Abstract
This article presents the assessment of bulk and in situ mechanical properties of rubber–wood–plastic composites (RubWPC) and their correlations, aiming to obtain a thorough understanding of mechanical behaviour of RubWPC, which is an essential prerequisite in realising their optimal design and applications. Dynamic mechanical analysis results showed that the composites treated with multiple coupling agents (combination of maleic anhydride polyethylene [MAPE] and bis(triethoxysilylpropyl)tetrasulfide and combination of MAPE and vinyltrimethoxysilane) exhibited greater storage modulus than both the untreated and single coupling agent treated composites owing to their superior interfacial bonding quality. The shift of relaxation peak and T g towards higher temperatures observed in the treated composites confirmed the enhancement of interfacial interaction and adhesion. Nanoindentation analysis suggested that the composite with optimised interface (MAPE and Si69 treated) possessed better nanomechanical property (elastic modulus) due to the resin penetration into cell lumens and vessels and the reaction between cell walls and coupling agents.
Graphical abstract

1 Introduction
The ever-increasing environmental concerns towards the global disposal of waste tyres has led to an unprecedented need to recycle and reuse the main component of the tyres, namely tyre rubber [1,2]. Currently, the incorporation of waste tyre rubber into thermoplastics to develop a class of polymer composites with both elastomeric and thermoplastic behaviour has gained a lot of attention and is becoming one of the most straightforward and preferred options to achieve the valorisation of waste tyres [3,4]. In view of the unique properties possessed by rubber and the rapid expansion and versatile application of wood plastic composite (WPC) materials, the inclusion of tyre rubber as a raw material into WPC to develop an entirely new generation of WPC, namely rubber–wood–plastic composites (RubWPC), was presumed to be another highly promising solution to turn waste tyres into value-added materials. Cosnita et al. investigated multifunctional, environmental-friendly composite materials fully based on wastes of polyethylene terephthalate (PET), rubber, high density polyethylene (HDPE), and wood, aiming for indoor and outdoor applications [5]. The work particularly addressed the limited rubber-PET compatibility with the aid of HDPE, so as to obtain good mechanical and stability properties. Moni Ribeiro Filho et al. developed hybrid composites with epoxy polymer, rubber tyre particles, and sugarcane bagasse fibres with a specific focus on the impact behaviour [6]. It was concluded that in general, the combination of rubber wastes and bagasse fibres appeared to offer an appealing alternative for the development of new sustainable structural materials for low-carbon impact engineering applications.
Thorough understanding of mechanical properties of composites is an essential prerequisite in realising their applications [7]. The major factors affecting the mechanical performance of cellulosic polymer composites include: (1) the strength and modulus of reinforcing fibre, (2) the strength and chemical stability of polymer matrix, and (3) the effectiveness of load transfer across interface [8]. Investigation of interface is of special significance in understanding the macro-behaviour of the composites [9,10]. Interface is the region separating the bulk polymer from the fibrous reinforcement. It is not a distinct phase with clear boundaries, it is more accurately viewed as a transition zone with three-dimensional and heterogeneous nature. Interface region is hypothesised to possess mechanical properties distinct from those of the reinforcing phase and bulk polymer [11]. Recently, the direct determination of the property and size of interface of cellulosic polymer composites has been achieved with the advent of depth sensing indentation technique, which is generally referred to as nanoindentation [12,13]. This technique allows the penetration of an indenter into the material surface with controlled force and synchronous recording of the force applied as a function of indentation depth, and thus provides considerable in situ mechanical property information (e.g. elastic modulus, hardness, and creep factor) [14,15].
Following our report on the novel formulation of RubWPC with the focus on their interfacial optimisation by using maleated and silane coupling agents [16], and finding that the coupling agents could dramatically improve the constituent compatibility, filler dispersion and embedment, and interfacial adhesion of the composites, this work specifically investigates the nanomechanical and dynamic mechanical properties of RubWPC, aiming to understand the contribution of the refined interfacial bonding to the bulk and in situ mechanical properties and their correlation, thus enabling the optimal design of RubWPC materials.
2 Materials and methods
2.1 Materials
The recycled tyre rubber used in this research was supplied by J. Allcock & Sons Ltd (UK), with the particle size between 0.05 and 0.5 mm and bulk density of 360 kg/m3. The recycled wood-flour was supplied by Rettenmeier Holding AG (Germany), with the bulk density of 285 kg/m3 and mean length of 0.55 mm. The recycled HDPE pellet with the melt flow index (MFI) of 0.6 g/10 min at 190°C and bulk density of 960 kg/m3 was obtained from JFC Plastics Ltd (UK).
Lubricants 12-hydroxyoctadecanoic acid (12-HSA) and Struktol TPW 709 (a unique proprietary blend of processing aids made by Struktol company) were purchased from Safic Alcan UK Ltd (Warrington, UK). The coupling agents, maleic anhydride polyethylene (MAPE, MFI of 1.9 g/10 min at 190°C, 0.5 wt% maleic anhydride [MA]), bis(triethoxysilylpropyl)tetrasulfide (Si69, >95% purity, 538.95 g/mol, 250°C boiling point), and vinyltrimethoxysilane (VTMS, >98% purity, 148.23 g/mol, 123°C boiling point), were purchased from Sigma-Aldrich (Dorset, UK), the chemical formulae of which are presented in Figure 1. All the raw materials and additives were stored in a cool and dry place before use.

Chemical formulae of the coupling agents.
2.2 Formulation of RubWPC
The formulation of untreated and treated RubWPC with specific ratios was summarised in Table 1. In our previous works [3,17], it was found that VTMS and Si69 were very effective in improving the bonding quality of WPC and Rubber-HDPE composites, respectively, while MAPE appeared to be effective in both types of materials. Therefore, in addition to single coupling agent, the combinations of MAPE and Si69 and MAPE and VTMS were also used in the formulation of RubWPC materials. All the composites were prepared under the processing condition as follows: the required amount of HDPE for each batch was first placed in a Brabender Plastograph twin-screw mixer and allowed to melt at 100 rpm and 190°C for 2 min, and subsequently mixed with rubber powder and wood flour for 3 min. The lubricants and/or coupling agents were then added into the system and mixed for another 10 min. The resulted RubWPC mixture was then ground to pellets by using a Retsch cutting mill (SM 100, Germany). The ground blends were compression moulded on an electrically heated hydraulic press at 190°C under a pressure of 9.81 MPa for 10 min.
Formulation of RubWPC
| Sample | Rubber (%) | Wood (%) | HDPE (%) | TPW 709 (%) | 12HSA (%) | MAPE (%) | Si69 (%) | VTMS (%) |
|---|---|---|---|---|---|---|---|---|
| Untreated | 20 | 30 | 43 | 3.5 | 3.5 | 0 | 0 | 0 |
| MAPE treated | 20 | 30 | 40 | 3.5 | 3.5 | 3 | 0 | 0 |
| Si69 treated | 20 | 30 | 40 | 3.5 | 3.5 | 0 | 3 | 0 |
| VTMS treated | 20 | 30 | 40 | 3.5 | 3.5 | 0 | 0 | 3 |
| MAPE and Si69 | 20 | 30 | 40 | 3.5 | 3.5 | 1.5 | 1.5 | 0 |
| MAPE and VTMS | 20 | 30 | 40 | 3.5 | 3.5 | 1.5 | 0 | 1.5 |
| MAPE and Si69-10 | 10 | 40 | 40 | 3.5 | 3.5 | 1.5 | 1.5 | 0 |
| MAPE and Si69-30 | 30 | 30 | 30 | 3.5 | 3.5 | 1.5 | 1.5 | 0 |
2.3 Dynamic mechanical analysis (DMA)
Dynamic mechanical properties of the composites were measured by using a dynamic mechanical analyser (Q800, TA Instruments, New Castle, USA) under single cantilever strain-controlled mode. The temperature ranges from −100 to 120°C with a heating rate of 3°C/min. The oscillation amplitude was 20 µm, the frequency was 1 Hz, and the specimen dimension was 17.5 mm × 10.8 mm × 1.4 mm.
2.4 Nanoindentation analysis
The samples for nanoindentation determination were prepared as follows: a sloping apex (around 45°) was created on the cross section of the sample by using a sliding microtome, then the sample was mounted onto a PowerTome ultramicrotome and transversely cut with a glass knife and a diamond knife to obtain an exceptionally smooth and flat surface. The cross section of the samples was first observed under an optical microscope to select the regions to be indented (Figure 2a). The tests were performed on a Nano Indenter (Hysitron TI 950 TriboIndenter, USA) equipped with a three-side pyramid diamond indenter tip (Berkovich). In each test region, the space between two adjacent testing positions was 30 times more than the maximum indentation depth (Figure 2b and c). The indentations were conducted under load-controlled mode consisting of three segments, i.e. loading with 150 µN in 5 s, holding for 2 s, and unloading in 5 s. A typical loading-displacement curve is presented in Figure 3. The maximum load P max, the maximum depth h max, the final depth after unloading h r, and the slope of the upper portion of the unloading curve S were monitored in a full loading-unloading cycle. The material properties, such as reduced elastic modulus and hardness, could be extracted by analysing the data with the method developed by Oliver and Pharr [18].

Typical in situ imaging nanoindentation test: (a) microscope image of testing cells in transverse section, (b) image of cell walls in region 1 of (a) before indenting, and (c) image of cell walls in region 1 of (a) after indenting.

