Abstract
The integrins belong to the cell-surface polypeptide family and are the mediating partners among the cells, and extracellular matrix (ECM). They are also involved in the biological processes of cell migration, wound healing, blood clotting, immunological response generation, tissue morphogenesis, leucocyte reticulations, and angiogenesis and are therefore very relevant in stem cell technology and are useful as biomarkers, diagnostic probes, and drug-target ligands. The ανβ3 (alpha-nu-beta3) integrin antagonists are an excellent target example for designing and developing newer drug candidates, drug leads and templates for various diseases, and physiological malfunctioning, including cancers. The current review examines the ανβ3 integrin structural features involved in the drug design and its antagonistic ligands and highlights the development of anti-ανβ3 integrin-antagonists as nano-architectural design-based nanomedicine, especially for cancer chemotherapy. The perspectival review discusses the ανβ3 integrin structure, mode of action, involved pathways, and the concepts utilized in nanomedicine design, and ligands related to integrins. It also covers the latest thyrointegrin approaches toward the development of anti-angiogenesis agents and entails the anti-angiogenesis approach to cancer growth inhibition through targeting by the anti-integrin ligands and related chemical entities. The current perspective on the nano-architectural design approach for the known anti-integrin compounds is also outlined.
Graphical abstract
The ανβ3 integrin antagonistic ligands, i.e., drugs as nano-architectural design-based nanomedicine, especially for cancer chemotherapy, are discussed.

1 Introduction
The functioning of multicellular organisms involves complex interactions within the cells, in the extracellular matrix (ECM), surrounding cells, and other bio-entities in the ECM arena, and integrins are the foremost bio-entities involved in these actions [1]. In multicellular organizations, cells adherence, facilitated through the integrins, has a distinctive and diverse role for a number of biological level feedback, signaling, physico-chemical, physico-mechanical, and biomechanistics aspects of cell and organ functions, such as cell divisions, maintenance of tissue integrity, embryonic cell development during embryo development, cell migration, cell proliferation, blood cell involvement, blood coagulation, and immune system functioning [2]. Any modification in the cellular structure, functions, cellular etiology, and cellular adhesion may cause several diseases including atherosclerosis, inflammatory disorders, and different types of cancers. This has helped to identify the integrins as an appealing target for the discovery and development of new and improved therapeutic agents.
Integrins, the vital component in cells’ signal transduction and biochemical functioning at physiological and biochemical levels, have been located in several organs and their tissues and are expressed as part of the cell function requirements, immunological dealings, and signal transduction activities. Several integrin types, with specificity to different receptors, i.e., RGD, collagen, laminin, and leucocyte-specifics, are known (Figure 1). Among the vertebrates, including human’s integrins, the ανβ3 (alpha-nu-beta3) is the most commonly expressed integrin in proliferative endothelial cell types, vascular smooth muscle cells, macrophages, and the monocytes. These integrins are involved in signal transduction through different signaling pathways within and across the cells, with the ECM components, and in blood cells in various tissues and organs. The integrins are also involved in angiogenesis and tumor cells of several organs in facilitating types of cancer cell proliferation and cancer metastasis [3].

Integrin superfamily of vertebrates’ origins including humans. With the α and β subunits combining to form heterodimeric integrins, and the ongoing discoveries, the number of α and β subunits are increasing {(α) n and (β) n } to add to new integrin types.
2 Integrins: Structure, heterodimeric injunction, and functional domains
Structurally, the integrins are a family of polypeptidic receptors and mainly function as cell adhesion receptors. The integrins are noncovalently linked, heterodimeric molecules incorporating an α and a β subunit as part of their tertiary structure and are embedded across the plasma membrane. These portions contain a high molecular weight fraction of the integrin structure outside of the cell, and the shorter ratio of the structural part lies in the cytoplasm. Vertebrates’ origin integrin entities are composed of 24 α subunit types and 9 β subunits with specified structure types till date with different α–β combinations of receptors with different binding properties with various tissues distribution [4,5]. The α and β subunits form the outer cell located in ligand-binding domain, where two multidomain longer chains are termed as the “legs” with the two single-pass membrane helices and the two short cytoplasm embedded tails. These α and β subunits show nonuniformity, they do not express homology to each other, and their conserved regions are common among subtypes of both the subunit groups (Figure 2) [6,7]. Generally, an α subunit specifically associates with a particular β subunit only, e.g., α5 subunit only attaches to β1, wherein the β subunits are often more random in their organizations, e.g., the β2 subunit attaches with αM, αL, αX, and αD, except the subunit α 4, which is associated with the β1 and β7, and αV binds to β1, β3, β5, β6, and β8 subunits. Each of these subunits is composed of large extracellularly located amino acid (AA) sequence, together with ∼740–780 AAs as part of the β kinds of subunits. There is also a singular domain of the structure located across the membrane consisting of nearly 20 AAs together with a short structure part located in the cytoplasm having a chain length of 40–50 AAs (Figure 2) [8,9]. However, an exceptionally high chain length of 1,000 AAs is found for the β4 subunits [10]. There is a sevenfold repeating unit of about 60 AAs of the α subunits in the N-terminal half of the subunit, and these repeating units get folded into a single compact part, wherein they are arranged around a pseudo-symmetry axis to form the structural domain, called β-propeller.

Integrin α–β heterodimers identified and grouped according to the broad families, and the ligands bound by the heterodimer are presented in italics either under α subunit, β subunit, or adjacent to the αβ pair. Ligands BSP, bone sialoprotein; CD31, cluster of differentiation antigen 31; CO, collagens; dCO, denatured collagens; FG, fibrinogen; FN, fibronectin; L1, cell adhesion molecule; LN, laminins; dLN, denatured laminin; OP, osteopontin; TN, tenascin; TSP-1, thrombospondin; VN, vitronectin; vWF, von Willebrand fac. The ligands are listed in alphabetical order and are not presented as a major ligand for any of the receptors.
The ligand-binding substructure, the loops in α4β1 were identified by Irie et al. [11]. These loops are critical for ligand binding and are available as repeats of 2 and 4 loops on the upper-face side of the β-propeller (Figure 3). For the residues in the α5β1, they are in close proximity with the ligand-binding site of this integrin [12], which was found in close proximity to the propeller near the putative loop. Binding to integrins is achievable through divalent cation dependency. However, the role of the cation needs to be probed in detail. Certain repeats of the α subunit possess multiple cation-binding sites, and these sites were thought to be at the lower surface of the propeller [13]. Around ⅕ of the integrin α subunits possess an I-domain of nearly 200 AA, homologous to von Willebrand factor (vWF), and are located between the blades 2,3 of the β-propeller [14]. These I-domains mimic the ligand-binding characteristics of the intact integrin, and thus, the I-domain, whose structures are well understood, are involved in ligand binding [15,16,17,18]. The crystal structures of these domains have been determined for the αM, αL, and α2 subunits. These I-domains form Rossmann dinucleotide-type fold with a central β-sheet, consisting of five parallels and one antiparallel strand encircled by eight α-helices in association with divalent cation that is coordinated through the loops at the top to form metal ion-dependent site for adhesion. The I-domain had no other major structural motifs in the presence of either Mg++ or Mn++ or in the absence of cations, i.e., Zn++ (Figure 3a and b) [19].
![Figure 3
(a) Schematic diagram of an integrin α–β heterodimeric structure. Seven α subunits N-terminal repeats with the last four containing EF-hand-like divalent cation-binding sites. The seven repeats fold to form the β propeller part (β-sheets labeled as W1–W7). The putative I-domain-like structure of the integrin β subunit is also shown. The αM I-domains illustrate Rossmann folds as adopted by β I-domains. Down from the putative β I-domain-like motif are located four cysteine-rich epidermal growth factor-like repeats, inspired and with permission from Humphries [7]; (b) the crystal structure of the extracellular segment of the integrin ανβ3 with no bound RGD peptide. Source: Protein Data Bank, PDB code 1JV2) [14,21].](/document/doi/10.1515/ntrev-2022-0020/asset/graphic/j_ntrev-2022-0020_fig_003.jpg)
(a) Schematic diagram of an integrin α–β heterodimeric structure. Seven α subunits N-terminal repeats with the last four containing EF-hand-like divalent cation-binding sites. The seven repeats fold to form the β propeller part (β-sheets labeled as W1–W7). The putative I-domain-like structure of the integrin β subunit is also shown. The αM I-domains illustrate Rossmann folds as adopted by β I-domains. Down from the putative β I-domain-like motif are located four cysteine-rich epidermal growth factor-like repeats, inspired and with permission from Humphries [7]; (b) the crystal structure of the extracellular segment of the integrin ανβ3 with no bound RGD peptide. Source: Protein Data Bank, PDB code 1JV2) [14,21].
Integrin, ανβ3, possess a cluster of differentiation (CD), the antigen 31 for αV and 61 for β3. The X-ray diffraction (XRD) studies devised crystal structure showed αM I-domain in complex formation with a cation that is unusually bound to glutamic acid (Glu) AA residue rather than to the water molecule. The observation has led to speculation that Glu binding is mimicked by the aspartic acid (Asp) AA residue of the RGD (Arg-Gly-Asp) tripeptide, and the aspartic acid residue of another tripeptide LDV (Leu-Asp-Val) of the recognition sequence of the integrin also led to the design and preparation of several drugs and drug candidates as potential ανβ3 integrin inhibitors [20].
