Fractional simulations for thermal flow of hybrid nanofluid with aluminum oxide and titanium oxide nanoparticles with water and blood base fluids
-
Muhammad Ijaz Khan
, Ibrahim B. Mansir
, Ali Raza , Sami Ullah Khan , Samia Elattar , Hanaa Mohamed Said , Iskander Tlili , Khalid Abdulkhaliq M. Alharbiand Ahmed M. Galal
Abstract
The fractional model has been developed for the thermal flow of hybrid nanofluid due to the inclined surface. The thermal investigation of the hybrid nanomaterial is predicted by utilizing the molybdenum disulphide nanoparticles and graphene oxide nanomaterials. The flow computations for mixed convection flow of nanoparticles and base fluids are performed due to vertical oscillating plate. The simulations for the formulated model have been done ρ-Laplace transform technique for Caputo fractional simulations. Definitions of Mittage–Leffler function and ρ-Laplace transform are also presented for the governing model. The application of updated definitions of ρ-Laplace transform for the Caputo fractional model is quite interesting unlike traditional Laplace transforms. The comparative investigation for both types of nanoparticles is performed for heat and mass transfer rates. It is observed that the heat enhancement rate due to water-based nanoparticles is relatively impressive compared to the kerosene oil-based nanomaterials.
Nomenclature
- v
-
velocity [m/s]
- t
-
time [s]
- U o
-
constant velocity [m/s]
- T
-
temperature [K]
- C
-
concentration
- Pr
-
Prandtl number
- Sc
-
Schmidt number
- Gr
-
heat Grashof number
- Gm
-
mass Grashof number
- CF
-
Caputo–Fabrizio fractional derivative
- s
-
Laplace transformed variable
- g
-
acceleration due to gravity [m/s2]
- β
-
CF-fractional derivative operator
- Nu
-
Nusselt number
- C f
-
skin friction
- β 1
-
second-grade fluid parameter
1 Introduction
Nowadays, researchers and engineers are showing great interest to examine nanofluids heat transportation problems. Although many traditional concepts for enhancing the thermal capacity are reported, the demand of the economic growth for industrial and engineering phenomena is affected due to low thermal requirements. The modern research in nanotechnology directed the researchers to report the thermal resources on the basis of nanoparticles. The uniform and homogenous suspension between water and nanomaterials induced the concept of nanofluids. The nanofluids are obtained from various materials like metals, graphite, carbide ceramics, oxide ceramics, carbide ceramics, and carbon nanotubes. A magnificently improved thermal nature of many base liquids on interacting nanoparticles is observed, which claim applications in the biofluids, thermal systems, extrusion processes, organic liquids, biomedical applications, solar systems, and many more. The basic continuation on nanofluid topic was addressed by Choi [1]. Shehzad et al. [2] identified the thermal transport of micropolar nanofluid with significant magneto-porosity effects. Turkyilmazoglu [3] observed the heat enhancement with the interaction of nanomaterials with implementation of Buongiorno nanofluid relations. Nadeem et al. [4] discussed the heating determination of nanofluid subject for viscoelastic base material. Abdelmalek et al. [5] highlighted the bioconvection prospective of micropolar nanofluid via accelerated space. Mahanthesh et al. [6] reported the nanomaterial applications for enhancing the heat transfer mechanism for the convective flow. Ramezanizadeh et al. [7] proposed a review detail for the nanomaterials research with different thermal conductivities via intelligence technique approach. Khan et al. [8] endorsed the thermal prediction for the heat transfer enhancement for the Reiner–Philippoff nanofluid with the effective role of higher order slip consequences. Reddy et al. [9] notified the thermal determination with the interaction of nanoparticles in the rotating disk. The lubrication problem for the third-grade nanofluid for the radiative flow has been observed by Abbasi et al. [10].
Among the nanomaterials, the hybrid nanofluid is the subclass with improved thermal features and enhanced characteristics. In comparison to simple nanofluids, hybrid materials offer more thermal stability and excellent thermal conductivities. Being the composite of metallic and nonmetallic nanoparticles with base fluids, various applications are observed for hybrid nanofluids. The enhancement of the thermal consequences of nanofluids is experimentally and theoretically observed by many researchers. Sabu et al. [11] reported the significant outcomes for the hybrid nanofluids via alumina nanoparticles when the role of slip is more prominent. Dawar et al. [12] conducted the thermal prospective research for nanoparticles with applications of solar energy. Hassan et al. [13] pronounced the thermal improvement of hybrid nanofluid with shear thinning and thickening base fluid via an experimental approach. The copper base hybrid nanofluid model for the channel flow due to cavity was inspected by Al-Farhany et al. [14]. Song et al. [15] addressed the multiwalled carbon nanotube thermal inspection with truncation of the boundary layer by confirming the results via the experimental model. Wahid et al. [16] addressed the aluminum oxide and copper nanoparticles mixture for the slip flow under the impact of thermal radiation. Madhukesh et al. [17] observed that enhancement in the heating phenomenon by involving the AA7072 and AA7075 nanoparticles for the curved surface numerically. Saleem et al. [18] discussed the role of activation energy and magnetic force impact for the hybrid nanofluid for the ciliary optimized transport. Rajesh et al. [19] evaluated the thermal prospective for the hybrid nanofluid in the vertical plate due to ramped temperature. Alghamdi et al. [20] discussed the heat transfer pattern with hybrid nanofluid for the blood flow.
Due to recent progress in the fractional calculus, some new concepts and definitions of derivatives and integrals are presented. On this end, different types of operators are classified for the integrals and derivatives. Among such operators, the concept of fractional calculus is also novel due to local and nonlocal Kernels. The knowledge about the local and nonlocal characteristics of kernels and operators are significantly reported via fractional calculus. The researchers provided many different and novel explanations about the definitions of fractional operators. Among this, the expressions for the Caputo and Fabrizio is very interesting. This definition of fractional derivatives presents the justification for the fractional operator of nonsingular kernel and about nonlocal phenomenon. Shah and Khan [21] implemented the fractional approach based on the Caputo–Fabrizio approach for the oscillating flow of the vertical plate due to second-grade material. Asjad et al. [22] used the Caputo–Fabrizio (CF) technique for the Newtonian heating flow of the viscoelastic fluid, and simulations were compared with the previous investigation. Raza et al. [23] focused on the utilization of the CF approach for the Burgers flow problem with time-dependent oscillations. The CF analytical determination for the second-grade fluid flow phenomenon has been observed by Siddique et al. [24]. Alshabanat et al. [25] used the modified concept of the CF approach for the electrical circuit problem. Anwar et al. [26] addressed the role of magnetic force along with the Newtonian heating effects toward the Oldroyd-B fluid flow via Caputo–Fabrizio approach. Khan et al. [27] performed a comparative fractional investigation for the slip flow of viscous fluid due to the radiative flow. Some more work on this topic can be addressed via refs. [28–33].
The concern of current research is to examine the hybrid nanofluid heating onset with the suspension of water and kerosene oil base liquids due to the oscillating plate. The thermal aspect of the hybrid nanofluid model is supported with the interaction of graphene oxide and molybdenum disulphide nanoparticles. The fractional simulations via Caputo fractional simulations with modified definitions of Laplace techniques are performed. The prime objectives of this continuation in the summarized form are as follows:
Inspect the comparative thermal applications of hybrid nanofluid for the water and kerosene oil base materials.
The thermal stability and efficiencies of both water and kerosene oil base fluids by interacting the graphene oxide and molybdenum disulphide nanoparticles have been theoretically evaluated.
The fractional approach based on the CF fractional simulations is considered.
The implementation of most modified definitions of ρ-Laplace transformations has been suggested with updated definitions. The integral tasks for the Caputo fractional approach are carried out by ρ-Laplace definitions.
The concept of Mittage–Leffler functions for the Caputo fractional approach in view of ρ-Laplace transformations is presented.
Based on the literature review, it is intended that different fractional studies regarding the thermal determination of nanofluid are available in the literature; however, the new fractional concept with ρ-Laplace transforms for such nanoparticles is not investigated in the existing literature.
