Abstract
Dielectric elastomer (DE) is widely used in various fields because of its advantages of large deformation, lightweight, and good flexibility. In this article, based on our previous research work, the actuation performance of the cone dielectric elastomer actuator (DEA) is studied first, and the influence of loading voltage, domain ratio, and additional load on the displacement and output force of DEA is analyzed and discussed. Then, a three-dimensional model of displacement and force of DEA is established. At last, the relationship between the structure and the performance of DE is discussed from the microscopic point of view. The results show that the output displacement and force of the cone DEA increase with the increase of loading voltage and additional load. The three-dimensional model graph of cone DEA can reflect the performance change of DEA well. The design with different domain ratios is the key factor that influences the final DEA actuator, which has a great influence on the cross-link density and chain length in the DE structure. By making clear the regulating function of external environment factors, we can design DEA with different configurations, which lays a good foundation for the further development of DEA and enlarges the potential application scope of DEA.
1 Introduction
Electronic electroactive polymers (EAPs) are widely used owing to their excellent flexibility and deformability [1,2]. Dielectric elastomer (DE) is a new type of EAP material, which is prepared by coating the upper and lower surfaces of DE with flexible electrode materials [3,4]. Dielectric elastomer actuators (DEAs) have the advantages of simple structure, direct actuation, low cost, lightweight, low density, large deformation, large displacement, and high efficiency [5,6,7]. It is considered to be an actuation part with important potential application value in the future. After high voltage loading, the positive and negative charges will be distributed to the two flexible electrodes, respectively, and they will be deformed under the action of electrostatic pressure, as shown in Figure 1. Using this feature, DEs can convert electrical energy into mechanical energy, making DEA widely used in cardiac membrane pumps, flexible loudspeakers, flow pumps, energy collection devices, microsystem devices, and robots [8,9,10,11,12].

Actuation mechanism of DE materials.
DEs are mainly made of silicone, VHB, polyurethane elastomer, and so on. The mechanical and electrical instability can be reduced by prestretching [13], and prestretching has been included in different deformation models modeled in DEA [14] and it is also involved in applications such as life jackets, artificial skin, and linear actuators [15,16]. It has been shown that the actuation strain of the DE transducer can be increased by 500% [17] and that the biaxial pretension mode can provide a larger actuation strain because the biaxial mode deformation reduces the thickness of the membrane to a greater extent, which leads to an increase in the actuation performance [18]. Therefore, the prestretching of the dielectric material has a great influence on the work and performance of the actuator, which cannot be ignored. At present, researchers at home and abroad have also carried out a lot of research on DEA. The cone-shaped DEA was prepared by Plante and Dubowsky using two actuation units [19]. The maximum displacement and the maximum output force are 12 mm and 6 N, respectively. The finite element analysis of a circular actuator is carried out by Michel et al. [20], the viscoelastic behavior of the actuator is studied, and a new electromechanical coupling model is proposed. Subsequently, Wang et al. showed that the output displacement of the actuator is mainly dependent on the voltage, and the increase of the loading will lead to a significant decrease in the speed of the actuator [21]. More recently, Mathew and Koh investigated DE with inhomogeneous deformation [22] and discussed the influence of the radius ratio and pretension ratio of inner and outer rings on the cone-shaped DEA transducer, finally determining an optimum inner and outer ring ratio and the required prestretching for maximum energy conversion. In order to determine the relationship between material geometry and properties, six DEA models with different shapes were prepared [23]. Based on the assumption that the cross-sections of the cone DEA models are similar and the stress distribution on the membrane is uniform, the influence of the geometry of cone DEA models with offset quality on the performance is studied. Cao et al. [24] designed a double-cone DEA structure, researched its dynamic response, established a research framework of power output performance, and optimized the power output of DEA according to prestretching and the interval length. At the same time, it is found that the performance of DEA is also affected by viscous dissipation and load inertia. Generally speaking, now the research of DE and DEA has made some progress; most of the studies have realized the importance of prestretching but they have not considered the effect of different environments comprehensively, and so, the DEA research is not complete and mature and there are some restrictions on revealing the actuation mechanism of DEA. In this article, the DEA samples with different domain ratios are prepared, the effects of loading voltage, domain ratios, and additional loads on the cone DEA are studied, and the three-dimensional actuation model diagram is established; finally, the theoretical model of the actuation deformation process of DEA is analyzed, which lays a foundation for the later design and application of the cone DEA.
2 Experiment
2.1 Materials
VHB4910 material of 3M Company is chosen as the base membrane of DE. It is a kind of acrylic tape with a thickness of 1 mm. It has the characteristics of super viscosity, good solvent resistance, and high flexibility. Carbon grease with good electrical conductivity is used as a compliant electrode.
2.2 Preparation of cone DEA
The DEA with conical structure mainly consists of an inner frame, outer frame, DE membrane, and an additional loading. The inner and outer frames are printed by Moment 3D printer (2.5–11 micron high precision, 0.02–0.3 mm printing layer) with polylactic acid (PLA) material. The internal and external diameters of the outer frame are 60 and 74 mm, respectively, and the inner frame is 20 mm in diameter. Then, the prestretching, preparation of cone-shaped DEA, electrode painting, and loading are carried out. The detailed preparation steps are described in ref. [25]. It is worth noting that although the copper tape has a certain viscosity, one needs to apply appropriate pressure in contact with the external field electrode so that the bond strength is strong. In addition, the stretching fixation process is divided into two steps. The first step is to fix the stretching elastomer with the inner frame, and the second step is to change the stretching ratio of the elastomer and fix it with the outer frame. In this article, the ratio of different stretching degrees between the inner and outer domains is defined as the domain ratio (ω) under the initial static condition.
After the preparation of DEA is completed, the samples are tested for different environmental factors. Setting the loading voltages to 1, 2, 3, 4, and 5 kV, respectively, the domain ratios are 1.00, 1.25, 1.33, and 1.67, with the additional loads of 10, 100, 200, and 300 g.
2.3 Measurements
The experimental devices consist of a high voltage power supply (PS/FX60R05.0-22), a load sensor (FUTEK LBS200), a displacement sensor (KEYENCE IL300), a DEA sample, a data collector (NI-USB 6356), and a processing module. Under the voltage excitation, the DEA actuator will move down in a longitudinal direction, and the displacement and force sensors are used to test in the vertical direction. All measurements are made at room temperature in air.
3 Results and discussion
Due to the special properties of VHB4910, the mechanical properties of VHB4910 have an important influence on the DEA to some extent. The actuation performance of DEA is different because of different external effects. We have successfully prepared DEA samples with different domain ratios and tested the actuation displacement and force of these samples. The influence of different environmental factors on the actuation behavior of DEA is discussed, with emphasis on the influence of the loading voltage, the domain ratio, and the additional load.