A number of ligands of small molecular weights (SMWs) and macromolecular templates of synthetic, recombinant, and biological origins bind to the integrin ανβ3 for regulating the cancer cell proliferation and metastasis; however, the cross-talks between the different integrin types and other entities of several types involved in signal transduction pathways affect the modulation of cancer proliferation and cancer metastasis by integrin interference. Also, the carcinoembryonic antigen cell adhesion molecule 6 (CEACAM6) is involved in activating the integrin focal adhesion kinase, a nonreceptor tyrosine kinase type toward stimulating many biological activities, including cancer proliferation and metastasis, and hence is of concern in cancer biology. The signaling inhibition of the ανβ3 integrin serves as an important hit point for developing effective therapies for different cancers of several organs and tissues. The role of Tetrac (3,3′,5,5′-tetraiodothyroacetic acid), which provides best receptor binding to the integrin receptor-binding domain, categorically subdues the cancer cell proliferation, and integrin works as a coactivator [3]. Several cancer conditions have been implicated to arise from different factors of structural and functional aberrations, and the ανβ3 integrin molecule, their ligands, and their heightened interactions promote several disease states. The hepatic stellate cells upon activation, liver sinusoidal endothelial cells on capillarization and the angiogenic endothelium, profusely express the ανβ3 integrin and are involved in liver disorders, including intrahepatic angiogenesis, liver fibrosis, and chronic liver diseases. Rationally designed protein ligands have also been developed to successfully reverse liver fibrosis and reduce the activated and capilarized liver cells [22]. Recently, a new class of integrin antibodies has been discovered for fibrosis [23]. The ανβ3 integrin ligand is also known to regulate the quantitative increase in smooth muscles’ hyperplasia to restrict Crohn’s disease [24]. The severely upregulated ανβ3 integrins in lung fibrosis, where the SSTR2 (somatostatin receptors subtype 2) helped to confirm the fibrosis after 2 weeks of induction, were used for imaging purposes [25]. The cancers of breasts, lungs, and prostate tend to metastasize in the bone and the bone marrow, owing to modulation in ανβ3 integrins’ expressions, and the processes of involved signaling, wherein the ανβ3 integrin was overexpressed and followed downstream signaling pathways to induce osteolysis, have been observed [26]. Integrin dysregulation is the key in tumor-induced bone destruction through metastatic participation of cancers, especially solid tumors [26]. Also, the ανβ3 integrin dysregulation together with the CD47 (cluster of differentiation 47, immunoglobulin, cell surface located, integrin associated) signaling is reported to promote inflammation of the joints, breakdown of cartilage, and osteoarthritic progression [27]. The ανβ3 and ανβ5 integrin receptor involvements in animal models of atherosclerosis and modulation of macrophagic functions through omentin-1 to reverse the plaque vulnerability have been reported recently [28]. Moreover, the ανβ3 integrin in podocyte-mediated kidney disease of chronic nature together with suPAR (soluble urokinase plasminogen activator receptor) and APOL1 (apolipoprotein L1) risk variants as part of a tripartite complex has also been reported [29]. An important understanding related to the structural motif changes in the integrin molecules led to conclude that the aberrant glycosylation of ανβ3 integrin is among one of the causes of progression of melanoma, which has been confirmed through the WM1205Lu cell lines, the highly metastatic variant of the WM793 primary melanoma cell line [30]. Cytomegalovirus, an opportunistic pathogen causing birth defects in neonatal and that altered physiological conditions in immuno-compromised individuals, has a co-receptor in aνβ3, together with epidermal growth factor receptor [31]. Moreover, all Parkinson-diseased (PD) and related syndromes showed higher ανβ3 levels in locus ceruleus and substantia nigra pars compacta in live subjects having incidental Lewy body disease with confirmed Lewy bodies, but the PD and progressive supranuclear palsy conditions exhibited higher ανβ3 levels in post-mortem brain tissues [32]. The ανβ3 integrin has also been proposed as a drug target for rheumatic disorders and rheumatoid arthritis [33]. Activation of ανβ3 integrin-based signaling promotes fibrotic changes in glaucoma and glucocorticoid-induced glaucoma [34]. The inflamed muscles, especially in hypoxia and ischemia, also promote higher expressions of ανβ3, an angiogenic factor [35]. The prominent role of ανβ3 integrin in tumor angiogenesis has led to strategies to counter them for further angiogenesis, tumor growth inhibition, and metastasis of cancer [36].
The thyroid-regulated disorders and involvement of the ανβ3 integrin are well known [37,38,39,40,41,42]. The angiogenic signaling in multipotent stem cells through the ανβ3 integrin is also influenced by the thyroid hormones. The proven role of Tetrac, an ingredient of thyroid hormones, in the antiangiogenic role in the tumor microenvironment has also been established [43]. The thyroid hormonal role in chronic lymphocytic leukemia [44] is well known. The role of thyroid hormone–integrin ανβ3 and the therapeutic strategies for colorectal cancer has been reported recently [37]. The crosstalk between the ανβ3 integrin and the estrogen receptor is implicated in the proliferation of ovarian cancer [38] and human lung carcinoma [45].
Thyroid hormones, e.g., T3 (3,5,3′-triiodo-l-thyronine) and T4 (l-thyroxine), produce nongenomic effects and are well known to control several cellular and subcellular functions, thereby affecting multiple organs. The effects are primarily maintained through ανβ3 integrin together with other receptors, not to mention the TRα and TRβ. The cancer cells, capable of reprogramming their metabolism, adopt aerobic glycolysis instead of oxidative phosphorylation, thereby dysregulating the PKM2 (pyruvate kinase isoform M2, cellular energetics mediator), the rate-limiting enzyme of glycolysis, and due to several biochemical processes and signal transduction activities, the cancer cells produce more reactive oxygen species (ROS) to survive and propagate. Thyroid hormones are also associated with oxidative injury in hyperthyroidism where increased production of ROS and reactive nitrogen species is observed. The inhibition of ανβ3 signaling, through ligand binding, has a prominent role in mediating the dysregulation and finally the cancer progression by stopping the increased angiogenesis. The involvement of thyroid constituents, T3 and T4, in liver cancer has been described [46]. The implications of the thyroid hormones and the integrin over expression are well debated and have led to the focus primarily on the development of novel drugs, of which both traditional and contemporary nano-architectural originating drugs for anti-integrin therapies in conjunction with the thyroid hormones are designed and produced. The thyroid hormones, T3 and T4, including other thyroid hormone agonist analogs [47] are pro-angiogenic in nature [48]. The pro-angiogenic activity removal of thyroid hormone at cell surface receptor is thought to regress the tumor xenografts by ∼50% [49,50,51] and hence can shrink the tumor significantly. As the thyroid hormones are the key regulators of several cellular processes of cell proliferation, differentiation, apoptosis, and metabolism, their association with the cancer mass has been suggested very earlier [52]. The clinical observations have supported the notion that hormonal deficiency and hypothyroidism inhibit tumor growth [24,53,54]. These actions are facilitated through several nongenomic pathways, which include activation of integrin ανβ3. The ανβ3 integrin, containing binding sites, S1 and S2 [55], binds to the thyroid components, T3 and T4, with a lower affinity for T4 than T3. The physiologically present T3 specifically binds to S1 and activates the phosphoinositide 3-kinase pathway, while the T4 binds at the S2 receptor site and activates the MAPK3 and MAPK1, or ERK1 and ERK2 (44 and 42 kDa Ser/Thr kinases) pathways involving the Ras-Raf-MEK-ERK cascade of signal transduction, which participates in the regulation of adhesion, progression, migration, survival, differentiation, proliferation, transcription, and metabolism [56]. Thus, the ανβ3 integrin enables the proliferative action of thyroid hormones on cancer cells and participates in angiogenesis involving the blood vessel cells [35]. In the nutshell, the dysregulation of physiologically bioavailable thyroid hormones affects cancer development and progression and escalates the risk of solid tumors of different organs and tissues through higher availability of T3, together with the T4 thyroid hormones, thereby increasing the integrin binding, which has been mainly supported by clinical and subclinical studies [57]. The reduction in the biological presence of thyroid hormones or lesser bioavailability, their inhibition, and their restricted and reduced binding to the integrin receptor through antagonists have led to newer anticancer agents. In this context, the unraveling of the 3D structure of the ανβ3 integrin, its regulation of the ligand binding, and binding affinity manipulated through antagonistic molecules of low and high molecular weight with the capability to stabilize certain specific conformations of the integrin receptor and the signaling to the cell; the molecules that may antagonistically inhibit certain intercellular adhesion functions have been proposed as the rationale for integrin-based drug design. The heterodimeric structure, being capable of recognizing several different types of structural motifs, together with regulating the binding affinity, directs the conformational changes at the receptor site and establish communication between the extracellular and intracellular domains of the cells. Thus, the ligand binding influences the allosteric changes in the integrin conformation, and the integrin’s information feeds up about the external cellular environment to the cell. Therefore, the integrins that serve as sensors of the extracellular matrix, and their surroundings at the molecular level, together with working as an effector system for certain cytoskeletal forces, including the blood vessels, effectively make the sensor-effector system based on its heterodimeric structure and its amino acid sequence employed in different functions of the cells [58]. Moreover, as the thyroid hormones support the proliferation of cancer cells [59,60,61,62], any change in the tumor size suggested several plausible mechanisms with the hormonal activity being reduced at the tumor site [57]. Importantly, the pro-angiogenic activity of T3 and T4 hormones originate at the surface of the cellular receptor, integrin ανβ3, partly found extracellularly on the cell membrane whose mechanism has been understood on the chick chorioallantoic membrane (CAM) model-based assays [62], and the integrins have been shown to express multiple functions that connect to the ECM proteins [63], cell surface, and within the cells located growth factor receptors [64], as well as in the specific gene transcriptions [65]. Also, the iodothyronine receptors on the integrin have been found to regulate the cancer-relevant angiogenesis and are considered as the key for cancer cells’ survival through the involved pathways. The iodothyronine receptor can be covered with certain drugs and their nanoscale covalent conjugate [66,67] to provide antitumor effects through regressed or terminated angiogenesis.
3 Anti-ανβ3 integrin-based drugs for cancer chemotherapy
The tumor cells repenetrate the vessels or walls and continue to multiply forming another clinically detectable tumor over a period, which is characterized as metastatic tumors [68]. Alterations in the adhesive nature of the tumor cells can bring significant changes in the metastasis of these cancers. Thus, limiting the role of the molecules involved in various pathological activities, such as tumor’s neo-vascularization and metastasis, can bring significant therapeutic effects. An encouraging target for cancer treatment, integrin ανβ3, is capable of binding to several ECM components, i.e., fibrinogen, fibronectin, and so on to provide the desired effects on cell proliferation, cell adhesion, and control on the further development of the cells colony. The ανβ3 is expressed on the malignant tumor cells that have made them an attractive target for developing anti-ανβ3 antagonists’ molecular templates and biologically active new chemical entities. The antagonists of ανβ3 receptor protein by inducing the apoptosis of the new blood vessel can block tumor-associated angiogenesis and thereby leaves the malignant cells dysfunctional. Figure 4 shows selected ανβ3 antagonists developed by various groups and pharmaceutical concerns.