2 Problem formulation
Consider a free convection viscoelastic second-grade nanofluid mixed with molybdenum disulfide and graphene-oxide nanoparticles with water and kerosene oil as base fluid via an exponentially vertical plate. The induced inclined plate is isothermally infinite whose mass and diffusion rate changes in the presence of heat absorption. Furthermore, the flowing fluid is considered electrically conducting and the value of the Reynolds number is very small compared to the transverse magnetic field. First, at t = 0, the static position of plate and nanoparticles is observed. Then, at t > 0+, the inclined plate starts to vibrate with constant velocity
subjected to the following conditions:
where,
The thermal characteristics of blood, water single carbon-nanotubes, and multiwall carbon nanotubes
| Material | Water | Kerosene oil | GO | MoS2 |
|---|---|---|---|---|
|
|
997.1 | 78.3 | 1,800 | 5,060 |
|
|
4,179 | 2,090 | 717 | 397.21 |
|
|
0.613 | 0.145 | 5,000 | 904.4 |
|
|
21 | 99 | 0.284 | 2.8424 |
Now introducing the nondimensional constraints as follows:
The transformed set with dimensionless parameters is expressed as follows:
With consistent transformed conditions:
where
Performing the fractional definitions:
where
Thermophysical properties
| Quantity | Mathematical representation |
|---|---|
| Effective density |
|
| Dynamic viscosity |
|
| Electrical conductivity |
|
| Thermal expansion |
|
| Heat capacitance |
|
| Thermal conductivity |
|
| Electrical conductivity |
|
3 Basic preliminaries
Definition 1
Let
Definition 2
Let
Here,
Definition 3
(Convolution theorem) Let η and ζ be two piecewise continuous functions at each interval
Then the commutatively of the ρ* convolution of two functions is expressed as follows:
Definition 4
Mittage–Leffler function
The Mittag–Leffler function is the generalized form of the exponential functions and plays a key role in the field of fractional order calculus. The mathematical expression for the Mittag–Leffler function for a single variable is given by
In the more general form, the Mittag–Leffler form is given by
From equations (13) and (14), the relation
Definition 5
The generalized CF-fractional operator is given, respectively, as follows [3]:
ρ-Laplace transform of some elementary functions:
4 Solution of the problem
In this section, the solution of governing equations (concentration, temperature, and velocity profiles) will be evaluated by using ρ-Laplace transformation scheme.
4.1 Solution of the concentration profile
By employing the ρ-Laplace transform technique on the nonlocal concentration equation given in equation (12), we obtain
With
Solving summation involved in the differential equation (12) and applying initial and transformed boundary conditions, equation (11) will take the form in ρ-Laplace transformed domain:
where
Statistical analysis of concentration, temperature, and velocity profile by both numerical algorithms
|
|
|
|
|
|||
|---|---|---|---|---|---|---|
| Stehfest | Tzou’s | Stehfest | Tzou’s | Stehfest | Tzou’s | |
| 0.1 | 3.6173 | 3.5727 | 4.0490 | 4.0089 | 4.7115 | 4.6955 |
| 0.3 | 2.8129 | 2.7783 | 3.2589 | 3.2267 | 4.5181 | 4.5011 |
| 0.5 | 2.1865 | 2.1596 | 2.6202 | 2.5947 | 4.2010 | 4.1844 |
| 0.7 | 1.6987 | 1.6779 | 2.1053 | 2.0844 | 3.8289 | 3.8135 |
| 0.9 | 1.3191 | 1.3029 | 1.6891 | 1.6724 | 3.4428 | 3.4289 |
| 1.1 | 1.0238 | 1.0112 | 1.3534 | 1.3400 | 3.0663 | 3.0541 |
| 1.3 | 0.7941 | 0.7843 | 1.0827 | 1.0720 | 2.7126 | 2.7019 |
| 1.5 | 0.6155 | 0.6079 | 0.8646 | 0.8561 | 2.3878 | 2.3786 |
| 1.7 | 0.4767 | 0.4709 | 0.6890 | 0.6822 | 2.0943 | 2.0865 |
| 1.9 | 0.3689 | 0.3644 | 0.5477 | 0.5423 | 1.8320 | 1.8253 |
4.2 Solution of the temperature profile
Employing the ρ-Laplace transform technique on the nonlocal energy equation given in equation (11), we obtain (Figure 1).

Physical flow of problem.
With
By employing such transformations, the expression for temperature profile is expressed as follows:
4.3 Solution of the velocity field
Applying the ρ-Laplace technique on equation (10) yield:
With transformed conditions:
The solution is expressed as follows:
where
The Laplace transform is expressed as follows:
where N is a positive integer, and
and
5 Results and discussion
In this article, the molybdenum disulfide and graphene-oxide mixed nanofluid theoretical flow work is performed for fractional technique namely CF-fractional derivative. The numerical solution of governed equations is obtained by ρ-Laplace technique is worked out. The physical onset in view of modeled parameters is observed in this section. Figure 2(a) reports the thermal enhancement of kerosene oil and water base material when fractional parameter β gets varies. The thermal impact of both base materials declined for β. However, the change in thermal properties of kerosene oil is more progressive compared to water. Figure 2(a) explores the thermal observations for the temperature profile for kerosene oil and water liquid when the maximum value assigned to the Prandtl number. The results predict the temperature profile controls for the Prandtl number. The results for concentration profile due to enhancing β are determined in Figure 3(a). The declining convective transport of concentration profile for kerosene oil and water materials is noticed. To inspect the response of the fluid motion against the Schmidt number Sc Figure 3(b) has been plotted. A declination in the velocity field has been viewed against the higher values of Sc. This is due to the fact that Sc has direct contact with the viscosity of the fluid and opposite relation with diffusion, and because of this relations, declination of the field is observed for higher values. Figure 4(a) and (b) are plotted to inspect the behavior of fractional constraint and second-grade fluid parameters on momentum profile for both types of nanofluids. Figure 4(b) is plotted for the impact of the second-grade fluid parameter β 1 on the velocity of different types of nanofluid. The figure shows the acceleration in the assumed nanofluid against β 1. This is because of the inverse contact of β 1 to the kinematic viscosity of the fluid; therefore, as the magnitude of β 1 increases, the viscous forces in the based fluid decrease, which leads to a boost up the fluid motion. The change in the profile of velocity due to thermal Grashof number Gr and mass Grashof number Gm has been explored in Figure 5(a) and (b). The increasing effects on velocity due to Gr and Gm are preserved. This enhancing behavior is due to the presence of larger buoyancy forces.

(a and b) Effects of β, Pr for temperature profile.

(a and b) Effects of β, Sc on concentration profile.

(a and b) Change in velocity for (a) fractional parameter β and (b) second-grade fluid parameter β 1 for velocity field with Pr = 5.6, Gr = 4.7, Gm = 4.2, Sc = 3.9. t = 1.3, φ = 0.03.

(a and b) Change in velocity for (a) hear Grashof number Gr and (b) mass Grashof number Gm for velocity field with β = 0.5, Pr = 5.6, Sc = 3.9. t = 1.3, φ = 0.03.
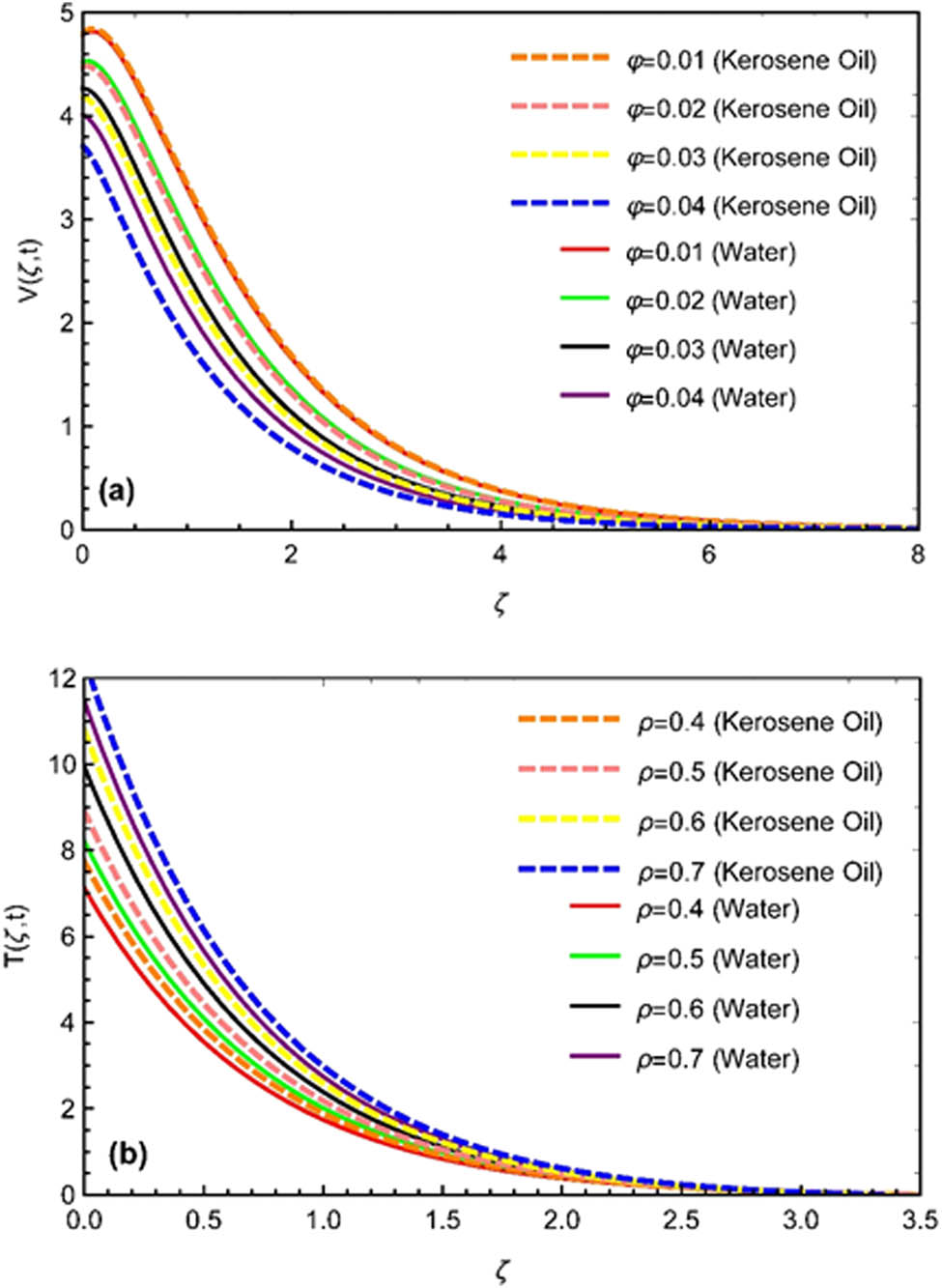
The variations in fluid behavior in the reaction of volume fraction of both fluids blood and water-based nanofluid have been plotted in Figure 6(a). Retardation in the fluid motion is noticed when the magnitude of ϕ reaches 0.04. The magnitude of the nanoparticles causes the mass and viscous forces in the fluid to increase, causing the fluid to move more slowly. In Figure 6(b), we have evaluated the influence of ρ on velocity field while keeping other parameters constant. From this figure, it can be concluded that the velocity field is the increasing function of order ρ. As the order ρ raises, the velocity field shows augmentation. The graphical comparison for suspension of water and kerosene oil base fluids with graphene oxide nanoparticles and water and kerosene oil base materials with the interaction of graphene oxide and molybdenum disulphide nanoparticles has been presented in Figure 7(a). The change in the velocity for water–graphene oxide suspension is more enlacing. However, the lower velocity profile is claimed for the combination of kerosene oil and molybdenum disulphide nanoparticles. The comparative analysis for the Laplace technique like Stehfest and Tzous schemes is presented in Figure 7(b). A fine accuracy of simulations for both techniques is observed. The numerical onset for concentration, temperature, and the velocity profile is tabulated by Stehfest and Tzous numerical techniques in Table 3. The numerical values of concentration, temperature, and velocity profiles declines for ζ Moreover, the obtained values from both techniques are almost identical. Furthermore, the numerical investigation rate of Nusselt number, Sherwood number, and skin friction are analyzed in Table 4. The increasing Nusselt number numerical values are results for β.

