Abstract
For the first time, highly conductive thickly layered two-dimensional titanium carbide (MXene) was applied as a new coating agent for electromembrane-surrounded solid-phase microextraction (SPME) of triadimenol and iprodione as two model analytes. Preparation of the desired coated electrode was carried out using electrophoretic deposition of MXene on the surface of platinum electrode. Characterization of the prepared coated electrode was conducted using scanning electron microscopy and energy-dispersive X-ray spectroscopy. The coated electrode was located inside a hollow fiber membrane impregnated by 2-nitrophenyl octyl ether as the supported liquid membrane (SLM), while an aqueous solution was injected inside the hollow fiber lumen. Separation and quantification of the analytes were carried out using a gas chromatography instrument equipped with mass spectrometric detection. The effective parameters of the microextraction procedure comprising pHs of sample solution and the acceptor phase, composition of the SLM, extraction time, and the applied voltage were optimized using one-variable at-a-time method. Under the optimal conditions, the calibration curves of the analytes were linear (R 2 > 0.9973) in the range of 0.3–250.0 and 0.5–250.0 ng mL−1 for triadimenol and iprodione, respectively. The limit of detections was determined to be 0.10 and 0.15 ng mL−1 for triadimenol and iprodione, respectively. Repeatability and reproducibility of the method were evaluated by the calculation of intra-day and inter-day relative standard deviations (%). The applicability of the method was evaluated by quantitative analysis of the model analytes in environmental water samples. Relative recoveries in the range of 87.31–102.7% confirmed that the prepared coated electrode can be considered a reliable option in electromembrane-surrounded SPME techniques.
1 Introduction
Highly conductive materials have been enormously considered in materials science for the fabrication of different surfaces for various purposes [1]. During the past decades, different types of conductive materials comprising graphene and graphene oxide [2], carbon nanotubes [3], conductive polymers (CPs) [4], and metal–organic frameworks [5] have been introduced as new conductive materials. Recently, another conductive material has been added to this family composed of different layers of metal-carbide building blocks. These conductive materials contain two-dimensional structures of early transition metal carbides and nitrides that are known simply as MXene [6]. The name refers to the composition of M n+1AX n where M is the early transition metal, A is an element from groups 13 and 14, and X is carbon or nitrogen, which is abbreviated to MAX phase. Due to the similarities between such structures and graphene, these materials are simply called MXene [7].
Thanks to the possibility of changing M, A, and X elements in MXene structures, different types of MXene materials can be achieved. Moreover, the X element can be simply replaced by different functional groups acquiring different types of MXene with various properties [8]. Along with the diverse types of MXene structures that can be obtained, the synthesis of these materials is quite straightforward as different synthetic methods such as spin coating, electrospray, spray drying, and electrophoretic deposition have been reported during the past years. To name a few, –F, OH–, and –O functionalizations have been the most common derivatives of MXene structures [9].
Sorbent-base extraction and microextraction methods are fundamentally material-based procedures in which different types of materials can be applied for extraction, purification, and cleaning up of analytes with various physicochemical properties from different sample matrices [10]. During the past years, different extraction and microextraction methods have been reported in the literature, which have been basically relied on materials. Conventional solid-phase extraction (SPE) based on disks or cartridges [11,12,13], dispersive SPE [14], magnetic SPE [15], stir bar sorptive dispersive microextraction [16], solid-phase microextraction (SPME) [17,18,19,20,21], thin-film SPME [22], and pipette-tip micro-SPE [23] are the most well-known sample preparation methods that are based on the materials used in the extraction or microextraction procedures.
SPME is a sample preparation method that was conventionally carried out by direct immersion of the SPME fiber into the sample solution. Along with the efficiency of the method, this procedure lacks high sample cleanup values and selectivity due to the direct contact between the solid phase as the acceptor phase and the complicated sample solution as the donor phase. To resolve this problem, different strategies have been reported during the past decades. Headspace SPME has been the reliable alternative to direct immersion SPME [24]. However, this method is suitable for volatile or semi-volatile compounds. In 2013, Rezazadeh et al. reported an interesting strategy based on the combination of SPME and electromembrane extraction called electromembrane-surrounded solid phase microextraction (EM-SPME). They simply utilized a pencil lead fiber as the SPME fiber inside a hollow fiber lumen [25]. Since then, different types of materials have been used instead of pencil lead fiber to enhance the efficiency of the procedure [26,27,28]. The key point in all reported studies is that the applied material must be conductive to effectively pass the electricity from the SPME fiber through the sample solution.
In the present study, a platinum electrode was successfully coated with titanium carbide nanolayers as the MXene structure and used as the SPME fiber in an EM-SPME procedure. The MXene layers were coated on the electrode through a simple electrophoretic deposition procedure. This EM-SPME setup was applied for preconcentration and extraction of two model analytes, triadimenol and iprodione, from environmental water samples. Separation and determination of the analytes were carried out using a gas chromatography-mass spectrometry (GC-MS) instrument.
2 Materials and methods
2.1 Chemicals and reagents
Synthetic grade Ti2AlC as the majority phase with approximately 30 wt% Ti3AlC2 (MAXTHAL) was purchased from Forsman Scientific Co. Ltd (Beijing, China). Titanium carbide (TiC) with a purity of 99% was bought from Sigma-Aldrich (Milwaukee, WI, USA). Analytical grades sodium chloride (NaCl), hydrochloric acid (HCl), 2-nitrophenyl octyl ether (NPOE), di-(2-ethylhexyl)phosphate (DEHP), and tris(2-ethylhexyl)phosphate (TEHP) were obtained from Merck (Darmstadt, Germany). The applied platinum electrodes were from Pars Platin Co. (Tehran, Iran). The Q3/2 Accurel polypropylene hollow fiber was purchased from Membrana (Wuppertal, Germany). The inner diameter of the hollow fiber was 600 µm, the thickness of its wall was 200 µm, and the pore size was 0.2 µm. The water was purified on an AquaMax ultra-pure water purification system from Younglin (Seoul, South Korea).
2.2 Instrumentation
The electrophoretic deposition of MXene nanolayers was carried out using a potentiostat/galvanostat obtained from Novin Ebtekar (Tehran, Iran). The size and morphological properties of the synthesized sorbent were evaluated using a Philips CM30T electron microscope (200 kV), equipped with an energy-dispersive X-ray analyzer (EDX) to obtain the chemical composition of the SPME fiber. A Thermo Scientific Nicolet IR100 (Madison, WI, USA) Fourier transform infrared (FT-IR) spectrometer was used to obtain specific functional groups of the coating material. X-ray diffraction (XRD) patterns of Mxene and MAX were recorded on a Rigaku diffractometer using Cu-Kα radiation in the range of 3–90°. The thermal behavior of the coating was evaluated using thermogravimetric analyzer (TGA) (Perkin Elmer model TG/DTA 6300, USA). The required voltage for the microextraction procedure was obtained from a power supply instrument purchased from Paya Pajoohesh Pars (Tehran, Iran). Separation and determination of the CPs were performed using an Agilent 7890A (Wilmington, USA) GC system equipped with an Agilent MSD 5975 C quadrupole mass spectrometer. A 30 m × 0.25 mm i.d., 0.25 μm film thickness, DB-5MS (5% phenyl–methylsiloxane) fused-silica column was used. Helium (99.999%) was the carrier gas, at a flow rate of 1.0 mL min−1. The gas chromatograph operated at the splitless mode and the temperature of the injection port was 250°C. To assess the successful separation of the target analytes, the following temperature program was employed. The oven temperature was set at 60°C and remained for 1 min, increased to 250°C at a rate of 10°C min−1, and kept at this temperature for 20 min [29]. The injection volume was 1 µL. Data acquisition was performed in the full scan mode (m/z in the range of 45–700) to confirm the retention times of analytes and in the selected ion monitoring mode for the quantitative determination of the pesticides.
2.3 Electrophoretic deposition of MXene nanolayers
Preparation of the desired MXene-coated electrode was conducted according to the previous studies in the literature. Basically, the synthesis of MXene contains three separate steps comprising preparation of the MAX phase, preparation of MXene colloidal MXene suspension, and electrophoretic deposition of MXene colloids on the electrode.
To prepare the MAX phase powder containing Ti3AlC2, MAXTHAL powder was mixed with TiC in the ratio of 1:1 based on the Ti2AlC2 as the main component of the MAXTHAL powder. These reactants were mixed in a thick polyethylene container with zirconia balls for 24 h. Then, the mixture was packed into an alumina combustion boat under the continuous Ar flow. This mixture was placed inside a furnace to be heated at the rate of 5°C h−1 up to a temperature of 1,350°C. The mixture remained at this temperature for about 2 h. The obtained brick was sieved to achieve Ti3AlC2 uniform powders.
In order to synthesize MXene, two grams of Ti3AlC2 was slightly added into 20 mL of a solution containing 11.7 M HCl and 1.32 g LiF to obtain the molar ratio of 5:1 of salts to MAX. This mixture was stirred for 72 h at the temperature of 35°C obtained by an oil bath. Afterward, the black sediments were washed with water and centrifuged several times. Next, the resulted MXene sediments were separated from the excess water as much as practicable by a vacuum pump.
To obtain a colloidal phase for the electrodeposition step, 2.5 g of the still-damp MXene powders was dispersed into the ultrapure water; 0.7 mL of this suspension was poured into a glass container. Two platinum electrodes were connected to the power supply, while they were inserted into the MXene colloidal suspension. Constant direct current (DC) voltage of 1–25 V was applied to the electrochemical cell for around 10 min. The MXene-electrodeposited electrode was washed several times with ultrapure water to get rid of impurities and unreacted materials.
