Abstract
Poly(vinylidene fluoride) (PVDF) and its copolymers have been widely studied due to their excellent piezoelectricity and ferroelectricity. In this study, composite films are prepared by adding Ni nanoparticles (0.00–0.3 wt%) into poly(vinylidene fluoride-co-hexafluoropropylene) (PVDF–HFP) matrix by solution casting, uniaxial stretching, and high electric field poling. It is found that when the maximum electric field E max for poling is 130 MV m−1, the calibrated open circuit voltage of the pure PVDF–HFP films reaches 3.12 V, which is much higher than those poled by a lower electric field (70 MV m−1: 1.40 V; 90 MV m−1: 2.29 V). This result shows that the effect of poling on the generated output voltage is decisive. By adding 0.1 wt% Ni nanoparticles, it increases to 3.84 V, 23% higher than that of the pure PVDF–HFP films. To further understand the enhancement mechanism, the effects of Ni nanoparticles on initial crystallization, uniaxial stretching, and high electric field poling are investigated by X-ray diffraction, scanning electron microscope, Fourier transform infrared spectroscopy, and differential scanning calorimetry.
1 Introduction
Compared to the commonly used lead zirconate titanate, poly(vinylidene fluoride) (PVDF) and its copolymers have a number of advantages, such as light weight and good piezoelectricity, and are more flexible than inorganic piezoelectric materials [1,2,3]. The high flexibility makes them more suitable for application scenarios requiring large bending and twisting [4]. However, the piezoelectric conversion capability of PVDF is relatively lower, so the improvement of piezoelectricity is desired.
PVDF is a semicrystalline polymer possessing three conformations (TTTT, TGTG′, and T3GT3G′) and at least five crystal phases (α, β, δ, γ, and ε). Among the phases, the α-phase is the most common and stable one exhibiting a monoclinic structure, and it is a nonpolar crystal with the gauche-trans-gauche′ (TGTG′) conformation with no piezoelectricity. The β-phase exhibits the orthorhombic structure with the all-trans (TTTT) conformation with the best piezoelectricity. Hence, increasing the β-phase content is extremely important in the preparation of high piezoelectric materials [5,6,7,8,9,10,11,12]. As a result, the transformation from the α-phase to the β-phase is a leading research topic in recent years. A number of methods, such as uniaxial stretching [13,14,15,16,17,18,19], high electric field [20], annealing [21,22], high-pressure [23], and adding nanoparticles, have been widely used to prepare PVDF films with a high fraction of β-phase.
Nanofiller addition has been investigated in many studies. Kim et al. studied the effect of multiwalled carbon nanotubes (MWCNT) on the crystal structure of PVDF films. It is found that for stretched films, the addition of MWCNT can increase the fraction of β-phase by increasing the crystallization rate of the films [20]. Wu et al. added carbon black (CB) to poly(vinylidene fluoride-co-hexafluoropropylene) (PVDF–HFP) to prepare PVDF–HFP/CB composite films by the solution casting method. When the CB content is 0.5 wt%, the open circuit voltage and density of the harvested power reach the highest values, which are 104%, 364% (AC circuit), and 461% (DC circuit) higher than those of pure PVDF–HFP films, respectively [24]. Bhattacharjee et al. added surface-functionalized spherical magnetite nanoparticles Fe3O4 of different sizes into PVDF to prepare composite piezoelectric films by solution casting, and the increase in the relative fraction of polar β-phase is verified by X-ray diffraction (XRD) and Raman spectroscopy [25]. Ponnamma et al. blended NiFe2O4 nanoparticles to poly(vinylidene fluoride-co-hexafluoropropylene) (PVDF–HFP) by electrospinning to prepare composite nanofibers. When the content of NiFe2O4 is 2 wt%, the output voltage reaches 4 V, exhibiting high potential in the design of piezoelectric devices [26].
At present, the study has been focused on the dielectric properties, magnetoelectric coupling, and electromagnetic shielding of Ni nanoparticles to PVDF. Only a few reports have been conducted to study the effects of low-content Ni nanoparticles on enhancing the piezoelectric properties of PVDF. Li et al. compressed Ni nanoparticles and PVDF powder into flake samples to prepare composite materials with high dielectric constant and low loss permeability. The results show that Ni and PVDF can produce compression-induced percolation. At 100 Hz, the maximum dielectric permittivity is ten times that of the noncompressed samples, and the low-frequency dielectric loss can be controlled within the range of 0–0.15 [27]. They also studied the stretching effects on the PVDF/Ni films and confirmed the threshold elongation ratio in the composites. At 100 Hz, the conductivity is increased by 4–5 orders of magnitude. When the elongation ratio reaches the threshold, the maximum dielectric permittivity is 17 times that of the unstretched samples [28].
In this study, PVDF–HFP powder was added into the suspension of Ni nanoparticles mixed with N,N-dimethylformamide (DMF) to prepare PVDF–HFP/Ni composite films by the solution casting method. By adjusting the content of Ni nanoparticles in the composite films, the high piezoelectric films were prepared. The effects of Ni nanoparticles on the piezoelectricity of the composite films during the initial crystallization, stretching, and poling processes were studied by XRD, Fourier transform infrared spectroscopy (FTIR), scanning electron microscope (SEM), and differential scanning calorimetry (DSC) techniques.
2 Experimental
2.1 Material
Poly(vinylidene fluoride-co-hexafluoropropylene) (PVDF–HFP) (Kynar Flex 2801) was purchased from Arkema Inc., USA, DMF was supplied by Shanghai Titan Scientific Co. Ltd., Shanghai, China, and Ni nanoparticles were provided by Zhong Ye Xin Dun Alloy Co. Ltd., Hebei province, China. The SEM images of Ni nanoparticles are shown in Figure 1. The properties of PVDF–HFP, DMF, and Ni nanoparticles are presented in Table 1. All materials were used as received.

SEM images of Ni particles: (a) magnification: 20k and (b) magnification: 50k.
Properties of PVDF–HFP, DMF, and Ni nanoparticles
| PVDF–HFP | Melting temperature | 140∼145 °C | Water absorption (23 °C, 24 h) | 0.03% |
| Density | 1.76∼1.80 g cm−3 | Melt viscosity (232 °C, 100 s−1) | 2300∼2700 Pa s | |
| Refraction index | 1.41 | Melt flow rate (232 °C, 125 kg) | 0.35∼0.75 g min−1 | |
| DMF | Density | 0.945 g cm−3 | Melting temperature | −61 °C |
| Boiling temperature | 153 °C | Flash point | 58 °C | |
| Purity (%) | ≥99.5% (GC) | |||
| Ni nanoparticles | Appearance | Sphere | Diameter (nm) | 100∼300 |
| Purity (%) | 99.95% |
2.2 Piezoelectric film preparation
The preparation process of PVDF–HFP/Ni composite films is similar to the method of our earlier reports [24,29,30], which includes three main stages, that is, initial crystallization, stretching, and poling. In this study, the Ni contents are 0, 0.05, 0.075, 0.1, 0.2, and 0.3 wt%, respectively. The process is shown in Figure 2 and can be described as follows:
Initial crystallization: (a) Add a moderate mass of Ni nanoparticles (depending on the Ni contents) into 24 g DMF solvent and mix them by using an ultrasonic machine. (b) Add 8 g PVDF–HFP powder into the mixture solution. (c) Stir the mixture by using the ultrasonic machine and a planetary mixer and finish it by a defoaming process. (d) Pour the homogeneous mixture onto three Al plates (10 cm × 7.5 cm × 0.1 cm). (e) Place the Al plates on the heating plates at 90 °C for 1–2 h to evaporate the DMF solvent completely. After the initial crystallization, the unstretched PVDF–HFP/Ni films are obtained.
Stretching: (a) Cut the initial crystallized film into samples of 5 cm × 4 cm (direction to be stretched). (b) Stretch the films by a tensile testing machine in a temperature-controlled box at about 60 °C. The stretching rate is 10 mm min−1, and the elongation ratio is 4.5–5.5. The thicknesses of the prepared PVDF–HFP/Ni films are shown in Table 2, and the stretched PVDF–HFP/Ni films are shown in Figure 3. It is observed that with the increment of Ni contents, the films become darker.
Poling: (a) Use conductive epoxy (CW 2400) to bond 15 μm thick Al electrodes on both sides of the stretched film (size: 2.5 cm × 3 cm [stretching direction]) to prepare a piezoelectric element. (b) Keep the films at room temperature for 24 h for complete curing of the conductive epoxy. (c) Apply the step-wise poling method on the films. The initial electric field is 20 MV m−1, the increment for each step is 10 MV m−1, and the maximum electric field E max is 130 MV m−1. For each step, the poling interval is 8 min, and the pause time is 4 min. As the poling temperature can significantly affect the piezoelectricity, the poling temperature remains at 25 °C for all samples [31]. The poling electric field is illustrated in Figure S1.

Preparation process of PVDF–HFP/Ni composite films.
The thicknesses of the prepared PVDF–HFP/Ni composite films (μm)
| Ni content (wt%) | 0 | 0.05 | 0.075 | 0.1 | 0.2 | 0.3 |
|---|---|---|---|---|---|---|
| 1 | 72 | 71 | 72 | 78 | 70 | 66 |
| 2 | 71 | 79 | 69 | 76 | 64 | 66 |
| 3 | 70 | 80 | 70 | 66 | 63 | 81 |
| Average | 71 | 77 | 70 | 73 | 66 | 71 |

Stretched films with different contents of Ni particles (wt%). The arrow shows the stretching direction. (a) Stretched films and (b) stretched films for piezoelectric elements preparation.