(a and b) Change in temperature for (a) φ and (b) ρ with β = 0.5, Pr = 5.6, Gr = 4.7, Gm = 4.2, Sc = 3.9, t = 1.3.

(a and b) Comparison of (a) different base fluid parameters and (b) comparison of numerical schemes.
Numerical analysis for Sh, Nu, and C f by increasing
|
|
Sh | Nu | C f |
|---|---|---|---|
| 0.1 | 1.5487 | 2.2309 | 1.5304 |
| 0.2 | 1.6409 | 2.3734 | 1.5746 |
| 0.3 | 1.7490 | 2.5356 | 1.6197 |
| 0.4 | 1.8789 | 2.7292 | 1.6657 |
| 0.5 | 2.0398 | 2.9718 | 1.7129 |
| 0.6 | 2.2477 | 3.2927 | 1.7607 |
| 0.7 | 2.5319 | 3.7469 | 1.8107 |
| 0.8 | 2.9537 | 4.4549 | 1.8639 |
| 0.9 | 3.6646 | 5.7370 | 1.9224 |
6 Conclusions
Caputo–Fabrizio fractional operator has been applied to fractionalize the viscoelastic second-grade nanofluid on an erect exponential type oscillating vertical flat plate. The solutions for generalized governing equations have been obtained by using ρ-Laplace transform technique, which is more general than the ordinary Laplace transform technique. For graphical analysis, the graphs of different parameters have been plotted through mathematical software and elaborated physically. The key findings of the present analysis are listed as follows:
The change in temperature profile is lower for fractional parameter and Prandtl number for both kerosene oil and water base liquids.
The lower concentration profile for kerosene oil and water base fluids is results for larger fractional parameter.
The increase in velocity has been observed for second-grade fluid parameter. However, the increasing effects are comparatively smaller for water base fluid.
With a larger increment of thermal Grashof number and mass Grashof number, the improvement in velocity is observed.
The change in the velocity for water–graphene oxide suspension is more impressive compared to kerosene oil and molybdenum disulphide nanoparticles.
-
Funding information: Dr. Hanaa Mohamed Said would like to thank the Deanship of Scientific Research at Majmaah University for supporting this work under Project Number No. R-2022-102. Princess Nourah bint Abdulrahman University Researchers Supporting Project number (PNURSP2022R163), Princess Nourah bint Abdulrahman University, Riyadh, Saudi Arabia. The authors would like to thank the Deanship of Scientific Research at Umm Al-Qura University for supporting this work by Grant Code: 22UQU4310392DSR21.
-
Author contributions: All authors have accepted responsibility for the entire content of this manuscript and approved its submission.
-
Conflict of interest: The authors state no conflict of interest.
References
[1] Choi SUS. Enhancing thermal conductivity of fluids with nanoparticles. ASME-Publ-Fed. 1995;231:99–106.10.1115/IMECE1995-0926Search in Google Scholar
[2] Shehzad SA, Khan SU, Abbas Z, Rauf A. A revised Cattaneo-Christov micropolar viscoelastic nanofluid model with combined porosity and magnetic effects. Appl Math Mech. 2020;41:521–32.10.1007/s10483-020-2581-5Search in Google Scholar
[3] Turkyilmazoglu M. On the transparent effects of Buongiorno nanofluid model on heat and mass transfer. Eur Phys J Plus. 2021;136:376.10.1140/epjp/s13360-021-01359-2Search in Google Scholar
[4] Nadeem S, Fuzhang W, Alharbi FM, Sajid F, Abbas N, El-Shafay AS, Al-Mubaddel FS. Al-Mubaddel, Numerical computations for Buongiorno nano fluid model on the boundary layer flow of viscoelastic fluid towards a nonlinear stretching sheet. Alexandria Eng J. February 2022;61(2):1769–78.10.1016/j.aej.2021.11.013Search in Google Scholar
[5] Abdelmalek Z, Khan SU, Awais M, Mustfa MS. Analysis of generalized micropolar nanofluid with swimming of microorganisms over an accelerated surface with activation energy. J Thermal Anal Calorimetry. 2021;144:1051–63.10.1007/s10973-020-09474-5Search in Google Scholar
[6] Mahanthesh B, Srikantha N, Mackolil J. A study on heat transfer in three-dimensional nonlinear convective boundary layer flow of nanomaterial considering the aggregation of nanoparticles. Heat Transfer Asian Res. January 2022;51(1):891–908.10.1002/htj.22334Search in Google Scholar
[7] Ramezanizadeh M, Nazari MA, Ahmadi MH, Lorenzini G, Pop I. A review on the applications of intelligence methods in predicting thermal conductivity of nanofluids. J Thermal Anal Calorimetry. 2019;138(1):827–43.10.1007/s10973-019-08154-3Search in Google Scholar
[8] Khan SU, Al-Khaled K, Bhatti MM. Numerical experiment of Reiner-Philippoff nanofluid flow subject to the higher-order slip features, activation energy, and bioconvection. Partial Differ Equ Appl Math. December 2021;4:100126.10.1016/j.padiff.2021.100126Search in Google Scholar
[9] Reddy PS, Sreedevi P, Rao KV. Impact of heat generation/absorption on heat and mass transfer of nanofluid over rotating disk filled with carbon nanotubes. Int J Num Methods Heat Fluid Flow. 2021;31(9):2962–85.10.1108/HFF-10-2020-0621Search in Google Scholar
[10] Abbasi A, Farooq W, Muhammad T, Khan MI, Khan SU, Mabood F, Bibi S. Implications of the third-grade nanomaterials lubrication problem in terms of radiative heat flux: A Keller box analysis. Chem Phys Lett. 16 November 2021;783:139041.10.1016/j.cplett.2021.139041Search in Google Scholar
[11] Sabu AS, Wakif A, Areekara S, Mathew A, Shah NA. Significance of nanoparticles’ shape and thermo-hydrodynamic slip constraints on MHD alumina-water nanoliquid flows over a rotating heated disk: The passive control approach. Int Commun Heat Mass Transfer. December 2021;129:105711.10.1016/j.icheatmasstransfer.2021.105711Search in Google Scholar
[12] Dawar A, Wakif A, Thumma T, Shah NA. Towards a new MHD non-homogeneous convective nanofluid flow model for simulating a rotating inclined thin layer of sodium alginate-based Iron oxide exposed to incident solar energy. Int Commun Heat Mass Transfer. January 2022;130:105800.10.1016/j.icheatmasstransfer.2021.105800Search in Google Scholar
[13] Hassan M, El‐Zahar ER, Khan SU, Rahimi‐Gorji M, Ahmad A. Boundary layer flow pattern of heat and mass for homogenous shear thinning hybrid-nanofluid: An experimental data base modeling. Num Methods Partial Differ Equ. March 2021;37(2):1234–49.10.1002/num.22575Search in Google Scholar
[14] Al‐Farhany K, Alomari MA, Al‐Saadi A, Chamkha A, Öztop HF, Al‐Kouz W. MHD mixed convection of a Cu–water nanofluid flow through a channel with an open trapezoidal cavity and an elliptical obstacle. Heat Transfer Asian Res. 2022;51(2):1691–710.10.1002/htj.22370Search in Google Scholar
[15] Song YQ, Hassan M, Khan SU, Khan MI, Qayyum S, Chu YM, Nadeem A. Thermal and boundary layer flow analysis for MWCNT-SiO2 hybrid nanoparticles: An experimental thermal model. Modern Phys Lett B. 2021;35(18):2150303.10.1142/S0217984921503036Search in Google Scholar
[16] Wahid NS, Md Arifin N, Turkyilmazoglu M, Hafidzuddin ME, Abd Rahmin NA. MHD hybrid Cu-Al2O3/water nanofluid flow with thermal radiation and partial slip past a permeable stretching surface: analytical solution. J Nano Res. 2021;64:75–91.10.4028/www.scientific.net/JNanoR.64.75Search in Google Scholar
[17] Madhukesh JK, Kumar RN, Gowda RP, Prasannakumara BC, Ramesh GK, Khan MI, et al. Numerical simulation of AA7072-AA7075/water-based hybrid nanofluid flow over a curved stretching sheet with Newtonian heating: A non-Fourier heat flux model approach. J Mol Liquids. August 2021;335(1):116103.10.1016/j.molliq.2021.116103Search in Google Scholar
[18] Saleem N, Munawar S, Tripathi D. Entropy analysis in ciliary transport of radiated hybrid nanofluid in presence of electromagnetohydrodynamics and activation energy. Case Studies Thermal Eng. December 2021;28:101665.10.1016/j.csite.2021.101665Search in Google Scholar
[19] Rajesh V, Sheremet MA, Öztop HF. Impact of hybrid nanofluids on MHD flow and heat transfer near a vertical plate with ramped wall temperature. Case Studies in Thermal Eng. December 2021;28:101557.10.1016/j.csite.2021.101557Search in Google Scholar
[20] Alghamdi W, Alsubie A, Kumam P, Saeed A, Gul T. MHD hybrid nanofluid flow comprising the medication through a blood artery. Sci Rep. 2021;11:11621.10.1038/s41598-021-91183-6Search in Google Scholar PubMed PubMed Central
[21] Shah NA, Khan I. Heat transfer analysis in a second grade fluid over and oscillating vertical plate using fractional Caputo-Fabrizio derivatives. Eur Phys J C. 2016;76(7):362.10.1140/epjc/s10052-016-4209-3Search in Google Scholar
[22] Asjad MI, Shah NA, Aleem M, Khan I. Heat transfer analysis of fractional second-grade fluid subject to Newtonian heating with Caputo and Caputo-Fabrizio fractional derivatives: A comparison. Eur Phys J Plus. 2017;132(8):340.10.1140/epjp/i2017-11606-6Search in Google Scholar
[23] Raza N, Awan AU, Haque E, Abdullah M, Rashidi MM. Unsteady flow of a Burgers’ fluid with Caputo fractional derivatives: A hybrid technique. Ain Shams Eng J. 2019;10(2):319–25.10.1016/j.asej.2018.01.006Search in Google Scholar
[24] Siddique I, Tlili I, Bukhari SM, Mahsud Y. Heat transfer analysis in convective flows of fractional second grade fluids with Caputo-Fabrizio and Atangana-Baleanu derivative subject to Newtonian heating. Mech Time-Depend Mater. 2021;21:291–311.10.1007/s11043-019-09442-zSearch in Google Scholar
