate of heat transmission within the fluid zone increases, which is correlated with the drop in the volume percentage of nanoparticles. To explore the consequences of the magnetic parameter against the velocity concentration for both shrinking and stretching case is plotted in Figure 4. The up-surging valuation of the magnetic parameter causes a decrease in the velocity concentration. The addition of a porous matrix reduces velocity even further, and an increase in magnetic parameter imposes a larger Lorentz force, an electromagnetic resistive force that causes velocity to decrease. The magnetic retarding force that results from the Lorentz force raises the temperature, causing the thermal boundary layer to get thicker. On the other side, it causes the thickness of the momentum boundary layer to decrease.

Figure 3 
                  Evaluation of velocity distribution vs 
                     
                        
                           
                           
                              ϕ
                              =
                              
                                 
                                    ϕ
                                 
                                 
                                    1
                                 
                              
                              =
                              
                                 
                                    ϕ
                                 
                                 
                                    2
                                 
                              
                           
                           \phi ={\phi }_{1}={\phi }_{2}
                        
                     .
Figure 3

Evaluation of velocity distribution vs ϕ = ϕ 1 = ϕ 2 .

Figure 4 
                  Evaluation of velocity distribution vs M.
Figure 4

Evaluation of velocity distribution vs M.

6.2 Impact of prominent parameters on the thermal profile

Figure 5 deliberates the upshots of temperature distribution for positive values of concentration of nanoparticles. For both shrinking and stretching cases, it is incurred that the temperature has an adverse impact on the growing concentration of nanoparticles. The thermal characteristics of both pure and hybrid nanofluids are significantly influenced by the volume fractions of GO and Fe3O4 nanoparticles. Adding nanoparticles to base fluids has the potential to improve thermal properties in a variety of industrial settings. Nevertheless, incorporating hybrid nanocomposites into these base liquids is frequently necessary to achieve the desired heat transfer rates. Figure 6 demonstrates the impacts of thermal radiation against the temperature concentration for both shrinking/stretching cases. According to the depiction, elevating the thermal radiation parameter improved the thermal profile. The Rosseland radiative absorptivity diminishes as thermal radiation levels rise, which is the cause of this behavior. The values and rates of radiative heat transfer into the liquid therefore increase. The thickness of the thermal boundary layer increases as a result of this increased radiative heat transmission. Figure 7 reveals the features of α against the temperature field for both shrinking and stretching surfaces. It is quite interesting to note that increasing variation in the heat source-sink parameter has a positive magnitude for the temperature profile. The upshots of distinct shape factors on the temperature concentration are plotted in Figure 8 (Table 2). The increasing values of the shape factor enhanced the temperature distribution of the fluid flow for both cases.

Figure 5 
                  Evaluation of temperature distribution vs 
                     
                        
                           
                           
                              ϕ
                              =
                              
                                 
                                    ϕ
                                 
                                 
                                    1
                                 
                              
                              =
                              
                                 
                                    ϕ
                                 
                                 
                                    2
                                 
                              
                           
                           \phi ={\phi }_{1}={\phi }_{2}
                        
                     .
Figure 5

Evaluation of temperature distribution vs ϕ = ϕ 1 = ϕ 2 .

Figure 6 
                  Evaluation of temperature distribution vs Rd.
Figure 6

Evaluation of temperature distribution vs Rd.

Figure 7 
                  Evaluation of temperature distribution against heat source-sink parameter.
Figure 7

Evaluation of temperature distribution against heat source-sink parameter.

Figure 8 
                  Evaluation of temperature distribution against shape factor m.
Figure 8

Evaluation of temperature distribution against shape factor m.

Table 2

Shape of nanoparticles along with shape factor

Nanoparticle’s type Shape Shape factor
Sphere 3
Cylinder 4.8
Platelet 5.7
Disk 8.3

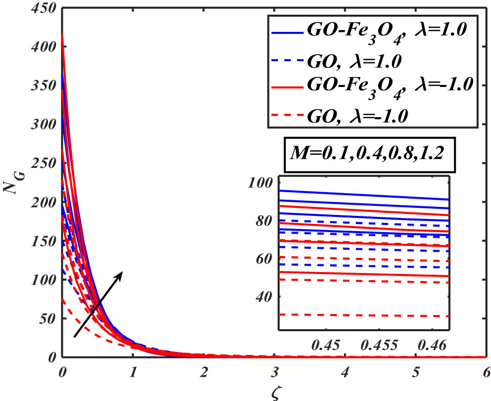
6.3 Impact of prominent parameters on entropy generation

Figure 9 is depicted to discover the marvels of magnetic parameters M for entropy generation N G for distinct value of λ = ( 1.0 ) & ( 1.0 ) . The boosting evaluation of magnetic parameters augmented the entropy generation for both GO–Fe3O4/H2O and GO/H2O. Figure 10 determines the impacts of concentration of nanoparticles against the entropy generation N G of hybrid nanofluid GO–Fe3O4/H2O and nanofluid GO/H2O. Figure 11 amplifies the results of the Reynolds number Re for the entropy generation parameter N G for both shrinking and stretching surfaces. For GO–Fe3O4/H2O and GO/H2O, it is apparent that the higher valuation of Reynolds number has a positive impact on entropy generation for hybrid nanofluid and nanofluid. The impact of the Reynolds number also contributes to the increase in entropy. The entropy function is heavily influenced by the Reynolds number, because the fluid moves more disturbingly as Re grows, chaotic motion occurs, and the amount of fluid friction and heat transmission to entropy formation tends to expand.

Figure 9 
                  Evaluation of entropy generation vs M.
Figure 9

Evaluation of entropy generation vs M.

