Abstract
Negative Poisson’s ratio (auxetic) material is one of the most widely studied metamaterials, and recent attempts have been made to discover auxeticity in graphene-based and related carbon-based materials. However, it is shown that negative Poisson’s ratio effect requires special conditions, such as high temperature. Achieving negative Poisson’s ratio effect under large strain at ambient conditions is the key to graphene materials in nano-device applications. In order to discover the auxetic properties of nanostructures under large strain, this article proposes periodically rotating graphene nanostructures (PRGNs) which are the combination of graphene and rotating rigid unit structures. Poisson’s ratio, Young’s modulus, and damage mechanism of PRGNs are investigated using molecular dynamics simulation. It can be possible to conclude that PRGNs can also exhibit auxetic behavior, and their negative Poisson’s ratio effect can be maintained even at large strains (ε ∼ 0.1). Poisson’s ratio can be regulated by adjusting the value of the geometry parameters of the graphene sheets (GSs), which comprise the PRGNs, and changed from negative to positive and from positive to negative. Also, the influences of the structural size of GSs and the connection angle between GSs on the mechanical properties are explored, which will provide a theoretical basis for the preparation and performance optimization of GSs and the nano-auxetic properties of materials.
1 Introduction
Mechanical metamaterials are artificial structural materials, with extraordinary mechanical properties, composed of period structures, which can create unprecedented effective properties through rational design. Among the numerous mechanical metamaterials available, negative Poisson’s ratio material is one of the most widely studied materials [1,2,3]. Negative Poisson’s ratio refers to the phenomenon of transverse expansion of a material when it is stretched in the axial direction. This unique mode of tensile expansion and deformation gives negative Poisson’s ratio materials many excellent mechanical properties, such as excellent shear strength, indentation strength, fracture resistance, adjustable permeability, and good energy absorption properties [4], which make them very promising for aerospace [5], automotive [6], biomedical, and textile industry [7] application prospects, and is a research hotspot in the field of materials science.
Auxetic materials can be classified according to geometry and deformation mechanism such as molecular network structures [8], re-entrant structures [9], chiral or anti-chiral structures [10], rotating rigid unit (RRU) structures [11], fiber/node structures [12], origami structures [13], fold structures [4], and bending-inducing structures [14].
The RRU mechanism is one of the most famous mechanisms for inducing auxetic behavior in the designed structure. Rotating rigid structures include rotating square structure, rotating rectangular structure, rotating parallelogram structure, rotating triangle structure, and so on. These models consist of rigid polygons arranged periodically, and the polygons are connected by hinges at the nodes. When the structure is stretched horizontally, these rigid polygons rotate, causing the structure to extend laterally and exhibit a negative Poisson’s ratio effect.
The rotating rigid square structure was first proposed by Grima and Evans in 2000 [15], the results show that Poisson’s ratio of the structure is related to the angle between two adjacent squares, and Poisson’s ratio of the rotating square rigid body structure can reach −1. Later, Grima et al. [16] developed a “rotating semi-rigid squares” model to describe the predicted auxetic behavior in zeolites with a “rotating squares” nanostructure. Then, they extend the research on two-dimensional (2D) rotating rigid quadrilaterals and discuss the shape and size of the rhombi and the temperature affecting the auxeticity [17]. Also, Grima et al. [18] found that Poisson’s ratios were a function of the shape and relative size of different rectangles and the angle between them in different-sized squares and rectangles. Attard and Grima [19] extended the 2D model to a three-dimensional (3D) structure constructed by rigid cuboids, which deform through the relative rotation of the units, and the negative values of Poisson’s ratio also be found. Gatt et al. [20] present a new class of hierarchical auxetics based on the RRU mechanism. Mizzi et al. [21] presented performance systems that offer the opportunity to exhibit giant negative Poisson’s ratios. Slann et al. [22] studied negative Poisson’s ratio effect of rotating rectangles and rhombuses through numerical modeling and experiments. Rotating rhombuses have been successfully implemented in the manufacture of the esophagus using laser cutting and die-casting techniques. Attard et al. [23] studied the negative linear compressibility of RRUs, and the results showed that when hydrostatic pressure is applied, some RRUs with specific geometric features and connectivities will expand rather than contracting. Dudek et al. [24] studied the deformation mechanism of auxetic hierarchical rotating square systems through a dynamics approach. Attard et al. [25] studied the filtration properties of a class of negative Poisson’s ratio structures that achieve their auxeticity through an RRU mechanism. Farrugia et al. [26] coupled a 2D rotating rigid body element or a chiral structure to a push-drilling mechanism to create a novel 3D negative Poisson’s ratio structure. Gambin et al. [27] studied the mechanical properties of a kind of polymorphs-ice X through density functional theory simulations. Studies showed that ice X has an auxetic behavior at 45° off-axis in the (100), (010), and (001) planes, and predicted negative Poisson’s ratio can be attributed to the interplay between distortion and hinging of the two orthogonally interconnected rhombi.
The relaxed and axially stretched states along the ox-direction of the rotating rigid rectangular structure are shown in Figure 1 [11], where a and b denote the length and the width of the rotating rigid rectangle, respectively, and θ denotes the pinch angle.

Rotating rigid rectangular structure: (a) the original structure; (b) the stretched state.
It is shown that among the artificially designed negative Poisson’s ratio materials, the RRU is one of the simplest negative Poisson’s ratio structures, whether at the macroscopic, microscopic, or nano-scale, which has the characteristics of structural simplicity, obvious Poisson’s ratio effect, and easy design. However, the current RRU designed based on metallic materials can only be observed with auxeticity behavior at very small strains (ε < 0.02) [28], which restricts the application of this structure under large strain, and it is necessary to design the material and structure to discover negative Poisson’s ratio effect of rotating rigid structure under large strain conditions.
Carbon nanomaterial is one of the most active research fields in nanotechnology, and GS is the representative material that has attracted a wide range of attention. Due to its superior mechanical [29], electrical [30], optical [31], and thermal [32] properties relative to the other materials, GS has spurred many new applications in materials enhancement [33], sensors [34], drug transportation [35], nanoelectronics, and nano-devices [36]. However, recent attempts have been made to discover auxeticity behavior in graphene-based and related carbon-based materials [37,38,39,40,41,42]. Grima et al. [37] found that graphene can be used to obtain negative Poisson’s ratio effect by introducing vacancy defects. Graphene monolayers engineered to adopt a corrugated conformation also were found to exhibit a very significant negative Poisson’s ratio upon uniaxial stretching in specific directions [43]. Goldstein et al. [44] analyzed the elastic properties of hexagonal crystals under pressure and found seven crystals with a negative Poisson’s ratio. Openov and Podlivaev [45] simulated the elastic properties of phagraphene and found that the nonplanar configuration has a negative Poisson’s ratio. Rysaeva et al. studied the mechanical properties of fullerites [46], fulleranes (diamond-like phases based on other fullerene-like molecules) [46,47], tubulanes (diamond-like phases based on carbon nanotubes) [48], and graphene-based diamond-like phases [49] and found negative Poisson’s ratio. The research results show that the graphene-based materials with negative Poisson’s ratio effect require special conditions, such as high temperature [50], high pressure [42], and special chemical treatment [51]. How to achieve negative Poisson’s ratio effect under large strain at ambient conditions is the key to graphene materials in nano-device applications.
To realize negative Poisson’s ratio properties of nanostructures under large strain, this article combines graphene and RRU structure to design periodically rotating graphene nanostructures (PRGNs). Poisson’s ratio, Young’s modulus, and damage mechanism of PRGNs are investigated by molecular dynamics (MD) simulation. The influences of the structural size of GSs and the connection angle between GSs on the mechanical properties are explored, especially negative Poisson’s ratio, which will provide a theoretical basis for the regulation of negative Poisson’s ratio.
2 Simulation method
PRGNs are made of several GSs connected as shown in Figure 2. The model is implemented in VMD software by MATLAB programming. As shown in Figure 2, a indicates armchair-shaped edge, and b indicates zigzag-shape edge. The connection between GSs is hexagonal structures with defects containing S–W defects. The overall sheet model is similar to “Rotating Rigid Unit (RRU).”

PRGNs: a = b = 3 nm; θ = 150°.
The Datafile can be exported after establishing the periodic graphene model, and the Large-Scale Atomic/Molecular Massively Parallel Simulator (LAMMPS) is used to predict the mechanical response of the PRGNs. MD simulation is a reference to a large number of parallel simulators using large-scale atoms/molecules, with adaptive intermolecular reaction empirical bond-order (AIREBO) potential, which has proven to accurately calculate bond interactions, bond breaks, and bond reconstructions of carbon atoms.
To model the periodic structures, periodic boundary conditions are applied in all directions. The Polak–Ribiere version of the conjugate gradient algorithm is used to minimize the energy of the system, and the conjugate gradient method is used [52] for all conjugate gradient minimum optimization methods with a capacity of 10−16 eV. After the system reaches the equilibrium state of energy minimization, the system is run in the constant-pressure, constant-temperature ensemble under the conditions of room temperature of 300 K and pressure of 0 Pa, relaxing for a relatively long time to reach the equilibrium state.
After relaxing the initial configuration to obtain the minimum energy configuration, the PRGNs are stretched by applying external displacement of the atoms at the top end while keeping the other end fixed to simulate tension. The displacement is applied step by step, and in each step, the system is relaxed for a certain period of time to reach a new equilibrium state and a new configuration in a canonical ensemble, the so-called canonical ensemble, in which the information of each atom, the energy and temperature of the system, etc., can be obtained. The simulation in the present study is carried out at a strain rate of 0.001/ps, which was applied by the displacement of the atoms at the top end of the periodic graphene structure. During the simulation, the Nosé–Hoover thermostat technique is implemented to reach the equilibrium thermodynamic state at a certain constant temperature at 300 K.
The value of Poisson’s ratio is the negative of the ratio of transverse strain to the axial strain. When the material is stretched in only one direction, differential Poisson’s ratio can be used to describe the mechanical properties of the structure under large strain.