3.1 Influence of loading voltages on the actuation of DEA
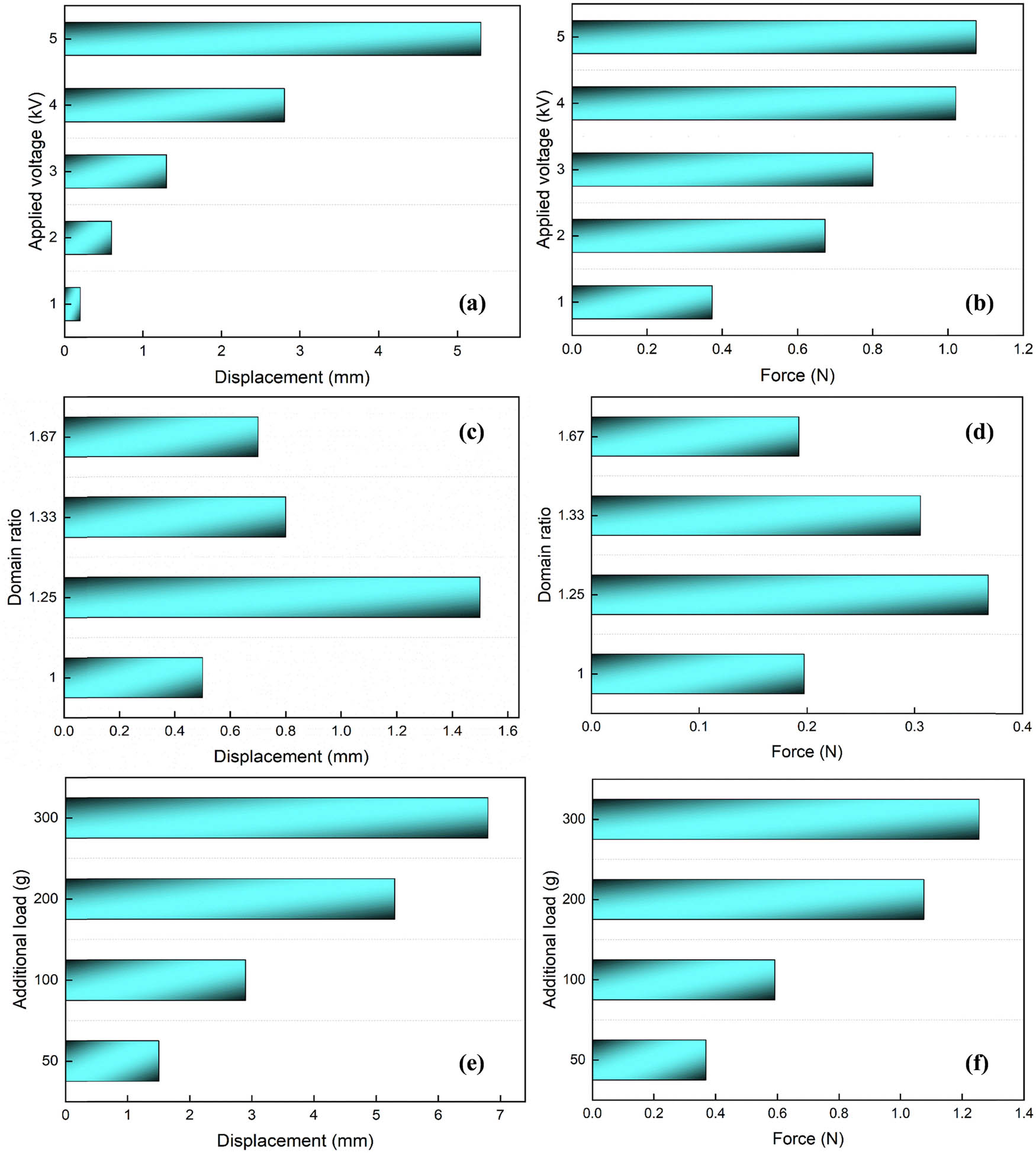
The actuation force of the DE material is the result of loading voltage, and the influence of different external loading voltage on the final deformation and force of DEA is obvious. Under a domain ratio of 1.25 and an additional load of 200 g, the actuation displacement and force of DEA vary with the loading voltage as shown in Figure 2(a) and (b). As can be seen from the diagram, the displacement and force as a whole increase with the increase of voltage. The change range of displacement is relatively large, first increasing rapidly and then gradually becoming slow. The magnitude of the force is smaller than the displacement, increasing slowly at first and then increasing rapidly. That is, a small load voltage is beneficial to the displacement output, and a large load voltage is beneficial to the actuation force output. At the same time, it is obvious that the actuation displacement under 5 kV is larger than that under other voltages, which shows that the high input voltage provides more actuation energy for DEA, which is very beneficial to the deformation of the actuator. Combined with the actuation principle of the DE material, the higher the applied voltage, the lower the response stress of DEA, and the greater the effect of applied voltage on the response stress, that is, the DEA shows an obvious electromechanical coupling phenomenon.

Actuation performance of conical actuators: (a) loading voltage vs displacement; (b) loading voltage vs force; (c) domain ratio vs displacement; (d) domain ratio vs force; (e) additional load vs displacement; and (f) additional load vs force.
3.2 Effect of domain ratios on the actuation of DEA
The different domain ratios are formed by stretching. The tensile deformation of VHB4910 makes the structure of the molecules in VHB slip between the forces, and the molecules entangle each other openly, become straight line slowly, and the molecular chain orients slowly. The breaking of the material is due to the breaking of the chemical bond in the main chain of the molecules, the slippage between the molecules, and the destruction of the intermolecular interaction force. As can be seen, the VHB4910 material is a typical elastic deformation during the tensile process, which is very suitable for DE actuators.
In order to compare the influence degree of different stretchings, the control variable method was used to carry out the actuation test of specimens with different domain ratios under the same additional load (50 g) and loading voltage (5 kV). Figure 2(c) shows the effect of different domain ratios on the actuation displacement of a cone DEA. It can be seen from the graph that the DEA displacement increases first and then decreases with the increase of the domain ratio of the inner domain and the outer domain. Obviously, it is not that the bigger the domain ratio, the bigger the final output displacement, but when the domain ratio is in a certain range, it will be more powerful to the overall DEA’s output distortion. The high output displacement of this kind of cone DEA is not dependent on the properties of the material itself but is probably related to the difference of different domain ratios. In the subsequent process of making the cone DEA, the domain ratio of the inner and outer domains should be taken into account, which is more favorable for maximizing the output-driven performance. Figure 2(d) shows the effect of different domain ratios on the output force of a cone DEA. The influence of different domain ratios on the force is similar to that of the actuation displacement. The DEA reaches the maximum output force of 0.37 N when the domain proportion is 1.25. According to ref. [26], the experiment shows that the smaller the transverse ratio of the pretension index, the greater the retardation force, and the maximum retardation force is obtained at the maximum displacement. Therefore, in the process of applying a cone DEA to different equipment pieces, it is necessary to consider the actual requirements of actuators and select different domain ratios so that the displacement and force output of DEA is ideal.
3.3 Influence of additional loads on the actuation of DEA
In the process of forming the cone DEA, the additional load plays a key role in the actuation performance of the final DEA, and its influence cannot be ignored. This article studies the actuation performance of DEA under different load conditions, as shown in Figure 2(e) and (f). For ease of comparison, the same domain scale of 1.25 and loading voltage of 5 kV are selected. As can be seen from the diagram, the output displacement and the force of the cone DEA increase with the increase of the additional load. When the additional load is too large, the performance of the cone DEA will be seriously affected, and the possibility of breakdown failure of the membrane at low voltage is higher. When selecting the load, although the larger the load, the better the actuation performance, it is important to consider the use of environmental and practical requirements.
3.4 Three-dimensional actuation model diagram of the cone DEA
To establish a model that can predict the response of the cone-shaped DEA actuator, the experimental data are fitted. Two independent variables are domain ratio and applied voltage, additional load and applied voltage, and the dependent variables are displacement and output force. The initial value of the data has an important influence on the convergence of the final model. In order to determine the appropriate initial value quickly, the Broyden–Fletcher–Goldfarb–Shanno (BFGS) algorithm is used to extract the initial value randomly so that the optimal solution can be obtained quickly. The BFGS method does not require high precision of one-dimensional search, and the BFGS matrix generated by iteration is not easy to change into a singular matrix, so the numerical stability can be improved.
The output displacement and the output force of the cone DEA are fitted, and the three-dimensional actuation model of the DEA is obtained as shown in Figure 3. It can be seen that the experimental data are very close to the calculated values, and the fitting function can well characterize the characteristic points, and the data other than the experimental data can be obtained (RMSE: root mean square error; DC: decision coefficient). The maximum RMSE of the fitted value and the experimental value is 0.25, which shows that the deviation of the fitted data from the experimental value is small, and the model selection and fitting are ideal and have good accuracy. The DC of both displacement and force is close to 1, which proves the validity of the proposed method and the ability of the regression model to describe the dependence effect. The small change graph on the right-hand side is a cross-section of the three-dimensional graph in different directions. From the graph, we can clearly see the influence of various environmental factors on the displacement and force of the DEA actuator. When the voltage is constant, the actuation displacement and the actuation force show a parabola relationship with the increase of the proportion of the domain and a rapid increase with the increase of the additional load. There is an optimal limit point for the influence of domain ratio on the performance of DEA, and the additional load needs further study on the optimal load, which can guide the later engineering design so as to be applied in practice. When the domain ratio is fixed, the actuation performance of DEA increases with the increase of the loading voltage.

Three-dimensional model diagram for DEA.
To analyze the prediction accuracy of the fitting model graph in more detail, five groups of data were randomly selected to verify the results. Table 1 compares the experimental data with the calculated data. The average errors of actuation displacement and force in DEA are 6.05 and 4.09%, respectively. It can be seen that the model can show the relationship among the parameters in a certain range and under certain conditions, which lays a foundation for the further development of DEA in the later period.