Figure 10 
                  Evaluation of entropy generation vs 
                     
                        
                           
                           
                              ϕ
                              =
                              
                                 
                                    ϕ
                                 
                                 
                                    1
                                 
                              
                              =
                              
                                 
                                    ϕ
                                 
                                 
                                    2
                                 
                              
                           
                           \phi ={\phi }_{1}={\phi }_{2}
                        
                     .
Figure 10

Evaluation of entropy generation vs ϕ = ϕ 1 = ϕ 2 .

Figure 11 
                  Evaluation of velocity distribution against Re.
Figure 11

Evaluation of velocity distribution against Re.

6.4 Conception through streamlines, isotherm, and 3D plots

Figure 12 depicts the streamlines for hybrid nanofluid with magnetic parameters M = 0.5 , under suction effect S = 0.2 for stretching surface λ = 1.0 . Figure 13 reveals the streamlines for a hybrid nanofluid with no magnetic impact M = 0.0 , under the suction S = 0.2 effect for the stretching case λ = 1.0 . Figure 14 illustrates the stream lines for hybrid nanofluid with magnetic effect M = 0.5 under the influence of suction S = 0.2 for shrinking surface λ = 1.0 . Figure 15 displays the streamlines for hybrid nanofluid when no magnetic parameter is involved M = 0.0 with injection S = 0.2 for stretching surface λ = 1.0 . Figure 16 discloses the 3D plot of local Nusselt number along with magnetic parameter and concentration of nanoparticles of hybrid nanofluid for stretching case λ = 1.0 (Table 3). While the effects of the other factors are barely perceptible, the suction parameter has a substantial impact on the Nusselt number results. Figure 17 reveals the consequences of magnetic parameter and concentration of nanoparticles in the 3D plot of local skin friction of hybrid nanofluid for stretching surface. Isotherm of the local Nusselt number of hybrid nanofluid against the magnetic parameter for the stretching case is captured in Figure 18. As the concentration of the nanoparticles increase, the local Nusselt number enhances, because increase in the nanoparticles’ concentration results in the thermal conductivity improvement. Also, it can be noticed that the higher number of nanoparticles increase the fluid density and decreases the fluid velocity, so the local skin friction is retorted. From the figure, it can be observed that the boosting magnetic parameter has a negative impact on the local Nusselt number for the stretching case. Figure 19 explains the outcomes of the isotherm of local skin friction for hybrid nanofluid against magnetic parameter for stretching case. Similarly, for the shrinking case, the local skin friction falls for the positive magnitude of the magnetic parameter. Figure 20 deliberated the results of isotherm of local skin friction for hybrid fluid against magnetic parameter for shrinking case. The graphical statistics demonstrate that the growing valuation of magnetic parameters reduces the local skin friction of hybrid nanofluid. It is clear from this observation that the application of surface suction significantly affects the Nusselt number and shear stress, causing them to increase. For both nanofluid situations, the suction causes a frictional interaction between fluid particles and the surface, increasing the shear rate. Notably, smaller values of the suction parameter enable optimal solutions, improving convergence and system stability. On the other hand, the effect of an applied magnetic field produces a steady decrease in the rate of heat transfer while slightly increasing the rate of shear at the surface of the sheet.

Figure 12 
                  Streamlines for hybrid nanofluid, when 
                        
                           
                           
                              M
                              =
                              0.5
                              ,
                           
                           M=0.5,
                        
                      
                     
                        
                           
                           
                              λ
                              =
                              1.0
                              &
                              S
                              =
                              −
                              0.2
                           
                           \lambda =1.0\& S=-0.2
                        
                     .
Figure 12

Streamlines for hybrid nanofluid, when M = 0.5 , λ = 1.0 & S = 0.2 .

Figure 13 
                  Streamlines for hybrid nanofluid, when 
                        
                           
                           
                              M
                              =
                              0.0
                              ,
                           
                           M=0.0,
                        
                      
                     
                        
                           
                           
                              λ
                              =
                              1.0
                              &
                              S
                              =
                              0.2
                           
                           \lambda =1.0\& S=0.2
                        
                     .
Figure 13

Streamlines for hybrid nanofluid, when M = 0.0 , λ = 1.0 & S = 0.2 .

Figure 14 
                  Streamlines for hybrid nanofluid, when 
                        
                           
                           
                              M
                              =
                              0.5
                              ,
                           
                           M=0.5,
                        
                      
                     
                        
                           
                           
                              λ
                              =
                              −
                              1.0
                              &
                              S
                              =
                              0.2
                           
                           \lambda =-1.0\& S=0.2
                        
                     .
Figure 14

Streamlines for hybrid nanofluid, when M = 0.5 , λ = 1.0 & S = 0.2 .

Figure 15 
                  Streamlines for hybrid nanofluid, when 
                        
                           
                           
                              M
                              =
                              0.0
                              ,
                           
                           M=0.0,
                        
                      
                     
                        
                           
                           
                              λ
                              =
                              1.0
                              &
                              S
                              =
                              −
                              0.2
                           
                           \lambda =1.0\& S=-0.2
                        
                     .
Figure 15

Streamlines for hybrid nanofluid, when M = 0.0 , λ = 1.0 & S = 0.2 .

Figure 16 
                  3D plot of local Nusselt number of hybrids nanofluid for shrinking case.
Figure 16

3D plot of local Nusselt number of hybrids nanofluid for shrinking case.