[25] Alshabanat A, Jleli M, Kumar S, Samet B. Generalization of caputo-fabrizio fractional derivative and applications to electrical circuits. Front Phys. 2020;8:64.10.3389/fphy.2020.00064Search in Google Scholar
[26] Anwar T, Kumam P, Thounthong P, Muhammad S, Duraihem FZ. Generalized thermal investigation of unsteady MHD flow of Oldroyd-B fluid with slip effects and Newtonian heating; a Caputo-Fabrizio fractional model. Alexandria Eng J. March 2022;61(3):2188–202.10.1016/j.aej.2021.06.090Search in Google Scholar
[27] Khan MI, Raza A, Naseem M, Al-Khaled K, Khan SU, Khan MI, et al. Comparative analysis for radiative slip flow of magnetized viscous fluid with mixed convection features: Atangana-Baleanu and Caputo-Fabrizio fractional simulations. Case Studies Thermal Eng. December 2021;28:101682.10.1016/j.csite.2021.101682Search in Google Scholar
[28] Sene N, Fall AN. Homotopy perturbation ρ-laplace transform method and its application to the fractional diffusion equation and the fractional diffusion-reaction equation. Fractal Fract. 2019;3(2):14.10.3390/fractalfract3020014Search in Google Scholar
[29] Bhangale N, Kachhia KB, Gómez-Aguilar J. A new iterative method with $$\rho $$ ρ-Laplace transform for solving fractional differential equations with Caputo generalized fractional derivative. Eng Computers. 2020;1–14.10.1007/s00366-020-01202-9Search in Google Scholar
[30] Jarad F, Abdeljawad T. A modified Laplace transform for certain generalized fractional operators. Results Nonlinear Anal. 2018;1(2):88–98.Search in Google Scholar
[31] Zakian V. Optimisation of numerical inversion of Laplace transforms. Electron Lett. 1970;6(21):677–9.10.1049/el:19700471Search in Google Scholar
[32] Zakian V. Properties of IMN approximants. ed. Cambridge: Academic Press Ne3. p. 141–4Search in Google Scholar
[33] Halsted D, Brown D. Zakian’s technique for inverting Laplace transforms. Chem Eng J. 1972;3:312–3.10.1016/0300-9467(72)85037-8Search in Google Scholar
© 2022 Muhammad Ijaz Khan et al., published by De Gruyter
This work is licensed under the Creative Commons Attribution 4.0 International License.
Articles in the same Issue
- Research Articles
- Theoretical and experimental investigation of MWCNT dispersion effect on the elastic modulus of flexible PDMS/MWCNT nanocomposites
- Mechanical, morphological, and fracture-deformation behavior of MWCNTs-reinforced (Al–Cu–Mg–T351) alloy cast nanocomposites fabricated by optimized mechanical milling and powder metallurgy techniques
- Flammability and physical stability of sugar palm crystalline nanocellulose reinforced thermoplastic sugar palm starch/poly(lactic acid) blend bionanocomposites
- Glutathione-loaded non-ionic surfactant niosomes: A new approach to improve oral bioavailability and hepatoprotective efficacy of glutathione
- Relationship between mechano-bactericidal activity and nanoblades density on chemically strengthened glass
- In situ regulation of microstructure and microwave-absorbing properties of FeSiAl through HNO3 oxidation
- Research on a mechanical model of magnetorheological fluid different diameter particles
- Nanomechanical and dynamic mechanical properties of rubber–wood–plastic composites
- Investigative properties of CeO2 doped with niobium: A combined characterization and DFT studies
- Miniaturized peptidomimetics and nano-vesiculation in endothelin types through probable nano-disk formation and structure property relationships of endothelins’ fragments
- N/S co-doped CoSe/C nanocubes as anode materials for Li-ion batteries
- Synergistic effects of halloysite nanotubes with metal and phosphorus additives on the optimal design of eco-friendly sandwich panels with maximum flame resistance and minimum weight
- Octreotide-conjugated silver nanoparticles for active targeting of somatostatin receptors and their application in a nebulized rat model
- Controllable morphology of Bi2S3 nanostructures formed via hydrothermal vulcanization of Bi2O3 thin-film layer and their photoelectrocatalytic performances
- Development of (−)-epigallocatechin-3-gallate-loaded folate receptor-targeted nanoparticles for prostate cancer treatment
- Enhancement of the mechanical properties of HDPE mineral nanocomposites by filler particles modulation of the matrix plastic/elastic behavior
- Effect of plasticizers on the properties of sugar palm nanocellulose/cinnamon essential oil reinforced starch bionanocomposite films
- Optimization of nano coating to reduce the thermal deformation of ball screws
- Preparation of efficient piezoelectric PVDF–HFP/Ni composite films by high electric field poling
- MHD dissipative Casson nanofluid liquid film flow due to an unsteady stretching sheet with radiation influence and slip velocity phenomenon
- Effects of nano-SiO2 modification on rubberised mortar and concrete with recycled coarse aggregates
- Mechanical and microscopic properties of fiber-reinforced coal gangue-based geopolymer concrete
- Effect of morphology and size on the thermodynamic stability of cerium oxide nanoparticles: Experiment and molecular dynamics calculation
- Mechanical performance of a CFRP composite reinforced via gelatin-CNTs: A study on fiber interfacial enhancement and matrix enhancement
- A practical review over surface modification, nanopatterns, emerging materials, drug delivery systems, and their biophysiochemical properties for dental implants: Recent progresses and advances
- HTR: An ultra-high speed algorithm for cage recognition of clathrate hydrates
- Effects of microalloying elements added by in situ synthesis on the microstructure of WCu composites
- A highly sensitive nanobiosensor based on aptamer-conjugated graphene-decorated rhodium nanoparticles for detection of HER2-positive circulating tumor cells
- Progressive collapse performance of shear strengthened RC frames by nano CFRP
- Core–shell heterostructured composites of carbon nanotubes and imine-linked hyperbranched polymers as metal-free Li-ion anodes
- A Galerkin strategy for tri-hybridized mixture in ethylene glycol comprising variable diffusion and thermal conductivity using non-Fourier’s theory
- Simple models for tensile modulus of shape memory polymer nanocomposites at ambient temperature
- Preparation and morphological studies of tin sulfide nanoparticles and use as efficient photocatalysts for the degradation of rhodamine B and phenol
- Polyethyleneimine-impregnated activated carbon nanofiber composited graphene-derived rice husk char for efficient post-combustion CO2 capture
- Electrospun nanofibers of Co3O4 nanocrystals encapsulated in cyclized-polyacrylonitrile for lithium storage
- Pitting corrosion induced on high-strength high carbon steel wire in high alkaline deaerated chloride electrolyte
- Formulation of polymeric nanoparticles loaded sorafenib; evaluation of cytotoxicity, molecular evaluation, and gene expression studies in lung and breast cancer cell lines
- Engineered nanocomposites in asphalt binders
- Influence of loading voltage, domain ratio, and additional load on the actuation of dielectric elastomer
- Thermally induced hex-graphene transitions in 2D carbon crystals
- The surface modification effect on the interfacial properties of glass fiber-reinforced epoxy: A molecular dynamics study
- Molecular dynamics study of deformation mechanism of interfacial microzone of Cu/Al2Cu/Al composites under tension
- Nanocolloid simulators of luminescent solar concentrator photovoltaic windows
- Compressive strength and anti-chloride ion penetration assessment of geopolymer mortar merging PVA fiber and nano-SiO2 using RBF–BP composite neural network
- Effect of 3-mercapto-1-propane sulfonate sulfonic acid and polyvinylpyrrolidone on the growth of cobalt pillar by electrodeposition
- Dynamics of convective slippery constraints on hybrid radiative Sutterby nanofluid flow by Galerkin finite element simulation
- Preparation of vanadium by the magnesiothermic self-propagating reduction and process control
- Microstructure-dependent photoelectrocatalytic activity of heterogeneous ZnO–ZnS nanosheets
- Cytotoxic and pro-inflammatory effects of molybdenum and tungsten disulphide on human bronchial cells
- Improving recycled aggregate concrete by compression casting and nano-silica
- Chemically reactive Maxwell nanoliquid flow by a stretching surface in the frames of Newtonian heating, nonlinear convection and radiative flux: Nanopolymer flow processing simulation
- Nonlinear dynamic and crack behaviors of carbon nanotubes-reinforced composites with various geometries
- Biosynthesis of copper oxide nanoparticles and its therapeutic efficacy against colon cancer
- Synthesis and characterization of smart stimuli-responsive herbal drug-encapsulated nanoniosome particles for efficient treatment of breast cancer
- Homotopic simulation for heat transport phenomenon of the Burgers nanofluids flow over a stretching cylinder with thermal convective and zero mass flux conditions