2.4 EM-SPME setup
The equipment utilized for the EM-SPME procedure was a 30 mL glass vial as a sample container. Two platinum electrodes as cathode and anode with a diameter of 0.25 mm. The cathode electrode was the MXene-coated platinum as the SPME fiber. The electric power was obtained by a power supply connected to the two electrodes, where practical voltages were in the range of 0–200 V and the current output of 0–500 mA. The electromembrane extraction unit consisted of a piece of 2 cm of hollow fiber membrane mechanically sealed. The pores of the hollow fiber membrane were filled with NPOE as the supported liquid membrane (SLM), while the hollow fiber lumen was filled with water as the acceptor phase. The extraction procedure was carried out using a magnetic stirrer with a stirring rate of 0–1,250 rpm via a 1.5 × 0.5 magnetic bar.
2.5 EM-SPME procedure
Twenty-three milliliters of the sample containing the model analytes was poured into a capped vial; 2.8 cm of hollow fibers was cut and dipped into the NPOE to impregnate the pores. Then, the excess amount of organic solvent was removed with the aid of a piece of Kleenex. Pure water was used as the acceptor phase which was introduced into the lumen of impregnated hollow fiber using a Hamilton micro-syringe. The lower end of the hollow fiber was mechanically sealed, and the coated SPME fiber was inserted into the hollow fiber from the upper side. The whole structure was directed into the vial containing the sample solution and magnet. A platinum wire acting as the anode was placed into the sample solution as well. The extraction unit was placed on a Heidolph stirrer with a stirring rate of 1,250 rpm. The electrodes were connected to a power supply set in a DC voltage of 120 V. Once the extraction was completed, the SPME fiber acting as the cathode was removed and inserted into an SPME syringe. Afterward, the fiber was directed into the GC injection port for thermal desorption of the analytes at the temperature of 250°C for 2 min.
3 Results and discussions
3.1 Characterization of the prepared SPME fiber
To make sure of the successful electrodeposition of MXene on the electrode, scanning electron microscopy (SEM), FT-IR spectroscopy, TGA, and XRD followed by EDX elemental analysis were carried out. Figure 1a illustrates the SEM image of the MXene-electrodeposited platinum electrode. According to this figure, the layered structure of the synthesized material confirms the successful deposition of MXene nanosheets on the surface of the electrode with a thickness of about 30 µm. Along with the morphological properties of the coating material, elemental compositions of the prepared MXene-coated electrode were evaluated using EDX analysis. Table 1 represents the elemental composition of the prepared SPME fiber. As can be seen in this table, relative amounts of the elements confirm that the electrodeposition procedure was successfully accomplished. The function groups on the surface of the coating were examined using FT-IR Spectroscopy. As shown in Figure 1b, peaks at 3,430, 1,630, 1,390, 1,100, and 662 cm−1 can be attributed to the stretching vibrations of –OH, C═O, O–H, C–F, and Ti–O bonds.

(a) SEM image of the MXene coated platinum electrode, (b) FT-IR spectrum of MXene, (c) XRD spectra of Ti3C2 and Ti3AlC2, and (d) TGA curve of Ti3AlC2.
Elemental analysis of the MXene-coated platinum electrode using EDX spectroscopy
| Element | Measure (%) |
|---|---|
| Pt | 58.37 |
| Ti | 25.91 |
| C | 9.37 |
| O | 4.70 |
| F | 1.65 |
Figure 1c shows the XRD patterns of coating material. After the Ti3AlC2 was treated by HF, the peak of Ti3AlC2 at 9.65° shifted toward a lower angle at about 8.7°. Meanwhile, the strong peak representing 2θ = 38.8° of the Al layer in Ti3AlC2 was disappeared. According to these results, etching away of Al layers and forming of the Ti3C2T x phase were confirmed. TGA was conducted to determine the thermostability of coating materials in the temperature range of 30–800 °C under a nitrogen atmosphere. As shown in Figure 1D, when the temperature was raised from 30 to 200 °C, the weight loss of coating materials can be ascribed to the removal of moisture and HF residue from the coating surface. At above 200 °C, the weight loss was caused by the dehydroxylation of terminated OH groups and the elimination of physisorbed water embedded between the layers. At temperatures > 300 °C, no significant weight lose was observed in the TGA curve, which demonstrated that most volatile species were eliminated at temperatures below this threshold. The excellent thermal stability of coating material was revealed that MXene nanosheets are suitable to be used as SPME fibers in a GC inlet.
3.2 Optimization of the microextraction procedure
TGA was conducted to determine the thermostability of coating materials in the temperature range of 30–800°C under a nitrogen atmosphere. As shown in Figure 1d, when the temperature was raised from 30 to 200°C, the weight loss of coating materials can be ascribed to the removal of moisture and HF residue from the coating surface. At above 200°C, the weight loss was caused by the dehydroxylation of terminated OH groups and the elimination of physisorbed water embedded between the layers. At temperatures >300°C, no significant weight loss was observed in the TGA curve, which demonstrated that most volatile species were eliminated at temperatures below this threshold. The excellent thermal stability of coating material revealed that MXene nanosheets are suitable to be used as SPME fibers in a GC inlet.
In order to achieve the best method performance, the effective parameters of the microextraction procedure were identified and optimized. These parameters were type and composition of the SLM, the applied voltage, and the extraction time. All the effective parameters were optimized through the one-variable at-a-time method.
3.2.1 Optimization of SLM composition
The first parameter effective parameter was the type and composition of the SLM. SLM composition is one of the most influential parameters of the efficiency of electromembrane extraction (EME). The exploited solvent to impregnate the hollow fiber should have certain characteristics like immiscibility with water, compatibility with polypropylene structure, certain viscosity, and conductivity. Based on these required features, NPOE and 1-octanol have widely been used as SLM in EME. While 1-octanol has proved to be the best solvent for extraction of acidic species, NOPE is the most well-suited solvent for basic analytes. The latter issue is mainly due to the H-donor/acceptor groups that existed in each solvent. Considering the basic nature of analytes of interest, NPOE was chosen as the main SLM solvent in our study. Then, the composition of NPOE was modified with different ratios of DEHP or TEHP in the range of 0–10%. According to the results, none of the mentioned carries had a positive effect on the extraction efficiencies of the analytes of interest. Therefore, NPOE was selected as the SLM in the rest of experiments.
3.2.2 Optimization of applied voltage
In EME, analytes migrate under the influence of an electrical field applied across the SLM. Considering the fixed position of the electrodes, magnitude of the electrical field is dependent on the value of applied voltage. In other words, the mobility of ionized analytes is dependent on the applied voltage and the applied voltage is responsible for mass transfer of analytes. Although it is expected that the increase in applied voltage will result in enhanced efficiency, in higher voltage value the electrolysis reactions, bubble formation, partial loss of SLM, and even SLM punctuation due to the Joule heating can occur. Therefore, the value of applied voltage should be optimized to guarantee efficient and stable extractions. To this end, the effect of the applied voltage was investigated within the range of 70–160 V. According to the obtained results shown in Figure 2, the best results were obtained in the voltage value of 110 V, which was set in all subsequent studies.

Effect of the applied voltage on the extraction efficiencies of the target analytes.
3.2.3 Optimization of extraction time
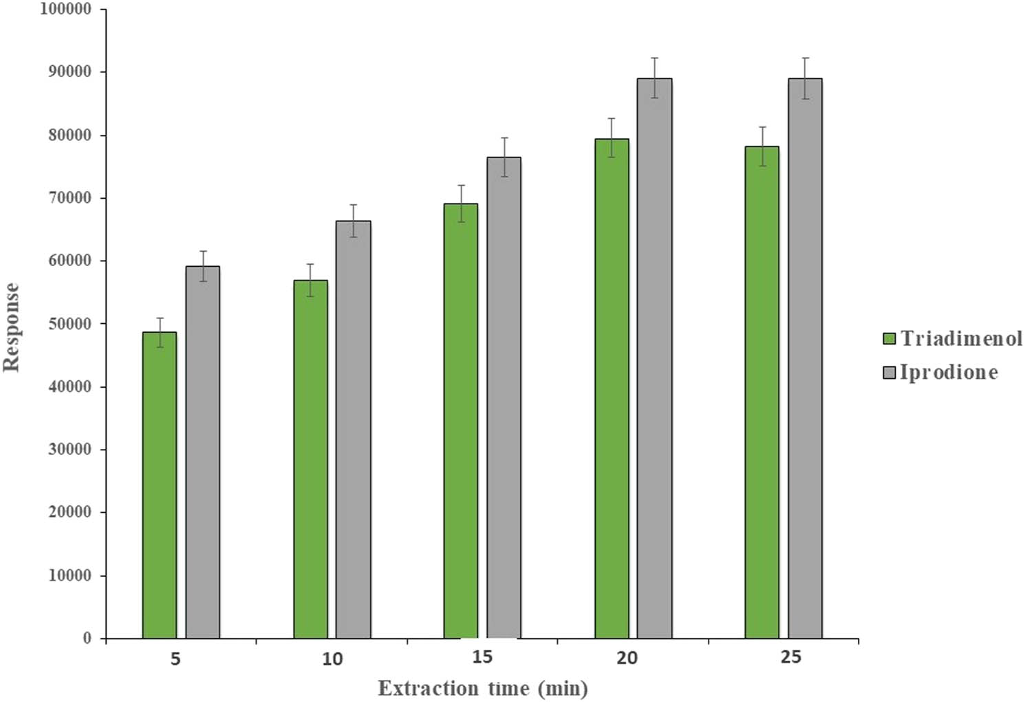
Extraction time is another important factor that needs to be optimized in all non-exhaustive extraction methods like EME. In EME, the extraction recoveries are limited by the time in which the system reaches the equilibrium. After the equilibrium, the higher extraction time would not result in higher recovery. More importantly, in EME, higher extraction times can deteriorate the stability of the extraction system due to the partial loss of SLM and joule heating as a result of the extensive migration of ions. Therefore, the effect of this parameter was evaluated within the range of 5–25 min. The obtained are shown in Figure 3, according to which, the highest extraction efficiencies were obtained after 20 min that was selected for the rest of the studies.