![Figure 4
Major ανβ3 antagonists; (a) Merck & Co, patent WO 9818461-A1: 4-(δ-6,7,8-tetrahydro-[l,8]naphthyridin-2-yl)piperidin-l-yl-carbonyl-2-(S)-phenylsulfonylamino-β-alanine-t-butylester; (b) searle, patent WO 9736858-A1: 2-[3-[[[[3-[(amino-imino methyl)-amino]phenyl] carbonyl]-amino] methyl] phenyl]-cyclopropane carboxylic acid (trifluoro acetate salt); (c) Merck KGaA, patent DE 19548709-A: 2(S)-2-[[2-[[(2S)-2-amino-5-(diamino methylidene amino)]amino]acetyl]amino] butanedioic acid; (d) (S)-2-butylsulfonamido-3-[4-(3-aminopropoxy) phenyl]-propionic acid.](/document/doi/10.1515/ntrev-2022-0020/asset/graphic/j_ntrev-2022-0020_fig_004.jpg)
Major ανβ3 antagonists; (a) Merck & Co, patent WO 9818461-A1: 4-(δ-6,7,8-tetrahydro-[l,8]naphthyridin-2-yl)piperidin-l-yl-carbonyl-2-(S)-phenylsulfonylamino-β-alanine-t-butylester; (b) searle, patent WO 9736858-A1: 2-[3-[[[[3-[(amino-imino methyl)-amino]phenyl] carbonyl]-amino] methyl] phenyl]-cyclopropane carboxylic acid (trifluoro acetate salt); (c) Merck KGaA, patent DE 19548709-A: 2(S)-2-[[2-[[(2S)-2-amino-5-(diamino methylidene amino)]amino]acetyl]amino] butanedioic acid; (d) (S)-2-butylsulfonamido-3-[4-(3-aminopropoxy) phenyl]-propionic acid.
On the molecular level, the thyroid hormone analog molecules, T3 and T4, also termed thyrointegrins, work and selectively activate the extracellularly available integrin receptors. The recognition site, Arg-Gly-Asp (RGD), is in close approach within the receptor [69], and the receptors, thyroid-hormone, and ανβ3, structurally and functionally are neither analogous nor related to each other, but triggering of the thyrointegrin receptors located on the cell surface results in nuclear mediation to elicit pro-angiogenic activity. The radio-ligand binding studies have confirmed the preferences of the purified ανβ3 receptor, which is higher to T4 than T3 [70]. Sources also demonstrated that the activation and nuclear translocation of mitogen-activated protein kinases (MAPKs) and hormone-induced angiogenesis is comparatively higher because of the thyroid hormone T4 compared to the T3. The role of thyrointegrin is imperative in these senses. The binding of the T4 to the integrin receptor is inhibited by the integrin ανβ3 antagonists, which thereby prevents the activation of MAPK signals, which were conclusively based on the spotting of the binding site for iodothyronine on the integrin receptor, and well relates to the functional aspects of the MAPK signal cascade activation by the thyroid hormone. The thyroid hormone derivative, 3-iodothyronamine, is also reported to conjugate with a trace amine receptor (TAR-I), but operationally, the entity is opposite to thyroid hormones, T3 and T4 [71]. The binding domains of the integrin ανβ3 constitute two binding domains for the thyroid hormone [72]. Domain 1 is an RGD tripeptide-sensitive site, and it has no relation to cellular proliferation. However, the RGD-recognition site, which contributes to the interaction of different proteins, connects the integrin systemically and mechanistically with the ECM proteins. However, domain 2, is an insensitive RGD tripeptide site and contributes to cellular proliferation as well as angiogenesis, thereby making both the sites structurally distinct and functionally altogether different. The thyroidal receptor and the RGD tripeptide recognition sites are nearly overlapping in their situational domains. The site of the thyroid hormone also functions in a unique way in the process of gene expression during the tumor cell proliferation and contributes its role effectively [73,74]. Moreover, these receptors (thyroid hormone receptors) present on the cell membrane are G protein sensitive [75].
The Tetrac blocked the effects of T4 and T3. Thyroid hormone analogs, when applied locally, promoted the desirable neovascularization, e.g., in healing the wounds or to prevent the undesirable angiogenesis that supports the growth of tumors and can be inhibited by using Tetrac. The polymer conjugates and nanoparticle formulations of thyroid hormones and their analogs were also prepared to test the inhibition of angiogenesis [76]. Other anti-angiogenic agents and their derivatives with the polymeric entities, liposomes, nano, and microstructured materials have been prepared and studied. mAb LM609 Tetrac, Triac, and XT 199 are a few illustrations of such anti-angiogenic thyroid hormone antagonists (Figure 5). The nanoparticles were attached through a hydroxyl group. Among the well-known thyroid agonists, the di iodo thyro propionic acid and the GC-I, GC-1 agonist’s linking was also achieved. The ether bond, as found in T3, T4, Triac, and Tetrac, does not seem to be essential [77] for the activity exhibition. However, the intervening carbon is required rather than the ethereal bond. The 3′ iodine of the outer ring is also not necessary according to the structure–activity relationship (SAR) requirements. Similarly, position 3′ need not be modified [78] for any elicitation of the biological activity. Through the amide bond embedded in the nanoparticles, the linker was linked to the nanoparticle and thus contributed to the development of novel nano-formulations containing ανβ3 antagonists. The synthesis of guanidine, urea, methylamine, and propylamine derivatives of the Tetrac has also shown anti-angiogenic bioactivity in the CAM model from 65% to 73% inhibitions at the dose of 0.25–2.0 μg/mL [79].

Thyroid hormone compounds, its analogs, and thyrointegrin antagonist; (a) T3, (b) T4, (c) Triac, and (d) Tetrac.
4 Contemporary nano-architectured drugs
Nanoparticulate formulations of thyroid hormones and analogs were synthesized with additional polymeric conjugations. To locally deliver the thyroid hormone and its analogs, the nanoparticles delivery modalities together with polymeric conjugates were used as a carrier and delivery/transportation matrices. The chronologically defined delivery at the targeted tissue and cell sites with the nano-sized entities was achieved, wherein the prepared nano-enabled antagonist drugs were between ∼150 and 250 nm in size [80]. The nanoparticles or the thyroid analog-conjugated polymers can also target cancers in various body sites, including the skin. In addition, the thyroid hormone analogs and their antagonist can also be employed for hematopoietic, as well as stem cell-related malfunctions and disorders. These formulations have been recommended for delivery for faster cell reproduction at the time of bone marrow transplant. The semisynthetic precursors of Tetrac (Figure 6a, and b) were also researched to find and institute the best product for angiogenesis [81,82].

Tetrac and related products: (a) Tetrac (R1 = R = OH) and (b) various semisynthetic products.
In addition, with the help of various RNA microarray techniques, the genomic activities within thyroid hormones, specifically at ανβ3 receptors, were studied in various cancer cell lines obtained from human samples [37,83,84,85,86]. Previous studies have also established the anticancer ability of the Tetrac, which antagonizes the proliferation of cancer cells. The thyroid hormone is anti-apoptotic [87], whereas the Tetrac has pro-apoptotic characteristics [39]. The Tetrac analog-treated tumors have been investigated in detail for apoptosis-related and differently regulated gene contributions. The unchanged moieties of Tetrac and Triac molecules were covalently conjugated with nanoparticles that inhibited entrance into the cells and effectively destructed the MDA-MB-231 cells (estrogen receptor-negative human breast cancer cells). The genes, BCL2L14 and CASP2, were also accelerated, but the Tetrac formulation diminished the expressions of anti-apoptotic MCLI and XIAP genes [88,89].
Angiogenesis in cancers involves downregulation of thrombospondin-1 (TSP-1), which is an endogenous inhibitor of angiogenesis. The transformation of genetic lesions through the expression of mutant RAS oncogene, which is intrinsic to the cancer cells, induces the TSP-1 downregulation. However, the effect of the mutant RAS gene on tumor neo-vascularization is confined not only to angiogenic modulation in cancer cells but also to the RAS with different signaling mechanisms and also to elicit proangiogenic effects [90]. The Rab18 and Rab1B were among various RAS oncogenes, which were considered to be highly affected by the nanoparticles of Tetrac [90]. The Rab18 was downregulated, whereas RablB was upregulated. The RablB expression is considered responsible for the differentiation of malignant cells, e.g., the monocytes in promyelocyte leukemia [91]. The agonist thyroid hormone-supported proangiogenic activity is blocked by Tetrac, an anti-angiogenic product. The microarray results have proposed another mechanism for Tetrac, wherein it is supposed to inhibit angiogenesis through upregulation of THBSI gene expression [92]. The prohibition of tumor cells growth is supported by the pure, un-modified Tetrac and its different nano-preparations (Figure 7) through upregulation of THBSI expression. The expressions of CBYI, XIAP, and THBSI genes are affected by Tetrac nanoparticles. In addition, the nanoparticle formulations of Tetrac helped in showing MDA-MB-231 cell gene expressions, which are part of the cell survival mechanism [89]. This suggested that the pure, unchanged Tetrac and its nanoformulations can fit in the integrin-binding site, which is slightly different. The thyroid hormone receptor domain contains closely related receptor sites, and either of these two acts through specific transduction. Therefore, the fact of distinction between nanoparticulate and unmodified Tetrac by receptor domains is not surprising. The other possibility is that the structurally unchanged Tetrac might have triggered actions that offset to initiate the integrin ανβ3 receptor site activation and binding. Interestingly, in the absence of T3 and T4, the coherent behaviors of the antibasic fibroblast growth factor and the anti-vascular endothelial growth factor, with Tetrac involvement, have been found in the endothelial cells [93,94]. Therefore, the nanoparticle-loaded Tetrac’s action at triple-negative breast cancer, the most malignant tumor, is not surprising.

Nano-Tetrac drug model.
These novels Tetrac nanodrugs also inhibit the human cancers’ major oncogenic Wnt signaling pathway. It also happens to be conjoined with downregulation of CTNNAI and CTNNA2 expressions, the catenin genes [95], along with the concurrent up-regulation of the CBYl gene, the nuclear antagonist for the catenin activity. Also, there are 13 differentially regulated RAS oncogenes reported [96], of which 8 are downregulated after the Tetrac and its nanosized formulated drugs through interfering with the oncogenic-signaling pathways, and this is a clear indication of the signaling pathways and the integrin involvement in anticancer activities. The cross-talks add to the complex signaling and can lead to cells’ unpredictable fate and therapeutic outcomes [97].