- Incorporation of copper and strontium ions in TiO2 nanotubes via dopamine to enhance hemocompatibility and cytocompatibility
- Mechanical, thermal, and barrier properties of starch films incorporated with chitosan nanoparticles
- Mechanical properties and microstructure of nano-strengthened recycled aggregate concrete
- Glucose-responsive nanogels efficiently maintain the stability and activity of therapeutic enzymes
- Tunning matrix rheology and mechanical performance of ultra-high performance concrete using cellulose nanofibers
- Flexible MXene/copper/cellulose nanofiber heat spreader films with enhanced thermal conductivity
- Promoted charge separation and specific surface area via interlacing of N-doped titanium dioxide nanotubes on carbon nitride nanosheets for photocatalytic degradation of Rhodamine B
- Elucidating the role of silicon dioxide and titanium dioxide nanoparticles in mitigating the disease of the eggplant caused by Phomopsis vexans, Ralstonia solanacearum, and root-knot nematode Meloidogyne incognita
- An implication of magnetic dipole in Carreau Yasuda liquid influenced by engine oil using ternary hybrid nanomaterial
- Robust synthesis of a composite phase of copper vanadium oxide with enhanced performance for durable aqueous Zn-ion batteries
- Tunning self-assembled phases of bovine serum albumin via hydrothermal process to synthesize novel functional hydrogel for skin protection against UVB
- A comparative experimental study on damping properties of epoxy nanocomposite beams reinforced with carbon nanotubes and graphene nanoplatelets
- Lightweight and hydrophobic Ni/GO/PVA composite aerogels for ultrahigh performance electromagnetic interference shielding
- Research on the auxetic behavior and mechanical properties of periodically rotating graphene nanostructures
- Repairing performances of novel cement mortar modified with graphene oxide and polyacrylate polymer
- Closed-loop recycling and fabrication of hydrophilic CNT films with high performance
- Design of thin-film configuration of SnO2–Ag2O composites for NO2 gas-sensing applications
- Study on stress distribution of SiC/Al composites based on microstructure models with microns and nanoparticles
- PVDF green nanofibers as potential carriers for improving self-healing and mechanical properties of carbon fiber/epoxy prepregs
- Osteogenesis capability of three-dimensionally printed poly(lactic acid)-halloysite nanotube scaffolds containing strontium ranelate
- Silver nanoparticles induce mitochondria-dependent apoptosis and late non-canonical autophagy in HT-29 colon cancer cells
- Preparation and bonding mechanisms of polymer/metal hybrid composite by nano molding technology
- Damage self-sensing and strain monitoring of glass-reinforced epoxy composite impregnated with graphene nanoplatelet and multiwalled carbon nanotubes
- Thermal analysis characterisation of solar-powered ship using Oldroyd hybrid nanofluids in parabolic trough solar collector: An optimal thermal application
- Pyrene-functionalized halloysite nanotubes for simultaneously detecting and separating Hg(ii) in aqueous media: A comprehensive comparison on interparticle and intraparticle excimers
- Fabrication of self-assembly CNT flexible film and its piezoresistive sensing behaviors
- Thermal valuation and entropy inspection of second-grade nanoscale fluid flow over a stretching surface by applying Koo–Kleinstreuer–Li relation
- Mechanical properties and microstructure of nano-SiO2 and basalt-fiber-reinforced recycled aggregate concrete
- Characterization and tribology performance of polyaniline-coated nanodiamond lubricant additives
- Combined impact of Marangoni convection and thermophoretic particle deposition on chemically reactive transport of nanofluid flow over a stretching surface
- Spark plasma extrusion of binder free hydroxyapatite powder
- An investigation on thermo-mechanical performance of graphene-oxide-reinforced shape memory polymer
- Effect of nanoadditives on the novel leather fiber/recycled poly(ethylene-vinyl-acetate) polymer composites for multifunctional applications: Fabrication, characterizations, and multiobjective optimization using central composite design
- Design selection for a hemispherical dimple core sandwich panel using hybrid multi-criteria decision-making methods
- Improving tensile strength and impact toughness of plasticized poly(lactic acid) biocomposites by incorporating nanofibrillated cellulose
- Green synthesis of spinel copper ferrite (CuFe2O4) nanoparticles and their toxicity
- The effect of TaC and NbC hybrid and mono-nanoparticles on AA2024 nanocomposites: Microstructure, strengthening, and artificial aging
- Excited-state geometry relaxation of pyrene-modified cellulose nanocrystals under UV-light excitation for detecting Fe3+
- Effect of CNTs and MEA on the creep of face-slab concrete at an early age
- Effect of deformation conditions on compression phase transformation of AZ31
- Application of MXene as a new generation of highly conductive coating materials for electromembrane-surrounded solid-phase microextraction
- A comparative study of the elasto-plastic properties for ceramic nanocomposites filled by graphene or graphene oxide nanoplates
- Encapsulation strategies for improving the biological behavior of CdS@ZIF-8 nanocomposites
- Biosynthesis of ZnO NPs from pumpkin seeds’ extract and elucidation of its anticancer potential against breast cancer
- Preliminary trials of the gold nanoparticles conjugated chrysin: An assessment of anti-oxidant, anti-microbial, and in vitro cytotoxic activities of a nanoformulated flavonoid
- Effect of micron-scale pores increased by nano-SiO2 sol modification on the strength of cement mortar
- Fractional simulations for thermal flow of hybrid nanofluid with aluminum oxide and titanium oxide nanoparticles with water and blood base fluids
- The effect of graphene nano-powder on the viscosity of water: An experimental study and artificial neural network modeling
- Development of a novel heat- and shear-resistant nano-silica gelling agent
- Characterization, biocompatibility and in vivo of nominal MnO2-containing wollastonite glass-ceramic
- Entropy production simulation of second-grade magnetic nanomaterials flowing across an expanding surface with viscidness dissipative flux
- Enhancement in structural, morphological, and optical properties of copper oxide for optoelectronic device applications
- Aptamer-functionalized chitosan-coated gold nanoparticle complex as a suitable targeted drug carrier for improved breast cancer treatment
- Performance and overall evaluation of nano-alumina-modified asphalt mixture
- Analysis of pure nanofluid (GO/engine oil) and hybrid nanofluid (GO–Fe3O4/engine oil): Novel thermal and magnetic features
- Synthesis of Ag@AgCl modified anatase/rutile/brookite mixed phase TiO2 and their photocatalytic property
- Mechanisms and influential variables on the abrasion resistance hydraulic concrete
- Synergistic reinforcement mechanism of basalt fiber/cellulose nanocrystals/polypropylene composites
- Achieving excellent oxidation resistance and mechanical properties of TiB2–B4C/carbon aerogel composites by quick-gelation and mechanical mixing
- Microwave-assisted sol–gel template-free synthesis and characterization of silica nanoparticles obtained from South African coal fly ash
- Pulsed laser-assisted synthesis of nano nickel(ii) oxide-anchored graphitic carbon nitride: Characterizations and their potential antibacterial/anti-biofilm applications
- Effects of nano-ZrSi2 on thermal stability of phenolic resin and thermal reusability of quartz–phenolic composites
- Benzaldehyde derivatives on tin electroplating as corrosion resistance for fabricating copper circuit
- Mechanical and heat transfer properties of 4D-printed shape memory graphene oxide/epoxy acrylate composites
- Coupling the vanadium-induced amorphous/crystalline NiFe2O4 with phosphide heterojunction toward active oxygen evolution reaction catalysts
- Graphene-oxide-reinforced cement composites mechanical and microstructural characteristics at elevated temperatures
- Gray correlation analysis of factors influencing compressive strength and durability of nano-SiO2 and PVA fiber reinforced geopolymer mortar
- Preparation of layered gradient Cu–Cr–Ti alloy with excellent mechanical properties, thermal stability, and electrical conductivity
- Recovery of Cr from chrome-containing leather wastes to develop aluminum-based composite material along with Al2O3 ceramic particles: An ingenious approach
- Mechanisms of the improved stiffness of flexible polymers under impact loading
- Anticancer potential of gold nanoparticles (AuNPs) using a battery of in vitro tests
- Review Articles
- Proposed approaches for coronaviruses elimination from wastewater: Membrane techniques and nanotechnology solutions
- Application of Pickering emulsion in oil drilling and production
- The contribution of microfluidics to the fight against tuberculosis