Table 3

Numerical comparison under specific conditions, demonstrating a favorable alignment with previous studies when E 1 = λ = ϕ = ϕ 1 = ϕ 2 = 0 , λ = 1 . This assessment validates the code’s effectiveness in evaluating efficiency

M δ S [33] Present
0.0 0.5 0.5 1.372527 1.372527
0.5 1.479822 1.479822
1.0 1.756433 1.756432
1.5 2.127268 2.127268
2.0 2.540000 2.540000
1.2 0.0 1.831929 1.831927
0.2 1.896669 1.896669
0.7 1.980895 1.980895
1.0 2.042426 2.042426
1.2 0.5 0.0 1.631209 1.631205
0.3 1.732803 1.732803
0.7 2.013439 2.013439
1.5 2.199467 2.199467

Bold values represents that they are fixed for places below them until another value replace it.

Figure 17 
                  3D plot of local skin friction of hybrid nanofluid for stretching case.
Figure 17

3D plot of local skin friction of hybrid nanofluid for stretching case.

Figure 18 
                  Isotherm of local Nusselt number of hybrid nanofluid against magnetic parameter for stretching case.
Figure 18

Isotherm of local Nusselt number of hybrid nanofluid against magnetic parameter for stretching case.

Figure 19 
                  Isotherm of local skin friction of hybrid nanofluid against magnetic parameter for stretching case.
Figure 19

Isotherm of local skin friction of hybrid nanofluid against magnetic parameter for stretching case.

Figure 20 
                  Isotherm of local skin friction of hybrid nanofluid against magnetic parameter for shrinking case.
Figure 20

Isotherm of local skin friction of hybrid nanofluid against magnetic parameter for shrinking case.

The outcomes of this investigation have numerous applications, including those in ground stream hydrology, chemical engineering, solar panel design, solar absorption and filtration systems, and solar cell technology. These findings highlight the value and adaptability of comprehending flow over a sheet in a variety of practical applications.

7 Final remarks

These improved potential of hybrid nanofluids greatly boosts heat exchanger efficiency and energy savings, revolutionizing the field of thermal engineering. It enhances the heat transfer efficiency and enables controlled temperature distribution in magnetic thermal engineering applications. The forthright intention of the current declaration is to inspect the leverage of thermal radiation, heat source/sink, and suction/injection on both hybrid nanofluid Fe3O4/H2O and nanofluid GO/H2O with shrinking/stretching surfaces. The flow panel, thermal distribution, entropy distribution, and nanoparticle concentration panel all show the physical behavior of all variables. The foremost verdicts of the ongoing study are computed below:

  • The velocity distribution boosted for concentration of nanoparticles on the other hand shows a conflicting nature of magnetic parameters for both shrinking/stretching sheets.

  • The cumulative concentration of nanoparticles heightened the temperature profile against the magnetic parameter, and heat source-sink parameter.

  • The variations in Reynolds number, nanoparticle concentration, and magnetic parameter positively impact the production of entropy.

  • Streamlines the hybrid nanofluid under the influence of both suction/injection for shirking/stretching surface with magnetic and no magnetic effect.

  • The results are represented as streamline, isotherm, and Nusselt number plots.

We are confident that this research will help engineers and that the conclusions reached will serve as a solid basis for the design of rotating machinery, medical devices, gas turbine rotors, and thermal management systems. The paradigm of advanced heat transfer techniques frequently uses this kind of study.

Acknowledgments

The authors extend their appreciation to the Deanship of Scientific Research at King Khalid University, Abha, Saudi Arabia for funding this work through Large Groups Project under grant number RGP.2/536/44.

  1. Funding information: The authors extend their appreciation to the Deanship of Scientific Research at King Khalid University, Abha, Saudi Arabia for funding this work through Large Groups Project under grant number RGP.2/536/44.

  2. Author contributions: All authors have accepted responsibility for the entire content of this manuscript and approved its submission.

  3. Conflict of interest: The authors state no conflict of interest.

References

[1] Kleinstreuer C, Xu Z. Mathematical modeling and computer simulations of nanofluid flow with applications to cooling and lubrication. Fluids. 2016;1(2):16.10.3390/fluids1020016Search in Google Scholar

[2] Choi SUS, Eastman JA. Enhancing thermal conductivity of fluids with nanoparticles. Argonne, IL (United States): Argonne National Lab. (ANL); 1995.Search in Google Scholar

[3] Esfe MH, Hajmohammad H, Toghraie D, Rostamian H, Mahian O, Wongwises S. Multi-objective optimization of nanofluid flow in double tube heat exchangers for applications in energy systems. Energy. 2017;137:160–71.10.1016/j.energy.2017.06.104Search in Google Scholar

[4] Sharma P, Said Z, Memon S, Elavarasan RM, Khalid M, Nguyen XP, et al. Comparative evaluation of AI‐based intelligent GEP and ANFIS models in prediction of thermophysical properties of Fe3O4‐coated MWCNT hybrid nanofluids for potential application in energy systems. Int J Energy Res. 2022;46(13):19242–57.10.1002/er.8010Search in Google Scholar

[5] Mahian O, Bellos E, Markides CN, Taylor RA, Alagumalai A, Yang L, et al. Recent advances in using nanofluids in renewable energy systems and the environmental implications of their uptake. Nano Energy. 2021;86:106069.10.1016/j.nanoen.2021.106069Search in Google Scholar

[6] Elsheikh AH, Sharshir SW, Mostafa ME, Essa FA, Ali MKA. Applications of nanofluids in solar energy: A review of recent advances. Renew Sustain Energy Rev. 2018;82:3483–502.10.1016/j.rser.2017.10.108Search in Google Scholar

[7] Pordanjani AH, Aghakhani S, Afrand M, Sharifpur M, Meyer JP, Xu H, et al. Nanofluids: Physical phenomena, applications in thermal systems and the environment effects – a critical review. J Clean Prod. 2021;320:128573.10.1016/j.jclepro.2021.128573Search in Google Scholar