Among other products mimicking the Tetrac in completely binding to the ανβ3 integrin, and with the thyroid hormone receptor, to restrict cancer proliferation, the analog of (E)-stilbene, resveratrol, is worth mentioning. Nanotechnical advances in preparing the RGD (Arg-Gly-Asp) tripeptide conjugate with gadolinium-molybdenum dioxide (RGD-Gd-MoO2) for magnetic resonance imaging (MRI) and cancer therapy, as an ideal theranostic agent, the derivative of Tetrac, the 150–200 nm sized PLGA-encapsulated N-DAT (Nano-Diamino-Tetrac-PLGA), and nano-resveratrol (N-RES) for targeting the integrin ανβ3 for cancer controls are reported [98]. The diamino-Tetrac-PLGA conjugates (DAT-PLGA) and the PLGA-encapsulated nano-DAT (N-DAT-PLGA, or N-DAT) effects on different cancer cell lines, i.e., pancreatic, breast, lungs (non-small cell), colorectal, hepatocellular, glioblastoma, bladder, and gastric, namely, SUIT-2, MPanc96, MDA-MB-231, MCF-7, H1299, HepG2, U87, 253JBV, and AGS in the in vitro and in vivo xenograft models, were of downregulating nature for the ανβ3 expressions. Reduction and viability were exhibited in N-DAT-treated glioblastoma xenografts, and N-DAT was found to be safe at higher doses [99]. The N-DAT and Tetrac together are known to induce antiproliferation activity through ανβ3 intermediacy in different K-RAS (K-RAS-mutant HCT116 cells and K-RAS-wild type HT-29 cells) colorectal cancer [100]. In addition, the cyclic RGD-based pentapeptide derivative {cyclo-(Arg-Gly-Asp-d-Phe-Lys)}, the c-(RGDfK)2, conjugates of poly-l-glutamic acid (PGA) and polyethylene glycol (PEG) with an anticancer agent, paclitaxel (PTX), as PGA-PTX-E-[c(RGDfK)2] and PTX-PEG-E-[c(RGDfK)2] conjugates exhibited boosted anticancer activity against MDA-MB-231 tumor cells [101]. The PLGA-PEG-NPs {poly-(d,l-lactic-co-glycolic acid)-block-polyethylene glycol nanoparticles} in conjunction with the c-(RGDfK) motifs were utilized to nano-formulate another anticancer agent, cisplatin, to target integrin ανβ3 at RGD-binding domain in cancer cells [102]. The interesting observation of shape effects of the constructs, including nano, micellar, cyclic, and linear formulation products, was remarkable and noteworthy. The solubilization capacity, and the stability in kinetic terms of lower energy status, provided the cyclic RGD derivatives improved targeting, while the linear RGD constructs were less pronounced in their targeting efficiency [103]. The nanoparticulate shape provided better-enhanced cytotoxicity in comparison to the non-nano formulations for the cisplatin in prostate and breast cancer cell lines [104]. The nanoparticle-shaped molecular entities also exhibited selective efficiency and potent activation through enhancements in their permeability retentions [105].
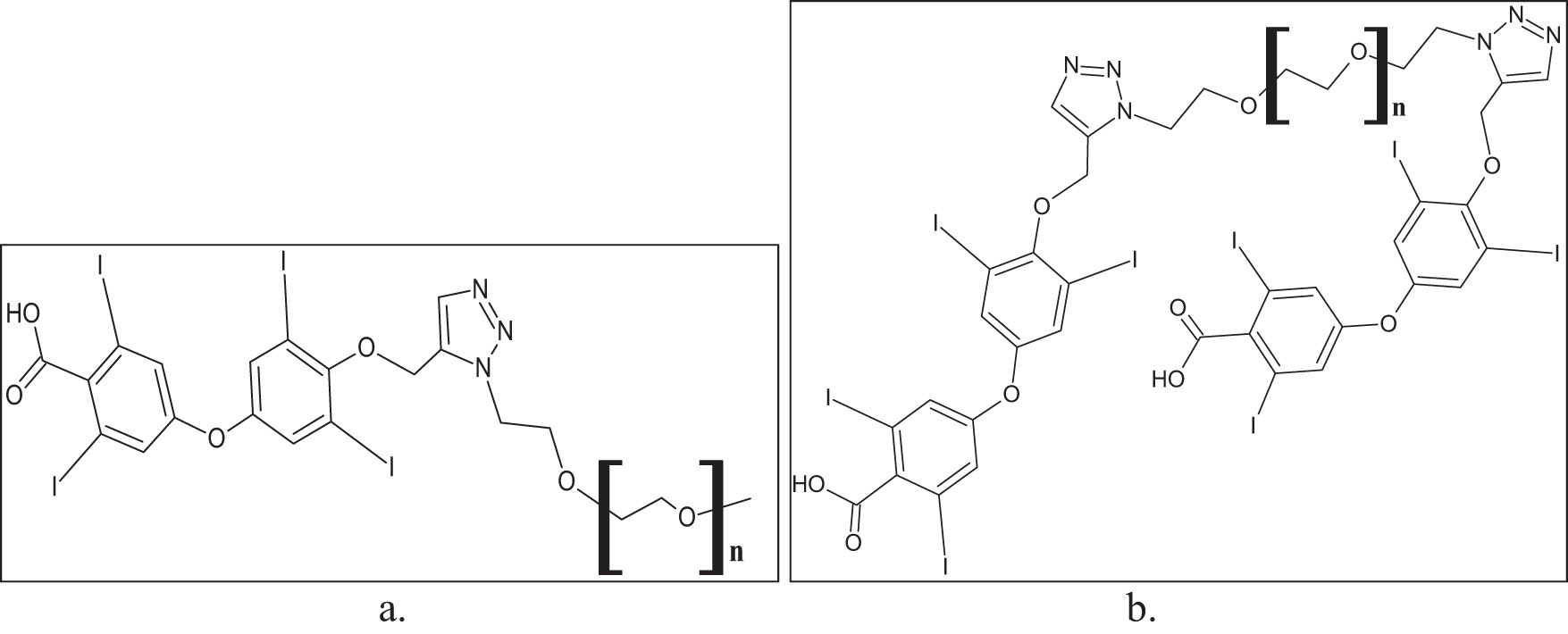
Recently (12/2021), PEG-conjugated two Tetrac units (Tetrac-triazole-PEG-triazole-Tetrac) conjoined through distantly placed two triazole entities, together with PEG-conjugated one Tetrac unit conjoined through a single triazole unit (PEG-triazole-Tetrac) (Figure 8) [106], were reported for their pharmacokinetics and biodistribution studies in animal models’ serum through utilizing a concurrently developed bioanalytical method for the purpose. The product, P-bi-TAT, was found to be involved in downregulating several signaling pathways, including the NF-kB, and was suggested for acute myeloid leukemia and other malignancies owing to their high thyrointegrin ανβ3 affinity [107].
![Figure 8
Chemical structures of PEG (polyethylene glycol) conjugated Tetrac: (a) PEG-conjugated one Tetrac unit conjoined through single triazole unit (PEG-triazole-Tetrac, P-mono-TAT); (b) two Tetrac units) conjoined through distantly placed two triazole structures (Tetrac-triazole-PEG-triazole-Tetrac [P-bi-TAT]); n means the average number of repeating oxy ethylene units (90) of the polymer PEG, PEG AV MW 4,000 amu.](/document/doi/10.1515/ntrev-2022-0020/asset/graphic/j_ntrev-2022-0020_fig_008.jpg)
Chemical structures of PEG (polyethylene glycol) conjugated Tetrac: (a) PEG-conjugated one Tetrac unit conjoined through single triazole unit (PEG-triazole-Tetrac, P-mono-TAT); (b) two Tetrac units) conjoined through distantly placed two triazole structures (Tetrac-triazole-PEG-triazole-Tetrac [P-bi-TAT]); n means the average number of repeating oxy ethylene units (90) of the polymer PEG, PEG AV MW 4,000 amu.
A list (Table 1) of drug candidates’ structural classes types under evaluations at different phases of clinical trials (phase I–III) also discusses the applications and integrin receptor specificity along with their molecular structures developed as integrins, especially ανβ3 inhibitors.
Drug candidates based on integrin antagonists under development
| Category | Compound/code | Target and structure | Application/description | Ref. |
|---|---|---|---|---|
| Small molecule | GLPG 0187 | Targets ανβ1, ανβ3, ανβ5, ανβ6, ανβ8, and α5β1 | Selective 1.3 nM IC50 for ανβ1, RGD binding, clinical trial for liver cancer | [108] |
![]() |
||||
| Monoclonal antibodies | h-Vitaxin (h humanized) | ανβ3, humanized (h) monoclonal antibody (MEDI-523) | Clinical trials for metastatic melanoma and prostate cancers, phase I and II trials | [109] |
| Etaracizumab | ανβ3, humanized monoclonal antibody (MEDI-522) | Clinical trials for melanoma, prostate, and ovarian cancers, phase II trials | [110] | |
| Abituzumab (ITGAV) | ανβ1, ανβ3, ανβ5, ανβ6, ανβ8, humanized IgG2 monoclonal antibody | Clinical trials for colorectal, multiple sclerosis, interstitial lung, and prostate cancers, phase I and II trials | [111] | |
| Peptidic | Cilengitide (EMD 121974) | Selective for ανβ3, ανβ5 | Clinical trials for multiple cancers, phase I, II, and III trials | [112] |
![]() |
||||
| HSDVHK-NH2 | ανβ3, antagonist of integrin ανβ3-vitronectin interaction | Site-specific RGD recognition, antagonist against ανβ3-GRGDSP, integrin ανβ3-vitronectin interaction, with an IC50 of 1.74 pg/mL | [113,114] | |
![]() |
||||
| Echistatin and its TFA (trifluoro acetic acid) salt | ανIbβ3, ανβ3, and α5β1, smallest active RGD protein, disintegrin type – derived from viper snake venom; sequence structure with disulfide bridges at Cys2–Cys11; Cys7–Cys32; Cys8–Cys37; Cys20–Cys39:AA (amino acid) sequence: ECESGPCCRNCKFLKEGTICKRARGDDMDDYCNGKTCDCPRNPHKGPAT | An integrin antagonist developed to inhibit osteoclastic bone resorption | [115] | |
| Nonpeptide | MK-0429 (l-000845704) | Selective antagonist, orally active, targets ανβ1, ανβ3, ανβ5, ανβ6, ανβ8, and α5β1 | Pan-integrin antagonist | [116] |
![]() |
5 Summary and future prospects
Significant knowledge about the role of integrins in various pathological and physiological conditions led to the invention of various therapeutic agents. The nano-sized formulated ανβ3 antagonist drugs certainly play an important role in several biological activities in therapeutically relevant pathways, which needs further and deeper studies, to pinpoint ανβ3 inhibition targets. The Tetrac model is an initiating point in developing ανβ3 antagonist drugs as nano modalities that might form part of the combination therapy as an anticancer agent. Opportunities for other cross-reactive and closely related thyrointegrin antagonists may also be searched to lead the design of newer and specifically targeted new chemical entities at specific locations in the receptor. Efforts to design and develop new chemical entities fitting the receptor binding site, and pharmacophore-based model products exists which could be transformed in future into nanostructural motifs, and conjugates of a plethora of biodegradable and biocompatible polymers of natural, synthetic, and semi-synthetic origins.