Effect of the extraction time on the extraction efficiencies of triadimenol and iprodione.
3.3 Desorption conditions
In subsequent experiments, the temperature and time of desorption were investigated to ensure the complete desorption of the analytes from the coating fiber. Therefore, the desorption temperature was evaluated in the range of 220–280°C by adjusting the temperature of the injection port. The peak areas of analytes were enhanced with increasing temperature from 220 to 250°C. Above 250°C, almost no change was observed (Figure 4a). Consequently, the desorption time was investigated from 0.5 to 3 min. The results demonstrated that the highest peak areas were achieved at 2 min (Figure 4b). These experiments revealed that the optimum desorption condition was at 250°C for 2 min.

Influence of (a) desorption temperature and (b) desorption time, on extraction efficiencies of triadimenol and iprodione.

Chromatograms obtained from EM-SPME analysis of an irrigating water sample (a) before and (b) after spiking 20.0 ng mL−1 of triadimenol and iprodione.
4 Method validation
To evaluate the analytical performance of the method, figures of merit of the microextraction procedure were calculated for each analyte under the optimal conditions. For this purpose, the calibration curves were plotted for extracted analytes in aqueous sample solutions. Limits of detections (LODs) of the analytes were calculated by the extraction of the target analytes from aqueous samples at low concentration levels until distinguishable signals from the noise were obtained. Furthermore, extraction recovery (EE%) for each analyte was calculated according to the following equations:
where n i,a and n i,d are the number of moles of the analyte in acceptor and donor phases, C i,a and C i,d are the concentrations of the analyte in acceptor and donor phases, and V a and V d are the volumes of the donor and acceptor phases, respectively. It should be mentioned that C i,a can be obtained according to the peak area of the extracted analyte in the GC-MS system and the calibration curve obtained from direct injection of the analytes into the GC-MS instrument. Table 2 represents the obtained figures of merit for both analytes. According to this table, the calibration plots were linear in the range of 0.3–250.0 and 0.5–250.0 ng mL−1 (R 2 > 0.9973) for triadimenol and iprodione, respectively. The overall ER% of the analytes was 12.71 and 14.87% for triadimenol and iprodione, respectively. The relatively low values of the ER% for the analytes are due to the two cumulative extraction procedures, where the ER% of the EME procedure multiplied by the ER% of the SPME method. The precisions of the method were also calculated in terms of inter-assay and intra-assay relative standard deviations (%). According to the results, RSD% values lower than 9.71% show the proposed method brought about favorable repeatability and reproducibility.
Figures of merit of EM-SPME-GC-MS for triadimenol and iprodione in water samples
| Analyte | LODa (ng mL−1) | LOQb (ng mL−1) | Linearity (ng mL−1) | R 2 | ER%c | RSD%d (n = 5) | |
|---|---|---|---|---|---|---|---|
| Inter-assay | Intra-assay | ||||||
| Triadimenol | 0.100 | 0.300 | 0.300–250.0 | 0.9973 | 12.71 | 5.38 | 7.54 |
| Iprodione | 0.150 | 0.500 | 0.500–250.0 | 0.9984 | 14.87 | 9.71 | 6.11 |
aLimit of detection.
bLimit of quantification.
cExtraction recovery.
dRelative standard deviation.
To compare the analytical performance of the method with other extraction and microextraction methods, the results are listed in Table 3. As can be seen in this table, the obtained results are quite comparable with the previous works published in the literature. Along with the low values of LODs, the linear dynamic ranges are better in comparison with some of the previous studies. Therefore, MXene can be considered a novel coating material for SPME approaches.
Comparison of the analytical performance of EM-SPME-GC-MS method in determination of triadimenol and iprodione with other published studies (ng mL−1)
| Method | Matrix | Analyte | Analytical instrument | LOD | Linearity | RSD% | Ref. |
|---|---|---|---|---|---|---|---|
| LLE-GPCa | Fruits | Triadimenol iprodione | GC-ECDb | 5.0 | — | 12.4 | [30] |
| SPMEc | Water | Triadimenol iprodione | GC-ECD | 0.479 | 1–50 | 24.9 | [31] |
| SPEd | Vegetables | Triadimenol iprodione | GC-MS | 2.0 | — | 6.0 | [32] |
| DSLLMEe | Water | Triadimenol iprodione | HPLC-DADf | 0.08 | 0.5–200 | 5.7 | [33] |
| EM-SPME | Environmental waters | Triadimenol iprodione | GC-MS | 0.100 | 0.30–250 | 7.54 | This work |
| 0.150 | 0.15–250 | 9.71 |
aLiquid–liquid extraction (LLE) followed by gel-permeation chromatography (GPC).
bGC with electron capture detector (ECD).
cSolid-phase microextraction (SPME).
dSolid-phase extraction (SPE).
eDispersion-solidification liquid–liquid microextraction (DSLLME).
fHigh-performance liquid chromatography (HPLC) with a diode array detector (DAD).
4.1 Real sample analysis
To investigate the applicability of the method in real samples analysis, three different environmental samples comprising lake water, river water, and irrigating water were analyzed. Table 3 shows the obtained results of the quantitative analysis of the target analytes in such samples. The accuracy of the method in quantitative analysis of the desired analytes was tested by calculating the relative recoveries (RR%) for each analyte according to the following equation:
in which C found is the obtained concentration of the analyte with the addition of an exact amount of its standard solution in the real sample, C real is the initial concentration of the analyte in the sample solution, and C added is the amount of the analyte spiked into the real sample solution. According to the results shown in Table 4, the method had desirable accuracy as the RR% values were in the range of 87.31–102.7%. Figure 5 illustrates a chromatogram (a) before and (b) after spiking 20.0 ng mL−1 of both analytes into an irrigating water sample. According to what was mentioned, the method is applicable in quantitative analysis of the analytes in real samples containing a variety of contaminants. To evaluate the reusability of the coated fiber, the peak areas were investigated at different cycle times. After 80 times of use, no significant change was observed in the peak areas of target analytes, demonstrating the excellent reusability of the prepared coating fiber.
Quantitative analysis of triadimenol and iprodione in environmental water samples by EM-SPME-GC-MS technique
| Sample | Analyte | C real (ng mL−1) | C added (ng mL−1) | C found (ng mL−1) | RR%a | RSD% (n = 3) |
|---|---|---|---|---|---|---|
| Lake water | Triadimenol | n.d.b | 10.00 | 9.31 | 93.06 | 7.84 |
| 25.00 | 21.83 | 87.31 | 5.61 | |||
| Iprodione | n.d. | 10.00 | 9.74 | 97.44 | 8.12 | |
| 25.00 | 23.55 | 94.21 | 6.51 | |||
| River water | Triadimenol | <LOQ | 10.00 | 9.98 | 99.78 | 6.39 |
| 25.00 | 24.63 | 98.51 | 7.08 | |||
| Iprodione | n.d. | 10.00 | 8.99 | 89.94 | 7.19 | |
| 25.00 | 23.30 | 93.19 | 7.63 | |||
| Irrigating water | Triadimenol | 11.31 | 10.00 | 21.58 | 102.7 | 6.77 |
| 25.00 | 36.38 | 100.3 | 5.19 | |||
| Iprodione | n.d. | 10.00 | 9.92 | 99.18 | 6.71 | |
| 25.00 | 24.51 | 98.03 | 7.79 |
aRelative recovery.
bNot detected.
5 Conclusions
In this research, to the best of our knowledge, the newly arrived conductive nanolayers called MXene were utilized as a coating material for EM-SPME. The main aim of using electromembrane extraction prior to SPME was to achieve higher cleanup values since direct-immersion SPME usually lacks favorable cleanup in quantitative analysis of analytes in complex matrices. Thanks to the acceptable adhesion of MXene to the electrode as the substrate, the SPME fiber was directly injected into the GC-MS instrument for separation and quantification of the target analytes. These phenomena were proved according to the clean chromatograms obtained after each GC-MS analysis of real samples. Acceptable enrichment factors as well as favorable related standard deviations showed MXene material was quite capable to be used as a new conductive coating material in sorbent-based extraction techniques.
-
Funding information: The author gratefully acknowledges the financial support of the Research Center for Environmental Health Technology, Iran University of Medical Sciences, Tehran, Iran (Grant Number: 99-3-61-19482; Ethics Code: IR.IUMS.REC.1399.1335).
-
Author contributions: All authors have accepted responsibility for the entire content of this manuscript and approved its submission.
-
Conflict of interest: The authors state no conflict of interest.