[8] Shojaie Chahregh H, Dinarvand S. TiO2-Ag/blood hybrid nanofluid flow through an artery with applications of drug delivery and blood circulation in the respiratory system. Int J Numer Methods Heat Fluid Flow. 2020;30(11):4775–96.10.1108/HFF-10-2019-0732Search in Google Scholar

[9] Saleh H, Alali E, Ebaid A. Medical applications for the flow of carbon-nanotubes suspended nanofluids in the presence of convective condition using Laplace transform. J Assoc Arab Univ Basic Appl Sci. 2017;24(1):206–12.10.1016/j.jaubas.2016.12.001Search in Google Scholar

[10] Ahmad S, Ali F, Khan I, Haq SU. Biomedical applications of gold nanoparticles in thermofluids flow through a porous medium. Int J Thermofluids. 2023;20:100425.10.1016/j.ijft.2023.100425Search in Google Scholar

[11] Ahmad S, Ali K, Ashraf M, Khalifa HAEW, Aziz ElSeabee FA, Tag El Din ESM. Analysis of pure nanofluid (GO/engine oil) and hybrid nanofluid (GO–Fe3O4/engine oil): Novel thermal and magnetic features. Nanotechnol Rev. 2022;11(1):2903–15.10.1515/ntrev-2022-0486Search in Google Scholar

[12] Abu Bakar S, Md Arifin N, Khashi’ie NS, Bachok N. Hybrid nanofluid flow over a permeable shrinking sheet embedded in a porous medium with radiation and slip impacts. Mathematics. 2021;9(8):878.10.3390/math9080878Search in Google Scholar

[13] Zainal NA, Nazar R, Naganthran K, Pop I. Stability analysis of MHD hybrid nanofluid flow over a stretching/shrinking sheet with quadratic velocity. Alex Eng J. 2021;60(1):915–26.10.1016/j.aej.2020.10.020Search in Google Scholar

[14] Neethu TS, Sabu AS, Mathew A, Wakif A, Areekara S. Multiple linear regression on bioconvective MHD hybrid nanofluid flow past an exponential stretching sheet with radiation and dissipation effects. Int Commun Heat Mass Transf. 2022;135:106115.10.1016/j.icheatmasstransfer.2022.106115Search in Google Scholar

[15] Mahesh R, Mahabaleshwar US, Kumar PNV, Öztop HF, Abu-Hamdeh N. Impact of radiation on the MHD couple stress hybrid nanofluid flow over a porous sheet with viscous dissipation. Results Eng. 2023;17:100905.10.1016/j.rineng.2023.100905Search in Google Scholar

[16] Devi SPA, Devi SSU. Numerical investigation of hydromagnetic hybrid Cu–Al2O3/water nanofluid flow over a permeable stretching sheet with suction. Int J Nonlinear Sci Numer Simul. 2016;17(5):249–57.10.1515/ijnsns-2016-0037Search in Google Scholar

[17] Venkateswarlu B, Satya Narayana PV. Cu‐Al2O3/H2O hybrid nanofluid flow past a porous stretching sheet due to temperatue‐dependent viscosity and viscous dissipation. Heat Transf. 2021;50(1):432–49.10.1002/htj.21884Search in Google Scholar

[18] Sajid M, Hayat T. Influence of thermal radiation on the boundary layer flow due to an exponentially stretching sheet. Int Commun Heat Mass Transf. 2008;35(3):347–56.10.1016/j.icheatmasstransfer.2007.08.006Search in Google Scholar

[19] Zainal NA, Nazar R, Naganthran K, Pop I. MHD flow and heat transfer of hybrid nanofluid over a permeable moving surface in the presence of thermal radiation. Int J Numer Methods Heat Fluid Flow. 2021;31(3):858–79.10.1108/HFF-03-2020-0126Search in Google Scholar

[20] Sreedevi P, Sudarsana Reddy P, Chamkha A. Heat and mass transfer analysis of unsteady hybrid nanofluid flow over a stretching sheet with thermal radiation. SN Appl Sci. 2020;2(7):1222.10.1007/s42452-020-3011-xSearch in Google Scholar

[21] Mabood F, Yusuf TA, Khan WA. Cu–Al2O3–H2O hybrid nanofluid flow with melting heat transfer, irreversibility analysis and nonlinear thermal radiation. J Therm Anal Calorim. 2021;143(2):973–84.10.1007/s10973-020-09720-wSearch in Google Scholar

[22] Shatnawi TAM, Abbas N, Shatanawi W. Comparative study of Casson hybrid nanofluid models with induced magnetic radiative flow over a vertical permeable exponentially stretching sheet. AIMS Math. 2022;7(12):20545–64.10.3934/math.20221126Search in Google Scholar

[23] Shatnawi TAM, Abbas N, Shatanawi W. Mathematical analysis of unsteady stagnation point flow of radiative Casson hybrid nanofluid flow over a vertical Riga sheet. Mathematics. 2022;10(19):3573.10.3390/math10193573Search in Google Scholar

[24] Khan MI, Alsaedi A, Hayat T, Khan NB. Modeling and computational analysis of hybrid class nanomaterials subject to entropy generation. Comput Methods Prog Biomed. 2019;179:104973.10.1016/j.cmpb.2019.07.001Search in Google Scholar PubMed

[25] Seth GS, Bhattacharyya A, Kumar R, Chamkha AJ. Entropy generation in hydromagnetic nanofluid flow over a non-linear stretching sheet with Navier’s velocity slip and convective heat transfer. Phys Fluids. 2018;30(12):122003.10.1063/1.5054099Search in Google Scholar

[26] Sithole H, Mondal H, Sibanda P. Entropy generation in a second grade magnetohydrodynamic nanofluid flow over a convectively heated stretching sheet with nonlinear thermal radiation and viscous dissipation. Results Phys. 2018;9:1077–85.10.1016/j.rinp.2018.04.003Search in Google Scholar

