Home Thermal analysis characterisation of solar-powered ship using Oldroyd hybrid nanofluids in parabolic trough solar collector: An optimal thermal application
Article Open Access

Thermal analysis characterisation of solar-powered ship using Oldroyd hybrid nanofluids in parabolic trough solar collector: An optimal thermal application

  • Faisal Shahzad , Wasim Jamshed EMAIL logo , Rabia Safdar EMAIL logo , Syed M. Hussain , Nor Ain Azeany Mohd Nasir , Mallinath Dhange , Kottakkaran Sooppy Nisar , Mohamed R. Eid , Muhammad Sohail , Mishal Alsehli and Ashraf Elfasakhany
Published/Copyright: May 25, 2022
Become an author with De Gruyter Brill

Abstract

The mathematical modeling of hybrid nanofluid flow and heat transfer with entropy generation toward parabolic trough surface collector (PTSC) inside the solar-powered ship (SPS) is performed. The mathematical model used non-Newtonian Oldroyd-B model amidst a constant inclined magnetic field influence is being considered. The mathematical model is then reduced by adopting appropriate similarity transformation into a higher-order nonlinear differential equations system. The reduced model is computed using the well-known technique called the Keller Box scheme. Physical parameters effectiveness, for instance, thermal radiation, viscous dissipation, hybrid nanoparticles, and Joule heating, is displayed in graphs. The silver-ethylene glycol (Ag-EG) characteristic performance outperformed the silver-magnetite-ethylene glycol (Ag-Fe3O4/EG). The maximum efficiency of Ag-EG is about 26.3%, while the minimum is at least 5.6%.

Nomenclature

b

initial stretching rate

B γ

Biot number

B r

Brinkman number

C p

specific heat ( J kg 1 K 1 )

E c

Eckert number

E G

dimensional entropy ( J / K )

h f

heat transfer coefficient

κ

thermal conductivity ( Wm 1 K 1 )

k

absorption coefficient

N q

radiation parameter

N G

entropy generation (dimensionless)

Nu x

local Nusselt number

Pr

Prandtl number ( ν / α )

q r

radiative heat flux

q w

wall heat flux

R e

Reynolds number

S

suction/injection parameter

u 1 , u 2

velocity component ( m s 1 )

U w

velocity of the stretching sheet

V w

vertical velocity

x , y

dimensional space coordinates ( m )

Greek symbols

Θ

fluid temperature

Θ w

fluid temperature of the surface

Θ

ambient temperature

ϕ ,

solid volume fraction

ρ

density kg m 3

σ

Stefan Boltzmann constant

Γ q

inclination angle

Λ q

velocity slip parameter

μ

dynamic viscosity of the fluid ( kg m 1 s 1 )

ν

kinematic viscosity of the fluid ( m 2 s 1 )

Ω

temperature gradient (dimensionless)

ξ

independent similarity variable

θ

temperature (dimensionless)

ψ

stream function

Subscripts

f

base fluid

p 1 , p 2

nanoparticles

n f

nanofluid

h n f

hybrid nanofluid

s

particles

Ag

silver nanoparticles

Fe 3 O 4

magnetite particles

1 Introduction

Solar radiation can accomplish heat by chemical processes or generate electricity, which is known as solar energy. The huge amount of solar energy that strikes earth satisfies the world’s current and proposed energy needs by an extensive limit. This highly assigned source can fulfill all future energy demands if perfectly exploited. Solar energy is well known as a refined form of substitute energy. Increased energy has demand on the one side and the negative environmental encounter of fossil fuels on another side. Different countries deal with alternative energy origins to be a desired and practical choice for industrial and domestic use. The devaluation of organic contaminants in air and water streams regarded as one of the so-called advanced oxidation processes is one of the most important uses of this technology. To achieve the regulated absorption, reflection, or transmission of the appropriate wavelength of the solar spectrum, natural species have created intricate photonic nanostructures on numerous scales and dimensions in a hierarchical, structured manner. A bio-inspired strategy for solar energy manipulation is a powerful and promising method [1,2,3]. Energy is the most expensive component in the manufacturing of agricultural greenhouse crops in thermal climates. In addition, the upfront costs of fossil fuels and ordinary energy are rapidly rising. Solar energy has generated global interest because of the increasing consumption of finite fossil fuel supply as well as their impact on the environment. Many people at all levels of the society are unaware of the importance of solar energy [4,5]. An upgraded approximation of the interplanetary solar spectrum from 0 to 1,000 μm is recommended depending on the solar constant value. It is made by the division of the spectrum into nine bands and choosing typical (and latest) spectra for each band, as well as scaling coefficients that are appropriate [6].

Solar-powered ships are the energy generators that use the cleanest and renewable energy from the sun and convert it into thermal or electrical energy sources. There are many ways to capture solar energy. Usually, to transform solar power for domestic use, solar panel of photovoltaic systems is used. Raphael Domjan is the first person to initiate and complete the round-the-world trip with the help of solar energy within the duration of 2010–2012. He made polar solar navigation first in the Arctic Ocean in 2015. Solar Stratos was the first project created by him in the stratosphere. He has also made solar-free fall and jumped off from a solar plane first time in 2020. The planet Solar MS TURANOR was the first to use solar energy to go around the world on May 4, 2012, from Monaco in the West direction. Its engines can be charged with solar energy, and it can move non-stop for up to 72 h. Ahmed et al. [7] used nanofluids to study the cooling processes of photovoltaic thermal along with the concentrated photovoltaic thermal and other systems utilising solar energy. Khanafer and Vafai [8] presented an analysis on current advancements in nanofluids in the field of solar stills and collectors, along with storage systems of photovoltaic and thermal energy. By using different concentrations of the nanofluids, Lee et al. [9] studied working fluid to improve its capability in solar thermal systems. They analyzed the characteristics of nanofluids like heat transfer, electronic conductivity, and absorbance of UV rays. Olia et al. [10] used nanofluids as working fluids to check the impacts of various factors, including nanoparticles size and volumetric fraction along with working fluid type, on the behaviour of parabolic trough collectors. Vijayan and Rajasekaran [11] used a generation tank of hot water to examine the performance of nanofluids consisting of deionised water and aluminum oxide in the PTSC system used as thermal transfer fluids. Wole-Osho et al. [12] investigated the effect of various nanoparticles to determine the efficiency of solar collectors. Jamshed et al. [13] investigated the entropy production of non-Newtonian Maxwell single-walled and multi-walled carbon nanotube-engine oil nanofluids flowing in PTSC as an operating fluid inside SPS in the existence of Darcy–Forchheimer and Cattaneo–Christov models. They reached to multi-walled carbon nanotubes more efficacy of thermal exchange than single-walled carbon nanotubes. Bayones et al. [14] analyzed the solution by applying the finite element method on MoS2-Cu/sodium alginate hybrid nanofluid flowing in PTSC at SPS implementation with the suction (injection) and slippery velocity. They concluded that the permeability reduces the heat transfer and boosts the frictional force.

Hybrid nanofluid is a type of nanofluid that is a good conductor of heat transfer compared to conventional fluids [15]. The composition of hybrid nanoparticles is useful for preparing these fluids. Due to enhanced thermal characteristics, these fluids are generally used in solar energy, ventilation, heat pipes, manufacturing, electronic cooling, automotive industry, and air conditioning applications [16]. Time-independent flow and thermal conductivity of the hybrid nanofluid passing through a stretchable have been studied by ref. [17]. To determine the boundary value, a problem solver (bvp4c) with Matlab software has been employed. Huang et al. [18] experimentally analyzed various impacts of a hybrid nanofluid mixture, including thermal conductivity and fall in pressure consisting of alumina nanoparticles and multiwalled carbon nanotubes (MWCNTs) in a chevron corrugated plate heat exchanger. It has been found in this study that the fall of temperature is less than Al2O3/water nanofluid and greater than water.

Acharya [19] proposed flow models with heat transfer features for hybrid nanofluids having an impact on nonlinear solar radiation for special solar thermal equipment. The hybrid solution reveals magnificent augmentation in heat transport for suction. The effects are being reduced by imposing the injections; a reduction in the spoil rate is observed for hybrid nanocomposite. Kumar et al. [20] proposed an analysis that involves the stability of heat transfer increment because of the impact of variation in valuable characteristics of fluids with thermal radiation ability along with the suspended hybrid nanofluids. The transfer of heat and properties of hybrid nanofluids in three dimensions under the constraint of turbulent through a parabolic trough solar collector (PTC) receiver was proposed [21]. The study of hybrid nanofluid used in solar energy absorption and tries to stoke the thermal energy was presented by ref. [22]. Recent additions considering fluids flow with heat and mass transfer in various physical situations are given by refs. [23,24,25,26,27,28,29,30,31,32,33,34,35].

Oldroyd-B fluid is a particular non-Newtonian fluid whose transfer behaviour could not be accurately described as the general relationship between share rate and shear pressure in the actual shear flow. Recently, numerous researchers have considered the various issues related to this fluid. The stable 3-D Oldroyd-B nanofluid flow on a two-way stretch surface evaluated the effects of heat production. Applicable similarity conversions are utilised for the minimisation of governing fractional differential equations by combining nonlinear general differential equations [36]. Properties of an Oldroyd-B nanofluid due to axis uniform rotating disk are examined by using the characteristics of the vertically appropriate magnetic field. The movement of fluid on the disk’s surface is caused by turning along with the radically stretching of the disk [37,38]. The unsteady boundary surface flow and heat transfer of the incompressible Oldroyd-B nanofluid thin layer have been analyzed through the stretching sheet. The temperature and the velocity of the stretching sheet vary with sheet and time [39]. The association instability onset in a compact medium layer that is saturated with Oldroyd-B viscoelastic nanofluid has been examined by integrating the results of Brownian dispersion and thermophoresis. As a result, the eigenvalue problems are determined numerically with the help of the Galerkin method [40].

Many utilisations of non-Newtonian nanofluids in solar energy, industry, and engineering have led us to develop a complete model for the unstable 3D flow of the Oldroyd-B nanoparticles [41]. Three distinct partial models of the Oldroyd-B fluid are examined. The triple fractional analysis is presented to evaluate the resultant three models established by three partial operators [42]. Mathematical symmetry between the coaxial cylinders of the 1D partial Oldroyd-B nanofluid flow has been found for heat transfer with no pressure gradient [43].

A modern illustration of the postulate and utilisations of the numerous entropy enhancement fundamentals are specified. These principles involve Jaynes’ maximum entropy principle (MaxEnt), generalised maximum entropy, Kullback’s minimum cross-entropy principle (MinxEnt), minimum cross-entropy principles, minimum interdependence principle, inverse entropy optimisation principles, mini-max entropy principle, and definitely, dual entropy upsurge principles. The relationship between thermodynamic entropy and information-theoretic entropy is uniquely recollected in the background of more ordinary relations that managed among what are originated as essential and trivial entropies. References [4453] have more detailed information.

Hybrid nanofluids show various benefits in contrast with the traditional forms by their reformed effects. A summary of solar energy systems is displayed, and then, the utilisation of hybrid nanofluids in numerous solar technologies, mainly solar thermal, is presented. Relation between nanofluid structure and traditional structure is presented to attain a complete understanding of the improvement of nanofluids. It follows from the previous discussion that the most important way to maximize the utilization of solar energy is to enhance the thermal properties of the convective fluid. Hybrid nanofluids, the expulsion of nanoparticle or nanocomposite brighten compound designs in conventional fluids, direct the investigation of the research in the current years due to the potential interdependent effects between particles. However, there are only few studies on efficient experimental analysis. The significant flaw of typical solar depends on its deficient production. In this study, enhancement of still solar performance using two-hybrid nanofluids is investigated. Using two conventional nanofluids and hot water was also exploited to discuss the development of solar energy. Hybrid nanofluids, conventional nanofluids, or hot water were connected to the solar system with heat conversation fixed at the base of the basin of the solar system [54,55,56,57]. Following that, plenty of other studies appears, each focusing on a different element of the problem [58,59,60,61,62,63,64,65,66,67,68,69,70], to name a few.

To select and evaluate the sufficient formation of solar curves, eight distinct models that are semi-theoretical are applied to the data of the experiment and compared with the help of determination coefficients that were forecasted by non-linear regression analysis by using the statistical computer program [71]. There is a tendency to describe the recent items immediately but not in the detained reconstruction. There is also a tendency to remember the first temporarily isolated objects. There is a priority for the forward recall order along with output order preferences, which minimize the path length during retrieval [72]. As a result of increasing the demand for global energy and increasing the short supply of conventional or produced crude oils by easy way, the most incredible attention is being rewarded to the exploitation of extra-heavy and unconventional heavy oils [73]. The thermophysical characteristics of nanofluids are necessary to forecast the behaviour of heat transfer. Numerical results, which are based on three oxide nanofluids and their hybrids, have been suggested. All the thermophysical effects of nanofluids are increasing with the inclusion of nanoparticles, and these effects also increase the thermal conductivity by more than 12%. By using theoretical results, the variability in viscosity evaluation and significant experimental correlations were found [74]. The advantages of using solar-powered ships/boats are eco-friendly, worth investing in, prevents noise pollution, long-time charging, replaces the dead boat battery, charging your devices, comparatively less environmental effect, extremely reliable, and connected on more than one level (Figure 1).

Figure 1 
               Parabolic trough solar collector.
Figure 1

Parabolic trough solar collector.

This study examines the heat transfer analysis of the solar water pump using mono/hybrid nanofluids (i.e., Ag-EO and Ag-Fe3O4/EG) preceding a parabolic trough solar collector (PTSC) positioned innards a solar-powered ship. Considerations have been made on solar radiation as a heat source. Performance of thermal transfer of ship is analyzed for a circumstance of diverse influences such as thermal radiative flowing, viscous dissipation, and heat source. Entropy production scrutiny has been carried out in the case of Oldroyd-B hybrid nanofluid. The modeled equations in terms of momentum and energy have been handled using an entrenched numerical method, namely, the Keller box method (KBM). The effects of various diverse parameters about shear stress, velocity, temperature profiles, and coefficient of surface drag, including Nusselt number, are deliberated briefly as well as displayed in terms of figures and tables.

2 Present theoretical experiment

Efficiency of a solar-powered ship can be enhanced with the help of hybrid nanofluid flow on PTSC, and a theoretical experiment has been proposed. Various parts of SPS contain PTSC on them. The aim of the present analysis is presented in this section. PVC cell surfaces are replaced with PTSC in the presented model. PTSC equipment is cylindrical rather than absolute PVC surfaces. So more solar energy is absorbed on PTSC because of its huge surface area. Solar energy is cost-effective, and hence, solar-powered ships can be manufactured and maintained on a low budget. The continuous increase in oil prices it leads researchers to use solar energy, especially in the sea ship industry. According to the analysis, amplification in heat transfer and energy is obtained when hybrid nano-solid particles are combined into fluid flow on PTSC under the effects of viscous dissipation, thermal radiation, and thermal conduction. No pollution is created in an atmosphere with solar aircraft, as they are environment friendly.