In this article, different models were constructed by varying the values of the edge lengths a/b on both sides of the rectangular graphene and the angle between the two GSs, and then, simulations were performed by MD methods to calculate the strains in the x- and y-directions, and the strains in the linear segment were taken to be between 0 and 0.05, and Poisson’s ratios were obtained by linear fitting. And the axial stretching operation was performed in the x- and y-directions, respectively. For each model, five simulations were performed, the mean and standard deviation were counted, and error bars were made.
3 Results and discussion
Figure 3 shows the stress–strain curves of 3 nm × 3 nm single-layer perfect graphene stretched along the armchair direction. As can be observed in Figure 3 at the first stage, the stress increases linearly with the strain increasing due to the elastic deformation of carbon–carbon bonds. With the continuation of the stretching, the deformation is aggravated. Then, in the next stage, the stress–strain curve performs a nonlinear relation due to the non-linear deformation of the C–C bond and the change of the bond angle, and finally, material damages when the ultimate stress is achieved. Young’s modulus of perfect graphene is about 0.967 TPa, and the damage strength is 102 GPa. This is very close to Young’s modulus of perfect graphene predicted by Liu et al. [53] using the first principle which is 1.05 TPa and the breaking strength is 110 GPa, and Young’s modulus of graphene obtained by Lee et al. [54] using the nanoindentation test is 1.02 TPa and the breaking strength is 123.5 GPa. This shows that the perfect graphene tensile stress–strain curve is in general agreement with the reference, thus verifying the feasibility of the simulation method.

Stress–strain curves of single-layer perfect graphene: the size is 3 nm × 3 nm.
According to the above simulation method, MD simulations were used to stretch the relaxed PRGNs in the x-direction, and their stress–strain curves were obtained (as shown in Figure 4). It can be observed in Figure 4 that the stretching process is accompanied by the elongation of the C–C bond until it breaks. Graphene also gradually deforms from a regular hexagonal structure and finally becomes irregular until fracture. The fracture is located at the junction between GSs because it is the weak link in the structure, and PRGNs have S–W defects at the junction between GSs, which are prone to fracture. When the axial stretching is just carried out, the structure is in the elastic deformation stage, and the rotation between GSs occurs at this stage, at this time, as the strain increases, the stress also grows linearly, and as the stretching continues, the deformation collects, the C–C bond undergoes inelastic deformation, while the angle between the C–C bonds changes and the linear relationship between stress and strain is broken, and finally, the weak point of the structure (the connection between GSs) where the C–C bond tension reaches its maximum and breaks, followed by a decrease in stress. The stress–strain curve can reflect the basic mechanical parameters, such as the ultimate strength, ultimate strain, and elastic modulus of the structure, and is a major basis for characterizing the mechanical properties of materials.

Stress–strain curve of rectangular graphene with rotating period under x-direction tensile condition: a = b = 3 nm, θ = 150°.
From the comparison of Figures 3 and 4, it can be easily found that the breaking strength, fracture strain, and Young’s modulus of PRGNs are far lower than those of the perfect graphene. The fracture strain, Young’s modulus, and fracture strength of PRGNs are about 50, 7, and 5% of those of perfect graphene when a = b = 3 nm and θ = 150°, respectively. And the stress–strain curve of PRGNs is not smooth enough. This is because PRGNs are joined by GSs, and the joint can be considered as defective graphene, and the C–C bond is constantly breaking and reorganizing during the stretching process, which leads to fluctuations in the stress–strain relationship, unlike the smooth stress–strain curve of perfect graphene. Young’s modulus and fracture strength of PRGNs are also much lower than those of perfect graphene. It is suggested that the joint between the GSs of PRGNs is considered to be a gap in the graphene, and the stress concentration will occur at the tip of the gap, which greatly reduces the fracture strength and Young’s modulus of PRGNs. Furthermore, the ultimate strain of PRGNs is lower than that of perfect graphene, and PRGNs are more prone to fracture than perfect graphene and cannot withstand large strains. However, the breaking strain of PRGNs has been greatly improved compared to that of a metallic material with the same structure. In a study of metallic materials based on the RRU mechanism, researchers only found a negative Poisson’s ratio effect at strains less than 0.02 [28]. While the fracture strain of PRGNs structure is about 0.1, which is five times higher than that of RRU metal structure. After reaching the ultimate strength, the stress–strain curve decays oscillatory. This is because, after the C–C bond of graphene breaks, the atoms recombine to form a chain-like structure. This structure may have a certain stretching capacity. As the stretching proceeds, the strain gradually increases and the chain-like system gradually collapses. However, since the breakage is not simultaneous, i.e., there is time lag, the stress–strain curve oscillates irregularly until complete breakage.
Figure 5(a) and (b) show the configuration of PRGNs in equilibrium before stretching and when the uniaxial load is applied in the x-direction. As can be seen from Figure 5, the stretching process of PRGNs is accompanied by the deformation of GSs as well as the rotation between GSs, and it is the rotation between GSs that causes the stretching process to produce a larger transverse dimension of the structure, resulting in a negative Poisson’s ratio effect. Figure 6 shows the variation pattern of y-directional strain with x-directional strain during the stretching of PRGNs along the x-directional axis. When loaded uniaxially in the x-direction, the periodic structure as a whole exhibits an increase in size in both the x- and y-directions. According to the calculation formula of Poisson’s ratio (ν = −ε y /ε x ), it can be observed that Poisson’s ratio of the PRGNs is negative. Figure 6 also shows that PRGNs exhibit more plastic properties than metal and fracture in large strains.

(a) PRGNs in an equilibrium state; (b) PRGNs when the strain is 0.1 (a = b = 3 nm, θ = 150°).

The y-direction strain as a function of x-direction when stretched in the x-direction.
For comparison with metallic materials, PRGNs can exhibit auxetic behavior in larger strains. In a study on periodic porous metal structures based on the RRU mechanical [28], a negative Poisson’s ratio was observed only in a relatively small range of strains (ε < 0.02). If the material of the structure changes from graphene to metal, due to their geometrical conditions, stress concentrations tend to occur where the rectangles are connected, which in turn exceed the yield stress of the metal and cause damage. Therefore, the range of metallic structures that exhibit auxetic behavior is limited. In contrast, PRGNs exhibit auxetic behavior over a wide range of strains due to their very high resistance to harm and the nature of their covalent bonds.
According to Grima et al. [11], the magnitude of Poisson’s ratio in a RRU structure is determined by the following equation:
In particular, when a = b, no matter what value θ takes, there are:
where
Eq. (1) illustrates that the magnitude of Poisson’s ratio of a rotating rigid structure in an ideal state is determined by two factors: the value of the aspect ratio a/b and the magnitude of the angle θ between the rectangular sheets. To investigate the influencing factors of Poisson’s ratio of rotating periodic graphene at nanometer size, started from the graphene aspect ratio factor, the variation law of Poisson’s ratio size is studied by adjusting the aspect ratio of graphene (i.e., the value of a/b). Seven models are constructed, keeping b = 3 nm and θ = 150° constant and changing the aspect ratio with the value of a as a variable, in which a is taken as 1, 1.5, 2, 3, 4.5, 6, and 9 nm. And the same stretching operation is performed in LAMMPS software to calculate the change in the magnitude of its Poisson’s ratio.
It can be seen from Figure 7 that when the value of a/b changes, Poisson’s ratio also changes. When the aspect ratio a/b varies in the range of 1/3 to 3, the value of Poisson’s ratio undergoes the process of changing from positive to negative and then from negative to positive. It can be seen that the magnitude of Poisson’s ratio depends on the value of aspect ratio a/b. Figure 7 also illustrates that the modulation of Poisson’s ratio value can be achieved by adjusting the value of aspect ratio a/b. It can be seen that even a nanoscale structure can have a negative Poisson’s ratio effect, and the size effect has less influence on the structure.

The change of Poisson’s ratio with the change of a/b value.
Comparing the structure simulated by MD with the calculated result of Eq. (1), it is found that there are differences between them. For example, when a = b, the theoretical value of Poisson’s ratio calculated by equation (1) is −1, while the consequence of MD simulation is only −0.6. This is because, in the ideal model [11], it is assumed that the rectangle of the periodic structure simply undergoes free rotation without resistance, thus creating a tendency to expand outward, leading to the negative Poisson’s ratio. In our MD simulation, when the structure is stretched, the rectangle rotates with resistance, and the rectangle itself deforms in shape. The rotation of the rectangle leads outward resulting in a negative Poisson’s ratio effect, but due to the resistance, the rectangle is not so easy to rotate and expand outward, which leads to a smaller negative Poisson’s ratio than the calculated value of the formula. Furthermore, in the simulation of MD, the actual shape deformation of the rectangle occurs, making the strain in the stretching direction larger, while according to the definition of Poisson’s ratio, that is, the ratio of transverse contraction to longitudinal stretching strain, the strain in the stretching direction becomes larger, resulting in a smaller Poisson’s ratio, so there is a difference with the results in equation (1).
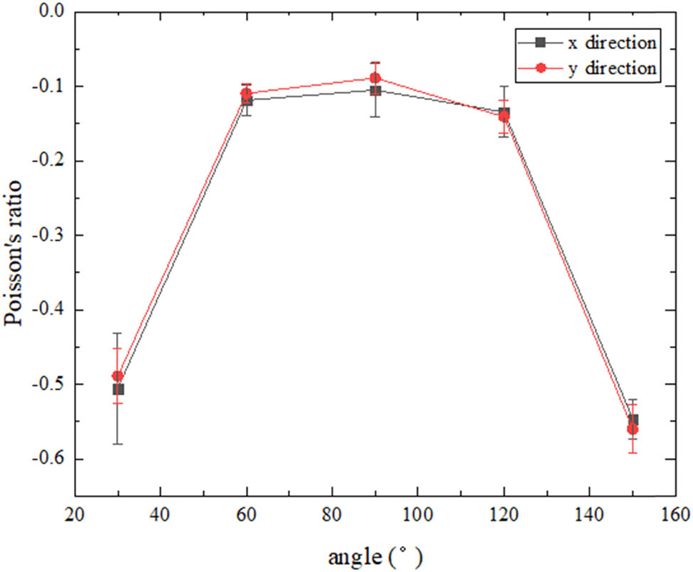
To explore the influence of the connecting angle of the GSs on the mechanical properties, both sides a and b of the GSs were fixed to 3. The effect of angle on Poisson’s ratio of the PRGNs was explored by adjusting the angle of the connection between the GSs. Five models of 30°, 60°, 90°, 120°, and 150° with a gradient of 30° are conducted, and by stretching the PRGNs axially in the x-direction and y-direction separately, the obtained Poisson’s ratio varies with the angle as shown in Figure 8.

