Damage self-sensing and strain monitoring of glass-reinforced epoxy composite impregnated with graphene nanoplatelet and multiwalled carbon nanotubes
-
Mohammad Asraf Alif Ahmad
, Mohd Ridzuan Mohd Jamir, Mohd Shukry Abdul Majid
, Mohamad Reda A. Refaai
, Cheng Ee Meng and Maslinda Abu Bakar
Abstract
The damage self-sensing and strain monitoring of glass-reinforced epoxy composites impregnated with graphene nanoplatelets (GNPs) and multiwalled carbon nanotubes (MWCNTs) were investigated. Hand lay-up and vacuum bagging methods were used to fabricate the composite. Mechanical stirrer, high shear mixer, and ultrasonic probe were used to mix the nanofiller and epoxy. The loadings of the nanofiller used were 0.5, 1.5, 3, and 5 wt%. The specimens were tested using in situ electromechanical measurements under mechanical tests. The results show that the type and weight content of the nanofiller affect the electrical properties, damage self-sensing behaviour, and mechanical properties of the composites. The electrical conductivity of the GNP-glass and MWCNT-glass composites increased with nanofiller content. The tensile and flexural strengths of the composite improved with the addition of GNP and MWCNT nanofillers from 0.5 to 3 wt%. The 3 wt% nanofiller loading for GNP and MWCNT produces better mechanical–electrical performance. Field emission scanning electron microscopy revealed the dispersion of GNP and MWCNT nanofillers in the composites.
Abbreviations
- FCRR
-
fractional change in resistance response
- FESEM
-
field emission scanning electron microscopy
- GF
-
gauge factor
- HDPE
-
high-density polyethylene
1 Introduction
Composite materials have extensive uses in various industries such as automotive, aerospace, and marine, because of which there are concerns about the reliability of these materials [1]. Composite structures are often exposed to excessive loading, such as impact, shock, fatigue, and environmental conditions, which cause local damage, such as cracking, delamination, and debonding. Local damage is often difficult to detect and has severe implications on the long-term performance of composite structures. Therefore, these must be monitored regularly during operation. Ultrasonic, X-ray, and eddy current inspections are non-destructive techniques for observing the periodic inspection of local damage. The development of nanotechnology-based materials imparts smart material properties at macro- and nanoscales [2,3]. The influence of adding nanofiller phases, such as carbon black, carbon nanotubes, carbon fibres, and graphene, on the improved physical and mechanical properties of polymer composites has been examined [4]. Tremendous efforts have also been devoted to the addition of conductive nanofillers in polymer matrixes to produce multifunctional composites that exhibit considerable mechanical strength and good electrical conductivity [5,6,7,8]. The discovery of graphene nanoplatelets (GNPs) and carbon nanotubes (CNTs) has prompted researchers to develop graphene or CNT-based polymer composites for many applications such as aerospace, transportation, automotive, and defence systems industries [9,10].
The ability of smart structural materials to detect damage in a composite is essential in safety-critical applications. In situ smart sensors, such as optical fibres and piezoelectric sensors, detect damage with high resolution. However, embedded sensors have several drawbacks, such as high cost, high-current, and high-voltage operation. The insertion of sensors in a composite may result in early damage initiation; moreover, it is difficult to use in large-area applications [11]. Therefore, an alternative method for damage sensing is the use of nanocomposites, which have addressable conducting networks. This method is based on electrical resistance changes; the nanocomposite acting as a sensor utilises an electrically conductive network of the original composite [12]. Xiang et al. [6] studied the damage self-sensing behaviour of carbon nanofiller reinforced high-density polyethylene (HDPE) composites using mechanical–electrical measurement technique. The characteristic intrinsic conductivity of the nanocomposites makes them suitable for a wide variety of applications, such as strain sensors for structural health monitoring and damage self-sensing [13]. Moriche et al. [14] analysed the strain sensor capability of nanocomposites reinforced with different graphene contents. One major drawback of these graphene-nanocomposite-based sensors is that the graphene fraction is high because the percolation threshold (p c) has not been studied in detail [15].
In this study, different GNP and MWCNT weight contents were dispersed in epoxy and infused in a glass fabric to form a conductive network for strain and damage self-sensing capabilities. The electrical properties of GNP-glass and MWCNT-glass were investigated first, followed by a description of the conductive mechanism with different nanofiller weight contents. The damage self-sensing behaviour during mechanical testing, such as tensile and flexural testing, of the composite was subjected to in situ monitoring of electrical resistance changes. The purpose of this study was to investigate the damage monitoring of GNP-glass and MWCNT-glass composites that can support their development and application as smart materials.
2 Materials and methods
2.1 Materials
The developed composites comprised glass fibre, epoxy resin, GNPs, and MWCNTs obtained from a local supplier in Malaysia. The reinforcing fibre used was commercial plain-woven E-type glass with a surface density of 50 g/cm2. Smooth-On EpoxAmite 100 series resin with 103 slow hardener was used as a matrix. The epoxy resin has good mechanical properties, moderate gel time, and good wettability [16]. GNP and MWCNT nanofillers were incorporated as conductive reinforcement materials, as shown in Table 1.
Material specification of GNP and MWCNT nanofillers
| Material | Specification |
|---|---|
| GNP | Thickness: 6–8 nm, diameter: 15 µm, and purity >9% |
| MWCNT | Outer diameter: 20–40 nm, length <10 µm, purity >97%, and ash <0.15 wt% |
2.2 Composite fabrication
In this study, direct mixing was used to disperse the GNPs and MWCNTs in epoxy. This method demonstrated a significant improvement on the stability and dispersion of GNPs-MWCNTs in epoxy at a low cost, and the method was environmentally friendly and fast [17]. Different amounts of GNP and MWCNT nanofillers were added to the epoxy with weight contents of 0.5, 1.5, 3, and 5 wt% as reported in Table 2. These composites were fabricated through the high shear mixing and sonication followed by the hand lay-up method, as illustrated in Figure 1. The mixtures were mixed first using a mechanical stirrer at 1,000 rpm for 10 min and placed in a high shear mixer (Thinky Mixer ARE 310) for 12 min mixing and 2 min deforming. This step continued using an ultrasonication probe for 20 min at 30% amplitude and 24 kHz in an ice-water bath to prevent excessive heating during the process [18]. The purpose of mixing process using a high shear mixer with an ultrasonication probe is to break the nanofiller aggregates. Subsequently, the curing agent was added and mixed manually at a constant speed and stirred for 5 min. The hardener was mixed with the nanofiller–epoxy mixture in a weight ratio according to the manufacturer’s specifications. The GNP-epoxy and MWCNT-epoxy mixtures were evenly laminated on 5 layers of woven glass fabrics (200 mm2 × 200 mm2) using a hand roller and vacuum-bagging method. The roller helps the mixture penetrate and remove the bubbles inside the glass fabric plies. The glass fabric and epoxy were weighed before each hand lay-up process. In addition, the in-mould pressure was maintained below 3 mbar when the vacuum pump was switched on to force the epoxy mixture to favour the compaction until the end of the curing process. The composite was precured at normal room temperature and pressure for 12 h, followed by post curing for an additional 2 h at 80°C [19].
Mixing portion of glass reinforced GNP and MWCNT composites
| Specimen | Epoxy (wt%) | Glass fibre (wt%) | GNP (wt%) | MWCNT (wt%) |
|---|---|---|---|---|
| Glass | 75 | 25 | — | — |
| 0.5 GNP | 74.5 | 25 | 0.5 | — |
| 1.5 GNP | 73.5 | 25 | 1.5 | — |
| 3 GNP | 72 | 25 | 3 | — |
| 5 GNP | 70 | 25 | 5 | — |
| 0.5 MWCNT | 74.5 | 25 | — | 0.5 |
| 1.5 MWCNT | 73.5 | 25 | — | 1.5 |
| 3 MWCNT | 72 | 25 | — | 3 |
| 5 MWCNT | 70 | 25 | — | 5 |

Preparation process of the GNP-glass and MWCNT-glass composites.
2.3 Electrical test
The GNP-glass and MWCNT-glass composites were cut using a Dremel 4000 tool in accordance with ASTM D257 [20]. Specimens with a diameter of 13 mm and thickness of less than 1 mm were prepared. The electrical test of the two-point probe method was set up using a power DC digital multimeter (6.5 digit multimeter Agilent 34401A) and a voltage supply of 5 V. Calibration was performed prior to the test to ensure that accurate data were obtained. The electrical properties of the specimens were tested for electrical properties containing different GNP and MWCNT nanofiller weight contents. Five replicates of each specimen were tested, and the average values were recorded. A silver conductive paint was used to minimise the contact resistance between the specimen and electrode encountered during the test. The electrical conductivity was calculated using equation (1) [21].
where R is the resistance, r is the resistivity of the material, A is the area of the specimen, and l is the thickness of the specimen.
2.4 Mechanical tests
A rectangular shape was cut according to the ASTM D3039-14 and ASTM D7264-14 standards for the tensile and flexural tests, respectively [22,23]. The tensile test was performed on a Shimadzu universal testing machine with a load cell of 100 kN at a strain rate of 2 mm/min. The composite was placed in a position parallel to the loading direction during tensile testing. The flexural test was conducted using a universal micro tester (INSTRON 5848) with a 2 kN load and crosshead velocity of 2.5 mm/min. Each specimen was connected using copper connectors to a 6.5 digit multimeter (Agilent 34401A) controlled via LabVIEW software, which measures the resistance values of the electromechanical response. During each experiment, the force, stroke, and electrical resistance as a function of time were measured simultaneously. All data and results were used as the mechanical–electrical measurement for damage self-sensing behaviour of the GNP-glass and MWCNT-glass composites.
2.5 Morphological analysis
The microstructures of the GNP-glass and MWCNT-glass composites were observed using field emission scanning electron microscopy (FESEM, Nova NanoSEM 450). This method uses a focused beam of high-energy electrons to generate a variety of signals at the specimen surface, which shows the morphological observation, chemical composition, and crystalline structure of the specimens. FESEM was used to investigate the dispersion state of the GNP and MWCNT nanofillers in the matrix and the failure mechanism. Images of the fractured surface specimens were observed using an accelerating voltage in the range of 3–15 kV [19].
3 Results and discussion
3.1 Electrical conductivity
The electrical responses of the GNP-glass and MWCNT-glass composites were studied by measuring the conductivity with respect to the nanofiller weight content, as shown in Figure 2. The conductivity of the composites increased as the GNP and MWCNT nanofillers changed from 0 to 5 wt%. GNP-glass and MWCNT-glass of 0 wt% had the lowest conductivity value of approximately 10−9 1/Ω cm owing to the nonavailability of conducting channels and insulating glass fibre impediment in the composite. Thus, the conducting network of the nanofiller was the main factor that enhanced the conductivity of the composites [24,25]. In this study, the conductivity of the GNP and MWCNT nanofiller systems was considerably influenced by the dispersion state. The close dispersion of the nanofiller formed a conductive pathway through which electrons moved at a faster rate. The nanofillers then realigned and contacted each other, resulting in more effective conductive pathways that enabled the electrons to travel [26]. The entanglement and agglomeration of the nanofiller contribute to the enhancement of the conducting path. Theoretically, the parameter that influences the electrical conductivity is the percolation threshold (p c), as stated in equation (2) [24]. It is often used to characterise the transition of a conductive polymeric material from an insulator to a conductor. The variation in p c was attributed to many factors, such as surface modification, nanofiller loading, and polymer viscosity, of the polymer composite that contains the conductive nanofiller [27,28]. The conductivity increases as the nanofiller weight content approaches the critical concentration.
where σ is the electrical conductivity of the specimen, k is a constant, p is the weight content of the nanofiller, p c is the critical weight content or percolation threshold of the nanofiller, and t is the critical exponential that indicates the dimensionalities of the conductive network in the composite.