3 Mathematical formulation

A mathematical model represents the moving flat horizontal surface (Figure 1) having a non-uniform stretching velocity:

(1) U w ( x , 0 ) = b x .

3.1 Model equations

Constitutive flow equations on viscous Oldroyd-B hybrid nanofluid with common boundary layer estimations under the influence of inclined MHD, viscous dissipation, inclined Joule heating, and radiation heat flux are presented (see, for instance, ref. [75]):

(2) u 1 x + u 2 y = 0 ,

(3) u 1 u 1 x + u 2 u 1 y + ϱ 1 u 1 2 2 u 1 x 2 + u 2 2 2 u 1 y 2 + 2 u 1 u 2 2 u 1 x y = μ h n f ρ h n f 2 u 1 y 2 σ h n f B 2 u 1 ρ h n f sin 2 ( Γ q ) + μ h n f ρ h n f ϱ 2 u 1 3 u 1 x y 2 u 1 x 2 u 1 y 2 + u 1 y 2 u 2 y 2 + u 2 3 u 1 y 3 ,

(5) u 1 Θ x + u 2 Θ y = k h n f ( ρ C p ) h n f 2 Θ y 2 1 ( ρ C p ) h n f q r y + μ h n f ( ρ C p ) h n f u 1 y 2 + σ h n f B 2 u 1 2 ( ρ C p ) h n f sin 2 ( Γ q ) .

Aziz et al. [76] provided boundary conditions:

(6) u 1 ( x , 0 ) = U w + N L u y , u 2 ( x , 0 ) = V w , k 0 Θ y = h f ( Θ w Θ ) ,

(7) u 1 0 ,   u 1 y 0 , Θ Θ as y .

Here, v = [ u 1 ( x , y , 0 ) , u 2 ( x , y , 0 ) , 0 ] is a vector regarding flow velocity. Θ is the signifying fluid temperature. The penetrability of the expanding plate is signified by V w , slip length, heat transfer coefficient N L , and h f and k 0 represent the porousness of material. Convectional heated surface underwent its thermal loss due to conduction (Newtonian heating), and the flow velocity near the surface is proportional to the shear stress exerts in it (slip condition).

3.2 Thermophysical properties regarding Oldroyd-B nanofluid

When nanoparticles are dispersed in ethylene glycol fluid, the thermophysical property is enhanced. A summary about physical parameters for Oldroyd-B nanofluid is provided in Table 1 [77,78,79,80].

Table 1

Thermophysical properties of Oldroyd-B nanofluid

Properties Nanofluid
Dynamic viscosity ( μ ) μ n f = μ f ( 1 ϕ ) 2.5
Density ( ρ ) ρ n f = ( 1 ϕ ) ρ f + ϕ ρ s
Heat capacity ( ρ C p ) ( ρ C p ) n f = ( 1 ϕ ) ( ρ C p ) f + ϕ ( ρ C p ) s
Thermal conductivity ( κ ) κ n f κ f = ( κ s + ( 2 ) κ f ) ( 2 ) ϕ ( κ f κ s ) ( κ s + ( 2 ) κ f ) + ϕ ( κ f κ s )
Electrical conductivity ( σ ) σ n f σ f = 1 + 3 σ s σ f 1 ϕ σ s σ f + 2 σ s σ f 1 ϕ

ϕ has represented the coefficient of nanoparticle volumetric fraction. μ f , ρ f , ( C p ) f , κ f , and σ f are, respectively, dynamic viscosity, density, effective heat capacity, the thermal conductivity, and electrical conductivity of the base fluid. Other parameters including ρ s , ( C p ) s , κ s , and σ s are, respectively, density, adequate heat capacity, thermal conductivity, and electral conductivity of nanoparticles.

3.3 Thermophysical characteristics of the Oldroyd-B hybrid nanofluid

Hybrid nanofluids work when there is a suspension of two different nanoparticle types in the working fluid. Suspension increases the heat transfer ability of ordinary fluids meanwhile proving them better heat boosters than nanofluids. Physical factors of Oldroyd-B hybrid nanofluid are summarised in Table 2 [81,82,83].

Table 2

Thermophysical characteristics of Oldroyd-B hybrid nanofluids

Features Hybrid nanofluid
Viscosity ( μ ) μ h n f = μ f ( 1 ϕ R ) 2.5 ( 1 ϕ H ) 2.5
Density ( ρ ) ρ h n f = [ ( 1 ϕ H ) { ( 1 ϕ R ) ρ f + ϕ R ρ p 1 } ] + ϕ H ρ p 2
Heat capacity ( ρ C p ) ( ρ C p ) h n f = [ ( 1 ϕ H ) { ( 1 ϕ R ) ( ρ C p ) f + ϕ R ( ρ C p ) p 1 } ] + ϕ H ( ρ C p ) p 2
Thermal conductivity ( κ ) κ h n f κ g f = ( κ p 2 + κ g f ) ϕ H ( κ g f κ p 2 ) ( κ p 2 + κ g f ) + ϕ H ( κ g f κ p 2 ) ;
κ g f κ f = ( κ p 1 + κ f ) ϕ R ( κ f κ p 1 ) ( κ p 1 + κ f ) + ϕ R ( κ f κ p 1 )
Electrical conductivity ( σ ) σ h n f σ f = 1 + 3 ϕ R σ p 1 + ϕ H σ p 2 σ f ( ϕ R + ϕ H ) ϕ R σ p 1 + ϕ 2 σ p 2 ( ϕ R + ϕ H ) σ f + 2 ϕ R σ p 1 + ϕ H σ p 2 σ f ( ϕ R + ϕ H )

In Table 2, μ h n f , ρ h n f , ρ ( C p ) h n f , κ h n f , and σ h n f are dynamics viscosity, density, specific heat capacity, and the thermal and electrical conductivity of hybrid nanofluid, respectively. ϕ and ϕ h n f = ϕ R + ϕ H are coefficients of nanoparticle volume concentration for ordinary nanofluid and hybrid nanofluid, respectively. μ f , ρ f , ( C p ) f , κ f , and σ f are dynamic viscosity, intensity, specific heat capacity, and the thermal and electrical conductivity of working fluid, respectively. ρ p 1 , ρ p 2 , ( C p ) p 1 , ( C p ) p 2 , κ p 1 , κ p 2 , σ p 1 , and σ p 2 are parameters of density, specific heat capacity, thermal conductance, and electrical conductance of nanoparticles.

3.4 Nanoparticles and base fluid features

Physical properties of ethylene glycol (working fluid), as well as other used nanoparticles in the current analysis, are described in Table 3 [84,85,86],

Table 3

Physical features of base fluid as well as nanoparticles at 293 K

Thermophysical ρ ( kg m 3 ) c p ( J kg K 1 ) k ( W m K 1 ) σ ( S m 1 )
Ethylene glycol ( EG ) 1114 2415 0.252 5.5 × 10−6
Magnetite ( Fe 3 O 4 ) 5180 670 9.7 25.000
Silver ( Ag ) 10500 235 429 6.3 × 107

3.5 Rosseland approximations

Roseland approximation [87] can be written as follows:

(8) q r = 4 σ 3 k Θ 4 y ,

where σ and k are Stefan Boltzmann number and absorption coefficient, respectively.

4 The solution for the problem

Equations of boundary value problem (2)–(5) are converted via similarity technique that changes governing PDEs in ODEs. Stream functions ψ are introduced as follows:

(9) u 1 = ψ y , u 2 = ψ x ,

with similarity variables [77].

(10) ξ ( x , y ) = b ν f y , ψ ( x , y ) = ν f b x f ( ξ ) , θ ( ξ ) = Θ Θ Θ w Θ ,

in governing equations (2)–(5). The following relation is obtained:

(11) f + ϕ a ϕ b [ f f f 2 + χ 1 ( 2 f f f 2 f ) ] + χ 2 ( f 2 f f i v ) ϕ d ϕ b M sin 2 ( Γ q ) f = 0 ,

(12) θ 1 + 1 ϕ e Pr N q + Pr ϕ c ϕ e f θ f θ + E c ϕ a ϕ c f 2 + ϕ d ϕ c M E c sin 2 ( Γ q ) f 2 = 0 ,

with

(13) f ( 0 ) = S , f ( 0 ) = 1 + Λ q f ( 0 ) ,   θ ( 0 ) = B γ ( 1 θ ( 0 ) ) f ( ξ ) 0 , f ( ξ ) 0 , θ ( ξ ) 0 , as ξ ,

where ϕ i s with a i e in equations (1112) represent thermophysical properties about Oldroyd-B nanofluid as mentioned earlier:

(14) ϕ a = ( 1 ϕ R ) 2.5 ( 1 ϕ H ) 2.5 , ϕ b = ( 1 ϕ H ) { ( 1 ϕ R ) + ϕ R ρ p 1 ρ f } + ϕ H ρ p 2 ρ f ,

(15) ϕ c = ( 1 ϕ H ) ( 1 ϕ R ) + ϕ R ( ρ C p ) p 1 ( ρ C p ) f + ϕ H ( ρ C p ) p 2 ( ρ C p ) f ,

(16) ϕ d = σ h n f σ f = 1 + 3 ϕ R σ p 1 + ϕ H σ p 2 σ f ( ϕ R + ϕ H ) ϕ R σ p 1 + ϕ 2 σ p 2 ( ϕ R + ϕ H ) σ f + 2 ϕ R σ p 1 + ϕ H σ p 2 σ f ( ϕ R + ϕ H ) ,

(17) ϕ e = ( κ p 2 + κ g f ) ϕ H ( κ g f κ p 2 ) ( κ p 2 + κ g f ) + ϕ H ( κ g f κ p 2 ) ( κ p 1 + κ f ) + ϕ R ( κ f κ p 1 ) ( κ p 1 + κ f ) ϕ R ( κ f κ p 1 ) .

As equation (2) satisfied identically, the notation (′) is expressing derivatives according to Ψ . Here, χ 1 = b ϱ 1 (Deborah number-I), χ 1 = b ϱ 2 (Deborah number-II) defined along with M = σ f B o 2 c ρ f (magnetic field) parameter, Pr = ν f α f (Prandtl number), α f = κ f ( ρ C p ) f (thermal diffusivity), S = V w 1 ν f b (mass transfer), N q = 16 3 σ Θ 3 κ ν f ( ρ C p ) f (thermal radiation), E c = U w 2 ( C p ) f ( Θ w Θ ) (Eckert number) Λ q = b ν f N L ( velocity slip ) , and B γ = h f k 0 ν f b (Biot number) parameters.

4.1 Nusselt number

The physical entity that glows governing is the local Nusselt number ( Nu x ) , stated as follows:

(18) Nu x = x q w k f ( Θ w Θ ) ,

where q w represents the heat flux that is determined with

(19) q w = k h n f 1 + 16 3 σ Θ 3 κ ν f ( ρ C p ) f Θ y y = 0 .

The results of the application of non-dimensional transformations (10) are represented as follows:

(20) Nu x Re x 1 2 = k h n f k f ( 1 + N q ) θ ' ( 0 ) ,

where Nu x is the reduced Nusselt number. Re x = U w x ν f is the local Re depending on the stretching velocity ( U w ( x ) ) .

4.2 Entropy generation analysis

Mentioned considerations have the following entropy production equation:

(21) E G = k h n f Θ 2 Θ y 2 + 16 3 σ Θ 3 κ ν f ( ρ C p ) f Θ y 2 + μ h n f Θ u 1 y 2 + σ h n f B 2 sin 2 ( Γ q ) u 1 2 Θ .

Entropy equation has the following dimensionless form:

(22) N G = Θ 2 b 2 E G k f ( Θ w Θ ) 2 .

Dimensionless entropy equation obtained from equation (10) is expressed as follows:

(23) N G = Re ϕ e ( 1 + N q ) θ ' 2 + 1 ϕ a B r Ω ( f 2 + ϕ a ϕ d M sin 2 ( Γ q ) f ' 2 ) .

5 Numerical implementation

Non-linear ordinary differential equations (9)(11) are tackled along with endpoint condition (2.12) via implementation of Keller box scheme [88] and algebraic software Matlab for all involved parametric values. The Keller box process is presented as a step-by-step in the flow chart in Figure 2.

Figure 2 
               Flow chart of Keller box scheme.
Figure 2

Flow chart of Keller box scheme.

5.1 ODE conversion

Required substitutions about the conversion of higher-order ODEs in first-order ODEs are already introduced. Introduction regarding dependent variables V k 1 , V k 2 , V k 3 , V k 4 , V k 5 , and V k 6 is as follows:

(24) V k 1 = f ,   V k 2 = f ' ,   V k 3 = f ,   V k 4 = f ,   V k 5 = θ ,   V k 6 = θ ' .

(25) d V k 1 d ξ = V k 2 ,

(26) d V k 2 d ξ = V k 3 ,

(27) d V k 3 d ξ = V k 4 ,

(28) d V k 5 d ξ = V k 6 ,

(29) χ 2 V k 1 d V k 4 d ξ + χ 2 V k 3 2 + ϕ a ϕ b V k 1 V k 3 ϕ a ϕ b V k 2 2 + 2 ϕ a ϕ b χ 1 V k 1 V k 2 ϕ a ϕ b χ 1 V k 1 2 V k 4 ϕ d ϕ b M sin 2 ( Γ q ) V k 2 + V k 4 = 0 ,

(30) d V k 6 d ξ + 1 ϕ d Pr N q d V k 6 d ξ + Pr ϕ c ϕ d V k 1 V k 6 Pr ϕ c ϕ d V k 2 V k 5 + Pr E c ϕ a ϕ e V k 3 2 + Pr ϕ d ϕ e M E c sin 2 ( Γ q ) V k 2 2 = 0 ,

(31) O v 1 ( 0 ) = S , O v 2 ( 0 ) = 1 + Λ q ϕ a V k 3 ( 0 ) , V k 6 ( 0 ) = B q ( 1 V k 5 ( 0 ) ) ,   V k 2 ( ξ ) 0 , V k 3 ( ξ ) 0 , V k 5 ( ξ ) 0 , as ξ .