[27] Fatunmbi EO, Salawu SO. Analysis of hydromagnetic micropolar nanofluid flow past a nonlinear stretchable sheet and entropy generation with Navier slips. Int J Model Simul. 2022;42(3):359–69.10.1080/02286203.2021.1905490Search in Google Scholar

[28] Bhatti MM, Abbas T, Rashidi MM. Entropy generation as a practical tool of optimisation for non-Newtonian nanofluid flow through a permeable stretching surface using SLM. J Comput Des Eng. 2017;4(1):21–8.10.1016/j.jcde.2016.08.004Search in Google Scholar

[29] Hayat T, Yaqoob R, Qayyum S, Alsaedi A. Entropy generation optimization in nanofluid flow by variable thicked sheet. Phys A: Stat Mech its Appl. 2020;551:124022.10.1016/j.physa.2019.124022Search in Google Scholar

[30] Tiwari RK, Das MK. Heat transfer augmentation in a two-sided lid-driven differentially heated square cavity utilizing nanofluids. Int J Heat Mass Transf. 2007;50(9–10):2002–18.10.1016/j.ijheatmasstransfer.2006.09.034Search in Google Scholar

[31] Mumraiz S, Ali A, Awais M, Shutaywi M, Shah Z. Entropy generation in electrical magnetohydrodynamic flow of Al2O3–Cu/H2O hybrid nanofluid with non-uniform heat flux. J Therm Anal Calorim. 2021;143:2135–48.10.1007/s10973-020-09603-0Search in Google Scholar

[32] Daniel YS, Aziz ZA, Ismail Z, Salah F. Entropy analysis in electrical magnetohydrodynamic (MHD) flow of nanofluid with effects of thermal radiation, viscous dissipation, and chemical reaction. Theor Appl Mech Lett. 2017;7(4):235–42.10.1016/j.taml.2017.06.003Search in Google Scholar

[33] Hayat T, Qasim M, Mesloub S. MHD flow and heat transfer over permeable stretching sheet with slip conditions. Int J Numer Methods Fluids. 2011;66(8):963–75.10.1002/fld.2294Search in Google Scholar

Received: 2023-06-04
Revised: 2023-11-13
Accepted: 2023-11-23
Published Online: 2024-02-03

© 2024 the author(s), published by De Gruyter

This work is licensed under the Creative Commons Attribution 4.0 International License.