Variation of Poisson’s ratio of PRGNs at different angles.
From Figure 8, it can be seen that only changing the angle between the GSs of PRGNs while keeping the value of a/b constant makes the overall Poisson’s ratio of PRGNs change, and Poisson’s ratio of PRGNs shows a trend of increasing and then decreasing with the increase in the angle between the GSs, and further away from 90°, the smaller the Poisson ratio is, i.e., the negative value is larger, and Poisson’s ratio is maximum at 90°, the more it tends to be 0, which seems to be contrary to the conclusion of equation (2), The reason for this is that negative Poisson’s ratio effect of PRGNs is due to the rotation between GSs caused by axial stretching, which in turn increases the lateral dimension. When the angle between two GSs is far from 90°, the stretching of PRGNs leads to the rotation of the GSs, and the rotation tends to stop when the GSs are perpendicular to each other; that is, the angle between GSs is 90°, at that time the stretching of PRGNs only leads to the increase of axial strain until the structure fractures. Therefore, when the angle is farther away from 90°, the more negative Poisson’s ratio effect can be expressed, the more it can rotate. In contrast, when the angle between GSs is 90°, because the rotation limit has been reached, the structure can hardly rotate anymore and the structure can only fracture with the increase in axial strain, so when the angle between GSs is 90°, negative Poisson’s ratio effect is not reflected because the structure can hardly rotate.
In general, there are differences between the structure of PRGNs and “RRU” in the study by ref. [11]. The main differences are the following:
1) The rectangle and the rectangle in the “RRU” model are connected by a hinge. The hinge is ideal and can rotate freely without resistance. The connecting between the rectangles is defective graphene. There is resistance when connecting, stretching, and rotating, and the resistance will lead to stressing concentration.
2) The “RRU” is assumed that a rectangle is a rigid unit; that is, the rectangle cannot be deformed. When the structure is stretched, only the rotation between rectangles occurs. In our model, the PRGNs can be deformed during the stretching process. Both the deformation of the rectangular graphene and the rotation between the rectangular graphene will occur.
To further investigate the effect of stress concentration at the GS junction on the performance of PRGNs, the von Mises stress distributions were studied for two models with different a/b ratios, in which a/b = 1 and a/b = 0.5, to investigate the variation law of equivalent effective stresses during the stretching process, and the obtained results are shown in Figure 9.

von Mises stress distribution of structure with strain of 0.05: (a) b = 3 nm; (b) b = 6 nm.
As can be seen in Figure 9, when the strain is 0.05, the extreme values of the von Mises stress of the PRGNs are mainly concentrated at the tips of the GS joints. As mentioned before, under the stretching action, the GS not only rotates around the connection but also deforms at the same time. By comparing Figure 9(a) and (b), it can be seen that decreasing the ratio of a/b under the same strain of action leads to an increase in the equivalent force at the connection; that is, the rectangular GS produces a more pronounced stress concentration phenomenon than the square GS. Interestingly, the equivalent force inside the GS should have been larger under tensile loading, but because the GS can generate rotation around the connection, a portion of the energy is consumed in the rotational deformation, and the equivalent force inside the graphene is relaxed. The energy consumed in the rotation is then reflected in the instantaneous increase in the equivalent force at the tip of the connection, i.e., the stress concentration. As can be seen from Figure 9, the free rotation of the GS is restricted in both models, and the higher the equivalent force means, the higher the rotational restriction, and since it cannot rotate freely, negative Poisson’s ratio effect is not as obvious as that of the RRU structure, which is reflected in the smaller absolute value of negative Poisson’s ratio. As shown in Figure 9, the stress concentration at the tip of the GS junction is larger for the PRGNs with b = 6 nm than that for the PRGNs with b = 3 nm. Therefore, its negative Poisson’s ratio effect is not as obvious as that of the PRGNs with b = 3 nm (as shown in Figure 7). In addition, the stress concentration at the tip of the junction also leads to the fracture of the structure at the junction.
Then, the linear segment of the stress–strain curve is taken for linear fitting to calculate Young’s modulus. Young’s modulus of the above seven models is shown in Figure 10.

Curve of Young’s modulus versus a/b value (stretched in the x-direction).
It can be seen from Figure 10 that, with all other conditions kept constant, when the value of a/b is in the range of 1/3–3, Young’s modulus shows a gradual decrease when the value of a/b is gradually increased, from a maximum of 123 GPa to a minimum of 62 GPa, decreased by 49.59%. And Young’s modulus decreases rapidly when a/b is between 1/3 and 2/3, from 123 to 79 GPa, decreased by 35.77%, indicating that adjusting the value of a/b at this stage has a great influence on Young’s modulus of the structure; within the stage of a/b at 2/3–3, Young’s modulus gradually tends to slow down, the slope of change is not as large as at the stage of 1/3–2/3, and Young’s modulus decreases from 79 to 62 GPa, decreased by 21.52%, indicating that the adjustment of the value of a/b has little effect on Young’s modulus of the structure during this stage. Overall Young’s modulus is much lower than that of perfect graphene.
4 Conclusions
In this article, the mechanical properties of PRGNs are investigated by MD methods, and the influence laws of the geometric parameters of the structures on the changes of their Poisson’s ratios, fracture mechanisms, stress–strain curves, ultimate strengths, ultimate strains, and Young’s moduli are studied, and the mechanisms are analyzed. Also, auxetics behavior is emphasized. The following conclusions can be drawn.
1) PRGNs can also exhibit auxetic behavior, and its negative Poisson’s ratio effect can be maintained even at large strains (ε ∼ 0.1), and it is much more resistant to strain Poisson’s ratio effect of PRGNs, which is due to the rotation bigger than conventional materials such as metals. The negative between GSs is caused by axial stretching, which in turn increases the lateral dimension. The more the GS can rotate freely around the connection, the stronger its negative Poisson’s ratio effect.
2) Compared with perfect graphene, the ultimate strain and fracture strength of the periodically rotated graphene structure are much smaller and the structure is more susceptible to damage because the PRGNs can be viewed as defective graphene, so it is more susceptible to fracture.
3) Poisson’s ratio can be regulated by adjusting the geometry a/b of the GSs, which comprise the PRGNs; that is, Poisson’s ratio can be changed from negative to positive and from positive to negative.
4) Young’s modulus of the structure can be changed by adjusting the GS geometry value a/b. In the range of 1/3 ≤ a/b ≤ 3, Young’s modulus decreases as the value of a/b increases, wherein the range of 1/3 ≤ a/b ≤ 2/3, the curve is steeper, indicating that in this range, Young’s modulus decreases significantly with the increase of a/b value, at 2/3 ≤ a/b ≤ 3, Young’s modulus decreases as the value of a/b increases, but it is not obvious, and the curve tends to slow down.
Acknowledgments
The authors wish to acknowledge the financial support from the Natural Science Foundation of Guangdong Province (Grant No. 2020A1515010915), the National Natural Science Foundation of China (Grant No. 52178193), and the Foundation for Innovative Young Talents Project of Guangdong Education Bureau (Grant No. 2018KQNCX198).
-
Funding information: Natural Science Foundation of Guangdong Province (Grant No. 2020A1515010915), the National Natural Science Foundation of China (Grant No. 52178193), and the Foundation for Innovative Young Talents Project of Guangdong Education Bureau (Grant No. 2018KQNCX198).
-
Author contributions: All authors have accepted responsibility for the entire content of this manuscript and approved its submission.
-
Conflict of interest: David Hui, who is the co-author of this article, is a current Editorial Board member of Nanotechnology Reviews. This fact did not affect the peer-review process. The authors declare no other conflict of interest.