2.3 Electrical experiments
Three films with the same content of nanoparticles are attached on an Al plate (200 mm × 100 mm × 1 mm), and then conductive wires are connected on both sides for the open circuit voltage tests. The experimental setup is shown in Figure 4. The Al plate is fixed on a mass. A sinusoidal AC signal (f = 25 Hz, the resonance frequency of the system) is generated by a function generator and passes through an amplifier applied on the electromagnet coil. Then, the induced magnetic field forces the magnet at the end of the Al plate to vibrate periodically, leading to the periodical deformation of piezoelectric films and the generation of periodical voltages. The output voltages are recorded by an oscilloscope. To accurately calculate the calibrated open circuit voltage, the displacement of the Al plate end measured by the laser displacement sensor is maintained at approximately 1 mm. In this study, the piezoelectric films work in the 31 mode, as shown in Figure S2.

Electrical experimental setup.
2.4 Characterization of PVDF–HFP/Ni composite films
In this study, XRD, FTIR, DSC, and scanning electron microscope (SEM) are used to analyze the crystal evolution during the preparation process. For simplicity, U, S, and P represent “unstretched,” “stretched,” and “stretched plus poled” samples, respectively. For example, 0.075U refers to the unstretched film containing 0.075 wt% Ni particles. In XRD spectra, the angle 2θ ranges from 15° to 30°, the step is 0.02°, and the scanning rate is 1° min−1. In FTIR spectra, the wavenumber ranges from 4,000 to 400 cm−1, but the interval (1,000–600 cm−1) is shown in the study. In DSC, the films are kept at 40 °C for 5 min, and then heated to 200 °C by 10 °C min−1. For SEM observation, the films are kept in liquid nitrogen, and then fractured to obtain a uniform fracture, which is sprayed gold on the surface for 25 s.
3 Results and discussion
3.1 Open circuit voltage
Earlier studies have shown that the open circuit voltage V is proportional to the film thickness t and the plate end displacement Δl of the film. Under the small deformation, Δl is proportional to the plate tip displacement u, and V is proportional to u [29]. To compare the piezoelectric properties of different piezoelectric films, the calibrated open circuit voltage V c is calculated as follows:
where V is the recorded voltage, u is the plate tip displacement, t is the thickness of the film, u 0 = 1 mm is the standard displacement, and t 0 = 100 μm is the standard thickness.
Figure 5 shows the calibrated open circuit voltages of the PVDF–HFP/Ni piezoelectric composite films. It is found that when the maximum electric field E max = 70 MV m−1, the calibrated open circuit voltage of the pure PVDF–HFP films is 1.41 V [30], and it increases to 2.29 V when E max = 90 MV m−1 [32]. In this study, when the maximum electric field E max reaches 130 MV m−1, it increases to 3.12 V, which is 123 and 36% higher than those samples poled by 70 and 90 MV m−1. The results confirm the decisive effect of poling on the piezoelectricity. As the electric breakdown occurs when E max is more than 130 MV m−1, the maximum electric field is set as 130 MV m−1. It is found that the calibrated open circuit voltage increases with the content of Ni until 0.1 wt% (3.84 V) and then decreases gradually. When the content of Ni nanoparticles reaches 0.3 wt%, the nanoparticles are obviously agglomerated and unevenly dispersed, which hinders the phase transformation from α-phase to β-phase, resulting in a lower piezoelectric performance. The results show a significant improvement effect of Ni on the piezoelectricity of PVDF–HFP. It is also found that the extremely high electric field can enhance the generated voltage dramatically, which may be more important than the addition of nanofillers. It has been reported that the saturation poling voltage is about 150 MV m−1 [33]. In this study, E max is close to 150 MV m−1, indicating that the effect of nanofiller addition is not so significant compared with the samples poled at lower electric fields [32].

The calibrated open circuit output voltage of PVDF–HFP/Ni films.
3.2 Structure and morphology of PVDF–HFP/Ni composite films
Figure 6 shows the SEM cross-sectional images of the initial crystallized composite films. Figure 6(a) shows the film containing 0.05 wt% Ni nanoparticles. It is observed that there is no agglomeration of nanoparticles, and the dispersion is relatively uniform. Figure 6(b) shows the film containing 0.1 wt% Ni nanoparticles. The crystal defects may be caused by the addition of the fillers. It can be seen that the distribution of nanoparticles is relatively uniform, and the agglomeration is not obvious. From Figure 6(c), it is found that the nanoparticles are significantly agglomerated, unevenly dispersed, and closely connected to the matrix. The results indicate that the agglomeration of the nanoparticles becomes more obvious, and the dispersion becomes more uneven with the increase of the Ni content. The proper content of Ni is determined as 0.1 wt%, which does not lead to obvious agglomeration.

SEM cross-sectional images of PVDF–HFP/Ni composite films (initial crystallized): (a) 0.05 wt% (×20k), (b) 0.1 wt% (×20k), and (c) 0.3 wt% (×20k).
3.3 Phase transformation of PVDF–HFP/Ni composite films
3.3.1 XRD
Figure 7 shows the XRD spectra of PVDF–HFP/Ni composite films at three stages, i.e., initial crystallized, stretched, and poled. In Figure 7(a), the characteristic peaks appear at 18.4°, 20.0°, and 26.6°, corresponding to the (100), (110), and (021) planes of the α-phase, respectively. At this time, the β-phase is not so obvious. It shows that after the initial crystallization, the α-phase dominates. In Figure 7(b) and (c), the peak appears at 20.4°, corresponding to the (110) plane of the β-phase [9,34,35,36]. In the stretched films, the α-phase almost completely disappears, indicating that a complete phase transformation from α-phase to β-phase occurs during the stretching process. Compared to stretched films, the stretched plus poled films show no obvious differences because the α-phase content is close to zero, and thus a little phase transformation occurs during the poling stretching.

XRD spectra of PVDF–HFP/Ni composite films: (a) unstretched films, (b) stretched films, and (c) stretched plus poled films.
3.3.2 FTIR
Figure 8(a)–(c) shows the FTIR spectra of PVDF–HFP/Ni composite films. The wavenumber interval is 1,000–600 cm−1. The peaks at 489, 614, 765, 795, 855, and 976 cm−1 correspond to the α-phase, whereas the peaks at 510, 840, and 1,279 cm−1 correspond to the β-phase [9,10,14,37]. In Figure 8(a), the peaks corresponding to the α-phase are obvious in the films of the 0U, 0.05U, and 0.075U. With the increase of Ni nanoparticle content, the peaks corresponding to the α-phase become weaker. Meanwhile, the peaks corresponding to the β-phase increase, indicating that the addition of Ni nanoparticles can induce the formation of the β-phase during the initial crystallization stage. In Figure 8(b)–(c), the peaks of the α-phase almost disappear and the peaks of the β-phase become much more obvious after stretching and poling. It is consistent with the XRD results, which proves that the α-phase is transformed into the β-phase in the stretching stage and poling has little effect on phase transformation.

FTIR spectra of PVDF–HFP/Ni composite films: (a) unstretched films, (b) stretched films, (c) stretched plus poled films, and (d) relative fraction of β-phase in PVDF–HFP/Ni composite films.
The relative fraction of the β-phase F(β) can be calculated by the following equation [7]:
where, K α is 6.1 × 104 cm2 mol−1, K β is 7.7 × 104 cm2 mol−1, and A α and A β are the absorbencies at 766 and 840 cm−1, respectively. The calculation method of the relative fraction of the β-phase is instructed in Figure S3. Table 3 and Figure 8(d) show the calculated results.
Relative fraction of β-phase in PVDF–HFP/Ni composite films
| Ni content (wt%) | 0.00 | 0.05 | 0.075 | 0.1 | 0.2 | 0.3 |
|---|---|---|---|---|---|---|
| U(%) | 34 | 36 | 38 | 96 | 95 | 96 |
| S(%) | 92 | 94 | 97 | 97 | 95 | 97 |
| P(%) | 96 | 98 | 98 | 98 | 98 | 94 |
From Figure 8(d) and Table 3, it is concluded that the relative fraction of the β-phase is very low when the Ni nanoparticle content is low (<0.1 wt%) in the initial crystallization stage. However, in the films containing high contents of Ni nanoparticles, F(β) is more than 95%, even without stretching and poling, indicating that the Ni nanoparticles have an obvious effect on the α-phase to β-phase transformation. From the result, it can be concluded that the threshold value for Ni nanofillers in PVDF–HFP matrix may be about 0.1 wt%; therefore, a sudden increase of F(β) occurs when the Ni content is more than 0.1 wt%. The effects of stretching on the α-phase to β-phase transformation are obvious. From our earlier study, when the elongation ratio is more than 3, the relative fraction of β-phase F(β) increases dramatically. Based on the results of the open circuit voltages, the optimal elongation ratio is 5. As a result, in this study, the elongation ratio is set as 5 [31]. All stretched samples exhibit an F(β) value of more than 90% because the induced stress on the molecular chains leads to the elongation of molecular chains, which is preferred to form fibrillar-like molecular chains (corresponding to β-phase). However, for the films containing high contents of Ni nanoparticles, F(β) shows minimal changes after stretching because F(β) is quite high in the initial crystallization stage. The other function of stretching is to force the molecular chains to align along the stretching direction. Hence, stretching is also necessary for the high F(β) films to obtain piezoelectricity. For all poled films, F(β) remains nearly the same, indicating the crystal phase transformation has been completed during stretching. The main effect of poling is to force the dipole moments of the β-phase molecular chains to align along the direction of the electric field, and thus the piezoelectricity can be obtained. For low F(β) films, the phase transition can also be promoted by the high electric field.