Acknowledgments
The authors thank their respective institutions for support and infrastructure facilities during the course of this work.
-
Funding information: The authors state no funding involved.
-
Author contributions: All authors have accepted responsibility for the entire content of this manuscript and approved its submission.
-
Conflict of interest: The authors state no conflict of interest.
References
[1] Mangale SS, Modi DN, Reddy KVR. Identification of genes regulated by an interaction between ανβ3 integrin and vitronectin in murine decidua. Rep Fer Dev. 2008;20:311–19.10.1071/RD07155Search in Google Scholar
[2] Desgrosellier JS, Cheresh DA. Integrins in cancer: biological implications and therapeutic opportunities. Cancer: Nature Reviews. 2010;10:9–22.10.1038/nrc2748Search in Google Scholar
[3] Ley K, Rivera-Nieves J, Sandborn WJ, Shattil S. Integrin-based therapeutics: biological basis, clinical use and new drugs. Nat Rev Drug Discov. 2016;15(3):173–83.10.1038/nrd.2015.10Search in Google Scholar
[4] Alberts B, Johnson A, Lewis J, Morgan D, Raff M, Roberts K, et al. Molecular biology of the cell. 4th edition. New York, USA: Garland Science; 2002. Available from: https://www.ncbi.nlm.nih.gov/books/NBK21054/.Search in Google Scholar
[5] Takada Y, Ye X, Simon S. The integrins. Genome Biol. 2007;8:215.10.1186/gb-2007-8-5-215Search in Google Scholar
[6] Ingber DE. Mechano-sensation through integrins: cells act locally but think globally. Proc Natl Acad Sci USA. 2003;100:1472–74.10.1073/pnas.0530201100Search in Google Scholar
[7] Humphries MJ. Integrin structure. Biochem Soc Trans. 2000;28:311–40.10.1042/bst0280311Search in Google Scholar
[8] Humphries MJ, Travis MA, Clark K, Mould AP. Mechanisms of integration of cells and extracellular matrices by integrins. Biochem Soc Trans. 2004;32:822–25.10.1042/BST0320822Search in Google Scholar
[9] Ridley AJ. Pulling back to move forward. Cell. 2004;116:357–58.10.1016/S0092-8674(04)00123-0Search in Google Scholar
[10] Suzuki S, Naitoh Y. Amino acid sequence of a novel integrin beta-4 subunit and primary expression of the messenger RNA in epithelial cells. EMBO J. 1990;9:757–63.10.1002/j.1460-2075.1990.tb08170.xSearch in Google Scholar PubMed PubMed Central
[11] Irie A, Kamata T, Takada Y. Multiple loop structures critical for ligand binding of the integrin alpha 4 subunit in the upper face of the beta-propeller mode 1. Proc Natl Aca Sci USA. 1997;94:7198–3.10.1073/pnas.94.14.7198Search in Google Scholar PubMed PubMed Central
[12] Mould AP, Burrows L, Humphries MJ. Identification of amino acid residues that form part of the ligand-binding pocket of integrin alpha-5beta-1. J Biol Chem. 1998;273:25664–72.10.1074/jbc.273.40.25664Search in Google Scholar PubMed
[13] Springer TA. Folding of the N-terminal, ligand-binding region of integrin alpha-subunits into a beta-propeller domain. Proc Natl Aca Sci USA. 1997;94:65–72.10.1073/pnas.94.1.65Search in Google Scholar
[14] Bienkowska J, Cruz M, Atiemo A, Handin R, Liddington R. The von Willebrand factor A3 domain does not contain a metal ion-dependent adhesion site motif. J Biol Chem. 1997;272:25162–67.10.1074/jbc.272.40.25162Search in Google Scholar
[15] Emsley J, Knight CG, Farndale RW, Barnes MJ, Liddington RC. Structural basis of collagen recognition by integrin alpha2beta1. Cell. 2000;101:47–56.10.1016/S0092-8674(00)80622-4Search in Google Scholar
[16] Shimaoka M, Xiao T, Liu JH, Yang Y, Dong Y. Structures of the alpha-L I domain and its complex with ICAM-1 reveal a shape-shifting pathway for integrin regulation. Cell. 2003;112:99–111.10.1016/S0092-8674(02)01257-6Search in Google Scholar
[17] Xiong J-P, Stehle T, Diefenbach B, Zhang R, Dunker R, Scott DL, et al. Crystal structure of the extracellular segment of integrin ανβ3. Science. 2001;294:339–45.10.1126/science.1064535Search in Google Scholar PubMed PubMed Central
[18] Calderwood DA, Tuckwell DS, Eble J, Kuhn K, Humphries MJ. The integrin 1 A-domain is a ligand-binding site for collagen and laminin. J Biol Chem. 1997;272:12311–17.10.1074/jbc.272.19.12311Search in Google Scholar PubMed
[19] Dennis KP, Ke RM, Lo PC. Synthesis and in vitro activities of integrin targeting cRGD conjugated Zinc II phthalocyanine. Chem Asian J. 2014;92:554–61.10.1002/asia.201301166Search in Google Scholar
[20] Weitz-Schmidt G, Welzenbach K, Dawson J, Kallen J. Improved lymphocyte function-associated antigen-1 (LFA-1) inhibition by statin derivatives: molecular basis determined by x-ray analysis and monitoring of LFA-1 conformational changes in vitro and ex vivo. J Biol Chem. 2004;279:46764–71.10.1074/jbc.M407951200Search in Google Scholar PubMed
[21] Huhtala M, Heino J, Casciari D, de Luise A, Johnson MS. Integrin evolution: insights from ascidian and teleost fish genomes. Matrix Biol. 2005;24:83–95.10.1016/j.matbio.2005.01.003Search in Google Scholar PubMed
[22] Turaga RC, Satyanarayana G, Sharma M, Yang JJ, Wang S, Liu C, et al. Targeting integrin ανβ3 by a rationally designed protein for chronic liver disease treatment. Comm Biol. 2021;4(1):1087.10.1038/s42003-021-02611-2Search in Google Scholar PubMed PubMed Central
[23] Zhang J, Wang T, Saigal A. Discovery of a new class of integrin antibodies for fibrosis. Sci Rep. 2021;11:2118.10.1038/s41598-021-81253-0Search in Google Scholar PubMed PubMed Central
[24] Flynn RS, Murthy KS, Grider JR, Kellum JM, Kuemmerle JF. Endogenous IGF-I and alphaVbeta3 integrin ligands regulate increased smooth muscle hyperplasia in stricturing Crohn’s disease. Gastroenterol. 2010;38(1):285–93.10.1053/j.gastro.2009.09.003Search in Google Scholar PubMed PubMed Central
[25] Schniering J, Benešová M, Brunner M, Haller S, Cohrs S, Frauenfelder T, et al. Visualisation of interstitial lung disease by molecular imaging of integrin ανβ3 and somatostatin receptor 2. Ann Rheum Dis. 2019;78(2):218–27.10.1136/annrheumdis-2018-214322Search in Google Scholar PubMed
[26] Kwakwa KA, Sterling JA. Integrin ανβ3 Signaling in Tumor-Induced Bone Disease. Cancers. 2017;9(7):84.10.3390/cancers9070084Search in Google Scholar PubMed PubMed Central
[27] Wang Q, Onuma K, Liu C, Wong H, Bloom MS, Elliott EE, et al. Dysregulated integrin and CD47 signaling promote joint inflammation, cartilage breakdown, and progression of osteoarthritis. JCI Insight. 2019;4(18):e128616.10.1172/jci.insight.128616Search in Google Scholar PubMed PubMed Central
[28] Xuze L, Yan S, Shiwei Y, Mengyue Y, Liu P, Jie Y, et al. Omentin-1 modulates macrophage function via integrin receptors ανβ3 and ανβ5 and reverses plaque vulnerability in animal models of atherosclerosis. Front Cardiovas Med. 2021;8:1470.10.3389/fcvm.2021.757926Search in Google Scholar
[29] Hayek S, Koh K, Grams M. A tripartite complex of suPAR, APOL1 risk variants and ανβ3 integrin on podocytes mediates chronic kidney disease. Nat Med. 2017;23:945–53.10.1038/nm.4362Search in Google Scholar PubMed PubMed Central
[30] Pocheć E, Bubka M, Rydlewska M, Janik M, Pokrywka M, Lityńska A. Aberrant glycosylation of ανβ3 integrin is associated with melanoma progression. Anticancer Res. 2015;35(4):2093–103.Search in Google Scholar
[31] Wang X, Huang DY, Huong SM, Huang ES. Integrin ανβ3 is a co-receptor for human cytomegalovirus. Nat Med. 2005;11:515–21.10.1038/nm1236Search in Google Scholar PubMed PubMed Central
[32] Desai Bradaric B, Patel A, Schneider JA, Carvey PM, Hendey B. Evidence for angiogenesis in Parkinson’s disease, incidental Lewy body disease, and progressive supranuclear palsy. J Neural Transm. 2012;119:59–71.10.1007/s00702-011-0684-8Search in Google Scholar PubMed PubMed Central
[33] Wilder RL. Integrin ανβ3 as a target for treatment of rheumatoid arthritis and related rheumatic diseases. Annals of the Rheumatic Diseases. 2002;61(Sup 2):ii96–99.10.1136/ard.61.suppl_2.ii96Search in Google Scholar PubMed PubMed Central
[34] Filla MS, Meyer KK, Faralli JA, Peters DM. Overexpression and activation of ανβ3 integrin differentially affects tgfβ2 signaling in human trabecular meshwork cells. Cells. 2021;10(8):1923.10.3390/cells10081923Search in Google Scholar PubMed PubMed Central
[35] Konttinen YT, Mackiewicz Z, Povilenaite D, Sukura A, Hukkanen M, Virtanen I. Disease-associated increased HIF-1, ανβ3 integrin, and Flt-1 do not suffice to compensate the damage-inducing loss of blood vessels in inflammatory myopathies. Rheumatol Int. 2004;24:333–9.10.1007/s00296-003-0379-zSearch in Google Scholar PubMed
[36] Liu Z, Wang F, Chen X. Integrin ανβ3-targeted cancer therapy. Drug Dev Res. 2008;69(6):329–39.10.1002/ddr.20265Search in Google Scholar PubMed PubMed Central