Conductivity of GNP-glass and MWCNT-glass composites.
There was a significant increase in conductivity in the range of 1.5–3 wt% for the GNP-glass and MWCNT-glass composites. As shown in Figure 2, there was a possible p c zone in the range where the conductivity increased by four orders of magnitude. A previous study determined that the principle of p c can be regarded as the concentrations approaching the critical value at which the electrical conductivity of nanofiller loading increases dramatically [6,24,29,30,31]. This p c shows the combination of the minimum number of GNP and MWCNT nanofiller contact points and the minimum average distance between the nanofillers to create a conductive network. The best fits of the experimental conductivity data to the log–log plot of p c give values of GNP-glass and MWCNT-glass of 2.55 and 2.50 wt%, respectively. After the addition of 3 and 5 wt% GNP and MWCNT nanofillers, the conductivity value almost levelled off, and a stable electrical signal was obtained. This indicates that an optimal formation of a conductive network existed between electron and electronic charge transportation. The additional charge carriers offer more direct contact between the GNP and the MWCNT nanofillers, which facilitate rapid rate transfer of electrons [26]. Based on quantum mechanics materials, electrons can jump between neighbouring nanofillers separated by insulating polymer chains. Hashemi and Weng [32] found that electron hopping among nanofiller particles led to an increase in conductivity. The combination of direct contact between the nanofiller, intrinsic conduction of GNP and MWCNT nanofiller, and electron tunnelling caused a sharp increase in the electrical conductivity. These results support the idea of an in situ polymerisation process that enhances the interfacial interaction between the nanofiller and epoxy, thereby improving the composite conductivity [33].
3.2 Evaluation of tensile strength using fractional change in resistance response (FCRR)
The GNP-glass and MWCNT-glass composites were subjected to tensile loading using the two-point probe method to obtain the electrical response under strain. The result was plotted in a graph of the typical response for FCRR and stress to strain under tensile load. Four variations in GNP and MWCNT weight content, namely, 0.5, 1.5, 3, and 5 wt%, in the composites were analysed. Figure 3 shows that the tensile strength increased when 0.5–3 wt% nanofiller was incorporated and plateaued after further addition of 5 wt% due to homogeneity. The tensile strength for 3 wt% was the highest among all composites, and this value improved by 16.7% from 198 to 237 MPa for GNP-glass and 24.4% from 164 to 217 MPa for MWCNT-glass. This high strength was attributed to the stiffness and reinforcing effects of the nanofiller in the epoxy. The good interfacial bonding between the nanofiller and epoxy made the load transfer possible, which enhanced the mechanical properties of the composite. In general, the tensile strength of the composites was improved by adding GNP and MWCNT nanofillers up to the optimal content [7,34]. However, with an increase in the nanofiller content up to 5 wt%, the inhomogeneous dispersion of the nanofiller can lead to the appearance of agglomeration. The tensile strength of the specimen could not be further improved owing to the larger amount and increasing difficulty in dispersing the nanofiller. The strong π–π interaction in the GNPs and van der Waals forces in the MWCNTs caused the nanofillers to reagglomerate. This phenomenon led to a weaker interfacial interaction between the nanofiller and the epoxy in the composite. Thus, the agglomeration of a higher amount of nanofiller contributes to the defect and loss of tensile strength. This can be seen in Figure 3(d) with a decrease in tensile strength by 10.4 and 20.1% for 5 wt% of nanofiller in the GNP-glass and MWCNT-glass composites, respectively, compared with 3 wt% for the specimen. Seretis et al. [35] also found that the GNPs addition used up to 5 wt% until 30 wt% had weakened the tensile performance of the laminated nanocomposite.

Tensile stress and FCRR as a function of strain in GNP-glass and MWCNT-glass composites: (a) 0.5, (b) 1.5, (c) 3, and (d) 5 wt%.
The incorporation of GNPs and MWCNTs into the glass composite makes the surface of the composite electrically conductive because of the formation of continuous pathways from the nanofiller. The composite structure becomes sensitive to external stimuli, which facilitates the fabrication of a smart sensor material. The FCRR was related to the environmental and loading changes, which were calculated by the ratio of changed resistance (ΔR) during tensile loading to the unstrained resistance (R o) of the composite [28]. As shown in Figure 3, the FCRR curve exhibits a nonlinear behaviour with an exponential increase with the applied strain until the final fracture. Specimens with 3 and 5 wt% content of nanofiller had values larger than p c and established an abundant conductive network that led to different types of FCRR curve trend. Compared with the specimens with 0.5 and 1.5 wt% nanofiller loading, the slope of the FCRR curve for 3 and 5 wt% exhibits a smoother shape. A softening electrical resistance response was achieved close to p c owing to the creation of a higher contact number of conductive paths along the matrix when a large number of nanofillers are present in the composite structure [36]. The increased conductive path leads to the consideration of the influence of the strain sensing mechanism because of the loss of electrical contact between the nanofiller particles. Furthermore, a minimum content of GNP and MWCNT nanofillers was added to ensure that the composite was electrically conductive. This conductivity can be achieved through the tunnelling effect mechanism. There was a lack of sufficient path to create contact paths, or their concentration was negligible. This can be used to explain the contribution of electrical contact resistance; thus, it can be neglected, and the signal can be fitted to make the tunnelling conductivity effect the dominant mechanism. Thus, the tunnelling effect leads to a sharp increase in the composite resistance in the application of a high tensile load.
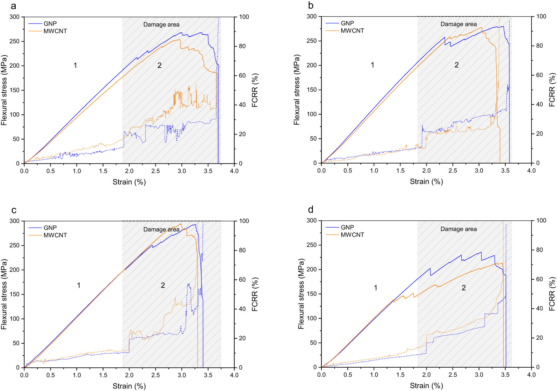
3.3 Evaluation of flexural strength using FCRR
Figure 4 shows the FCRR curves obtained for composites with different GNP and MWCNT nanofiller weight contents from 0.5 to 5 wt%. A similar trend was observed in the tensile test, whereas the flexural strength increased as the nanofiller weight content increased from 0.5 to 3 wt% due to homogeneity. The 3 wt% of GNP-glass and MWCNT-glass resulted in the highest flexural strength values of 294 and 293 MPa, respectively, because of the stiffness and reinforcing effect of the nanofiller in the epoxy. The good interfacial bonding between the incorporated nanofiller and epoxy made load transfer possible. Thus, incorporation of the GNP and MWCNT nanofillers up to the optimal content improved the flexural properties of the composites. However, the addition of nanofiller concentration beyond the optimal value increases the matrix viscosity, which converts the exfoliated structure within the epoxy into a partially exfoliated structure because of the nanofiller agglomerated structure [37]. The strong π–π interactions in the GNPs and van der Waals forces in the MWCNTs caused the nanofiller to re-agglomerate with each other and weakened the interfacial bonding in the epoxy. The nanofiller dispersed in the epoxy tended to move randomly owing to collisions between particles and matrix; hence, it was possible that the nanofiller particles could collide. As a result, the GNP and MWCNT nanofillers started to re-agglomerate, forming a large particle cluster because of the presence of instantaneous dipoles in each nanofiller under van der Waals forces. Thus, the agglomeration of a higher amount of nanofiller resulted in poor flexural strength. This explains the flexural strength in Figure 4(d) for 5 wt% nanofiller loading of the GNP-glass and MWCNT-glass composites with decreases of 19.9 and 27.3% compared with the 3 wt% specimen, respectively.

Flexural stress and FCRR as a function of strain in GNP-glass and MWCNT-glass composites: (a) 0.5, (b) 1.5, (c) 3, and (d) 5 wt%.
GNPs and MWCNTs have higher moduli; therefore, they apply an even higher modulus to the composite [38,39]. The dissimilarity between the flexural and tensile moduli can be attributed to the deformation during the test, geometry, and dimensions of the specimen. The difference between the flexural strengths of GNP-glass and MWCNT-glass was caused by the stiffness between the layered structure of the GNPs and entanglement of the MWCNTs, respectively. It was possible to monitor the strain related to the bending configuration because the arrangement of the adjacent nanofiller varied with the tensile stress configuration. The FCRR increased exponentially with the increase in applied strain until breakage of the specimen, as shown in Figure 4. The GNP and MWCNT nanofillers further accelerated the breaking of the conductive network, causing an increase in the resistivity of the composites. Tunnelling conductivity is an important mechanism for obtaining a good electrically conductive and highly sensitive strain sensor for the specimen [2]. The curve for FCRR started to increase linearly and became smooth for 3 and 5 wt% after the nanofiller content was increased, although the exponential curve trend was similar for all specimens, as shown in Figure 4(c) and (d). The smoother electrical response curves were attributed to the creation of a higher contact of conductive paths along the epoxy because of the higher number of nanofiller particles present in the composite. One study reported that smoother curves occurred after the addition of the nanofiller, and good sensitivity was achieved when the nanofiller content was close to p c [36]. The minimum GNP and MWCNT nanofiller content added results in a good conductive composite.
3.4 Damage sensing behaviour using FCRR method
The stress applied to the specimen in the tensile and flexural tests resulted in a strain that caused an incremental increase in electrical resistance. The failure of testing corresponds to the breakage and damage detected as an increase in electrical resistance that comprises two stages, as shown in Figures 3 and 4. This damage behaviour depends on the disruption of the conductive network pathway. Macroscopic damage generally includes matrix cracking, fibre–matrix interfacial debonding, transverse cracking, delamination, fibre breakage, and fibre pull-out [14,40]. The damage evolution and FESEM images of the GNP-glass and MWCNT-glass composites are presented in Figure 5. There was an increase in the electrical resistance before the crack started to propagate. The breakage of the electrical network resulted from the formation of internal damages; even at high strain, the tunnelling effect plays a role in piezoresistivity. This is because the GNP and MWCNT particles start to separate from each other and induce new tunnelling links that result in a further increase in the sensitivity [6]. The FCRR curves in stage 1 (also called the “elastic region”) tend to have a more stable dependence on the applied strain up to 0.025 and 0.02 for the tensile and flexural test, respectively. This curve presents a linear relationship corresponding to the initial matrix microcracking in the composite, as shown in Figure 5(a) and (b), thus providing an early warning for the destruction of the specimen. The FCRR variation increases slightly and can be exemplified by the relationship between the electrical resistance and geometric properties of the specimen equation (2). When the load was applied to the specimen, the length started to increase, and the cross-sectional area started to diminish, leading to an increase in the electrical resistance.