Comparison of experimental and calculated values
| No. | Applied voltage (kV) | Domain ratio | Additional load (g) | Displacement (mm) | ||
|---|---|---|---|---|---|---|
| Experimental value | Calculated value | Error rate (%) | ||||
| 1 | 2 | 1.25 | 200 | 0.6 | 0.633 | 5.50 |
| 2 | 4 | 1.33 | 50 | 0.5 | 0.467 | 6.60 |
| No. | Applied voltage (kV) | Domain ratio | Additional load (g) | Force (N) | ||
|---|---|---|---|---|---|---|
| Experimental value | Calculated value | Error rate (%) | ||||
| 3 | 5 | 1.25 | 100 | 0.591 | 0.602 | 1.86 |
| 4 | 4 | 1.25 | 300 | 1.189 | 1.188 | 0.08 |
| 5 | 3 | 1.67 | 50 | 0.126 | 0.139 | 10.32 |
3.5 Microconformation of the cone DEA
The cone DEA is composed of a planar annular DE membrane and two fixed elements, and the membrane is coated with a stretchable electrode. When voltage is applied to the DEA electrode, the incompressibility of the DE membrane causes a certain proportion of deformation, which leads to the increase of the distance between the inner domain and the outer domain. Assuming that the deformations of the DE membrane are uniform and the electrode can be stretched freely, the deformations of the DEA are characterized by the viscoelastic response of the hyperelastic model without considering the effects of the electrode resistivity and leakage current, so DE’s mechanical free energy density (
Compared with other hyperelastic strain energy models, the Gent model can better characterize the deformation behavior and nonlinear mechanical properties of DEA [25], and the free energy density can be expressed as
where
In order to explain the deformation principle of DEA from a microcosmic point of view, the strain energy of DEA is analyzed by random selection of external environmental factors: loading voltage, 4 kV; domain ratio, 1.33; additional load, 300 g. Figure 4(a) shows the effect of different variables on the free energy density. It can be seen that when the crosslinking density is constant, the free energy density decreases rapidly at first and then becomes slowly constant with the increase of the chain length. When the chain length is fixed, the higher the crosslinking density, the higher the free energy density is. With the increase of

The change of free energy density and microcondensation of the cone DEA.
The DE material itself is a kind of polymer elastomer with a cross-linked macromolecule chain, and its microstructure determines the actuation performance of the later voltage excitation. Figure 4(b) shows the microstructural changes of the DEA designed in this article, where the circle represents the cross-linking key and the solid line represents the chain length. The initial DE is a soft state, and, under external tensile deformation conditions, the macromolecule chain will open and stretch. Under external conditions, such as additional load and applied voltage, the DE material will stretch further until it reaches its limit state, then harden rapidly and break, which is mainly due to the nonlinear growth of the elastic modulus of the material before fracture. It is worth noting the state of the third microstructure in Figure 4(b), which is the relaxation operation specially designed in this article after stretching, that is, the difference in the stretching state between the inner and outer domains expressed as the different domain ratios. This process not only increases the cross-linking density per unit volume but also increases the chain length, which ensures the good ductility of DE and shows the strain-strengthening effect of the DE material; this effect can improve the electric breakdown limit of the material. In the process of deformation, the macromolecule segment of the material is subjected to internal friction due to its high viscoelasticity, and the motion of the flexible segment also produces some physical cross-links. Under uniaxial tension, the chains and crosslinks can shrink freely in the width direction but are limited by the stress in the length direction. Under pure shear, the chains and crosslinks cannot shrink freely in the width direction [27], which shows that the behavior of DE in different deformation modes is different due to the tensile constraints of the chains; therefore, its actuation characteristics, failure stress, and other characteristics will be different.
4 Conclusion
In this article, the actuation characteristics of DE materials are analyzed and discussed in depth on the basis of our previous research work [25]. First, the influence of different environmental factors on the actuation force and displacement of the cone DEA is studied, including the loading voltage, the domain ratio, and the additional load. Then, the displacement and force three-dimensional actuation models of DEA are established to reveal the actuation characteristics of different environmental factors. At last, the process of DEA’s actuation from the microcosmic angle is explained. The results show that the output displacement and force of the cone DEA increase with the increase of the loading voltage and additional load. The different domain ratio design is the key factor that influences the final DEA actuator. The predicted values are in good agreement with the experimental values, RMSE is small, and the DC is close to 1. The cross-linking density and the chain length of DE materials will change significantly under the influence of different environmental factors, in which the macromolecule chain length ensures good ductility of DE materials. By effectively controlling the external environment factors, the performance of the cone DEA can be designed to meet the actual device requirements of the actuator.
Acknowledgments
The authors would like to express profound gratitude to Prof. Marcelo H. Ang Jr from National University of Singapore for providing the experimental equipment and platform.
-
Funding information: This work was supported by the China Scholarship Council (202006280409) and the PhD research startup foundation of Yan’an University (YDBK2021-09).
-
Author contributions: All authors have accepted responsibility for the entire content of this manuscript and approved its submission.
-
Conflict of interest: The authors state no conflict of interest.
-
Data availability statement: All data generated or analyzed during this study are included in this published article.
References
[1] Yang L, Wang H, Zhang X. Recent progress in preparation process of ionic polymer-metal composites. Results Phys. 2021;29:104800.10.1016/j.rinp.2021.104800Search in Google Scholar
[2] Yang L, Zhang D, Zhang X, Tian A. Electroless copper deposition and interface characteristics of ionic electroactive polymer. J Mater Res Technol. 2021;11:849–56.10.1016/j.jmrt.2021.01.062Search in Google Scholar
[3] Huang P, Ye W, Wang Y. Dynamic modeling of dielectric elastomer actuator with conical shape. PLoS One. 2020;15(8):e0235229.10.1371/journal.pone.0235229Search in Google Scholar PubMed PubMed Central
[4] Wissler M, Mazza E. Mechanical behavior of an acrylic elastomer used in dielectric elastomer actuators. Sensor Actuat A Phys. 2007;134(2):494–504.10.1016/j.sna.2006.05.024Search in Google Scholar
[5] Ma C, Yang M, Jia K, Lu T. Experimental Investigations on the out-of-plane sub-harmonic vibration of a circular dielectric elastomer actuator. Acta Mech Solida Sin. 2019;32:591–8.10.1007/s10338-019-00105-7Search in Google Scholar
[6] Yang L, Wang H, Zhang X, Ang M. Permittivity, loss factor and Cole-Cole model of acrylic materials for dielectric elastomers. Results Phys. 2021;29:104781.10.1016/j.rinp.2021.104781Search in Google Scholar
[7] Gu GY, Jian Z, Zhu LM, Zhu X. A survey on dielectric elastomer actuators for soft robots. Bioinspir Biomim. 2017;12(1):011003.10.1088/1748-3190/12/1/011003Search in Google Scholar PubMed
[8] Goshkoderia A, Rudykh S. Electromechanical macroscopic instabilities in soft dielectric elastomer composites with periodic microstructures. Eur J Mech A Solid. 2017;65:243–56.10.1016/j.euromechsol.2017.04.008Search in Google Scholar
[9] Keplinger C, Sun JY, Foo CC, Rothemund P, Whitesides GM, Suo Z. Stretchable, transparent, ionic conductors. Science. 2013;341(6149):984–7.10.1126/science.1240228Search in Google Scholar PubMed
[10] Moretti G, Rizzello G, Fontana M, Seelecke S. A multi-domain dynamical model for cone-shaped dielectric elastomer loudspeakers. Proc SPIE. 2021;115871K.10.1117/12.2581718Search in Google Scholar
[11] Gu G, Jiang Z, Zhao R, Zhao X, Zhu X. Soft wall-climbing robots. Sci Robot. 2018;3(25):eaat2874.10.1126/scirobotics.aat2874Search in Google Scholar
[12] Godaba H, Li J, Wang Y, Zhu J. A soft jellyfish robot driven by a dielectric elastomer actuator. IEEE Robot Autom Let. 2017;1:624–31.10.1109/LRA.2016.2522498Search in Google Scholar
[13] Jiang L, Betts A, Kennedy D, Jerrams S. Eliminating electromechanical instability in dielectric elastomers by employing pre-stretch. J Phys D Appl Phys. 2016;49(26):265401.10.1088/0022-3727/49/26/265401Search in Google Scholar
[14] Yin W, Chen B, Bai Y, Wang H, Zhou J. Actuating dielectric elastomers in pure shear deformation by elastomeric conductors. Appl Phys Let. 2014;104(6):836.10.1063/1.4864402Search in Google Scholar