Typical loading–unloading curve of nanoindentation test.
The hardness (H) was calculated as follows:
where A is the projected contact area at maximum load. E r, the reduced elastic modulus accounting for the compliance of the indenter tip, was determined as:
where, dP/dh = S. The results reported in the work were from the indentations placed in the valid positions, clearly on the cells with intimate and firm resin contact, excluding the results from cracks and other positions.
3 Results and discussion
3.1 The DMA
The transition of a polymeric material from glassy state to rubbery state, commonly investigated by DMA, has been considered as a significant material property. Figure 4 illustrates the temperature dependence of the storage moduli of both the untreated and coupling agent treated RubWPC. The storage moduli of all the composites gradually decreased with the increase in temperature. Compared to the untreated counterpart, the composites treated with single coupling agent (i.e. MAPE, Si69, or VTMS) showed inferior storage moduli in the temperature range from −100 to −50°C. At the temperature above −50°C, the storage moduli of MAPE and Si69 treated composites were higher than that of the untreated composites, while that of VTMS-treated composites remained slightly lower, but appeared to be much closer. In our previous studies of WPC [19] and rubber-HDPE composites [3], the use of single coupling agent was able to enhance the storage modulus of the composites. The distinct phenomena observed in RubWPC could be ascribed to the uneven distribution of coupling agent between the fillers (wood flour and rubber powder) in the complex RubWPC system, which resulted in relatively nonuniform and heterogeneous structures and poor overall bonding refinery. Furthermore, it was worth noting that the composites treated with combined coupling agents, especially MAPE and VTMS, exhibited greater modulus values than both untreated and single coupling agent treated composites. Compared to single coupling agent, the combination of MAPE and Si69 or MAPE and VTMS might generate a complementary influence, maximising the capability of interface refining and bonding strengthening of each coupling agent. This result was in accordance with the tensile properties owing to the superior interfacial adhesion and bonding quality, which had been revealed in our previous study [16].

Storage modulus of untreated and coupling agent treated RubWPC as a function of temperature.
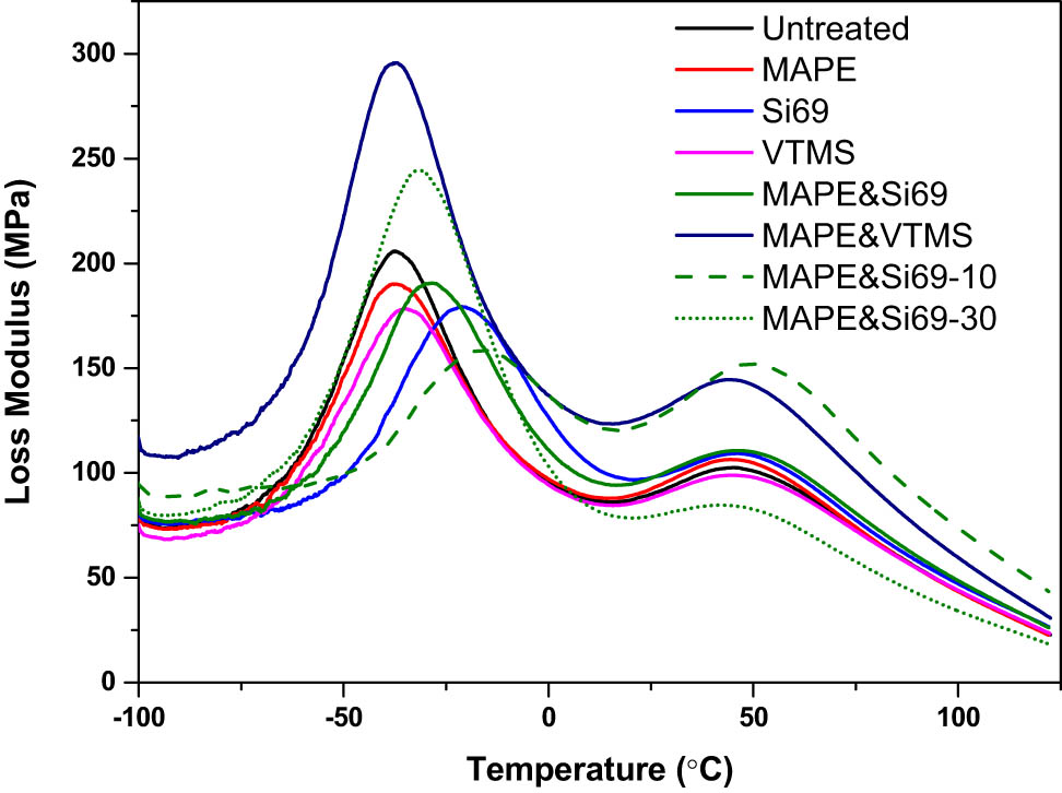
The loss modulus is a measure of the energy dissipated as heat, representing the viscous portion of the material that flows under certain condition of stress. Figure 5 presents the variation in loss modulus as a function of temperature of the composites. The relaxation peaks at −38 to −16°C in the curves were associated with the molecular motion of rubber phase corresponding to its glass transition (Table 2). It was observed that the coupling agent treatments led to a flattening of the relaxation peaks with lowered loss modulus values, and a shift of relaxation peaks from −38.0°C (untreated) towards higher temperatures (Table 2). These results indicated the enhanced interfacial interaction and adhesion between rubber particles and other constituents of the composites. In addition, the relaxation peaks observed at around 50°C were attributed to the α transition of HDPE matrix, corresponding to its chain segment mobility [20,21,22]. The relevant loss modulus at this temperature was seen to have a marginal increase after the coupling agent treatments, which was probably due to the reduced flexibility by introducing constraints on the segmental mobility of macromolecules at the relaxation temperatures [23,24].

Loss modulus of untreated and coupling agent treated RubWPC as a function of temperature.
Crucial parameters extracted from DMA curves of RubWPC
| Sample | Temperature of rubber relaxation peak [T r] (°C) | Loss modulus at T r (MPa) | Glass transition temperature [T g] (°C) | tan δ at T g |
|---|---|---|---|---|
| Untreated | −38.0 | 205.7 | −33.2 | 0.073 |
| MAPE treated | −37.5 | 190.1 | −32.3 | 0.067 |
| Si69 treated | −20.5 | 179.1 | −13.0 | 0.073 |
| VTMS treated | −34.8 | 178.6 | −29.3 | 0.071 |
| MAPE and Si69 | −28.9 | 190.5 | −21.7 | 0.070 |
| MAPE and VTMS | −37.5 | 295.6 | −32.8 | 0.075 |
| MAPE and Si69-10 | −16.4 | 158.5 | −9.1 | 0.054 |
| MAPE and Si69-30 | −31.7 | 244.5 | −22.5 | 0.098 |
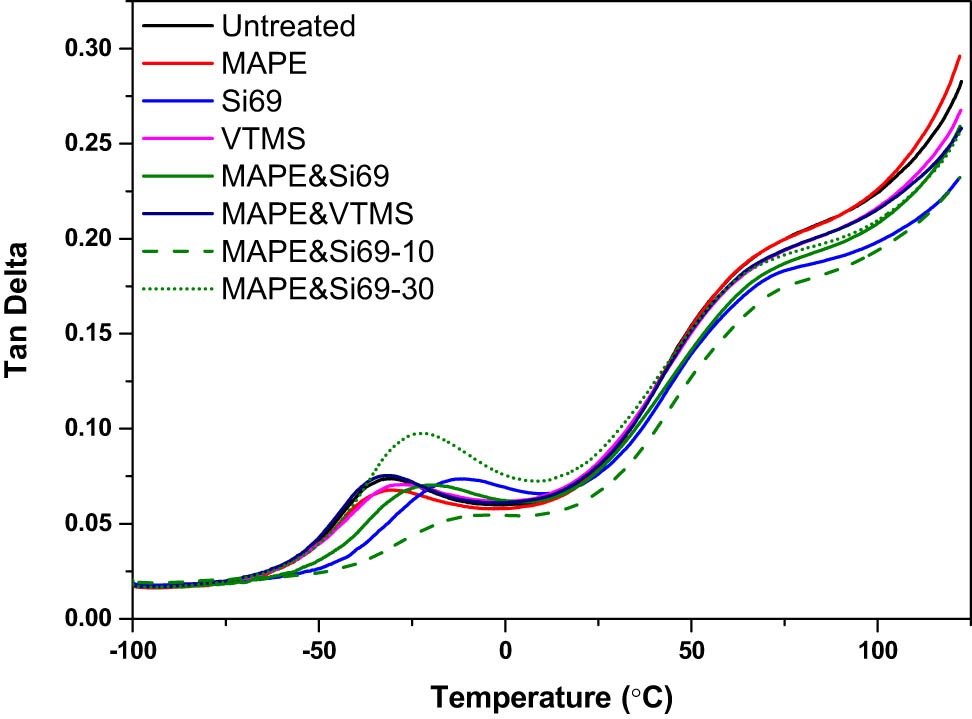
The damping property of material gives a balance between the elastic phase and viscous phase in a polymeric structure. The mechanical loss factor or damping factor tan δ of the composites as a function of temperature is presented in Figure 6. The glass transition temperatures (T g) of the treated composites shifted to higher temperatures, namely from −33.2°C (untreated) to −32.3°C (MAPE treated), −13.0°C (Si69 treated), −29.3°C (VTMS treated), −21.7°C (MAPE and Si69 treated), and −32.8°C (MAPE and VTMS treated), (Table 2). This observation should be associated with the intermolecular crosslinking induced by the coupling agent treatments [25], which had been thoroughly discussed in our previous work (16), i.e. the hydrophilic moieties in coupling agents (maleic anhydride of MAPE, ethoxy groups of Si69, and methoxyl groups of VTMS) reacted with the hydroxyl groups of wood flour to form strong covalent bonds, while the nonpolar molecules (PE chains in MAPE, dissociated sulfide groups of Si69, and vinyl groups of VTMS) chemically crosslinked with rubber and HDPE macromolecules. The presence of the crosslinking was assumed to restrict the mobility of the polymeric chains so that more energy was required for the transition to occur [26]. On the other hand, the decline in the tan δ intensity or amplitude of the treated composites (Table 2) suggested that the number of molecular portions responsible for the transitions had decreased after the treatments [26]. This result along with their better interfacial bonding, reduced interchain chemical heterogeneity, and relatively restricted segmental mobility of polymer molecules gave rise to less energy dissipation in the treated composites, leading to the reduction in the tan δ amplitude.