Damage illustration and FESEM images for GNP-glass and MWCNT-glass composites: (a) and (b) matrix microcrack, (c) and (d) interfacial bonding and transverse crack, and (e) and (f) delamination, fibre breakage, and longitudinal crack.
The FCRR displays a more irregular shape as the strain increases during stage 2, which can be called the damage-sensing response (damage area). The microcrack growth, transverse crack, and fibre-matrix interfacial debonding are shown in Figure 5(c) and (d). The transverse crack and interfacial debonding probably induce more damage to the conductive network in the composite, as reported by Harizi et al. [41]. At a strain between 0.04 and 0.05, the FCRR curve rose rapidly at the end of stage 2. This failure behaviour of the specimen was caused by the continuous breakage of electrical pathways because of the rupture of the glass fibre, which restricts the electrical current flow.
Figure 5(e) and (f) illustrates the delamination, fibre breakage, and longitudinal cracking or splitting occurring after stage 2. This further breakup of the conduction path led to an increase in the resistivity of the composite. This phenomenon can be explained by the proposed deformation mechanism in a schematic form referred to in the modelling of the tunnelling effect and contact conduction mechanism. A previous study found that the increase in electrical resistance was linked to the failure behaviour of the specimen [14,42,43,44]. This failure may occur at the stages of transverse cracking, interfacial debonding, delamination, and glass fibre breakage. Under mechanical loading, the GNP and MWCNT nanofillers in the composite is oriented, cramped, and folded, resulting in electrical resistance changes [6,40]. The contact resistance between the conductive nanofiller resulting from the tunnelling effect was an important deformation factor of the resistance changes in the composite. A further increase in the strain caused the tunnelling conductive paths for the GNP and MWCNT nanofillers to be broken.
The FCRR exhibits an exponential variable at the beginning with the increase in strain, and it rises abruptly when the specimen fails, as illustrated in Figures 3 and 4. Specifically, the FCRRs of GNP-glass and MWCNT-glass with different nanofiller contents show nonlinear behaviour resulting from the tunnelling effect, which plays a dominant role in the electrical characterisation. As reported in previous literature, the piezoresistive mechanism of conductive composite-based strain sensors is described by the tunnelling effect [6,45,46]. The variation in the electrical resistance changes can be mainly attributed to different conductive mechanisms, such as tunnelling conduction and contact conduction theory. The possible tunnelling path and random modelling distribution were observed using FESEM, as shown in Figures 6 and 7. The tunnelling theory is derived based on Simmon’s formula presented in equation (3) to explore the strain-sensing behaviour of the conductive composite [6].
where L is the number of particles forming a single conductive path, R t is the tunnelling resistance, N is the number of conductive pathways, h is Planck’s constant, d is the tunnel width, a is the effective cross section, e is the electron charge, m is the mass of the electron, and φ is the height of the potential barrier.

Tunnelling effect: (a) FESEM image of possible tunnelling effect of GNP and (b) modelling distribution of GNP in epoxy.

Contacting conduction: (a) FESEM image of possible contacting conduction among GNPs and (b) modelling distribution of GNP in epoxy.
According to tunnelling theory, electrons can tunnel through insulating material under certain conditions, resulting in transmission between the electrons of the conductive nanofiller [40]. The electrical resistance is altered owing to the separation of the conductive nanofiller and changes in the interparticle distance. In equation (3), the exponent indicates that an increase in the tunnel width can lead to an increase in the tunnelling resistance. This might explain the irregular shape with the changing tunnelling gaps resulting in varying strain, such as in stage 2. With further increase in strain, some tunnelling conductive paths break, increasing the tunnelling resistance. With a constant strain, the distance between adjacent nanofillers exceeds the tunnelling gap because of the deformation of epoxy; thus, the tunnelling conduction gradually disappears. This also suggests that the variation in the resistivity was contributed by the contact conduction. Figure 7 shows an FESEM image and the modelling distribution of the contacting conduction path between adjacent GNPs. For the GNP nanofiller with two contact points at i and ii, the resistance can be expressed as equation (4) [40].
where L i ii is the distance between the two contacting points, σ is the electrical conductivity, and S is the cross-sectional area of the GNP. Based on equation (4), one can conclude that the resistance increases with increasing distance of the two contacting conduction points during loading. This may be the main reason why the FCRR exhibits an increasing change under a larger strain.
The gauge factor (GF) is a strain sensitivity coefficient that can be referred to as the ratio of the relative change between the fractional electrical resistance changes and the strain given by equation (5) [47]. The GF values of the GNP-glass and MWCNT-glass composites were calculated from the slope of the FCCR versus the strain graph, as shown in Table 2. The GF value was affected by the nanofiller content and strain applied during mechanical loading. The specimen with a lower weight content (0.5 wt%) exhibited a higher GF under the applied strain of tensile and flexural loading. The maximum value of GF achieved at 0.5 wt% was reduced with the further addition of GNP and MWCNT nanofillers. This larger GF was caused by the smaller number of conductive networks inside the composite; thus, the FCRR was larger. Moreover, the GF was contributed by the types and content of the conductive nanofiller, as well as the type of matrix reinforced with the fibre [40,48]. Thus, the values of GF of the GNP-glass and MWCNT-glass composites were sufficient to determine the sensitivity for strain monitoring (Table 3).
GF value of GNP-glass and MWCNT-glass composites
| Nanofiller loading (wt%) | Tensile test | Flexural test |
|---|---|---|
| 0.5 GNP | 10.9 | 6.6 |
| 1.5 GNP | 8.5 | 6.1 |
| 3 GNP | 6.1 | 5.1 |
| 5 GNP | 3.6 | 3.1 |
| 0.5 MWCNT | 13.5 | 7.5 |
| 1.5 MWCNT | 9.3 | 6.9 |
| 3 MWCNT | 6.8 | 5.6 |
| 5 MWCNT | 6.2 | 4.2 |
From recent literature, Table 4 represent the GF and strain range of carbon-based self-sensing composite (GNP and MWCNT). Xiang et al. [6] found a high gauge factor and stretchability, but the FCRR-strain response (Figures 3 and 4) in current work can identify the various failure modes of GNP-glass and MWCNT-glass composites. The current study’s GF and linearity are comparable to Xiang et al. [6] and Esmaeili et al. [11], but they has better stretchability. Moriche et al. [14], depending on the GNP content, demonstrated higher gauge factor and stretchability than the current result. Their electrical resistance response is exponential and linear, but difficult to determine the various modes of failure.
Comparison of carbon-based (GNP and MWCNT) self-sensing composite
| Polymer matrix | Method | Gauge factor | Strain range | Ref. |
|---|---|---|---|---|
| GNP/HDPE | Solution assisted mixing | 23.5 (3 wt%) | ɛ < 10% | [6] |
| GNP/Epoxy | Direct mixing | ∼13 (3 wt%) ∼12 (5 wt%) | ɛ < 3.5% | [14] |
| CNF/Epoxy | Solution mixing | ∼14 (0.5 wt%) 2 (1.5 wt%) | ɛ < 3% | [40] |
| SWCNT/Epoxy | Direct mixing | ∼3 (0.5 wt%) | ɛ < 2.5% | [11] |
| GNP/MWCNT/Epoxy | Direct mixing | 10.9 (0.5 wt% GNP), 8.5 (1.5 wt% GNP), 6.1 (3 wt% GNP), 3.1 (5 wt% GNP), 13.5 (0.5 wt% MWCNT), 9.3 (1.5 wt% MWCNT), 6.8 (3 wt% MWCNT), and 6.2 (5 wt% MWCNT) | ɛ < 5% | Current work |
3.5 Surface morphologies of fractured specimens
After mechanical testing, the fractured specimens were characterised by FESEM. This test reveals the image state of the dispersion content and random distribution of GNP and MWCNT nanofillers. Figure 8 shows the surface morphology of the specimen for the glass, GNP-glass, and MWCNT-glass composites to understand the interfacial interaction between the nanofiller and epoxy. The smooth surface and homogeneity of the glass composite can be recognised as a freeze–fracture surface from the rich epoxy area in the absence of nanofiller, as shown in Figure 8(a). The presence of nanofiller that penetrated the glass fibre formed conductive networks throughout the composite, as indicated by the red circle in Figure 8(b). The image with nanofiller in Figure 8(c)–(f), for the GNP-glass and MWCNT-glass composites, shows an uneven fracture surface that made the surface rougher. The rougher surface was tougher. This rough surface indicates a longer crack growth path that requires high energy for crack propagation and hence, enhances the mechanical properties of the GNP-glass and MWCNT-glass compared with the glass composite. The higher strength needed could result from the strong interfacial interaction between the GNP and MWCNT nanofillers within the epoxy [33,49]. When the nanofiller content is increased, a good distribution is difficult to obtain owing to the appearance of agglomeration. This results from the difficulty of stirring a bundle of all cluster nanofillers from the π–π interaction in the GNPs and van der Waals forces in the MWCNTs. Uniform dispersions of GNPs and MWCNTs were observed within the epoxy, as shown in Figure 8(d) and (f). Thus, increasing the weight percentage loading of GNP and MWCNT nanofiller to the optimal amount yields a nearly uniform distribution. This implies a certain level of adhesion, which indicates the effective stress transfer from the epoxy to the nanofiller. This leads to an improvement in the tensile and flexural properties. Although a high degree of agglomeration must be avoided during the preparation of the composite, agglomeration zones with diameters larger than 10 µm are needed to achieve sufficient electrical conductivity [50]. Furthermore, the clusters of GNP and MWCNT nanofillers can contribute to a higher electrical conductivity and lower p c. The good dispersion of the GNPs was attributed to the two-dimensional planar geometry, which resembled the layered clay structure in the epoxy [39]. This simplified process was suitable for the fabrication of GNP-glass and MWCNT-glass composites for proper sensor functionality, as reported by Sam-Daliri et al. [36].

FESEM images: (a) fracture surface of glass, (b)–(d) GNP-glass, and (e)–(f) MWCNT-glass composites.
4 Conclusion
In this study, the effects of GNP and MWCNT nanofillers on the electrical, mechanical, and damage self-sensing properties of GNP-glass and MWCNT-glass composites were investigated. Different nanofiller contents of GNP-epoxy and MWCNT-epoxy were prepared using high shear mixing and were infused into glass fibre using hand lay-up and vacuum bagging methods. The damage self-sensing capabilities of the specimens were examined using in situ electromechanical measurements upon mechanical loading. Conduction mechanisms based on percolation conduction theories, tunnelling conduction, and contact conduction were also explored. The following conclusions were drawn based on the extensive experimental study.
The electrical conductivities of the GNP-glass and MWCNT-glass composites increased with nanofiller content. Moreover, the p c values of the GNP-glass and MWCNT-glass composites were 2.55 and 2.50 wt%, respectively.