- Graphene-based biosensors for disease theranostics: Development, applications, and recent advancements
- Synthesis and encapsulation of iron oxide nanorods for application in magnetic hyperthermia and photothermal therapy
- Contemporary nano-architectured drugs and leads for ανβ3 integrin-based chemotherapy: Rationale and retrospect
- State-of-the-art review of fabrication, application, and mechanical properties of functionally graded porous nanocomposite materials
- Insights on magnetic spinel ferrites for targeted drug delivery and hyperthermia applications
- A review on heterogeneous oxidation of acetaminophen based on micro and nanoparticles catalyzed by different activators
- Early diagnosis of lung cancer using magnetic nanoparticles-integrated systems
- Advances in ZnO: Manipulation of defects for enhancing their technological potentials
- Efficacious nanomedicine track toward combating COVID-19
- A review of the design, processes, and properties of Mg-based composites
- Green synthesis of nanoparticles for varied applications: Green renewable resources and energy-efficient synthetic routes
- Two-dimensional nanomaterial-based polymer composites: Fundamentals and applications
- Recent progress and challenges in plasmonic nanomaterials
- Apoptotic cell-derived micro/nanosized extracellular vesicles in tissue regeneration
- Electronic noses based on metal oxide nanowires: A review
- Framework materials for supercapacitors
- An overview on the reproductive toxicity of graphene derivatives: Highlighting the importance
- Antibacterial nanomaterials: Upcoming hope to overcome antibiotic resistance crisis
- Research progress of carbon materials in the field of three-dimensional printing polymer nanocomposites
- A review of atomic layer deposition modelling and simulation methodologies: Density functional theory and molecular dynamics
- Recent advances in the preparation of PVDF-based piezoelectric materials
- Recent developments in tensile properties of friction welding of carbon fiber-reinforced composite: A review
- Comprehensive review of the properties of fly ash-based geopolymer with additive of nano-SiO2
- Perspectives in biopolymer/graphene-based composite application: Advances, challenges, and recommendations
- Graphene-based nanocomposite using new modeling molecular dynamic simulations for proposed neutralizing mechanism and real-time sensing of COVID-19
- Nanotechnology application on bamboo materials: A review
- Recent developments and future perspectives of biorenewable nanocomposites for advanced applications
- Nanostructured lipid carrier system: A compendium of their formulation development approaches, optimization strategies by quality by design, and recent applications in drug delivery
- 3D printing customized design of human bone tissue implant and its application
- Design, preparation, and functionalization of nanobiomaterials for enhanced efficacy in current and future biomedical applications
- A brief review of nanoparticles-doped PEDOT:PSS nanocomposite for OLED and OPV
- Nanotechnology interventions as a putative tool for the treatment of dental afflictions
- Recent advancements in metal–organic frameworks integrating quantum dots (QDs@MOF) and their potential applications
- A focused review of short electrospun nanofiber preparation techniques for composite reinforcement
- Microstructural characteristics and nano-modification of interfacial transition zone in concrete: A review
- Latest developments in the upconversion nanotechnology for the rapid detection of food safety: A review
- Strategic applications of nano-fertilizers for sustainable agriculture: Benefits and bottlenecks
- Molecular dynamics application of cocrystal energetic materials: A review
- Synthesis and application of nanometer hydroxyapatite in biomedicine
- Cutting-edge development in waste-recycled nanomaterials for energy storage and conversion applications
- Biological applications of ternary quantum dots: A review
- Nanotherapeutics for hydrogen sulfide-involved treatment: An emerging approach for cancer therapy
- Application of antibacterial nanoparticles in orthodontic materials
- Effect of natural-based biological hydrogels combined with growth factors on skin wound healing
- Nanozymes – A route to overcome microbial resistance: A viewpoint
- Recent developments and applications of smart nanoparticles in biomedicine
- Contemporary review on carbon nanotube (CNT) composites and their impact on multifarious applications
- Interfacial interactions and reinforcing mechanisms of cellulose and chitin nanomaterials and starch derivatives for cement and concrete strength and durability enhancement: A review
- Diamond-like carbon films for tribological modification of rubber
- Layered double hydroxides (LDHs) modified cement-based materials: A systematic review
- Recent research progress and advanced applications of silica/polymer nanocomposites
- Modeling of supramolecular biopolymers: Leading the in silico revolution of tissue engineering and nanomedicine
- Recent advances in perovskites-based optoelectronics
- Biogenic synthesis of palladium nanoparticles: New production methods and applications
- A comprehensive review of nanofluids with fractional derivatives: Modeling and application
- Electrospinning of marine polysaccharides: Processing and chemical aspects, challenges, and future prospects
- Electrohydrodynamic printing for demanding devices: A review of processing and applications
- Rapid Communications
- Structural material with designed thermal twist for a simple actuation
- Recent advances in photothermal materials for solar-driven crude oil adsorption
Articles in the same Issue
- Research Articles
- Theoretical and experimental investigation of MWCNT dispersion effect on the elastic modulus of flexible PDMS/MWCNT nanocomposites
- Mechanical, morphological, and fracture-deformation behavior of MWCNTs-reinforced (Al–Cu–Mg–T351) alloy cast nanocomposites fabricated by optimized mechanical milling and powder metallurgy techniques
- Flammability and physical stability of sugar palm crystalline nanocellulose reinforced thermoplastic sugar palm starch/poly(lactic acid) blend bionanocomposites
- Glutathione-loaded non-ionic surfactant niosomes: A new approach to improve oral bioavailability and hepatoprotective efficacy of glutathione
- Relationship between mechano-bactericidal activity and nanoblades density on chemically strengthened glass
- In situ regulation of microstructure and microwave-absorbing properties of FeSiAl through HNO3 oxidation
- Research on a mechanical model of magnetorheological fluid different diameter particles
- Nanomechanical and dynamic mechanical properties of rubber–wood–plastic composites
- Investigative properties of CeO2 doped with niobium: A combined characterization and DFT studies
- Miniaturized peptidomimetics and nano-vesiculation in endothelin types through probable nano-disk formation and structure property relationships of endothelins’ fragments
- N/S co-doped CoSe/C nanocubes as anode materials for Li-ion batteries
- Synergistic effects of halloysite nanotubes with metal and phosphorus additives on the optimal design of eco-friendly sandwich panels with maximum flame resistance and minimum weight
- Octreotide-conjugated silver nanoparticles for active targeting of somatostatin receptors and their application in a nebulized rat model
- Controllable morphology of Bi2S3 nanostructures formed via hydrothermal vulcanization of Bi2O3 thin-film layer and their photoelectrocatalytic performances
- Development of (−)-epigallocatechin-3-gallate-loaded folate receptor-targeted nanoparticles for prostate cancer treatment
- Enhancement of the mechanical properties of HDPE mineral nanocomposites by filler particles modulation of the matrix plastic/elastic behavior
- Effect of plasticizers on the properties of sugar palm nanocellulose/cinnamon essential oil reinforced starch bionanocomposite films
- Optimization of nano coating to reduce the thermal deformation of ball screws
- Preparation of efficient piezoelectric PVDF–HFP/Ni composite films by high electric field poling
- MHD dissipative Casson nanofluid liquid film flow due to an unsteady stretching sheet with radiation influence and slip velocity phenomenon
- Effects of nano-SiO2 modification on rubberised mortar and concrete with recycled coarse aggregates
- Mechanical and microscopic properties of fiber-reinforced coal gangue-based geopolymer concrete
- Effect of morphology and size on the thermodynamic stability of cerium oxide nanoparticles: Experiment and molecular dynamics calculation
- Mechanical performance of a CFRP composite reinforced via gelatin-CNTs: A study on fiber interfacial enhancement and matrix enhancement
- A practical review over surface modification, nanopatterns, emerging materials, drug delivery systems, and their biophysiochemical properties for dental implants: Recent progresses and advances
- HTR: An ultra-high speed algorithm for cage recognition of clathrate hydrates