tan δ of untreated and coupling agent treated RubWPC as a function of temperature.
As presented in Table 2, Si69 and MAPE and Si69 treated composites had much higher glass transition temperatures, compared to other composites. This was because Si69 has proven to be a highly effective coupling agent for enhancing bonding quality of rubber based composites [27,28,29,30], and it could significantly improve the interfacial bonding and molecular interactions between rubber and HDPE, resulting in greater immobility of molecular chains. However, the Si69 added in Si69-treated RubWPC could be primarily dominated by rubber particles which favourably reacted with HDPE molecules. Due to this, the bonding between wood flour and other components (rubber and HDPE) in the composite could hardly be improved without the presence of MAPE, which thus impaired its overall property.
It was seen that a gradual decrease in the storage modulus with the continuous addition of rubber into MAPE and Si69 treated composites, indicates the decrease in stiffness of the composites. Regarding the difference between the composites with 20 and 30% rubber, the lower storage modulus in the composite with 30% rubber was ascribed to its poorer filler distribution and wetting due to the lower concentration of HDPE matrix in the system. The relaxation peaks of the composites with less rubber addition were observed at higher temperature regions, which were consistent with their higher T g. This suggests that the stronger rubber-wood and rubber-HDPE interactions occurred in the composites contributed to the segmental immobilisation of the polymer chain along the interfaces and hence, caused a lowering of the corresponding tan δ amplitude [31].
3.2 Nanomechanical property analysis
Figure 7 shows the nanoindentation test regions of untreated and MAPE and Si69 treated RubWPC, the results from the measurements are presented in Figure 8. The hardness of the cell walls in the treated composite was nearly equal to that of untreated composite. In contrast, the reduced elastic modulus of the treated cell walls was significantly increased by 20.84% compared to that of untreated cell walls, which was well in line with its storage modulus (Figure 4). This result might be associated with the considerable penetration of polymer resin into the more deformed and accessible cell lumens and vessels after the treatment [16]. Although it was widely accepted that the indentation modulus in damaged cell walls were lower than that in intact cell walls, the resin filling in cell lumens may work as a mechanical interlock that could provide additional strength, recovering the loss of elastic behaviour due to mechanical processing [32,33,34]. It was worth mentioning that in our previous nanoindentation analysis of WPC [19], the coupling agent treatment might exert a weakening or softening impact on the cell walls through chain scission or weakening of interfibrillar interaction, resulting in lower mechanical properties compared to the untreated cell walls. The contrary behaviour explored in RubWPC indicated that with respect to the influence on nanomechanical properties of treated cell walls, the resin penetration was more pronounced over the weakening or softening impact with the inclusion of rubber particles into the composite. Therefore, the nanomechanical properties of the cell walls in untreated RubWPC remained unaffected by the rubber particles due to the lack of intimate physical contact between wood flour and rubber particle in untreated RubWPC [16], leading to subtle distinction from the nanomechanical properties of WPC [19]. In addition, MAPE and Si69 coupling agents might be able to diffuse into wood cell wall and form hydrogen bonding and covalent bonding with the structural components of the cell wall especially hemicellulose owing to its greater accessibility [33], thus increasing the nanomechanical property of the treated RubWPC.

Microscope images of nanoindentation test regions of untreated (a) and MAPE and Si69 treated (b) RubWPC.

Nanomechanical properties of untreated and MAPE and Si69 treated RubWPC by nanoindentation.
The individual nanomechanical property of every marked region in Figure 7 is presented in Figures 9 and 10 for the purpose of figuring out the variation in the nanomechanical behaviour of the cell walls. The hardness and indentation modulus of the cell wall in both untreated and MAPE and Si69 treated composites increased with the increase in its distance to the zone being in immediate contact with rubber particle and HDPE matrix. For instance, the elastic moduli in region 1 (15.64 GPa) and region 5 (14.45 GPa) were lower than those in region 3 (16.67 GPa) and region 4 (17.50 GPa) of the untreated composite, the hardness in region 1 or region 6 of the treated composite was not comparable to the counterpart in other regions. This was because the cell wall in intimate contact with other components was more deformed than the cell wall further away from the bonding region, leading to inferior local mechanical property [34], albeit it might have more resin penetration into the adjacent cell lumen and coupling agent diffusion. Furthermore, the hardness or modulus distinction among different regions of the untreated composite (up to 0.05 and 3.05 GPa, respectively) was not as apparent as that of the treated composite (up to 0.06 GPa and 4.64 GPa, respectively) due to the less deformed and accessible cell walls in the untreated composite, which was in accordance with their microstructure [16].

Comparison of the hardness in different test regions of untreated (a) and MAPE and Si69 treated (b) RubWPC.

Comparison of the reduced elastic modulus in different test regions of untreated (a) and MAPE and Si69 treated (b) RubWPC.
4 Conclusion
The assessment of bulk and in situ mechanical properties of untreated and coupling agent treated RubWPC was accomplished by systematically carrying out DMA and nanoindentation measurements. The enhanced interfacial bonding of the treated RubWPC was confirmed by the shift of relaxation peak and T g towards higher temperatures along with the reduction in tan δ amplitude, which were associated with the restricted segmental polymer motion and less energy dissipation. The composites with less rubber addition demonstrated the corresponding relaxation peaks at higher temperatures with higher T g and lower tan δ amplitude, primarily due to their stronger interfacial interactions. The composites treated with multiple coupling agents (MAPE and Si69 or MAPE and VTMS) exhibited better overall mechanical properties than the composites treated with single coupling agent owing to their superior interfacial bonding. MAPE and Si69 treated RubWPC possessed more outstanding nanomechanical property than the untreated counterpart (i.e. elastic modulus increased from 15.93 to 19.25 GPa), which was ascribed to the considerable resin penetration into the more deformed and accessible cell lumens and vessels as well as the bonding formed between the diffused coupling agents and the structural components of cell walls. In addition, the nanomechanical properties (harness and elastic modulus) of the cell wall in both untreated and treated composites increased with the increase in its distance to the interfacial zones being in intimate contact with rubber particle and HDPE matrix.
-
Funding information: This work was supported by European CIP-EIP-Eco-Innovation-2012 (Project number: 333083) and Horizon 2020 research and innovation programme (Project number: 869898, POWERSKIN PLUS).
-
Author contributions: Y.Z.: conceptualisation, investigation, and writing – original draft; Y.W. and D.H.: visualisation and validation; M.F.: supervision and writing – review & editing. All authors have accepted responsibility for the entire content of this article and approved its submission.
-
Conflict of interest: David Hui, who is the co-author of this article, is a current Editorial Board member of Nanotechnology Reviews. This fact did not affect the peer-review process. The authors declare no other conflict of interest.