In the mechanical test, the tensile and flexural strengths of the composite improved with the addition of 0.5–3 wt% GNP and MWCNT nanofiller. This suggests that good interfacial adhesion exists between the nanofiller and epoxy of the composite.
The results show that the GNP-glass and MWCNT-glass composites containing 1.5, 3, and 5 wt% exhibit good damage self-sensing ability to monitor the damage response under tensile and flexural loading until their failure. A good damage response can be reflected by the softening changes in the electrical resistance curves.
The FCRR and strain curves can be classified into two stages that correspond to different damage levels, such as matrix microcrack, fibre–matrix interfacial debonding, transverse cracking, delamination, and glass fibre breakage, which can be observed in the FESEM images.
The mechanism that plays a major role in the composite sensor is based on the FCRR induced by the tunnelling resistance and contact conduction. This study provides important information for the development of a smart material structure for damage monitoring.
Acknowledgments
The authors acknowledge the Faculty of Mechanical Engineering Technology and the Faculty of Electronic Engineering Technology of the Universiti Malaysia Perlis (UniMAP), and Prince Sattam Bin Abdulaziz University for their assistance and providing facilities.
-
Funding information: This work was financed by the Ministry of Higher Education, Malaysia, through the Fundamental Research Grant Scheme (Ref: FRGS/1/2018/STG07/UNIMAP/02/1).
-
Author contributions: All authors have accepted responsibility for the entire content of this manuscript and approved its submission.
-
Conflict of interest: The authors state no conflict of interest.
-
Data availability statement: The datasets generated during and/or analysed during the current study are available from the corresponding author on reasonable request.
References
[1] Lu S, Tian C, Wang X, Chen D, Ma K, Leng J, et al. Health monitoring for composite materials with high linear and sensitivity GNPs/epoxy flexible strain sensors. Sensors Actuators A Phys. 2017;267:409–16.10.1016/j.sna.2017.10.047Search in Google Scholar
[2] Kim YJ, Cha JY, Ham H, Huh H, So DS, Kang I. Preparation of piezoresistive nano smart hybrid material based on graphene. Curr Appl Phys. 2011;11:S350–2.10.1016/j.cap.2010.11.022Search in Google Scholar
[3] Rathinavel S, Priyadharshini K, Panda D. A review on carbon nanotube: An overview of synthesis, properties, functionalization, characterization, and the application. Mater Sci Eng B. 2021;268:115095.10.1016/j.mseb.2021.115095Search in Google Scholar
[4] Kausar A, Taherian R. Electrical conductivity behavior of polymer nanocomposite with carbon nanofillers. In: Plastics design library, electrical conductivity in polymer-based composites. William Andrew Publishing; 2019. p. 41–72. Elsevier Inc; 2018. 10.1016/B978-0-12-812541-0.00003-3.Search in Google Scholar
[5] Bae J-H, Lee S-W, Chang S-H. Characterization of low-velocity impact-induced damages in carbon/epoxy composite laminates using a poly(vinylidene fluoride–trifluoroethylene) film sensor. Compos Part B Eng. 2018;135:189–200.10.1016/j.compositesb.2017.10.008Search in Google Scholar
[6] Xiang D, Wang L, Tang Y, Harkin-Jones E, Zhao C, Wang P, et al. Damage self-sensing behavior of carbon nanofiller reinforced polymer composites with different conductive network structures. Polymer (Guildf). 2018;158:308–19.10.1016/j.polymer.2018.11.007Search in Google Scholar
[7] Al-Bahrani M, Gombos ZJ, Cree A. Investigation of the constancy of the MWCNTs on the fibres’ surface for manufactured self-sensing composites. Compos Part B Eng. 2019;173:106998.10.1016/j.compositesb.2019.106998Search in Google Scholar
[8] Ridzuan MJM, Abdul Majid MS, Khasri A, Cheng EM, Razlan ZM. Effect of natural filler loading, multi-walled carbon nanotubes (MWCNTs), and moisture absorption on the dielectric constant of natural filled epoxy composites. Mater Sci Eng B. 2020;262:114744.10.1016/j.mseb.2020.114744Search in Google Scholar
[9] Bigdilou BM, Eslami-Farsani R, Ebrahimnezhad-Khaljiri H, Mohammadi MA. Experimental assessment of adding carbon nanotubes on the impact properties of Kevlar-ultrahigh molecular weight polyethylene fibers hybrid composites. J Ind Text. 2020;152808372092148. 10.1177/1528083720921483.Search in Google Scholar
[10] Kim J, Cha J, Chung B, Ryu S, Hong SH. Fabrication and mechanical properties of carbon fiber/epoxy nanocomposites containing high loadings of noncovalently functionalized graphene nanoplatelets. Compos Sci Technol. 2020;192:108101.10.1016/j.compscitech.2020.108101Search in Google Scholar
[11] Esmaeili A, Sbarufatti C, Ma D, Manes A, Jiménez-Suárez A, Ureña A, et al. Strain and crack growth sensing capability of SWCNT reinforced epoxy in tensile and mode I fracture tests. Compos Sci Technol. 2020;186:107918.10.1016/j.compscitech.2019.107918Search in Google Scholar
[12] Cortés A, Sánchez-Romate XF, Jiménez-Suárez A, Campo M, Ureña A, Prolongo SG. Mechanical and strain-sensing capabilities of carbon nanotube reinforced composites by digital light processing 3D printing technology. Polymers (Basel). 2020;12:975.10.37247/PAPT.1.2020.16Search in Google Scholar
[13] Qureshi Y, Tarfaoui M, Lafdi K. Fabrication and electromechanical performance of carbon nanotube based conductive membrane and its application in real-time multimode strain detection in composites. Mater Sci Eng B. 2021;268:115120.10.1016/j.mseb.2021.115120Search in Google Scholar
[14] Moriche R, Sánchez M, Jiménez-Suárez A, Prolongo SG, Ureña A. Strain monitoring mechanisms of sensors based on the addition of graphene nanoplatelets into an epoxy matrix. Compos Sci Technol. 2016;123:65–70.10.1016/j.compscitech.2015.12.002Search in Google Scholar
[15] Zha J-W, Zhang B, Li RKY, Dang Z-M. High-performance strain sensors based on functionalized graphene nanoplates for damage monitoring. Compos Sci Technol. 2016;123:32–8.10.1016/j.compscitech.2015.11.028Search in Google Scholar
[16] Ridzuan MJM, Abdul Majid MS, Khasri A, Gan EHD, Razlan ZM, Syahrullail S. Effect of pineapple leaf (PALF), napier, and hemp fibres as filler on the scratch resistance of epoxy composites. J Mater Res Technol. 2019;8:5384–95.10.1016/j.jmrt.2019.09.005Search in Google Scholar
[17] Moosa AA, Ahmad Ramazani SA, Kubba FAK, Raad M. Synergetic effects of graphene and nonfunctionalized carbon nanotubes hybrid reinforced epoxy matrix on mechanical, thermal and wettability properties of nanocomposites. Am J Mater Sci. 2017;7:1–11.Search in Google Scholar
[18] Sánchez-Romate XF, Terán P, Prolongo SG, Sánchez M, Ureña A. Hydrothermal ageing on self-sensing bonded joints with novel carbon nanomaterial reinforced adhesive films. Polym Degrad Stab. 2020;177:109170.10.1016/j.polymdegradstab.2020.109170Search in Google Scholar
[19] Ridzuan MJM, Majid MS, Afendi M, Mazlee MN, Gibson AG. Thermal behaviour and dynamic mechanical analysis of Pennisetum purpureum/glass-reinforced epoxy hybrid composites. Compos Struct. 2016;152:850–9.10.1016/j.compstruct.2016.06.026Search in Google Scholar
[20] D257 A. Standard test methods for DC resistance or conductance of insulating materials; 2012.Search in Google Scholar
[21] Wang L, Aslani F. Self-sensing performance of cementitious composites with functional fillers at macro, micro and nano scales. Constr Build Mater. 2022;314:125679.10.1016/j.conbuildmat.2021.125679Search in Google Scholar
[22] D3039 A. Standard test method for tensile properties of polymer matrix composite materials; 2014.Search in Google Scholar
[23] D7264 A. Standard test method for flexural properties of polymer matrix composite materials; 2014.Search in Google Scholar
[24] Reddy SK, Kumar S, Varadarajan KM, Marpu PR, Gupta TK, Choosri M. Strain and damage-sensing performance of biocompatible smart CNT/UHMWPE nanocomposites. Mater Sci Eng C. 2018;92:957–68.10.1016/j.msec.2018.07.029Search in Google Scholar PubMed
[25] Mondal S, Ravindren R, Bhawal P, Shin B, Ganguly S, Nah C, et al. Combination effect of carbon nanofiber and ketjen carbon black hybrid nanofillers on mechanical, electrical, and electromagnetic interference shielding properties of chlorinated polyethylene nanocomposites. Compos Part B Eng. 2020;197:108071.10.1016/j.compositesb.2020.108071Search in Google Scholar
[26] Arif MF, Kumar S, Gupta TK, Varadarajan KM. Strong linear-piezoresistive-response of carbon nanostructures reinforced hyperelastic polymer nanocomposites. Compos Part A Appl Sci Manuf. 2018;113:141–9.10.1016/j.compositesa.2018.07.021Search in Google Scholar
[27] He L, Tjong SC. Facile synthesis of silver-decorated reduced graphene oxide as a hybrid filler material for electrically conductive polymer composites. RSC Adv. 2015;5:15070–6.10.1039/C5RA00257ESearch in Google Scholar
[28] Bouhamed A, Al-Hamry A, Müller C, Choura S, Kanoun O. Assessing the electrical behaviour of MWCNTs/epoxy nanocomposite for strain sensing. Compos Part B Eng. 2017;128:91–9.10.1016/j.compositesb.2017.07.005Search in Google Scholar
[29] Cao X, Wei X, Li G, Hu C, Dai K, Guo J, et al. Strain sensing behaviors of epoxy nanocomposites with carbon nanotubes under cyclic deformation. Polymer (Guildf). 2017;112:1–9.10.1016/j.polymer.2017.01.068Search in Google Scholar
[30] Gu H, Zhang H, Ma C, Xu X, Wang Y, Wang Z, et al. Trace electrosprayed nanopolystyrene facilitated dispersion of multiwalled carbon nanotubes: Simultaneously strengthening and toughening epoxy. Carbon N Y. 2019;142:131–40.10.1016/j.carbon.2018.10.029Search in Google Scholar
[31] Bai L, He S, Fruehwirth JW, Stein A, Macosko CW, Cheng X. Localizing graphene at the interface of cocontinuous polymer blends: Morphology, rheology, and conductivity of cocontinuous conductive polymer composites. J Rheol (N Y). 2017;61:575–87.10.1122/1.4982702Search in Google Scholar
[32] Hashemi R, Weng GJ. A theoretical treatment of graphene nanocomposites with percolation threshold, tunneling-assisted conductivity and microcapacitor effect in AC and DC electrical settings. Carbon N Y. 2016;96:474–90.10.1016/j.carbon.2015.09.103Search in Google Scholar
[33] Souri H, Yu J, Jeon H, Kim JW, Yang C-M, You N-H, et al. A theoretical study on the piezoresistive response of carbon nanotubes embedded in polymer nanocomposites in an elastic region. Carbon N Y. 2017;120:427–37.10.1016/j.carbon.2017.05.059Search in Google Scholar
[34] Kim JH, Shin PS, Kwon DJ, Park JM. 2D electrical resistance (ER) mapping to detect damage for carbon fiber reinforced polyamide composites under tensile and flexure loading. Compos Sci Technol. 2021;201:108480.10.1016/j.compscitech.2020.108480Search in Google Scholar
[35] Seretis GV, Kouzilos G, Manolakos DE, Provatidis CG. On the graphene nanoplatelets reinforcement of hand lay-up glass fabric/epoxy laminated composites. Compos Part B Eng. 2017;118:26–32.10.1016/j.compositesb.2017.03.015Search in Google Scholar
[36] Sam-Daliri O, Faller L-M, Farahani M, Roshanghias A, Oberlercher H, Mitterer T, et al. MWCNT-epoxy nanocomposite sensors for structural health monitoring. Electronics. 2018;7:143.10.3390/electronics7080143Search in Google Scholar
[37] Ghaleb ZA, Mariatti M, Ariff ZM. Graphene nanoparticle dispersion in epoxy thin film composites for electronic applications: effect on tensile, electrical and thermal properties. J Mater Sci Mater Electron. 2017;28:808–17.10.1007/s10854-016-5594-ySearch in Google Scholar
[38] Li J, Wong PS, Kim JK. Hybrid nanocomposites containing carbon nanotubes and graphite nanoplatelets. Mater Sci Eng A. 2008;483–484:660–3.10.1016/j.msea.2006.08.145Search in Google Scholar