References
[1] Lim T-C. Auxetic materials and structures. Heidelberg: Springer; 2015.10.1007/978-981-287-275-3Search in Google Scholar
[2] Lim T-C. Mechanics of metamaterials with negative parameters. Heidelberg: Springer Nature; 2020.10.1007/978-981-15-6446-8Search in Google Scholar
[3] Gorodtsov VA, Lisovenko DS. Auxetics among materials with cubic anisotropy. Mech Sol. 2020;55(4):461–74.10.3103/S0025654420040044Search in Google Scholar
[4] Lakes R. Deformation mechanisms in negative Poisson’s ratio materials: structural aspects. J Mater Sci. 1991;26(9):2287–92.10.1007/BF01130170Search in Google Scholar
[5] Wang T, An J, He H, Wen X, Xi X. A novel 3D impact energy absorption structure with negative Poisson’s ratio and its application in aircraft crashworthiness. Compos Struct. 2021;262:113663.10.1016/j.compstruct.2021.113663Search in Google Scholar
[6] Chang Q, Wenzi A, Shu YFE. Simulation of the occupant crash protection performance of the negative Poisson’s ratio seat belt webbing. J Autom Saf Energy. 2013;4(3):215.Search in Google Scholar
[7] Ali M, Zeeshan M, Ahmed S, Qadir B, Nawab Y, Anjum AS, et al. Development and comfort characterization of 2D-woven auxetic fabric for wearable and medical textile applications. Cloth Text Res J. 2018;36(3):199–214.10.1177/0887302X18768048Search in Google Scholar
[8] Evans KE, Nkansah M, Hutchinson I, Rogers S. Molecular network design. Nature. 1991;353(6340):124.10.1038/353124a0Search in Google Scholar
[9] Hu LL, Luo ZR, Zhang ZY, Lian MK, Huang LS. Mechanical property of re-entrant anti-trichiral honeycombs under large deformation – ScienceDirect. Compos B Eng. 2019;163:107–20.10.1016/j.compositesb.2018.11.010Search in Google Scholar
[10] Grima JN, Gatt R, Farrugia PS. On the properties of auxetic meta‐tetrachiral structures. Phys Status Solidi. 2010;245(3):511–20.10.1002/pssb.200777704Search in Google Scholar
[11] Grima JN, Alderson A, Evans KE. Auxetic behaviour from rotating rigid units. Phys Status Solidi B. 2005;242(3):561–75.10.1002/pssb.200460376Search in Google Scholar
[12] Alderson A, Evans KE. Modelling concurrent deformation mechanisms in auxetic microporous polymers. J Mater Sci. 1997;32(11):2797–809.10.1023/A:1018660130501Search in Google Scholar
[13] Mahadevan L, Rica S. Self-organized origami. Science. 2005;307(5716):1740.10.1126/science.1105169Search in Google Scholar PubMed
[14] Javid F, Liu J, Shim J, Weaver JC, Shanian A, Bertoldi K. Mechanics of instability-induced pattern transformations in elastomeric porous cylinders. J Mech Phys Solids. 2016;96:1–17.10.1016/j.jmps.2016.06.015Search in Google Scholar
[15] Grima JN, Evans KE. Auxetic behavior from rotating squares. J Mater Sci Lett. 2000;19(17):1563–5.10.1023/A:1006781224002Search in Google Scholar
[16] Grima JN, Zammit V, Gatt R, Alderson A, Evans KE. Auxetic behaviour from rotating semi-rigid units. Phys Status Solidi B. 2007;244(3):866–82.10.1002/pssb.200572706Search in Google Scholar
[17] Attard D, Grima JN. Auxetic behaviour from rotating rhombi. Phys Status Solidi B. 2008;245(11):2395–404.10.1002/pssb.200880269Search in Google Scholar
[18] Grima JN, Manicaro E, Attard D. Auxetic behaviour from connected different-sized squares and rectangles. Proc R Soc A-Math Phys Eng Sci. 2011;467(2126):439–58.10.1098/rspa.2010.0171Search in Google Scholar
[19] Attard D, Grima JN. A three-dimensional rotating rigid units network exhibiting negative Poisson’s ratios. Phys Status Solidi B. 2012;249(7):1330–8.10.1002/pssb.201084223Search in Google Scholar
[20] Gatt R, Mizzi L, Azzopardi JI, Azzopardi KM, Attard D, Casha A, et al. Hierarchical auxetic mechanical metamaterials. Sci Rep. 2015;5(1):1–6.10.1038/srep08395Search in Google Scholar PubMed PubMed Central
[21] Mizzi L, Azzopardi KM, Attard D, Grima JN, Gatt R. Auxetic metamaterials exhibiting giant negative Poisson’s ratios. Phys Status Solidi RRL. 2015;9(7):425–30.10.1002/pssr.201510178Search in Google Scholar
[22] Slann A, White W, Scarpa F, Boba K, Farrow I. Cellular plates with auxetic rectangular perforations. Phys Status Solidi. 2015;252(7):1533–9.10.1002/pssb.201451740Search in Google Scholar
[23] Attard D, Caruana-Gauci R, Gatt R, Grima JN. Negative linear compressibility from rotating rigid units. Phys Status Solidi B. 2016;253(7):1410–8.10.1002/pssb.201600092Search in Google Scholar
[24] Dudek KK, Gatt R, Mizzi L, Dudek MR, Attard D, Evans KE, et al. On the dynamics and control of mechanical properties of hierarchical rotating rigid unit auxetics. Sci Rep. 2017;7(1):1–9.10.1038/srep46529Search in Google Scholar PubMed PubMed Central
[25] Attard D, Casha AR, Grima JN. Filtration properties of auxetics with rotating rigid units. Materials. 2018;11(5):725.10.3390/ma11050725Search in Google Scholar PubMed PubMed Central
[26] Farrugia PS, Gatt R, Grima JN. The push drill mechanism as a novel method to create 3D mechanical metamaterial structures. Phys Status Solidi RRL. 2020;14(7):2000125.10.1002/pssr.202000125Search in Google Scholar
[27] Gambin D, Dudek KK, Dudek MR, Grima JN, Gatt R. The mechanical properties of ice X with particular emphasis on its auxetic potential. J Phys Chem Solids. 2021;150:109717.10.1016/j.jpcs.2020.109717Search in Google Scholar
[28] Taylor M, Francesconi L, Gerendas M, Shanian A, Carson C, Bertoldi K. Low porosity metallic periodic structures with negative Poisson’s ratio. Adv Mater. 2014;26(15):2365–70.10.1002/adma.201304464Search in Google Scholar PubMed
[29] Ovid’Ko I. Mechanical properties of graphene. Rev Adv Mater Sci. 2013;34(1):1–11.Search in Google Scholar
[30] Stampfer C, Schurtenberger E, Molitor F, Guttinger J, Ihn T, Ensslin K. Tunable graphene single electron transistor. Nano Lett. 2008;8(8):2378–83.10.1021/nl801225hSearch in Google Scholar PubMed
[31] Novoselov KS, Fal’Ko VI, Colombo L, Gellert PR, Kim KA. A roadmap for graphene. Nature. 2012;490(7419):192–200.10.1038/nature11458Search in Google Scholar PubMed
[32] Nika DL, Ghosh S, Pokatilov EP, Balandin AA. Lattice thermal conductivity of graphene flakes: comparison with bulk graphite. Appl Phys Lett. 2009;94(20):666–23.10.1063/1.3136860Search in Google Scholar
[33] Mittal G, Rhee KY. Electrophoretic deposition of graphene on basalt fiber for composite applications. Nanotechnol Rev. 2021;10(1):158–65.10.1515/ntrev-2021-0011Search in Google Scholar
[34] Kim SY, Park HS. The importance of edge effects on the intrinsic loss mechanisms of graphene nanoresonators. Nano Lett. 2009;9(3):969–74.10.1021/nl802853eSearch in Google Scholar PubMed
[35] Ding H, Zhang F, Zhao CC, Lv YL, Ma GH, Wei W, et al. Beyond a carrier: graphene quantum dots as a probe for programmatically monitoring anti-cancer drug delivery, release, and response. ACS Appl Mater Interfaces. 2017;9(33):27396–401.10.1021/acsami.7b08824Search in Google Scholar PubMed
[36] Garcia-Sanchez D, Van der ZAM, Paulo AS, Lassagne B, McEuen PL, Bachtold A. Imaging mechanical vibrations in suspended graphene sheets. Nano Lett. 2008;8(5):1399–403.10.1021/nl080201hSearch in Google Scholar PubMed
[37] Grima JN, Winczewski S, Mizzi L, Grech MC, Cauchi R, Gatt R, et al. Tailoring graphene to achieve negative Poisson’s ratio properties. Adv Mater. 2015;27(8):1455–9.10.1002/adma.201404106Search in Google Scholar PubMed
[38] Scarpa F, Adhikari S, Wang CY. Mechanical properties of non-reconstructed defective single-wall carbon nanotubes. J Phys D-Appl Phys. 2009;42(14):142002.10.1088/0022-3727/42/14/142002Search in Google Scholar
[39] Goldstein RV, Gorodtsov VA, Lisovenko DS. Mesomechanics of multiwall carbon nanotubes and nanowhiskers. Phys Mesomech. 2009;12(1–2):38–53.10.1016/j.physme.2009.03.005Search in Google Scholar
[40] Baimova JA, Rysaeva LK, Dmitriev SV, Lisovenko DS, Gorodtsov VA, Indeitsev DA. Auxetic behaviour of carbon nanostructures. Mater Phys Mech. 2017;33(1):1–11.Search in Google Scholar
[41] Degabriele EP, Attard D, Grima-Cornish JN, Caruana-Gauci R, Gatt R, Evans KE, et al. On the compressibility properties of the wine-rack-like carbon allotropes and related poly(phenylacetylene) systems. Phys Status Solidi B. 2019;256(1):1800572.10.1002/pssb.201800572Search in Google Scholar
[42] Narojczyk JW, Wojciechowski KW, Tretiakov KV, Smardzewski J, Scarpa F, Piglowski PM, et al. Auxetic properties of a f.c.c. crystal of hard spheres with an array of 001 -nanochannels filled by hard spheres of another diameter. Phys Status Solidi B. 2019;256(1):1800611.10.1002/pssb.201800611Search in Google Scholar
[43] Grima JN, Grech MC, Grima-Cornish JN, Gatt R, Attard D. Giant auxetic behaviour in engineered graphene. Ann Phys. 2018;530(6):1700330.10.1002/andp.201700330Search in Google Scholar
[44] Goldstein RV, Gorodtsov VA, Lisovenko DS. The elastic properties of hexagonal auxetics under pressure. Phys Status Solidi B. 2016;253(7):1261–9.10.1002/pssb.201600054Search in Google Scholar
[45] Openov LA, Podlivaev AI. Negative Poisson’s ratio in a nonplanar phagraphene. Phys Solid State. 2017;59(6):1267–9.10.1134/S106378341706018XSearch in Google Scholar
[46] Rysaeva LK, Baimova JA, Lisovenko DS, Gorodtsov VA, Dmitriev SV. Elastic properties of fullerites and diamond-like phases. Phys Status Solidi B. 2019;256(1):1800049.10.1002/pssb.201800049Search in Google Scholar
[47] Lisovenko DS, Baimova JA, Rysaeva LK, Gorodtsov VA, Rudskoy AI, Dmitriev SV. Equilibrium diamond-like carbon nanostructures with cubic anisotropy: elastic properties. Phys Status Solidi B. 2016;253(7):1295–302.10.1002/pssb.201600049Search in Google Scholar
[48] Rysaeva LK, Baimova JA, Dmitriev SV, Lisovenko DS, Gorodtsov VA, Rudskoy AI. Elastic properties of diamond-like phases based on carbon nanotubes. Diam Relat Mat. 2019;97:107411.10.1016/j.diamond.2019.04.034Search in Google Scholar
[49] Rysaeva LK, Lisovenko DS, Gorodtsov VA, Baimova JA. Stability, elastic properties and deformation behavior of graphene-based diamond-like phases. Comput Mater Sci. 2020;172:109355.10.1016/j.commatsci.2019.109355Search in Google Scholar
[50] Rysaeva LK, Klyavlina AI, Galiachmetov FK, Baimova JA, Gorodtsov VA. Deformation behaviour of re-entrant carbon honeycomb structures. IOP Conf Ser Mater Sci Eng. 2018;447(1):012035.10.1088/1757-899X/447/1/012035Search in Google Scholar
[51] Scarpa F, Adhikari S, Wang CY. Mechanical properties of non-reconstructed defective single-wall carbon nanotubes. J Phys D-Appl Phys. 2009;42(14):6.10.1088/0022-3727/42/14/142002Search in Google Scholar
[52] Polak E. Optimization: algorithms and consistent approximations. Heidelberg: Springer; 1997.10.1007/978-1-4612-0663-7Search in Google Scholar
[53] Liu F, Ming P, Li J. Ab initio calculation of ideal strength and phonon instability of graphene under tension. Phys Rev B. 2007;76(6):064120.1-7.10.1103/PhysRevB.76.064120Search in Google Scholar
[54] Lee C, Wei X, Kysar JW, Hone J. Measurement of the elastic properties and intrinsic strength of monolayer graphene. Science. 2008;321(5887):385–8.10.1126/science.1157996Search in Google Scholar PubMed
© 2022 Yingjing Liang et al., published by De Gruyter
This work is licensed under the Creative Commons Attribution 4.0 International License.