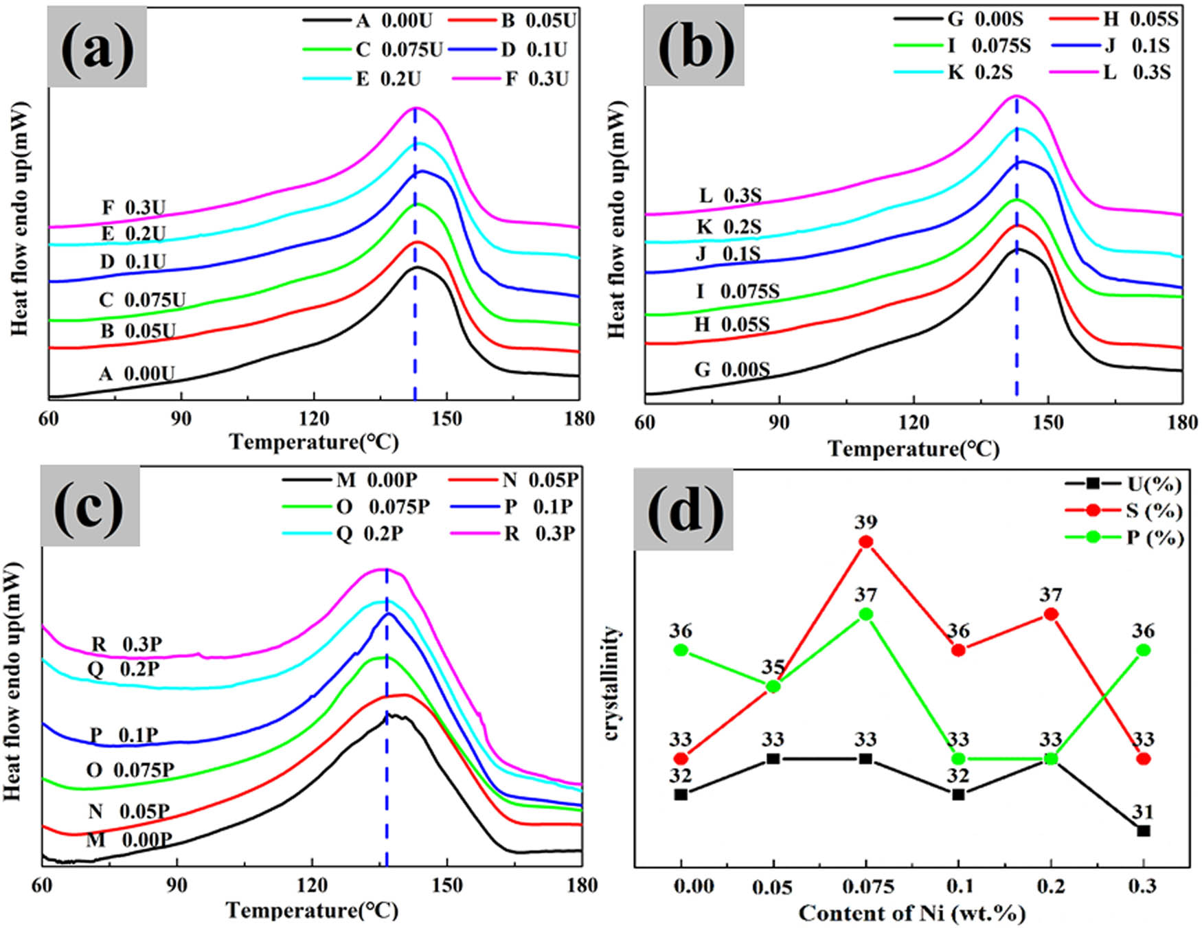
3.4 Crystallization of PVDF–HFP/Ni composite films
Figure 9 shows the DSC thermograms of the PVDF–HFP/Ni films. In this study, we use the following equation to calculate the crystallinity degree of PVDF–HFP composite films at different stages [38]:
where ΔH
m is the melting enthalpy of the material calculated by the DSC supporting software, and

DSC thermograms of PVDF–HFP/Ni composite films: (a) unstretched films, (b) stretched films, (c) stretched plus polarized films, and (d) crystallinity degree of PVDF–HFP/Ni composite films.
From Figure 9(d), the crystallinity degree of all films at the initial crystallization stage is nearly the same (31–33%). However, the crystallinity degree of the stretched films is generally higher than those at the initial crystallization stage, which has been reported earlier [13]. The crystallinity degree of 0.3U reaches the maximum value of 39%, indicating the induced stress during the stretching process leads to the reorganization of molecular chains in the amorphous area. Besides, for the poled films, the crystallinity degree of 0.075SP, 0.1SP, and 0.2SP samples is lower than those of the nonpoled films. A similar result has been reported in PVDF/CNT composites [39], and it may be related to the negative effect of Ni nanoparticles during the reorganization of molecular chains. Another reason may be attributed to the partial destruction of the crystalline structure caused by the poling process [40,41,42]. Comparing Figure 9(a) and (b) with Figure 9(c), the melting point of poled films is lower than nonpoled films, and it may be explained as follows: the crystalline structure of the poled films presents less entropy, compared with that of the nonpoled films. As is well known, the application of poling can force the dipolar moments to align along the direction of the electric field, which can lead to a more oriented structure, resulting in the lower melting temperature [41,42,43].
4 Conclusions
In this study, high piezoelectric composite films are prepared by an extremely high poling electric field and Ni nanoparticles addition. The maximum electric field E max is as high as 130 MV m−1 and the calibrated open circuit voltage of the pure PVDF–HFP films reaches 3.12 V, which is much higher than those poled by a lower electric field. The piezoelectricity can be further enhanced by adding Ni nanoparticles. When 0.1 wt% Ni nanoparticles are added, the calibrated open circuit voltage reaches the maximum value (3.84 V), which is about 123% of the pure PVDF–HFP film prepared by the same process. The experimental method of extremely high electric field poling and Ni nanoparticles addition reported in this study is facile and of low cost for preparing efficient piezoelectric films. Besides, the crystallinity evolution in the preparation process is investigated by SEM, XRD, FTIR, and DSC.
-
Funding information: This study was financially supported by National Natural Science Foundation of China (No. 51703015, 11632004, U1864208) and Fundamental Research Funds for the Central Universities (No. 2020CDJQY-A008), the Key Project of Natural Science Foundation of CQ CSTC (No. cstc2017jcyjBX0063), and the Key Program for International Science and Technology Cooperation Projects of the Ministry of Science and Technology of China (No. 2016YFE0125900).
-
Author contributions: All authors have accepted responsibility for the entire content of this manuscript and approved its submission.
-
Conflict of interest: The authors state no conflict of interest.
-
Data availability statement: The data used in this manuscript are available from the corresponding author upon request.
References
[1] Li H, Tian C, Deng ZD. Energy harvesting from low frequency applications using piezoelectric materials. Appl Phys Rev. 2014;1(4):041301.10.1063/1.4900845Search in Google Scholar
[2] Khadtare S, Ko EJ, Kim YH, Lee HS, Moon DK. A flexible piezoelectric nanogenerator using conducting polymer and silver nanowire hybrid electrodes for its application in real-time muscular monitoring system. Sens Actuators A Phys. 2019;299:111575.10.1016/j.sna.2019.111575Search in Google Scholar
[3] Pan Q, Xiong YA, Sha TT, You YM. Recent progress in the piezoelectricity of molecular ferroelectrics. Mater Chem Front. 2021;5(1):44–59.10.1039/D0QM00288GSearch in Google Scholar
[4] Guo S, Duan X, Xie M, Aw KC, Xue Q. Composites, fabrication and application of polyvinylidene fluoride for flexible electromechanical devices: a review. Micromachines. 2020;11(12):1076.10.3390/mi11121076Search in Google Scholar
[5] Milani A, Castiglioni C, Radice S. Joint experimental and computational investigation of the structural and spectroscopic properties of poly(vinylidene fluoride) polymorphs. J Phys Chem B. 2015;119(14):4888–97.10.1021/acs.jpcb.5b00161Search in Google Scholar
[6] Abolhasani MM, Shirvanimoghaddam K, Naebe M. PVDF/graphene composite nanofibers with enhanced piezoelectric performance for development of robust nanogenerators. Compos Sci Technol. 2017;138:49–56.10.1016/j.compscitech.2016.11.017Search in Google Scholar
[7] Martins P, Lopes AC, Lanceros-Mendez S. Electroactive phases of poly(vinylidene fluoride): determination, processing and applications. Prog Polym Sci. 2014;39(4):683–706.10.1016/j.progpolymsci.2013.07.006Search in Google Scholar
[8] Liang C, Xie Q, Bao R, Yang W, Xie B, Yang M. Induced formation of polar phases in poly(vinylidene fluoride) by cetyl trimethyl ammonium bromide. J Mater Sci. 2014;49(12):4171–9.10.1007/s10853-014-8112-8Search in Google Scholar
[9] Ponnamma D, Erturk A, Parangusan H, Deshmukh K, Ahamed MB, Al-Maadeed MAA. Stretchable quaternary phasic PVDF–HFP nanocomposite films containing graphene-titania-SrTiO3 for mechanical energy harvesting. Emergent Mater. 2018;1(1–2):55–65.10.1007/s42247-018-0007-zSearch in Google Scholar
[10] Salimi A, Yousefi AA. FTIR studies of β-phase crystal formation in stretched PVDF films. Polym Test. 2003;22(6):699–704.10.1016/S0142-9418(03)00003-5Search in Google Scholar
[11] Abolhasani MM, Naebe M, Jalali-Arani A, Guo Q. Crystalline Structures and α → β and γ polymorphs transformation induced by nanoclay in PVDF-based nanocomposite. Nano. 2014;9(6):1450065.10.1142/S1793292014500659Search in Google Scholar
[12] Lovinger AJ. Annealing of poly(vinylidene fluoride) and formation of a fifth phase. Macromolecules. 1982;15(1):40–4.10.1021/ma00229a008Search in Google Scholar
[13] Sun L, Li B, Zhang Z, Zhong W. Achieving very high fraction of β-crystal PVDF and PVDF/CNF composites and their effect on AC conductivity and microstructure through a stretching process. Eur Polym J. 2010;46(11):2112–9.10.1016/j.eurpolymj.2010.09.003Search in Google Scholar
[14] Li L, Zhang M, Rong M, Ruan W. Studies on the transformation process of PVDF from α to β phase by stretching. RSC Adv. 2014;4(8):3938–43.10.1039/C3RA45134HSearch in Google Scholar