[39] Inuwa IM, Arjmandi R, Ibrahim AN, Haafiz MKM, Wong SL, Majeed K, et al. Enhanced mechanical and thermal properties of hybrid graphene nanoplatelets/multiwall carbon nanotubes reinforced polyethylene terephthalate nanocomposites. Fibers Polym. 2016;17:1657–66.10.1007/s12221-016-6238-9Search in Google Scholar
[40] Wang Y, Wang Y, Wan B, Han B, Cai G, Chang R. Strain and damage self-sensing of basalt fiber reinforced polymer laminates fabricated with carbon nanofibers/epoxy composites under tension. Compos Part A Appl Sci Manuf. 2018;113:40–52.10.1016/j.compositesa.2018.07.017Search in Google Scholar
[41] Harizi W, Azzouz R, Martins AT, Hamdi K, Aboura Z, Khellil K. Electrical resistance variation during tensile and self-heating tests conducted on thermoplastic polymer-matrix composites. Compos Struct. 2019;224:111001.10.1016/j.compstruct.2019.111001Search in Google Scholar
[42] Luan C, Yao X, Zhang C, Fu J, Wang B. Integrated self-monitoring and self-healing continuous carbon fiber reinforced thermoplastic structures using dual-material three-dimensional printing technology. Compos Sci Technol. 2020;188:107986.10.1016/j.compscitech.2019.107986Search in Google Scholar
[43] Sánchez-Romate XF, Moriche R, Jiménez-Suárez A, Sánchez M, Güemes A, Ureña A. An approach using highly sensitive carbon nanotube adhesive films for crack growth detection under flexural load in composite structures. Compos Struct. 2019;224:111087.10.1016/j.compstruct.2019.111087Search in Google Scholar
[44] Park K, Scaccabarozzi D, Sbarufatti C, Jimenez-Suarez A, Ureña A, Ryu S, et al. Coupled health monitoring system for CNT-doped self-sensing composites. Carbon N Y. 2020;166:193–204.10.1016/j.carbon.2020.04.060Search in Google Scholar
[45] Zhao J, He C, Yang R, Shi Z, Cheng M, Yang W, et al. Ultra-sensitive strain sensors based on piezoresistive nanographene films. Appl Phys Lett. 2012;101:063112.10.1063/1.4742331Search in Google Scholar
[46] Wang X, Meng S, Tebyetekerwa M, Li Y, Pionteck J, Sun B, et al. Highly sensitive and stretchable piezoresistive strain sensor based on conductive poly(styrene-butadiene-styrene)/few layer graphene composite fiber. Compos Part A Appl Sci Manuf. 2018;105:291–9.10.1016/j.compositesa.2017.11.027Search in Google Scholar
[47] Bragaglia M, Paleari L, Lamastra FR, Puglia D, Fabbrocino F, Nanni F. Graphene nanoplatelet, multiwall carbon nanotube, and hybrid multiwall carbon nanotube–graphene nanoplatelet epoxy nanocomposites as strain sensing coatings. J Reinf Plast Compos. 2021;40:632–43.10.1177/0731684421994324Search in Google Scholar
[48] Dul S, Pegoretti A, Fambri L. Fused filament fabrication of piezoresistive carbon nanotubes nanocomposites for strain monitoring. Front Mater. 2020;7:1–13.10.3389/fmats.2020.00012Search in Google Scholar
[49] Sarath Kumar P, Jayanarayanan K, Balachandran M. Thermal and mechanical behavior of functionalized MWCNT reinforced epoxy carbon fabric composites. Materials today: Proceedings. Vol. 24. Elsevier Ltd; 2020. p. 1157–6610.1016/j.matpr.2020.04.429Search in Google Scholar
[50] Georgousis G, Pandis C, Kalamiotis A, Georgiopoulos P, Kyritsis A, Kontou E, et al. Strain sensing in polymer/carbon nanotube composites by electrical resistance measurement. Compos Part B Eng. 2015;68:162–9.10.1016/j.compositesb.2014.08.027Search in Google Scholar
© 2022 Mohammad Asraf Alif Ahmad et al., published by De Gruyter
This work is licensed under the Creative Commons Attribution 4.0 International License.
Articles in the same Issue
- Research Articles
- Theoretical and experimental investigation of MWCNT dispersion effect on the elastic modulus of flexible PDMS/MWCNT nanocomposites
- Mechanical, morphological, and fracture-deformation behavior of MWCNTs-reinforced (Al–Cu–Mg–T351) alloy cast nanocomposites fabricated by optimized mechanical milling and powder metallurgy techniques
- Flammability and physical stability of sugar palm crystalline nanocellulose reinforced thermoplastic sugar palm starch/poly(lactic acid) blend bionanocomposites
- Glutathione-loaded non-ionic surfactant niosomes: A new approach to improve oral bioavailability and hepatoprotective efficacy of glutathione
- Relationship between mechano-bactericidal activity and nanoblades density on chemically strengthened glass
- In situ regulation of microstructure and microwave-absorbing properties of FeSiAl through HNO3 oxidation
- Research on a mechanical model of magnetorheological fluid different diameter particles
- Nanomechanical and dynamic mechanical properties of rubber–wood–plastic composites
- Investigative properties of CeO2 doped with niobium: A combined characterization and DFT studies
- Miniaturized peptidomimetics and nano-vesiculation in endothelin types through probable nano-disk formation and structure property relationships of endothelins’ fragments
- N/S co-doped CoSe/C nanocubes as anode materials for Li-ion batteries
- Synergistic effects of halloysite nanotubes with metal and phosphorus additives on the optimal design of eco-friendly sandwich panels with maximum flame resistance and minimum weight
- Octreotide-conjugated silver nanoparticles for active targeting of somatostatin receptors and their application in a nebulized rat model
- Controllable morphology of Bi2S3 nanostructures formed via hydrothermal vulcanization of Bi2O3 thin-film layer and their photoelectrocatalytic performances
- Development of (−)-epigallocatechin-3-gallate-loaded folate receptor-targeted nanoparticles for prostate cancer treatment
- Enhancement of the mechanical properties of HDPE mineral nanocomposites by filler particles modulation of the matrix plastic/elastic behavior
- Effect of plasticizers on the properties of sugar palm nanocellulose/cinnamon essential oil reinforced starch bionanocomposite films
- Optimization of nano coating to reduce the thermal deformation of ball screws
- Preparation of efficient piezoelectric PVDF–HFP/Ni composite films by high electric field poling
- MHD dissipative Casson nanofluid liquid film flow due to an unsteady stretching sheet with radiation influence and slip velocity phenomenon
- Effects of nano-SiO2 modification on rubberised mortar and concrete with recycled coarse aggregates
- Mechanical and microscopic properties of fiber-reinforced coal gangue-based geopolymer concrete
- Effect of morphology and size on the thermodynamic stability of cerium oxide nanoparticles: Experiment and molecular dynamics calculation
- Mechanical performance of a CFRP composite reinforced via gelatin-CNTs: A study on fiber interfacial enhancement and matrix enhancement
- A practical review over surface modification, nanopatterns, emerging materials, drug delivery systems, and their biophysiochemical properties for dental implants: Recent progresses and advances
- HTR: An ultra-high speed algorithm for cage recognition of clathrate hydrates
- Effects of microalloying elements added by in situ synthesis on the microstructure of WCu composites
- A highly sensitive nanobiosensor based on aptamer-conjugated graphene-decorated rhodium nanoparticles for detection of HER2-positive circulating tumor cells
- Progressive collapse performance of shear strengthened RC frames by nano CFRP
- Core–shell heterostructured composites of carbon nanotubes and imine-linked hyperbranched polymers as metal-free Li-ion anodes
- A Galerkin strategy for tri-hybridized mixture in ethylene glycol comprising variable diffusion and thermal conductivity using non-Fourier’s theory
- Simple models for tensile modulus of shape memory polymer nanocomposites at ambient temperature
- Preparation and morphological studies of tin sulfide nanoparticles and use as efficient photocatalysts for the degradation of rhodamine B and phenol
- Polyethyleneimine-impregnated activated carbon nanofiber composited graphene-derived rice husk char for efficient post-combustion CO2 capture
- Electrospun nanofibers of Co3O4 nanocrystals encapsulated in cyclized-polyacrylonitrile for lithium storage
- Pitting corrosion induced on high-strength high carbon steel wire in high alkaline deaerated chloride electrolyte
- Formulation of polymeric nanoparticles loaded sorafenib; evaluation of cytotoxicity, molecular evaluation, and gene expression studies in lung and breast cancer cell lines
- Engineered nanocomposites in asphalt binders
- Influence of loading voltage, domain ratio, and additional load on the actuation of dielectric elastomer
- Thermally induced hex-graphene transitions in 2D carbon crystals
- The surface modification effect on the interfacial properties of glass fiber-reinforced epoxy: A molecular dynamics study
- Molecular dynamics study of deformation mechanism of interfacial microzone of Cu/Al2Cu/Al composites under tension
- Nanocolloid simulators of luminescent solar concentrator photovoltaic windows
- Compressive strength and anti-chloride ion penetration assessment of geopolymer mortar merging PVA fiber and nano-SiO2 using RBF–BP composite neural network
- Effect of 3-mercapto-1-propane sulfonate sulfonic acid and polyvinylpyrrolidone on the growth of cobalt pillar by electrodeposition
- Dynamics of convective slippery constraints on hybrid radiative Sutterby nanofluid flow by Galerkin finite element simulation
- Preparation of vanadium by the magnesiothermic self-propagating reduction and process control
- Microstructure-dependent photoelectrocatalytic activity of heterogeneous ZnO–ZnS nanosheets
- Cytotoxic and pro-inflammatory effects of molybdenum and tungsten disulphide on human bronchial cells
- Improving recycled aggregate concrete by compression casting and nano-silica
- Chemically reactive Maxwell nanoliquid flow by a stretching surface in the frames of Newtonian heating, nonlinear convection and radiative flux: Nanopolymer flow processing simulation
- Nonlinear dynamic and crack behaviors of carbon nanotubes-reinforced composites with various geometries
- Biosynthesis of copper oxide nanoparticles and its therapeutic efficacy against colon cancer
- Synthesis and characterization of smart stimuli-responsive herbal drug-encapsulated nanoniosome particles for efficient treatment of breast cancer
- Homotopic simulation for heat transport phenomenon of the Burgers nanofluids flow over a stretching cylinder with thermal convective and zero mass flux conditions
- Incorporation of copper and strontium ions in TiO2 nanotubes via dopamine to enhance hemocompatibility and cytocompatibility
- Mechanical, thermal, and barrier properties of starch films incorporated with chitosan nanoparticles
- Mechanical properties and microstructure of nano-strengthened recycled aggregate concrete
- Glucose-responsive nanogels efficiently maintain the stability and activity of therapeutic enzymes
- Tunning matrix rheology and mechanical performance of ultra-high performance concrete using cellulose nanofibers
- Flexible MXene/copper/cellulose nanofiber heat spreader films with enhanced thermal conductivity
- Promoted charge separation and specific surface area via interlacing of N-doped titanium dioxide nanotubes on carbon nitride nanosheets for photocatalytic degradation of Rhodamine B
- Elucidating the role of silicon dioxide and titanium dioxide nanoparticles in mitigating the disease of the eggplant caused by Phomopsis vexans, Ralstonia solanacearum, and root-knot nematode Meloidogyne incognita
- An implication of magnetic dipole in Carreau Yasuda liquid influenced by engine oil using ternary hybrid nanomaterial
- Robust synthesis of a composite phase of copper vanadium oxide with enhanced performance for durable aqueous Zn-ion batteries