Articles in the same Issue

  1. Research Articles
  2. Tension buckling and postbuckling of nanocomposite laminated plates with in-plane negative Poisson’s ratio
  3. Polyvinylpyrrolidone-stabilised gold nanoparticle coatings inhibit blood protein adsorption
  4. Energy and mass transmission through hybrid nanofluid flow passing over a spinning sphere with magnetic effect and heat source/sink
  5. Surface treatment with nano-silica and magnesium potassium phosphate cement co-action for enhancing recycled aggregate concrete
  6. Numerical investigation of thermal radiation with entropy generation effects in hybrid nanofluid flow over a shrinking/stretching sheet
  7. Enhancing the performance of thermal energy storage by adding nano-particles with paraffin phase change materials
  8. Using nano-CaCO3 and ceramic tile waste to design low-carbon ultra high performance concrete
  9. Numerical analysis of thermophoretic particle deposition in a magneto-Marangoni convective dusty tangent hyperbolic nanofluid flow – Thermal and magnetic features
  10. Dual numerical solutions of Casson SA–hybrid nanofluid toward a stagnation point flow over stretching/shrinking cylinder
  11. Single flake homo p–n diode of MoTe2 enabled by oxygen plasma doping
  12. Electrostatic self-assembly effect of Fe3O4 nanoparticles on performance of carbon nanotubes in cement-based materials
  13. Multi-scale alignment to buried atom-scale devices using Kelvin probe force microscopy
  14. Antibacterial, mechanical, and dielectric properties of hydroxyapatite cordierite/zirconia porous nanocomposites for use in bone tissue engineering applications
  15. Time-dependent Darcy–Forchheimer flow of Casson hybrid nanofluid comprising the CNTs through a Riga plate with nonlinear thermal radiation and viscous dissipation
  16. Durability prediction of geopolymer mortar reinforced with nanoparticles and PVA fiber using particle swarm optimized BP neural network
  17. Utilization of zein nano-based system for promoting antibiofilm and anti-virulence activities of curcumin against Pseudomonas aeruginosa
  18. Antibacterial effect of novel dental resin composites containing rod-like zinc oxide
  19. An extended model to assess Jeffery–Hamel blood flow through arteries with iron-oxide (Fe2O3) nanoparticles and melting effects: Entropy optimization analysis
  20. Comparative study of copper nanoparticles over radially stretching sheet with water and silicone oil
  21. Cementitious composites modified by nanocarbon fillers with cooperation effect possessing excellent self-sensing properties
  22. Confinement size effect on dielectric properties, antimicrobial activity, and recycling of TiO2 quantum dots via photodegradation processes of Congo red dye and real industrial textile wastewater
  23. Biogenic silver nanoparticles of Moringa oleifera leaf extract: Characterization and photocatalytic application
  24. Novel integrated structure and function of Mg–Gd neutron shielding materials
  25. Impact of multiple slips on thermally radiative peristaltic transport of Sisko nanofluid with double diffusion convection, viscous dissipation, and induced magnetic field
  26. Magnetized water-based hybrid nanofluid flow over an exponentially stretching sheet with thermal convective and mass flux conditions: HAM solution
  27. A numerical investigation of the two-dimensional magnetohydrodynamic water-based hybrid nanofluid flow composed of Fe3O4 and Au nanoparticles over a heated surface
  28. Development and modeling of an ultra-robust TPU-MWCNT foam with high flexibility and compressibility
  29. Effects of nanofillers on the physical, mechanical, and tribological behavior of carbon/kenaf fiber–reinforced phenolic composites
  30. Polymer nanocomposite for protecting photovoltaic cells from solar ultraviolet in space
  31. Study on the mechanical properties and microstructure of recycled concrete reinforced with basalt fibers and nano-silica in early low-temperature environments
  32. Synergistic effect of carbon nanotubes and polyvinyl alcohol on the mechanical performance and microstructure of cement mortar
  33. CFD analysis of paraffin-based hybrid (Co–Au) and trihybrid (Co–Au–ZrO2) nanofluid flow through a porous medium
  34. Forced convective tangent hyperbolic nanofluid flow subject to heat source/sink and Lorentz force over a permeable wedge: Numerical exploration
  35. Physiochemical and electrical activities of nano copper oxides synthesised via hydrothermal method utilising natural reduction agents for solar cell application
  36. A homotopic analysis of the blood-based bioconvection Carreau–Yasuda hybrid nanofluid flow over a stretching sheet with convective conditions
  37. In situ synthesis of reduced graphene oxide/SnIn4S8 nanocomposites with enhanced photocatalytic performance for pollutant degradation
  38. A coarse-grained Poisson–Nernst–Planck model for polyelectrolyte-modified nanofluidic diodes
  39. A numerical investigation of the magnetized water-based hybrid nanofluid flow over an extending sheet with a convective condition: Active and passive controls of nanoparticles
  40. The LyP-1 cyclic peptide modified mesoporous polydopamine nanospheres for targeted delivery of triptolide regulate the macrophage repolarization in atherosclerosis
  41. Synergistic effect of hydroxyapatite-magnetite nanocomposites in magnetic hyperthermia for bone cancer treatment
  42. The significance of quadratic thermal radiative scrutinization of a nanofluid flow across a microchannel with thermophoretic particle deposition effects
  43. Ferromagnetic effect on Casson nanofluid flow and transport phenomena across a bi-directional Riga sensor device: Darcy–Forchheimer model
  44. Performance of carbon nanomaterials incorporated with concrete exposed to high temperature
  45. Multicriteria-based optimization of roller compacted concrete pavement containing crumb rubber and nano-silica
  46. Revisiting hydrotalcite synthesis: Efficient combined mechanochemical/coprecipitation synthesis to design advanced tunable basic catalysts
  47. Exploration of irreversibility process and thermal energy of a tetra hybrid radiative binary nanofluid focusing on solar implementations
  48. Effect of graphene oxide on the properties of ternary limestone clay cement paste
  49. Improved mechanical properties of graphene-modified basalt fibre–epoxy composites
  50. Sodium titanate nanostructured modified by green synthesis of iron oxide for highly efficient photodegradation of dye contaminants
  51. Green synthesis of Vitis vinifera extract-appended magnesium oxide NPs for biomedical applications
  52. Differential study on the thermal–physical properties of metal and its oxide nanoparticle-formed nanofluids: Molecular dynamics simulation investigation of argon-based nanofluids
  53. Heat convection and irreversibility of magneto-micropolar hybrid nanofluids within a porous hexagonal-shaped enclosure having heated obstacle
  54. Numerical simulation and optimization of biological nanocomposite system for enhanced oil recovery
  55. Laser ablation and chemical vapor deposition to prepare a nanostructured PPy layer on the Ti surface
  56. Cilostazol niosomes-loaded transdermal gels: An in vitro and in vivo anti-aggregant and skin permeation activity investigations towards preparing an efficient nanoscale formulation