[15] Sencadas V, Gregorio R, Lanceros-Méndez S. α to β phase transformation and microestructural changes of PVDF films induced by uniaxial stretch. J Macromol Sci B. 2009;48(3):514–25.10.1080/00222340902837527Search in Google Scholar
[16] Na B, Xu W, Lv R, Li Z, Tian N, Zou S. Toughening of nylon-6 by semicrystalline poly(vinylidene fluoride): role of phase transformation and fibrillation of dispersed particles. Macromolecules. 2010;43(8):3911–5.10.1021/ma1002744Search in Google Scholar
[17] Ye H, Xu C, Meng N, Meng Z, Xu L. High energy density and charge-discharge efficiency of uniaxial stretched poly(vinylidene fluoride-hexafluoropropylene) film with electroactive phase conversion. J Mater Sci Mater Eletron. 2018;29(8):6619–31.10.1007/s10854-018-8646-7Search in Google Scholar
[18] Cui Z, Hassankiadeh NT, Zhuang Y, Drioli E, Lee YM. Crystalline polymorphism in poly(vinylidene fluoride) membranes. Prog Polym Sci. 2015;51:94–126.10.1016/j.progpolymsci.2015.07.007Search in Google Scholar
[19] Gomes J, Nunes JS, Sencadas V, Lanceros-Mendez S. Influence of the β-phase content and degree of crystallinity on the piezo- and ferroelectric properties of poly(vinylidene fluoride). Smart Mater Struct. 2010;19(6):065010.10.1088/0964-1726/19/6/065010Search in Google Scholar
[20] Kim GH, Hong SM, Seo Y. Piezoelectric properties of poly(vinylidene fluoride) and carbon nanotube blends: β-phase development. Phys Chem Chem Phys. 2009;11(44):10506–12.10.1039/b912801hSearch in Google Scholar PubMed
[21] Benz M, Euler WB. Determination of the crystalline phases of poly(vinylidene fluoride) under different preparation conditions using differential scanning calorimetry and infrared spectroscopy. J Appl Polym Sci. 2003;89(4):1093–100.10.1002/app.12267Search in Google Scholar
[22] Mahdi RI, Gan WC, Majid WHA. Hot plate annealing at a low temperature of a thin ferroelectric P(VDF-TrFE) film with an improved crystalline structure for sensors and actuators. Sensors. 2014;14(10):19115–27.10.3390/s141019115Search in Google Scholar PubMed PubMed Central
[23] Doll WW, Lando JB. The polymorphism of poly(vinylidene fluoride) IV. The structure of high-pressure-crystallized poly(vinylidene fluoride). J Macromol Sci B. 1970;4(4):889–96.10.1080/00222347008217130Search in Google Scholar
[24] Wu L, Yuan W, Hu N, Wang Z, Chen C, Qiu J, et al. Improved piezoelectricity of PVDF–HFP/carbon black composite films. J Phys D Appl Phys. 2014;47(13):135302.10.1088/0022-3727/47/13/135302Search in Google Scholar
[25] Bhattacharjee S, Mondal S, Banerjee A, Chattopadhyay KK. Dielectric and piezoelectric augmentation in self-poled magnetic Fe3O4/poly(vinylidene fluoride) composite nanogenerators. Mater Res Express. 2020;7(4):044001.10.1088/2053-1591/ab87d6Search in Google Scholar
[26] Ponnamma D, Aljarod O, Parangusan H, Al-Maadeed MA. Electrospun nanofibers of PVDF–HFP composites containing magnetic nickel ferrite for energy harvesting application. Mater Chem Phys. 2020;239:122257.10.1016/j.matchemphys.2019.122257Search in Google Scholar
[27] Li W, Wang X, Tong C, Zhu Y. Compression-induced percolation in low filler composites based on polyvinylidene fluoride and nickel particles. J Phys D Appl Phys. 2011;44(47):475402.10.1088/0022-3727/44/47/475402Search in Google Scholar
[28] Yu L, Li W. Stretching-induced percolation in polyvinylidene fluoride and nickel composites. J Appl Polym Sci. 2011;120(4):2368–73.10.1002/app.33430Search in Google Scholar
[29] Wu L, Yuan W, Nakamura T, Atobe S, Hu N, Fukunaga H, et al. Enhancement of PVDF’s piezoelectricity by VGCF and MWNT. Adv Compos Mater. 2013;22(1):49–63.10.1080/09243046.2013.764780Search in Google Scholar
[30] Wu L, Huang G, Hu N, Fu S, Qiu J, Wang Z, et al. Improvement of the piezoelectric properties of PVDF–HFP using AgNWs. RSC Adv. 2014;4(68):35896–903.10.1039/C4RA03382ESearch in Google Scholar
[31] Jin Z, Lei D, Wang Y, Wu L, Hu N. Influences of poling temperature and elongation ratio on PVDF–HFP piezoelectric films. Nanotechnol Rev. 2021;10(1):1009–17.10.1515/ntrev-2021-0070Search in Google Scholar
[32] Cai J, Hu N, Wu L, Liu Y, Li Y, Ning H, et al. Preparing carbon black/graphene/PVDF–HFP hybrid composite films of high piezoelectricity for energy harvesting technology. Compos Part A Appl Sci Manuf. 2019;121:223–31.10.1016/j.compositesa.2019.03.031Search in Google Scholar
[33] Furukawa T. Ferroelectric properties of vinylidene fluoride copolymers. Phase Transit. 1989;18:143–211.10.1080/01411598908206863Search in Google Scholar
[34] El Achaby M, Arrakhiz FZ, Vaudreuil S, Essassi EM, Qaiss A. Piezoelectric β-polymorph formation and properties enhancement in graphene oxide-PVDF nanocomposite films. Appl Surf Sci. 2012;258(19):7668–77.10.1016/j.apsusc.2012.04.118Search in Google Scholar
[35] Yu S, Zheng W, Yu W, Zhang Y, Jiang Q, Zhao Z. Formation mechanism of β-phase in PVDF/CNT composite prepared by the sonication method. Macromolecules. 2009;42(22):8870–4.10.1021/ma901765jSearch in Google Scholar
[36] Mohammadi B, Yousefi AA, Bellah SM. Effect of tensile strain rate and elongation on crystalline structure and piezoelectric properties of PVDF thin films. Polym Test. 2007;26(1):42–50.10.1016/j.polymertesting.2006.08.003Search in Google Scholar
[37] Boccaccio T, Bottino A, Capannelli G, Piaggio P. Characterization of PVDF membranes by vibrational spectroscopy. J Membr Sci. 2002;210(2):315–29.10.1016/S0376-7388(02)00407-6Search in Google Scholar
[38] Lanceros-Mendez S, Mano JF, Costa AM, Schmidt VH. FTIR and DSC studies of mechanically deformed β-PVDF films. J Macromol Sci., Part B. 2001;40(3–4):517–27.10.1081/MB-100106174Search in Google Scholar
[39] Sun Y, Yin Y, Mayers BT, Herricks T, Xia Y. Uniform silver nanowires synthesis by reducing AgN03 with ethylene glycol in the presence of seeds and poly(vinylpyrrolidone). Chem Mater. 2002;14(11):4736–45.10.1021/cm020587bSearch in Google Scholar
[40] Costa CM, Sencadas V, Mano JF, Lanceros-Mendez S. Effect of poling on the mechanical properties of β-poly(vinylidene fluoride). Mater Sci Forum. 2006;514-516:951–5.10.4028/www.scientific.net/MSF.514-516.951Search in Google Scholar
[41] Xi Y, Fan H, Liu H, Niu X. Effect of corona poling on structure evolutions of α-Phase and β-phase PVDF films. Proc SPIE. 2010;7658:765852.10.1117/12.867755Search in Google Scholar
[42] Sencadas V, Lanceros-Mendez S, Mano JF. Characterization of poled and non-poled β-PVDF films using thermal analysis techniques. Thermochim Acta. 2004;424(1-2):201–7.10.1016/j.tca.2004.06.006Search in Google Scholar
[43] Darestani MT, Coster HGL, Chilcott TC, Fleming S, Nagarajan V, An H. Piezoelectric membranes for separation processes: Fabrication and piezoelectric properties. J Membr Sci. 2013;434:184–92.10.1016/j.memsci.2013.01.035Search in Google Scholar
© 2022 Dan Lei et al., published by De Gruyter
This work is licensed under the Creative Commons Attribution 4.0 International License.