[37] Yang Y, Ko PJ, Pan YS, Lin HY, Whang-Peng J, Davis PJ, et al. Role of thyroid hormone-integrin ανβ3-signal and therapeutic strategies in colorectal cancers. J Biomed Sci. 2021;28(1):24.10.1186/s12929-021-00719-5Search in Google Scholar PubMed PubMed Central
[38] Hsieh MT, Wang LM, Changou CA, Chin YT, Yang YCSH, Lai HY, et al. Crosstalk between integrin ανβ3 and ERα contributes to thyroid hormone-induced proliferation of ovarian cancer cells. Oncotarget. 2017;8(15):24237–49.10.18632/oncotarget.10757Search in Google Scholar PubMed PubMed Central
[39] Li J, Luo M, Ou H, Liu X, Kang X, Yin W. Integrin β4 promotes invasion and anoikis resistance of papillary thyroid carcinoma and is consistently overexpressed in lymphovascular tumor thrombus. J Cancer. 2019;10(26):6635–48.10.7150/jca.36125Search in Google Scholar PubMed PubMed Central
[40] Liu S, Liang B, Gao H, Zhang F, Wang B, Dong X, et al. Integrin ανβ6 as a novel marker for diagnosis and metastatic potential of thyroid carcinoma. Head Neck Oncol. 2013;5(1):7.Search in Google Scholar
[41] Davis PJ, Mousa SA, Schechter GP. Platelet ATP, thyroid hormone receptor on integrin ανβ3 and cancer metastasis. Horm Canc. 2020;11:13–6.10.1007/s12672-019-00371-4Search in Google Scholar PubMed
[42] Schmohl KA, Han Y, Tutter M, Schwenk N, Sarker R, Steiger K, et al. Integrin ανβ3-dependent thyroid hormone effects on tumour proliferation and vascularisation. Endocrine-related Cancer. 2020;27(12):685–97.10.1530/ERC-20-0353Search in Google Scholar PubMed
[43] Schmohl KA, Mueller AM, Dohmann M, Spellerberg R, Urnauer S, Schwenk N, et al. Integrin ανβ3-mediated effects of thyroid hormones on mesenchymal stem cells in tumor angiogenesis. Thyroid. 2019;29(12):1843–57.10.1089/thy.2019.0413Search in Google Scholar PubMed
[44] Abadi U, Weisz A, Kidron D, Katzav A, Hercbergs A, Davis PJ, et al. ανβ3 integrin expression and mitogenic effects by thyroid hormones in chronic lymphocytic leukemia. J Clinical Med. 2021;10(8):1766.10.3390/jcm10081766Search in Google Scholar PubMed PubMed Central
[45] Meng R, Tang H-Y, Westfall J, London D, Cao JH, Mousa SA, et al. Crosstalk between integrin avb3 and estrogen receptor-a is involved in thyroid hormone induced proliferation in human lung carcinoma cells. PLoS One. 2011;6(11):e27547.10.1371/journal.pone.0027547Search in Google Scholar PubMed PubMed Central
[46] Fabio G, De Vito P, Valentina P, Hung-Yun L, Davis PJ, Pedersen JZ, et al. The role of thyroid hormones in hepatocyte proliferation and liver cancer. Front Endocrinol. 2019;10:532.10.3389/fendo.2019.00532Search in Google Scholar PubMed PubMed Central
[47] Davis FB, Mousa SA, O’Connor L, Mohamed S, Lin HY. Proangiogenic action of thyroid hormone is fibroblast growth factor-dependent and is initiated at the cell surface. Circul Res. 2004;94:1500–6.10.1161/01.RES.0000130784.90237.4aSearch in Google Scholar PubMed
[48] Mousa SA, Davis FB, Mohamed S, Davis PJ, Feng X. Pro-angiogenesis action of thyroid hormone and analogs in a three-dimensional in vitro microvascular endothelial sprouting model. Int Angiol. 2006;25:407–13.Search in Google Scholar
[49] Yalcin M, Bharali DJ, Lansing L, Dyskin E, Mousa SA. Tetra iodo thyroacetic acid (tetrac) and tetrac nanoparticles inhibit growth of human renal cell carcinoma xenografts. Anticancer Res. 2009;29:3825–31.Search in Google Scholar
[50] Yalcin M, Dyskin E, Lansing L, Bharali DJ, Mousa SA. Tetra iodo thyroacetic acid (tetrac) and nanoparticulate tetrac arrest growth of medullary carcinoma of the thyroid. J Clin Endocrinol Metab. 2010;95:1972–80.10.1210/jc.2009-1926Search in Google Scholar PubMed
[51] Yalcin M, Lin HY, Sudha T, Bharali DJ, Meng R. Response of human pancreatic cancer cell xenografts to tetra iodo thyro acetic acid nanoparticles. Horm Cancer. 2013;4:176–85.10.1007/s12672-013-0137-ySearch in Google Scholar PubMed
[52] Beatson GT. On the treatment of inoperable cases of carcinoma of the mamma: suggestions for a new method of treatment, with illustrative cases. Trans Med Chir Soc Edin. 1896;15:153–79.Search in Google Scholar
[53] Hercbergs A, Leith JT. Spontaneous remission of metastatic lung cancer following myxedema coma–an apoptosis-related phenomenon? J Natl Cancer Inst. 1993;85:1342–3.10.1093/jnci/85.16.1342Search in Google Scholar PubMed
[54] Hercbergs AH, Ashur-Fabian O, Garfield D. Thyroid hormones and cancer: clinical studies of hypothyroidism in oncology. Curr Opin Endocrinol Diabetes Obes. 2010;17:432–6.10.1097/MED.0b013e32833d9710Search in Google Scholar PubMed
[55] Moeller LC, Führer D. Thyroid hormone, thyroid hormone receptors, and cancer: a clinical perspective. Endocr Relat Cancer. 2013;20:R19–29.10.1530/ERC-12-0219Search in Google Scholar PubMed
[56] Freindorf M, Furlani TR, Kong J, Cody V, Davis FB, Davis PJ. Combined QM/MM study of thyroid and steroid hormone analogue interactions with ανβ3 integrin. J Biomed Biotechnol. 2012;2012:959057.10.1155/2012/959057Search in Google Scholar PubMed PubMed Central
[57] Krashin E, Piekiełko-Witkowska A, Ellis M, Ashur-Fabian O. Thyroid hormones and cancer: a comprehensive review of preclinical and clinical studies. Front Endocrinol. 2019;10:1664, https://www.frontiersin.org/article/10.3389/fendo.2019.00059.10.3389/fendo.2019.00059Search in Google Scholar PubMed PubMed Central
[58] Havaki S, Kouloukoussa M, Amawi K, Drosos Y, Arvanitis LD, Goutas N, et al. Altered expression pattern of integrin alphavbeta3 correlates with actin cytoskeleton in primary cultures of human breast cancer. Cancer Cell Int. 2007;7:16.10.1186/1475-2867-7-16Search in Google Scholar PubMed PubMed Central
[59] Lin HY, Tang HY, Shih A, Keating T, Cao G. Thyroid hormone isa MAPK-dependent growth factor for thyroid cancer cells and is anti-apoptotic. Steroids. 2007;72:180–87.10.1016/j.steroids.2006.11.014Search in Google Scholar PubMed
[60] Lin HY, Sun M, Tang HY, Lin C, Luidens MK, Mousa SA, et al. l-Thyroxine vs 3,5,3′-triiodo-l-thyronine and cell proliferation: activation of mitogen-activated protein kinase and phosphatidylinositol 3-kinase 1. Am J Physiol Cell Physiol. 2009;296:C980–91.10.1152/ajpcell.00305.2008Search in Google Scholar PubMed
[61] Mousa SA, Yalcin M, Bharali DJ, Meng R, Tang HY. Tetra iodo thyro acetic acid and its nanoformulation inhibit thyroid hormone stimulation of non-small cell lung cancer cells in vitro and its growth in xenografts. Lung Cancer. 2012;76:39–45.10.1016/j.lungcan.2011.10.003Search in Google Scholar PubMed
[62] Bergh JJ, Lin HY, Lansing L, Mohamed SN, Davis FB. IntegrinalphaVbeta3 contains a cell surface receptor site for thyroid hormone that is linked to activation of mitogen-activated protein kinase and induction of angiogenesis. Endocrinol. 2005;146:2864–71.10.1210/en.2005-0102Search in Google Scholar PubMed
[63] Plow EF, Haas TA, Zhang L, Loftus J, Smith JW. Ligand binding to integrins. J Biol Chem. 2000;275:21785–88.10.1074/jbc.R000003200Search in Google Scholar PubMed
[64] Zou W, Teitelbaum SL. Integrins, growth factors, and the osteoclast cytoskeleton. Ann New York Acad Sci. 2010;1192:27–31.10.1111/j.1749-6632.2009.05245.xSearch in Google Scholar PubMed
[65] Roth P, Silginer M, Goodman SL, Hasenbach K, Thies S. Integrin control of the transforming growth factor-β pathway in glioblastoma. Brain. 2013;136:564–76.10.1093/brain/aws351Search in Google Scholar PubMed
[66] Pinto M, Soares P, Ribatti D. Thyroid hormone as a regulator of tumor-induced angiogenesis. Cancer Lett. 2011;301:119–26.10.1016/j.canlet.2010.11.011Search in Google Scholar PubMed
[67] Davis PJ, Davis FB, Mousa SA, Luidens MK, Lin HY. Membrane receptor for thyroid hormone: physiologic and pharmacologic implications. Ann Rev Pharmacol Toxicol. 2011;51:99–115.10.1146/annurev-pharmtox-010510-100512Search in Google Scholar PubMed
[68] Chiang AC, Massagué J. Molecular basis of metastasis. New Eng J Med. 2008;359:2814–23.10.1056/NEJMra0805239Search in Google Scholar PubMed PubMed Central
[69] Haubner R, Wester HJ, Burkhart F, Schmidtke RS, Weber W, Goodman SL, et al. Glycosylated RGD-containing peptides: tracer for tumor targeting and angiogenesis imaging with improved biokinetics. J Nuclear Med. 2001;42:326–36.Search in Google Scholar
[70] Pleasure JR, Pleasure D, Pleasure SJ. Ch. 133: trophic factor, nutritional, and hormonal regulation of brain development. In: Polin RA, Abman SH, Rowitch DH, Benitz WE, Fox WW, Editor. Fetal and neonatal physiology. Fifth Edition New York, USA: Elsevier; 2017. p. 1326–1333.e3. ISBN 9780323352147. 10.1016/B978-0-323-35214-7.00133-5.Search in Google Scholar
[71] Scanlan TS, Suchland KL, Hart ME, Chiellini G, Huang Y, Kruzich PJ, et al. 3-Iodothyronamine is an endogenous and rapid-acting derivative of thyroid hormone. Nat Med. 2004;10:638–42.10.1038/nm1051Search in Google Scholar PubMed