References
[1] Scida K, Stege PW, Haby G, Messina GA, García CD. Recent applications of carbon-based nanomaterials in analytical chemistry: critical review. Anal Chim Acta. 2011;691:6–17.10.1016/j.aca.2011.02.025Search in Google Scholar PubMed PubMed Central
[2] Liu Q, Shi J, Jiang G. Application of graphene in analytical sample preparation. TrAC Trends Anal Chem. 2012;37:1–11.10.1016/j.trac.2012.03.011Search in Google Scholar
[3] Trojanowicz M. Analytical applications of carbon nanotubes: a review. TrAC Trends Anal Chem. 2006;25:480–9. 10.1016/j.trac.2005.11.008.Search in Google Scholar
[4] Bagheri H, Ayazi Z, Naderi M. Conductive polymer-based microextraction methods: a review. Anal Chim Acta. 2013;767:1–13.10.1016/j.aca.2012.12.013Search in Google Scholar PubMed
[5] Wang Y, Rui M, Lu G. Recent applications of metal–organic frameworks in sample pretreatment. J Sep Sci. 2018;41:180–94.10.1002/jssc.201700401Search in Google Scholar PubMed
[6] Lei J-C, Zhang X, Zhou Z. Recent advances in MXene: Preparation, properties, and applications. Front Phys. 2015;10:276–86.10.1007/s11467-015-0493-xSearch in Google Scholar
[7] Sinha A, Zhao H, Huang Y, Lu X, Chen J, Jain R. MXene: An emerging material for sensing and biosensing. TrAC Trends Anal Chem. 2018;105:424–35.10.1016/j.trac.2018.05.021Search in Google Scholar
[8] Xue Q, Zhang H, Zhu M, Pei Z, Li H, Wang Z, et al. Photoluminescent Ti3C2 MXene quantum dots for multicolor cellular imaging. Adv Mater. 2017;29:1604847.10.1002/adma.201604847Search in Google Scholar PubMed
[9] Collini P, Kota S, Dillon AD, Barsoum MW, Fafarman AT. Electrophoretic deposition of two-dimensional titanium carbide (MXene) thick films. J Electrochem Soc. 2017;164:D573–80.10.1149/2.0211709jesSearch in Google Scholar
[10] Seidi S, Yamini Y, Rezazadeh M. Electrochemically assisted solid based extraction techniques: a review. Talanta. 2015;132:339–53.10.1016/j.talanta.2014.08.059Search in Google Scholar PubMed
[11] Romero-González R, Martinez Vidal JL, Aguilera-Luiz MM, Garrido A. Frenich, Application of conventional solid-phase extraction for multimycotoxin analysis in beers by ultrahigh-performance liquid chromatography−tandem mass spectrometry. J Agric Food Chem. 2009;57:9385–92.10.1021/jf903154aSearch in Google Scholar PubMed
[12] Liu W, Wang J, Song S, Hao L, Liu J, An Y, et al. Facile synthesis of uniform spherical covalent organic frameworks for determination of neonicotinoid insecticides. Food Chem. 2022;367:130653.10.1016/j.foodchem.2021.130653Search in Google Scholar PubMed
[13] Wu Q, Song Y, Wang Q, Liu W, Hao L, Wang Z, et al. Combination of magnetic solid-phase extraction and HPLC-UV for simultaneous determination of four phthalate esters in plastic bottled juice. Food Chem. 2021;339:127855.10.1016/j.foodchem.2020.127855Search in Google Scholar PubMed
[14] Han L, Liu X, Zhang X, Li M, Qin P, Tian S, et al. Preparation of multivariate zirconia metal–organic frameworks for highly efficient adsorption of endocrine disrupting compounds. J Hazard Mater. 2022;424:127559.10.1016/j.jhazmat.2021.127559Search in Google Scholar PubMed
[15] Li W, Zhang J, Zhu W, Qin P, Zhou Q, Lu M, et al. Facile preparation of reduced graphene oxide/ZnFe2O4 nanocomposite as magnetic sorbents for enrichment of estrogens. Talanta. 2020;208:120440–8.10.1016/j.talanta.2019.120440Search in Google Scholar PubMed
[16] Qin P, Han L, Zhang X, Li M, Li D, Lu M, et al. MIL-101(Fe)-derived magnetic porous carbon as sorbent for stir bar sorptive-dispersive microextraction of sulfonamides. Microchim Acta. 2021;188:340.10.1007/s00604-021-04993-wSearch in Google Scholar PubMed
[17] Zhu W, Qin P, Han L, Zhang X, Li D, Li M, et al. Gas-cycle-assisted headspace solid-phase microextraction coupled with gas chromatography for rapid analysis of organic pollutants. Chem Commun. 2021;57:8810–3.10.1039/D1CC02771ASearch in Google Scholar PubMed
[18] Li J, Zhao B, Guo L, Wang Z, Wang C, Wang Z, et al. Synthesis of hypercrosslinked polymers for efficient solid-phase microextraction of polycyclic aromatic hydrocarbons and their derivatives followed by gas chromatography-mass spectrometry determination. J Chromatogr A. 2021;1653:462428–36.10.1016/j.chroma.2021.462428Search in Google Scholar PubMed
[19] Li J, Xiao Z, Wang W, Zhang S, Wu Q, Wang C, et al. Rational integration of porous organic polymer and multiwall carbon nanotube for the microextraction of polycyclic aromatic hydrocarbons. Microchim Acta. 2020;187:284–91.10.1007/s00604-020-04261-3Search in Google Scholar PubMed
[20] Zang X, Pang Y, Li H, Chang Q, Zhang S, Wang C, et al. Solid phase microextraction of polycyclic aromatic hydrocarbons from water samples by a fiber coated with covalent organic framework modified graphitic carbon nitride. J Chromatog A. 2020;1628:461428.10.1016/j.chroma.2020.461428Search in Google Scholar PubMed
[21] Xu M, Wang J, Zhang L, Wang Q, Liu W, An Y, et al. Construction of hydrophilic hypercrosslinked polymer based on natural kaempferol for highly effective extraction of 5-nitroimidazoles in environmental water, honey and fish samples. J Hazard Mater. 2022;429:128288.10.1016/j.jhazmat.2022.128288Search in Google Scholar PubMed
[22] Bruheim I, Liu X, Pawliszyn J. Thin-film microextraction. Anal Chem. 2003;75:1002–10.10.1021/ac026162qSearch in Google Scholar PubMed
[23] Seidi S, Tajik M, Baharfar M, Rezazadeh M. Micro solid-phase extraction (pipette tip and spin column) and thin film solid-phase microextraction: Miniaturized concepts for chromatographic analysis. TrAC Trends Anal Chem. 2019;118:810–27.10.1016/j.trac.2019.06.036Search in Google Scholar
[24] Zhang Z, Pawliszyn J. Headspace solid-phase microextraction. Anal Chem. 1993;65:1843–52.10.1021/ac00062a008Search in Google Scholar
[25] Rezazadeh M, Yamini Y, Seidi S, Ebrahimpour B. Electromembrane surrounded solid phase microextraction: a novel approach for efficient extraction from complicated matrices. J Chromatogr A. 2013;1280:16–22.10.1016/j.chroma.2013.01.034Search in Google Scholar PubMed
[26] Abedi H, Ebrahimzadeh H. Electromembrane‐surrounded solid‐phase microextraction coupled to ion mobility spectrometry for the determination of nonsteroidal anti‐inflammatory drugs: a rapid screening method in complicated matrices. J Sep Sci. 2015;38:1358–64.10.1002/jssc.201401350Search in Google Scholar
[27] Shamsayei M, Yamini Y, Rezazadeh M, Asiabi H, Seidi S. Self-assembled benzyl mercaptan monolayer as a coating in electromembrane surrounded solid-phase microextraction of antihistamines in urine and plasma samples. N J Chem. 2016;40:5268–76.10.1039/C5NJ03334ASearch in Google Scholar
[28] Mohammadkhani E, Yamini Y, Rezazadeh M, Seidi S. Electromembrane surrounded solid phase microextraction using electrochemically synthesized nanostructured polypyrrole fiber. J Chromatogr A. 2016;1443:75–82.10.1016/j.chroma.2016.03.067Search in Google Scholar
[29] Matisová E, Kakalíková L, Leško J, de Zeeuw J. Application of porous carbon for solid-phase extraction of dicarboxyimide fungicide residues from wines in combination with high-resolution capillary gas chromatography and gas chromatography-mass spectrometry. J Chromatogr A. 1996;754:445–54.10.1016/S0021-9673(96)00326-3Search in Google Scholar
[30] Sannino A, Bandini M, Bolzoni L. Multiresidue determination of 19 fungicides in processed fruits and vegetables by capillary gas chromatography after gel permeation chromatography. J-AOAC Int. 1999;82:1229–38.10.1093/jaoac/82.5.1229Search in Google Scholar
[31] Sampedro MC, Martın O, De Armentia CL, Goicolea MA, Rodrıguez E, De Balugera ZG, et al. Solid-phase microextraction for the determination of systemic and non-volatile pesticides in river water using gas chromatography with nitrogen–phosphorous and electron-capture detection. J Chromatogr A. 2000;893:347–58.10.1016/S0021-9673(00)00746-9Search in Google Scholar
[32] González-Rodríguez RM, Rial-Otero R, Cancho-Grande B, Simal-Gándara J. Determination of 23 pesticide residues in leafy vegetables using gas chromatography–ion trap mass spectrometry and analyte protectants. J Chromatogr A. 2008;1196:100–9.10.1016/j.chroma.2008.02.087Search in Google Scholar PubMed
[33] Wang C, Wu Q, Wu C, Wang Z. Application of dispersion–solidification liquid–liquid microextraction for the determination of triazole fungicides in environmental water samples by high-performance liquid chromatography. J Hazard Mater. 2011;185:71–6.10.1016/j.jhazmat.2010.08.124Search in Google Scholar PubMed
© 2022 Ali Esrafili et al., published by De Gruyter
This work is licensed under the Creative Commons Attribution 4.0 International License.