- Tunning self-assembled phases of bovine serum albumin via hydrothermal process to synthesize novel functional hydrogel for skin protection against UVB
- A comparative experimental study on damping properties of epoxy nanocomposite beams reinforced with carbon nanotubes and graphene nanoplatelets
- Lightweight and hydrophobic Ni/GO/PVA composite aerogels for ultrahigh performance electromagnetic interference shielding
- Research on the auxetic behavior and mechanical properties of periodically rotating graphene nanostructures
- Repairing performances of novel cement mortar modified with graphene oxide and polyacrylate polymer
- Closed-loop recycling and fabrication of hydrophilic CNT films with high performance
- Design of thin-film configuration of SnO2–Ag2O composites for NO2 gas-sensing applications
- Study on stress distribution of SiC/Al composites based on microstructure models with microns and nanoparticles
- PVDF green nanofibers as potential carriers for improving self-healing and mechanical properties of carbon fiber/epoxy prepregs
- Osteogenesis capability of three-dimensionally printed poly(lactic acid)-halloysite nanotube scaffolds containing strontium ranelate
- Silver nanoparticles induce mitochondria-dependent apoptosis and late non-canonical autophagy in HT-29 colon cancer cells
- Preparation and bonding mechanisms of polymer/metal hybrid composite by nano molding technology
- Damage self-sensing and strain monitoring of glass-reinforced epoxy composite impregnated with graphene nanoplatelet and multiwalled carbon nanotubes
- Thermal analysis characterisation of solar-powered ship using Oldroyd hybrid nanofluids in parabolic trough solar collector: An optimal thermal application
- Pyrene-functionalized halloysite nanotubes for simultaneously detecting and separating Hg(ii) in aqueous media: A comprehensive comparison on interparticle and intraparticle excimers
- Fabrication of self-assembly CNT flexible film and its piezoresistive sensing behaviors
- Thermal valuation and entropy inspection of second-grade nanoscale fluid flow over a stretching surface by applying Koo–Kleinstreuer–Li relation
- Mechanical properties and microstructure of nano-SiO2 and basalt-fiber-reinforced recycled aggregate concrete
- Characterization and tribology performance of polyaniline-coated nanodiamond lubricant additives
- Combined impact of Marangoni convection and thermophoretic particle deposition on chemically reactive transport of nanofluid flow over a stretching surface
- Spark plasma extrusion of binder free hydroxyapatite powder
- An investigation on thermo-mechanical performance of graphene-oxide-reinforced shape memory polymer
- Effect of nanoadditives on the novel leather fiber/recycled poly(ethylene-vinyl-acetate) polymer composites for multifunctional applications: Fabrication, characterizations, and multiobjective optimization using central composite design
- Design selection for a hemispherical dimple core sandwich panel using hybrid multi-criteria decision-making methods
- Improving tensile strength and impact toughness of plasticized poly(lactic acid) biocomposites by incorporating nanofibrillated cellulose
- Green synthesis of spinel copper ferrite (CuFe2O4) nanoparticles and their toxicity
- The effect of TaC and NbC hybrid and mono-nanoparticles on AA2024 nanocomposites: Microstructure, strengthening, and artificial aging
- Excited-state geometry relaxation of pyrene-modified cellulose nanocrystals under UV-light excitation for detecting Fe3+
- Effect of CNTs and MEA on the creep of face-slab concrete at an early age
- Effect of deformation conditions on compression phase transformation of AZ31
- Application of MXene as a new generation of highly conductive coating materials for electromembrane-surrounded solid-phase microextraction
- A comparative study of the elasto-plastic properties for ceramic nanocomposites filled by graphene or graphene oxide nanoplates
- Encapsulation strategies for improving the biological behavior of CdS@ZIF-8 nanocomposites
- Biosynthesis of ZnO NPs from pumpkin seeds’ extract and elucidation of its anticancer potential against breast cancer
- Preliminary trials of the gold nanoparticles conjugated chrysin: An assessment of anti-oxidant, anti-microbial, and in vitro cytotoxic activities of a nanoformulated flavonoid
- Effect of micron-scale pores increased by nano-SiO2 sol modification on the strength of cement mortar
- Fractional simulations for thermal flow of hybrid nanofluid with aluminum oxide and titanium oxide nanoparticles with water and blood base fluids
- The effect of graphene nano-powder on the viscosity of water: An experimental study and artificial neural network modeling
- Development of a novel heat- and shear-resistant nano-silica gelling agent
- Characterization, biocompatibility and in vivo of nominal MnO2-containing wollastonite glass-ceramic
- Entropy production simulation of second-grade magnetic nanomaterials flowing across an expanding surface with viscidness dissipative flux
- Enhancement in structural, morphological, and optical properties of copper oxide for optoelectronic device applications
- Aptamer-functionalized chitosan-coated gold nanoparticle complex as a suitable targeted drug carrier for improved breast cancer treatment
- Performance and overall evaluation of nano-alumina-modified asphalt mixture
- Analysis of pure nanofluid (GO/engine oil) and hybrid nanofluid (GO–Fe3O4/engine oil): Novel thermal and magnetic features
- Synthesis of Ag@AgCl modified anatase/rutile/brookite mixed phase TiO2 and their photocatalytic property
- Mechanisms and influential variables on the abrasion resistance hydraulic concrete
- Synergistic reinforcement mechanism of basalt fiber/cellulose nanocrystals/polypropylene composites
- Achieving excellent oxidation resistance and mechanical properties of TiB2–B4C/carbon aerogel composites by quick-gelation and mechanical mixing
- Microwave-assisted sol–gel template-free synthesis and characterization of silica nanoparticles obtained from South African coal fly ash
- Pulsed laser-assisted synthesis of nano nickel(ii) oxide-anchored graphitic carbon nitride: Characterizations and their potential antibacterial/anti-biofilm applications
- Effects of nano-ZrSi2 on thermal stability of phenolic resin and thermal reusability of quartz–phenolic composites
- Benzaldehyde derivatives on tin electroplating as corrosion resistance for fabricating copper circuit
- Mechanical and heat transfer properties of 4D-printed shape memory graphene oxide/epoxy acrylate composites
- Coupling the vanadium-induced amorphous/crystalline NiFe2O4 with phosphide heterojunction toward active oxygen evolution reaction catalysts
- Graphene-oxide-reinforced cement composites mechanical and microstructural characteristics at elevated temperatures
- Gray correlation analysis of factors influencing compressive strength and durability of nano-SiO2 and PVA fiber reinforced geopolymer mortar
- Preparation of layered gradient Cu–Cr–Ti alloy with excellent mechanical properties, thermal stability, and electrical conductivity
- Recovery of Cr from chrome-containing leather wastes to develop aluminum-based composite material along with Al2O3 ceramic particles: An ingenious approach
- Mechanisms of the improved stiffness of flexible polymers under impact loading
- Anticancer potential of gold nanoparticles (AuNPs) using a battery of in vitro tests
- Review Articles
- Proposed approaches for coronaviruses elimination from wastewater: Membrane techniques and nanotechnology solutions
- Application of Pickering emulsion in oil drilling and production
- The contribution of microfluidics to the fight against tuberculosis
- Graphene-based biosensors for disease theranostics: Development, applications, and recent advancements
- Synthesis and encapsulation of iron oxide nanorods for application in magnetic hyperthermia and photothermal therapy
- Contemporary nano-architectured drugs and leads for ανβ3 integrin-based chemotherapy: Rationale and retrospect
- State-of-the-art review of fabrication, application, and mechanical properties of functionally graded porous nanocomposite materials
- Insights on magnetic spinel ferrites for targeted drug delivery and hyperthermia applications
- A review on heterogeneous oxidation of acetaminophen based on micro and nanoparticles catalyzed by different activators
- Early diagnosis of lung cancer using magnetic nanoparticles-integrated systems
- Advances in ZnO: Manipulation of defects for enhancing their technological potentials
- Efficacious nanomedicine track toward combating COVID-19
- A review of the design, processes, and properties of Mg-based composites
- Green synthesis of nanoparticles for varied applications: Green renewable resources and energy-efficient synthetic routes
- Two-dimensional nanomaterial-based polymer composites: Fundamentals and applications
- Recent progress and challenges in plasmonic nanomaterials
- Apoptotic cell-derived micro/nanosized extracellular vesicles in tissue regeneration
- Electronic noses based on metal oxide nanowires: A review
- Framework materials for supercapacitors
- An overview on the reproductive toxicity of graphene derivatives: Highlighting the importance
- Antibacterial nanomaterials: Upcoming hope to overcome antibiotic resistance crisis
- Research progress of carbon materials in the field of three-dimensional printing polymer nanocomposites
- A review of atomic layer deposition modelling and simulation methodologies: Density functional theory and molecular dynamics
- Recent advances in the preparation of PVDF-based piezoelectric materials
- Recent developments in tensile properties of friction welding of carbon fiber-reinforced composite: A review
- Comprehensive review of the properties of fly ash-based geopolymer with additive of nano-SiO2
- Perspectives in biopolymer/graphene-based composite application: Advances, challenges, and recommendations
- Graphene-based nanocomposite using new modeling molecular dynamic simulations for proposed neutralizing mechanism and real-time sensing of COVID-19
- Nanotechnology application on bamboo materials: A review
- Recent developments and future perspectives of biorenewable nanocomposites for advanced applications
- Nanostructured lipid carrier system: A compendium of their formulation development approaches, optimization strategies by quality by design, and recent applications in drug delivery
- 3D printing customized design of human bone tissue implant and its application
- Design, preparation, and functionalization of nanobiomaterials for enhanced efficacy in current and future biomedical applications
- A brief review of nanoparticles-doped PEDOT:PSS nanocomposite for OLED and OPV
- Nanotechnology interventions as a putative tool for the treatment of dental afflictions
- Recent advancements in metal–organic frameworks integrating quantum dots (QDs@MOF) and their potential applications
- A focused review of short electrospun nanofiber preparation techniques for composite reinforcement
- Microstructural characteristics and nano-modification of interfacial transition zone in concrete: A review
- Latest developments in the upconversion nanotechnology for the rapid detection of food safety: A review
- Strategic applications of nano-fertilizers for sustainable agriculture: Benefits and bottlenecks
- Molecular dynamics application of cocrystal energetic materials: A review
- Synthesis and application of nanometer hydroxyapatite in biomedicine
- Cutting-edge development in waste-recycled nanomaterials for energy storage and conversion applications