Articles in the same Issue
- Research Articles
- Theoretical and experimental investigation of MWCNT dispersion effect on the elastic modulus of flexible PDMS/MWCNT nanocomposites
- Mechanical, morphological, and fracture-deformation behavior of MWCNTs-reinforced (Al–Cu–Mg–T351) alloy cast nanocomposites fabricated by optimized mechanical milling and powder metallurgy techniques
- Flammability and physical stability of sugar palm crystalline nanocellulose reinforced thermoplastic sugar palm starch/poly(lactic acid) blend bionanocomposites
- Glutathione-loaded non-ionic surfactant niosomes: A new approach to improve oral bioavailability and hepatoprotective efficacy of glutathione
- Relationship between mechano-bactericidal activity and nanoblades density on chemically strengthened glass
- In situ regulation of microstructure and microwave-absorbing properties of FeSiAl through HNO3 oxidation
- Research on a mechanical model of magnetorheological fluid different diameter particles
- Nanomechanical and dynamic mechanical properties of rubber–wood–plastic composites
- Investigative properties of CeO2 doped with niobium: A combined characterization and DFT studies
- Miniaturized peptidomimetics and nano-vesiculation in endothelin types through probable nano-disk formation and structure property relationships of endothelins’ fragments
- N/S co-doped CoSe/C nanocubes as anode materials for Li-ion batteries
- Synergistic effects of halloysite nanotubes with metal and phosphorus additives on the optimal design of eco-friendly sandwich panels with maximum flame resistance and minimum weight
- Octreotide-conjugated silver nanoparticles for active targeting of somatostatin receptors and their application in a nebulized rat model
- Controllable morphology of Bi2S3 nanostructures formed via hydrothermal vulcanization of Bi2O3 thin-film layer and their photoelectrocatalytic performances
- Development of (−)-epigallocatechin-3-gallate-loaded folate receptor-targeted nanoparticles for prostate cancer treatment
- Enhancement of the mechanical properties of HDPE mineral nanocomposites by filler particles modulation of the matrix plastic/elastic behavior
- Effect of plasticizers on the properties of sugar palm nanocellulose/cinnamon essential oil reinforced starch bionanocomposite films
- Optimization of nano coating to reduce the thermal deformation of ball screws
- Preparation of efficient piezoelectric PVDF–HFP/Ni composite films by high electric field poling
- MHD dissipative Casson nanofluid liquid film flow due to an unsteady stretching sheet with radiation influence and slip velocity phenomenon
- Effects of nano-SiO2 modification on rubberised mortar and concrete with recycled coarse aggregates
- Mechanical and microscopic properties of fiber-reinforced coal gangue-based geopolymer concrete
- Effect of morphology and size on the thermodynamic stability of cerium oxide nanoparticles: Experiment and molecular dynamics calculation
- Mechanical performance of a CFRP composite reinforced via gelatin-CNTs: A study on fiber interfacial enhancement and matrix enhancement
- A practical review over surface modification, nanopatterns, emerging materials, drug delivery systems, and their biophysiochemical properties for dental implants: Recent progresses and advances
- HTR: An ultra-high speed algorithm for cage recognition of clathrate hydrates
- Effects of microalloying elements added by in situ synthesis on the microstructure of WCu composites
- A highly sensitive nanobiosensor based on aptamer-conjugated graphene-decorated rhodium nanoparticles for detection of HER2-positive circulating tumor cells
- Progressive collapse performance of shear strengthened RC frames by nano CFRP
- Core–shell heterostructured composites of carbon nanotubes and imine-linked hyperbranched polymers as metal-free Li-ion anodes
- A Galerkin strategy for tri-hybridized mixture in ethylene glycol comprising variable diffusion and thermal conductivity using non-Fourier’s theory
- Simple models for tensile modulus of shape memory polymer nanocomposites at ambient temperature
- Preparation and morphological studies of tin sulfide nanoparticles and use as efficient photocatalysts for the degradation of rhodamine B and phenol
- Polyethyleneimine-impregnated activated carbon nanofiber composited graphene-derived rice husk char for efficient post-combustion CO2 capture
- Electrospun nanofibers of Co3O4 nanocrystals encapsulated in cyclized-polyacrylonitrile for lithium storage
- Pitting corrosion induced on high-strength high carbon steel wire in high alkaline deaerated chloride electrolyte
- Formulation of polymeric nanoparticles loaded sorafenib; evaluation of cytotoxicity, molecular evaluation, and gene expression studies in lung and breast cancer cell lines
- Engineered nanocomposites in asphalt binders
- Influence of loading voltage, domain ratio, and additional load on the actuation of dielectric elastomer
- Thermally induced hex-graphene transitions in 2D carbon crystals
- The surface modification effect on the interfacial properties of glass fiber-reinforced epoxy: A molecular dynamics study
- Molecular dynamics study of deformation mechanism of interfacial microzone of Cu/Al2Cu/Al composites under tension
- Nanocolloid simulators of luminescent solar concentrator photovoltaic windows
- Compressive strength and anti-chloride ion penetration assessment of geopolymer mortar merging PVA fiber and nano-SiO2 using RBF–BP composite neural network
- Effect of 3-mercapto-1-propane sulfonate sulfonic acid and polyvinylpyrrolidone on the growth of cobalt pillar by electrodeposition
- Dynamics of convective slippery constraints on hybrid radiative Sutterby nanofluid flow by Galerkin finite element simulation
- Preparation of vanadium by the magnesiothermic self-propagating reduction and process control
- Microstructure-dependent photoelectrocatalytic activity of heterogeneous ZnO–ZnS nanosheets
- Cytotoxic and pro-inflammatory effects of molybdenum and tungsten disulphide on human bronchial cells
- Improving recycled aggregate concrete by compression casting and nano-silica
- Chemically reactive Maxwell nanoliquid flow by a stretching surface in the frames of Newtonian heating, nonlinear convection and radiative flux: Nanopolymer flow processing simulation
- Nonlinear dynamic and crack behaviors of carbon nanotubes-reinforced composites with various geometries
- Biosynthesis of copper oxide nanoparticles and its therapeutic efficacy against colon cancer
- Synthesis and characterization of smart stimuli-responsive herbal drug-encapsulated nanoniosome particles for efficient treatment of breast cancer
- Homotopic simulation for heat transport phenomenon of the Burgers nanofluids flow over a stretching cylinder with thermal convective and zero mass flux conditions
- Incorporation of copper and strontium ions in TiO2 nanotubes via dopamine to enhance hemocompatibility and cytocompatibility
- Mechanical, thermal, and barrier properties of starch films incorporated with chitosan nanoparticles
- Mechanical properties and microstructure of nano-strengthened recycled aggregate concrete
- Glucose-responsive nanogels efficiently maintain the stability and activity of therapeutic enzymes
- Tunning matrix rheology and mechanical performance of ultra-high performance concrete using cellulose nanofibers
- Flexible MXene/copper/cellulose nanofiber heat spreader films with enhanced thermal conductivity
- Promoted charge separation and specific surface area via interlacing of N-doped titanium dioxide nanotubes on carbon nitride nanosheets for photocatalytic degradation of Rhodamine B
- Elucidating the role of silicon dioxide and titanium dioxide nanoparticles in mitigating the disease of the eggplant caused by Phomopsis vexans, Ralstonia solanacearum, and root-knot nematode Meloidogyne incognita
- An implication of magnetic dipole in Carreau Yasuda liquid influenced by engine oil using ternary hybrid nanomaterial
- Robust synthesis of a composite phase of copper vanadium oxide with enhanced performance for durable aqueous Zn-ion batteries
- Tunning self-assembled phases of bovine serum albumin via hydrothermal process to synthesize novel functional hydrogel for skin protection against UVB
- A comparative experimental study on damping properties of epoxy nanocomposite beams reinforced with carbon nanotubes and graphene nanoplatelets
- Lightweight and hydrophobic Ni/GO/PVA composite aerogels for ultrahigh performance electromagnetic interference shielding
- Research on the auxetic behavior and mechanical properties of periodically rotating graphene nanostructures
- Repairing performances of novel cement mortar modified with graphene oxide and polyacrylate polymer
- Closed-loop recycling and fabrication of hydrophilic CNT films with high performance
- Design of thin-film configuration of SnO2–Ag2O composites for NO2 gas-sensing applications
- Study on stress distribution of SiC/Al composites based on microstructure models with microns and nanoparticles
- PVDF green nanofibers as potential carriers for improving self-healing and mechanical properties of carbon fiber/epoxy prepregs
- Osteogenesis capability of three-dimensionally printed poly(lactic acid)-halloysite nanotube scaffolds containing strontium ranelate
- Silver nanoparticles induce mitochondria-dependent apoptosis and late non-canonical autophagy in HT-29 colon cancer cells
- Preparation and bonding mechanisms of polymer/metal hybrid composite by nano molding technology
- Damage self-sensing and strain monitoring of glass-reinforced epoxy composite impregnated with graphene nanoplatelet and multiwalled carbon nanotubes
- Thermal analysis characterisation of solar-powered ship using Oldroyd hybrid nanofluids in parabolic trough solar collector: An optimal thermal application
- Pyrene-functionalized halloysite nanotubes for simultaneously detecting and separating Hg(ii) in aqueous media: A comprehensive comparison on interparticle and intraparticle excimers
- Fabrication of self-assembly CNT flexible film and its piezoresistive sensing behaviors
- Thermal valuation and entropy inspection of second-grade nanoscale fluid flow over a stretching surface by applying Koo–Kleinstreuer–Li relation
- Mechanical properties and microstructure of nano-SiO2 and basalt-fiber-reinforced recycled aggregate concrete
- Characterization and tribology performance of polyaniline-coated nanodiamond lubricant additives
- Combined impact of Marangoni convection and thermophoretic particle deposition on chemically reactive transport of nanofluid flow over a stretching surface
- Spark plasma extrusion of binder free hydroxyapatite powder
- An investigation on thermo-mechanical performance of graphene-oxide-reinforced shape memory polymer