Articles in the same Issue
- Research Articles
- Theoretical and experimental investigation of MWCNT dispersion effect on the elastic modulus of flexible PDMS/MWCNT nanocomposites
- Mechanical, morphological, and fracture-deformation behavior of MWCNTs-reinforced (Al–Cu–Mg–T351) alloy cast nanocomposites fabricated by optimized mechanical milling and powder metallurgy techniques
- Flammability and physical stability of sugar palm crystalline nanocellulose reinforced thermoplastic sugar palm starch/poly(lactic acid) blend bionanocomposites
- Glutathione-loaded non-ionic surfactant niosomes: A new approach to improve oral bioavailability and hepatoprotective efficacy of glutathione
- Relationship between mechano-bactericidal activity and nanoblades density on chemically strengthened glass
- In situ regulation of microstructure and microwave-absorbing properties of FeSiAl through HNO3 oxidation
- Research on a mechanical model of magnetorheological fluid different diameter particles
- Nanomechanical and dynamic mechanical properties of rubber–wood–plastic composites
- Investigative properties of CeO2 doped with niobium: A combined characterization and DFT studies
- Miniaturized peptidomimetics and nano-vesiculation in endothelin types through probable nano-disk formation and structure property relationships of endothelins’ fragments
- N/S co-doped CoSe/C nanocubes as anode materials for Li-ion batteries
- Synergistic effects of halloysite nanotubes with metal and phosphorus additives on the optimal design of eco-friendly sandwich panels with maximum flame resistance and minimum weight
- Octreotide-conjugated silver nanoparticles for active targeting of somatostatin receptors and their application in a nebulized rat model
- Controllable morphology of Bi2S3 nanostructures formed via hydrothermal vulcanization of Bi2O3 thin-film layer and their photoelectrocatalytic performances
- Development of (−)-epigallocatechin-3-gallate-loaded folate receptor-targeted nanoparticles for prostate cancer treatment
- Enhancement of the mechanical properties of HDPE mineral nanocomposites by filler particles modulation of the matrix plastic/elastic behavior
- Effect of plasticizers on the properties of sugar palm nanocellulose/cinnamon essential oil reinforced starch bionanocomposite films
- Optimization of nano coating to reduce the thermal deformation of ball screws
- Preparation of efficient piezoelectric PVDF–HFP/Ni composite films by high electric field poling
- MHD dissipative Casson nanofluid liquid film flow due to an unsteady stretching sheet with radiation influence and slip velocity phenomenon
- Effects of nano-SiO2 modification on rubberised mortar and concrete with recycled coarse aggregates
- Mechanical and microscopic properties of fiber-reinforced coal gangue-based geopolymer concrete
- Effect of morphology and size on the thermodynamic stability of cerium oxide nanoparticles: Experiment and molecular dynamics calculation
- Mechanical performance of a CFRP composite reinforced via gelatin-CNTs: A study on fiber interfacial enhancement and matrix enhancement
- A practical review over surface modification, nanopatterns, emerging materials, drug delivery systems, and their biophysiochemical properties for dental implants: Recent progresses and advances
- HTR: An ultra-high speed algorithm for cage recognition of clathrate hydrates
- Effects of microalloying elements added by in situ synthesis on the microstructure of WCu composites
- A highly sensitive nanobiosensor based on aptamer-conjugated graphene-decorated rhodium nanoparticles for detection of HER2-positive circulating tumor cells
- Progressive collapse performance of shear strengthened RC frames by nano CFRP
- Core–shell heterostructured composites of carbon nanotubes and imine-linked hyperbranched polymers as metal-free Li-ion anodes
- A Galerkin strategy for tri-hybridized mixture in ethylene glycol comprising variable diffusion and thermal conductivity using non-Fourier’s theory
- Simple models for tensile modulus of shape memory polymer nanocomposites at ambient temperature
- Preparation and morphological studies of tin sulfide nanoparticles and use as efficient photocatalysts for the degradation of rhodamine B and phenol
- Polyethyleneimine-impregnated activated carbon nanofiber composited graphene-derived rice husk char for efficient post-combustion CO2 capture
- Electrospun nanofibers of Co3O4 nanocrystals encapsulated in cyclized-polyacrylonitrile for lithium storage
- Pitting corrosion induced on high-strength high carbon steel wire in high alkaline deaerated chloride electrolyte
- Formulation of polymeric nanoparticles loaded sorafenib; evaluation of cytotoxicity, molecular evaluation, and gene expression studies in lung and breast cancer cell lines
- Engineered nanocomposites in asphalt binders
- Influence of loading voltage, domain ratio, and additional load on the actuation of dielectric elastomer
- Thermally induced hex-graphene transitions in 2D carbon crystals
- The surface modification effect on the interfacial properties of glass fiber-reinforced epoxy: A molecular dynamics study
- Molecular dynamics study of deformation mechanism of interfacial microzone of Cu/Al2Cu/Al composites under tension
- Nanocolloid simulators of luminescent solar concentrator photovoltaic windows
- Compressive strength and anti-chloride ion penetration assessment of geopolymer mortar merging PVA fiber and nano-SiO2 using RBF–BP composite neural network
- Effect of 3-mercapto-1-propane sulfonate sulfonic acid and polyvinylpyrrolidone on the growth of cobalt pillar by electrodeposition
- Dynamics of convective slippery constraints on hybrid radiative Sutterby nanofluid flow by Galerkin finite element simulation
- Preparation of vanadium by the magnesiothermic self-propagating reduction and process control
- Microstructure-dependent photoelectrocatalytic activity of heterogeneous ZnO–ZnS nanosheets
- Cytotoxic and pro-inflammatory effects of molybdenum and tungsten disulphide on human bronchial cells
- Improving recycled aggregate concrete by compression casting and nano-silica
- Chemically reactive Maxwell nanoliquid flow by a stretching surface in the frames of Newtonian heating, nonlinear convection and radiative flux: Nanopolymer flow processing simulation
- Nonlinear dynamic and crack behaviors of carbon nanotubes-reinforced composites with various geometries
- Biosynthesis of copper oxide nanoparticles and its therapeutic efficacy against colon cancer
- Synthesis and characterization of smart stimuli-responsive herbal drug-encapsulated nanoniosome particles for efficient treatment of breast cancer
- Homotopic simulation for heat transport phenomenon of the Burgers nanofluids flow over a stretching cylinder with thermal convective and zero mass flux conditions
- Incorporation of copper and strontium ions in TiO2 nanotubes via dopamine to enhance hemocompatibility and cytocompatibility
- Mechanical, thermal, and barrier properties of starch films incorporated with chitosan nanoparticles
- Mechanical properties and microstructure of nano-strengthened recycled aggregate concrete
- Glucose-responsive nanogels efficiently maintain the stability and activity of therapeutic enzymes
- Tunning matrix rheology and mechanical performance of ultra-high performance concrete using cellulose nanofibers
- Flexible MXene/copper/cellulose nanofiber heat spreader films with enhanced thermal conductivity
- Promoted charge separation and specific surface area via interlacing of N-doped titanium dioxide nanotubes on carbon nitride nanosheets for photocatalytic degradation of Rhodamine B
- Elucidating the role of silicon dioxide and titanium dioxide nanoparticles in mitigating the disease of the eggplant caused by Phomopsis vexans, Ralstonia solanacearum, and root-knot nematode Meloidogyne incognita
- An implication of magnetic dipole in Carreau Yasuda liquid influenced by engine oil using ternary hybrid nanomaterial
- Robust synthesis of a composite phase of copper vanadium oxide with enhanced performance for durable aqueous Zn-ion batteries
- Tunning self-assembled phases of bovine serum albumin via hydrothermal process to synthesize novel functional hydrogel for skin protection against UVB
- A comparative experimental study on damping properties of epoxy nanocomposite beams reinforced with carbon nanotubes and graphene nanoplatelets
- Lightweight and hydrophobic Ni/GO/PVA composite aerogels for ultrahigh performance electromagnetic interference shielding
- Research on the auxetic behavior and mechanical properties of periodically rotating graphene nanostructures
- Repairing performances of novel cement mortar modified with graphene oxide and polyacrylate polymer
- Closed-loop recycling and fabrication of hydrophilic CNT films with high performance
- Design of thin-film configuration of SnO2–Ag2O composites for NO2 gas-sensing applications
- Study on stress distribution of SiC/Al composites based on microstructure models with microns and nanoparticles
- PVDF green nanofibers as potential carriers for improving self-healing and mechanical properties of carbon fiber/epoxy prepregs
- Osteogenesis capability of three-dimensionally printed poly(lactic acid)-halloysite nanotube scaffolds containing strontium ranelate
- Silver nanoparticles induce mitochondria-dependent apoptosis and late non-canonical autophagy in HT-29 colon cancer cells
- Preparation and bonding mechanisms of polymer/metal hybrid composite by nano molding technology
- Damage self-sensing and strain monitoring of glass-reinforced epoxy composite impregnated with graphene nanoplatelet and multiwalled carbon nanotubes
- Thermal analysis characterisation of solar-powered ship using Oldroyd hybrid nanofluids in parabolic trough solar collector: An optimal thermal application
- Pyrene-functionalized halloysite nanotubes for simultaneously detecting and separating Hg(ii) in aqueous media: A comprehensive comparison on interparticle and intraparticle excimers
- Fabrication of self-assembly CNT flexible film and its piezoresistive sensing behaviors
- Thermal valuation and entropy inspection of second-grade nanoscale fluid flow over a stretching surface by applying Koo–Kleinstreuer–Li relation
- Mechanical properties and microstructure of nano-SiO2 and basalt-fiber-reinforced recycled aggregate concrete
- Characterization and tribology performance of polyaniline-coated nanodiamond lubricant additives
- Combined impact of Marangoni convection and thermophoretic particle deposition on chemically reactive transport of nanofluid flow over a stretching surface
- Spark plasma extrusion of binder free hydroxyapatite powder
- An investigation on thermo-mechanical performance of graphene-oxide-reinforced shape memory polymer