[72] Davis PJ, Goglia F, Leonard JL. Non-genomic actions of thyroid hormone. Nature Reviews Endocrinol. 2016;12:111–21.10.1038/nrendo.2015.205Search in Google Scholar PubMed
[73] Cody V, Davis PJ, Davis FB. Molecular modeling of the thyroid hormone interactions with ανβ3 integrin. Steroids. 2007;72:165–70.10.1016/j.steroids.2006.11.008Search in Google Scholar PubMed
[74] Cohen K, Ellis M, Khoury S, Davis PJ, Hercbergs A, Ashur-Fabian O. Thyroid hormone is a MAPK-dependent growth factor for human myeloma cells acting via ανβ3 integrin. Mol Cancer Res. 2011;9:1385–95.10.1158/1541-7786.MCR-11-0187Search in Google Scholar PubMed
[75] Wang XQ, Lindberg FP, Frazier WA. Neuronal roles of integrin-associated protein (IAP/CD47). J Cell Biol. 1999;147:389.10.1083/jcb.147.2.389Search in Google Scholar PubMed PubMed Central
[76] Lin HY, Tang HY, Keating T. Resveratrol is pro-apoptotic and thyroid hormone is anti-apoptotic in glioma cells: both actions are integrin and ERK-mediated. Carcinogen. 2008;29:62–9.10.1093/carcin/bgm239Search in Google Scholar PubMed
[77] Rebbaa A, Chu F, Davis FB. Novel function of the thyroid hormone analog tetraiodo thyro acetic acid: a cancer chemo-sensitizing and anti-cancer agent. Angiogen. 2008;11:269–76.10.1007/s10456-008-9110-8Search in Google Scholar PubMed
[78] Mousa SA, O’Connor LJ, Bergh JJ, Davis FB, Scanlan TS, Davis PJ. The proangiogenic action of thyroid hormone analogue GC-1 is initiated at an integrin. J Cardiovasc Pharmacol. 2005;46:356–60.10.1097/01.fjc.0000175438.94906.a0Search in Google Scholar PubMed
[79] Bridoux A, Khan RA, Chen C, Chevé G, Cui H, Dyskin E, et al. Design, synthesis, and biological evaluation of bifunctional thyrointegrin inhibitors: new anti-angiogenesis analogs. J Enzyme Inhib Med Chem. 2011;26(6):871–82. 10.3109/14756366.2011.557023.Search in Google Scholar PubMed
[80] Mousa SA, O’Connor L, Davis FB, Davis PJ. Pro-angiogenesis action of the thyroid hormone analog 3, 5-diiodothyropropionic acid (DITPA) is initiated at the cell surface and is integrin-mediated. Endocrinol. 2006;147:1602–7.10.1210/en.2005-1390Search in Google Scholar PubMed
[81] Davis PJ, Mousa SA. Uses of formulations of thyroid hormone antagonists and nanoparticulate forms thereof to increase chemo-sensitivity and radio-sensitivity in tumor or cancer cells. European Patent EP 2442800A2, EP 2662079 A1; 2010.Search in Google Scholar
[82] Bridoux A, Cui H, Dyskin E, Yalcin M, Shaker MA. Semi-synthesis and pharmacological activities of Tetrac analogs: angiogenesis modulators. Bioorg Med Chem Lett. 2009;19:3259–63.10.1016/j.bmcl.2009.04.094Search in Google Scholar PubMed
[83] Hall LC, Salazar EP, Kane SR, Liu N. Effects of thyroid hormones on human breast cancer cell proliferation. J Steroid Biochem Mol Biol. 2008;109:57–66.10.1016/j.jsbmb.2007.12.008Search in Google Scholar PubMed
[84] Mousa SA, Thangirala S, Lin HY, Tang HY, Glinsky GV, Davis PJ. MicroRNA-21 and microRNA-15A expression in human breast cancer (MDA-MB-231) cells exposed to nanoparticulate tetraiodo thyroacetic acid (Nanotetrac). Meeting of the Endocrine Society; 2014. p. Abstract SUN-0472.Search in Google Scholar
[85] Zhao D, Tu Y, Wan L, Bu L, Huang T, Sun X, et al. In vivo monitoring of angiogenesis inhibition via down-regulation of mir-21 in a VEGFR2-luc murine breast cancer model using bioluminescent imaging. PLoS One. 2013;8:e71472.10.1371/journal.pone.0071472Search in Google Scholar PubMed PubMed Central
[86] Sun CY, She XM, Qin Y, Chu ZB, Chen L, Ai LS, et al. miR-15a and miR-16 affect the angiogenesis of multiple myeloma by targeting VEGF. Carcinogen. 2013;34:426–35.10.1093/carcin/bgs333Search in Google Scholar PubMed
[87] Lin HY. COX-2 and p53 dependent apoptosis in head squamous cell cancer cell. J Cell Biochem. 2008;104:2131–42.10.1002/jcb.21772Search in Google Scholar PubMed
[88] Lin HY, Sun M, Lin C, Tang HY, London D, Shih A, et al. Androgen-induced human breast cancer cell proliferation is mediated by discrete mechanisms in estrogen receptor-alpha-positive and -negative breast cancer cells. J Steroid Biochem Mol Biol. 2009;113:182–8.10.1016/j.jsbmb.2008.12.010Search in Google Scholar PubMed
[89] Glinskii AB, Glinsky GV, Lin HY, Tang HY, Sun M, Davis FB, et al. Modification of survival pathway gene expression in human breast cancer cells by tetra iodo thyro acetic acid (Tetrac). Cell Cycle. 2009;8(21):3562–70.10.4161/cc.8.21.9963Search in Google Scholar PubMed
[90] Kalas W, Yu JL, Milsom C, Rosenfeld J, Benezra R, Bornstein P, et al. Oncogenes and angiogenesis: Downregulation of thrombospondin-1 in normal fibroblasts exposed to factors from cancer cells harboring mutant RAS. Cancer Res. 2005;65:8878–86.10.1158/0008-5472.CAN-05-1479Search in Google Scholar PubMed
[91] Yang M, Chen T, Han C, Li N, Wan T. Cao X. Rab7b, a novel lysosome-associated small GTPase, is involved in monocytic differentiation of human acute promyelocytic leukemia cells. Biochem Biophys Res Comm. 2004;318:792–9.10.1016/j.bbrc.2004.04.115Search in Google Scholar PubMed
[92] Ren B, Yee KO, Lawler J, Khosravi-Far R. Regulation of tumor angiogenesis by thrombospondin-1. Biochim Biophys Acta. 2006;1765:178–88.10.1016/j.bbcan.2005.11.002Search in Google Scholar PubMed
[93] Mousa SA, Bergh JJ, Dier E. Tetra iodo thyro acetic acid, a small molecule integrin ligand, blocks angiogenesis induced by vascular endothelial growth factor and basic fibroblast growth factor. Angiogen. 2008;11:183–90.10.1007/s10456-007-9088-7Search in Google Scholar PubMed
[94] Davis PJ, Davis FB, Mousa SA. Thyroid induced angiogenesis. Curr Cardio Rev. 2009;5:12–6.10.2174/157340309787048158Search in Google Scholar PubMed PubMed Central
[95] Zi-Ming Z, Reynolds AB, Gaucher EA. The evolutionary history of the catenin gene family during metazoan evolution. BMC Evolution Biol. 2011;11:198.10.1186/1471-2148-11-198Search in Google Scholar PubMed PubMed Central
[96] Justilien V, Walsh MP, Ali SA, Thompson EA, Murray NR, Fields AP. The PRKCI and SOX2 oncogenes are co-amplified and cooperate to activate hedgehog signaling in lung squamous cell carcinoma. Cancer Cell. 2014;25:139–51.10.1016/j.ccr.2014.01.008Search in Google Scholar PubMed PubMed Central
[97] Samaržija I, Dekanić A, Humphries JD, Paradžik M, Stojanović N, Humphries MJ et al. Integrin crosstalk contributes to the complexity of signaling and unpredictable cancer cell fates. Cancers (Basel). 2020;12(7):1910.10.3390/cancers12071910Search in Google Scholar PubMed PubMed Central
[98] Cheng TM, Chang WJ, Chu HY, De Luca R, Pedersen JZ, Incerpi S, et al. Nano-strategies targeting the integrin ανβ3 network for cancer therapy. Cells. 2021;10(7):1684.10.3390/cells10071684Search in Google Scholar PubMed PubMed Central
[99] Go K, Sudha T, Davis PJ, Muosa S. Nano diaminopropane tetrac and integrin ανβ3 expression in different cancer types: anti-cancer efficacy and safety. Cancer Treat Res Comm. 2021;28(1):100395.10.1016/j.ctarc.2021.100395Search in Google Scholar PubMed
[100] Chin YT, He ZR, Chen CL, Chu HC, Ho Y, Su PY, et al. Tetrac and NDAT induce anti-proliferation via integrin ανβ3 in colorectal cancers with different K-RAS status. Front Endocrinol (Lausanne). 2019;10:130.10.3389/fendo.2019.00130Search in Google Scholar PubMed PubMed Central
[101] Eldar-Boock A, Blau R, Ryppa C, Baabur-Cohen H, Many A, Vicent MJ, et al. Integrin-targeted nano-sized polymeric systems for paclitaxel conjugation: a comparative study. J Drug Target. 2017;25:829–44.10.1080/1061186X.2017.1358727Search in Google Scholar PubMed
[102] Graf N, Bielenberg DR, Kolishetti N, Muus C, Banyard J, Farokhzad OC, et al. ανβ3 integrin-targeted PLGA-PEG nanoparticles for enhanced anti-tumor efficacy of a Pt (IV) prodrug. ACS Nano. 2012;6:4530–9.10.1021/nn301148eSearch in Google Scholar PubMed PubMed Central
[103] Saraf P, Li X, Wrischnik L, Jasti B. In vitro and in vivo efficacy of self-assembling RGD peptide amphiphiles for targeted delivery of paclitaxel. Pharm Res. 2015;32:3087–101.10.1007/s11095-015-1689-zSearch in Google Scholar PubMed
[104] Zhang L, Su H, Wang H, Li Q, Li X, Zhou C, et al. Tumor chemo-radiotherapy with rod-shaped and spherical gold nano probes: shape and active targeting both matter. Theranost. 2019;9:1893–908.10.7150/thno.30523Search in Google Scholar PubMed PubMed Central
[105] Maeda H, Tsukigawa K, Fang J. A retrospective 30 years after discovery of the enhanced permeability and retention effect of solid tumors: next-generation chemotherapeutics and photodynamic therapy--problems, solutions, and prospects. Microcircul. 2016;23(3):173–82.10.1111/micc.12228Search in Google Scholar PubMed