[15] Romasanta LJ, Lopez-Manchado MA, Verdejo R. Increasing the performance of dielectric elastomer actuators: A review from the materials perspective. Prog Polym Sci. 2015;51:188–211.10.1016/j.progpolymsci.2015.08.002Search in Google Scholar
[16] Paul B, Qibing P. Advances in dielectric elastomers for actuators and artificial muscles. Macromol Rapid Comm. 2010;31:10–36.10.1002/marc.200900425Search in Google Scholar
[17] Goh YF, Akbari S, Khanh Vo TV, Koh Soo Jin A. Electrically-induced actuation of acrylic-based dielectric elastomers in excess of 500% strain. Soft Robot. 2018;5(6):1–10.10.1089/soro.2017.0078Search in Google Scholar
[18] Mehnert M, Steinmann P. On the influence of the compliant electrodes on the mechanical behavior of VHB 4905. Comp. Mater Sci. 2019;160:287–94.10.1016/j.commatsci.2019.01.011Search in Google Scholar
[19] Plante JS, Dubowsky S. On the properties of dielectric elastomer actuators and their design implications. Smart Mater Struct. 2007;16(2):227–36.10.1088/0964-1726/16/2/S05Search in Google Scholar
[20] Michel S, Dürager C, Zobel M, Fink E. Electro active polymers as a novel actuator technology for lighter-than-air vehicles. Proc SPIE. 2007;65241.10.1117/12.716658Search in Google Scholar
[21] Wang HM, Zhu JY, Ye KB, He J, You YP. Research on linear dielectric elastomer actuator. J Mech Eng. 2009;45:291–6.10.3901/JME.2009.07.291Search in Google Scholar
[22] Mathew AT, Koh SJA. Operational limits of a non-homogeneous dielectric elastomer transducer. Int J Smart Nano Mat. 2017;8:1–18.10.1080/19475411.2017.1421276Search in Google Scholar
[23] Hau S, York A, Rizzello G, Seelecke S. Performance prediction and scaling laws of circular dielectric elastomer membrane actuators. J Mech Design. 2018;140(11):113501.10.1115/1.4039104Search in Google Scholar
[24] Cao C, Gao X, Burgess S, Conn AT. Power optimization of a conical dielectric elastomer actuator for resonant robotic systems. Extreme Mech Lett. 2020;35:100619.10.1016/j.eml.2019.100619Search in Google Scholar
[25] Wang H, Yang L, Zhang X, Ang M. Effect of different prestretching index and preloading on actuation behaviors of dielectric elastomer actuator. J Mater Res Technol. 2021;15:4064–73.10.1016/j.jmrt.2021.10.029Search in Google Scholar
[26] Cao X, Zhang M, Zhang Z, Xu Y, Xiao Y, Li T. Review of soft linear actuator and the design of a dielectric elastomer linear actuator. Acta Mech Solida Sin. 2019;32(5):566–79.10.1007/s10338-019-00112-8Search in Google Scholar
[27] Rosset S, Maffli L, Houis S, Shea HR. An instrument to obtain the correct biaxial hyperelastic parameters of silicones for accurate DEA modelling. Proc SPIE. 2014;90560M.10.1117/12.2044777Search in Google Scholar
© 2022 Hong Wang and Liang Yang, published by De Gruyter
This work is licensed under the Creative Commons Attribution 4.0 International License.
Articles in the same Issue
- Research Articles
- Theoretical and experimental investigation of MWCNT dispersion effect on the elastic modulus of flexible PDMS/MWCNT nanocomposites
- Mechanical, morphological, and fracture-deformation behavior of MWCNTs-reinforced (Al–Cu–Mg–T351) alloy cast nanocomposites fabricated by optimized mechanical milling and powder metallurgy techniques
- Flammability and physical stability of sugar palm crystalline nanocellulose reinforced thermoplastic sugar palm starch/poly(lactic acid) blend bionanocomposites
- Glutathione-loaded non-ionic surfactant niosomes: A new approach to improve oral bioavailability and hepatoprotective efficacy of glutathione
- Relationship between mechano-bactericidal activity and nanoblades density on chemically strengthened glass
- In situ regulation of microstructure and microwave-absorbing properties of FeSiAl through HNO3 oxidation
- Research on a mechanical model of magnetorheological fluid different diameter particles
- Nanomechanical and dynamic mechanical properties of rubber–wood–plastic composites
- Investigative properties of CeO2 doped with niobium: A combined characterization and DFT studies
- Miniaturized peptidomimetics and nano-vesiculation in endothelin types through probable nano-disk formation and structure property relationships of endothelins’ fragments
- N/S co-doped CoSe/C nanocubes as anode materials for Li-ion batteries
- Synergistic effects of halloysite nanotubes with metal and phosphorus additives on the optimal design of eco-friendly sandwich panels with maximum flame resistance and minimum weight
- Octreotide-conjugated silver nanoparticles for active targeting of somatostatin receptors and their application in a nebulized rat model
- Controllable morphology of Bi2S3 nanostructures formed via hydrothermal vulcanization of Bi2O3 thin-film layer and their photoelectrocatalytic performances
- Development of (−)-epigallocatechin-3-gallate-loaded folate receptor-targeted nanoparticles for prostate cancer treatment
- Enhancement of the mechanical properties of HDPE mineral nanocomposites by filler particles modulation of the matrix plastic/elastic behavior
- Effect of plasticizers on the properties of sugar palm nanocellulose/cinnamon essential oil reinforced starch bionanocomposite films
- Optimization of nano coating to reduce the thermal deformation of ball screws
- Preparation of efficient piezoelectric PVDF–HFP/Ni composite films by high electric field poling
- MHD dissipative Casson nanofluid liquid film flow due to an unsteady stretching sheet with radiation influence and slip velocity phenomenon
- Effects of nano-SiO2 modification on rubberised mortar and concrete with recycled coarse aggregates
- Mechanical and microscopic properties of fiber-reinforced coal gangue-based geopolymer concrete
- Effect of morphology and size on the thermodynamic stability of cerium oxide nanoparticles: Experiment and molecular dynamics calculation
- Mechanical performance of a CFRP composite reinforced via gelatin-CNTs: A study on fiber interfacial enhancement and matrix enhancement
- A practical review over surface modification, nanopatterns, emerging materials, drug delivery systems, and their biophysiochemical properties for dental implants: Recent progresses and advances
- HTR: An ultra-high speed algorithm for cage recognition of clathrate hydrates
- Effects of microalloying elements added by in situ synthesis on the microstructure of WCu composites
- A highly sensitive nanobiosensor based on aptamer-conjugated graphene-decorated rhodium nanoparticles for detection of HER2-positive circulating tumor cells
- Progressive collapse performance of shear strengthened RC frames by nano CFRP
- Core–shell heterostructured composites of carbon nanotubes and imine-linked hyperbranched polymers as metal-free Li-ion anodes
- A Galerkin strategy for tri-hybridized mixture in ethylene glycol comprising variable diffusion and thermal conductivity using non-Fourier’s theory
- Simple models for tensile modulus of shape memory polymer nanocomposites at ambient temperature
- Preparation and morphological studies of tin sulfide nanoparticles and use as efficient photocatalysts for the degradation of rhodamine B and phenol
- Polyethyleneimine-impregnated activated carbon nanofiber composited graphene-derived rice husk char for efficient post-combustion CO2 capture
- Electrospun nanofibers of Co3O4 nanocrystals encapsulated in cyclized-polyacrylonitrile for lithium storage
- Pitting corrosion induced on high-strength high carbon steel wire in high alkaline deaerated chloride electrolyte
- Formulation of polymeric nanoparticles loaded sorafenib; evaluation of cytotoxicity, molecular evaluation, and gene expression studies in lung and breast cancer cell lines
- Engineered nanocomposites in asphalt binders
- Influence of loading voltage, domain ratio, and additional load on the actuation of dielectric elastomer
- Thermally induced hex-graphene transitions in 2D carbon crystals
- The surface modification effect on the interfacial properties of glass fiber-reinforced epoxy: A molecular dynamics study
- Molecular dynamics study of deformation mechanism of interfacial microzone of Cu/Al2Cu/Al composites under tension
- Nanocolloid simulators of luminescent solar concentrator photovoltaic windows
- Compressive strength and anti-chloride ion penetration assessment of geopolymer mortar merging PVA fiber and nano-SiO2 using RBF–BP composite neural network
- Effect of 3-mercapto-1-propane sulfonate sulfonic acid and polyvinylpyrrolidone on the growth of cobalt pillar by electrodeposition
- Dynamics of convective slippery constraints on hybrid radiative Sutterby nanofluid flow by Galerkin finite element simulation
- Preparation of vanadium by the magnesiothermic self-propagating reduction and process control
- Microstructure-dependent photoelectrocatalytic activity of heterogeneous ZnO–ZnS nanosheets
- Cytotoxic and pro-inflammatory effects of molybdenum and tungsten disulphide on human bronchial cells
- Improving recycled aggregate concrete by compression casting and nano-silica
- Chemically reactive Maxwell nanoliquid flow by a stretching surface in the frames of Newtonian heating, nonlinear convection and radiative flux: Nanopolymer flow processing simulation