5.2 Domain discretisation and difference equations

Following grid points are employed for divisions of the domain [0,1] with the help of regular mesh (Figure 3):

ξ 0 = 0 , ξ j = ξ j 1 + Δ x j , j = 0 , 1 , 2 , 3 , J , ξ J = 1 ,

where, Δ x j is step-size. First-order ODEs (1724) are further solved with the central difference method at the midpoint ξ j 1 / 2 , and the following equations are obtained:

(32) ( V k 1 ) j ( V k 1 ) j 1 = 0.5 Δ x j ( ( V k 2 ) j + ( V k 2 ) j 1 ) ,

(33) ( V k 2 ) j ( V k 2 ) j 1 = 0.5 Δ x j ( ( V k 3 ) j + ( V k 3 ) j 1 ) ,

(34) ( V k 3 ) j ( V k 3 ) j 1 = 0.5 Δ x j ( ( V k 4 ) j + ( V k 4 ) j 1 ) ,

(35) ( V k 5 ) j ( V k 5 ) j 1 = 0.5 Δ x j ( ( V k 6 ) j + ( V k 6 ) j 1 ) ,

(36) χ 2 ( ( V k 1 ) j + ( V k 1 ) j 1 ) 2 ( ( V k 4 ) j ( V k 4 ) j 1 ) + Δ x j χ 2 ( ( V k 3 ) j + ( V k 3 ) j 1 ) 2 4 + Δ x j ϕ a ϕ b ( ( V k 1 ) j + ( V k 1 ) j 1 ) 2 ( ( V k 3 ) j + ( V k 3 ) j 1 ) 2 ϕ a ϕ b ( ( V k 2 ) j + ( V k 2 ) j 1 ) 2 4 + 2 Δ x j ϕ a ϕ b χ 1 ( ( V k 1 ) j + ( V k 1 ) j 1 ) 2 ( ( V k 2 ) j + ( V k 2 ) j 1 ) 2 Δ x j ϕ a ϕ b χ 1 ( ( V k 1 ) j + ( V k 1 ) j 1 ) 2 4 × ( ( V k 4 ) j + ( V k 4 ) j 1 ) 2 Δ x j ϕ d ϕ b M sin 2 ( Γ q ) ( ( V k 2 ) j + ( V k 2 ) j 1 ) 2 + Δ x j ( ( V k 4 ) j + ( V k 4 ) j 1 ) 2 = 0 , ,

(37) ( V k 6 ) j ( V k 6 ) j 1 ) + 1 ϕ d Pr N q ( ( V k 6 ) j ( V k 6 ) j 1 ) + Δ x j Pr ϕ c ϕ d ( ( V k 1 ) j + ( V k 1 ) j 1 ) 2 × ( ( V k 6 ) j + ( V k 6 ) j 1 ) 2 Δ x j Pr ϕ c ϕ d ( ( V k 2 ) j + ( V k 2 ) j 1 ) 2 ( ( V k 5 ) j + ( V k 5 ) j 1 ) 2 + Pr E c ϕ a ϕ e ( ( V k 3 ) j + ( V k 3 ) j 1 ) 4 2 + Pr ϕ d ϕ e M E c sin 2 ( Γ q ) ( ( V k 2 ) j + ( V k 2 ) j 1 ) 4 2 = 0 , .

Figure 3 
                  Typical grid structure for difference approximations.
Figure 3

Typical grid structure for difference approximations.

5.3 Newton linearisation

Following substitutions about Newton’s linearisation method are done on equations (3439) for linearisation:

(38) ( V k 1 ) j n + 1 = ( V k 1 ) j n + ( δ O v 1 ) j n , ( V k 2 ) j n + 1 = ( V k 2 ) j n + ( δ O v 2 ) j n , ( V k 3 ) j n + 1 = ( V k 3 ) j n + ( δ V k 3 ) j n , ( V k 4 ) j n + 1 = ( V k 4 ) j n + ( δ V k 4 ) j n , ( V k 5 ) j n + 1 = ( V k 5 ) j n + ( δ V k 5 ) j n , ( V k 6 ) j n + 1 = ( V k 6 ) j n + ( δ V k 6 ) j n .

Substituting equation (38) into equations (2633) and ignoring square and higher powers of δ , the following equations are obtained:

(39) ( ( δ O v 1 ) j ( δ O v 1 ) j 1 ) 0.5 Δ x j ( ( δ O v 2 ) j + ( δ O v 2 ) j 1 ) = ( r 1 ) j ,

(40) ( ( δ O v 2 ) j ( δ O v 2 ) j 1 ) 0.5 Δ x j ( ( δ V k 3 ) j + ( δ V k 3 ) j 1 ) = ( r 2 ) j ,

(41) ( ( δ V k 3 ) j ( δ V k 3 ) j 1 ) 0.5 Δ x j ( ( δ V k 4 ) j + ( δ V k 4 ) j 1 ) = ( r 3 ) j ,

(42) ( ( δ V k 5 ) j ( δ V k 5 ) j 1 ) 0.5 Δ x j ( ( δ V k 6 ) j + ( δ V k 6 ) j 1 ) = ( r 4 ) j ,

(43) ( ϒ 1 ) j ( δ O v 1 ) j + ( ϒ 2 ) j ( δ O v 1 ) j 1 + ( ϒ 3 ) j ( δ O v 2 ) j + ( ϒ 4 ) j ( δ O v 2 ) j 1 + ( ϒ 5 ) j ( δ V k 3 ) j + ( ϒ 6 ) j ( δ V k 3 ) j 1 + ( ϒ 7 ) j ( δ V k 4 ) j + ( ϒ 8 ) j ( δ V k 4 ) j 1 = ( r 5 ) j ,

(44) ( η 1 ) j ( δ O v 1 ) j + ( η 2 ) j ( δ O v 1 ) j 1 + ( η 3 ) j ( δ O v 2 ) j + ( η 4 ) j ( δ O v 2 ) j 1 + ( η 5 ) j ( δ V k 3 ) j + ( η 6 ) j ( δ V k 3 ) j 1 + ( η 7 ) j ( δ V k 5 ) j + ( η 8 ) j ( δ V k 5 ) j 1 + ( η 9 ) j ( δ V k 6 ) j + ( η 1 0 ) j ( δ V k 6 ) j 1 = ( r 6 ) j ,

where

(45) ( Y 1 ) j = Δ x j ϕ a ϕ b χ 1 ( ( V k 1 ) j + ( V k 1 ) j 1 ) ( ( V k 4 ) j + ( V k 4 ) j 1 ) 4 = ( Y 2 ) j , ( Y 3 ) j = Δ x j ϕ d 2 ϕ b M sin 2 ( Γ q ) + 2 Δ x j ϕ a ϕ b χ 1 ( ( V k 1 ) j + ( V k 1 ) j 1 ) 4 + Δ x j ϕ a ϕ b ( ( V k 2 ) j + ( V k 2 ) j 1 ) 2 = ( Y 4 ) j , ( Y 5 ) j = Δ x j ϕ a ϕ b ( ( V k 1 ) j + ( V k 1 ) j 1 ) 4 + Δ x j χ 2 ( ( V k 3 ) j + ( V k 3 ) j 1 ) 2 = ( Y 6 ) j , ( Y 7 ) j = Δ x j 2 χ 2 ( ( V k 1 ) j + ( V k 1 ) j 1 ) 2 8 Δ x j ϕ a ϕ b χ 1 ( ( V k 1 ) j + ( V k 1 ) j 1 ) 2 = ( Y 8 ) j , ( r 5 ) j = χ 2 ( ( V k 1 ) j + ( V k 1 ) j 1 ) 2 ( ( V k 4 ) j ( V k 4 ) j 1 ) Δ x j χ 2 ( ( V k 3 ) j + ( V k 3 ) j 1 ) 2 4 Δ x j ϕ a ϕ b ( ( V k 1 ) j + ( V k 1 ) j 1 ) 2 ( ( V k 3 ) j + ( V k 3 ) j 1 ) 2 ϕ a ϕ b ( ( V k 2 ) j + ( V k 2 ) j 1 ) 2 4 2 Δ x j ϕ a ϕ b χ 1 ( ( V k 1 ) j + ( V k 1 ) j 1 ) 2 ( ( V k 2 ) j + ( V k 2 ) j 1 ) 2 Δ x j ϕ a ϕ b χ 1 ( ( V k 1 ) j + ( V k 1 ) j 1 ) 2 4 × ( ( V k 4 ) j + ( V k 4 ) j 1 ) 2 + Δ x j ϕ d ϕ b M sin 2 ( Γ q ) ( ( V k 2 ) j + ( V k 2 ) j 1 ) 2 Δ x j ( ( V k 4 ) j + ( V k 4 ) j 1 ) 2 , ,

(46) ( η 1 ) j = Δ x j Pr ϕ c ϕ d ( ( V k 6 ) j + ( V k 6 ) j 1 ) 4 = ( η 2 ) j , ( η 3 ) j = Δ x j Pr ϕ c ϕ d ( ( V k 6 ) j + ( V k 6 ) j 1 ) 4 = ( η 4 ) j , ( η 5 ) j = Δ x j E c Pr ϕ a ϕ d ( ( V k 3 ) j + ( V k 3 ) j 1 ) 4 = ( η 6 ) j , ( η 7 ) j = Δ x j Pr ϕ c ϕ d ( ( V k 2 ) j + ( V k 2 ) j 1 ) 4 = ( η 8 ) j , ( η 9 ) j = 1 + N q Pr ϕ d + Δ x j Pr ϕ c ϕ d ( ( V k 1 ) j + ( V k 1 ) j 1 ) 4 , ( η 10 ) j = 1 N q Pr ϕ d + Δ x j Pr ϕ c ϕ d ( ( V k 1 ) j + ( V k 1 ) j 1 ) 4 , ( r 6 ) j = ( ( V k 6 ) j ( V k 6 ) j 1 ) Pr E c ϕ a ϕ e ( ( V k 3 ) j + ( V k 3 ) j 1 ) 4 2 1 ϕ d Pr N q ( ( V k 6 ) j ( V k 6 ) j 1 ) Pr ϕ d ϕ e M E c sin 2 ( Γ q ) ( ( V k 2 ) j + ( V k 2 ) j 1 ) 4 2 + Δ x j Pr ϕ c ϕ d ( ( V k 1 ) j + ( V k 1 ) j 1 ) 2 ( ( V k 6 ) j + ( V k 6 ) j 1 ) 2 + Δ x j Pr ϕ c ϕ d ( ( V k 2 ) j + ( V k 2 ) j 1 ) 2 ( ( V k 5 ) j + ( V k 5 ) j 1 ) 2 , .

5.4 Block tridiagonal structure

The block tridiagonal structure obtained from a linearised set of equations is expressed as follows:

(47) A Δ = S ,

where

A = [ L 1 ] [ N 1 ] [ L 2 ] [ N 2 ] [ M J 1 ] [ L J 1 ] [ N J 1 ] [ M J ] [ L J ] , Δ = [ Δ 1 ] [ Δ 2 ] [ Δ J 1 ] [ Δ J ] and S = [ S 1 ] [ S 2 ] [ S J 1 ] [ S J ] ,

where the elements defined in equation (46) are expressed as follows:

L 1 = 0 0 0 1 0 0 0.5 Δ x 1 0 0 0 0 0 1 0 0.5 Δ x 1 0 0.5 Δ x 1 0 0 1 0 0 0 0.5 Δ x 1 ( ϒ 6 ) 1 0 ( ϒ 8 ) 1 ( ϒ 1 ) 1 ( ϒ 7 ) 1 0 ( η 6 ) 1 ( η 8 ) 1 0 ( η 1 ) 1 0 ( η 9 ) 1 ,

L j = 0.5 Δ x j 0 0 1 0 0 1 0.5 Δ x j 0 0 0 0 0 1 0 0 0.5 Δ x j 0 0 0 1 0 0 0.5 Δ x j ( ϒ 4 ) j ( ϒ 6 ) j 0 ( ϒ 1 ) j ( ϒ 7 ) j 0 ( η 4 ) j ( η 6 ) j ( η 8 ) j ( η 1 ) j 0 ( η 9 ) j , 2 j J

M j = 0 0 0 1 0 0 0 0 0 0 0 0 0 0 0 0 0.5 Δ x j 0 0 0 0 0 0 0.5 Δ x 1 0 0 0 ( ϒ 2 ) j ( ϒ 8 ) j 0 0 0 0 ( η 2 ) j 0 ( η 1 0 ) j , 2 j J

N j = 0.5 Δ x j 0 0 0 0 0 1 0.5 Δ x j 0 0 0 0 0 1 0 0 0 0 0 0 1 0 0 0 ( ϒ 3 ) j ( ϒ 5 ) j 0 0 0 0 ( η 3 ) j ( η 5 ) j ( η 7 ) j 0 0 0 , 1 j J 1 .

Now we factorize A as follows:

(48) A = L U ,

where

L = [ Γ 1 ] [ Γ 2 ] [ Γ J 1 ] [ M J ] [ Γ J ] , U = [ I ] [ α 1 ] [ I ] [ α 2 ] [ I ] [ α J 1 ] [ I ] .

Each block of super vectors has 6 × 6 size, while total block-tridiagonal matrix A has J × J size and [ I ] , [ Γ i ] and [ α i ] are six-ordered matrices. Implementation of L U decomposition algorithm is done to solve Δ . Considerations are done for Δ x j = 0.01 mesh size to be suitable regarding mathematical observation, and then, final results are attained having error tolerance of 10−6.

6 Code validation

Verification is done via a comparison of currently obtained results with the previous literature [89,90,91,92,93,94]. The summary on consistency comparison in the presented studies is presented in Table 4. The accurate results are obtained in the present study.

Table 4

The assessment of - θ ' ( 0 ) by the discrepancy in Prandtl number, ϕ = 0 , ϕ h = 0 , N q = 0 , E c = 0 , S = 0 , and B γ

P r Ref. [89] Ref. [90] Ref. [91] Ref. [92] Ref. [93] Ref. [94] Present
0.72 0.8086 0.8086 0.80863135 0.80876122 0.80876181 0.80876181 0.80876181
1.0 1.0 1.0 1.0 1.0 1.0 1.0 1.0
3.0 1.9237 1.9236 1.92368259 1.92357431 1.92357420 1.92357420 1.92357420
7.0 3.0723 3.0722 3.07225021 3.07314679 3.07314651 3.07314651 3.07314651
10 3.7207 3.7006 3.72067390 3.72055436 3.72055429 3.72055429 3.72055429

7 Results and discussion

The numerical computation is tabulated and represented graphically for more accessible analysis. The essence of characteristic physical parameters such as Deborah number χ 1 , χ 2 , magnetic M, angle inclination Γ q , nanoparticle volume friction ϕ, velocity slip Λ q , Biot number B γ , radiation N q , viscous dissipation E c , suction ( S > 0 )/injection ( S < 0 ), Reynolds number Re, and Brinkman number B r are discussed thoroughly. The default values were Γ q = π / 8 , M = 0.2 , ϕ = 0.18 , ϕ h = 0.18 , χ 2 = 0.01 , Pr = 7.38 , N q = 0.2 , E c =   0.2 ,   χ 1 =   0.01 ,   B γ = 0.2 , S = 0.1 , n = 0.2, Re = 5 , and B r = 5 .