- Effects of microalloying elements added by in situ synthesis on the microstructure of WCu composites
- A highly sensitive nanobiosensor based on aptamer-conjugated graphene-decorated rhodium nanoparticles for detection of HER2-positive circulating tumor cells
- Progressive collapse performance of shear strengthened RC frames by nano CFRP
- Core–shell heterostructured composites of carbon nanotubes and imine-linked hyperbranched polymers as metal-free Li-ion anodes
- A Galerkin strategy for tri-hybridized mixture in ethylene glycol comprising variable diffusion and thermal conductivity using non-Fourier’s theory
- Simple models for tensile modulus of shape memory polymer nanocomposites at ambient temperature
- Preparation and morphological studies of tin sulfide nanoparticles and use as efficient photocatalysts for the degradation of rhodamine B and phenol
- Polyethyleneimine-impregnated activated carbon nanofiber composited graphene-derived rice husk char for efficient post-combustion CO2 capture
- Electrospun nanofibers of Co3O4 nanocrystals encapsulated in cyclized-polyacrylonitrile for lithium storage
- Pitting corrosion induced on high-strength high carbon steel wire in high alkaline deaerated chloride electrolyte
- Formulation of polymeric nanoparticles loaded sorafenib; evaluation of cytotoxicity, molecular evaluation, and gene expression studies in lung and breast cancer cell lines
- Engineered nanocomposites in asphalt binders
- Influence of loading voltage, domain ratio, and additional load on the actuation of dielectric elastomer
- Thermally induced hex-graphene transitions in 2D carbon crystals
- The surface modification effect on the interfacial properties of glass fiber-reinforced epoxy: A molecular dynamics study
- Molecular dynamics study of deformation mechanism of interfacial microzone of Cu/Al2Cu/Al composites under tension
- Nanocolloid simulators of luminescent solar concentrator photovoltaic windows
- Compressive strength and anti-chloride ion penetration assessment of geopolymer mortar merging PVA fiber and nano-SiO2 using RBF–BP composite neural network
- Effect of 3-mercapto-1-propane sulfonate sulfonic acid and polyvinylpyrrolidone on the growth of cobalt pillar by electrodeposition
- Dynamics of convective slippery constraints on hybrid radiative Sutterby nanofluid flow by Galerkin finite element simulation
- Preparation of vanadium by the magnesiothermic self-propagating reduction and process control
- Microstructure-dependent photoelectrocatalytic activity of heterogeneous ZnO–ZnS nanosheets
- Cytotoxic and pro-inflammatory effects of molybdenum and tungsten disulphide on human bronchial cells
- Improving recycled aggregate concrete by compression casting and nano-silica
- Chemically reactive Maxwell nanoliquid flow by a stretching surface in the frames of Newtonian heating, nonlinear convection and radiative flux: Nanopolymer flow processing simulation
- Nonlinear dynamic and crack behaviors of carbon nanotubes-reinforced composites with various geometries
- Biosynthesis of copper oxide nanoparticles and its therapeutic efficacy against colon cancer
- Synthesis and characterization of smart stimuli-responsive herbal drug-encapsulated nanoniosome particles for efficient treatment of breast cancer
- Homotopic simulation for heat transport phenomenon of the Burgers nanofluids flow over a stretching cylinder with thermal convective and zero mass flux conditions
- Incorporation of copper and strontium ions in TiO2 nanotubes via dopamine to enhance hemocompatibility and cytocompatibility
- Mechanical, thermal, and barrier properties of starch films incorporated with chitosan nanoparticles
- Mechanical properties and microstructure of nano-strengthened recycled aggregate concrete
- Glucose-responsive nanogels efficiently maintain the stability and activity of therapeutic enzymes
- Tunning matrix rheology and mechanical performance of ultra-high performance concrete using cellulose nanofibers
- Flexible MXene/copper/cellulose nanofiber heat spreader films with enhanced thermal conductivity
- Promoted charge separation and specific surface area via interlacing of N-doped titanium dioxide nanotubes on carbon nitride nanosheets for photocatalytic degradation of Rhodamine B
- Elucidating the role of silicon dioxide and titanium dioxide nanoparticles in mitigating the disease of the eggplant caused by Phomopsis vexans, Ralstonia solanacearum, and root-knot nematode Meloidogyne incognita
- An implication of magnetic dipole in Carreau Yasuda liquid influenced by engine oil using ternary hybrid nanomaterial
- Robust synthesis of a composite phase of copper vanadium oxide with enhanced performance for durable aqueous Zn-ion batteries
- Tunning self-assembled phases of bovine serum albumin via hydrothermal process to synthesize novel functional hydrogel for skin protection against UVB
- A comparative experimental study on damping properties of epoxy nanocomposite beams reinforced with carbon nanotubes and graphene nanoplatelets
- Lightweight and hydrophobic Ni/GO/PVA composite aerogels for ultrahigh performance electromagnetic interference shielding
- Research on the auxetic behavior and mechanical properties of periodically rotating graphene nanostructures
- Repairing performances of novel cement mortar modified with graphene oxide and polyacrylate polymer
- Closed-loop recycling and fabrication of hydrophilic CNT films with high performance
- Design of thin-film configuration of SnO2–Ag2O composites for NO2 gas-sensing applications
- Study on stress distribution of SiC/Al composites based on microstructure models with microns and nanoparticles
- PVDF green nanofibers as potential carriers for improving self-healing and mechanical properties of carbon fiber/epoxy prepregs
- Osteogenesis capability of three-dimensionally printed poly(lactic acid)-halloysite nanotube scaffolds containing strontium ranelate
- Silver nanoparticles induce mitochondria-dependent apoptosis and late non-canonical autophagy in HT-29 colon cancer cells
- Preparation and bonding mechanisms of polymer/metal hybrid composite by nano molding technology
- Damage self-sensing and strain monitoring of glass-reinforced epoxy composite impregnated with graphene nanoplatelet and multiwalled carbon nanotubes
- Thermal analysis characterisation of solar-powered ship using Oldroyd hybrid nanofluids in parabolic trough solar collector: An optimal thermal application
- Pyrene-functionalized halloysite nanotubes for simultaneously detecting and separating Hg(ii) in aqueous media: A comprehensive comparison on interparticle and intraparticle excimers
- Fabrication of self-assembly CNT flexible film and its piezoresistive sensing behaviors
- Thermal valuation and entropy inspection of second-grade nanoscale fluid flow over a stretching surface by applying Koo–Kleinstreuer–Li relation
- Mechanical properties and microstructure of nano-SiO2 and basalt-fiber-reinforced recycled aggregate concrete
- Characterization and tribology performance of polyaniline-coated nanodiamond lubricant additives
- Combined impact of Marangoni convection and thermophoretic particle deposition on chemically reactive transport of nanofluid flow over a stretching surface
- Spark plasma extrusion of binder free hydroxyapatite powder
- An investigation on thermo-mechanical performance of graphene-oxide-reinforced shape memory polymer
- Effect of nanoadditives on the novel leather fiber/recycled poly(ethylene-vinyl-acetate) polymer composites for multifunctional applications: Fabrication, characterizations, and multiobjective optimization using central composite design
- Design selection for a hemispherical dimple core sandwich panel using hybrid multi-criteria decision-making methods
- Improving tensile strength and impact toughness of plasticized poly(lactic acid) biocomposites by incorporating nanofibrillated cellulose
- Green synthesis of spinel copper ferrite (CuFe2O4) nanoparticles and their toxicity
- The effect of TaC and NbC hybrid and mono-nanoparticles on AA2024 nanocomposites: Microstructure, strengthening, and artificial aging
- Excited-state geometry relaxation of pyrene-modified cellulose nanocrystals under UV-light excitation for detecting Fe3+
- Effect of CNTs and MEA on the creep of face-slab concrete at an early age
- Effect of deformation conditions on compression phase transformation of AZ31
- Application of MXene as a new generation of highly conductive coating materials for electromembrane-surrounded solid-phase microextraction
- A comparative study of the elasto-plastic properties for ceramic nanocomposites filled by graphene or graphene oxide nanoplates
- Encapsulation strategies for improving the biological behavior of CdS@ZIF-8 nanocomposites
- Biosynthesis of ZnO NPs from pumpkin seeds’ extract and elucidation of its anticancer potential against breast cancer
- Preliminary trials of the gold nanoparticles conjugated chrysin: An assessment of anti-oxidant, anti-microbial, and in vitro cytotoxic activities of a nanoformulated flavonoid