- Effect of nanoadditives on the novel leather fiber/recycled poly(ethylene-vinyl-acetate) polymer composites for multifunctional applications: Fabrication, characterizations, and multiobjective optimization using central composite design
- Design selection for a hemispherical dimple core sandwich panel using hybrid multi-criteria decision-making methods
- Improving tensile strength and impact toughness of plasticized poly(lactic acid) biocomposites by incorporating nanofibrillated cellulose
- Green synthesis of spinel copper ferrite (CuFe2O4) nanoparticles and their toxicity
- The effect of TaC and NbC hybrid and mono-nanoparticles on AA2024 nanocomposites: Microstructure, strengthening, and artificial aging
- Excited-state geometry relaxation of pyrene-modified cellulose nanocrystals under UV-light excitation for detecting Fe3+
- Effect of CNTs and MEA on the creep of face-slab concrete at an early age
- Effect of deformation conditions on compression phase transformation of AZ31
- Application of MXene as a new generation of highly conductive coating materials for electromembrane-surrounded solid-phase microextraction
- A comparative study of the elasto-plastic properties for ceramic nanocomposites filled by graphene or graphene oxide nanoplates
- Encapsulation strategies for improving the biological behavior of CdS@ZIF-8 nanocomposites
- Biosynthesis of ZnO NPs from pumpkin seeds’ extract and elucidation of its anticancer potential against breast cancer
- Preliminary trials of the gold nanoparticles conjugated chrysin: An assessment of anti-oxidant, anti-microbial, and in vitro cytotoxic activities of a nanoformulated flavonoid
- Effect of micron-scale pores increased by nano-SiO2 sol modification on the strength of cement mortar
- Fractional simulations for thermal flow of hybrid nanofluid with aluminum oxide and titanium oxide nanoparticles with water and blood base fluids
- The effect of graphene nano-powder on the viscosity of water: An experimental study and artificial neural network modeling
- Development of a novel heat- and shear-resistant nano-silica gelling agent
- Characterization, biocompatibility and in vivo of nominal MnO2-containing wollastonite glass-ceramic
- Entropy production simulation of second-grade magnetic nanomaterials flowing across an expanding surface with viscidness dissipative flux
- Enhancement in structural, morphological, and optical properties of copper oxide for optoelectronic device applications
- Aptamer-functionalized chitosan-coated gold nanoparticle complex as a suitable targeted drug carrier for improved breast cancer treatment
- Performance and overall evaluation of nano-alumina-modified asphalt mixture
- Analysis of pure nanofluid (GO/engine oil) and hybrid nanofluid (GO–Fe3O4/engine oil): Novel thermal and magnetic features
- Synthesis of Ag@AgCl modified anatase/rutile/brookite mixed phase TiO2 and their photocatalytic property
- Mechanisms and influential variables on the abrasion resistance hydraulic concrete
- Synergistic reinforcement mechanism of basalt fiber/cellulose nanocrystals/polypropylene composites
- Achieving excellent oxidation resistance and mechanical properties of TiB2–B4C/carbon aerogel composites by quick-gelation and mechanical mixing
- Microwave-assisted sol–gel template-free synthesis and characterization of silica nanoparticles obtained from South African coal fly ash
- Pulsed laser-assisted synthesis of nano nickel(ii) oxide-anchored graphitic carbon nitride: Characterizations and their potential antibacterial/anti-biofilm applications
- Effects of nano-ZrSi2 on thermal stability of phenolic resin and thermal reusability of quartz–phenolic composites
- Benzaldehyde derivatives on tin electroplating as corrosion resistance for fabricating copper circuit
- Mechanical and heat transfer properties of 4D-printed shape memory graphene oxide/epoxy acrylate composites
- Coupling the vanadium-induced amorphous/crystalline NiFe2O4 with phosphide heterojunction toward active oxygen evolution reaction catalysts
- Graphene-oxide-reinforced cement composites mechanical and microstructural characteristics at elevated temperatures
- Gray correlation analysis of factors influencing compressive strength and durability of nano-SiO2 and PVA fiber reinforced geopolymer mortar
- Preparation of layered gradient Cu–Cr–Ti alloy with excellent mechanical properties, thermal stability, and electrical conductivity
- Recovery of Cr from chrome-containing leather wastes to develop aluminum-based composite material along with Al2O3 ceramic particles: An ingenious approach
- Mechanisms of the improved stiffness of flexible polymers under impact loading
- Anticancer potential of gold nanoparticles (AuNPs) using a battery of in vitro tests
- Review Articles
- Proposed approaches for coronaviruses elimination from wastewater: Membrane techniques and nanotechnology solutions
- Application of Pickering emulsion in oil drilling and production
- The contribution of microfluidics to the fight against tuberculosis
- Graphene-based biosensors for disease theranostics: Development, applications, and recent advancements
- Synthesis and encapsulation of iron oxide nanorods for application in magnetic hyperthermia and photothermal therapy
- Contemporary nano-architectured drugs and leads for ανβ3 integrin-based chemotherapy: Rationale and retrospect
- State-of-the-art review of fabrication, application, and mechanical properties of functionally graded porous nanocomposite materials
- Insights on magnetic spinel ferrites for targeted drug delivery and hyperthermia applications
- A review on heterogeneous oxidation of acetaminophen based on micro and nanoparticles catalyzed by different activators
- Early diagnosis of lung cancer using magnetic nanoparticles-integrated systems
- Advances in ZnO: Manipulation of defects for enhancing their technological potentials
- Efficacious nanomedicine track toward combating COVID-19
- A review of the design, processes, and properties of Mg-based composites
- Green synthesis of nanoparticles for varied applications: Green renewable resources and energy-efficient synthetic routes
- Two-dimensional nanomaterial-based polymer composites: Fundamentals and applications
- Recent progress and challenges in plasmonic nanomaterials
- Apoptotic cell-derived micro/nanosized extracellular vesicles in tissue regeneration
- Electronic noses based on metal oxide nanowires: A review
- Framework materials for supercapacitors
- An overview on the reproductive toxicity of graphene derivatives: Highlighting the importance
- Antibacterial nanomaterials: Upcoming hope to overcome antibiotic resistance crisis
- Research progress of carbon materials in the field of three-dimensional printing polymer nanocomposites
- A review of atomic layer deposition modelling and simulation methodologies: Density functional theory and molecular dynamics
- Recent advances in the preparation of PVDF-based piezoelectric materials
- Recent developments in tensile properties of friction welding of carbon fiber-reinforced composite: A review
- Comprehensive review of the properties of fly ash-based geopolymer with additive of nano-SiO2
- Perspectives in biopolymer/graphene-based composite application: Advances, challenges, and recommendations
- Graphene-based nanocomposite using new modeling molecular dynamic simulations for proposed neutralizing mechanism and real-time sensing of COVID-19
- Nanotechnology application on bamboo materials: A review
- Recent developments and future perspectives of biorenewable nanocomposites for advanced applications
- Nanostructured lipid carrier system: A compendium of their formulation development approaches, optimization strategies by quality by design, and recent applications in drug delivery
- 3D printing customized design of human bone tissue implant and its application
- Design, preparation, and functionalization of nanobiomaterials for enhanced efficacy in current and future biomedical applications
- A brief review of nanoparticles-doped PEDOT:PSS nanocomposite for OLED and OPV
- Nanotechnology interventions as a putative tool for the treatment of dental afflictions
- Recent advancements in metal–organic frameworks integrating quantum dots (QDs@MOF) and their potential applications
- A focused review of short electrospun nanofiber preparation techniques for composite reinforcement
- Microstructural characteristics and nano-modification of interfacial transition zone in concrete: A review
- Latest developments in the upconversion nanotechnology for the rapid detection of food safety: A review
- Strategic applications of nano-fertilizers for sustainable agriculture: Benefits and bottlenecks
- Molecular dynamics application of cocrystal energetic materials: A review
- Synthesis and application of nanometer hydroxyapatite in biomedicine
- Cutting-edge development in waste-recycled nanomaterials for energy storage and conversion applications
- Biological applications of ternary quantum dots: A review
- Nanotherapeutics for hydrogen sulfide-involved treatment: An emerging approach for cancer therapy
- Application of antibacterial nanoparticles in orthodontic materials
- Effect of natural-based biological hydrogels combined with growth factors on skin wound healing
- Nanozymes – A route to overcome microbial resistance: A viewpoint
- Recent developments and applications of smart nanoparticles in biomedicine
- Contemporary review on carbon nanotube (CNT) composites and their impact on multifarious applications
- Interfacial interactions and reinforcing mechanisms of cellulose and chitin nanomaterials and starch derivatives for cement and concrete strength and durability enhancement: A review
- Diamond-like carbon films for tribological modification of rubber
- Layered double hydroxides (LDHs) modified cement-based materials: A systematic review
- Recent research progress and advanced applications of silica/polymer nanocomposites
- Modeling of supramolecular biopolymers: Leading the in silico revolution of tissue engineering and nanomedicine
- Recent advances in perovskites-based optoelectronics
- Biogenic synthesis of palladium nanoparticles: New production methods and applications
- A comprehensive review of nanofluids with fractional derivatives: Modeling and application
- Electrospinning of marine polysaccharides: Processing and chemical aspects, challenges, and future prospects
- Electrohydrodynamic printing for demanding devices: A review of processing and applications
- Rapid Communications
- Structural material with designed thermal twist for a simple actuation
- Recent advances in photothermal materials for solar-driven crude oil adsorption