- Effect of nanoadditives on the novel leather fiber/recycled poly(ethylene-vinyl-acetate) polymer composites for multifunctional applications: Fabrication, characterizations, and multiobjective optimization using central composite design
- Design selection for a hemispherical dimple core sandwich panel using hybrid multi-criteria decision-making methods
- Improving tensile strength and impact toughness of plasticized poly(lactic acid) biocomposites by incorporating nanofibrillated cellulose
- Green synthesis of spinel copper ferrite (CuFe2O4) nanoparticles and their toxicity
- The effect of TaC and NbC hybrid and mono-nanoparticles on AA2024 nanocomposites: Microstructure, strengthening, and artificial aging
- Excited-state geometry relaxation of pyrene-modified cellulose nanocrystals under UV-light excitation for detecting Fe3+
- Effect of CNTs and MEA on the creep of face-slab concrete at an early age
- Effect of deformation conditions on compression phase transformation of AZ31
- Application of MXene as a new generation of highly conductive coating materials for electromembrane-surrounded solid-phase microextraction
- A comparative study of the elasto-plastic properties for ceramic nanocomposites filled by graphene or graphene oxide nanoplates
- Encapsulation strategies for improving the biological behavior of CdS@ZIF-8 nanocomposites
- Biosynthesis of ZnO NPs from pumpkin seeds’ extract and elucidation of its anticancer potential against breast cancer
- Preliminary trials of the gold nanoparticles conjugated chrysin: An assessment of anti-oxidant, anti-microbial, and in vitro cytotoxic activities of a nanoformulated flavonoid
- Effect of micron-scale pores increased by nano-SiO2 sol modification on the strength of cement mortar
- Fractional simulations for thermal flow of hybrid nanofluid with aluminum oxide and titanium oxide nanoparticles with water and blood base fluids
- The effect of graphene nano-powder on the viscosity of water: An experimental study and artificial neural network modeling
- Development of a novel heat- and shear-resistant nano-silica gelling agent
- Characterization, biocompatibility and in vivo of nominal MnO2-containing wollastonite glass-ceramic
- Entropy production simulation of second-grade magnetic nanomaterials flowing across an expanding surface with viscidness dissipative flux
- Enhancement in structural, morphological, and optical properties of copper oxide for optoelectronic device applications
- Aptamer-functionalized chitosan-coated gold nanoparticle complex as a suitable targeted drug carrier for improved breast cancer treatment
- Performance and overall evaluation of nano-alumina-modified asphalt mixture
- Analysis of pure nanofluid (GO/engine oil) and hybrid nanofluid (GO–Fe3O4/engine oil): Novel thermal and magnetic features
- Synthesis of Ag@AgCl modified anatase/rutile/brookite mixed phase TiO2 and their photocatalytic property
- Mechanisms and influential variables on the abrasion resistance hydraulic concrete
- Synergistic reinforcement mechanism of basalt fiber/cellulose nanocrystals/polypropylene composites
- Achieving excellent oxidation resistance and mechanical properties of TiB2–B4C/carbon aerogel composites by quick-gelation and mechanical mixing
- Microwave-assisted sol–gel template-free synthesis and characterization of silica nanoparticles obtained from South African coal fly ash
- Pulsed laser-assisted synthesis of nano nickel(ii) oxide-anchored graphitic carbon nitride: Characterizations and their potential antibacterial/anti-biofilm applications
- Effects of nano-ZrSi2 on thermal stability of phenolic resin and thermal reusability of quartz–phenolic composites
- Benzaldehyde derivatives on tin electroplating as corrosion resistance for fabricating copper circuit
- Mechanical and heat transfer properties of 4D-printed shape memory graphene oxide/epoxy acrylate composites
- Coupling the vanadium-induced amorphous/crystalline NiFe2O4 with phosphide heterojunction toward active oxygen evolution reaction catalysts
- Graphene-oxide-reinforced cement composites mechanical and microstructural characteristics at elevated temperatures
- Gray correlation analysis of factors influencing compressive strength and durability of nano-SiO2 and PVA fiber reinforced geopolymer mortar
- Preparation of layered gradient Cu–Cr–Ti alloy with excellent mechanical properties, thermal stability, and electrical conductivity
- Recovery of Cr from chrome-containing leather wastes to develop aluminum-based composite material along with Al2O3 ceramic particles: An ingenious approach
- Mechanisms of the improved stiffness of flexible polymers under impact loading
- Anticancer potential of gold nanoparticles (AuNPs) using a battery of in vitro tests
- Review Articles
- Proposed approaches for coronaviruses elimination from wastewater: Membrane techniques and nanotechnology solutions
- Application of Pickering emulsion in oil drilling and production
- The contribution of microfluidics to the fight against tuberculosis
- Graphene-based biosensors for disease theranostics: Development, applications, and recent advancements
- Synthesis and encapsulation of iron oxide nanorods for application in magnetic hyperthermia and photothermal therapy
- Contemporary nano-architectured drugs and leads for ανβ3 integrin-based chemotherapy: Rationale and retrospect
- State-of-the-art review of fabrication, application, and mechanical properties of functionally graded porous nanocomposite materials
- Insights on magnetic spinel ferrites for targeted drug delivery and hyperthermia applications
- A review on heterogeneous oxidation of acetaminophen based on micro and nanoparticles catalyzed by different activators
- Early diagnosis of lung cancer using magnetic nanoparticles-integrated systems
- Advances in ZnO: Manipulation of defects for enhancing their technological potentials
- Efficacious nanomedicine track toward combating COVID-19
- A review of the design, processes, and properties of Mg-based composites
- Green synthesis of nanoparticles for varied applications: Green renewable resources and energy-efficient synthetic routes
- Two-dimensional nanomaterial-based polymer composites: Fundamentals and applications
- Recent progress and challenges in plasmonic nanomaterials
- Apoptotic cell-derived micro/nanosized extracellular vesicles in tissue regeneration
- Electronic noses based on metal oxide nanowires: A review
- Framework materials for supercapacitors
- An overview on the reproductive toxicity of graphene derivatives: Highlighting the importance
- Antibacterial nanomaterials: Upcoming hope to overcome antibiotic resistance crisis
- Research progress of carbon materials in the field of three-dimensional printing polymer nanocomposites
- A review of atomic layer deposition modelling and simulation methodologies: Density functional theory and molecular dynamics
- Recent advances in the preparation of PVDF-based piezoelectric materials
- Recent developments in tensile properties of friction welding of carbon fiber-reinforced composite: A review
- Comprehensive review of the properties of fly ash-based geopolymer with additive of nano-SiO2
- Perspectives in biopolymer/graphene-based composite application: Advances, challenges, and recommendations
- Graphene-based nanocomposite using new modeling molecular dynamic simulations for proposed neutralizing mechanism and real-time sensing of COVID-19
- Nanotechnology application on bamboo materials: A review
- Recent developments and future perspectives of biorenewable nanocomposites for advanced applications
- Nanostructured lipid carrier system: A compendium of their formulation development approaches, optimization strategies by quality by design, and recent applications in drug delivery
- 3D printing customized design of human bone tissue implant and its application
- Design, preparation, and functionalization of nanobiomaterials for enhanced efficacy in current and future biomedical applications
- A brief review of nanoparticles-doped PEDOT:PSS nanocomposite for OLED and OPV
- Nanotechnology interventions as a putative tool for the treatment of dental afflictions
- Recent advancements in metal–organic frameworks integrating quantum dots (QDs@MOF) and their potential applications
- A focused review of short electrospun nanofiber preparation techniques for composite reinforcement
- Microstructural characteristics and nano-modification of interfacial transition zone in concrete: A review
- Latest developments in the upconversion nanotechnology for the rapid detection of food safety: A review
- Strategic applications of nano-fertilizers for sustainable agriculture: Benefits and bottlenecks
- Molecular dynamics application of cocrystal energetic materials: A review
- Synthesis and application of nanometer hydroxyapatite in biomedicine
- Cutting-edge development in waste-recycled nanomaterials for energy storage and conversion applications
- Biological applications of ternary quantum dots: A review
- Nanotherapeutics for hydrogen sulfide-involved treatment: An emerging approach for cancer therapy
- Application of antibacterial nanoparticles in orthodontic materials
- Effect of natural-based biological hydrogels combined with growth factors on skin wound healing
- Nanozymes – A route to overcome microbial resistance: A viewpoint
- Recent developments and applications of smart nanoparticles in biomedicine
- Contemporary review on carbon nanotube (CNT) composites and their impact on multifarious applications
- Interfacial interactions and reinforcing mechanisms of cellulose and chitin nanomaterials and starch derivatives for cement and concrete strength and durability enhancement: A review
- Diamond-like carbon films for tribological modification of rubber
- Layered double hydroxides (LDHs) modified cement-based materials: A systematic review
- Recent research progress and advanced applications of silica/polymer nanocomposites
- Modeling of supramolecular biopolymers: Leading the in silico revolution of tissue engineering and nanomedicine
- Recent advances in perovskites-based optoelectronics
- Biogenic synthesis of palladium nanoparticles: New production methods and applications
- A comprehensive review of nanofluids with fractional derivatives: Modeling and application
- Electrospinning of marine polysaccharides: Processing and chemical aspects, challenges, and future prospects
- Electrohydrodynamic printing for demanding devices: A review of processing and applications
- Rapid Communications
- Structural material with designed thermal twist for a simple actuation
- Recent advances in photothermal materials for solar-driven crude oil adsorption