7.1 Effect of Deborah number ( χ 1 ) and ( χ 2 )

The dimensionless Deborah number quantifies that given enough time, even a solid-like material can flow, or a fluid-like substance can behave like a solid when it is deformed quickly enough. Because they flow freely, materials with short relaxation periods decompose under stress very quickly. Hence, it is very crucial to overview the consequence of Deborah’s number on the system. Figure 4 displays the impact of the relaxation time to retardation time ratio χ 1 on the velocity profile. Whenever χ 1 is intensified, the relaxation time is diminished along with the retardation time. As a result, nanofluid particles acquire a lot more time to return to equilibrium after being in a disturbed manner. As illustrated in Figure 4, the velocity drops as Deborah’s number increases. The effect of Deborah’s number on temperature is depicted in Figure 5. It is notable that increment of χ 1 caused the temperature amplified. This phenomenon occurs as a result of the fluid flow being slowed by the resistance provided to it. The different effects can be seen with varying the value of χ 2 , which has been displayed in Figure 6. It is assumed that χ 2 helps as if there is no resistance being affected by the fluid flow. Nonetheless, a higher value of Deborah corresponds to a longer retardation time because it is dependent on the retardation time of the χ 2 as exposed in Figure 7. Technically, elasticity is strengthened by an upsurge in the retardation time of χ 2 . Elastic and viscosity effects are observed to be inversely related to one another. Therefore, a diminution in viscosity boosts fluid speed. Thus, the velocity rises as the Deborah number increases. Figures 8 and 9 depict the relationship between χ 1 , χ 2 and entropy production in the mono and hybrid nanofluids. It is remarked that χ 2 is highly effective on entropy than χ 1 , and both of them reduce the entropy. The hybrid nanofluid is less entropy than the mono as a general. Also, the increasing behaviour of the rate of heat transfer (Table 5) will lead to improving the performance and efficiency of the solar-powered ship.

Figure 4 
                  Velocity variation versus 
                     
                        
                           
                           
                              
                                 
                                    χ
                                 
                                 
                                    1
                                 
                              
                           
                           {\chi }_{1}
                        
                     .
Figure 4

Velocity variation versus χ 1 .

Figure 5 
                  Temperature variation versus 
                     
                        
                           
                           
                              
                                 
                                    χ
                                 
                                 
                                    1
                                 
                              
                           
                           {\chi }_{1}
                        
                     .
Figure 5

Temperature variation versus χ 1 .

Figure 6 
                  Temperature variation versus 
                     
                        
                           
                           
                              
                                 
                                    χ
                                 
                                 
                                    2
                                 
                              
                           
                           {\chi }_{2}
                        
                     .
Figure 6

Temperature variation versus χ 2 .

Figure 7 
                  Velocity variation versus 
                     
                        
                           
                           
                              
                                 
                                    χ
                                 
                                 
                                    2
                                 
                              
                           
                           {\chi }_{2}
                        
                     .
Figure 7

Velocity variation versus χ 2 .

Figure 8 
                  Entropy variation versus 
                     
                        
                           
                           
                              
                                 
                                    χ
                                 
                                 
                                    1
                                 
                              
                           
                           {\chi }_{1}
                        
                     .
Figure 8

Entropy variation versus χ 1 .

Figure 9 
                  Entropy variation versus 
                     
                        
                           
                           
                              
                                 
                                    χ
                                 
                                 
                                    2
                                 
                              
                           
                           {\chi }_{2}
                        
                     .
Figure 9

Entropy variation versus χ 2 .

Table 5

Calculation of Nusselt number Nu Re x 1 2 for Pr = 7.38

S M Γ q ϕ , ϕ h Pr N q B γ E c Λ q χ 1 χ 2 Nu Re x 1 2 Ag-EG Nu Re x 1 2 Fe3O4-Ag/EG Relative % Nu ( Fe 3 O 4 Ag ) Nu ( A g ) Nu ( Fe 3 O 4 Ag )
0.1 0.2 π / 8 0.18 7 0.2 0.2 0.2 0.01 0.01 0.01 0.08170 0.10254 20.32%
0.2 0.08218 0.10807 23.95%
0.3 0.08260 0.10919 24.35%
0.1 0.08116 0.10734 24.38%
0.5 0.07654 0.10115 24.33%
1 0.07115 0.09404 24.34%
π / 6 0.08116 0.10734 24.38%
π / 4 0.07997 0.10574 24.37%
π / 3 0.07881 0.10418 24.35%
0.02 0.10331 0.10945 5.60%
0.06 0.09139 0.10836 15.66%
0.1 0.08116 0.10734 24.38%
10 0.08116 0.10734 24.38%
15 0.08128 0.10755 24.42%
20 0.08134 0.10765 24.44%
0.1 0.07482 0.09897 24.40%
0.5 0.09968 0.13191 24.43%
1 0.12934 0.17141 24.54%
0.1 0.08116 0.10734 24.38%
0.3 0.22154 0.29251 24.26%
0.5 0.33870 0.44657 24.15%
0.2 0.07786 0.10343 24.72%
0.4 0.07128 0.09560 25.43%
0.6 0.06469 0.08777 26.29%
0.1 0.08116 0.10734 24.38%
0.2 0.08192 0.10819 24.28%
0.3 0.08230 0.10862 24.23%
0.1 0.08116 0.10734 24.38%
0.2 0.08281 0.10932 24.24%
0.3 0.08370 0.11033 24.13%
0.1 0.08116 0.10734 24.38%
0.2 0.08148 0.10774 24.37%
0.3 0.08175 0.10808 24.36%

7.2 Effect of magnetic parameter ( M ) and angle inclination parameter ( Γ q )

Figure 10 describes the influence of magnetic parameter on velocity distribution. When the magnetic field gets stronger, it creates more drag, which slows down the fluid. Boundary layer flow can be stabilised with the use of a controlled transverse magnetic field. Delaying transition from laminar to turbulent flow can be achieved using this technique. It can be perceived that hybrid nanofluid is slightly improved compared to nanofluid at the same point due to the hybrid nanoparticle in the base fluid, making the fluid challenging to be influenced by the magnetic field. Despite that, the temperature of the system is augmented since less heat can be transferred to other places with the slower movement of the fluid flow. This occurrence is displayed in Figure 11. The positive value indicates that heat is being transported from surface to fluid. It is meaningful to look into the system’s entropy with the impact of the magnetic field in the system. Figure 12 illustrates the intensified entropy due to the lack of heat transfer in the system. This occurrence is expected due to the diminished velocity, which will retard the heat transportation in the system, hence amplifying the entropy generation in the system.

Figure 10 
                  Velocity variation versus 
                     
                        
                           
                           
                              M
                           
                           M
                        
                     .
Figure 10

Velocity variation versus M .

Figure 11 
                  Temperature variation versus 
                     
                        
                           
                           
                              M
                           
                           M
                        
                     .
Figure 11

Temperature variation versus M .

Figure 12 
                  Entropy variation versus 
                     
                        
                           
                           
                              M
                           
                           M
                        
                     .
Figure 12

Entropy variation versus M .

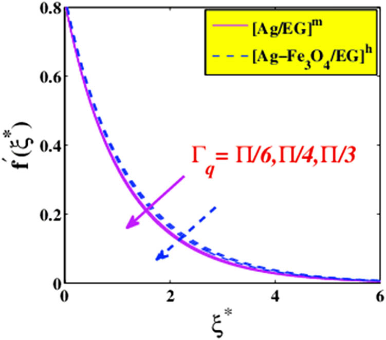
A similar trend can be found for the influence of angle inclination together with the velocity of the fluid flow demonstrated in Figure 13. The normal force reduces with the increasing inclination angle, which reduces the frictional force. The inclination can be augmented up to the point when the fluid flow begins to slide backward. This action will be the retarded force for the fluid to move forward because of the shift in the normal force. However, the velocity for hybrid nanofluid is slightly better than the conventional nanofluid. The molecule bonding in the base fluid helps the flow to maintain the speed from the retardation force. The temperature system will also intensify due to the slower movement of fluid flow (Figure 14). This phenomenon occurred due to minor heat relocation from the surface towards the flow. The slower movement of the fluid flow causes the buildup of cumulative heat on the surface. Hence, this results in an increment of entropy of the system (Figure 15). It is worth mentioning, regardless of the temperature in the system amplified, that the hybrid nanofluid seems slightly manageable to reduce the entropy generation.

Figure 13 
                  Velocity variation versus 
                     
                        
                           
                           
                              
                                 
                                    Γ
                                 
                                 
                                    q
                                 
                              
                           
                           {\text{&#x0393;}}_{q}
                        
                     .
Figure 13

Velocity variation versus Γ q .

Figure 14 
                  Temperature variation versus 
                     
                        
                           
                           
                              
                                 
                                    Γ
                                 
                                 
                                    q
                                 
                              
                           
                           {\text{&#x0393;}}_{q}
                        
                     .
Figure 14

Temperature variation versus Γ q .

Figure 15 
                  Entropy variation versus 
                     
                        
                           
                           
                              
                                 
                                    Γ
                                 
                                 
                                    q
                                 
                              
                           
                           {\text{&#x0393;}}_{q}
                        
                     .
Figure 15

Entropy variation versus Γ q .

7.3 Effect of nanoparticle volume fraction parameter ( ϕ )

Nanoparticle volumetric fraction parameter ϕ effect towards velocity is shown in Figure 16. As ϕ intensified, the speed of the fluid flow is decreased. This occurrence happens due to the increase of fluid viscosity with growing nanofluid concentration and friction escalations. The hybrid nanofluid has a higher velocity than the conventional nanofluid as ϕ augmented. It is found that the temperature of the system amplified along with ϕ in Figure 16. It is worth mentioning that fluid velocity is critical for heat transmission. The movement of the particles in the fluid decreased, which will cause the heat to accumulate in the system. Hence, the temperature of the system doubles up. It is also expected that the system’s entropy will amplify due to heat accumulation—this evidence is illustrated in Figure 17. The analytical results shown in Figure 18 demonstrate that the nanoparticle volume fraction substantially influences the produced entropy. Conversely, hybrid nanofluid generates less entropy than nanofluid, as shown in Figure 18. This finding implies that hybrid nanofluids can better control the entropy system than nanofluids.

Figure 16 
                  Velocity variation versus 
                     
                        
                           
                           
                              ϕ
                           
                           \phi 
                        
                     .
Figure 16

Velocity variation versus ϕ .

Figure 17 
                  Temperature variation versus 
                     
                        
                           
                           
                              ϕ
                           
                           \phi 
                        
                     .
Figure 17

Temperature variation versus ϕ .

Figure 18 
                  Entropy variation versus 
                     
                        
                           
                           
                              ϕ
                           
                           \phi 
                        
                     .
Figure 18

Entropy variation versus ϕ .

7.4 Effect of velocity slip parameter ( Λ q )

Disparity in velocity between the conveying air and the delivered particles is known as the velocity slip parameter. Along walls, the velocity slip condition is measured. The velocity slip parameter caused the flow velocity to decelerate, as shown in Figure 19. It happens when the slip increases the friction force between the flow and the surface. It is worth pointing out that the velocity of hybrid nanofluid is still higher than nanofluid because the base fluid contains metal particles that have a strong bond that is hard to be affected. Since the velocity is reduced, the temperature of the flow is distending as the velocity slip heightens. This aspect is observable in Figure 20 and obviously happens due to less heat being transported from one point to another. However, it is eye catching that the system’s entropy is reduced regardless of the velocity slip intensification, as shown in Figure 21. This phenomenon is because silver and iron have higher positive enthalpies, which have been stated by Hsu et al. [95], the bonding energy and structural atoms that are good to be counterbalanced with the entropy.

Figure 19 
                  Velocity variation versus 
                     
                        
                           
                           
                              
                                 
                                    Λ
                                 
                                 
                                    q
                                 
                              
                           
                           {\text{&#x039B;}}_{q}
                        
                     .
Figure 19

Velocity variation versus Λ q .

Figure 20 
                  Temperature variation versus 
                     
                        
                           
                           
                              
                                 
                                    Λ
                                 
                                 
                                    q
                                 
                              
                           
                           {\text{&#x039B;}}_{q}
                        
                     .
Figure 20

Temperature variation versus Λ q .

Figure 21 
                  Entropy variation versus 
                     
                        
                           
                           
                              
                                 
                                    Λ
                                 
                                 
                                    q
                                 
                              
                           
                           {\text{&#x039B;}}_{q}
                        
                     .
Figure 21

Entropy variation versus Λ q .

7.5 Effect of Biot number ( B γ ), radiation parameter ( N q ), and viscous dissipation ( E c )

The repercussion of the Biot number towards the temperature of the flow is shown in Figure 22. The trend depicted the temperature aggrandize as the Biot number surge. This notable trend showed the thermal resistances inside the flow amplified hence proliferating the temperature of the flow. This peculiarity triggers the entropy of the system enhanced as embellished in Figure 23. It is noteworthy that the increase in the Biot number rises the rate of heat transfer and entropy of the system as well. This increasing behaviour of the rate of heat transfer (Table 5) will lead to improving the performance and efficiency of the solar-powered ship. Moreover, it has been pointed out that the minimum relative percentage of ( B γ ) is reflecting on point 24.15 and maximum on point 24.38.

Figure 22 
                  Temperature variations versus 
                     
                        
                           
                           
                              
                                 
                                    B
                                 
                                 
                                    γ
                                 
                              
                           
                           {B}_{\gamma }
                        
                     .
Figure 22

Temperature variations versus B γ .

Figure 23 
                  Entropy variations versus 
                     
                        
                           
                           
                              
                                 
                                    B
                                 
                                 
                                    γ
                                 
                              
                           
                           {B}_{\gamma }
                        
                     .
Figure 23

Entropy variations versus B γ .

The radiation response resulting from the heat exchange between the flow and surrounding (far field) is displayed in Figure 24. According to this figure, the surrounding temperature affected the flow temperature to be amplified. This experience is due to both the surrounding and the flow trying to achieve thermal equilibrium with each other. The surrounding temperature is hotter than the flow. Hence, the temperature of the flow is elucidated. This incident shows the increment of entropy in the system as illuminated in Figure 25. It embossed that energy in the system undergoes the irreversible process. Also, the increasing behaviour of the rate of heat transfer in Table 5 will lead to improving the performance and efficiency of the solar-powered ship.