Articles in the same Issue
- Research Articles
- Theoretical and experimental investigation of MWCNT dispersion effect on the elastic modulus of flexible PDMS/MWCNT nanocomposites
- Mechanical, morphological, and fracture-deformation behavior of MWCNTs-reinforced (Al–Cu–Mg–T351) alloy cast nanocomposites fabricated by optimized mechanical milling and powder metallurgy techniques
- Flammability and physical stability of sugar palm crystalline nanocellulose reinforced thermoplastic sugar palm starch/poly(lactic acid) blend bionanocomposites
- Glutathione-loaded non-ionic surfactant niosomes: A new approach to improve oral bioavailability and hepatoprotective efficacy of glutathione
- Relationship between mechano-bactericidal activity and nanoblades density on chemically strengthened glass
- In situ regulation of microstructure and microwave-absorbing properties of FeSiAl through HNO3 oxidation
- Research on a mechanical model of magnetorheological fluid different diameter particles
- Nanomechanical and dynamic mechanical properties of rubber–wood–plastic composites
- Investigative properties of CeO2 doped with niobium: A combined characterization and DFT studies
- Miniaturized peptidomimetics and nano-vesiculation in endothelin types through probable nano-disk formation and structure property relationships of endothelins’ fragments
- N/S co-doped CoSe/C nanocubes as anode materials for Li-ion batteries
- Synergistic effects of halloysite nanotubes with metal and phosphorus additives on the optimal design of eco-friendly sandwich panels with maximum flame resistance and minimum weight
- Octreotide-conjugated silver nanoparticles for active targeting of somatostatin receptors and their application in a nebulized rat model
- Controllable morphology of Bi2S3 nanostructures formed via hydrothermal vulcanization of Bi2O3 thin-film layer and their photoelectrocatalytic performances
- Development of (−)-epigallocatechin-3-gallate-loaded folate receptor-targeted nanoparticles for prostate cancer treatment
- Enhancement of the mechanical properties of HDPE mineral nanocomposites by filler particles modulation of the matrix plastic/elastic behavior
- Effect of plasticizers on the properties of sugar palm nanocellulose/cinnamon essential oil reinforced starch bionanocomposite films
- Optimization of nano coating to reduce the thermal deformation of ball screws
- Preparation of efficient piezoelectric PVDF–HFP/Ni composite films by high electric field poling
- MHD dissipative Casson nanofluid liquid film flow due to an unsteady stretching sheet with radiation influence and slip velocity phenomenon
- Effects of nano-SiO2 modification on rubberised mortar and concrete with recycled coarse aggregates
- Mechanical and microscopic properties of fiber-reinforced coal gangue-based geopolymer concrete
- Effect of morphology and size on the thermodynamic stability of cerium oxide nanoparticles: Experiment and molecular dynamics calculation
- Mechanical performance of a CFRP composite reinforced via gelatin-CNTs: A study on fiber interfacial enhancement and matrix enhancement
- A practical review over surface modification, nanopatterns, emerging materials, drug delivery systems, and their biophysiochemical properties for dental implants: Recent progresses and advances
- HTR: An ultra-high speed algorithm for cage recognition of clathrate hydrates
- Effects of microalloying elements added by in situ synthesis on the microstructure of WCu composites
- A highly sensitive nanobiosensor based on aptamer-conjugated graphene-decorated rhodium nanoparticles for detection of HER2-positive circulating tumor cells
- Progressive collapse performance of shear strengthened RC frames by nano CFRP
- Core–shell heterostructured composites of carbon nanotubes and imine-linked hyperbranched polymers as metal-free Li-ion anodes
- A Galerkin strategy for tri-hybridized mixture in ethylene glycol comprising variable diffusion and thermal conductivity using non-Fourier’s theory
- Simple models for tensile modulus of shape memory polymer nanocomposites at ambient temperature
- Preparation and morphological studies of tin sulfide nanoparticles and use as efficient photocatalysts for the degradation of rhodamine B and phenol
- Polyethyleneimine-impregnated activated carbon nanofiber composited graphene-derived rice husk char for efficient post-combustion CO2 capture
- Electrospun nanofibers of Co3O4 nanocrystals encapsulated in cyclized-polyacrylonitrile for lithium storage
- Pitting corrosion induced on high-strength high carbon steel wire in high alkaline deaerated chloride electrolyte
- Formulation of polymeric nanoparticles loaded sorafenib; evaluation of cytotoxicity, molecular evaluation, and gene expression studies in lung and breast cancer cell lines
- Engineered nanocomposites in asphalt binders
- Influence of loading voltage, domain ratio, and additional load on the actuation of dielectric elastomer
- Thermally induced hex-graphene transitions in 2D carbon crystals
- The surface modification effect on the interfacial properties of glass fiber-reinforced epoxy: A molecular dynamics study
- Molecular dynamics study of deformation mechanism of interfacial microzone of Cu/Al2Cu/Al composites under tension
- Nanocolloid simulators of luminescent solar concentrator photovoltaic windows
- Compressive strength and anti-chloride ion penetration assessment of geopolymer mortar merging PVA fiber and nano-SiO2 using RBF–BP composite neural network
- Effect of 3-mercapto-1-propane sulfonate sulfonic acid and polyvinylpyrrolidone on the growth of cobalt pillar by electrodeposition
- Dynamics of convective slippery constraints on hybrid radiative Sutterby nanofluid flow by Galerkin finite element simulation
- Preparation of vanadium by the magnesiothermic self-propagating reduction and process control
- Microstructure-dependent photoelectrocatalytic activity of heterogeneous ZnO–ZnS nanosheets
- Cytotoxic and pro-inflammatory effects of molybdenum and tungsten disulphide on human bronchial cells
- Improving recycled aggregate concrete by compression casting and nano-silica
- Chemically reactive Maxwell nanoliquid flow by a stretching surface in the frames of Newtonian heating, nonlinear convection and radiative flux: Nanopolymer flow processing simulation
- Nonlinear dynamic and crack behaviors of carbon nanotubes-reinforced composites with various geometries
- Biosynthesis of copper oxide nanoparticles and its therapeutic efficacy against colon cancer
- Synthesis and characterization of smart stimuli-responsive herbal drug-encapsulated nanoniosome particles for efficient treatment of breast cancer
- Homotopic simulation for heat transport phenomenon of the Burgers nanofluids flow over a stretching cylinder with thermal convective and zero mass flux conditions
- Incorporation of copper and strontium ions in TiO2 nanotubes via dopamine to enhance hemocompatibility and cytocompatibility
- Mechanical, thermal, and barrier properties of starch films incorporated with chitosan nanoparticles
- Mechanical properties and microstructure of nano-strengthened recycled aggregate concrete
- Glucose-responsive nanogels efficiently maintain the stability and activity of therapeutic enzymes
- Tunning matrix rheology and mechanical performance of ultra-high performance concrete using cellulose nanofibers
- Flexible MXene/copper/cellulose nanofiber heat spreader films with enhanced thermal conductivity
- Promoted charge separation and specific surface area via interlacing of N-doped titanium dioxide nanotubes on carbon nitride nanosheets for photocatalytic degradation of Rhodamine B
- Elucidating the role of silicon dioxide and titanium dioxide nanoparticles in mitigating the disease of the eggplant caused by Phomopsis vexans, Ralstonia solanacearum, and root-knot nematode Meloidogyne incognita
- An implication of magnetic dipole in Carreau Yasuda liquid influenced by engine oil using ternary hybrid nanomaterial
- Robust synthesis of a composite phase of copper vanadium oxide with enhanced performance for durable aqueous Zn-ion batteries
- Tunning self-assembled phases of bovine serum albumin via hydrothermal process to synthesize novel functional hydrogel for skin protection against UVB
- A comparative experimental study on damping properties of epoxy nanocomposite beams reinforced with carbon nanotubes and graphene nanoplatelets
- Lightweight and hydrophobic Ni/GO/PVA composite aerogels for ultrahigh performance electromagnetic interference shielding
- Research on the auxetic behavior and mechanical properties of periodically rotating graphene nanostructures
- Repairing performances of novel cement mortar modified with graphene oxide and polyacrylate polymer
- Closed-loop recycling and fabrication of hydrophilic CNT films with high performance
- Design of thin-film configuration of SnO2–Ag2O composites for NO2 gas-sensing applications
- Study on stress distribution of SiC/Al composites based on microstructure models with microns and nanoparticles
- PVDF green nanofibers as potential carriers for improving self-healing and mechanical properties of carbon fiber/epoxy prepregs
- Osteogenesis capability of three-dimensionally printed poly(lactic acid)-halloysite nanotube scaffolds containing strontium ranelate
- Silver nanoparticles induce mitochondria-dependent apoptosis and late non-canonical autophagy in HT-29 colon cancer cells
- Preparation and bonding mechanisms of polymer/metal hybrid composite by nano molding technology
- Damage self-sensing and strain monitoring of glass-reinforced epoxy composite impregnated with graphene nanoplatelet and multiwalled carbon nanotubes
- Thermal analysis characterisation of solar-powered ship using Oldroyd hybrid nanofluids in parabolic trough solar collector: An optimal thermal application
- Pyrene-functionalized halloysite nanotubes for simultaneously detecting and separating Hg(ii) in aqueous media: A comprehensive comparison on interparticle and intraparticle excimers
- Fabrication of self-assembly CNT flexible film and its piezoresistive sensing behaviors
- Thermal valuation and entropy inspection of second-grade nanoscale fluid flow over a stretching surface by applying Koo–Kleinstreuer–Li relation
- Mechanical properties and microstructure of nano-SiO2 and basalt-fiber-reinforced recycled aggregate concrete
- Characterization and tribology performance of polyaniline-coated nanodiamond lubricant additives
- Combined impact of Marangoni convection and thermophoretic particle deposition on chemically reactive transport of nanofluid flow over a stretching surface
- Spark plasma extrusion of binder free hydroxyapatite powder
- An investigation on thermo-mechanical performance of graphene-oxide-reinforced shape memory polymer