- Nonlinear dynamic and crack behaviors of carbon nanotubes-reinforced composites with various geometries
- Biosynthesis of copper oxide nanoparticles and its therapeutic efficacy against colon cancer
- Synthesis and characterization of smart stimuli-responsive herbal drug-encapsulated nanoniosome particles for efficient treatment of breast cancer
- Homotopic simulation for heat transport phenomenon of the Burgers nanofluids flow over a stretching cylinder with thermal convective and zero mass flux conditions
- Incorporation of copper and strontium ions in TiO2 nanotubes via dopamine to enhance hemocompatibility and cytocompatibility
- Mechanical, thermal, and barrier properties of starch films incorporated with chitosan nanoparticles
- Mechanical properties and microstructure of nano-strengthened recycled aggregate concrete
- Glucose-responsive nanogels efficiently maintain the stability and activity of therapeutic enzymes
- Tunning matrix rheology and mechanical performance of ultra-high performance concrete using cellulose nanofibers
- Flexible MXene/copper/cellulose nanofiber heat spreader films with enhanced thermal conductivity
- Promoted charge separation and specific surface area via interlacing of N-doped titanium dioxide nanotubes on carbon nitride nanosheets for photocatalytic degradation of Rhodamine B
- Elucidating the role of silicon dioxide and titanium dioxide nanoparticles in mitigating the disease of the eggplant caused by Phomopsis vexans, Ralstonia solanacearum, and root-knot nematode Meloidogyne incognita
- An implication of magnetic dipole in Carreau Yasuda liquid influenced by engine oil using ternary hybrid nanomaterial
- Robust synthesis of a composite phase of copper vanadium oxide with enhanced performance for durable aqueous Zn-ion batteries
- Tunning self-assembled phases of bovine serum albumin via hydrothermal process to synthesize novel functional hydrogel for skin protection against UVB
- A comparative experimental study on damping properties of epoxy nanocomposite beams reinforced with carbon nanotubes and graphene nanoplatelets
- Lightweight and hydrophobic Ni/GO/PVA composite aerogels for ultrahigh performance electromagnetic interference shielding
- Research on the auxetic behavior and mechanical properties of periodically rotating graphene nanostructures
- Repairing performances of novel cement mortar modified with graphene oxide and polyacrylate polymer
- Closed-loop recycling and fabrication of hydrophilic CNT films with high performance
- Design of thin-film configuration of SnO2–Ag2O composites for NO2 gas-sensing applications
- Study on stress distribution of SiC/Al composites based on microstructure models with microns and nanoparticles
- PVDF green nanofibers as potential carriers for improving self-healing and mechanical properties of carbon fiber/epoxy prepregs
- Osteogenesis capability of three-dimensionally printed poly(lactic acid)-halloysite nanotube scaffolds containing strontium ranelate
- Silver nanoparticles induce mitochondria-dependent apoptosis and late non-canonical autophagy in HT-29 colon cancer cells
- Preparation and bonding mechanisms of polymer/metal hybrid composite by nano molding technology
- Damage self-sensing and strain monitoring of glass-reinforced epoxy composite impregnated with graphene nanoplatelet and multiwalled carbon nanotubes
- Thermal analysis characterisation of solar-powered ship using Oldroyd hybrid nanofluids in parabolic trough solar collector: An optimal thermal application
- Pyrene-functionalized halloysite nanotubes for simultaneously detecting and separating Hg(ii) in aqueous media: A comprehensive comparison on interparticle and intraparticle excimers
- Fabrication of self-assembly CNT flexible film and its piezoresistive sensing behaviors
- Thermal valuation and entropy inspection of second-grade nanoscale fluid flow over a stretching surface by applying Koo–Kleinstreuer–Li relation
- Mechanical properties and microstructure of nano-SiO2 and basalt-fiber-reinforced recycled aggregate concrete
- Characterization and tribology performance of polyaniline-coated nanodiamond lubricant additives
- Combined impact of Marangoni convection and thermophoretic particle deposition on chemically reactive transport of nanofluid flow over a stretching surface
- Spark plasma extrusion of binder free hydroxyapatite powder
- An investigation on thermo-mechanical performance of graphene-oxide-reinforced shape memory polymer
- Effect of nanoadditives on the novel leather fiber/recycled poly(ethylene-vinyl-acetate) polymer composites for multifunctional applications: Fabrication, characterizations, and multiobjective optimization using central composite design
- Design selection for a hemispherical dimple core sandwich panel using hybrid multi-criteria decision-making methods
- Improving tensile strength and impact toughness of plasticized poly(lactic acid) biocomposites by incorporating nanofibrillated cellulose
- Green synthesis of spinel copper ferrite (CuFe2O4) nanoparticles and their toxicity
- The effect of TaC and NbC hybrid and mono-nanoparticles on AA2024 nanocomposites: Microstructure, strengthening, and artificial aging
- Excited-state geometry relaxation of pyrene-modified cellulose nanocrystals under UV-light excitation for detecting Fe3+
- Effect of CNTs and MEA on the creep of face-slab concrete at an early age
- Effect of deformation conditions on compression phase transformation of AZ31
- Application of MXene as a new generation of highly conductive coating materials for electromembrane-surrounded solid-phase microextraction
- A comparative study of the elasto-plastic properties for ceramic nanocomposites filled by graphene or graphene oxide nanoplates
- Encapsulation strategies for improving the biological behavior of CdS@ZIF-8 nanocomposites
- Biosynthesis of ZnO NPs from pumpkin seeds’ extract and elucidation of its anticancer potential against breast cancer
- Preliminary trials of the gold nanoparticles conjugated chrysin: An assessment of anti-oxidant, anti-microbial, and in vitro cytotoxic activities of a nanoformulated flavonoid
- Effect of micron-scale pores increased by nano-SiO2 sol modification on the strength of cement mortar
- Fractional simulations for thermal flow of hybrid nanofluid with aluminum oxide and titanium oxide nanoparticles with water and blood base fluids
- The effect of graphene nano-powder on the viscosity of water: An experimental study and artificial neural network modeling
- Development of a novel heat- and shear-resistant nano-silica gelling agent
- Characterization, biocompatibility and in vivo of nominal MnO2-containing wollastonite glass-ceramic
- Entropy production simulation of second-grade magnetic nanomaterials flowing across an expanding surface with viscidness dissipative flux
- Enhancement in structural, morphological, and optical properties of copper oxide for optoelectronic device applications
- Aptamer-functionalized chitosan-coated gold nanoparticle complex as a suitable targeted drug carrier for improved breast cancer treatment
- Performance and overall evaluation of nano-alumina-modified asphalt mixture
- Analysis of pure nanofluid (GO/engine oil) and hybrid nanofluid (GO–Fe3O4/engine oil): Novel thermal and magnetic features
- Synthesis of Ag@AgCl modified anatase/rutile/brookite mixed phase TiO2 and their photocatalytic property
- Mechanisms and influential variables on the abrasion resistance hydraulic concrete
- Synergistic reinforcement mechanism of basalt fiber/cellulose nanocrystals/polypropylene composites
- Achieving excellent oxidation resistance and mechanical properties of TiB2–B4C/carbon aerogel composites by quick-gelation and mechanical mixing
- Microwave-assisted sol–gel template-free synthesis and characterization of silica nanoparticles obtained from South African coal fly ash
- Pulsed laser-assisted synthesis of nano nickel(ii) oxide-anchored graphitic carbon nitride: Characterizations and their potential antibacterial/anti-biofilm applications
- Effects of nano-ZrSi2 on thermal stability of phenolic resin and thermal reusability of quartz–phenolic composites
- Benzaldehyde derivatives on tin electroplating as corrosion resistance for fabricating copper circuit
- Mechanical and heat transfer properties of 4D-printed shape memory graphene oxide/epoxy acrylate composites
- Coupling the vanadium-induced amorphous/crystalline NiFe2O4 with phosphide heterojunction toward active oxygen evolution reaction catalysts
- Graphene-oxide-reinforced cement composites mechanical and microstructural characteristics at elevated temperatures
- Gray correlation analysis of factors influencing compressive strength and durability of nano-SiO2 and PVA fiber reinforced geopolymer mortar
- Preparation of layered gradient Cu–Cr–Ti alloy with excellent mechanical properties, thermal stability, and electrical conductivity
- Recovery of Cr from chrome-containing leather wastes to develop aluminum-based composite material along with Al2O3 ceramic particles: An ingenious approach
- Mechanisms of the improved stiffness of flexible polymers under impact loading