Figure 24 
                  Temperature variations versus 
                     
                        
                           
                           
                              
                                 
                                    N
                                 
                                 
                                    q
                                 
                              
                           
                           {N}_{q}
                        
                     .
Figure 24

Temperature variations versus N q .

Figure 25 
                  Entropy variations versus 
                     
                        
                           
                           
                              
                                 
                                    N
                                 
                                 
                                    q
                                 
                              
                           
                           {N}_{q}
                        
                     .
Figure 25

Entropy variations versus N q .

A similar trend is shown in Figure 26 as the viscous dissipation exaggerates and the flow’s temperature increases. It is widely known that all the energy lost by the viscous dissipation will be converted into heat in the system. Therefore, the total heat in the system increased, and later, the temperature in the flow broadened.

Figure 26 
                  Temperature variations versus 
                     
                        
                           
                           
                              
                                 
                                    E
                                 
                                 
                                    c
                                 
                              
                           
                           {E}_{c}
                        
                     .
Figure 26

Temperature variations versus E c .

7.6 Effect of suction ( S > 0 )/injection ( S < 0 ) parameter

It is essential to look at the essence of the suction or injection parameter towards the flow. Figure 27 shows that the velocity of the flow is diminished as the suction is enhanced. The suction effect will disturb the speed to flow on the surface smoothly. Hence, it will gradually degenerate the velocity of the flow. Nonetheless, the suction effect is an assertion in reducing the temperature of the flow as illustrated in Figure 28. The speed of the nearest layer to the surface increases due to the porosity of the surface. The porosity will pull the flow into the hole. With this effect, the heat can be transmitted quickly, hence reducing the flow’s temperature faster. However, the drawback of this outcome is the entropy of the system amplified. The existence of the porosity on the surface makes the entropy a bit hard to control. Thus, the entropy of the system augments, as shown in Figure 29.

Figure 27 
                  Velocity variations versus 
                     
                        
                           
                           
                              S
                              >
                              0
                           
                           S\gt 0
                        
                     .
Figure 27

Velocity variations versus S > 0 .

Figure 28 
                  Temperature variations versus 
                     
                        
                           
                           
                              S
                              >
                              0
                           
                           S\gt 0
                        
                     .
Figure 28

Temperature variations versus S > 0 .

Figure 29 
                  Entropy generation variations versus 
                     
                        
                           
                           
                              S
                              >
                              0
                           
                           S\gt 0
                        
                     .
Figure 29

Entropy generation variations versus S > 0 .

Different purport can be seen for the significance of injection parameter towards the fluid flow. Figure 30 shows the enhancement of velocity of a fluid with an escalation of injection parameter. This outcome happens due of the flow is being injected or boosted up to an inner layer, which causes the whole velocity of the flow to be augmented. However, the injection parameter side effect adds more friction on the surface, which will cause the temperature of the flow to intensify. This result is apparent in Figure 31. This figure shows that the injection parameter amplified the temperature of the flow. Despite this increment, the entropy of the system is depreciating due to there is no porosity on the surface, which is easier for the system to control the energy in the flow. This circumstance is shown in Figure 32.

Figure 30 
                  Velocity variations versus 
                     
                        
                           
                           
                              S
                              <
                              0
                           
                           S\lt 0
                        
                     .
Figure 30

Velocity variations versus S < 0 .

Figure 31 
                  Temperature variations versus 
                     
                        
                           
                           
                              S
                              <
                              0
                           
                           S\lt 0
                        
                     .
Figure 31

Temperature variations versus S < 0 .

Figure 32 
                  Entropy generation variations versus 
                     
                        
                           
                           
                              S
                              <
                              0
                           
                           S\lt 0
                        
                     .
Figure 32

Entropy generation variations versus S < 0 .

7.7 Impact of Reynolds number ( Re ) and Brinkman number ( B r ) on entropy generation

Figure 33 shows that the system’s entropy amplifies with the Reynold number because the inertial forces augment the systems. The particles in the hybrid nanofluid have tremendous kinetic energy, which causes them to move faster and have the disorder at a high Reynold number. The analysis of the effect of the Brinkman number is eye catching in that it shows the ratio between heat produced by viscous dissipation and heat transmission by molecular conduction. Figure 34 indicates that the Brinkman number expend entropy generation of the system. It is specified that heat produced is more caused by viscous dissipation.

Figure 33 
                  Entropy variations versus 
                     
                        
                           
                           
                              
                                 
                                    R
                                 
                                 
                                    e
                                 
                              
                           
                           {R}_{e}
                        
                     .
Figure 33

Entropy variations versus R e .

Figure 34 
                  Entropy variations versus 
                     
                        
                           
                           
                              
                                 
                                    B
                                 
                                 
                                    r
                                 
                              
                           
                           {B}_{r}
                        
                     .
Figure 34

Entropy variations versus B r .

7.8 Impact of ( ϕ ),( M ),( N q ) and ( E c ) on heat transfer rate ( Nu x Re x 1 2 )

It is worth seeing the influence of several factors of the physical parameter that can give impact towards the physical quantity, as such the local Nusselt number. The nanoparticle volume fraction parameter decreases a little heat transfer rate due to the small-sized molecules allowing for free movement and hence micro convection, which can slightly affect the heat transfer. Based on Figure 35, the hybrid nanofluid has at least 5.6% better heat dispersion rather than the nanofluid. This occurrence is due to the hybrid nanofluid advanced properties of thermodynamics. When nanoparticle volume fraction increases, the heat transfer rate for nanofluid decreases significantly compared to hybrid nanofluid. This phenomenon indicates that hybrid nanofluid can maintain heat transfer rates as the volume of nanoparticles augment.

Figure 35 
                  Impact of 
                        
                           
                           
                              ϕ
                           
                           \phi 
                        
                      on 
                        
                           
                           
                              N
                              
                                 
                                    u
                                 
                                 
                                    x
                                 
                              
                              
                                 
                                    Re
                                 
                                 
                                    x
                                 
                                 
                                    −
                                    
                                       1
                                       2
                                    
                                 
                              
                           
                           N{u}_{x}{\mathrm{Re}}_{x}^{-\frac{1}{2}}
                        
                     .
Figure 35

Impact of ϕ on N u x Re x 1 2 .

The demeanour of the heat transfer rate with magnetic parameter effect is depicted in Figure 36. The magnetic field acting on the system amplifies as the heat transfer rate reduces in the flow. The flowing current seems like a retarded force in transferring the heat from the surface to the flow. Heat transfer for hybrid nanofluid is more remarkable, at least at 24% than nanofluid. It is due to the base fluid having more metal particles that can uphold the thermal conductivity of the flow.

Figure 36 
                  Impact of 
                        
                           
                           
                              M
                           
                           M
                        
                      on 
                        
                           
                           
                              N
                              
                                 
                                    u
                                 
                                 
                                    x
                                 
                              
                              
                                 
                                    Re
                                 
                                 
                                    x
                                 
                                 
                                    −
                                    
                                       1
                                       2
                                    
                                 
                              
                           
                           N{u}_{x}{\mathrm{Re}}_{x}^{-\frac{1}{2}}
                        
                     .
Figure 36

Impact of M on N u x Re x 1 2 .

Figure 37 illustrates that the radiation parameter aggrandizes the heat transfer rate. It is well known that radiation is the quickest medium in heat transfer because they emit from a body to the receiver flow in electromagnetic waves. With the bits of help of the magnetic parameter, the radiation further heightens the heat transfer rate in the system. It is observable that hybrid nanofluid possesses better heat transfer, at least about 24% from nanofluid. The physical reason for this phenomenon is that the metal particle in the hybrid nanofluid is more than nanofluid, which can enhance further the heat transfer rate in the system.

Figure 37 
                  Impact of 
                        
                           
                           
                              
                                 
                                    N
                                 
                                 
                                    q
                                 
                              
                           
                           {N}_{q}
                        
                      on 
                        
                           
                           
                              N
                              
                                 
                                    u
                                 
                                 
                                    x
                                 
                              
                              
                                 
                                    Re
                                 
                                 
                                    x
                                 
                                 
                                    −
                                    
                                       1
                                       2
                                    
                                 
                              
                           
                           N{u}_{x}{\mathrm{Re}}_{x}^{-\frac{1}{2}}
                        
                     .
Figure 37

Impact of N q on N u x Re x 1 2 .

The decreasing trend can be observed in Figure 38, which illustrates the depreciation of heat transfer rate with an increment of viscous dissipation. It can be observed that the flow is heating up, but the viscosity of the fluid is low, which is challenging to transform kinetic energy into internal energy of the liquid. However, the hybrid nanofluid has a higher heat transfer rate at about 24% because the viscosity of a fluid is more elevated than the nanofluid.

Figure 38 
                  Impact of 
                        
                           
                           
                              E
                              c
                           
                           Ec
                        
                      on 
                        
                           
                           
                              N
                              
                                 
                                    u
                                 
                                 
                                    x
                                 
                              
                              
                                 
                                    Re
                                 
                                 
                                    x
                                 
                                 
                                    −
                                    
                                       1
                                       2
                                    
                                 
                              
                           
                           N{u}_{x}{\mathrm{Re}}_{x}^{-\frac{1}{2}}
                        
                     .
Figure 38

Impact of E c on N u x Re x 1 2 .

7.9 Relative heat transfer rate in ( Cu Ag ) and ( (Fe 3 O 4 ) - EO ) nanofluid

It is worth mentioning that the relative percentage for the heat transfer rate of hybrid nanofluid for each physical parameter is 24%. This relative percentage is presented in Table 5. It is seen that almost every physical parameter augment produced an increment at most 24%.

8 Final outcomes

The performance of solar-powered ships using Oldroyd hybrid nanofluids in parabolic trough solar collectors is investigated theoretically. Governing equations involved are altered into ODEs and were further numerically solved using the Keller Box method. All results are analyzed and discussed thoroughly. The results can be summarised as follows:

  • Only Deborah number χ 2 and injection parameters amplify velocity of the flow, while Deborah number χ 1 , magnetic, angle inclination, nanoparticle volume fraction, velocity slip, and suction parameters diminish the velocity of the flow.

  • The temperature profile can be augmented with the influence of Deborah number χ 1 , magnetic, angle inclination, nanoparticle volume fraction, velocity slip, radiation, and injection parameter.

  • The entropy generation can be controlled by Deborah number, velocity slip, and injection parameter.

  • Heat transmission is reduced with the effect of nanoparticle volume fraction, magnetic and viscous dissipation

  • Relative percentage of heat transfer rate for hybrid nanofluid is 24% over nanofluid.

8.1 Future direction

The future investigation can include other physical parameters such as Joule heating, nanoparticles shape, and others. The analysis of these factors is critical to have a total overview of solar-powered ships.

Acknowledgments

This work was supported by Taif University researchers supporting project number (TURSP-2020/205), Taif University, Taif, Saudi Arabia.

  1. Funding information: This work was supported by Taif University researchers supporting project number (TURSP-2020/205), Taif University, Taif, Saudi Arabia.

  2. Author contributions: All authors have accepted responsibility for the entire content of this article and approved its submission.

  3. Conflict of interest: The authors state no conflict of interest.

References

[1] Mekhilef S, Faramarzi SZ, Saidur R, Salam Z. The application of solar technologies for sustainable development of agricultural sector. Renew Sustain Energy Rev. 2013;18:583–94.10.1016/j.rser.2012.10.049Search in Google Scholar

[2] Bahnemann D. Photocatalytic water treatment: solar energy applications. Sol Energy. 2004;77(5):445–59.10.1016/j.solener.2004.03.031Search in Google Scholar

[3] Zhou H, Xu J, Liu X, Zhang H, Wang D, Chen Z, et al. Bio‐inspired photonic materials: prototypes and structural effect designs for applications in solar energy manipulation. Adv Funct Mater. 2018;28(24):1705309.10.1002/adfm.201705309Search in Google Scholar

[4] Hassanien RHE, Li M, Lin WD. Advanced applications of solar energy in agricultural greenhouses. Renew Sustain Energy Rev. 2016;54:989–1001.10.1016/j.rser.2015.10.095Search in Google Scholar

[5] Hasnain SM, Alawaji SH, Elani UA. Solar energy education-a viable pathway for sustainable development. Renew Energy. 1998;14(1–4):387–92.10.1016/S0960-1481(98)00094-9Search in Google Scholar

[6] Gueymard CA. The sun’s total and spectral irradiance for solar energy applications and solar radiation models. Sol Energy. 2004;76(4):423–53.10.1016/j.solener.2003.08.039Search in Google Scholar

[7] Ahmed A, Baig H, Sundaram S, Mallick TK. Use of nanofluids in solar PV/thermal systems. Int J Photoenergy. 2019;2019:8039129.10.1155/2019/8039129Search in Google Scholar

[8] Khanafer K, Vafai K. A review on the applications of nanofluids in solar energy field. Renew Energy. 2018;123:398–406.10.1016/j.renene.2018.01.097Search in Google Scholar

[9] Lee Y, Jeong H, Park JT, Delgado A, Kim S. Experimental investigation on evaluation of thermal performance of solar heating system using Al2O3nanofluid. Appl Sci. 2020;10(16):5521.10.3390/app10165521Search in Google Scholar

[10] Olia H, Torabi M, Bahiraei M, Ahmadi MH, Goodarzi M, Safaei MR. Application of nanofluids in thermal performance enhancement of parabolic trough solar collector: state-of-the-art. Appl Sci. 2019;9(3):463.10.3390/app9030463Search in Google Scholar

[11] Vijayan G, Rajasekaran K. Performance evaluation of nanofluid on parabolic trough solar collector. Therm Sci. 2020;24(2 Part A):853–64.10.2298/TSCI180509059GSearch in Google Scholar

[12] Wole-Osho I, Okonkwo EC, Abbasoglu S, Kavaz D. Nanofluids in solar thermal collectors: review and limitations. Int J Thermophys. 2020;4111:1–74.10.1007/s10765-020-02737-1Search in Google Scholar

[13] Jamshed W, Şirin C, Selimefendigil F, Shamshuddin M, Altowairqi Y, Eid MR. Thermal characterization of coolant Maxwell type nanofluid flowing in parabolic trough solar collector (PTSC) used inside solar powered ship application. Coatings. 2021;11(12):1552.10.3390/coatings11121552Search in Google Scholar

[14] Bayones FS, Jamshed W, Elhag S, Eid MR. Computational Galerkin finite element method for thermal hydrogen energy utilization of first grade viscoelastic hybrid nanofluid flowing inside PTSC in solar powered ship applications. Energy Env. 2022;0958305X221081463. 10.1177/0958305X221081463.Search in Google Scholar

[15] Yang L, Ji W, Mao M, Huang JN. An updated review on the properties, fabrication and application of hybrid-nanofluids along with their environmental effects. J Clean Prod. 2020;257:120408.10.1016/j.jclepro.2020.120408Search in Google Scholar