- Effect of nanoadditives on the novel leather fiber/recycled poly(ethylene-vinyl-acetate) polymer composites for multifunctional applications: Fabrication, characterizations, and multiobjective optimization using central composite design
- Design selection for a hemispherical dimple core sandwich panel using hybrid multi-criteria decision-making methods
- Improving tensile strength and impact toughness of plasticized poly(lactic acid) biocomposites by incorporating nanofibrillated cellulose
- Green synthesis of spinel copper ferrite (CuFe2O4) nanoparticles and their toxicity
- The effect of TaC and NbC hybrid and mono-nanoparticles on AA2024 nanocomposites: Microstructure, strengthening, and artificial aging
- Excited-state geometry relaxation of pyrene-modified cellulose nanocrystals under UV-light excitation for detecting Fe3+
- Effect of CNTs and MEA on the creep of face-slab concrete at an early age
- Effect of deformation conditions on compression phase transformation of AZ31
- Application of MXene as a new generation of highly conductive coating materials for electromembrane-surrounded solid-phase microextraction
- A comparative study of the elasto-plastic properties for ceramic nanocomposites filled by graphene or graphene oxide nanoplates
- Encapsulation strategies for improving the biological behavior of CdS@ZIF-8 nanocomposites
- Biosynthesis of ZnO NPs from pumpkin seeds’ extract and elucidation of its anticancer potential against breast cancer
- Preliminary trials of the gold nanoparticles conjugated chrysin: An assessment of anti-oxidant, anti-microbial, and in vitro cytotoxic activities of a nanoformulated flavonoid
- Effect of micron-scale pores increased by nano-SiO2 sol modification on the strength of cement mortar
- Fractional simulations for thermal flow of hybrid nanofluid with aluminum oxide and titanium oxide nanoparticles with water and blood base fluids
- The effect of graphene nano-powder on the viscosity of water: An experimental study and artificial neural network modeling
- Development of a novel heat- and shear-resistant nano-silica gelling agent
- Characterization, biocompatibility and in vivo of nominal MnO2-containing wollastonite glass-ceramic
- Entropy production simulation of second-grade magnetic nanomaterials flowing across an expanding surface with viscidness dissipative flux
- Enhancement in structural, morphological, and optical properties of copper oxide for optoelectronic device applications
- Aptamer-functionalized chitosan-coated gold nanoparticle complex as a suitable targeted drug carrier for improved breast cancer treatment
- Performance and overall evaluation of nano-alumina-modified asphalt mixture
- Analysis of pure nanofluid (GO/engine oil) and hybrid nanofluid (GO–Fe3O4/engine oil): Novel thermal and magnetic features
- Synthesis of Ag@AgCl modified anatase/rutile/brookite mixed phase TiO2 and their photocatalytic property
- Mechanisms and influential variables on the abrasion resistance hydraulic concrete
- Synergistic reinforcement mechanism of basalt fiber/cellulose nanocrystals/polypropylene composites
- Achieving excellent oxidation resistance and mechanical properties of TiB2–B4C/carbon aerogel composites by quick-gelation and mechanical mixing
- Microwave-assisted sol–gel template-free synthesis and characterization of silica nanoparticles obtained from South African coal fly ash
- Pulsed laser-assisted synthesis of nano nickel(ii) oxide-anchored graphitic carbon nitride: Characterizations and their potential antibacterial/anti-biofilm applications
- Effects of nano-ZrSi2 on thermal stability of phenolic resin and thermal reusability of quartz–phenolic composites
- Benzaldehyde derivatives on tin electroplating as corrosion resistance for fabricating copper circuit
- Mechanical and heat transfer properties of 4D-printed shape memory graphene oxide/epoxy acrylate composites
- Coupling the vanadium-induced amorphous/crystalline NiFe2O4 with phosphide heterojunction toward active oxygen evolution reaction catalysts
- Graphene-oxide-reinforced cement composites mechanical and microstructural characteristics at elevated temperatures
- Gray correlation analysis of factors influencing compressive strength and durability of nano-SiO2 and PVA fiber reinforced geopolymer mortar
- Preparation of layered gradient Cu–Cr–Ti alloy with excellent mechanical properties, thermal stability, and electrical conductivity
- Recovery of Cr from chrome-containing leather wastes to develop aluminum-based composite material along with Al2O3 ceramic particles: An ingenious approach
- Mechanisms of the improved stiffness of flexible polymers under impact loading
- Anticancer potential of gold nanoparticles (AuNPs) using a battery of in vitro tests
- Review Articles
- Proposed approaches for coronaviruses elimination from wastewater: Membrane techniques and nanotechnology solutions
- Application of Pickering emulsion in oil drilling and production
- The contribution of microfluidics to the fight against tuberculosis
- Graphene-based biosensors for disease theranostics: Development, applications, and recent advancements
- Synthesis and encapsulation of iron oxide nanorods for application in magnetic hyperthermia and photothermal therapy
- Contemporary nano-architectured drugs and leads for ανβ3 integrin-based chemotherapy: Rationale and retrospect
- State-of-the-art review of fabrication, application, and mechanical properties of functionally graded porous nanocomposite materials
- Insights on magnetic spinel ferrites for targeted drug delivery and hyperthermia applications
- A review on heterogeneous oxidation of acetaminophen based on micro and nanoparticles catalyzed by different activators
- Early diagnosis of lung cancer using magnetic nanoparticles-integrated systems
- Advances in ZnO: Manipulation of defects for enhancing their technological potentials
- Efficacious nanomedicine track toward combating COVID-19
- A review of the design, processes, and properties of Mg-based composites
- Green synthesis of nanoparticles for varied applications: Green renewable resources and energy-efficient synthetic routes
- Two-dimensional nanomaterial-based polymer composites: Fundamentals and applications
- Recent progress and challenges in plasmonic nanomaterials
- Apoptotic cell-derived micro/nanosized extracellular vesicles in tissue regeneration
- Electronic noses based on metal oxide nanowires: A review
- Framework materials for supercapacitors
- An overview on the reproductive toxicity of graphene derivatives: Highlighting the importance
- Antibacterial nanomaterials: Upcoming hope to overcome antibiotic resistance crisis
- Research progress of carbon materials in the field of three-dimensional printing polymer nanocomposites
- A review of atomic layer deposition modelling and simulation methodologies: Density functional theory and molecular dynamics
- Recent advances in the preparation of PVDF-based piezoelectric materials
- Recent developments in tensile properties of friction welding of carbon fiber-reinforced composite: A review
- Comprehensive review of the properties of fly ash-based geopolymer with additive of nano-SiO2
- Perspectives in biopolymer/graphene-based composite application: Advances, challenges, and recommendations
- Graphene-based nanocomposite using new modeling molecular dynamic simulations for proposed neutralizing mechanism and real-time sensing of COVID-19
- Nanotechnology application on bamboo materials: A review
- Recent developments and future perspectives of biorenewable nanocomposites for advanced applications
- Nanostructured lipid carrier system: A compendium of their formulation development approaches, optimization strategies by quality by design, and recent applications in drug delivery
- 3D printing customized design of human bone tissue implant and its application
- Design, preparation, and functionalization of nanobiomaterials for enhanced efficacy in current and future biomedical applications
- A brief review of nanoparticles-doped PEDOT:PSS nanocomposite for OLED and OPV
- Nanotechnology interventions as a putative tool for the treatment of dental afflictions
- Recent advancements in metal–organic frameworks integrating quantum dots (QDs@MOF) and their potential applications
- A focused review of short electrospun nanofiber preparation techniques for composite reinforcement
- Microstructural characteristics and nano-modification of interfacial transition zone in concrete: A review
- Latest developments in the upconversion nanotechnology for the rapid detection of food safety: A review
- Strategic applications of nano-fertilizers for sustainable agriculture: Benefits and bottlenecks
- Molecular dynamics application of cocrystal energetic materials: A review
- Synthesis and application of nanometer hydroxyapatite in biomedicine
- Cutting-edge development in waste-recycled nanomaterials for energy storage and conversion applications
- Biological applications of ternary quantum dots: A review
- Nanotherapeutics for hydrogen sulfide-involved treatment: An emerging approach for cancer therapy
- Application of antibacterial nanoparticles in orthodontic materials
- Effect of natural-based biological hydrogels combined with growth factors on skin wound healing
- Nanozymes – A route to overcome microbial resistance: A viewpoint
- Recent developments and applications of smart nanoparticles in biomedicine
- Contemporary review on carbon nanotube (CNT) composites and their impact on multifarious applications
- Interfacial interactions and reinforcing mechanisms of cellulose and chitin nanomaterials and starch derivatives for cement and concrete strength and durability enhancement: A review
- Diamond-like carbon films for tribological modification of rubber
- Layered double hydroxides (LDHs) modified cement-based materials: A systematic review
- Recent research progress and advanced applications of silica/polymer nanocomposites
- Modeling of supramolecular biopolymers: Leading the in silico revolution of tissue engineering and nanomedicine
- Recent advances in perovskites-based optoelectronics
- Biogenic synthesis of palladium nanoparticles: New production methods and applications
- A comprehensive review of nanofluids with fractional derivatives: Modeling and application
- Electrospinning of marine polysaccharides: Processing and chemical aspects, challenges, and future prospects
- Electrohydrodynamic printing for demanding devices: A review of processing and applications
- Rapid Communications
- Structural material with designed thermal twist for a simple actuation
- Recent advances in photothermal materials for solar-driven crude oil adsorption