References
[1] Formela K, Hejna A, Zedler Ł, Przybysz M, Ryl J, Saeb MR, et al. Structural, thermal and physico-mechanical properties of polyurethane/brewers’ spent grain composite foams modified with ground tire rubber. Ind Crop Products. 1 December 2017;108:844–52.10.1016/j.indcrop.2017.07.047Search in Google Scholar
[2] Zhao J, Wang X-, Chang JM, Yao Y, Cui Q. Sound insulation property of wood–waste tire rubber composite. Compos Sci Technol. 30 November 2010;70(14):2033–8.10.1016/j.compscitech.2010.03.015Search in Google Scholar
[3] Zhou Y, Fan M. Recycled tyre rubber-thermoplastic composites through interface optimisation. RSC Adv. 2017;7(47):29263–70.10.1039/C7RA04925KSearch in Google Scholar
[4] Ramarad S, Khalid M, Ratnam CT, Chuah AL, Rashmi W. Waste tire rubber in polymer blends: A review on the evolution, properties and future. Prog Mater Sci. July 2015;72(72):100–40.10.1016/j.pmatsci.2015.02.004Search in Google Scholar
[5] Cosnita M, Cazan C, Duta A. The influence of inorganic additive on the water stability and mechanical properties of recycled rubber, polyethylene terephthalate, high density polyethylene and wood composites. J Clean Prod. 1 November 2017;165:630–6.10.1016/j.jclepro.2017.07.103Search in Google Scholar
[6] Moni Ribeiro Filho SL, Oliveira PR, Panzera TH, Scarpa F. Impact of hybrid composites based on rubber tyre particles and sugarcane bagasse fibres. Compos Part B: Eng. 15 February 2019;159:157–64.10.1016/j.compositesb.2018.09.054Search in Google Scholar
[7] Alhijazi M, Zeeshan Q, Qin Z, Safaei B, Asmael M. Finite element analysis of natural fibers composites: a review. Nanotechnol Rev. 2020;9(1):853–75.10.1515/ntrev-2020-0069Search in Google Scholar
[8] Kumar R, Cross WM, Kjerengtroen L, Kellar JJ. Fiber bias in nanoindentation of polymer matrix composites. Composite Interfaces. 2004 01/01;11(5–6):431–40.10.1163/1568554042246215Search in Google Scholar
[9] Zhang T, Bai SL, Zhang YF, Thibaut B. Viscoelastic properties of wood materials characterized by nanoindentation experiments. Wood Sci Technol. 2012;46(5):1003–16.10.1007/s00226-011-0458-3Search in Google Scholar
[10] Liu Y, Jiang X, Shi J, Luo Y, Tang Y, Wu Q, et al. Research on the interface properties and strengthening–toughening mechanism of nanocarbon-toughened ceramic matrix composites. Nanotechnol Rev. 2020;9(1):190–208.10.1515/ntrev-2020-0017Search in Google Scholar
[11] Downing TD, Kumar R, Cross WM, Kjerengtroen L, Kellar JJ. Determining the interphase thickness and properties in polymer matrix composites using phase imaging atomic force microscopy and nanoindentation. J Adhes Sci Technol. 2000 01/01;14(14):1801–12.10.1163/156856100743248Search in Google Scholar
[12] Ganser C, Hirn U, Rohm S, Schennach R, Teichert C. AFM nanoindentation of pulp fibers and thin cellulose films at varying relative humidity. Holzforschung. 2013;68(1):53–60.10.1515/hf-2013-0014Search in Google Scholar
[13] Zare Ghomsheh M, Spieckermann F, Polt G, Wilhelm H, Zehetbauer M. Analysis of strain bursts during nanoindentation creep of high‐density polyethylene. Polym Int. 2015;64(11):1537–43.10.1002/pi.4967Search in Google Scholar
[14] Yedla SB, Kalukanimuttam M, Winter RM, Khanna SK. Effect of shape of the tip in determining interphase properties in fiber reinforced plastic composites using nanoindentation. J Eng Mater Technol. 2008 September 19;130(4):041010.10.1115/1.2975234Search in Google Scholar
[15] Zhang H, Li X, Qian W, Zhu J, Chen B, Yang J, et al. Characterization of mechanical properties of epoxy/nanohybrid composites by nanoindentation. Nanotechnol Rev. 2020;9(1):28–40.10.1515/ntrev-2020-0003Search in Google Scholar
[16] Zhou Y, Wang Y, Fan M. Incorporation of tyre rubber into wood plastic composites to develop novel multifunctional composites: interface and bonding mechanisms. Ind Crop Products. 1 December 2019;141:111788.10.1016/j.indcrop.2019.111788Search in Google Scholar
[17] Rao J, Zhou Y, Fan M. Revealing the interface structure and bonding mechanism of coupling agent treated WPC. Polymers. 2018;10(3):266.10.3390/polym10030266Search in Google Scholar PubMed PubMed Central
[18] Oliver WC, Pharr GM. An improved technique for determining hardness and elastic modulus using load and displacement sensing indentation experiments. J Mater Res. 1992;7(6):1564–83.10.1557/JMR.1992.1564Search in Google Scholar
[19] Zhou Y, Fan M, Lin L. Investigation of bulk and in situ mechanical properties of coupling agents treated wood plastic composites. Polym Test. 2017;4(58):292–9.10.1016/j.polymertesting.2016.12.026Search in Google Scholar
[20] Bengtsson M, Gatenholm P, Oksman K. The effect of crosslinking on the properties of polyethylene/wood flour composites. Compos Sci Technol. 2005;65(10):1468–79.10.1016/j.compscitech.2004.12.050Search in Google Scholar
[21] Mohanty S, Verma SK, Nayak SK. Dynamic mechanical and thermal properties of MAPE treated jute/HDPE composites. Compos Sci Technol. 2006;66(3–4):538–47.10.1016/j.compscitech.2005.06.014Search in Google Scholar
[22] Mohanty S, Nayak SK. Interfacial, dynamic mechanical, and thermal fiber reinforced behavior of MAPE treated sisal fiber reinforced HDPE composites. J Appl Polym Sci. 2006;102(4):3306–15.10.1002/app.24799Search in Google Scholar
[23] Ou R, Xie Y, Wolcott MP, Sui S, Wang Q. Morphology, mechanical properties, and dimensional stability of wood particle/high density polyethylene composites: effect of removal of wood cell wall composition. Mater Des. 2014;6(58):339–45.10.1016/j.matdes.2014.02.018Search in Google Scholar
[24] López-Manchado MA, Biagitti J, Kenny JM. Comparative study of the effects of different fibers on the processing and properties of ternary composites based on PP-EPDM blends. Polym Compos. 2002;23(5):779–89.10.1002/pc.10476Search in Google Scholar
[25] Ratnam CT, Nasir M, Baharin A, Zaman K. Effect of electron-beam irradiation on poly(vinyl chloride)/epoxidized natural rubber blend: dynamic mechanical analysis. Polym Int. 2001;50(5):503–8.10.1002/pi.647Search in Google Scholar
[26] Mehdi B, Mehdi T, Ghanbar E, Falk RH. Dynamic mechanical analysis of compatibilizer effect on the mechanical properties of wood flour – high-density polyethylene composites. IJE Trans B: Appl. 2004;17(1):95–104.Search in Google Scholar
[27] Thongsang S, Sombatsompop N. Effect of NaOH and Si69 treatments on the properties of fly ash/natural rubber composites*. Polym Compos. 2006;27(1):30–40.10.1002/pc.20163Search in Google Scholar
[28] Noriman NZ, Ismail H. Properties of styrene butadiene rubber (SBR)/recycled acrylonitrile butadiene rubber (NBRr) blends: the effects of carbon black/silica (CB/Sil) hybrid filler and silane coupling agent, Si69. J Appl Polym Sci. 2012;124(1):19–27.10.1002/app.34961Search in Google Scholar
[29] Ismail H, Shuhelmy S, Edyham MR. The effects of a silane coupling agent on curing characteristics and mechanical properties of bamboo fibre filled natural rubber composites. Eur Polym J. 2002;38(1):39–47.10.1016/S0014-3057(01)00113-6Search in Google Scholar
[30] Salimi D, Khorasani SN, Abadchi MR, Veshare SJ. Optimization of physico-mechanical properties of silica-filled NR/SBR compounds. Adv Polym Technol. 2009;28(4):224–32.10.1002/adv.20169Search in Google Scholar
[31] Ahmad I, Wong PY, Abdullah I. Effects of fiber composition and graft-copoly(ethylene/maleic anhydride) on thermoplastic natural rubber composites reinforced by aramid fiber. Polym Compos. 2006;27(4):395–401.10.1002/pc.20225Search in Google Scholar
[32] Konnerth J, Gindl W. Mechanical characterisation of wood-adhesive interphase cell walls by nanoindentation. Holzforschung. 2006;60(4):429–33.10.1515/HF.2006.067Search in Google Scholar
[33] Frihart CR. Adhesive bonding and performance testing of bonded wood products. J ASTM Int. 2005;2(7):1–10.10.1520/STP11654SSearch in Google Scholar
[34] Gindl W, Schöberl T, Jeronimidis G. The interphase in phenol–formaldehyde and polymeric methylene di-phenyl-di-isocyanate glue lines in wood. Int J Adhes Adhes. 2004;24(4):279–86.10.1016/j.ijadhadh.2003.10.002Search in Google Scholar
© 2022 Yonghui Zhou et al., published by De Gruyter
This work is licensed under the Creative Commons Attribution 4.0 International License.