- Anticancer potential of gold nanoparticles (AuNPs) using a battery of in vitro tests
- Review Articles
- Proposed approaches for coronaviruses elimination from wastewater: Membrane techniques and nanotechnology solutions
- Application of Pickering emulsion in oil drilling and production
- The contribution of microfluidics to the fight against tuberculosis
- Graphene-based biosensors for disease theranostics: Development, applications, and recent advancements
- Synthesis and encapsulation of iron oxide nanorods for application in magnetic hyperthermia and photothermal therapy
- Contemporary nano-architectured drugs and leads for ανβ3 integrin-based chemotherapy: Rationale and retrospect
- State-of-the-art review of fabrication, application, and mechanical properties of functionally graded porous nanocomposite materials
- Insights on magnetic spinel ferrites for targeted drug delivery and hyperthermia applications
- A review on heterogeneous oxidation of acetaminophen based on micro and nanoparticles catalyzed by different activators
- Early diagnosis of lung cancer using magnetic nanoparticles-integrated systems
- Advances in ZnO: Manipulation of defects for enhancing their technological potentials
- Efficacious nanomedicine track toward combating COVID-19
- A review of the design, processes, and properties of Mg-based composites
- Green synthesis of nanoparticles for varied applications: Green renewable resources and energy-efficient synthetic routes
- Two-dimensional nanomaterial-based polymer composites: Fundamentals and applications
- Recent progress and challenges in plasmonic nanomaterials
- Apoptotic cell-derived micro/nanosized extracellular vesicles in tissue regeneration
- Electronic noses based on metal oxide nanowires: A review
- Framework materials for supercapacitors
- An overview on the reproductive toxicity of graphene derivatives: Highlighting the importance
- Antibacterial nanomaterials: Upcoming hope to overcome antibiotic resistance crisis
- Research progress of carbon materials in the field of three-dimensional printing polymer nanocomposites
- A review of atomic layer deposition modelling and simulation methodologies: Density functional theory and molecular dynamics
- Recent advances in the preparation of PVDF-based piezoelectric materials
- Recent developments in tensile properties of friction welding of carbon fiber-reinforced composite: A review
- Comprehensive review of the properties of fly ash-based geopolymer with additive of nano-SiO2
- Perspectives in biopolymer/graphene-based composite application: Advances, challenges, and recommendations
- Graphene-based nanocomposite using new modeling molecular dynamic simulations for proposed neutralizing mechanism and real-time sensing of COVID-19
- Nanotechnology application on bamboo materials: A review
- Recent developments and future perspectives of biorenewable nanocomposites for advanced applications
- Nanostructured lipid carrier system: A compendium of their formulation development approaches, optimization strategies by quality by design, and recent applications in drug delivery
- 3D printing customized design of human bone tissue implant and its application
- Design, preparation, and functionalization of nanobiomaterials for enhanced efficacy in current and future biomedical applications
- A brief review of nanoparticles-doped PEDOT:PSS nanocomposite for OLED and OPV
- Nanotechnology interventions as a putative tool for the treatment of dental afflictions
- Recent advancements in metal–organic frameworks integrating quantum dots (QDs@MOF) and their potential applications
- A focused review of short electrospun nanofiber preparation techniques for composite reinforcement
- Microstructural characteristics and nano-modification of interfacial transition zone in concrete: A review
- Latest developments in the upconversion nanotechnology for the rapid detection of food safety: A review
- Strategic applications of nano-fertilizers for sustainable agriculture: Benefits and bottlenecks
- Molecular dynamics application of cocrystal energetic materials: A review
- Synthesis and application of nanometer hydroxyapatite in biomedicine
- Cutting-edge development in waste-recycled nanomaterials for energy storage and conversion applications
- Biological applications of ternary quantum dots: A review
- Nanotherapeutics for hydrogen sulfide-involved treatment: An emerging approach for cancer therapy
- Application of antibacterial nanoparticles in orthodontic materials
- Effect of natural-based biological hydrogels combined with growth factors on skin wound healing
- Nanozymes – A route to overcome microbial resistance: A viewpoint
- Recent developments and applications of smart nanoparticles in biomedicine
- Contemporary review on carbon nanotube (CNT) composites and their impact on multifarious applications
- Interfacial interactions and reinforcing mechanisms of cellulose and chitin nanomaterials and starch derivatives for cement and concrete strength and durability enhancement: A review
- Diamond-like carbon films for tribological modification of rubber
- Layered double hydroxides (LDHs) modified cement-based materials: A systematic review
- Recent research progress and advanced applications of silica/polymer nanocomposites
- Modeling of supramolecular biopolymers: Leading the in silico revolution of tissue engineering and nanomedicine
- Recent advances in perovskites-based optoelectronics
- Biogenic synthesis of palladium nanoparticles: New production methods and applications
- A comprehensive review of nanofluids with fractional derivatives: Modeling and application
- Electrospinning of marine polysaccharides: Processing and chemical aspects, challenges, and future prospects
- Electrohydrodynamic printing for demanding devices: A review of processing and applications
- Rapid Communications
- Structural material with designed thermal twist for a simple actuation
- Recent advances in photothermal materials for solar-driven crude oil adsorption
Articles in the same Issue
- Research Articles
- Theoretical and experimental investigation of MWCNT dispersion effect on the elastic modulus of flexible PDMS/MWCNT nanocomposites
- Mechanical, morphological, and fracture-deformation behavior of MWCNTs-reinforced (Al–Cu–Mg–T351) alloy cast nanocomposites fabricated by optimized mechanical milling and powder metallurgy techniques
- Flammability and physical stability of sugar palm crystalline nanocellulose reinforced thermoplastic sugar palm starch/poly(lactic acid) blend bionanocomposites
- Glutathione-loaded non-ionic surfactant niosomes: A new approach to improve oral bioavailability and hepatoprotective efficacy of glutathione
- Relationship between mechano-bactericidal activity and nanoblades density on chemically strengthened glass
- In situ regulation of microstructure and microwave-absorbing properties of FeSiAl through HNO3 oxidation
- Research on a mechanical model of magnetorheological fluid different diameter particles
- Nanomechanical and dynamic mechanical properties of rubber–wood–plastic composites
- Investigative properties of CeO2 doped with niobium: A combined characterization and DFT studies
- Miniaturized peptidomimetics and nano-vesiculation in endothelin types through probable nano-disk formation and structure property relationships of endothelins’ fragments
- N/S co-doped CoSe/C nanocubes as anode materials for Li-ion batteries
- Synergistic effects of halloysite nanotubes with metal and phosphorus additives on the optimal design of eco-friendly sandwich panels with maximum flame resistance and minimum weight
- Octreotide-conjugated silver nanoparticles for active targeting of somatostatin receptors and their application in a nebulized rat model
- Controllable morphology of Bi2S3 nanostructures formed via hydrothermal vulcanization of Bi2O3 thin-film layer and their photoelectrocatalytic performances
- Development of (−)-epigallocatechin-3-gallate-loaded folate receptor-targeted nanoparticles for prostate cancer treatment
- Enhancement of the mechanical properties of HDPE mineral nanocomposites by filler particles modulation of the matrix plastic/elastic behavior
- Effect of plasticizers on the properties of sugar palm nanocellulose/cinnamon essential oil reinforced starch bionanocomposite films
- Optimization of nano coating to reduce the thermal deformation of ball screws
- Preparation of efficient piezoelectric PVDF–HFP/Ni composite films by high electric field poling
- MHD dissipative Casson nanofluid liquid film flow due to an unsteady stretching sheet with radiation influence and slip velocity phenomenon
- Effects of nano-SiO2 modification on rubberised mortar and concrete with recycled coarse aggregates
- Mechanical and microscopic properties of fiber-reinforced coal gangue-based geopolymer concrete
- Effect of morphology and size on the thermodynamic stability of cerium oxide nanoparticles: Experiment and molecular dynamics calculation
- Mechanical performance of a CFRP composite reinforced via gelatin-CNTs: A study on fiber interfacial enhancement and matrix enhancement