- Biological applications of ternary quantum dots: A review
- Nanotherapeutics for hydrogen sulfide-involved treatment: An emerging approach for cancer therapy
- Application of antibacterial nanoparticles in orthodontic materials
- Effect of natural-based biological hydrogels combined with growth factors on skin wound healing
- Nanozymes – A route to overcome microbial resistance: A viewpoint
- Recent developments and applications of smart nanoparticles in biomedicine
- Contemporary review on carbon nanotube (CNT) composites and their impact on multifarious applications
- Interfacial interactions and reinforcing mechanisms of cellulose and chitin nanomaterials and starch derivatives for cement and concrete strength and durability enhancement: A review
- Diamond-like carbon films for tribological modification of rubber
- Layered double hydroxides (LDHs) modified cement-based materials: A systematic review
- Recent research progress and advanced applications of silica/polymer nanocomposites
- Modeling of supramolecular biopolymers: Leading the in silico revolution of tissue engineering and nanomedicine
- Recent advances in perovskites-based optoelectronics
- Biogenic synthesis of palladium nanoparticles: New production methods and applications
- A comprehensive review of nanofluids with fractional derivatives: Modeling and application
- Electrospinning of marine polysaccharides: Processing and chemical aspects, challenges, and future prospects
- Electrohydrodynamic printing for demanding devices: A review of processing and applications
- Rapid Communications
- Structural material with designed thermal twist for a simple actuation
- Recent advances in photothermal materials for solar-driven crude oil adsorption
Articles in the same Issue
- Research Articles
- Theoretical and experimental investigation of MWCNT dispersion effect on the elastic modulus of flexible PDMS/MWCNT nanocomposites
- Mechanical, morphological, and fracture-deformation behavior of MWCNTs-reinforced (Al–Cu–Mg–T351) alloy cast nanocomposites fabricated by optimized mechanical milling and powder metallurgy techniques
- Flammability and physical stability of sugar palm crystalline nanocellulose reinforced thermoplastic sugar palm starch/poly(lactic acid) blend bionanocomposites
- Glutathione-loaded non-ionic surfactant niosomes: A new approach to improve oral bioavailability and hepatoprotective efficacy of glutathione
- Relationship between mechano-bactericidal activity and nanoblades density on chemically strengthened glass
- In situ regulation of microstructure and microwave-absorbing properties of FeSiAl through HNO3 oxidation
- Research on a mechanical model of magnetorheological fluid different diameter particles
- Nanomechanical and dynamic mechanical properties of rubber–wood–plastic composites
- Investigative properties of CeO2 doped with niobium: A combined characterization and DFT studies
- Miniaturized peptidomimetics and nano-vesiculation in endothelin types through probable nano-disk formation and structure property relationships of endothelins’ fragments
- N/S co-doped CoSe/C nanocubes as anode materials for Li-ion batteries
- Synergistic effects of halloysite nanotubes with metal and phosphorus additives on the optimal design of eco-friendly sandwich panels with maximum flame resistance and minimum weight
- Octreotide-conjugated silver nanoparticles for active targeting of somatostatin receptors and their application in a nebulized rat model
- Controllable morphology of Bi2S3 nanostructures formed via hydrothermal vulcanization of Bi2O3 thin-film layer and their photoelectrocatalytic performances
- Development of (−)-epigallocatechin-3-gallate-loaded folate receptor-targeted nanoparticles for prostate cancer treatment
- Enhancement of the mechanical properties of HDPE mineral nanocomposites by filler particles modulation of the matrix plastic/elastic behavior
- Effect of plasticizers on the properties of sugar palm nanocellulose/cinnamon essential oil reinforced starch bionanocomposite films
- Optimization of nano coating to reduce the thermal deformation of ball screws
- Preparation of efficient piezoelectric PVDF–HFP/Ni composite films by high electric field poling
- MHD dissipative Casson nanofluid liquid film flow due to an unsteady stretching sheet with radiation influence and slip velocity phenomenon
- Effects of nano-SiO2 modification on rubberised mortar and concrete with recycled coarse aggregates
- Mechanical and microscopic properties of fiber-reinforced coal gangue-based geopolymer concrete
- Effect of morphology and size on the thermodynamic stability of cerium oxide nanoparticles: Experiment and molecular dynamics calculation
- Mechanical performance of a CFRP composite reinforced via gelatin-CNTs: A study on fiber interfacial enhancement and matrix enhancement
- A practical review over surface modification, nanopatterns, emerging materials, drug delivery systems, and their biophysiochemical properties for dental implants: Recent progresses and advances
- HTR: An ultra-high speed algorithm for cage recognition of clathrate hydrates
- Effects of microalloying elements added by in situ synthesis on the microstructure of WCu composites
- A highly sensitive nanobiosensor based on aptamer-conjugated graphene-decorated rhodium nanoparticles for detection of HER2-positive circulating tumor cells
- Progressive collapse performance of shear strengthened RC frames by nano CFRP
- Core–shell heterostructured composites of carbon nanotubes and imine-linked hyperbranched polymers as metal-free Li-ion anodes
- A Galerkin strategy for tri-hybridized mixture in ethylene glycol comprising variable diffusion and thermal conductivity using non-Fourier’s theory
- Simple models for tensile modulus of shape memory polymer nanocomposites at ambient temperature
- Preparation and morphological studies of tin sulfide nanoparticles and use as efficient photocatalysts for the degradation of rhodamine B and phenol
- Polyethyleneimine-impregnated activated carbon nanofiber composited graphene-derived rice husk char for efficient post-combustion CO2 capture
- Electrospun nanofibers of Co3O4 nanocrystals encapsulated in cyclized-polyacrylonitrile for lithium storage
- Pitting corrosion induced on high-strength high carbon steel wire in high alkaline deaerated chloride electrolyte
- Formulation of polymeric nanoparticles loaded sorafenib; evaluation of cytotoxicity, molecular evaluation, and gene expression studies in lung and breast cancer cell lines
- Engineered nanocomposites in asphalt binders
- Influence of loading voltage, domain ratio, and additional load on the actuation of dielectric elastomer
- Thermally induced hex-graphene transitions in 2D carbon crystals
- The surface modification effect on the interfacial properties of glass fiber-reinforced epoxy: A molecular dynamics study
- Molecular dynamics study of deformation mechanism of interfacial microzone of Cu/Al2Cu/Al composites under tension
- Nanocolloid simulators of luminescent solar concentrator photovoltaic windows
- Compressive strength and anti-chloride ion penetration assessment of geopolymer mortar merging PVA fiber and nano-SiO2 using RBF–BP composite neural network
- Effect of 3-mercapto-1-propane sulfonate sulfonic acid and polyvinylpyrrolidone on the growth of cobalt pillar by electrodeposition
- Dynamics of convective slippery constraints on hybrid radiative Sutterby nanofluid flow by Galerkin finite element simulation
- Preparation of vanadium by the magnesiothermic self-propagating reduction and process control
- Microstructure-dependent photoelectrocatalytic activity of heterogeneous ZnO–ZnS nanosheets
- Cytotoxic and pro-inflammatory effects of molybdenum and tungsten disulphide on human bronchial cells
- Improving recycled aggregate concrete by compression casting and nano-silica
- Chemically reactive Maxwell nanoliquid flow by a stretching surface in the frames of Newtonian heating, nonlinear convection and radiative flux: Nanopolymer flow processing simulation
- Nonlinear dynamic and crack behaviors of carbon nanotubes-reinforced composites with various geometries
- Biosynthesis of copper oxide nanoparticles and its therapeutic efficacy against colon cancer
- Synthesis and characterization of smart stimuli-responsive herbal drug-encapsulated nanoniosome particles for efficient treatment of breast cancer
- Homotopic simulation for heat transport phenomenon of the Burgers nanofluids flow over a stretching cylinder with thermal convective and zero mass flux conditions
- Incorporation of copper and strontium ions in TiO2 nanotubes via dopamine to enhance hemocompatibility and cytocompatibility
- Mechanical, thermal, and barrier properties of starch films incorporated with chitosan nanoparticles
- Mechanical properties and microstructure of nano-strengthened recycled aggregate concrete
- Glucose-responsive nanogels efficiently maintain the stability and activity of therapeutic enzymes
- Tunning matrix rheology and mechanical performance of ultra-high performance concrete using cellulose nanofibers
- Flexible MXene/copper/cellulose nanofiber heat spreader films with enhanced thermal conductivity
- Promoted charge separation and specific surface area via interlacing of N-doped titanium dioxide nanotubes on carbon nitride nanosheets for photocatalytic degradation of Rhodamine B
- Elucidating the role of silicon dioxide and titanium dioxide nanoparticles in mitigating the disease of the eggplant caused by Phomopsis vexans, Ralstonia solanacearum, and root-knot nematode Meloidogyne incognita
- An implication of magnetic dipole in Carreau Yasuda liquid influenced by engine oil using ternary hybrid nanomaterial
- Robust synthesis of a composite phase of copper vanadium oxide with enhanced performance for durable aqueous Zn-ion batteries
- Tunning self-assembled phases of bovine serum albumin via hydrothermal process to synthesize novel functional hydrogel for skin protection against UVB
- A comparative experimental study on damping properties of epoxy nanocomposite beams reinforced with carbon nanotubes and graphene nanoplatelets
- Lightweight and hydrophobic Ni/GO/PVA composite aerogels for ultrahigh performance electromagnetic interference shielding
- Research on the auxetic behavior and mechanical properties of periodically rotating graphene nanostructures
- Repairing performances of novel cement mortar modified with graphene oxide and polyacrylate polymer
- Closed-loop recycling and fabrication of hydrophilic CNT films with high performance
- Design of thin-film configuration of SnO2–Ag2O composites for NO2 gas-sensing applications
- Study on stress distribution of SiC/Al composites based on microstructure models with microns and nanoparticles
- PVDF green nanofibers as potential carriers for improving self-healing and mechanical properties of carbon fiber/epoxy prepregs
- Osteogenesis capability of three-dimensionally printed poly(lactic acid)-halloysite nanotube scaffolds containing strontium ranelate
- Silver nanoparticles induce mitochondria-dependent apoptosis and late non-canonical autophagy in HT-29 colon cancer cells
- Preparation and bonding mechanisms of polymer/metal hybrid composite by nano molding technology
- Damage self-sensing and strain monitoring of glass-reinforced epoxy composite impregnated with graphene nanoplatelet and multiwalled carbon nanotubes
- Thermal analysis characterisation of solar-powered ship using Oldroyd hybrid nanofluids in parabolic trough solar collector: An optimal thermal application