Articles in the same Issue
- Research Articles
- Theoretical and experimental investigation of MWCNT dispersion effect on the elastic modulus of flexible PDMS/MWCNT nanocomposites
- Mechanical, morphological, and fracture-deformation behavior of MWCNTs-reinforced (Al–Cu–Mg–T351) alloy cast nanocomposites fabricated by optimized mechanical milling and powder metallurgy techniques
- Flammability and physical stability of sugar palm crystalline nanocellulose reinforced thermoplastic sugar palm starch/poly(lactic acid) blend bionanocomposites
- Glutathione-loaded non-ionic surfactant niosomes: A new approach to improve oral bioavailability and hepatoprotective efficacy of glutathione
- Relationship between mechano-bactericidal activity and nanoblades density on chemically strengthened glass
- In situ regulation of microstructure and microwave-absorbing properties of FeSiAl through HNO3 oxidation
- Research on a mechanical model of magnetorheological fluid different diameter particles
- Nanomechanical and dynamic mechanical properties of rubber–wood–plastic composites
- Investigative properties of CeO2 doped with niobium: A combined characterization and DFT studies
- Miniaturized peptidomimetics and nano-vesiculation in endothelin types through probable nano-disk formation and structure property relationships of endothelins’ fragments
- N/S co-doped CoSe/C nanocubes as anode materials for Li-ion batteries
- Synergistic effects of halloysite nanotubes with metal and phosphorus additives on the optimal design of eco-friendly sandwich panels with maximum flame resistance and minimum weight
- Octreotide-conjugated silver nanoparticles for active targeting of somatostatin receptors and their application in a nebulized rat model
- Controllable morphology of Bi2S3 nanostructures formed via hydrothermal vulcanization of Bi2O3 thin-film layer and their photoelectrocatalytic performances
- Development of (−)-epigallocatechin-3-gallate-loaded folate receptor-targeted nanoparticles for prostate cancer treatment
- Enhancement of the mechanical properties of HDPE mineral nanocomposites by filler particles modulation of the matrix plastic/elastic behavior
- Effect of plasticizers on the properties of sugar palm nanocellulose/cinnamon essential oil reinforced starch bionanocomposite films
- Optimization of nano coating to reduce the thermal deformation of ball screws
- Preparation of efficient piezoelectric PVDF–HFP/Ni composite films by high electric field poling
- MHD dissipative Casson nanofluid liquid film flow due to an unsteady stretching sheet with radiation influence and slip velocity phenomenon
- Effects of nano-SiO2 modification on rubberised mortar and concrete with recycled coarse aggregates
- Mechanical and microscopic properties of fiber-reinforced coal gangue-based geopolymer concrete
- Effect of morphology and size on the thermodynamic stability of cerium oxide nanoparticles: Experiment and molecular dynamics calculation
- Mechanical performance of a CFRP composite reinforced via gelatin-CNTs: A study on fiber interfacial enhancement and matrix enhancement
- A practical review over surface modification, nanopatterns, emerging materials, drug delivery systems, and their biophysiochemical properties for dental implants: Recent progresses and advances
- HTR: An ultra-high speed algorithm for cage recognition of clathrate hydrates
- Effects of microalloying elements added by in situ synthesis on the microstructure of WCu composites
- A highly sensitive nanobiosensor based on aptamer-conjugated graphene-decorated rhodium nanoparticles for detection of HER2-positive circulating tumor cells
- Progressive collapse performance of shear strengthened RC frames by nano CFRP
- Core–shell heterostructured composites of carbon nanotubes and imine-linked hyperbranched polymers as metal-free Li-ion anodes
- A Galerkin strategy for tri-hybridized mixture in ethylene glycol comprising variable diffusion and thermal conductivity using non-Fourier’s theory
- Simple models for tensile modulus of shape memory polymer nanocomposites at ambient temperature
- Preparation and morphological studies of tin sulfide nanoparticles and use as efficient photocatalysts for the degradation of rhodamine B and phenol
- Polyethyleneimine-impregnated activated carbon nanofiber composited graphene-derived rice husk char for efficient post-combustion CO2 capture
- Electrospun nanofibers of Co3O4 nanocrystals encapsulated in cyclized-polyacrylonitrile for lithium storage
- Pitting corrosion induced on high-strength high carbon steel wire in high alkaline deaerated chloride electrolyte
- Formulation of polymeric nanoparticles loaded sorafenib; evaluation of cytotoxicity, molecular evaluation, and gene expression studies in lung and breast cancer cell lines
- Engineered nanocomposites in asphalt binders
- Influence of loading voltage, domain ratio, and additional load on the actuation of dielectric elastomer
- Thermally induced hex-graphene transitions in 2D carbon crystals
- The surface modification effect on the interfacial properties of glass fiber-reinforced epoxy: A molecular dynamics study
- Molecular dynamics study of deformation mechanism of interfacial microzone of Cu/Al2Cu/Al composites under tension
- Nanocolloid simulators of luminescent solar concentrator photovoltaic windows
- Compressive strength and anti-chloride ion penetration assessment of geopolymer mortar merging PVA fiber and nano-SiO2 using RBF–BP composite neural network
- Effect of 3-mercapto-1-propane sulfonate sulfonic acid and polyvinylpyrrolidone on the growth of cobalt pillar by electrodeposition
- Dynamics of convective slippery constraints on hybrid radiative Sutterby nanofluid flow by Galerkin finite element simulation
- Preparation of vanadium by the magnesiothermic self-propagating reduction and process control
- Microstructure-dependent photoelectrocatalytic activity of heterogeneous ZnO–ZnS nanosheets
- Cytotoxic and pro-inflammatory effects of molybdenum and tungsten disulphide on human bronchial cells
- Improving recycled aggregate concrete by compression casting and nano-silica
- Chemically reactive Maxwell nanoliquid flow by a stretching surface in the frames of Newtonian heating, nonlinear convection and radiative flux: Nanopolymer flow processing simulation
- Nonlinear dynamic and crack behaviors of carbon nanotubes-reinforced composites with various geometries
- Biosynthesis of copper oxide nanoparticles and its therapeutic efficacy against colon cancer
- Synthesis and characterization of smart stimuli-responsive herbal drug-encapsulated nanoniosome particles for efficient treatment of breast cancer
- Homotopic simulation for heat transport phenomenon of the Burgers nanofluids flow over a stretching cylinder with thermal convective and zero mass flux conditions
- Incorporation of copper and strontium ions in TiO2 nanotubes via dopamine to enhance hemocompatibility and cytocompatibility
- Mechanical, thermal, and barrier properties of starch films incorporated with chitosan nanoparticles
- Mechanical properties and microstructure of nano-strengthened recycled aggregate concrete
- Glucose-responsive nanogels efficiently maintain the stability and activity of therapeutic enzymes
- Tunning matrix rheology and mechanical performance of ultra-high performance concrete using cellulose nanofibers
- Flexible MXene/copper/cellulose nanofiber heat spreader films with enhanced thermal conductivity
- Promoted charge separation and specific surface area via interlacing of N-doped titanium dioxide nanotubes on carbon nitride nanosheets for photocatalytic degradation of Rhodamine B
- Elucidating the role of silicon dioxide and titanium dioxide nanoparticles in mitigating the disease of the eggplant caused by Phomopsis vexans, Ralstonia solanacearum, and root-knot nematode Meloidogyne incognita
- An implication of magnetic dipole in Carreau Yasuda liquid influenced by engine oil using ternary hybrid nanomaterial
- Robust synthesis of a composite phase of copper vanadium oxide with enhanced performance for durable aqueous Zn-ion batteries
- Tunning self-assembled phases of bovine serum albumin via hydrothermal process to synthesize novel functional hydrogel for skin protection against UVB
- A comparative experimental study on damping properties of epoxy nanocomposite beams reinforced with carbon nanotubes and graphene nanoplatelets
- Lightweight and hydrophobic Ni/GO/PVA composite aerogels for ultrahigh performance electromagnetic interference shielding
- Research on the auxetic behavior and mechanical properties of periodically rotating graphene nanostructures
- Repairing performances of novel cement mortar modified with graphene oxide and polyacrylate polymer
- Closed-loop recycling and fabrication of hydrophilic CNT films with high performance
- Design of thin-film configuration of SnO2–Ag2O composites for NO2 gas-sensing applications
- Study on stress distribution of SiC/Al composites based on microstructure models with microns and nanoparticles
- PVDF green nanofibers as potential carriers for improving self-healing and mechanical properties of carbon fiber/epoxy prepregs
- Osteogenesis capability of three-dimensionally printed poly(lactic acid)-halloysite nanotube scaffolds containing strontium ranelate
- Silver nanoparticles induce mitochondria-dependent apoptosis and late non-canonical autophagy in HT-29 colon cancer cells
- Preparation and bonding mechanisms of polymer/metal hybrid composite by nano molding technology
- Damage self-sensing and strain monitoring of glass-reinforced epoxy composite impregnated with graphene nanoplatelet and multiwalled carbon nanotubes
- Thermal analysis characterisation of solar-powered ship using Oldroyd hybrid nanofluids in parabolic trough solar collector: An optimal thermal application
- Pyrene-functionalized halloysite nanotubes for simultaneously detecting and separating Hg(ii) in aqueous media: A comprehensive comparison on interparticle and intraparticle excimers
- Fabrication of self-assembly CNT flexible film and its piezoresistive sensing behaviors
- Thermal valuation and entropy inspection of second-grade nanoscale fluid flow over a stretching surface by applying Koo–Kleinstreuer–Li relation
- Mechanical properties and microstructure of nano-SiO2 and basalt-fiber-reinforced recycled aggregate concrete
- Characterization and tribology performance of polyaniline-coated nanodiamond lubricant additives
- Combined impact of Marangoni convection and thermophoretic particle deposition on chemically reactive transport of nanofluid flow over a stretching surface
- Spark plasma extrusion of binder free hydroxyapatite powder
- An investigation on thermo-mechanical performance of graphene-oxide-reinforced shape memory polymer