- A practical review over surface modification, nanopatterns, emerging materials, drug delivery systems, and their biophysiochemical properties for dental implants: Recent progresses and advances
- HTR: An ultra-high speed algorithm for cage recognition of clathrate hydrates
- Effects of microalloying elements added by in situ synthesis on the microstructure of WCu composites
- A highly sensitive nanobiosensor based on aptamer-conjugated graphene-decorated rhodium nanoparticles for detection of HER2-positive circulating tumor cells
- Progressive collapse performance of shear strengthened RC frames by nano CFRP
- Core–shell heterostructured composites of carbon nanotubes and imine-linked hyperbranched polymers as metal-free Li-ion anodes
- A Galerkin strategy for tri-hybridized mixture in ethylene glycol comprising variable diffusion and thermal conductivity using non-Fourier’s theory
- Simple models for tensile modulus of shape memory polymer nanocomposites at ambient temperature
- Preparation and morphological studies of tin sulfide nanoparticles and use as efficient photocatalysts for the degradation of rhodamine B and phenol
- Polyethyleneimine-impregnated activated carbon nanofiber composited graphene-derived rice husk char for efficient post-combustion CO2 capture
- Electrospun nanofibers of Co3O4 nanocrystals encapsulated in cyclized-polyacrylonitrile for lithium storage
- Pitting corrosion induced on high-strength high carbon steel wire in high alkaline deaerated chloride electrolyte
- Formulation of polymeric nanoparticles loaded sorafenib; evaluation of cytotoxicity, molecular evaluation, and gene expression studies in lung and breast cancer cell lines
- Engineered nanocomposites in asphalt binders
- Influence of loading voltage, domain ratio, and additional load on the actuation of dielectric elastomer
- Thermally induced hex-graphene transitions in 2D carbon crystals
- The surface modification effect on the interfacial properties of glass fiber-reinforced epoxy: A molecular dynamics study
- Molecular dynamics study of deformation mechanism of interfacial microzone of Cu/Al2Cu/Al composites under tension
- Nanocolloid simulators of luminescent solar concentrator photovoltaic windows
- Compressive strength and anti-chloride ion penetration assessment of geopolymer mortar merging PVA fiber and nano-SiO2 using RBF–BP composite neural network
- Effect of 3-mercapto-1-propane sulfonate sulfonic acid and polyvinylpyrrolidone on the growth of cobalt pillar by electrodeposition
- Dynamics of convective slippery constraints on hybrid radiative Sutterby nanofluid flow by Galerkin finite element simulation
- Preparation of vanadium by the magnesiothermic self-propagating reduction and process control
- Microstructure-dependent photoelectrocatalytic activity of heterogeneous ZnO–ZnS nanosheets
- Cytotoxic and pro-inflammatory effects of molybdenum and tungsten disulphide on human bronchial cells
- Improving recycled aggregate concrete by compression casting and nano-silica
- Chemically reactive Maxwell nanoliquid flow by a stretching surface in the frames of Newtonian heating, nonlinear convection and radiative flux: Nanopolymer flow processing simulation
- Nonlinear dynamic and crack behaviors of carbon nanotubes-reinforced composites with various geometries
- Biosynthesis of copper oxide nanoparticles and its therapeutic efficacy against colon cancer
- Synthesis and characterization of smart stimuli-responsive herbal drug-encapsulated nanoniosome particles for efficient treatment of breast cancer
- Homotopic simulation for heat transport phenomenon of the Burgers nanofluids flow over a stretching cylinder with thermal convective and zero mass flux conditions
- Incorporation of copper and strontium ions in TiO2 nanotubes via dopamine to enhance hemocompatibility and cytocompatibility
- Mechanical, thermal, and barrier properties of starch films incorporated with chitosan nanoparticles
- Mechanical properties and microstructure of nano-strengthened recycled aggregate concrete
- Glucose-responsive nanogels efficiently maintain the stability and activity of therapeutic enzymes
- Tunning matrix rheology and mechanical performance of ultra-high performance concrete using cellulose nanofibers
- Flexible MXene/copper/cellulose nanofiber heat spreader films with enhanced thermal conductivity
- Promoted charge separation and specific surface area via interlacing of N-doped titanium dioxide nanotubes on carbon nitride nanosheets for photocatalytic degradation of Rhodamine B
- Elucidating the role of silicon dioxide and titanium dioxide nanoparticles in mitigating the disease of the eggplant caused by Phomopsis vexans, Ralstonia solanacearum, and root-knot nematode Meloidogyne incognita
- An implication of magnetic dipole in Carreau Yasuda liquid influenced by engine oil using ternary hybrid nanomaterial
- Robust synthesis of a composite phase of copper vanadium oxide with enhanced performance for durable aqueous Zn-ion batteries
- Tunning self-assembled phases of bovine serum albumin via hydrothermal process to synthesize novel functional hydrogel for skin protection against UVB
- A comparative experimental study on damping properties of epoxy nanocomposite beams reinforced with carbon nanotubes and graphene nanoplatelets
- Lightweight and hydrophobic Ni/GO/PVA composite aerogels for ultrahigh performance electromagnetic interference shielding
- Research on the auxetic behavior and mechanical properties of periodically rotating graphene nanostructures
- Repairing performances of novel cement mortar modified with graphene oxide and polyacrylate polymer
- Closed-loop recycling and fabrication of hydrophilic CNT films with high performance
- Design of thin-film configuration of SnO2–Ag2O composites for NO2 gas-sensing applications
- Study on stress distribution of SiC/Al composites based on microstructure models with microns and nanoparticles
- PVDF green nanofibers as potential carriers for improving self-healing and mechanical properties of carbon fiber/epoxy prepregs
- Osteogenesis capability of three-dimensionally printed poly(lactic acid)-halloysite nanotube scaffolds containing strontium ranelate
- Silver nanoparticles induce mitochondria-dependent apoptosis and late non-canonical autophagy in HT-29 colon cancer cells
- Preparation and bonding mechanisms of polymer/metal hybrid composite by nano molding technology
- Damage self-sensing and strain monitoring of glass-reinforced epoxy composite impregnated with graphene nanoplatelet and multiwalled carbon nanotubes
- Thermal analysis characterisation of solar-powered ship using Oldroyd hybrid nanofluids in parabolic trough solar collector: An optimal thermal application
- Pyrene-functionalized halloysite nanotubes for simultaneously detecting and separating Hg(ii) in aqueous media: A comprehensive comparison on interparticle and intraparticle excimers
- Fabrication of self-assembly CNT flexible film and its piezoresistive sensing behaviors
- Thermal valuation and entropy inspection of second-grade nanoscale fluid flow over a stretching surface by applying Koo–Kleinstreuer–Li relation
- Mechanical properties and microstructure of nano-SiO2 and basalt-fiber-reinforced recycled aggregate concrete
- Characterization and tribology performance of polyaniline-coated nanodiamond lubricant additives
- Combined impact of Marangoni convection and thermophoretic particle deposition on chemically reactive transport of nanofluid flow over a stretching surface
- Spark plasma extrusion of binder free hydroxyapatite powder
- An investigation on thermo-mechanical performance of graphene-oxide-reinforced shape memory polymer
- Effect of nanoadditives on the novel leather fiber/recycled poly(ethylene-vinyl-acetate) polymer composites for multifunctional applications: Fabrication, characterizations, and multiobjective optimization using central composite design
- Design selection for a hemispherical dimple core sandwich panel using hybrid multi-criteria decision-making methods
- Improving tensile strength and impact toughness of plasticized poly(lactic acid) biocomposites by incorporating nanofibrillated cellulose
- Green synthesis of spinel copper ferrite (CuFe2O4) nanoparticles and their toxicity
- The effect of TaC and NbC hybrid and mono-nanoparticles on AA2024 nanocomposites: Microstructure, strengthening, and artificial aging
- Excited-state geometry relaxation of pyrene-modified cellulose nanocrystals under UV-light excitation for detecting Fe3+
- Effect of CNTs and MEA on the creep of face-slab concrete at an early age
- Effect of deformation conditions on compression phase transformation of AZ31
- Application of MXene as a new generation of highly conductive coating materials for electromembrane-surrounded solid-phase microextraction
- A comparative study of the elasto-plastic properties for ceramic nanocomposites filled by graphene or graphene oxide nanoplates
- Encapsulation strategies for improving the biological behavior of CdS@ZIF-8 nanocomposites
- Biosynthesis of ZnO NPs from pumpkin seeds’ extract and elucidation of its anticancer potential against breast cancer