Articles in the same Issue
- Research Articles
- Theoretical and experimental investigation of MWCNT dispersion effect on the elastic modulus of flexible PDMS/MWCNT nanocomposites
- Mechanical, morphological, and fracture-deformation behavior of MWCNTs-reinforced (Al–Cu–Mg–T351) alloy cast nanocomposites fabricated by optimized mechanical milling and powder metallurgy techniques
- Flammability and physical stability of sugar palm crystalline nanocellulose reinforced thermoplastic sugar palm starch/poly(lactic acid) blend bionanocomposites
- Glutathione-loaded non-ionic surfactant niosomes: A new approach to improve oral bioavailability and hepatoprotective efficacy of glutathione
- Relationship between mechano-bactericidal activity and nanoblades density on chemically strengthened glass
- In situ regulation of microstructure and microwave-absorbing properties of FeSiAl through HNO3 oxidation
- Research on a mechanical model of magnetorheological fluid different diameter particles
- Nanomechanical and dynamic mechanical properties of rubber–wood–plastic composites
- Investigative properties of CeO2 doped with niobium: A combined characterization and DFT studies
- Miniaturized peptidomimetics and nano-vesiculation in endothelin types through probable nano-disk formation and structure property relationships of endothelins’ fragments
- N/S co-doped CoSe/C nanocubes as anode materials for Li-ion batteries
- Synergistic effects of halloysite nanotubes with metal and phosphorus additives on the optimal design of eco-friendly sandwich panels with maximum flame resistance and minimum weight
- Octreotide-conjugated silver nanoparticles for active targeting of somatostatin receptors and their application in a nebulized rat model
- Controllable morphology of Bi2S3 nanostructures formed via hydrothermal vulcanization of Bi2O3 thin-film layer and their photoelectrocatalytic performances
- Development of (−)-epigallocatechin-3-gallate-loaded folate receptor-targeted nanoparticles for prostate cancer treatment
- Enhancement of the mechanical properties of HDPE mineral nanocomposites by filler particles modulation of the matrix plastic/elastic behavior
- Effect of plasticizers on the properties of sugar palm nanocellulose/cinnamon essential oil reinforced starch bionanocomposite films
- Optimization of nano coating to reduce the thermal deformation of ball screws
- Preparation of efficient piezoelectric PVDF–HFP/Ni composite films by high electric field poling
- MHD dissipative Casson nanofluid liquid film flow due to an unsteady stretching sheet with radiation influence and slip velocity phenomenon
- Effects of nano-SiO2 modification on rubberised mortar and concrete with recycled coarse aggregates
- Mechanical and microscopic properties of fiber-reinforced coal gangue-based geopolymer concrete
- Effect of morphology and size on the thermodynamic stability of cerium oxide nanoparticles: Experiment and molecular dynamics calculation
- Mechanical performance of a CFRP composite reinforced via gelatin-CNTs: A study on fiber interfacial enhancement and matrix enhancement
- A practical review over surface modification, nanopatterns, emerging materials, drug delivery systems, and their biophysiochemical properties for dental implants: Recent progresses and advances
- HTR: An ultra-high speed algorithm for cage recognition of clathrate hydrates
- Effects of microalloying elements added by in situ synthesis on the microstructure of WCu composites
- A highly sensitive nanobiosensor based on aptamer-conjugated graphene-decorated rhodium nanoparticles for detection of HER2-positive circulating tumor cells
- Progressive collapse performance of shear strengthened RC frames by nano CFRP
- Core–shell heterostructured composites of carbon nanotubes and imine-linked hyperbranched polymers as metal-free Li-ion anodes
- A Galerkin strategy for tri-hybridized mixture in ethylene glycol comprising variable diffusion and thermal conductivity using non-Fourier’s theory
- Simple models for tensile modulus of shape memory polymer nanocomposites at ambient temperature
- Preparation and morphological studies of tin sulfide nanoparticles and use as efficient photocatalysts for the degradation of rhodamine B and phenol
- Polyethyleneimine-impregnated activated carbon nanofiber composited graphene-derived rice husk char for efficient post-combustion CO2 capture
- Electrospun nanofibers of Co3O4 nanocrystals encapsulated in cyclized-polyacrylonitrile for lithium storage
- Pitting corrosion induced on high-strength high carbon steel wire in high alkaline deaerated chloride electrolyte
- Formulation of polymeric nanoparticles loaded sorafenib; evaluation of cytotoxicity, molecular evaluation, and gene expression studies in lung and breast cancer cell lines
- Engineered nanocomposites in asphalt binders
- Influence of loading voltage, domain ratio, and additional load on the actuation of dielectric elastomer
- Thermally induced hex-graphene transitions in 2D carbon crystals
- The surface modification effect on the interfacial properties of glass fiber-reinforced epoxy: A molecular dynamics study
- Molecular dynamics study of deformation mechanism of interfacial microzone of Cu/Al2Cu/Al composites under tension
- Nanocolloid simulators of luminescent solar concentrator photovoltaic windows
- Compressive strength and anti-chloride ion penetration assessment of geopolymer mortar merging PVA fiber and nano-SiO2 using RBF–BP composite neural network
- Effect of 3-mercapto-1-propane sulfonate sulfonic acid and polyvinylpyrrolidone on the growth of cobalt pillar by electrodeposition
- Dynamics of convective slippery constraints on hybrid radiative Sutterby nanofluid flow by Galerkin finite element simulation
- Preparation of vanadium by the magnesiothermic self-propagating reduction and process control
- Microstructure-dependent photoelectrocatalytic activity of heterogeneous ZnO–ZnS nanosheets
- Cytotoxic and pro-inflammatory effects of molybdenum and tungsten disulphide on human bronchial cells
- Improving recycled aggregate concrete by compression casting and nano-silica
- Chemically reactive Maxwell nanoliquid flow by a stretching surface in the frames of Newtonian heating, nonlinear convection and radiative flux: Nanopolymer flow processing simulation
- Nonlinear dynamic and crack behaviors of carbon nanotubes-reinforced composites with various geometries
- Biosynthesis of copper oxide nanoparticles and its therapeutic efficacy against colon cancer
- Synthesis and characterization of smart stimuli-responsive herbal drug-encapsulated nanoniosome particles for efficient treatment of breast cancer
- Homotopic simulation for heat transport phenomenon of the Burgers nanofluids flow over a stretching cylinder with thermal convective and zero mass flux conditions
- Incorporation of copper and strontium ions in TiO2 nanotubes via dopamine to enhance hemocompatibility and cytocompatibility
- Mechanical, thermal, and barrier properties of starch films incorporated with chitosan nanoparticles
- Mechanical properties and microstructure of nano-strengthened recycled aggregate concrete
- Glucose-responsive nanogels efficiently maintain the stability and activity of therapeutic enzymes
- Tunning matrix rheology and mechanical performance of ultra-high performance concrete using cellulose nanofibers
- Flexible MXene/copper/cellulose nanofiber heat spreader films with enhanced thermal conductivity
- Promoted charge separation and specific surface area via interlacing of N-doped titanium dioxide nanotubes on carbon nitride nanosheets for photocatalytic degradation of Rhodamine B
- Elucidating the role of silicon dioxide and titanium dioxide nanoparticles in mitigating the disease of the eggplant caused by Phomopsis vexans, Ralstonia solanacearum, and root-knot nematode Meloidogyne incognita
- An implication of magnetic dipole in Carreau Yasuda liquid influenced by engine oil using ternary hybrid nanomaterial
- Robust synthesis of a composite phase of copper vanadium oxide with enhanced performance for durable aqueous Zn-ion batteries
- Tunning self-assembled phases of bovine serum albumin via hydrothermal process to synthesize novel functional hydrogel for skin protection against UVB
- A comparative experimental study on damping properties of epoxy nanocomposite beams reinforced with carbon nanotubes and graphene nanoplatelets
- Lightweight and hydrophobic Ni/GO/PVA composite aerogels for ultrahigh performance electromagnetic interference shielding
- Research on the auxetic behavior and mechanical properties of periodically rotating graphene nanostructures
- Repairing performances of novel cement mortar modified with graphene oxide and polyacrylate polymer
- Closed-loop recycling and fabrication of hydrophilic CNT films with high performance
- Design of thin-film configuration of SnO2–Ag2O composites for NO2 gas-sensing applications
- Study on stress distribution of SiC/Al composites based on microstructure models with microns and nanoparticles
- PVDF green nanofibers as potential carriers for improving self-healing and mechanical properties of carbon fiber/epoxy prepregs
- Osteogenesis capability of three-dimensionally printed poly(lactic acid)-halloysite nanotube scaffolds containing strontium ranelate
- Silver nanoparticles induce mitochondria-dependent apoptosis and late non-canonical autophagy in HT-29 colon cancer cells
- Preparation and bonding mechanisms of polymer/metal hybrid composite by nano molding technology
- Damage self-sensing and strain monitoring of glass-reinforced epoxy composite impregnated with graphene nanoplatelet and multiwalled carbon nanotubes
- Thermal analysis characterisation of solar-powered ship using Oldroyd hybrid nanofluids in parabolic trough solar collector: An optimal thermal application
- Pyrene-functionalized halloysite nanotubes for simultaneously detecting and separating Hg(ii) in aqueous media: A comprehensive comparison on interparticle and intraparticle excimers
- Fabrication of self-assembly CNT flexible film and its piezoresistive sensing behaviors
- Thermal valuation and entropy inspection of second-grade nanoscale fluid flow over a stretching surface by applying Koo–Kleinstreuer–Li relation
- Mechanical properties and microstructure of nano-SiO2 and basalt-fiber-reinforced recycled aggregate concrete
- Characterization and tribology performance of polyaniline-coated nanodiamond lubricant additives
- Combined impact of Marangoni convection and thermophoretic particle deposition on chemically reactive transport of nanofluid flow over a stretching surface
- Spark plasma extrusion of binder free hydroxyapatite powder
- An investigation on thermo-mechanical performance of graphene-oxide-reinforced shape memory polymer