  57. Linear and nonlinear optical studies on successfully mixed vanadium oxide and zinc oxide nanoparticles synthesized by sol–gel technique
  58. Analytical investigation of convective phenomena with nonlinearity characteristics in nanostratified liquid film above an inclined extended sheet
  59. Optimization method for low-velocity impact identification in nanocomposite using genetic algorithm
  60. Analyzing the 3D-MHD flow of a sodium alginate-based nanofluid flow containing alumina nanoparticles over a bi-directional extending sheet using variable porous medium and slip conditions
  61. A comprehensive study of laser irradiated hydrothermally synthesized 2D layered heterostructure V2O5(1−x)MoS2(x) (X = 1–5%) nanocomposites for photocatalytic application
  62. Computational analysis of water-based silver, copper, and alumina hybrid nanoparticles over a stretchable sheet embedded in a porous medium with thermophoretic particle deposition effects
  63. A deep dive into AI integration and advanced nanobiosensor technologies for enhanced bacterial infection monitoring
  64. Effects of normal strain on pyramidal I and II 〈c + a〉 screw dislocation mobility and structure in single-crystal magnesium
  65. Computational study of cross-flow in entropy-optimized nanofluids
  66. Significance of nanoparticle aggregation for thermal transport over magnetized sensor surface
  67. A green and facile synthesis route of nanosize cupric oxide at room temperature
  68. Effect of annealing time on bending performance and microstructure of C19400 alloy strip
  69. Chitosan-based Mupirocin and Alkanna tinctoria extract nanoparticles for the management of burn wound: In vitro and in vivo characterization
  70. Electrospinning of MNZ/PLGA/SF nanofibers for periodontitis
  71. Photocatalytic degradation of methylene blue by Nd-doped titanium dioxide thin films
  72. Shell-core-structured electrospinning film with sequential anti-inflammatory and pro-neurogenic effects for peripheral nerve repairment
  73. Flow and heat transfer insights into a chemically reactive micropolar Williamson ternary hybrid nanofluid with cross-diffusion theory
  74. One-pot fabrication of open-spherical shapes based on the decoration of copper sulfide/poly-O-amino benzenethiol on copper oxide as a promising photocathode for hydrogen generation from the natural source of Red Sea water
  75. A penta-hybrid approach for modeling the nanofluid flow in a spatially dependent magnetic field
  76. Advancing sustainable agriculture: Metal-doped urea–hydroxyapatite hybrid nanofertilizer for agro-industry
  77. Utilizing Ziziphus spina-christi for eco-friendly synthesis of silver nanoparticles: Antimicrobial activity and promising application in wound healing
  78. Plant-mediated synthesis, characterization, and evaluation of a copper oxide/silicon dioxide nanocomposite by an antimicrobial study
  79. Effects of PVA fibers and nano-SiO2 on rheological properties of geopolymer mortar
  80. Investigating silver and alumina nanoparticles’ impact on fluid behavior over porous stretching surface
  81. Potential pharmaceutical applications and molecular docking study for green fabricated ZnO nanoparticles mediated Raphanus sativus: In vitro and in vivo study
  82. Effect of temperature and nanoparticle size on the interfacial layer thickness of TiO2–water nanofluids using molecular dynamics
  83. Characteristics of induced magnetic field on the time-dependent MHD nanofluid flow through parallel plates
  84. Flexural and vibration behaviours of novel covered CFRP composite joints with an MWCNT-modified adhesive
  85. Experimental research on mechanically and thermally activation of nano-kaolin to improve the properties of ultra-high-performance fiber-reinforced concrete
  86. Analysis of variable fluid properties for three-dimensional flow of ternary hybrid nanofluid on a stretching sheet with MHD effects
  87. Biodegradability of corn starch films containing nanocellulose fiber and thymol
  88. Toxicity assessment of copper oxide nanoparticles: In vivo study
  89. Some measures to enhance the energy output performances of triboelectric nanogenerators
  90. Reinforcement of graphene nanoplatelets on water uptake and thermomechanical behaviour of epoxy adhesive subjected to water ageing conditions
  91. Optimization of preparation parameters and testing verification of carbon nanotube suspensions used in concrete
  92. Max-phase Ti3SiC2 and diverse nanoparticle reinforcements for enhancement of the mechanical, dynamic, and microstructural properties of AA5083 aluminum alloy via FSP
  93. Advancing drug delivery: Neural network perspectives on nanoparticle-mediated treatments for cancerous tissues
  94. PEG-PLGA core–shell nanoparticles for the controlled delivery of picoplatin–hydroxypropyl β-cyclodextrin inclusion complex in triple-negative breast cancer: In vitro and in vivo study
  95. Conduction transportation from graphene to an insulative polymer medium: A novel approach for the conductivity of nanocomposites
  96. Review Articles
  97. Developments of terahertz metasurface biosensors: A literature review
  98. Overview of amorphous carbon memristor device, modeling, and applications for neuromorphic computing
  99. Advances in the synthesis of gold nanoclusters (AuNCs) of proteins extracted from nature
  100. A review of ternary polymer nanocomposites containing clay and calcium carbonate and their biomedical applications
  101. Recent advancements in polyoxometalate-functionalized fiber materials: A review
  102. Special contribution of atomic force microscopy in cell death research
  103. A comprehensive review of oral chitosan drug delivery systems: Applications for oral insulin delivery
  104. Cellular senescence and nanoparticle-based therapies: Current developments and perspectives
  105. Cyclodextrins-block copolymer drug delivery systems: From design and development to preclinical studies
  106. Micelle-based nanoparticles with stimuli-responsive properties for drug delivery
  107. Critical assessment of the thermal stability and degradation of chemically functionalized nanocellulose-based polymer nanocomposites
  108. Research progress in preparation technology of micro and nano titanium alloy powder
  109. Nanoformulations for lysozyme-based additives in animal feed: An alternative to fight antibiotic resistance spread
  110. Incorporation of organic photochromic molecules in mesoporous silica materials: Synthesis and applications
  111. A review on modeling of graphene and associated nanostructures reinforced concrete
  112. A review on strengthening mechanisms of carbon quantum dots-reinforced Cu-matrix nanocomposites
  113. Review on nanocellulose composites and CNFs assembled microfiber toward automotive applications
  114. Nanomaterial coating for layered lithium rich transition metal oxide cathode for lithium-ion battery
  115. Application of AgNPs in biomedicine: An overview and current trends
  116. Nanobiotechnology and microbial influence on cold adaptation in plants
  117. Hepatotoxicity of nanomaterials: From mechanism to therapeutic strategy
  118. Applications of micro-nanobubble and its influence on concrete properties: An in-depth review