- Effect of nanoadditives on the novel leather fiber/recycled poly(ethylene-vinyl-acetate) polymer composites for multifunctional applications: Fabrication, characterizations, and multiobjective optimization using central composite design
- Design selection for a hemispherical dimple core sandwich panel using hybrid multi-criteria decision-making methods
- Improving tensile strength and impact toughness of plasticized poly(lactic acid) biocomposites by incorporating nanofibrillated cellulose
- Green synthesis of spinel copper ferrite (CuFe2O4) nanoparticles and their toxicity
- The effect of TaC and NbC hybrid and mono-nanoparticles on AA2024 nanocomposites: Microstructure, strengthening, and artificial aging
- Excited-state geometry relaxation of pyrene-modified cellulose nanocrystals under UV-light excitation for detecting Fe3+
- Effect of CNTs and MEA on the creep of face-slab concrete at an early age
- Effect of deformation conditions on compression phase transformation of AZ31
- Application of MXene as a new generation of highly conductive coating materials for electromembrane-surrounded solid-phase microextraction
- A comparative study of the elasto-plastic properties for ceramic nanocomposites filled by graphene or graphene oxide nanoplates
- Encapsulation strategies for improving the biological behavior of CdS@ZIF-8 nanocomposites
- Biosynthesis of ZnO NPs from pumpkin seeds’ extract and elucidation of its anticancer potential against breast cancer
- Preliminary trials of the gold nanoparticles conjugated chrysin: An assessment of anti-oxidant, anti-microbial, and in vitro cytotoxic activities of a nanoformulated flavonoid
- Effect of micron-scale pores increased by nano-SiO2 sol modification on the strength of cement mortar
- Fractional simulations for thermal flow of hybrid nanofluid with aluminum oxide and titanium oxide nanoparticles with water and blood base fluids
- The effect of graphene nano-powder on the viscosity of water: An experimental study and artificial neural network modeling
- Development of a novel heat- and shear-resistant nano-silica gelling agent
- Characterization, biocompatibility and in vivo of nominal MnO2-containing wollastonite glass-ceramic
- Entropy production simulation of second-grade magnetic nanomaterials flowing across an expanding surface with viscidness dissipative flux
- Enhancement in structural, morphological, and optical properties of copper oxide for optoelectronic device applications
- Aptamer-functionalized chitosan-coated gold nanoparticle complex as a suitable targeted drug carrier for improved breast cancer treatment
- Performance and overall evaluation of nano-alumina-modified asphalt mixture
- Analysis of pure nanofluid (GO/engine oil) and hybrid nanofluid (GO–Fe3O4/engine oil): Novel thermal and magnetic features
- Synthesis of Ag@AgCl modified anatase/rutile/brookite mixed phase TiO2 and their photocatalytic property
- Mechanisms and influential variables on the abrasion resistance hydraulic concrete
- Synergistic reinforcement mechanism of basalt fiber/cellulose nanocrystals/polypropylene composites
- Achieving excellent oxidation resistance and mechanical properties of TiB2–B4C/carbon aerogel composites by quick-gelation and mechanical mixing
- Microwave-assisted sol–gel template-free synthesis and characterization of silica nanoparticles obtained from South African coal fly ash
- Pulsed laser-assisted synthesis of nano nickel(ii) oxide-anchored graphitic carbon nitride: Characterizations and their potential antibacterial/anti-biofilm applications
- Effects of nano-ZrSi2 on thermal stability of phenolic resin and thermal reusability of quartz–phenolic composites
- Benzaldehyde derivatives on tin electroplating as corrosion resistance for fabricating copper circuit
- Mechanical and heat transfer properties of 4D-printed shape memory graphene oxide/epoxy acrylate composites
- Coupling the vanadium-induced amorphous/crystalline NiFe2O4 with phosphide heterojunction toward active oxygen evolution reaction catalysts
- Graphene-oxide-reinforced cement composites mechanical and microstructural characteristics at elevated temperatures
- Gray correlation analysis of factors influencing compressive strength and durability of nano-SiO2 and PVA fiber reinforced geopolymer mortar
- Preparation of layered gradient Cu–Cr–Ti alloy with excellent mechanical properties, thermal stability, and electrical conductivity
- Recovery of Cr from chrome-containing leather wastes to develop aluminum-based composite material along with Al2O3 ceramic particles: An ingenious approach
- Mechanisms of the improved stiffness of flexible polymers under impact loading
- Anticancer potential of gold nanoparticles (AuNPs) using a battery of in vitro tests
- Review Articles
- Proposed approaches for coronaviruses elimination from wastewater: Membrane techniques and nanotechnology solutions
- Application of Pickering emulsion in oil drilling and production
- The contribution of microfluidics to the fight against tuberculosis
- Graphene-based biosensors for disease theranostics: Development, applications, and recent advancements
- Synthesis and encapsulation of iron oxide nanorods for application in magnetic hyperthermia and photothermal therapy
- Contemporary nano-architectured drugs and leads for ανβ3 integrin-based chemotherapy: Rationale and retrospect
- State-of-the-art review of fabrication, application, and mechanical properties of functionally graded porous nanocomposite materials
- Insights on magnetic spinel ferrites for targeted drug delivery and hyperthermia applications
- A review on heterogeneous oxidation of acetaminophen based on micro and nanoparticles catalyzed by different activators
- Early diagnosis of lung cancer using magnetic nanoparticles-integrated systems
- Advances in ZnO: Manipulation of defects for enhancing their technological potentials
- Efficacious nanomedicine track toward combating COVID-19
- A review of the design, processes, and properties of Mg-based composites
- Green synthesis of nanoparticles for varied applications: Green renewable resources and energy-efficient synthetic routes
- Two-dimensional nanomaterial-based polymer composites: Fundamentals and applications
- Recent progress and challenges in plasmonic nanomaterials
- Apoptotic cell-derived micro/nanosized extracellular vesicles in tissue regeneration
- Electronic noses based on metal oxide nanowires: A review
- Framework materials for supercapacitors
- An overview on the reproductive toxicity of graphene derivatives: Highlighting the importance
- Antibacterial nanomaterials: Upcoming hope to overcome antibiotic resistance crisis
- Research progress of carbon materials in the field of three-dimensional printing polymer nanocomposites
- A review of atomic layer deposition modelling and simulation methodologies: Density functional theory and molecular dynamics
- Recent advances in the preparation of PVDF-based piezoelectric materials
- Recent developments in tensile properties of friction welding of carbon fiber-reinforced composite: A review
- Comprehensive review of the properties of fly ash-based geopolymer with additive of nano-SiO2
- Perspectives in biopolymer/graphene-based composite application: Advances, challenges, and recommendations
- Graphene-based nanocomposite using new modeling molecular dynamic simulations for proposed neutralizing mechanism and real-time sensing of COVID-19
- Nanotechnology application on bamboo materials: A review
- Recent developments and future perspectives of biorenewable nanocomposites for advanced applications
- Nanostructured lipid carrier system: A compendium of their formulation development approaches, optimization strategies by quality by design, and recent applications in drug delivery
- 3D printing customized design of human bone tissue implant and its application
- Design, preparation, and functionalization of nanobiomaterials for enhanced efficacy in current and future biomedical applications
- A brief review of nanoparticles-doped PEDOT:PSS nanocomposite for OLED and OPV
- Nanotechnology interventions as a putative tool for the treatment of dental afflictions
- Recent advancements in metal–organic frameworks integrating quantum dots (QDs@MOF) and their potential applications
- A focused review of short electrospun nanofiber preparation techniques for composite reinforcement
- Microstructural characteristics and nano-modification of interfacial transition zone in concrete: A review
- Latest developments in the upconversion nanotechnology for the rapid detection of food safety: A review
- Strategic applications of nano-fertilizers for sustainable agriculture: Benefits and bottlenecks
- Molecular dynamics application of cocrystal energetic materials: A review
- Synthesis and application of nanometer hydroxyapatite in biomedicine
- Cutting-edge development in waste-recycled nanomaterials for energy storage and conversion applications
- Biological applications of ternary quantum dots: A review
- Nanotherapeutics for hydrogen sulfide-involved treatment: An emerging approach for cancer therapy
- Application of antibacterial nanoparticles in orthodontic materials
- Effect of natural-based biological hydrogels combined with growth factors on skin wound healing
- Nanozymes – A route to overcome microbial resistance: A viewpoint
- Recent developments and applications of smart nanoparticles in biomedicine
- Contemporary review on carbon nanotube (CNT) composites and their impact on multifarious applications
- Interfacial interactions and reinforcing mechanisms of cellulose and chitin nanomaterials and starch derivatives for cement and concrete strength and durability enhancement: A review
- Diamond-like carbon films for tribological modification of rubber
- Layered double hydroxides (LDHs) modified cement-based materials: A systematic review
- Recent research progress and advanced applications of silica/polymer nanocomposites
- Modeling of supramolecular biopolymers: Leading the in silico revolution of tissue engineering and nanomedicine
- Recent advances in perovskites-based optoelectronics
- Biogenic synthesis of palladium nanoparticles: New production methods and applications
- A comprehensive review of nanofluids with fractional derivatives: Modeling and application
- Electrospinning of marine polysaccharides: Processing and chemical aspects, challenges, and future prospects
- Electrohydrodynamic printing for demanding devices: A review of processing and applications
- Rapid Communications
- Structural material with designed thermal twist for a simple actuation
- Recent advances in photothermal materials for solar-driven crude oil adsorption