[16] Shah TR, Ali MH. Applications of hybrid nanofluids in solar energy, practical limitations and challenges: a critical review. Sol Energy. 2019;183:173–203.10.1016/j.solener.2019.03.012Search in Google Scholar

[17] Waini I, Ishak A, Pop I. Unsteady flow and heat transfer past a stretching/shrinking sheet in a hybrid nanofluid. Int J Heat Mass Transf. 2019;136:288–97.10.1016/j.ijheatmasstransfer.2019.02.101Search in Google Scholar

[18] Huang D, Wu Z, Sunden B. Effects of hybrid nanofluid mixture in plate heat exchangers. Exp Therm Fluid Sci. 2016;72:190–6.10.1016/j.expthermflusci.2015.11.009Search in Google Scholar

[19] Acharya N. On the flow patterns and thermal behaviour of hybrid nanofluid flow inside a microchannel in presence of radiative solar energy. J Therm Anal Calorim. 2020;141(4):1425–42.10.1007/s10973-019-09111-wSearch in Google Scholar

[20] Kumar KG, Hani EHB, Assad MEH, Rahimi-Gorji M, Nadeem S. A novel approach for investigation of heat transfer enhancement with ferromagnetic hybrid nanofluid by considering solar radiation. Microsyst Technol. 2021;27(1):97–104.10.1007/s00542-020-04920-8Search in Google Scholar

[21] Ekiciler R, Arslan K, Turgut O, Kurşun B. Effect of hybrid nanofluid on heat transfer performance of parabolic trough solar collector receiver. J Therm Anal Calorim. 2021;143(2):1637–54.10.1007/s10973-020-09717-5Search in Google Scholar

[22] Alzahrani AK, Ullah MZ, Alshomrani AS, Gul T. Hybrid nanofluid flow in a Darcy-Forchheimer permeable medium over a flat plate due to solar radiation. Case Stud Therm Eng. 2021;26:100955.10.1016/j.csite.2021.100955Search in Google Scholar

[23] Chen SB, Jahanshahi H, Abba OA, Solís-Pérez JE, Bekiros S, Gómez-Aguilar JF, et al. The effect of market confidence on a financial system from the perspective of fractional calculus: Numerical investigation and circuit realization. Chaos Solitons Fractals. 2020;140:110223.10.1016/j.chaos.2020.110223Search in Google Scholar

[24] Qiang X, Mahboob A, Chu YM. Numerical Approximation of fractional-order volterra integrodifferential equation. J Funct Spaces. 2020;2020:8875792.10.1155/2020/8875792Search in Google Scholar

[25] Nazeer M, Hussain F, Khan MI, Rehman AU, El- Zahar ER, Chu YM, et al. Theoretical study of MHD electro-osmotically ow of third-grade fluid in micro channel. Appl Math Comput. 2022;420:126868.10.1016/j.amc.2021.126868Search in Google Scholar

[26] Chu YM, Shankaralingappa BM, Gireesha BJ, Alzahrani F, Khan MI, Khan SU. Combined impact of Cattaneo-Christov double diffusion and radiative heat flux on bio-convective flow of Maxwell liquid configured by a stretched nano-material surface. Appl Math Comput. 2022;419:126883.10.1016/j.amc.2021.126883Search in Google Scholar

[27] Zhao TH, Khan MI, Chu YM. Artificial neural networking (ANN) analysis for heat and entropy generation in flow of non-Newtonian fluid between two rotating disks. Math Methods Appl Sci. 2021. 10.1002/mma.7310.Search in Google Scholar

[28] Chu YM, Khan U, Zaib A, Shah SHAM. Numerical and computer simulations of cross-flow in the streamwise direction through a moving surface comprising the significant impacts of viscous dissipation and magnetic fields: stability analysis and dual solutions. Math Probl Eng. 2020;2020:8542396.10.1155/2020/8542396Search in Google Scholar

[29] Abd El Salam MA, Ramadan MA, Nassar MA, Agarwal P, Chu YM. Matrix computational collocation approach based on rational Chebyshev functions for nonlinear differential equations. Adv Diff Equ. 2021;1:1–17.10.1186/s13662-021-03481-ySearch in Google Scholar

[30] Chu YM, Shah NA, Agarwal P, Chung JD. Analysis of fractional multi-dimensional Navier–Stokes equation. Adv Diff Equ. 2021;1:1–18.10.1186/s13662-021-03250-xSearch in Google Scholar

[31] Chu YM, Nazir U, Sohail M, Selim MM, Lee JR. Enhancement in thermal energy and solute particles using hybrid nanoparticles by engaging activation energy and chemical reaction over a parabolic surface via finite element approach. Fractal Fract. 2021;5(3):119.10.3390/fractalfract5030119Search in Google Scholar

[32] Asjad MI, Zahid M, Chu YM, Baleanu D. Prabhakar fractionalderivative and its applications in the transport phenomena containing nanoparticles. Therm Sci. 2021;25(2):411–6.10.2298/TSCI21S2411ASearch in Google Scholar

[33] Hashim HM, Chu YM. Numerical simulation for heat and mass transport analysis for magnetic-nanofluids flow through stretchable convergent/divergent channels. Int J Mod Phys B. 2021;35(19):2150198.10.1142/S0217979221501988Search in Google Scholar

[34] Asjad MI, Ali R, Iqbal A, Muhammad T, Chu YM. Application of water based drilling clay-nanoparticles in heat transfer of fractional Maxwell fluid over an infinite flat surface. Sci Rep. 2021;11(1):1–14.10.1038/s41598-021-98066-wSearch in Google Scholar PubMed PubMed Central

[35] Ikram MD, Imran MA, Chu YM, Akgül A. MHD flow of a Newtonian fluid in symmetric channel with ABC fractional model containing hybrid nanoparticles. Comb Chem High Throughput Screen. in press. 10.2174/1386207324666210412122544 Search in Google Scholar PubMed

[36] Azeem Khan W, Khan M, Malik R. Three-dimensional flow of an Oldroyd-B nanofluid towards stretching surface with heat generation/absorption. PLoS One. 2014;9(8):e105107.10.1371/journal.pone.0105107Search in Google Scholar PubMed PubMed Central

[37] Hafeez A, Khan M, Ahmed J. Flow of magnetized Oldroyd-B nanofluid over a rotating disk. Appl Nanosci. 2020;10(12):5135–47.10.1007/s13204-020-01401-2Search in Google Scholar

[38] Hafeez A, Khan M, Ahmed J. Stagnation point flow of radiative Oldroyd-B nanofluid over a rotating disk. Comput Methods Prog Biomed. 2020;191:105342.10.1016/j.cmpb.2020.105342Search in Google Scholar PubMed

[39] Zhang Y, Zhang M, Bai Y. Flow and heat transfer of an Oldroyd-B nanofluid thin film over an unsteady stretching sheet. J Mol Liq. 2016;220:665–70.10.1016/j.molliq.2016.04.108Search in Google Scholar

[40] Shivakumara IS, Dhananjaya M, Ng CO. Thermal convective instability in an Oldroyd-B nanofluid saturated porous layer. Int J Heat Mass Transf. 2015;84:167–77.10.1016/j.ijheatmasstransfer.2015.01.010Search in Google Scholar

[41] Ahmad I, Khurshid I, Faisal M, Javed T, Abbas Z. Mixed convective flow of an Oldroyd-B nanofluid impinging over an unsteady bidirectional stretching surface with the significances of double stratification and chemical reaction. SN Appl Sci. 2020;2(9):1–14.10.1007/s42452-020-03430-6Search in Google Scholar

[42] Saqib M, Khan I, Chu YM, Qushairi A, Shafie S, Nisar KS. Multiple fractional solutions for magnetic bio-nanofluid using Oldroyd-B model in a porous medium with ramped wall heating and variable velocity. Appl Sci. 2020;10(11):3886.10.3390/app10113886Search in Google Scholar

[43] Abro KA, Atangana A. A computational technique for thermal analysis in coaxial cylinder of one-dimensional flow of fractional Oldroyd-B nanofluid. Int J Ambient Energy. 2021;1–17. 10.1080/01430750.2021.1939157 Search in Google Scholar

[44] Abu-Hamdeh NH, Alsulami RA, Rawa MJ, Aljinaidi AA, Alazwari MA, Eltaher MA, et al. A detailed hydrothermal investigation of a helical micro double-tube heat exchanger for a wide range of helix pitch length. Case Stud Therm Eng. 2021;28:101413.10.1016/j.csite.2021.101413Search in Google Scholar

[45] Abu-Libdeh N, Redouane F, Aissa A, Mebarek-Oudina F, Almuhtady A, Jamshed W, et al. Hydrothermal and entropy investigation of Ag/MgO/H2O hybrid nanofluid natural convection in a novel shape of porous cavity. Appl Sci. 2021;11(4):1722.10.3390/app11041722Search in Google Scholar

[46] Al-Kouz W, Bendrer BA-I, Aissa A, Almuhtady A, Jamshed W, Nisar KS, et al. Galerkin finite element analysis of magneto two-phase nanofluid flowing in double wavy enclosure comprehending an adiabatic rotating cylinder. Sci Rep. 2021;11(1):1–15.10.1038/s41598-021-95846-2Search in Google Scholar PubMed PubMed Central

[47] Alazwari MA, Safaei MR. Combination effect of baffle arrangement and hybrid nanofluid on thermal performance of a shell and tube heat exchanger using 3-D homogeneous mixture model. Mathematics. 2021a;9(8):881.10.3390/math9080881Search in Google Scholar

[48] Alazwari MA, Safaei MR. Non-isothermal hydrodynamic characteristics of a nanofluid in a fin-attached rotating tube bundle. Mathematics. 2021b;9(10):1153.10.3390/math9101153Search in Google Scholar

[49] Algarni M, Alazwari MA, Safaei MR. Optimization of nano-additive characteristics to improve the efficiency of a shell and tube thermal energy storage system using a hybrid procedure: DOE, ANN, MCDM, MOO, and CFD modeling. Mathematics. 2021;9(24):3235.10.3390/math9243235Search in Google Scholar

[50] Ali MS, Anwar Z, Mujtaba M, Soudagar MEM, Badruddin IA, Safaei MR, et al. Two-phase frictional pressure drop with pure refrigerants in vertical mini/micro-channels. Case Stud Therm Eng. 2021;23:100824.10.1016/j.csite.2020.100824Search in Google Scholar

[51] Anitha S, Safaei MR, Rajeswari S, Pichumani M. Thermal and energy management prospects of γ-AlOOH hybrid nanofluids for the application of sustainable heat exchanger systems. J Therm Anal Calorim. 1–17. 10.1007/s10973-021-10996-9.Search in Google Scholar

[52] Dadsetani R, Sheikhzade G, Goodarzi M, Zeeshan A, Ellahi R, Safaei MR. Thermal and mechanical design of tangential hybrid microchannel and high-conductivity inserts for cooling of disk-shaped electronic components. J Therm Anal Calorim. 2021;143(3):2125–33.10.1007/s10973-020-10232-wSearch in Google Scholar

[53] do Carmo Zidan D, Maia CB, Safaei MR. Performance evaluation of various nanofluids for parabolic trough collectors. Sustain Energy Technol Assess. 2022;50:101865.10.1016/j.seta.2021.101865Search in Google Scholar

[54] Kapur JN, Kesavan HK. Entropy optimization principles and their applications. Entropy and energy dissipation in water resources. Dordrecht: Springer; 1992. p. 3–20.10.1007/978-94-011-2430-0_1Search in Google Scholar

[55] Ahmadi MH, Ghazvini M, Sadeghzadeh M, Nazari MA, Ghalandari M. Utilization of hybrid nanofluids in solar energy applications: a review. Nano-Struct Nano-Objects. 2019;20:100386.10.1016/j.nanoso.2019.100386Search in Google Scholar

[56] Vallejo JP, Sani E, Żyła G, Lugo L. Tailored silver/graphene nanoplatelet hybrid nanofluids for solar applications. J Mol Liq. 2019;296:112007.10.1016/j.molliq.2019.112007Search in Google Scholar

[57] Rabbi HMF, Sahin AZ. Performance improvement of solar still by using hybrid nanofluids. J Therm Anal Calorim. 2021;143(2):1345–60.10.1007/s10973-020-10155-6Search in Google Scholar

[58] Ebrahimi D, Yousefzadeh S, Akbari OA, Montazerifar F, Rozati SA, Nakhjavani S, et al. Mixed convection heat transfer of a nanofluid in a closed elbow-shaped cavity (CESC). J Therm Anal Calorim. 2021;144(6):2295–316.10.1007/s10973-021-10548-1Search in Google Scholar

[59] Goodarzi M, Tlili I, Moria H, Cardoso E, Alkanhal TA, Anqi AE, et al. Boiling flow of graphene nanoplatelets nano-suspension on a small copper disk. Powder Technol. 2021;377:10–9.10.1016/j.powtec.2020.08.083Search in Google Scholar

[60] Jamshed W, Eid MR, Aissa A, Mourad A, Nisar KS, Shahzad F, et al. Partial velocity slip effect on working magneto non-Newtonian nanofluids flow in solar collectors subject to change viscosity and thermal conductivity with temperature. PLoS One. 2021;16(11):e0259881.10.1371/journal.pone.0259881Search in Google Scholar PubMed PubMed Central

[61] Khosravi R, Rabiei S, Khaki M, Safaei MR, Goodarzi M. Entropy generation of graphene–platinum hybrid nanofluid flow through a wavy cylindrical microchannel solar receiver by using neural networks. J Therm Anal Calorim. 2021;145:1949.10.1007/s10973-021-10828-wSearch in Google Scholar

[62] Koulali A, Abderrahmane A, Jamshed W, Hussain SM, Nisar KS, Abdel-Aty A-H, et al. Comparative study on effects of thermal gradient direction on heat exchange between a pure fluid and a nanofluid: employing finite volume method. Coatings. 2021;11(12):1481.10.3390/coatings11121481Search in Google Scholar

[63] Maleki H, Safaei MR, Leon AS, Muhammad T, Nguyen TK. Improving shipboard electronics cooling system by optimizing the heat sinks configuration. J Ocean Eng Sci. 2021. 10.1016/j.joes.2021.09.013.Search in Google Scholar

[64] Mazinani I, Sarafraz MM, Ismail Z, Hashim AM, Safaei MR, Wongwises S. Fluid-structure interaction computational analysis and experiments of tsunami bore forces on coastal bridges. Int J Numer Methods Heat Fluid Flow. 2021;31:1373.10.1108/HFF-02-2019-0127Search in Google Scholar