- Effect of micron-scale pores increased by nano-SiO2 sol modification on the strength of cement mortar
- Fractional simulations for thermal flow of hybrid nanofluid with aluminum oxide and titanium oxide nanoparticles with water and blood base fluids
- The effect of graphene nano-powder on the viscosity of water: An experimental study and artificial neural network modeling
- Development of a novel heat- and shear-resistant nano-silica gelling agent
- Characterization, biocompatibility and in vivo of nominal MnO2-containing wollastonite glass-ceramic
- Entropy production simulation of second-grade magnetic nanomaterials flowing across an expanding surface with viscidness dissipative flux
- Enhancement in structural, morphological, and optical properties of copper oxide for optoelectronic device applications
- Aptamer-functionalized chitosan-coated gold nanoparticle complex as a suitable targeted drug carrier for improved breast cancer treatment
- Performance and overall evaluation of nano-alumina-modified asphalt mixture
- Analysis of pure nanofluid (GO/engine oil) and hybrid nanofluid (GO–Fe3O4/engine oil): Novel thermal and magnetic features
- Synthesis of Ag@AgCl modified anatase/rutile/brookite mixed phase TiO2 and their photocatalytic property
- Mechanisms and influential variables on the abrasion resistance hydraulic concrete
- Synergistic reinforcement mechanism of basalt fiber/cellulose nanocrystals/polypropylene composites
- Achieving excellent oxidation resistance and mechanical properties of TiB2–B4C/carbon aerogel composites by quick-gelation and mechanical mixing
- Microwave-assisted sol–gel template-free synthesis and characterization of silica nanoparticles obtained from South African coal fly ash
- Pulsed laser-assisted synthesis of nano nickel(ii) oxide-anchored graphitic carbon nitride: Characterizations and their potential antibacterial/anti-biofilm applications
- Effects of nano-ZrSi2 on thermal stability of phenolic resin and thermal reusability of quartz–phenolic composites
- Benzaldehyde derivatives on tin electroplating as corrosion resistance for fabricating copper circuit
- Mechanical and heat transfer properties of 4D-printed shape memory graphene oxide/epoxy acrylate composites
- Coupling the vanadium-induced amorphous/crystalline NiFe2O4 with phosphide heterojunction toward active oxygen evolution reaction catalysts
- Graphene-oxide-reinforced cement composites mechanical and microstructural characteristics at elevated temperatures
- Gray correlation analysis of factors influencing compressive strength and durability of nano-SiO2 and PVA fiber reinforced geopolymer mortar
- Preparation of layered gradient Cu–Cr–Ti alloy with excellent mechanical properties, thermal stability, and electrical conductivity
- Recovery of Cr from chrome-containing leather wastes to develop aluminum-based composite material along with Al2O3 ceramic particles: An ingenious approach
- Mechanisms of the improved stiffness of flexible polymers under impact loading
- Anticancer potential of gold nanoparticles (AuNPs) using a battery of in vitro tests
- Review Articles
- Proposed approaches for coronaviruses elimination from wastewater: Membrane techniques and nanotechnology solutions
- Application of Pickering emulsion in oil drilling and production
- The contribution of microfluidics to the fight against tuberculosis
- Graphene-based biosensors for disease theranostics: Development, applications, and recent advancements
- Synthesis and encapsulation of iron oxide nanorods for application in magnetic hyperthermia and photothermal therapy
- Contemporary nano-architectured drugs and leads for ανβ3 integrin-based chemotherapy: Rationale and retrospect
- State-of-the-art review of fabrication, application, and mechanical properties of functionally graded porous nanocomposite materials
- Insights on magnetic spinel ferrites for targeted drug delivery and hyperthermia applications
- A review on heterogeneous oxidation of acetaminophen based on micro and nanoparticles catalyzed by different activators
- Early diagnosis of lung cancer using magnetic nanoparticles-integrated systems
- Advances in ZnO: Manipulation of defects for enhancing their technological potentials
- Efficacious nanomedicine track toward combating COVID-19
- A review of the design, processes, and properties of Mg-based composites
- Green synthesis of nanoparticles for varied applications: Green renewable resources and energy-efficient synthetic routes
- Two-dimensional nanomaterial-based polymer composites: Fundamentals and applications
- Recent progress and challenges in plasmonic nanomaterials
- Apoptotic cell-derived micro/nanosized extracellular vesicles in tissue regeneration
- Electronic noses based on metal oxide nanowires: A review
- Framework materials for supercapacitors
- An overview on the reproductive toxicity of graphene derivatives: Highlighting the importance
- Antibacterial nanomaterials: Upcoming hope to overcome antibiotic resistance crisis
- Research progress of carbon materials in the field of three-dimensional printing polymer nanocomposites
- A review of atomic layer deposition modelling and simulation methodologies: Density functional theory and molecular dynamics
- Recent advances in the preparation of PVDF-based piezoelectric materials
- Recent developments in tensile properties of friction welding of carbon fiber-reinforced composite: A review
- Comprehensive review of the properties of fly ash-based geopolymer with additive of nano-SiO2
- Perspectives in biopolymer/graphene-based composite application: Advances, challenges, and recommendations
- Graphene-based nanocomposite using new modeling molecular dynamic simulations for proposed neutralizing mechanism and real-time sensing of COVID-19
- Nanotechnology application on bamboo materials: A review
- Recent developments and future perspectives of biorenewable nanocomposites for advanced applications
- Nanostructured lipid carrier system: A compendium of their formulation development approaches, optimization strategies by quality by design, and recent applications in drug delivery
- 3D printing customized design of human bone tissue implant and its application
- Design, preparation, and functionalization of nanobiomaterials for enhanced efficacy in current and future biomedical applications
- A brief review of nanoparticles-doped PEDOT:PSS nanocomposite for OLED and OPV
- Nanotechnology interventions as a putative tool for the treatment of dental afflictions
- Recent advancements in metal–organic frameworks integrating quantum dots (QDs@MOF) and their potential applications
- A focused review of short electrospun nanofiber preparation techniques for composite reinforcement
- Microstructural characteristics and nano-modification of interfacial transition zone in concrete: A review
- Latest developments in the upconversion nanotechnology for the rapid detection of food safety: A review
- Strategic applications of nano-fertilizers for sustainable agriculture: Benefits and bottlenecks
- Molecular dynamics application of cocrystal energetic materials: A review
- Synthesis and application of nanometer hydroxyapatite in biomedicine
- Cutting-edge development in waste-recycled nanomaterials for energy storage and conversion applications
- Biological applications of ternary quantum dots: A review
- Nanotherapeutics for hydrogen sulfide-involved treatment: An emerging approach for cancer therapy
- Application of antibacterial nanoparticles in orthodontic materials
- Effect of natural-based biological hydrogels combined with growth factors on skin wound healing
- Nanozymes – A route to overcome microbial resistance: A viewpoint
- Recent developments and applications of smart nanoparticles in biomedicine
- Contemporary review on carbon nanotube (CNT) composites and their impact on multifarious applications
- Interfacial interactions and reinforcing mechanisms of cellulose and chitin nanomaterials and starch derivatives for cement and concrete strength and durability enhancement: A review
- Diamond-like carbon films for tribological modification of rubber
- Layered double hydroxides (LDHs) modified cement-based materials: A systematic review
- Recent research progress and advanced applications of silica/polymer nanocomposites
- Modeling of supramolecular biopolymers: Leading the in silico revolution of tissue engineering and nanomedicine
- Recent advances in perovskites-based optoelectronics
- Biogenic synthesis of palladium nanoparticles: New production methods and applications
- A comprehensive review of nanofluids with fractional derivatives: Modeling and application
- Electrospinning of marine polysaccharides: Processing and chemical aspects, challenges, and future prospects
- Electrohydrodynamic printing for demanding devices: A review of processing and applications
- Rapid Communications
- Structural material with designed thermal twist for a simple actuation
- Recent advances in photothermal materials for solar-driven crude oil adsorption