  119. A comprehensive systematic literature review of ML in nanotechnology for sustainable development
  120. Exploiting the nanotechnological approaches for traditional Chinese medicine in childhood rhinitis: A review of future perspectives
  121. Twisto-photonics in two-dimensional materials: A comprehensive review
  122. Current advances of anticancer drugs based on solubilization technology
  123. Recent process of using nanoparticles in the T cell-based immunometabolic therapy
  124. Future prospects of gold nanoclusters in hydrogen storage systems and sustainable environmental treatment applications
  125. Preparation, types, and applications of one- and two-dimensional nanochannels and their transport properties for water and ions
  126. Microstructural, mechanical, and corrosion characteristics of Mg–Gd–x systems: A review of recent advancements
  127. Functionalized nanostructures and targeted delivery systems with a focus on plant-derived natural agents for COVID-19 therapy: A review and outlook
  128. Mapping evolution and trends of cell membrane-coated nanoparticles: A bibliometric analysis and scoping review
  129. Nanoparticles and their application in the diagnosis of hepatocellular carcinoma
  130. In situ growth of carbon nanotubes on fly ash substrates
  131. Structural performance of boards through nanoparticle reinforcement: An advance review
  132. Reinforcing mechanisms review of the graphene oxide on cement composites
  133. Seed regeneration aided by nanomaterials in a climate change scenario: A comprehensive review
  134. Surface-engineered quantum dot nanocomposites for neurodegenerative disorder remediation and avenue for neuroimaging
  135. Graphitic carbon nitride hybrid thin films for energy conversion: A mini-review on defect activation with different materials
  136. Nanoparticles and the treatment of hepatocellular carcinoma
  137. Special Issue on Advanced Nanomaterials and Composites for Energy Conversion and Storage - Part II
  138. Highly safe lithium vanadium oxide anode for fast-charging dendrite-free lithium-ion batteries
  139. Recent progress in nanomaterials of battery energy storage: A patent landscape analysis, technology updates, and future prospects
  140. Special Issue on Advanced Nanomaterials for Carbon Capture, Environment and Utilization for Energy Sustainability - Part II
  141. Calcium-, magnesium-, and yttrium-doped lithium nickel phosphate nanomaterials as high-performance catalysts for electrochemical water oxidation reaction
  142. Low alkaline vegetation concrete with silica fume and nano-fly ash composites to improve the planting properties and soil ecology
  143. Mesoporous silica-grafted deep eutectic solvent-based mixed matrix membranes for wastewater treatment: Synthesis and emerging pollutant removal performance
  144. Electrochemically prepared ultrathin two-dimensional graphitic nanosheets as cathodes for advanced Zn-based energy storage devices
  145. Enhanced catalytic degradation of amoxicillin by phyto-mediated synthesised ZnO NPs and ZnO-rGO hybrid nanocomposite: Assessment of antioxidant activity, adsorption, and thermodynamic analysis
  146. Incorporating GO in PI matrix to advance nanocomposite coating: An enhancing strategy to prevent corrosion
  147. Synthesis, characterization, thermal stability, and application of microporous hyper cross-linked polyphosphazenes with naphthylamine group for CO2 uptake
  148. Engineering in ceramic albite morphology by the addition of additives: Carbon nanotubes and graphene oxide for energy applications
  149. Nanoscale synergy: Optimizing energy storage with SnO2 quantum dots on ZnO hexagonal prisms for advanced supercapacitors
  150. Aging assessment of silicone rubber materials under corona discharge accompanied by humidity and UV radiation
  151. Tuning structural and electrical properties of Co-precipitated and Cu-incorporated nickel ferrite for energy applications
  152. Sodium alginate-supported AgSr nanoparticles for catalytic degradation of malachite green and methyl orange in aqueous medium
  153. An environmentally greener and reusability approach for bioenergy production using Mallotus philippensis (Kamala) seed oil feedstock via phytonanotechnology
  154. Micro-/nano-alumina trihydrate and -magnesium hydroxide fillers in RTV-SR composites under electrical and environmental stresses
  155. Mechanism exploration of ion-implanted epoxy on surface trap distribution: An approach to augment the vacuum flashover voltages
  156. Nanoscale engineering of semiconductor photocatalysts boosting charge separation for solar-driven H2 production: Recent advances and future perspective
  157. Excellent catalytic performance over reduced graphene-boosted novel nanoparticles for oxidative desulfurization of fuel oil
  158. Special Issue on Advances in Nanotechnology for Agriculture
  159. Deciphering the synergistic potential of mycogenic zinc oxide nanoparticles and bio-slurry formulation on phenology and physiology of Vigna radiata
  160. Nanomaterials: Cross-disciplinary applications in ornamental plants
  161. Special Issue on Catechol Based Nano and Microstructures
  162. Polydopamine films: Versatile but interface-dependent coatings
  163. In vitro anticancer activity of melanin-like nanoparticles for multimodal therapy of glioblastoma
  164. Poly-3,4-dihydroxybenzylidenhydrazine, a different analogue of polydopamine
  165. Chirality and self-assembly of structures derived from optically active 1,2-diaminocyclohexane and catecholamines
  166. Advancing resource sustainability with green photothermal materials: Insights from organic waste-derived and bioderived sources
  167. Bioinspired neuromelanin-like Pt(iv) polymeric nanoparticles for cancer treatment
  168. Special Issue on Implementing Nanotechnology for Smart Healthcare System
  169. Intelligent explainable optical sensing on Internet of nanorobots for disease detection
  170. Special Issue on Green Mono, Bi and Tri Metallic Nanoparticles for Biological and Environmental Applications
  171. Tracking success of interaction of green-synthesized Carbopol nanoemulgel (neomycin-decorated Ag/ZnO nanocomposite) with wound-based MDR bacteria
  172. Green synthesis of copper oxide nanoparticles using genus Inula and evaluation of biological therapeutics and environmental applications
  173. Biogenic fabrication and multifunctional therapeutic applications of silver nanoparticles synthesized from rose petal extract
  174. Metal oxides on the frontlines: Antimicrobial activity in plant-derived biometallic nanoparticles
  175. Controlling pore size during the synthesis of hydroxyapatite nanoparticles using CTAB by the sol–gel hydrothermal method and their biological activities
  176. Special Issue on State-of-Art Advanced Nanotechnology for Healthcare
  177. Applications of nanomedicine-integrated phototherapeutic agents in cancer theranostics: A comprehensive review of the current state of research
  178. Smart bionanomaterials for treatment and diagnosis of inflammatory bowel disease
  179. Beyond conventional therapy: Synthesis of multifunctional nanoparticles for rheumatoid arthritis therapy
Downloaded on 2.12.2025 from https://www.degruyterbrill.com/document/doi/10.1515/ntrev-2023-0171/html
Scroll to top button