[65] Mourad A, Aissa A, Mebarek-Oudina F, Jamshed W, Ahmed W, Ali HM, et al. Galerkin finite element analysis of thermal aspects of Fe3O4-MWCNT/water hybrid nanofluid filled in wavy enclosure with uniform magnetic field effect. Int Commun Heat Mass Transf. 2021;126:105461.10.1016/j.icheatmasstransfer.2021.105461Search in Google Scholar

[66] Safaei MR, Elkotb MA, Alsharif AM, Mansir IB, Alamri S, Tirth V, et al. An innovative design of a high strength and low weight sudden micro expansion by considering a nanofluid: Electronic cooling application. Case Stud Therm Eng. 2021;28:101637.10.1016/j.csite.2021.101637Search in Google Scholar

[67] Safaei MR, Tlili I, Gholamalizadeh E, Abbas T, Alkanhal TA, Goodarzi M, et al. Thermal analysis of a binary base fluid in pool boiling system of glycol–water alumina nano-suspension. J Therm Anal Calorim. 2021;143(3):2453–62.10.1007/s10973-020-09911-5Search in Google Scholar

[68] Shahzad F, Jamshed W, Sathyanarayanan SUD, Aissa A, Madheshwaran P, Mourad A. Thermal analysis on Darcy‐Forchheimer swirling Casson hybrid nanofluid flow inside parallel plates in parabolic trough solar collector: an application to solar aircraft. Int J Energy Res. 2021;45(15):20812–34.10.1002/er.7140Search in Google Scholar

[69] Shamshuddin M, Abderrahmane A, Koulali A, Eid MR, Shahzad F, Jamshed W. Thermal and solutal performance of Cu/CuO nanoparticles on a non-linear radially stretching surface with heat source/sink and varying chemical reaction effects. Int Commun Heat Mass Transf. 2021;129:105710.10.1016/j.icheatmasstransfer.2021.105710Search in Google Scholar

[70] Shoeibi S, Kargarsharifabad H, Rahbar N, Ahmadi G, Safaei MR. Performance evaluation of a solar still using hybrid nanofluid glass cooling-CFD simulation and environmental analysis. Sustain Energy Technol Assess. 2022;49:101728.10.1016/j.seta.2021.101728Search in Google Scholar

[71] Midilli A, Kucuk H. Mathematical modeling of thin layer drying of pistachio by using solar energy. Energy Convers Manag. 2003;44(7):1111–22.10.1016/S0196-8904(02)00099-7Search in Google Scholar

[72] Lewandowsky S, Brown GD, Thomas JL. Traveling economically through memory space: Characterizing output order in memory for serial order. Mem Cognition. 2009;37(2):181–93.10.3758/MC.37.2.181Search in Google Scholar PubMed

[73] Guo K, Li H, Yu Z. In-situ heavy and extra-heavy oil recovery: a review. Fuel. 2016;185:886–902.10.1016/j.fuel.2016.08.047Search in Google Scholar

[74] Minea AA. Hybrid nanofluids based on Al2O3, TiO2 and SiO2: numerical evaluation of different approaches. Int J Heat Mass Transf. 2017;104:852–60.10.1016/j.ijheatmasstransfer.2016.09.012Search in Google Scholar

[75] Mabood F, Bognár G, Shafiq A. Impact of heat generation/absorption of magnetohydrodynamics Oldroyd‑B fluid impinging on an inclined stretching sheet with radiation. Sci Rep. 2020;10:17688.10.1038/s41598-020-74787-2Search in Google Scholar PubMed PubMed Central

[76] Aziz A, Jamshed W, Aziz T, Bahaidarah HMS, Rehman KU. Entropy analysis of Powell-Eyring hybrid nanofluid including effect of linear thermal radiation and viscous dissipation. J Therm Anal Calorim. 2020;143:1331–43.10.1007/s10973-020-10210-2Search in Google Scholar

[77] Aziz A, Jamshed W, Aziz T. Mathematical model for thermal and entropy analysis of thermal solar collectors by using Maxwell nanofluids with slip conditions, thermal radiation and variable thermal conductivity. Open Phys. 2018;16:123–36.10.1515/phys-2018-0020Search in Google Scholar

[78] Reddy NB, Poornima T, Sreenivasulu P. Influence of variable thermal conductivity on MHD boundary layer slip flow of ethylene-glycol based Cu nanofluids over a stretching sheet with convective boundary condition. J Eng Mathematics. 2014;2014:905158.10.1155/2014/905158Search in Google Scholar

[79] Maxwell J. A Treatise on electricity and magnetism. 2nd edn. Oxford, UK: Clarendon Press; 1881.Search in Google Scholar

[80] Ali HM. Hybrid nanofluids for convection heat transfer. USA: Academic Press, Elsevier; 2020.Search in Google Scholar

[81] Rahman MRA, Leong KY, Idris AC, Saad MR, Anwar M. Numerical analysis of the forced convective heat transfer on Al2O3–Cu/water hybrid nanofluid. Heat Mass Transf. 2017;53(5):1835–42.10.1007/s00231-016-1941-zSearch in Google Scholar

[82] Muhammad K, Hayat T, Alsaedi A, Ahmad B. Melting heat transfer in squeezing flow of basefluid (water), nanofluid (CNTs + water) and hybrid nanofluid (CNTs + CuO+ water). J Therm Anal Calorim. 2021;143(2):1157–74.10.1007/s10973-020-09391-7Search in Google Scholar

[83] Muhammad K, Hayat T, Alsaedi A, Ahmad B, Momani S. Mixed convective slip flow of hybrid nanofluid (MWCNTs + Cu + water), nanofluid (MWCNTs + water) and base fluid (water): a comparative investigation. J Therm Anal Calorim. 2021;143(2):1523–36.10.1007/s10973-020-09577-zSearch in Google Scholar

[84] Jamshed W, Aziz A. A comparative entropy based analysis of Cu and Fe3O4/methanol Powell-Eyring nanofluid in solar thermal collectors subjected to thermal radiation variable thermal conductivity and impact of different nanoparticles shape. Result Phys. 2018;9:195–205.10.1016/j.rinp.2018.01.063Search in Google Scholar

[85] Jamshed W, Akgül EK, Nisar KS. Keller box study for inclined magnetically driven Casson nanofluid over a stretching sheet: single phase model. PhysicaScripta. 2021;96:065201.10.1088/1402-4896/abecfaSearch in Google Scholar

[86] Hayat T, Nadeem S, Khan AU. Rotating flow of Ag-CuO/H2O hybrid nanofluid with radiation and partial slip boundary effects. Eur Phys J. 2018;E41:75.10.1140/epje/i2018-11682-ySearch in Google Scholar PubMed

[87] Brewster MQ. Thermal radiative transfer and features. New York City, United States: John Wiley and Sons; 1992.Search in Google Scholar

[88] Keller HB. A new difference scheme for parabolic problems. In: Hubbard B, editor. Numerical solutions of partial differential equation 2; 1971. p. 327–50.10.1016/B978-0-12-358502-8.50014-1Search in Google Scholar

[89] Ishak A, Nazar R, Pop I. Mixed convection on the stagnation point flow towards a vertical, continuously stretching sheet. J Heat Transfer-ASME. 2007;129:1087–90.10.1115/1.2737482Search in Google Scholar

[90] Ishak A, Nazar R, Pop I. Boundary layer flow and heat transfer over an unsteady stretching vertical surface. Meccanica. 2009;44:369–75.10.1007/s11012-008-9176-9Search in Google Scholar

[91] Abolbashari MH, Freidoonimehr N, Nazari F, Rashidi MM. Entropy analysis for an unsteady MHD flow past a stretching permeable surface in nano-fluid. Powder Technol. 2014;267:256–67.10.1016/j.powtec.2014.07.028Search in Google Scholar

[92] Das S, Chakraborty S, Jana RN, Makinde OD. Entropy analysis of unsteady magneto-nanofluid flow past accelerating stretching sheet with convective boundary condition. Appl Mathematics Mech. 2015;36(2):1593–610.10.1007/s10483-015-2003-6Search in Google Scholar

[93] Jamshed W. Numerical investigation of MHD impact on Maxwell nanofluid. Int Commun Heat Mass Transf. 2021;120:104973.10.1016/j.icheatmasstransfer.2020.104973Search in Google Scholar

[94] Jamshed W, Nisar KS. Computational single phase comparative study of Williamson nanofluid in parabolic trough solar collector via Keller box method. Int J Energy Res. 2021;45(7):10696–718.10.1002/er.6554Search in Google Scholar

[95] Hsu US, Hung UD, Yeh JW, Chen SK, Huang YS, Yang CC. Alloying behavior of iron, gold and silver in AlCoCrCuNi-based equimolar high-entropy alloys. Mater Sci Eng A. 2007;460–461:403–8.10.1016/j.msea.2007.01.122Search in Google Scholar

Received: 2021-11-17
Revised: 2022-03-07
Accepted: 2022-03-26
Published Online: 2022-05-25

© 2022 Faisal Shahzad et al., published by De Gruyter

This work is licensed under the Creative Commons Attribution 4.0 International License.