Articles in the same Issue
- Research Articles
- Theoretical and experimental investigation of MWCNT dispersion effect on the elastic modulus of flexible PDMS/MWCNT nanocomposites
- Mechanical, morphological, and fracture-deformation behavior of MWCNTs-reinforced (Al–Cu–Mg–T351) alloy cast nanocomposites fabricated by optimized mechanical milling and powder metallurgy techniques
- Flammability and physical stability of sugar palm crystalline nanocellulose reinforced thermoplastic sugar palm starch/poly(lactic acid) blend bionanocomposites
- Glutathione-loaded non-ionic surfactant niosomes: A new approach to improve oral bioavailability and hepatoprotective efficacy of glutathione
- Relationship between mechano-bactericidal activity and nanoblades density on chemically strengthened glass
- In situ regulation of microstructure and microwave-absorbing properties of FeSiAl through HNO3 oxidation
- Research on a mechanical model of magnetorheological fluid different diameter particles
- Nanomechanical and dynamic mechanical properties of rubber–wood–plastic composites
- Investigative properties of CeO2 doped with niobium: A combined characterization and DFT studies
- Miniaturized peptidomimetics and nano-vesiculation in endothelin types through probable nano-disk formation and structure property relationships of endothelins’ fragments
- N/S co-doped CoSe/C nanocubes as anode materials for Li-ion batteries
- Synergistic effects of halloysite nanotubes with metal and phosphorus additives on the optimal design of eco-friendly sandwich panels with maximum flame resistance and minimum weight
- Octreotide-conjugated silver nanoparticles for active targeting of somatostatin receptors and their application in a nebulized rat model
- Controllable morphology of Bi2S3 nanostructures formed via hydrothermal vulcanization of Bi2O3 thin-film layer and their photoelectrocatalytic performances
- Development of (−)-epigallocatechin-3-gallate-loaded folate receptor-targeted nanoparticles for prostate cancer treatment
- Enhancement of the mechanical properties of HDPE mineral nanocomposites by filler particles modulation of the matrix plastic/elastic behavior
- Effect of plasticizers on the properties of sugar palm nanocellulose/cinnamon essential oil reinforced starch bionanocomposite films
- Optimization of nano coating to reduce the thermal deformation of ball screws
- Preparation of efficient piezoelectric PVDF–HFP/Ni composite films by high electric field poling
- MHD dissipative Casson nanofluid liquid film flow due to an unsteady stretching sheet with radiation influence and slip velocity phenomenon
- Effects of nano-SiO2 modification on rubberised mortar and concrete with recycled coarse aggregates
- Mechanical and microscopic properties of fiber-reinforced coal gangue-based geopolymer concrete
- Effect of morphology and size on the thermodynamic stability of cerium oxide nanoparticles: Experiment and molecular dynamics calculation
- Mechanical performance of a CFRP composite reinforced via gelatin-CNTs: A study on fiber interfacial enhancement and matrix enhancement
- A practical review over surface modification, nanopatterns, emerging materials, drug delivery systems, and their biophysiochemical properties for dental implants: Recent progresses and advances
- HTR: An ultra-high speed algorithm for cage recognition of clathrate hydrates
- Effects of microalloying elements added by in situ synthesis on the microstructure of WCu composites
- A highly sensitive nanobiosensor based on aptamer-conjugated graphene-decorated rhodium nanoparticles for detection of HER2-positive circulating tumor cells
- Progressive collapse performance of shear strengthened RC frames by nano CFRP
- Core–shell heterostructured composites of carbon nanotubes and imine-linked hyperbranched polymers as metal-free Li-ion anodes
- A Galerkin strategy for tri-hybridized mixture in ethylene glycol comprising variable diffusion and thermal conductivity using non-Fourier’s theory
- Simple models for tensile modulus of shape memory polymer nanocomposites at ambient temperature
- Preparation and morphological studies of tin sulfide nanoparticles and use as efficient photocatalysts for the degradation of rhodamine B and phenol
- Polyethyleneimine-impregnated activated carbon nanofiber composited graphene-derived rice husk char for efficient post-combustion CO2 capture
- Electrospun nanofibers of Co3O4 nanocrystals encapsulated in cyclized-polyacrylonitrile for lithium storage
- Pitting corrosion induced on high-strength high carbon steel wire in high alkaline deaerated chloride electrolyte
- Formulation of polymeric nanoparticles loaded sorafenib; evaluation of cytotoxicity, molecular evaluation, and gene expression studies in lung and breast cancer cell lines
- Engineered nanocomposites in asphalt binders
- Influence of loading voltage, domain ratio, and additional load on the actuation of dielectric elastomer
- Thermally induced hex-graphene transitions in 2D carbon crystals
- The surface modification effect on the interfacial properties of glass fiber-reinforced epoxy: A molecular dynamics study
- Molecular dynamics study of deformation mechanism of interfacial microzone of Cu/Al2Cu/Al composites under tension
- Nanocolloid simulators of luminescent solar concentrator photovoltaic windows
- Compressive strength and anti-chloride ion penetration assessment of geopolymer mortar merging PVA fiber and nano-SiO2 using RBF–BP composite neural network
- Effect of 3-mercapto-1-propane sulfonate sulfonic acid and polyvinylpyrrolidone on the growth of cobalt pillar by electrodeposition
- Dynamics of convective slippery constraints on hybrid radiative Sutterby nanofluid flow by Galerkin finite element simulation
- Preparation of vanadium by the magnesiothermic self-propagating reduction and process control
- Microstructure-dependent photoelectrocatalytic activity of heterogeneous ZnO–ZnS nanosheets
- Cytotoxic and pro-inflammatory effects of molybdenum and tungsten disulphide on human bronchial cells
- Improving recycled aggregate concrete by compression casting and nano-silica
- Chemically reactive Maxwell nanoliquid flow by a stretching surface in the frames of Newtonian heating, nonlinear convection and radiative flux: Nanopolymer flow processing simulation
- Nonlinear dynamic and crack behaviors of carbon nanotubes-reinforced composites with various geometries
- Biosynthesis of copper oxide nanoparticles and its therapeutic efficacy against colon cancer
- Synthesis and characterization of smart stimuli-responsive herbal drug-encapsulated nanoniosome particles for efficient treatment of breast cancer
- Homotopic simulation for heat transport phenomenon of the Burgers nanofluids flow over a stretching cylinder with thermal convective and zero mass flux conditions
- Incorporation of copper and strontium ions in TiO2 nanotubes via dopamine to enhance hemocompatibility and cytocompatibility
- Mechanical, thermal, and barrier properties of starch films incorporated with chitosan nanoparticles
- Mechanical properties and microstructure of nano-strengthened recycled aggregate concrete
- Glucose-responsive nanogels efficiently maintain the stability and activity of therapeutic enzymes
- Tunning matrix rheology and mechanical performance of ultra-high performance concrete using cellulose nanofibers
- Flexible MXene/copper/cellulose nanofiber heat spreader films with enhanced thermal conductivity
- Promoted charge separation and specific surface area via interlacing of N-doped titanium dioxide nanotubes on carbon nitride nanosheets for photocatalytic degradation of Rhodamine B
- Elucidating the role of silicon dioxide and titanium dioxide nanoparticles in mitigating the disease of the eggplant caused by Phomopsis vexans, Ralstonia solanacearum, and root-knot nematode Meloidogyne incognita
- An implication of magnetic dipole in Carreau Yasuda liquid influenced by engine oil using ternary hybrid nanomaterial
- Robust synthesis of a composite phase of copper vanadium oxide with enhanced performance for durable aqueous Zn-ion batteries
- Tunning self-assembled phases of bovine serum albumin via hydrothermal process to synthesize novel functional hydrogel for skin protection against UVB
- A comparative experimental study on damping properties of epoxy nanocomposite beams reinforced with carbon nanotubes and graphene nanoplatelets
- Lightweight and hydrophobic Ni/GO/PVA composite aerogels for ultrahigh performance electromagnetic interference shielding
- Research on the auxetic behavior and mechanical properties of periodically rotating graphene nanostructures
- Repairing performances of novel cement mortar modified with graphene oxide and polyacrylate polymer
- Closed-loop recycling and fabrication of hydrophilic CNT films with high performance
- Design of thin-film configuration of SnO2–Ag2O composites for NO2 gas-sensing applications
- Study on stress distribution of SiC/Al composites based on microstructure models with microns and nanoparticles
- PVDF green nanofibers as potential carriers for improving self-healing and mechanical properties of carbon fiber/epoxy prepregs
- Osteogenesis capability of three-dimensionally printed poly(lactic acid)-halloysite nanotube scaffolds containing strontium ranelate
- Silver nanoparticles induce mitochondria-dependent apoptosis and late non-canonical autophagy in HT-29 colon cancer cells
- Preparation and bonding mechanisms of polymer/metal hybrid composite by nano molding technology
- Damage self-sensing and strain monitoring of glass-reinforced epoxy composite impregnated with graphene nanoplatelet and multiwalled carbon nanotubes
- Thermal analysis characterisation of solar-powered ship using Oldroyd hybrid nanofluids in parabolic trough solar collector: An optimal thermal application
- Pyrene-functionalized halloysite nanotubes for simultaneously detecting and separating Hg(ii) in aqueous media: A comprehensive comparison on interparticle and intraparticle excimers
- Fabrication of self-assembly CNT flexible film and its piezoresistive sensing behaviors
- Thermal valuation and entropy inspection of second-grade nanoscale fluid flow over a stretching surface by applying Koo–Kleinstreuer–Li relation
- Mechanical properties and microstructure of nano-SiO2 and basalt-fiber-reinforced recycled aggregate concrete
- Characterization and tribology performance of polyaniline-coated nanodiamond lubricant additives
- Combined impact of Marangoni convection and thermophoretic particle deposition on chemically reactive transport of nanofluid flow over a stretching surface
- Spark plasma extrusion of binder free hydroxyapatite powder
- An investigation on thermo-mechanical performance of graphene-oxide-reinforced shape memory polymer