Articles in the same Issue
- Research Articles
- Theoretical and experimental investigation of MWCNT dispersion effect on the elastic modulus of flexible PDMS/MWCNT nanocomposites
- Mechanical, morphological, and fracture-deformation behavior of MWCNTs-reinforced (Al–Cu–Mg–T351) alloy cast nanocomposites fabricated by optimized mechanical milling and powder metallurgy techniques
- Flammability and physical stability of sugar palm crystalline nanocellulose reinforced thermoplastic sugar palm starch/poly(lactic acid) blend bionanocomposites
- Glutathione-loaded non-ionic surfactant niosomes: A new approach to improve oral bioavailability and hepatoprotective efficacy of glutathione
- Relationship between mechano-bactericidal activity and nanoblades density on chemically strengthened glass
- In situ regulation of microstructure and microwave-absorbing properties of FeSiAl through HNO3 oxidation
- Research on a mechanical model of magnetorheological fluid different diameter particles
- Nanomechanical and dynamic mechanical properties of rubber–wood–plastic composites
- Investigative properties of CeO2 doped with niobium: A combined characterization and DFT studies
- Miniaturized peptidomimetics and nano-vesiculation in endothelin types through probable nano-disk formation and structure property relationships of endothelins’ fragments
- N/S co-doped CoSe/C nanocubes as anode materials for Li-ion batteries
- Synergistic effects of halloysite nanotubes with metal and phosphorus additives on the optimal design of eco-friendly sandwich panels with maximum flame resistance and minimum weight
- Octreotide-conjugated silver nanoparticles for active targeting of somatostatin receptors and their application in a nebulized rat model
- Controllable morphology of Bi2S3 nanostructures formed via hydrothermal vulcanization of Bi2O3 thin-film layer and their photoelectrocatalytic performances
- Development of (−)-epigallocatechin-3-gallate-loaded folate receptor-targeted nanoparticles for prostate cancer treatment
- Enhancement of the mechanical properties of HDPE mineral nanocomposites by filler particles modulation of the matrix plastic/elastic behavior
- Effect of plasticizers on the properties of sugar palm nanocellulose/cinnamon essential oil reinforced starch bionanocomposite films
- Optimization of nano coating to reduce the thermal deformation of ball screws
- Preparation of efficient piezoelectric PVDF–HFP/Ni composite films by high electric field poling
- MHD dissipative Casson nanofluid liquid film flow due to an unsteady stretching sheet with radiation influence and slip velocity phenomenon
- Effects of nano-SiO2 modification on rubberised mortar and concrete with recycled coarse aggregates
- Mechanical and microscopic properties of fiber-reinforced coal gangue-based geopolymer concrete
- Effect of morphology and size on the thermodynamic stability of cerium oxide nanoparticles: Experiment and molecular dynamics calculation
- Mechanical performance of a CFRP composite reinforced via gelatin-CNTs: A study on fiber interfacial enhancement and matrix enhancement
- A practical review over surface modification, nanopatterns, emerging materials, drug delivery systems, and their biophysiochemical properties for dental implants: Recent progresses and advances
- HTR: An ultra-high speed algorithm for cage recognition of clathrate hydrates
- Effects of microalloying elements added by in situ synthesis on the microstructure of WCu composites
- A highly sensitive nanobiosensor based on aptamer-conjugated graphene-decorated rhodium nanoparticles for detection of HER2-positive circulating tumor cells
- Progressive collapse performance of shear strengthened RC frames by nano CFRP
- Core–shell heterostructured composites of carbon nanotubes and imine-linked hyperbranched polymers as metal-free Li-ion anodes
- A Galerkin strategy for tri-hybridized mixture in ethylene glycol comprising variable diffusion and thermal conductivity using non-Fourier’s theory
- Simple models for tensile modulus of shape memory polymer nanocomposites at ambient temperature
- Preparation and morphological studies of tin sulfide nanoparticles and use as efficient photocatalysts for the degradation of rhodamine B and phenol
- Polyethyleneimine-impregnated activated carbon nanofiber composited graphene-derived rice husk char for efficient post-combustion CO2 capture
- Electrospun nanofibers of Co3O4 nanocrystals encapsulated in cyclized-polyacrylonitrile for lithium storage
- Pitting corrosion induced on high-strength high carbon steel wire in high alkaline deaerated chloride electrolyte
- Formulation of polymeric nanoparticles loaded sorafenib; evaluation of cytotoxicity, molecular evaluation, and gene expression studies in lung and breast cancer cell lines
- Engineered nanocomposites in asphalt binders
- Influence of loading voltage, domain ratio, and additional load on the actuation of dielectric elastomer
- Thermally induced hex-graphene transitions in 2D carbon crystals
- The surface modification effect on the interfacial properties of glass fiber-reinforced epoxy: A molecular dynamics study
- Molecular dynamics study of deformation mechanism of interfacial microzone of Cu/Al2Cu/Al composites under tension
- Nanocolloid simulators of luminescent solar concentrator photovoltaic windows
- Compressive strength and anti-chloride ion penetration assessment of geopolymer mortar merging PVA fiber and nano-SiO2 using RBF–BP composite neural network
- Effect of 3-mercapto-1-propane sulfonate sulfonic acid and polyvinylpyrrolidone on the growth of cobalt pillar by electrodeposition
- Dynamics of convective slippery constraints on hybrid radiative Sutterby nanofluid flow by Galerkin finite element simulation
- Preparation of vanadium by the magnesiothermic self-propagating reduction and process control
- Microstructure-dependent photoelectrocatalytic activity of heterogeneous ZnO–ZnS nanosheets
- Cytotoxic and pro-inflammatory effects of molybdenum and tungsten disulphide on human bronchial cells
- Improving recycled aggregate concrete by compression casting and nano-silica
- Chemically reactive Maxwell nanoliquid flow by a stretching surface in the frames of Newtonian heating, nonlinear convection and radiative flux: Nanopolymer flow processing simulation
- Nonlinear dynamic and crack behaviors of carbon nanotubes-reinforced composites with various geometries
- Biosynthesis of copper oxide nanoparticles and its therapeutic efficacy against colon cancer
- Synthesis and characterization of smart stimuli-responsive herbal drug-encapsulated nanoniosome particles for efficient treatment of breast cancer
- Homotopic simulation for heat transport phenomenon of the Burgers nanofluids flow over a stretching cylinder with thermal convective and zero mass flux conditions
- Incorporation of copper and strontium ions in TiO2 nanotubes via dopamine to enhance hemocompatibility and cytocompatibility
- Mechanical, thermal, and barrier properties of starch films incorporated with chitosan nanoparticles
- Mechanical properties and microstructure of nano-strengthened recycled aggregate concrete
- Glucose-responsive nanogels efficiently maintain the stability and activity of therapeutic enzymes
- Tunning matrix rheology and mechanical performance of ultra-high performance concrete using cellulose nanofibers
- Flexible MXene/copper/cellulose nanofiber heat spreader films with enhanced thermal conductivity
- Promoted charge separation and specific surface area via interlacing of N-doped titanium dioxide nanotubes on carbon nitride nanosheets for photocatalytic degradation of Rhodamine B
- Elucidating the role of silicon dioxide and titanium dioxide nanoparticles in mitigating the disease of the eggplant caused by Phomopsis vexans, Ralstonia solanacearum, and root-knot nematode Meloidogyne incognita
- An implication of magnetic dipole in Carreau Yasuda liquid influenced by engine oil using ternary hybrid nanomaterial
- Robust synthesis of a composite phase of copper vanadium oxide with enhanced performance for durable aqueous Zn-ion batteries
- Tunning self-assembled phases of bovine serum albumin via hydrothermal process to synthesize novel functional hydrogel for skin protection against UVB
- A comparative experimental study on damping properties of epoxy nanocomposite beams reinforced with carbon nanotubes and graphene nanoplatelets
- Lightweight and hydrophobic Ni/GO/PVA composite aerogels for ultrahigh performance electromagnetic interference shielding
- Research on the auxetic behavior and mechanical properties of periodically rotating graphene nanostructures
- Repairing performances of novel cement mortar modified with graphene oxide and polyacrylate polymer
- Closed-loop recycling and fabrication of hydrophilic CNT films with high performance
- Design of thin-film configuration of SnO2–Ag2O composites for NO2 gas-sensing applications
- Study on stress distribution of SiC/Al composites based on microstructure models with microns and nanoparticles
- PVDF green nanofibers as potential carriers for improving self-healing and mechanical properties of carbon fiber/epoxy prepregs
- Osteogenesis capability of three-dimensionally printed poly(lactic acid)-halloysite nanotube scaffolds containing strontium ranelate
- Silver nanoparticles induce mitochondria-dependent apoptosis and late non-canonical autophagy in HT-29 colon cancer cells
- Preparation and bonding mechanisms of polymer/metal hybrid composite by nano molding technology
- Damage self-sensing and strain monitoring of glass-reinforced epoxy composite impregnated with graphene nanoplatelet and multiwalled carbon nanotubes
- Thermal analysis characterisation of solar-powered ship using Oldroyd hybrid nanofluids in parabolic trough solar collector: An optimal thermal application
- Pyrene-functionalized halloysite nanotubes for simultaneously detecting and separating Hg(ii) in aqueous media: A comprehensive comparison on interparticle and intraparticle excimers
- Fabrication of self-assembly CNT flexible film and its piezoresistive sensing behaviors
- Thermal valuation and entropy inspection of second-grade nanoscale fluid flow over a stretching surface by applying Koo–Kleinstreuer–Li relation
- Mechanical properties and microstructure of nano-SiO2 and basalt-fiber-reinforced recycled aggregate concrete
- Characterization and tribology performance of polyaniline-coated nanodiamond lubricant additives
- Combined impact of Marangoni convection and thermophoretic particle deposition on chemically reactive transport of nanofluid flow over a stretching surface
- Spark plasma extrusion of binder free hydroxyapatite powder
- An investigation on thermo-mechanical performance of graphene-oxide-reinforced shape memory polymer