Articles in the same Issue

  1. Research Articles
  2. Theoretical and experimental investigation of MWCNT dispersion effect on the elastic modulus of flexible PDMS/MWCNT nanocomposites
  3. Mechanical, morphological, and fracture-deformation behavior of MWCNTs-reinforced (Al–Cu–Mg–T351) alloy cast nanocomposites fabricated by optimized mechanical milling and powder metallurgy techniques
  4. Flammability and physical stability of sugar palm crystalline nanocellulose reinforced thermoplastic sugar palm starch/poly(lactic acid) blend bionanocomposites
  5. Glutathione-loaded non-ionic surfactant niosomes: A new approach to improve oral bioavailability and hepatoprotective efficacy of glutathione
  6. Relationship between mechano-bactericidal activity and nanoblades density on chemically strengthened glass
  7. In situ regulation of microstructure and microwave-absorbing properties of FeSiAl through HNO3 oxidation
  8. Research on a mechanical model of magnetorheological fluid different diameter particles
  9. Nanomechanical and dynamic mechanical properties of rubber–wood–plastic composites
  10. Investigative properties of CeO2 doped with niobium: A combined characterization and DFT studies
  11. Miniaturized peptidomimetics and nano-vesiculation in endothelin types through probable nano-disk formation and structure property relationships of endothelins’ fragments
  12. N/S co-doped CoSe/C nanocubes as anode materials for Li-ion batteries
  13. Synergistic effects of halloysite nanotubes with metal and phosphorus additives on the optimal design of eco-friendly sandwich panels with maximum flame resistance and minimum weight
  14. Octreotide-conjugated silver nanoparticles for active targeting of somatostatin receptors and their application in a nebulized rat model
  15. Controllable morphology of Bi2S3 nanostructures formed via hydrothermal vulcanization of Bi2O3 thin-film layer and their photoelectrocatalytic performances
  16. Development of (−)-epigallocatechin-3-gallate-loaded folate receptor-targeted nanoparticles for prostate cancer treatment
  17. Enhancement of the mechanical properties of HDPE mineral nanocomposites by filler particles modulation of the matrix plastic/elastic behavior
  18. Effect of plasticizers on the properties of sugar palm nanocellulose/cinnamon essential oil reinforced starch bionanocomposite films
  19. Optimization of nano coating to reduce the thermal deformation of ball screws
  20. Preparation of efficient piezoelectric PVDF–HFP/Ni composite films by high electric field poling
  21. MHD dissipative Casson nanofluid liquid film flow due to an unsteady stretching sheet with radiation influence and slip velocity phenomenon
  22. Effects of nano-SiO2 modification on rubberised mortar and concrete with recycled coarse aggregates
  23. Mechanical and microscopic properties of fiber-reinforced coal gangue-based geopolymer concrete
  24. Effect of morphology and size on the thermodynamic stability of cerium oxide nanoparticles: Experiment and molecular dynamics calculation
  25. Mechanical performance of a CFRP composite reinforced via gelatin-CNTs: A study on fiber interfacial enhancement and matrix enhancement
  26. A practical review over surface modification, nanopatterns, emerging materials, drug delivery systems, and their biophysiochemical properties for dental implants: Recent progresses and advances
  27. HTR: An ultra-high speed algorithm for cage recognition of clathrate hydrates
  28. Effects of microalloying elements added by in situ synthesis on the microstructure of WCu composites
  29. A highly sensitive nanobiosensor based on aptamer-conjugated graphene-decorated rhodium nanoparticles for detection of HER2-positive circulating tumor cells
  30. Progressive collapse performance of shear strengthened RC frames by nano CFRP
  31. Core–shell heterostructured composites of carbon nanotubes and imine-linked hyperbranched polymers as metal-free Li-ion anodes
  32. A Galerkin strategy for tri-hybridized mixture in ethylene glycol comprising variable diffusion and thermal conductivity using non-Fourier’s theory
  33. Simple models for tensile modulus of shape memory polymer nanocomposites at ambient temperature
  34. Preparation and morphological studies of tin sulfide nanoparticles and use as efficient photocatalysts for the degradation of rhodamine B and phenol
  35. Polyethyleneimine-impregnated activated carbon nanofiber composited graphene-derived rice husk char for efficient post-combustion CO2 capture
  36. Electrospun nanofibers of Co3O4 nanocrystals encapsulated in cyclized-polyacrylonitrile for lithium storage
  37. Pitting corrosion induced on high-strength high carbon steel wire in high alkaline deaerated chloride electrolyte
  38. Formulation of polymeric nanoparticles loaded sorafenib; evaluation of cytotoxicity, molecular evaluation, and gene expression studies in lung and breast cancer cell lines
  39. Engineered nanocomposites in asphalt binders
  40. Influence of loading voltage, domain ratio, and additional load on the actuation of dielectric elastomer
  41. Thermally induced hex-graphene transitions in 2D carbon crystals
  42. The surface modification effect on the interfacial properties of glass fiber-reinforced epoxy: A molecular dynamics study
  43. Molecular dynamics study of deformation mechanism of interfacial microzone of Cu/Al2Cu/Al composites under tension
  44. Nanocolloid simulators of luminescent solar concentrator photovoltaic windows
  45. Compressive strength and anti-chloride ion penetration assessment of geopolymer mortar merging PVA fiber and nano-SiO2 using RBF–BP composite neural network
  46. Effect of 3-mercapto-1-propane sulfonate sulfonic acid and polyvinylpyrrolidone on the growth of cobalt pillar by electrodeposition
  47. Dynamics of convective slippery constraints on hybrid radiative Sutterby nanofluid flow by Galerkin finite element simulation
  48. Preparation of vanadium by the magnesiothermic self-propagating reduction and process control
  49. Microstructure-dependent photoelectrocatalytic activity of heterogeneous ZnO–ZnS nanosheets
  50. Cytotoxic and pro-inflammatory effects of molybdenum and tungsten disulphide on human bronchial cells
  51. Improving recycled aggregate concrete by compression casting and nano-silica
  52. Chemically reactive Maxwell nanoliquid flow by a stretching surface in the frames of Newtonian heating, nonlinear convection and radiative flux: Nanopolymer flow processing simulation
  53. Nonlinear dynamic and crack behaviors of carbon nanotubes-reinforced composites with various geometries
  54. Biosynthesis of copper oxide nanoparticles and its therapeutic efficacy against colon cancer
  55. Synthesis and characterization of smart stimuli-responsive herbal drug-encapsulated nanoniosome particles for efficient treatment of breast cancer
  56. Homotopic simulation for heat transport phenomenon of the Burgers nanofluids flow over a stretching cylinder with thermal convective and zero mass flux conditions
  57. Incorporation of copper and strontium ions in TiO2 nanotubes via dopamine to enhance hemocompatibility and cytocompatibility
  58. Mechanical, thermal, and barrier properties of starch films incorporated with chitosan nanoparticles
  59. Mechanical properties and microstructure of nano-strengthened recycled aggregate concrete
  60. Glucose-responsive nanogels efficiently maintain the stability and activity of therapeutic enzymes
  61. Tunning matrix rheology and mechanical performance of ultra-high performance concrete using cellulose nanofibers
  62. Flexible MXene/copper/cellulose nanofiber heat spreader films with enhanced thermal conductivity
  63. Promoted charge separation and specific surface area via interlacing of N-doped titanium dioxide nanotubes on carbon nitride nanosheets for photocatalytic degradation of Rhodamine B
  64. Elucidating the role of silicon dioxide and titanium dioxide nanoparticles in mitigating the disease of the eggplant caused by Phomopsis vexans, Ralstonia solanacearum, and root-knot nematode Meloidogyne incognita
  65. An implication of magnetic dipole in Carreau Yasuda liquid influenced by engine oil using ternary hybrid nanomaterial
  66. Robust synthesis of a composite phase of copper vanadium oxide with enhanced performance for durable aqueous Zn-ion batteries
  67. Tunning self-assembled phases of bovine serum albumin via hydrothermal process to synthesize novel functional hydrogel for skin protection against UVB
  68. A comparative experimental study on damping properties of epoxy nanocomposite beams reinforced with carbon nanotubes and graphene nanoplatelets
  69. Lightweight and hydrophobic Ni/GO/PVA composite aerogels for ultrahigh performance electromagnetic interference shielding
  70. Research on the auxetic behavior and mechanical properties of periodically rotating graphene nanostructures
  71. Repairing performances of novel cement mortar modified with graphene oxide and polyacrylate polymer
  72. Closed-loop recycling and fabrication of hydrophilic CNT films with high performance
  73. Design of thin-film configuration of SnO2–Ag2O composites for NO2 gas-sensing applications
  74. Study on stress distribution of SiC/Al composites based on microstructure models with microns and nanoparticles
  75. PVDF green nanofibers as potential carriers for improving self-healing and mechanical properties of carbon fiber/epoxy prepregs
  76. Osteogenesis capability of three-dimensionally printed poly(lactic acid)-halloysite nanotube scaffolds containing strontium ranelate
  77. Silver nanoparticles induce mitochondria-dependent apoptosis and late non-canonical autophagy in HT-29 colon cancer cells
  78. Preparation and bonding mechanisms of polymer/metal hybrid composite by nano molding technology
  79. Damage self-sensing and strain monitoring of glass-reinforced epoxy composite impregnated with graphene nanoplatelet and multiwalled carbon nanotubes
  80. Thermal analysis characterisation of solar-powered ship using Oldroyd hybrid nanofluids in parabolic trough solar collector: An optimal thermal application
  81. Pyrene-functionalized halloysite nanotubes for simultaneously detecting and separating Hg(ii) in aqueous media: A comprehensive comparison on interparticle and intraparticle excimers
  82. Fabrication of self-assembly CNT flexible film and its piezoresistive sensing behaviors
  83. Thermal valuation and entropy inspection of second-grade nanoscale fluid flow over a stretching surface by applying Koo–Kleinstreuer–Li relation
  84. Mechanical properties and microstructure of nano-SiO2 and basalt-fiber-reinforced recycled aggregate concrete
  85. Characterization and tribology performance of polyaniline-coated nanodiamond lubricant additives
  86. Combined impact of Marangoni convection and thermophoretic particle deposition on chemically reactive transport of nanofluid flow over a stretching surface
  87. Spark plasma extrusion of binder free hydroxyapatite powder
  88. An investigation on thermo-mechanical performance of graphene-oxide-reinforced shape memory polymer
  89. Effect of nanoadditives on the novel leather fiber/recycled poly(ethylene-vinyl-acetate) polymer composites for multifunctional applications: Fabrication, characterizations, and multiobjective optimization using central composite design
  90. Design selection for a hemispherical dimple core sandwich panel using hybrid multi-criteria decision-making methods
  91. Improving tensile strength and impact toughness of plasticized poly(lactic acid) biocomposites by incorporating nanofibrillated cellulose
  92. Green synthesis of spinel copper ferrite (CuFe2O4) nanoparticles and their toxicity
  93. The effect of TaC and NbC hybrid and mono-nanoparticles on AA2024 nanocomposites: Microstructure, strengthening, and artificial aging
  94. Excited-state geometry relaxation of pyrene-modified cellulose nanocrystals under UV-light excitation for detecting Fe3+
  95. Effect of CNTs and MEA on the creep of face-slab concrete at an early age
  96. Effect of deformation conditions on compression phase transformation of AZ31
  97. Application of MXene as a new generation of highly conductive coating materials for electromembrane-surrounded solid-phase microextraction
  98. A comparative study of the elasto-plastic properties for ceramic nanocomposites filled by graphene or graphene oxide nanoplates
  99. Encapsulation strategies for improving the biological behavior of CdS@ZIF-8 nanocomposites
  100. Biosynthesis of ZnO NPs from pumpkin seeds’ extract and elucidation of its anticancer potential against breast cancer
  101. Preliminary trials of the gold nanoparticles conjugated chrysin: An assessment of anti-oxidant, anti-microbial, and in vitro cytotoxic activities of a nanoformulated flavonoid
  102. Effect of micron-scale pores increased by nano-SiO2 sol modification on the strength of cement mortar
  103. Fractional simulations for thermal flow of hybrid nanofluid with aluminum oxide and titanium oxide nanoparticles with water and blood base fluids
  104. The effect of graphene nano-powder on the viscosity of water: An experimental study and artificial neural network modeling
  105. Development of a novel heat- and shear-resistant nano-silica gelling agent
  106. Characterization, biocompatibility and in vivo of nominal MnO2-containing wollastonite glass-ceramic
  107. Entropy production simulation of second-grade magnetic nanomaterials flowing across an expanding surface with viscidness dissipative flux
  108. Enhancement in structural, morphological, and optical properties of copper oxide for optoelectronic device applications
  109. Aptamer-functionalized chitosan-coated gold nanoparticle complex as a suitable targeted drug carrier for improved breast cancer treatment
  110. Performance and overall evaluation of nano-alumina-modified asphalt mixture
  111. Analysis of pure nanofluid (GO/engine oil) and hybrid nanofluid (GO–Fe3O4/engine oil): Novel thermal and magnetic features
  112. Synthesis of Ag@AgCl modified anatase/rutile/brookite mixed phase TiO2 and their photocatalytic property
  113. Mechanisms and influential variables on the abrasion resistance hydraulic concrete
  114. Synergistic reinforcement mechanism of basalt fiber/cellulose nanocrystals/polypropylene composites
  115. Achieving excellent oxidation resistance and mechanical properties of TiB2–B4C/carbon aerogel composites by quick-gelation and mechanical mixing
  116. Microwave-assisted sol–gel template-free synthesis and characterization of silica nanoparticles obtained from South African coal fly ash
  117. Pulsed laser-assisted synthesis of nano nickel(ii) oxide-anchored graphitic carbon nitride: Characterizations and their potential antibacterial/anti-biofilm applications
  118. Effects of nano-ZrSi2 on thermal stability of phenolic resin and thermal reusability of quartz–phenolic composites
  119. Benzaldehyde derivatives on tin electroplating as corrosion resistance for fabricating copper circuit
  120. Mechanical and heat transfer properties of 4D-printed shape memory graphene oxide/epoxy acrylate composites
  121. Coupling the vanadium-induced amorphous/crystalline NiFe2O4 with phosphide heterojunction toward active oxygen evolution reaction catalysts
  122. Graphene-oxide-reinforced cement composites mechanical and microstructural characteristics at elevated temperatures
  123. Gray correlation analysis of factors influencing compressive strength and durability of nano-SiO2 and PVA fiber reinforced geopolymer mortar
  124. Preparation of layered gradient Cu–Cr–Ti alloy with excellent mechanical properties, thermal stability, and electrical conductivity
  125. Recovery of Cr from chrome-containing leather wastes to develop aluminum-based composite material along with Al2O3 ceramic particles: An ingenious approach
  126. Mechanisms of the improved stiffness of flexible polymers under impact loading
  127. Anticancer potential of gold nanoparticles (AuNPs) using a battery of in vitro tests
  128. Review Articles
  129. Proposed approaches for coronaviruses elimination from wastewater: Membrane techniques and nanotechnology solutions
  130. Application of Pickering emulsion in oil drilling and production
  131. The contribution of microfluidics to the fight against tuberculosis
  132. Graphene-based biosensors for disease theranostics: Development, applications, and recent advancements
  133. Synthesis and encapsulation of iron oxide nanorods for application in magnetic hyperthermia and photothermal therapy
  134. Contemporary nano-architectured drugs and leads for ανβ3 integrin-based chemotherapy: Rationale and retrospect
  135. State-of-the-art review of fabrication, application, and mechanical properties of functionally graded porous nanocomposite materials
  136. Insights on magnetic spinel ferrites for targeted drug delivery and hyperthermia applications
  137. A review on heterogeneous oxidation of acetaminophen based on micro and nanoparticles catalyzed by different activators
  138. Early diagnosis of lung cancer using magnetic nanoparticles-integrated systems
  139. Advances in ZnO: Manipulation of defects for enhancing their technological potentials
  140. Efficacious nanomedicine track toward combating COVID-19
  141. A review of the design, processes, and properties of Mg-based composites
  142. Green synthesis of nanoparticles for varied applications: Green renewable resources and energy-efficient synthetic routes
  143. Two-dimensional nanomaterial-based polymer composites: Fundamentals and applications
  144. Recent progress and challenges in plasmonic nanomaterials
  145. Apoptotic cell-derived micro/nanosized extracellular vesicles in tissue regeneration
  146. Electronic noses based on metal oxide nanowires: A review
  147. Framework materials for supercapacitors
  148. An overview on the reproductive toxicity of graphene derivatives: Highlighting the importance
  149. Antibacterial nanomaterials: Upcoming hope to overcome antibiotic resistance crisis
  150. Research progress of carbon materials in the field of three-dimensional printing polymer nanocomposites
  151. A review of atomic layer deposition modelling and simulation methodologies: Density functional theory and molecular dynamics
  152. Recent advances in the preparation of PVDF-based piezoelectric materials
  153. Recent developments in tensile properties of friction welding of carbon fiber-reinforced composite: A review
  154. Comprehensive review of the properties of fly ash-based geopolymer with additive of nano-SiO2
  155. Perspectives in biopolymer/graphene-based composite application: Advances, challenges, and recommendations
  156. Graphene-based nanocomposite using new modeling molecular dynamic simulations for proposed neutralizing mechanism and real-time sensing of COVID-19
  157. Nanotechnology application on bamboo materials: A review
  158. Recent developments and future perspectives of biorenewable nanocomposites for advanced applications
  159. Nanostructured lipid carrier system: A compendium of their formulation development approaches, optimization strategies by quality by design, and recent applications in drug delivery
  160. 3D printing customized design of human bone tissue implant and its application
  161. Design, preparation, and functionalization of nanobiomaterials for enhanced efficacy in current and future biomedical applications
  162. A brief review of nanoparticles-doped PEDOT:PSS nanocomposite for OLED and OPV
  163. Nanotechnology interventions as a putative tool for the treatment of dental afflictions
  164. Recent advancements in metal–organic frameworks integrating quantum dots (QDs@MOF) and their potential applications
  165. A focused review of short electrospun nanofiber preparation techniques for composite reinforcement
  166. Microstructural characteristics and nano-modification of interfacial transition zone in concrete: A review
  167. Latest developments in the upconversion nanotechnology for the rapid detection of food safety: A review
  168. Strategic applications of nano-fertilizers for sustainable agriculture: Benefits and bottlenecks
  169. Molecular dynamics application of cocrystal energetic materials: A review
  170. Synthesis and application of nanometer hydroxyapatite in biomedicine
  171. Cutting-edge development in waste-recycled nanomaterials for energy storage and conversion applications
  172. Biological applications of ternary quantum dots: A review
  173. Nanotherapeutics for hydrogen sulfide-involved treatment: An emerging approach for cancer therapy
  174. Application of antibacterial nanoparticles in orthodontic materials
  175. Effect of natural-based biological hydrogels combined with growth factors on skin wound healing
  176. Nanozymes – A route to overcome microbial resistance: A viewpoint
  177. Recent developments and applications of smart nanoparticles in biomedicine
  178. Contemporary review on carbon nanotube (CNT) composites and their impact on multifarious applications
  179. Interfacial interactions and reinforcing mechanisms of cellulose and chitin nanomaterials and starch derivatives for cement and concrete strength and durability enhancement: A review
  180. Diamond-like carbon films for tribological modification of rubber
  181. Layered double hydroxides (LDHs) modified cement-based materials: A systematic review
  182. Recent research progress and advanced applications of silica/polymer nanocomposites
  183. Modeling of supramolecular biopolymers: Leading the in silico revolution of tissue engineering and nanomedicine
  184. Recent advances in perovskites-based optoelectronics
  185. Biogenic synthesis of palladium nanoparticles: New production methods and applications
  186. A comprehensive review of nanofluids with fractional derivatives: Modeling and application
  187. Electrospinning of marine polysaccharides: Processing and chemical aspects, challenges, and future prospects
  188. Electrohydrodynamic printing for demanding devices: A review of processing and applications
  189. Rapid Communications
  190. Structural material with designed thermal twist for a simple actuation
  191. Recent advances in photothermal materials for solar-driven crude oil adsorption
Downloaded on 2.12.2025 from https://www.degruyterbrill.com/document/doi/10.1515/ntrev-2022-0108/html
Scroll to top button