- Effect of nanoadditives on the novel leather fiber/recycled poly(ethylene-vinyl-acetate) polymer composites for multifunctional applications: Fabrication, characterizations, and multiobjective optimization using central composite design
- Design selection for a hemispherical dimple core sandwich panel using hybrid multi-criteria decision-making methods
- Improving tensile strength and impact toughness of plasticized poly(lactic acid) biocomposites by incorporating nanofibrillated cellulose
- Green synthesis of spinel copper ferrite (CuFe2O4) nanoparticles and their toxicity
- The effect of TaC and NbC hybrid and mono-nanoparticles on AA2024 nanocomposites: Microstructure, strengthening, and artificial aging
- Excited-state geometry relaxation of pyrene-modified cellulose nanocrystals under UV-light excitation for detecting Fe3+
- Effect of CNTs and MEA on the creep of face-slab concrete at an early age
- Effect of deformation conditions on compression phase transformation of AZ31
- Application of MXene as a new generation of highly conductive coating materials for electromembrane-surrounded solid-phase microextraction
- A comparative study of the elasto-plastic properties for ceramic nanocomposites filled by graphene or graphene oxide nanoplates
- Encapsulation strategies for improving the biological behavior of CdS@ZIF-8 nanocomposites
- Biosynthesis of ZnO NPs from pumpkin seeds’ extract and elucidation of its anticancer potential against breast cancer
- Preliminary trials of the gold nanoparticles conjugated chrysin: An assessment of anti-oxidant, anti-microbial, and in vitro cytotoxic activities of a nanoformulated flavonoid
- Effect of micron-scale pores increased by nano-SiO2 sol modification on the strength of cement mortar
- Fractional simulations for thermal flow of hybrid nanofluid with aluminum oxide and titanium oxide nanoparticles with water and blood base fluids
- The effect of graphene nano-powder on the viscosity of water: An experimental study and artificial neural network modeling
- Development of a novel heat- and shear-resistant nano-silica gelling agent
- Characterization, biocompatibility and in vivo of nominal MnO2-containing wollastonite glass-ceramic
- Entropy production simulation of second-grade magnetic nanomaterials flowing across an expanding surface with viscidness dissipative flux
- Enhancement in structural, morphological, and optical properties of copper oxide for optoelectronic device applications
- Aptamer-functionalized chitosan-coated gold nanoparticle complex as a suitable targeted drug carrier for improved breast cancer treatment
- Performance and overall evaluation of nano-alumina-modified asphalt mixture
- Analysis of pure nanofluid (GO/engine oil) and hybrid nanofluid (GO–Fe3O4/engine oil): Novel thermal and magnetic features
- Synthesis of Ag@AgCl modified anatase/rutile/brookite mixed phase TiO2 and their photocatalytic property
- Mechanisms and influential variables on the abrasion resistance hydraulic concrete
- Synergistic reinforcement mechanism of basalt fiber/cellulose nanocrystals/polypropylene composites
- Achieving excellent oxidation resistance and mechanical properties of TiB2–B4C/carbon aerogel composites by quick-gelation and mechanical mixing
- Microwave-assisted sol–gel template-free synthesis and characterization of silica nanoparticles obtained from South African coal fly ash
- Pulsed laser-assisted synthesis of nano nickel(ii) oxide-anchored graphitic carbon nitride: Characterizations and their potential antibacterial/anti-biofilm applications
- Effects of nano-ZrSi2 on thermal stability of phenolic resin and thermal reusability of quartz–phenolic composites
- Benzaldehyde derivatives on tin electroplating as corrosion resistance for fabricating copper circuit
- Mechanical and heat transfer properties of 4D-printed shape memory graphene oxide/epoxy acrylate composites
- Coupling the vanadium-induced amorphous/crystalline NiFe2O4 with phosphide heterojunction toward active oxygen evolution reaction catalysts
- Graphene-oxide-reinforced cement composites mechanical and microstructural characteristics at elevated temperatures
- Gray correlation analysis of factors influencing compressive strength and durability of nano-SiO2 and PVA fiber reinforced geopolymer mortar
- Preparation of layered gradient Cu–Cr–Ti alloy with excellent mechanical properties, thermal stability, and electrical conductivity
- Recovery of Cr from chrome-containing leather wastes to develop aluminum-based composite material along with Al2O3 ceramic particles: An ingenious approach
- Mechanisms of the improved stiffness of flexible polymers under impact loading
- Anticancer potential of gold nanoparticles (AuNPs) using a battery of in vitro tests
- Review Articles
- Proposed approaches for coronaviruses elimination from wastewater: Membrane techniques and nanotechnology solutions
- Application of Pickering emulsion in oil drilling and production
- The contribution of microfluidics to the fight against tuberculosis
- Graphene-based biosensors for disease theranostics: Development, applications, and recent advancements
- Synthesis and encapsulation of iron oxide nanorods for application in magnetic hyperthermia and photothermal therapy
- Contemporary nano-architectured drugs and leads for ανβ3 integrin-based chemotherapy: Rationale and retrospect
- State-of-the-art review of fabrication, application, and mechanical properties of functionally graded porous nanocomposite materials
- Insights on magnetic spinel ferrites for targeted drug delivery and hyperthermia applications
- A review on heterogeneous oxidation of acetaminophen based on micro and nanoparticles catalyzed by different activators
- Early diagnosis of lung cancer using magnetic nanoparticles-integrated systems
- Advances in ZnO: Manipulation of defects for enhancing their technological potentials
- Efficacious nanomedicine track toward combating COVID-19
- A review of the design, processes, and properties of Mg-based composites
- Green synthesis of nanoparticles for varied applications: Green renewable resources and energy-efficient synthetic routes
- Two-dimensional nanomaterial-based polymer composites: Fundamentals and applications
- Recent progress and challenges in plasmonic nanomaterials
- Apoptotic cell-derived micro/nanosized extracellular vesicles in tissue regeneration
- Electronic noses based on metal oxide nanowires: A review
- Framework materials for supercapacitors
- An overview on the reproductive toxicity of graphene derivatives: Highlighting the importance
- Antibacterial nanomaterials: Upcoming hope to overcome antibiotic resistance crisis
- Research progress of carbon materials in the field of three-dimensional printing polymer nanocomposites
- A review of atomic layer deposition modelling and simulation methodologies: Density functional theory and molecular dynamics
- Recent advances in the preparation of PVDF-based piezoelectric materials
- Recent developments in tensile properties of friction welding of carbon fiber-reinforced composite: A review
- Comprehensive review of the properties of fly ash-based geopolymer with additive of nano-SiO2
- Perspectives in biopolymer/graphene-based composite application: Advances, challenges, and recommendations
- Graphene-based nanocomposite using new modeling molecular dynamic simulations for proposed neutralizing mechanism and real-time sensing of COVID-19
- Nanotechnology application on bamboo materials: A review
- Recent developments and future perspectives of biorenewable nanocomposites for advanced applications
- Nanostructured lipid carrier system: A compendium of their formulation development approaches, optimization strategies by quality by design, and recent applications in drug delivery
- 3D printing customized design of human bone tissue implant and its application
- Design, preparation, and functionalization of nanobiomaterials for enhanced efficacy in current and future biomedical applications
- A brief review of nanoparticles-doped PEDOT:PSS nanocomposite for OLED and OPV
- Nanotechnology interventions as a putative tool for the treatment of dental afflictions
- Recent advancements in metal–organic frameworks integrating quantum dots (QDs@MOF) and their potential applications
- A focused review of short electrospun nanofiber preparation techniques for composite reinforcement
- Microstructural characteristics and nano-modification of interfacial transition zone in concrete: A review
- Latest developments in the upconversion nanotechnology for the rapid detection of food safety: A review
- Strategic applications of nano-fertilizers for sustainable agriculture: Benefits and bottlenecks
- Molecular dynamics application of cocrystal energetic materials: A review
- Synthesis and application of nanometer hydroxyapatite in biomedicine
- Cutting-edge development in waste-recycled nanomaterials for energy storage and conversion applications
- Biological applications of ternary quantum dots: A review
- Nanotherapeutics for hydrogen sulfide-involved treatment: An emerging approach for cancer therapy
- Application of antibacterial nanoparticles in orthodontic materials
- Effect of natural-based biological hydrogels combined with growth factors on skin wound healing
- Nanozymes – A route to overcome microbial resistance: A viewpoint
- Recent developments and applications of smart nanoparticles in biomedicine
- Contemporary review on carbon nanotube (CNT) composites and their impact on multifarious applications
- Interfacial interactions and reinforcing mechanisms of cellulose and chitin nanomaterials and starch derivatives for cement and concrete strength and durability enhancement: A review
- Diamond-like carbon films for tribological modification of rubber
- Layered double hydroxides (LDHs) modified cement-based materials: A systematic review
- Recent research progress and advanced applications of silica/polymer nanocomposites
- Modeling of supramolecular biopolymers: Leading the in silico revolution of tissue engineering and nanomedicine
- Recent advances in perovskites-based optoelectronics
- Biogenic synthesis of palladium nanoparticles: New production methods and applications
- A comprehensive review of nanofluids with fractional derivatives: Modeling and application
- Electrospinning of marine polysaccharides: Processing and chemical aspects, challenges, and future prospects
- Electrohydrodynamic printing for demanding devices: A review of processing and applications
- Rapid Communications
- Structural material with designed thermal twist for a simple actuation
- Recent advances in photothermal materials for solar-driven crude oil adsorption