Articles in the same Issue
- Research Articles
- Theoretical and experimental investigation of MWCNT dispersion effect on the elastic modulus of flexible PDMS/MWCNT nanocomposites
- Mechanical, morphological, and fracture-deformation behavior of MWCNTs-reinforced (Al–Cu–Mg–T351) alloy cast nanocomposites fabricated by optimized mechanical milling and powder metallurgy techniques
- Flammability and physical stability of sugar palm crystalline nanocellulose reinforced thermoplastic sugar palm starch/poly(lactic acid) blend bionanocomposites
- Glutathione-loaded non-ionic surfactant niosomes: A new approach to improve oral bioavailability and hepatoprotective efficacy of glutathione
- Relationship between mechano-bactericidal activity and nanoblades density on chemically strengthened glass
- In situ regulation of microstructure and microwave-absorbing properties of FeSiAl through HNO3 oxidation
- Research on a mechanical model of magnetorheological fluid different diameter particles
- Nanomechanical and dynamic mechanical properties of rubber–wood–plastic composites
- Investigative properties of CeO2 doped with niobium: A combined characterization and DFT studies
- Miniaturized peptidomimetics and nano-vesiculation in endothelin types through probable nano-disk formation and structure property relationships of endothelins’ fragments
- N/S co-doped CoSe/C nanocubes as anode materials for Li-ion batteries
- Synergistic effects of halloysite nanotubes with metal and phosphorus additives on the optimal design of eco-friendly sandwich panels with maximum flame resistance and minimum weight
- Octreotide-conjugated silver nanoparticles for active targeting of somatostatin receptors and their application in a nebulized rat model
- Controllable morphology of Bi2S3 nanostructures formed via hydrothermal vulcanization of Bi2O3 thin-film layer and their photoelectrocatalytic performances
- Development of (−)-epigallocatechin-3-gallate-loaded folate receptor-targeted nanoparticles for prostate cancer treatment
- Enhancement of the mechanical properties of HDPE mineral nanocomposites by filler particles modulation of the matrix plastic/elastic behavior
- Effect of plasticizers on the properties of sugar palm nanocellulose/cinnamon essential oil reinforced starch bionanocomposite films
- Optimization of nano coating to reduce the thermal deformation of ball screws
- Preparation of efficient piezoelectric PVDF–HFP/Ni composite films by high electric field poling
- MHD dissipative Casson nanofluid liquid film flow due to an unsteady stretching sheet with radiation influence and slip velocity phenomenon
- Effects of nano-SiO2 modification on rubberised mortar and concrete with recycled coarse aggregates
- Mechanical and microscopic properties of fiber-reinforced coal gangue-based geopolymer concrete
- Effect of morphology and size on the thermodynamic stability of cerium oxide nanoparticles: Experiment and molecular dynamics calculation
- Mechanical performance of a CFRP composite reinforced via gelatin-CNTs: A study on fiber interfacial enhancement and matrix enhancement
- A practical review over surface modification, nanopatterns, emerging materials, drug delivery systems, and their biophysiochemical properties for dental implants: Recent progresses and advances
- HTR: An ultra-high speed algorithm for cage recognition of clathrate hydrates
- Effects of microalloying elements added by in situ synthesis on the microstructure of WCu composites
- A highly sensitive nanobiosensor based on aptamer-conjugated graphene-decorated rhodium nanoparticles for detection of HER2-positive circulating tumor cells
- Progressive collapse performance of shear strengthened RC frames by nano CFRP
- Core–shell heterostructured composites of carbon nanotubes and imine-linked hyperbranched polymers as metal-free Li-ion anodes
- A Galerkin strategy for tri-hybridized mixture in ethylene glycol comprising variable diffusion and thermal conductivity using non-Fourier’s theory
- Simple models for tensile modulus of shape memory polymer nanocomposites at ambient temperature
- Preparation and morphological studies of tin sulfide nanoparticles and use as efficient photocatalysts for the degradation of rhodamine B and phenol
- Polyethyleneimine-impregnated activated carbon nanofiber composited graphene-derived rice husk char for efficient post-combustion CO2 capture
- Electrospun nanofibers of Co3O4 nanocrystals encapsulated in cyclized-polyacrylonitrile for lithium storage
- Pitting corrosion induced on high-strength high carbon steel wire in high alkaline deaerated chloride electrolyte
- Formulation of polymeric nanoparticles loaded sorafenib; evaluation of cytotoxicity, molecular evaluation, and gene expression studies in lung and breast cancer cell lines
- Engineered nanocomposites in asphalt binders
- Influence of loading voltage, domain ratio, and additional load on the actuation of dielectric elastomer
- Thermally induced hex-graphene transitions in 2D carbon crystals
- The surface modification effect on the interfacial properties of glass fiber-reinforced epoxy: A molecular dynamics study
- Molecular dynamics study of deformation mechanism of interfacial microzone of Cu/Al2Cu/Al composites under tension
- Nanocolloid simulators of luminescent solar concentrator photovoltaic windows
- Compressive strength and anti-chloride ion penetration assessment of geopolymer mortar merging PVA fiber and nano-SiO2 using RBF–BP composite neural network
- Effect of 3-mercapto-1-propane sulfonate sulfonic acid and polyvinylpyrrolidone on the growth of cobalt pillar by electrodeposition
- Dynamics of convective slippery constraints on hybrid radiative Sutterby nanofluid flow by Galerkin finite element simulation
- Preparation of vanadium by the magnesiothermic self-propagating reduction and process control
- Microstructure-dependent photoelectrocatalytic activity of heterogeneous ZnO–ZnS nanosheets
- Cytotoxic and pro-inflammatory effects of molybdenum and tungsten disulphide on human bronchial cells
- Improving recycled aggregate concrete by compression casting and nano-silica
- Chemically reactive Maxwell nanoliquid flow by a stretching surface in the frames of Newtonian heating, nonlinear convection and radiative flux: Nanopolymer flow processing simulation
- Nonlinear dynamic and crack behaviors of carbon nanotubes-reinforced composites with various geometries
- Biosynthesis of copper oxide nanoparticles and its therapeutic efficacy against colon cancer
- Synthesis and characterization of smart stimuli-responsive herbal drug-encapsulated nanoniosome particles for efficient treatment of breast cancer
- Homotopic simulation for heat transport phenomenon of the Burgers nanofluids flow over a stretching cylinder with thermal convective and zero mass flux conditions
- Incorporation of copper and strontium ions in TiO2 nanotubes via dopamine to enhance hemocompatibility and cytocompatibility
- Mechanical, thermal, and barrier properties of starch films incorporated with chitosan nanoparticles
- Mechanical properties and microstructure of nano-strengthened recycled aggregate concrete
- Glucose-responsive nanogels efficiently maintain the stability and activity of therapeutic enzymes
- Tunning matrix rheology and mechanical performance of ultra-high performance concrete using cellulose nanofibers
- Flexible MXene/copper/cellulose nanofiber heat spreader films with enhanced thermal conductivity
- Promoted charge separation and specific surface area via interlacing of N-doped titanium dioxide nanotubes on carbon nitride nanosheets for photocatalytic degradation of Rhodamine B
- Elucidating the role of silicon dioxide and titanium dioxide nanoparticles in mitigating the disease of the eggplant caused by Phomopsis vexans, Ralstonia solanacearum, and root-knot nematode Meloidogyne incognita
- An implication of magnetic dipole in Carreau Yasuda liquid influenced by engine oil using ternary hybrid nanomaterial
- Robust synthesis of a composite phase of copper vanadium oxide with enhanced performance for durable aqueous Zn-ion batteries
- Tunning self-assembled phases of bovine serum albumin via hydrothermal process to synthesize novel functional hydrogel for skin protection against UVB
- A comparative experimental study on damping properties of epoxy nanocomposite beams reinforced with carbon nanotubes and graphene nanoplatelets
- Lightweight and hydrophobic Ni/GO/PVA composite aerogels for ultrahigh performance electromagnetic interference shielding
- Research on the auxetic behavior and mechanical properties of periodically rotating graphene nanostructures
- Repairing performances of novel cement mortar modified with graphene oxide and polyacrylate polymer
- Closed-loop recycling and fabrication of hydrophilic CNT films with high performance
- Design of thin-film configuration of SnO2–Ag2O composites for NO2 gas-sensing applications
- Study on stress distribution of SiC/Al composites based on microstructure models with microns and nanoparticles
- PVDF green nanofibers as potential carriers for improving self-healing and mechanical properties of carbon fiber/epoxy prepregs
- Osteogenesis capability of three-dimensionally printed poly(lactic acid)-halloysite nanotube scaffolds containing strontium ranelate
- Silver nanoparticles induce mitochondria-dependent apoptosis and late non-canonical autophagy in HT-29 colon cancer cells
- Preparation and bonding mechanisms of polymer/metal hybrid composite by nano molding technology
- Damage self-sensing and strain monitoring of glass-reinforced epoxy composite impregnated with graphene nanoplatelet and multiwalled carbon nanotubes
- Thermal analysis characterisation of solar-powered ship using Oldroyd hybrid nanofluids in parabolic trough solar collector: An optimal thermal application
- Pyrene-functionalized halloysite nanotubes for simultaneously detecting and separating Hg(ii) in aqueous media: A comprehensive comparison on interparticle and intraparticle excimers
- Fabrication of self-assembly CNT flexible film and its piezoresistive sensing behaviors
- Thermal valuation and entropy inspection of second-grade nanoscale fluid flow over a stretching surface by applying Koo–Kleinstreuer–Li relation
- Mechanical properties and microstructure of nano-SiO2 and basalt-fiber-reinforced recycled aggregate concrete
- Characterization and tribology performance of polyaniline-coated nanodiamond lubricant additives
- Combined impact of Marangoni convection and thermophoretic particle deposition on chemically reactive transport of nanofluid flow over a stretching surface
- Spark plasma extrusion of binder free hydroxyapatite powder
- An investigation on thermo-mechanical performance of graphene-oxide-reinforced shape memory polymer