- Pyrene-functionalized halloysite nanotubes for simultaneously detecting and separating Hg(ii) in aqueous media: A comprehensive comparison on interparticle and intraparticle excimers
- Fabrication of self-assembly CNT flexible film and its piezoresistive sensing behaviors
- Thermal valuation and entropy inspection of second-grade nanoscale fluid flow over a stretching surface by applying Koo–Kleinstreuer–Li relation
- Mechanical properties and microstructure of nano-SiO2 and basalt-fiber-reinforced recycled aggregate concrete
- Characterization and tribology performance of polyaniline-coated nanodiamond lubricant additives
- Combined impact of Marangoni convection and thermophoretic particle deposition on chemically reactive transport of nanofluid flow over a stretching surface
- Spark plasma extrusion of binder free hydroxyapatite powder
- An investigation on thermo-mechanical performance of graphene-oxide-reinforced shape memory polymer
- Effect of nanoadditives on the novel leather fiber/recycled poly(ethylene-vinyl-acetate) polymer composites for multifunctional applications: Fabrication, characterizations, and multiobjective optimization using central composite design
- Design selection for a hemispherical dimple core sandwich panel using hybrid multi-criteria decision-making methods
- Improving tensile strength and impact toughness of plasticized poly(lactic acid) biocomposites by incorporating nanofibrillated cellulose
- Green synthesis of spinel copper ferrite (CuFe2O4) nanoparticles and their toxicity
- The effect of TaC and NbC hybrid and mono-nanoparticles on AA2024 nanocomposites: Microstructure, strengthening, and artificial aging
- Excited-state geometry relaxation of pyrene-modified cellulose nanocrystals under UV-light excitation for detecting Fe3+
- Effect of CNTs and MEA on the creep of face-slab concrete at an early age
- Effect of deformation conditions on compression phase transformation of AZ31
- Application of MXene as a new generation of highly conductive coating materials for electromembrane-surrounded solid-phase microextraction
- A comparative study of the elasto-plastic properties for ceramic nanocomposites filled by graphene or graphene oxide nanoplates
- Encapsulation strategies for improving the biological behavior of CdS@ZIF-8 nanocomposites
- Biosynthesis of ZnO NPs from pumpkin seeds’ extract and elucidation of its anticancer potential against breast cancer
- Preliminary trials of the gold nanoparticles conjugated chrysin: An assessment of anti-oxidant, anti-microbial, and in vitro cytotoxic activities of a nanoformulated flavonoid
- Effect of micron-scale pores increased by nano-SiO2 sol modification on the strength of cement mortar
- Fractional simulations for thermal flow of hybrid nanofluid with aluminum oxide and titanium oxide nanoparticles with water and blood base fluids
- The effect of graphene nano-powder on the viscosity of water: An experimental study and artificial neural network modeling
- Development of a novel heat- and shear-resistant nano-silica gelling agent
- Characterization, biocompatibility and in vivo of nominal MnO2-containing wollastonite glass-ceramic
- Entropy production simulation of second-grade magnetic nanomaterials flowing across an expanding surface with viscidness dissipative flux
- Enhancement in structural, morphological, and optical properties of copper oxide for optoelectronic device applications
- Aptamer-functionalized chitosan-coated gold nanoparticle complex as a suitable targeted drug carrier for improved breast cancer treatment
- Performance and overall evaluation of nano-alumina-modified asphalt mixture
- Analysis of pure nanofluid (GO/engine oil) and hybrid nanofluid (GO–Fe3O4/engine oil): Novel thermal and magnetic features
- Synthesis of Ag@AgCl modified anatase/rutile/brookite mixed phase TiO2 and their photocatalytic property
- Mechanisms and influential variables on the abrasion resistance hydraulic concrete
- Synergistic reinforcement mechanism of basalt fiber/cellulose nanocrystals/polypropylene composites
- Achieving excellent oxidation resistance and mechanical properties of TiB2–B4C/carbon aerogel composites by quick-gelation and mechanical mixing
- Microwave-assisted sol–gel template-free synthesis and characterization of silica nanoparticles obtained from South African coal fly ash
- Pulsed laser-assisted synthesis of nano nickel(ii) oxide-anchored graphitic carbon nitride: Characterizations and their potential antibacterial/anti-biofilm applications
- Effects of nano-ZrSi2 on thermal stability of phenolic resin and thermal reusability of quartz–phenolic composites
- Benzaldehyde derivatives on tin electroplating as corrosion resistance for fabricating copper circuit
- Mechanical and heat transfer properties of 4D-printed shape memory graphene oxide/epoxy acrylate composites
- Coupling the vanadium-induced amorphous/crystalline NiFe2O4 with phosphide heterojunction toward active oxygen evolution reaction catalysts
- Graphene-oxide-reinforced cement composites mechanical and microstructural characteristics at elevated temperatures
- Gray correlation analysis of factors influencing compressive strength and durability of nano-SiO2 and PVA fiber reinforced geopolymer mortar
- Preparation of layered gradient Cu–Cr–Ti alloy with excellent mechanical properties, thermal stability, and electrical conductivity
- Recovery of Cr from chrome-containing leather wastes to develop aluminum-based composite material along with Al2O3 ceramic particles: An ingenious approach
- Mechanisms of the improved stiffness of flexible polymers under impact loading
- Anticancer potential of gold nanoparticles (AuNPs) using a battery of in vitro tests
- Review Articles
- Proposed approaches for coronaviruses elimination from wastewater: Membrane techniques and nanotechnology solutions
- Application of Pickering emulsion in oil drilling and production
- The contribution of microfluidics to the fight against tuberculosis
- Graphene-based biosensors for disease theranostics: Development, applications, and recent advancements
- Synthesis and encapsulation of iron oxide nanorods for application in magnetic hyperthermia and photothermal therapy
- Contemporary nano-architectured drugs and leads for ανβ3 integrin-based chemotherapy: Rationale and retrospect
- State-of-the-art review of fabrication, application, and mechanical properties of functionally graded porous nanocomposite materials
- Insights on magnetic spinel ferrites for targeted drug delivery and hyperthermia applications
- A review on heterogeneous oxidation of acetaminophen based on micro and nanoparticles catalyzed by different activators
- Early diagnosis of lung cancer using magnetic nanoparticles-integrated systems
- Advances in ZnO: Manipulation of defects for enhancing their technological potentials
- Efficacious nanomedicine track toward combating COVID-19
- A review of the design, processes, and properties of Mg-based composites
- Green synthesis of nanoparticles for varied applications: Green renewable resources and energy-efficient synthetic routes
- Two-dimensional nanomaterial-based polymer composites: Fundamentals and applications
- Recent progress and challenges in plasmonic nanomaterials
- Apoptotic cell-derived micro/nanosized extracellular vesicles in tissue regeneration
- Electronic noses based on metal oxide nanowires: A review
- Framework materials for supercapacitors
- An overview on the reproductive toxicity of graphene derivatives: Highlighting the importance
- Antibacterial nanomaterials: Upcoming hope to overcome antibiotic resistance crisis
- Research progress of carbon materials in the field of three-dimensional printing polymer nanocomposites
- A review of atomic layer deposition modelling and simulation methodologies: Density functional theory and molecular dynamics
- Recent advances in the preparation of PVDF-based piezoelectric materials
- Recent developments in tensile properties of friction welding of carbon fiber-reinforced composite: A review
- Comprehensive review of the properties of fly ash-based geopolymer with additive of nano-SiO2
- Perspectives in biopolymer/graphene-based composite application: Advances, challenges, and recommendations
- Graphene-based nanocomposite using new modeling molecular dynamic simulations for proposed neutralizing mechanism and real-time sensing of COVID-19
- Nanotechnology application on bamboo materials: A review
- Recent developments and future perspectives of biorenewable nanocomposites for advanced applications
- Nanostructured lipid carrier system: A compendium of their formulation development approaches, optimization strategies by quality by design, and recent applications in drug delivery
- 3D printing customized design of human bone tissue implant and its application
- Design, preparation, and functionalization of nanobiomaterials for enhanced efficacy in current and future biomedical applications
- A brief review of nanoparticles-doped PEDOT:PSS nanocomposite for OLED and OPV
- Nanotechnology interventions as a putative tool for the treatment of dental afflictions
- Recent advancements in metal–organic frameworks integrating quantum dots (QDs@MOF) and their potential applications
- A focused review of short electrospun nanofiber preparation techniques for composite reinforcement
- Microstructural characteristics and nano-modification of interfacial transition zone in concrete: A review
- Latest developments in the upconversion nanotechnology for the rapid detection of food safety: A review
- Strategic applications of nano-fertilizers for sustainable agriculture: Benefits and bottlenecks
- Molecular dynamics application of cocrystal energetic materials: A review
- Synthesis and application of nanometer hydroxyapatite in biomedicine
- Cutting-edge development in waste-recycled nanomaterials for energy storage and conversion applications
- Biological applications of ternary quantum dots: A review
- Nanotherapeutics for hydrogen sulfide-involved treatment: An emerging approach for cancer therapy
- Application of antibacterial nanoparticles in orthodontic materials
- Effect of natural-based biological hydrogels combined with growth factors on skin wound healing
- Nanozymes – A route to overcome microbial resistance: A viewpoint
- Recent developments and applications of smart nanoparticles in biomedicine
- Contemporary review on carbon nanotube (CNT) composites and their impact on multifarious applications
- Interfacial interactions and reinforcing mechanisms of cellulose and chitin nanomaterials and starch derivatives for cement and concrete strength and durability enhancement: A review
- Diamond-like carbon films for tribological modification of rubber
- Layered double hydroxides (LDHs) modified cement-based materials: A systematic review
- Recent research progress and advanced applications of silica/polymer nanocomposites
- Modeling of supramolecular biopolymers: Leading the in silico revolution of tissue engineering and nanomedicine
- Recent advances in perovskites-based optoelectronics
- Biogenic synthesis of palladium nanoparticles: New production methods and applications
- A comprehensive review of nanofluids with fractional derivatives: Modeling and application
- Electrospinning of marine polysaccharides: Processing and chemical aspects, challenges, and future prospects
- Electrohydrodynamic printing for demanding devices: A review of processing and applications
- Rapid Communications
- Structural material with designed thermal twist for a simple actuation
- Recent advances in photothermal materials for solar-driven crude oil adsorption