- Effect of nanoadditives on the novel leather fiber/recycled poly(ethylene-vinyl-acetate) polymer composites for multifunctional applications: Fabrication, characterizations, and multiobjective optimization using central composite design
- Design selection for a hemispherical dimple core sandwich panel using hybrid multi-criteria decision-making methods
- Improving tensile strength and impact toughness of plasticized poly(lactic acid) biocomposites by incorporating nanofibrillated cellulose
- Green synthesis of spinel copper ferrite (CuFe2O4) nanoparticles and their toxicity
- The effect of TaC and NbC hybrid and mono-nanoparticles on AA2024 nanocomposites: Microstructure, strengthening, and artificial aging
- Excited-state geometry relaxation of pyrene-modified cellulose nanocrystals under UV-light excitation for detecting Fe3+
- Effect of CNTs and MEA on the creep of face-slab concrete at an early age
- Effect of deformation conditions on compression phase transformation of AZ31
- Application of MXene as a new generation of highly conductive coating materials for electromembrane-surrounded solid-phase microextraction
- A comparative study of the elasto-plastic properties for ceramic nanocomposites filled by graphene or graphene oxide nanoplates
- Encapsulation strategies for improving the biological behavior of CdS@ZIF-8 nanocomposites
- Biosynthesis of ZnO NPs from pumpkin seeds’ extract and elucidation of its anticancer potential against breast cancer
- Preliminary trials of the gold nanoparticles conjugated chrysin: An assessment of anti-oxidant, anti-microbial, and in vitro cytotoxic activities of a nanoformulated flavonoid
- Effect of micron-scale pores increased by nano-SiO2 sol modification on the strength of cement mortar
- Fractional simulations for thermal flow of hybrid nanofluid with aluminum oxide and titanium oxide nanoparticles with water and blood base fluids
- The effect of graphene nano-powder on the viscosity of water: An experimental study and artificial neural network modeling
- Development of a novel heat- and shear-resistant nano-silica gelling agent
- Characterization, biocompatibility and in vivo of nominal MnO2-containing wollastonite glass-ceramic
- Entropy production simulation of second-grade magnetic nanomaterials flowing across an expanding surface with viscidness dissipative flux
- Enhancement in structural, morphological, and optical properties of copper oxide for optoelectronic device applications
- Aptamer-functionalized chitosan-coated gold nanoparticle complex as a suitable targeted drug carrier for improved breast cancer treatment
- Performance and overall evaluation of nano-alumina-modified asphalt mixture
- Analysis of pure nanofluid (GO/engine oil) and hybrid nanofluid (GO–Fe3O4/engine oil): Novel thermal and magnetic features
- Synthesis of Ag@AgCl modified anatase/rutile/brookite mixed phase TiO2 and their photocatalytic property
- Mechanisms and influential variables on the abrasion resistance hydraulic concrete
- Synergistic reinforcement mechanism of basalt fiber/cellulose nanocrystals/polypropylene composites
- Achieving excellent oxidation resistance and mechanical properties of TiB2–B4C/carbon aerogel composites by quick-gelation and mechanical mixing
- Microwave-assisted sol–gel template-free synthesis and characterization of silica nanoparticles obtained from South African coal fly ash
- Pulsed laser-assisted synthesis of nano nickel(ii) oxide-anchored graphitic carbon nitride: Characterizations and their potential antibacterial/anti-biofilm applications
- Effects of nano-ZrSi2 on thermal stability of phenolic resin and thermal reusability of quartz–phenolic composites
- Benzaldehyde derivatives on tin electroplating as corrosion resistance for fabricating copper circuit
- Mechanical and heat transfer properties of 4D-printed shape memory graphene oxide/epoxy acrylate composites
- Coupling the vanadium-induced amorphous/crystalline NiFe2O4 with phosphide heterojunction toward active oxygen evolution reaction catalysts
- Graphene-oxide-reinforced cement composites mechanical and microstructural characteristics at elevated temperatures
- Gray correlation analysis of factors influencing compressive strength and durability of nano-SiO2 and PVA fiber reinforced geopolymer mortar
- Preparation of layered gradient Cu–Cr–Ti alloy with excellent mechanical properties, thermal stability, and electrical conductivity
- Recovery of Cr from chrome-containing leather wastes to develop aluminum-based composite material along with Al2O3 ceramic particles: An ingenious approach
- Mechanisms of the improved stiffness of flexible polymers under impact loading
- Anticancer potential of gold nanoparticles (AuNPs) using a battery of in vitro tests
- Review Articles
- Proposed approaches for coronaviruses elimination from wastewater: Membrane techniques and nanotechnology solutions
- Application of Pickering emulsion in oil drilling and production
- The contribution of microfluidics to the fight against tuberculosis
- Graphene-based biosensors for disease theranostics: Development, applications, and recent advancements
- Synthesis and encapsulation of iron oxide nanorods for application in magnetic hyperthermia and photothermal therapy
- Contemporary nano-architectured drugs and leads for ανβ3 integrin-based chemotherapy: Rationale and retrospect
- State-of-the-art review of fabrication, application, and mechanical properties of functionally graded porous nanocomposite materials
- Insights on magnetic spinel ferrites for targeted drug delivery and hyperthermia applications
- A review on heterogeneous oxidation of acetaminophen based on micro and nanoparticles catalyzed by different activators
- Early diagnosis of lung cancer using magnetic nanoparticles-integrated systems
- Advances in ZnO: Manipulation of defects for enhancing their technological potentials
- Efficacious nanomedicine track toward combating COVID-19
- A review of the design, processes, and properties of Mg-based composites
- Green synthesis of nanoparticles for varied applications: Green renewable resources and energy-efficient synthetic routes
- Two-dimensional nanomaterial-based polymer composites: Fundamentals and applications
- Recent progress and challenges in plasmonic nanomaterials
- Apoptotic cell-derived micro/nanosized extracellular vesicles in tissue regeneration
- Electronic noses based on metal oxide nanowires: A review
- Framework materials for supercapacitors
- An overview on the reproductive toxicity of graphene derivatives: Highlighting the importance
- Antibacterial nanomaterials: Upcoming hope to overcome antibiotic resistance crisis
- Research progress of carbon materials in the field of three-dimensional printing polymer nanocomposites
- A review of atomic layer deposition modelling and simulation methodologies: Density functional theory and molecular dynamics
- Recent advances in the preparation of PVDF-based piezoelectric materials
- Recent developments in tensile properties of friction welding of carbon fiber-reinforced composite: A review
- Comprehensive review of the properties of fly ash-based geopolymer with additive of nano-SiO2
- Perspectives in biopolymer/graphene-based composite application: Advances, challenges, and recommendations
- Graphene-based nanocomposite using new modeling molecular dynamic simulations for proposed neutralizing mechanism and real-time sensing of COVID-19
- Nanotechnology application on bamboo materials: A review
- Recent developments and future perspectives of biorenewable nanocomposites for advanced applications
- Nanostructured lipid carrier system: A compendium of their formulation development approaches, optimization strategies by quality by design, and recent applications in drug delivery
- 3D printing customized design of human bone tissue implant and its application
- Design, preparation, and functionalization of nanobiomaterials for enhanced efficacy in current and future biomedical applications
- A brief review of nanoparticles-doped PEDOT:PSS nanocomposite for OLED and OPV
- Nanotechnology interventions as a putative tool for the treatment of dental afflictions
- Recent advancements in metal–organic frameworks integrating quantum dots (QDs@MOF) and their potential applications
- A focused review of short electrospun nanofiber preparation techniques for composite reinforcement
- Microstructural characteristics and nano-modification of interfacial transition zone in concrete: A review
- Latest developments in the upconversion nanotechnology for the rapid detection of food safety: A review
- Strategic applications of nano-fertilizers for sustainable agriculture: Benefits and bottlenecks
- Molecular dynamics application of cocrystal energetic materials: A review
- Synthesis and application of nanometer hydroxyapatite in biomedicine
- Cutting-edge development in waste-recycled nanomaterials for energy storage and conversion applications
- Biological applications of ternary quantum dots: A review
- Nanotherapeutics for hydrogen sulfide-involved treatment: An emerging approach for cancer therapy
- Application of antibacterial nanoparticles in orthodontic materials
- Effect of natural-based biological hydrogels combined with growth factors on skin wound healing
- Nanozymes – A route to overcome microbial resistance: A viewpoint
- Recent developments and applications of smart nanoparticles in biomedicine
- Contemporary review on carbon nanotube (CNT) composites and their impact on multifarious applications
- Interfacial interactions and reinforcing mechanisms of cellulose and chitin nanomaterials and starch derivatives for cement and concrete strength and durability enhancement: A review
- Diamond-like carbon films for tribological modification of rubber
- Layered double hydroxides (LDHs) modified cement-based materials: A systematic review
- Recent research progress and advanced applications of silica/polymer nanocomposites
- Modeling of supramolecular biopolymers: Leading the in silico revolution of tissue engineering and nanomedicine
- Recent advances in perovskites-based optoelectronics
- Biogenic synthesis of palladium nanoparticles: New production methods and applications
- A comprehensive review of nanofluids with fractional derivatives: Modeling and application
- Electrospinning of marine polysaccharides: Processing and chemical aspects, challenges, and future prospects
- Electrohydrodynamic printing for demanding devices: A review of processing and applications
- Rapid Communications
- Structural material with designed thermal twist for a simple actuation
- Recent advances in photothermal materials for solar-driven crude oil adsorption