- Effect of nanoadditives on the novel leather fiber/recycled poly(ethylene-vinyl-acetate) polymer composites for multifunctional applications: Fabrication, characterizations, and multiobjective optimization using central composite design
- Design selection for a hemispherical dimple core sandwich panel using hybrid multi-criteria decision-making methods
- Improving tensile strength and impact toughness of plasticized poly(lactic acid) biocomposites by incorporating nanofibrillated cellulose
- Green synthesis of spinel copper ferrite (CuFe2O4) nanoparticles and their toxicity
- The effect of TaC and NbC hybrid and mono-nanoparticles on AA2024 nanocomposites: Microstructure, strengthening, and artificial aging
- Excited-state geometry relaxation of pyrene-modified cellulose nanocrystals under UV-light excitation for detecting Fe3+
- Effect of CNTs and MEA on the creep of face-slab concrete at an early age
- Effect of deformation conditions on compression phase transformation of AZ31
- Application of MXene as a new generation of highly conductive coating materials for electromembrane-surrounded solid-phase microextraction
- A comparative study of the elasto-plastic properties for ceramic nanocomposites filled by graphene or graphene oxide nanoplates
- Encapsulation strategies for improving the biological behavior of CdS@ZIF-8 nanocomposites
- Biosynthesis of ZnO NPs from pumpkin seeds’ extract and elucidation of its anticancer potential against breast cancer
- Preliminary trials of the gold nanoparticles conjugated chrysin: An assessment of anti-oxidant, anti-microbial, and in vitro cytotoxic activities of a nanoformulated flavonoid
- Effect of micron-scale pores increased by nano-SiO2 sol modification on the strength of cement mortar
- Fractional simulations for thermal flow of hybrid nanofluid with aluminum oxide and titanium oxide nanoparticles with water and blood base fluids
- The effect of graphene nano-powder on the viscosity of water: An experimental study and artificial neural network modeling
- Development of a novel heat- and shear-resistant nano-silica gelling agent
- Characterization, biocompatibility and in vivo of nominal MnO2-containing wollastonite glass-ceramic
- Entropy production simulation of second-grade magnetic nanomaterials flowing across an expanding surface with viscidness dissipative flux
- Enhancement in structural, morphological, and optical properties of copper oxide for optoelectronic device applications
- Aptamer-functionalized chitosan-coated gold nanoparticle complex as a suitable targeted drug carrier for improved breast cancer treatment
- Performance and overall evaluation of nano-alumina-modified asphalt mixture
- Analysis of pure nanofluid (GO/engine oil) and hybrid nanofluid (GO–Fe3O4/engine oil): Novel thermal and magnetic features
- Synthesis of Ag@AgCl modified anatase/rutile/brookite mixed phase TiO2 and their photocatalytic property
- Mechanisms and influential variables on the abrasion resistance hydraulic concrete
- Synergistic reinforcement mechanism of basalt fiber/cellulose nanocrystals/polypropylene composites
- Achieving excellent oxidation resistance and mechanical properties of TiB2–B4C/carbon aerogel composites by quick-gelation and mechanical mixing
- Microwave-assisted sol–gel template-free synthesis and characterization of silica nanoparticles obtained from South African coal fly ash
- Pulsed laser-assisted synthesis of nano nickel(ii) oxide-anchored graphitic carbon nitride: Characterizations and their potential antibacterial/anti-biofilm applications
- Effects of nano-ZrSi2 on thermal stability of phenolic resin and thermal reusability of quartz–phenolic composites
- Benzaldehyde derivatives on tin electroplating as corrosion resistance for fabricating copper circuit
- Mechanical and heat transfer properties of 4D-printed shape memory graphene oxide/epoxy acrylate composites
- Coupling the vanadium-induced amorphous/crystalline NiFe2O4 with phosphide heterojunction toward active oxygen evolution reaction catalysts
- Graphene-oxide-reinforced cement composites mechanical and microstructural characteristics at elevated temperatures
- Gray correlation analysis of factors influencing compressive strength and durability of nano-SiO2 and PVA fiber reinforced geopolymer mortar
- Preparation of layered gradient Cu–Cr–Ti alloy with excellent mechanical properties, thermal stability, and electrical conductivity
- Recovery of Cr from chrome-containing leather wastes to develop aluminum-based composite material along with Al2O3 ceramic particles: An ingenious approach
- Mechanisms of the improved stiffness of flexible polymers under impact loading
- Anticancer potential of gold nanoparticles (AuNPs) using a battery of in vitro tests
- Review Articles
- Proposed approaches for coronaviruses elimination from wastewater: Membrane techniques and nanotechnology solutions
- Application of Pickering emulsion in oil drilling and production
- The contribution of microfluidics to the fight against tuberculosis
- Graphene-based biosensors for disease theranostics: Development, applications, and recent advancements
- Synthesis and encapsulation of iron oxide nanorods for application in magnetic hyperthermia and photothermal therapy
- Contemporary nano-architectured drugs and leads for ανβ3 integrin-based chemotherapy: Rationale and retrospect
- State-of-the-art review of fabrication, application, and mechanical properties of functionally graded porous nanocomposite materials
- Insights on magnetic spinel ferrites for targeted drug delivery and hyperthermia applications
- A review on heterogeneous oxidation of acetaminophen based on micro and nanoparticles catalyzed by different activators
- Early diagnosis of lung cancer using magnetic nanoparticles-integrated systems
- Advances in ZnO: Manipulation of defects for enhancing their technological potentials
- Efficacious nanomedicine track toward combating COVID-19
- A review of the design, processes, and properties of Mg-based composites
- Green synthesis of nanoparticles for varied applications: Green renewable resources and energy-efficient synthetic routes
- Two-dimensional nanomaterial-based polymer composites: Fundamentals and applications
- Recent progress and challenges in plasmonic nanomaterials
- Apoptotic cell-derived micro/nanosized extracellular vesicles in tissue regeneration
- Electronic noses based on metal oxide nanowires: A review
- Framework materials for supercapacitors
- An overview on the reproductive toxicity of graphene derivatives: Highlighting the importance
- Antibacterial nanomaterials: Upcoming hope to overcome antibiotic resistance crisis
- Research progress of carbon materials in the field of three-dimensional printing polymer nanocomposites
- A review of atomic layer deposition modelling and simulation methodologies: Density functional theory and molecular dynamics
- Recent advances in the preparation of PVDF-based piezoelectric materials
- Recent developments in tensile properties of friction welding of carbon fiber-reinforced composite: A review
- Comprehensive review of the properties of fly ash-based geopolymer with additive of nano-SiO2
- Perspectives in biopolymer/graphene-based composite application: Advances, challenges, and recommendations
- Graphene-based nanocomposite using new modeling molecular dynamic simulations for proposed neutralizing mechanism and real-time sensing of COVID-19
- Nanotechnology application on bamboo materials: A review
- Recent developments and future perspectives of biorenewable nanocomposites for advanced applications
- Nanostructured lipid carrier system: A compendium of their formulation development approaches, optimization strategies by quality by design, and recent applications in drug delivery
- 3D printing customized design of human bone tissue implant and its application
- Design, preparation, and functionalization of nanobiomaterials for enhanced efficacy in current and future biomedical applications
- A brief review of nanoparticles-doped PEDOT:PSS nanocomposite for OLED and OPV
- Nanotechnology interventions as a putative tool for the treatment of dental afflictions
- Recent advancements in metal–organic frameworks integrating quantum dots (QDs@MOF) and their potential applications
- A focused review of short electrospun nanofiber preparation techniques for composite reinforcement
- Microstructural characteristics and nano-modification of interfacial transition zone in concrete: A review
- Latest developments in the upconversion nanotechnology for the rapid detection of food safety: A review
- Strategic applications of nano-fertilizers for sustainable agriculture: Benefits and bottlenecks
- Molecular dynamics application of cocrystal energetic materials: A review
- Synthesis and application of nanometer hydroxyapatite in biomedicine
- Cutting-edge development in waste-recycled nanomaterials for energy storage and conversion applications
- Biological applications of ternary quantum dots: A review
- Nanotherapeutics for hydrogen sulfide-involved treatment: An emerging approach for cancer therapy
- Application of antibacterial nanoparticles in orthodontic materials
- Effect of natural-based biological hydrogels combined with growth factors on skin wound healing
- Nanozymes – A route to overcome microbial resistance: A viewpoint
- Recent developments and applications of smart nanoparticles in biomedicine
- Contemporary review on carbon nanotube (CNT) composites and their impact on multifarious applications
- Interfacial interactions and reinforcing mechanisms of cellulose and chitin nanomaterials and starch derivatives for cement and concrete strength and durability enhancement: A review
- Diamond-like carbon films for tribological modification of rubber
- Layered double hydroxides (LDHs) modified cement-based materials: A systematic review
- Recent research progress and advanced applications of silica/polymer nanocomposites
- Modeling of supramolecular biopolymers: Leading the in silico revolution of tissue engineering and nanomedicine
- Recent advances in perovskites-based optoelectronics
- Biogenic synthesis of palladium nanoparticles: New production methods and applications
- A comprehensive review of nanofluids with fractional derivatives: Modeling and application
- Electrospinning of marine polysaccharides: Processing and chemical aspects, challenges, and future prospects
- Electrohydrodynamic printing for demanding devices: A review of processing and applications
- Rapid Communications
- Structural material with designed thermal twist for a simple actuation
- Recent advances in photothermal materials for solar-driven crude oil adsorption