- Preliminary trials of the gold nanoparticles conjugated chrysin: An assessment of anti-oxidant, anti-microbial, and in vitro cytotoxic activities of a nanoformulated flavonoid
- Effect of micron-scale pores increased by nano-SiO2 sol modification on the strength of cement mortar
- Fractional simulations for thermal flow of hybrid nanofluid with aluminum oxide and titanium oxide nanoparticles with water and blood base fluids
- The effect of graphene nano-powder on the viscosity of water: An experimental study and artificial neural network modeling
- Development of a novel heat- and shear-resistant nano-silica gelling agent
- Characterization, biocompatibility and in vivo of nominal MnO2-containing wollastonite glass-ceramic
- Entropy production simulation of second-grade magnetic nanomaterials flowing across an expanding surface with viscidness dissipative flux
- Enhancement in structural, morphological, and optical properties of copper oxide for optoelectronic device applications
- Aptamer-functionalized chitosan-coated gold nanoparticle complex as a suitable targeted drug carrier for improved breast cancer treatment
- Performance and overall evaluation of nano-alumina-modified asphalt mixture
- Analysis of pure nanofluid (GO/engine oil) and hybrid nanofluid (GO–Fe3O4/engine oil): Novel thermal and magnetic features
- Synthesis of Ag@AgCl modified anatase/rutile/brookite mixed phase TiO2 and their photocatalytic property
- Mechanisms and influential variables on the abrasion resistance hydraulic concrete
- Synergistic reinforcement mechanism of basalt fiber/cellulose nanocrystals/polypropylene composites
- Achieving excellent oxidation resistance and mechanical properties of TiB2–B4C/carbon aerogel composites by quick-gelation and mechanical mixing
- Microwave-assisted sol–gel template-free synthesis and characterization of silica nanoparticles obtained from South African coal fly ash
- Pulsed laser-assisted synthesis of nano nickel(ii) oxide-anchored graphitic carbon nitride: Characterizations and their potential antibacterial/anti-biofilm applications
- Effects of nano-ZrSi2 on thermal stability of phenolic resin and thermal reusability of quartz–phenolic composites
- Benzaldehyde derivatives on tin electroplating as corrosion resistance for fabricating copper circuit
- Mechanical and heat transfer properties of 4D-printed shape memory graphene oxide/epoxy acrylate composites
- Coupling the vanadium-induced amorphous/crystalline NiFe2O4 with phosphide heterojunction toward active oxygen evolution reaction catalysts
- Graphene-oxide-reinforced cement composites mechanical and microstructural characteristics at elevated temperatures
- Gray correlation analysis of factors influencing compressive strength and durability of nano-SiO2 and PVA fiber reinforced geopolymer mortar
- Preparation of layered gradient Cu–Cr–Ti alloy with excellent mechanical properties, thermal stability, and electrical conductivity
- Recovery of Cr from chrome-containing leather wastes to develop aluminum-based composite material along with Al2O3 ceramic particles: An ingenious approach
- Mechanisms of the improved stiffness of flexible polymers under impact loading
- Anticancer potential of gold nanoparticles (AuNPs) using a battery of in vitro tests
- Review Articles
- Proposed approaches for coronaviruses elimination from wastewater: Membrane techniques and nanotechnology solutions
- Application of Pickering emulsion in oil drilling and production
- The contribution of microfluidics to the fight against tuberculosis
- Graphene-based biosensors for disease theranostics: Development, applications, and recent advancements
- Synthesis and encapsulation of iron oxide nanorods for application in magnetic hyperthermia and photothermal therapy
- Contemporary nano-architectured drugs and leads for ανβ3 integrin-based chemotherapy: Rationale and retrospect
- State-of-the-art review of fabrication, application, and mechanical properties of functionally graded porous nanocomposite materials
- Insights on magnetic spinel ferrites for targeted drug delivery and hyperthermia applications
- A review on heterogeneous oxidation of acetaminophen based on micro and nanoparticles catalyzed by different activators
- Early diagnosis of lung cancer using magnetic nanoparticles-integrated systems
- Advances in ZnO: Manipulation of defects for enhancing their technological potentials
- Efficacious nanomedicine track toward combating COVID-19
- A review of the design, processes, and properties of Mg-based composites
- Green synthesis of nanoparticles for varied applications: Green renewable resources and energy-efficient synthetic routes
- Two-dimensional nanomaterial-based polymer composites: Fundamentals and applications
- Recent progress and challenges in plasmonic nanomaterials
- Apoptotic cell-derived micro/nanosized extracellular vesicles in tissue regeneration
- Electronic noses based on metal oxide nanowires: A review
- Framework materials for supercapacitors
- An overview on the reproductive toxicity of graphene derivatives: Highlighting the importance
- Antibacterial nanomaterials: Upcoming hope to overcome antibiotic resistance crisis
- Research progress of carbon materials in the field of three-dimensional printing polymer nanocomposites
- A review of atomic layer deposition modelling and simulation methodologies: Density functional theory and molecular dynamics
- Recent advances in the preparation of PVDF-based piezoelectric materials
- Recent developments in tensile properties of friction welding of carbon fiber-reinforced composite: A review
- Comprehensive review of the properties of fly ash-based geopolymer with additive of nano-SiO2
- Perspectives in biopolymer/graphene-based composite application: Advances, challenges, and recommendations
- Graphene-based nanocomposite using new modeling molecular dynamic simulations for proposed neutralizing mechanism and real-time sensing of COVID-19
- Nanotechnology application on bamboo materials: A review
- Recent developments and future perspectives of biorenewable nanocomposites for advanced applications
- Nanostructured lipid carrier system: A compendium of their formulation development approaches, optimization strategies by quality by design, and recent applications in drug delivery
- 3D printing customized design of human bone tissue implant and its application
- Design, preparation, and functionalization of nanobiomaterials for enhanced efficacy in current and future biomedical applications
- A brief review of nanoparticles-doped PEDOT:PSS nanocomposite for OLED and OPV
- Nanotechnology interventions as a putative tool for the treatment of dental afflictions
- Recent advancements in metal–organic frameworks integrating quantum dots (QDs@MOF) and their potential applications
- A focused review of short electrospun nanofiber preparation techniques for composite reinforcement
- Microstructural characteristics and nano-modification of interfacial transition zone in concrete: A review
- Latest developments in the upconversion nanotechnology for the rapid detection of food safety: A review
- Strategic applications of nano-fertilizers for sustainable agriculture: Benefits and bottlenecks
- Molecular dynamics application of cocrystal energetic materials: A review
- Synthesis and application of nanometer hydroxyapatite in biomedicine
- Cutting-edge development in waste-recycled nanomaterials for energy storage and conversion applications
- Biological applications of ternary quantum dots: A review
- Nanotherapeutics for hydrogen sulfide-involved treatment: An emerging approach for cancer therapy
- Application of antibacterial nanoparticles in orthodontic materials
- Effect of natural-based biological hydrogels combined with growth factors on skin wound healing
- Nanozymes – A route to overcome microbial resistance: A viewpoint
- Recent developments and applications of smart nanoparticles in biomedicine
- Contemporary review on carbon nanotube (CNT) composites and their impact on multifarious applications
- Interfacial interactions and reinforcing mechanisms of cellulose and chitin nanomaterials and starch derivatives for cement and concrete strength and durability enhancement: A review
- Diamond-like carbon films for tribological modification of rubber
- Layered double hydroxides (LDHs) modified cement-based materials: A systematic review
- Recent research progress and advanced applications of silica/polymer nanocomposites
- Modeling of supramolecular biopolymers: Leading the in silico revolution of tissue engineering and nanomedicine
- Recent advances in perovskites-based optoelectronics
- Biogenic synthesis of palladium nanoparticles: New production methods and applications
- A comprehensive review of nanofluids with fractional derivatives: Modeling and application
- Electrospinning of marine polysaccharides: Processing and chemical aspects, challenges, and future prospects
- Electrohydrodynamic printing for demanding devices: A review of processing and applications
- Rapid Communications
- Structural material with designed thermal twist for a simple actuation
- Recent advances in photothermal materials for solar-driven crude oil adsorption