- Effect of nanoadditives on the novel leather fiber/recycled poly(ethylene-vinyl-acetate) polymer composites for multifunctional applications: Fabrication, characterizations, and multiobjective optimization using central composite design
- Design selection for a hemispherical dimple core sandwich panel using hybrid multi-criteria decision-making methods
- Improving tensile strength and impact toughness of plasticized poly(lactic acid) biocomposites by incorporating nanofibrillated cellulose
- Green synthesis of spinel copper ferrite (CuFe2O4) nanoparticles and their toxicity
- The effect of TaC and NbC hybrid and mono-nanoparticles on AA2024 nanocomposites: Microstructure, strengthening, and artificial aging
- Excited-state geometry relaxation of pyrene-modified cellulose nanocrystals under UV-light excitation for detecting Fe3+
- Effect of CNTs and MEA on the creep of face-slab concrete at an early age
- Effect of deformation conditions on compression phase transformation of AZ31
- Application of MXene as a new generation of highly conductive coating materials for electromembrane-surrounded solid-phase microextraction
- A comparative study of the elasto-plastic properties for ceramic nanocomposites filled by graphene or graphene oxide nanoplates
- Encapsulation strategies for improving the biological behavior of CdS@ZIF-8 nanocomposites
- Biosynthesis of ZnO NPs from pumpkin seeds’ extract and elucidation of its anticancer potential against breast cancer
- Preliminary trials of the gold nanoparticles conjugated chrysin: An assessment of anti-oxidant, anti-microbial, and in vitro cytotoxic activities of a nanoformulated flavonoid
- Effect of micron-scale pores increased by nano-SiO2 sol modification on the strength of cement mortar
- Fractional simulations for thermal flow of hybrid nanofluid with aluminum oxide and titanium oxide nanoparticles with water and blood base fluids
- The effect of graphene nano-powder on the viscosity of water: An experimental study and artificial neural network modeling
- Development of a novel heat- and shear-resistant nano-silica gelling agent
- Characterization, biocompatibility and in vivo of nominal MnO2-containing wollastonite glass-ceramic
- Entropy production simulation of second-grade magnetic nanomaterials flowing across an expanding surface with viscidness dissipative flux
- Enhancement in structural, morphological, and optical properties of copper oxide for optoelectronic device applications
- Aptamer-functionalized chitosan-coated gold nanoparticle complex as a suitable targeted drug carrier for improved breast cancer treatment
- Performance and overall evaluation of nano-alumina-modified asphalt mixture
- Analysis of pure nanofluid (GO/engine oil) and hybrid nanofluid (GO–Fe3O4/engine oil): Novel thermal and magnetic features
- Synthesis of Ag@AgCl modified anatase/rutile/brookite mixed phase TiO2 and their photocatalytic property
- Mechanisms and influential variables on the abrasion resistance hydraulic concrete
- Synergistic reinforcement mechanism of basalt fiber/cellulose nanocrystals/polypropylene composites
- Achieving excellent oxidation resistance and mechanical properties of TiB2–B4C/carbon aerogel composites by quick-gelation and mechanical mixing
- Microwave-assisted sol–gel template-free synthesis and characterization of silica nanoparticles obtained from South African coal fly ash
- Pulsed laser-assisted synthesis of nano nickel(ii) oxide-anchored graphitic carbon nitride: Characterizations and their potential antibacterial/anti-biofilm applications
- Effects of nano-ZrSi2 on thermal stability of phenolic resin and thermal reusability of quartz–phenolic composites
- Benzaldehyde derivatives on tin electroplating as corrosion resistance for fabricating copper circuit
- Mechanical and heat transfer properties of 4D-printed shape memory graphene oxide/epoxy acrylate composites
- Coupling the vanadium-induced amorphous/crystalline NiFe2O4 with phosphide heterojunction toward active oxygen evolution reaction catalysts
- Graphene-oxide-reinforced cement composites mechanical and microstructural characteristics at elevated temperatures
- Gray correlation analysis of factors influencing compressive strength and durability of nano-SiO2 and PVA fiber reinforced geopolymer mortar
- Preparation of layered gradient Cu–Cr–Ti alloy with excellent mechanical properties, thermal stability, and electrical conductivity
- Recovery of Cr from chrome-containing leather wastes to develop aluminum-based composite material along with Al2O3 ceramic particles: An ingenious approach
- Mechanisms of the improved stiffness of flexible polymers under impact loading
- Anticancer potential of gold nanoparticles (AuNPs) using a battery of in vitro tests
- Review Articles
- Proposed approaches for coronaviruses elimination from wastewater: Membrane techniques and nanotechnology solutions
- Application of Pickering emulsion in oil drilling and production
- The contribution of microfluidics to the fight against tuberculosis
- Graphene-based biosensors for disease theranostics: Development, applications, and recent advancements
- Synthesis and encapsulation of iron oxide nanorods for application in magnetic hyperthermia and photothermal therapy
- Contemporary nano-architectured drugs and leads for ανβ3 integrin-based chemotherapy: Rationale and retrospect
- State-of-the-art review of fabrication, application, and mechanical properties of functionally graded porous nanocomposite materials
- Insights on magnetic spinel ferrites for targeted drug delivery and hyperthermia applications
- A review on heterogeneous oxidation of acetaminophen based on micro and nanoparticles catalyzed by different activators
- Early diagnosis of lung cancer using magnetic nanoparticles-integrated systems
- Advances in ZnO: Manipulation of defects for enhancing their technological potentials
- Efficacious nanomedicine track toward combating COVID-19
- A review of the design, processes, and properties of Mg-based composites
- Green synthesis of nanoparticles for varied applications: Green renewable resources and energy-efficient synthetic routes
- Two-dimensional nanomaterial-based polymer composites: Fundamentals and applications
- Recent progress and challenges in plasmonic nanomaterials
- Apoptotic cell-derived micro/nanosized extracellular vesicles in tissue regeneration
- Electronic noses based on metal oxide nanowires: A review
- Framework materials for supercapacitors
- An overview on the reproductive toxicity of graphene derivatives: Highlighting the importance
- Antibacterial nanomaterials: Upcoming hope to overcome antibiotic resistance crisis
- Research progress of carbon materials in the field of three-dimensional printing polymer nanocomposites
- A review of atomic layer deposition modelling and simulation methodologies: Density functional theory and molecular dynamics
- Recent advances in the preparation of PVDF-based piezoelectric materials
- Recent developments in tensile properties of friction welding of carbon fiber-reinforced composite: A review
- Comprehensive review of the properties of fly ash-based geopolymer with additive of nano-SiO2
- Perspectives in biopolymer/graphene-based composite application: Advances, challenges, and recommendations
- Graphene-based nanocomposite using new modeling molecular dynamic simulations for proposed neutralizing mechanism and real-time sensing of COVID-19
- Nanotechnology application on bamboo materials: A review
- Recent developments and future perspectives of biorenewable nanocomposites for advanced applications
- Nanostructured lipid carrier system: A compendium of their formulation development approaches, optimization strategies by quality by design, and recent applications in drug delivery
- 3D printing customized design of human bone tissue implant and its application
- Design, preparation, and functionalization of nanobiomaterials for enhanced efficacy in current and future biomedical applications
- A brief review of nanoparticles-doped PEDOT:PSS nanocomposite for OLED and OPV
- Nanotechnology interventions as a putative tool for the treatment of dental afflictions
- Recent advancements in metal–organic frameworks integrating quantum dots (QDs@MOF) and their potential applications
- A focused review of short electrospun nanofiber preparation techniques for composite reinforcement
- Microstructural characteristics and nano-modification of interfacial transition zone in concrete: A review
- Latest developments in the upconversion nanotechnology for the rapid detection of food safety: A review
- Strategic applications of nano-fertilizers for sustainable agriculture: Benefits and bottlenecks
- Molecular dynamics application of cocrystal energetic materials: A review
- Synthesis and application of nanometer hydroxyapatite in biomedicine
- Cutting-edge development in waste-recycled nanomaterials for energy storage and conversion applications
- Biological applications of ternary quantum dots: A review
- Nanotherapeutics for hydrogen sulfide-involved treatment: An emerging approach for cancer therapy
- Application of antibacterial nanoparticles in orthodontic materials
- Effect of natural-based biological hydrogels combined with growth factors on skin wound healing
- Nanozymes – A route to overcome microbial resistance: A viewpoint
- Recent developments and applications of smart nanoparticles in biomedicine
- Contemporary review on carbon nanotube (CNT) composites and their impact on multifarious applications
- Interfacial interactions and reinforcing mechanisms of cellulose and chitin nanomaterials and starch derivatives for cement and concrete strength and durability enhancement: A review
- Diamond-like carbon films for tribological modification of rubber
- Layered double hydroxides (LDHs) modified cement-based materials: A systematic review
- Recent research progress and advanced applications of silica/polymer nanocomposites
- Modeling of supramolecular biopolymers: Leading the in silico revolution of tissue engineering and nanomedicine
- Recent advances in perovskites-based optoelectronics
- Biogenic synthesis of palladium nanoparticles: New production methods and applications
- A comprehensive review of nanofluids with fractional derivatives: Modeling and application
- Electrospinning of marine polysaccharides: Processing and chemical aspects, challenges, and future prospects
- Electrohydrodynamic printing for demanding devices: A review of processing and applications
- Rapid Communications
- Structural material with designed thermal twist for a simple actuation
- Recent advances in photothermal materials for solar-driven crude oil adsorption