[106] Rajabi M, Godugu K, Sudha T, Bharali DJ, Mousa SA. Triazole modified tetraiodothyroacetic acid conjugated to polyethylene glycol: high affinity thyrointegrin ανβ3 antagonist with potent anticancer activities in glioblastoma multiforme. Bioconjug Chem. 2019;30(12):3087–97.10.1021/acs.bioconjchem.9b00742Search in Google Scholar PubMed
[107] Fujioka K, Godugu K, Mousa SA. Pharmacokinetics and biodistribution of a novel anticancer thyrointegrin ανβ3 antagonist: triazole modified tetraiodothyroacetic acid conjugated to polyethylene glycol (P-bi-TAT). AAPS Open. 2021;7:2.10.1186/s41120-021-00036-zSearch in Google Scholar
[108] Reeves KJ, Hurrell JE, Cecchini M, van der Pluijm G, Down JM, Eaton CL, et al. Prostate cancer cells home to bone using a novel in vivo model: modulation by the integrin antagonist GLPG0187. Int J Cancer. 2015;136(7):1731–40.10.1002/ijc.29165Search in Google Scholar PubMed
[109] Gramoun A, Shorey S, Bashutski JD, Dixon SJ, Sims SM, Heersche JN, et al. Effects of Vitaxin, a novel therapeutic in trial for metastatic bone tumors, on osteoclast functions in vitro. J Cell Biochem. 2007;102(2):341–52.10.1002/jcb.21296Search in Google Scholar PubMed
[110] Hersey P, Sosman J, O'day S, Richards J, Bedikian A, Gonzalez R, et al. Etaracizumab Melanoma Study Group. A randomized phase 2 study of etaracizumab, a monoclonal antibody against integrin ανβ3 + or - dacarbazine in patients with stage IV metastatic melanoma. Cancer. 2010;116(6):1526–34.10.1002/cncr.24821Search in Google Scholar PubMed
[111] Khanna D, Tashkin DP, Wells AU, Seibold JR, Wax S, Vazquez-Mateo C, et al. STRATUS: a phase II study of abituzumab in patients with systemic sclerosis-associated interstitial lung disease. J Rheumatol. 2021;48(8):1295–8.10.3899/jrheum.191365Search in Google Scholar PubMed
[112] Hariharan S. Assessment of the biological and pharmacological effects of the ανβ3, and ανβ5 Integrin receptor antagonist, Cilengitide (EMD 121974), in patients with advanced solid tumors. Ann Oncol. 2007;18(8):1400–7.10.1093/annonc/mdm140Search in Google Scholar PubMed
[113] Ji-Young B. Pharmaco-proteomic analysis of a novel cell-permeable peptide inhibitor of tumor-induced angiogenesis. Mol Cell Proteomics. 2011;10(8):M110.005264.10.1074/mcp.M110.005264Search in Google Scholar PubMed PubMed Central
[114] Youngjin C. Site-specific inhibition of integrin ανβ3-vitronectin association by a Ser-Asp-Val sequence through an Arg-Gly-Asp-binding site of the integrin. Proteomics. 2010;10(1):72–80.10.1002/pmic.200900146Search in Google Scholar PubMed
[115] Wierzbicka-Patynowski I. Structural requirements of echistatin for the recognition of ανβ3 and α5β1 integrins. J Biol Chem. 1999;274(53):37809–14.10.1074/jbc.274.53.37809Search in Google Scholar PubMed
[116] Xiaoyan Z. An integrin antagonist (MK-0429) decreases proteinuria and renal fibrosis in the ZSF1 rat diabetic nephropathy model. Pharmacol Res Perspect. 2017;5(5):e00354.10.1002/prp2.354Search in Google Scholar PubMed PubMed Central
© 2022 Nahid Abbas et al., published by De Gruyter
This work is licensed under the Creative Commons Attribution 4.0 International License.
Articles in the same Issue
- Research Articles
- Theoretical and experimental investigation of MWCNT dispersion effect on the elastic modulus of flexible PDMS/MWCNT nanocomposites
- Mechanical, morphological, and fracture-deformation behavior of MWCNTs-reinforced (Al–Cu–Mg–T351) alloy cast nanocomposites fabricated by optimized mechanical milling and powder metallurgy techniques
- Flammability and physical stability of sugar palm crystalline nanocellulose reinforced thermoplastic sugar palm starch/poly(lactic acid) blend bionanocomposites
- Glutathione-loaded non-ionic surfactant niosomes: A new approach to improve oral bioavailability and hepatoprotective efficacy of glutathione
- Relationship between mechano-bactericidal activity and nanoblades density on chemically strengthened glass
- In situ regulation of microstructure and microwave-absorbing properties of FeSiAl through HNO3 oxidation
- Research on a mechanical model of magnetorheological fluid different diameter particles
- Nanomechanical and dynamic mechanical properties of rubber–wood–plastic composites
- Investigative properties of CeO2 doped with niobium: A combined characterization and DFT studies
- Miniaturized peptidomimetics and nano-vesiculation in endothelin types through probable nano-disk formation and structure property relationships of endothelins’ fragments
- N/S co-doped CoSe/C nanocubes as anode materials for Li-ion batteries
- Synergistic effects of halloysite nanotubes with metal and phosphorus additives on the optimal design of eco-friendly sandwich panels with maximum flame resistance and minimum weight
- Octreotide-conjugated silver nanoparticles for active targeting of somatostatin receptors and their application in a nebulized rat model
- Controllable morphology of Bi2S3 nanostructures formed via hydrothermal vulcanization of Bi2O3 thin-film layer and their photoelectrocatalytic performances
- Development of (−)-epigallocatechin-3-gallate-loaded folate receptor-targeted nanoparticles for prostate cancer treatment
- Enhancement of the mechanical properties of HDPE mineral nanocomposites by filler particles modulation of the matrix plastic/elastic behavior
- Effect of plasticizers on the properties of sugar palm nanocellulose/cinnamon essential oil reinforced starch bionanocomposite films
- Optimization of nano coating to reduce the thermal deformation of ball screws
- Preparation of efficient piezoelectric PVDF–HFP/Ni composite films by high electric field poling
- MHD dissipative Casson nanofluid liquid film flow due to an unsteady stretching sheet with radiation influence and slip velocity phenomenon
- Effects of nano-SiO2 modification on rubberised mortar and concrete with recycled coarse aggregates
- Mechanical and microscopic properties of fiber-reinforced coal gangue-based geopolymer concrete
- Effect of morphology and size on the thermodynamic stability of cerium oxide nanoparticles: Experiment and molecular dynamics calculation
- Mechanical performance of a CFRP composite reinforced via gelatin-CNTs: A study on fiber interfacial enhancement and matrix enhancement
- A practical review over surface modification, nanopatterns, emerging materials, drug delivery systems, and their biophysiochemical properties for dental implants: Recent progresses and advances
- HTR: An ultra-high speed algorithm for cage recognition of clathrate hydrates
- Effects of microalloying elements added by in situ synthesis on the microstructure of WCu composites
- A highly sensitive nanobiosensor based on aptamer-conjugated graphene-decorated rhodium nanoparticles for detection of HER2-positive circulating tumor cells
- Progressive collapse performance of shear strengthened RC frames by nano CFRP
- Core–shell heterostructured composites of carbon nanotubes and imine-linked hyperbranched polymers as metal-free Li-ion anodes
- A Galerkin strategy for tri-hybridized mixture in ethylene glycol comprising variable diffusion and thermal conductivity using non-Fourier’s theory
- Simple models for tensile modulus of shape memory polymer nanocomposites at ambient temperature
- Preparation and morphological studies of tin sulfide nanoparticles and use as efficient photocatalysts for the degradation of rhodamine B and phenol
- Polyethyleneimine-impregnated activated carbon nanofiber composited graphene-derived rice husk char for efficient post-combustion CO2 capture
- Electrospun nanofibers of Co3O4 nanocrystals encapsulated in cyclized-polyacrylonitrile for lithium storage
- Pitting corrosion induced on high-strength high carbon steel wire in high alkaline deaerated chloride electrolyte
- Formulation of polymeric nanoparticles loaded sorafenib; evaluation of cytotoxicity, molecular evaluation, and gene expression studies in lung and breast cancer cell lines
- Engineered nanocomposites in asphalt binders
- Influence of loading voltage, domain ratio, and additional load on the actuation of dielectric elastomer
- Thermally induced hex-graphene transitions in 2D carbon crystals
- The surface modification effect on the interfacial properties of glass fiber-reinforced epoxy: A molecular dynamics study
- Molecular dynamics study of deformation mechanism of interfacial microzone of Cu/Al2Cu/Al composites under tension
- Nanocolloid simulators of luminescent solar concentrator photovoltaic windows
- Compressive strength and anti-chloride ion penetration assessment of geopolymer mortar merging PVA fiber and nano-SiO2 using RBF–BP composite neural network
- Effect of 3-mercapto-1-propane sulfonate sulfonic acid and polyvinylpyrrolidone on the growth of cobalt pillar by electrodeposition
- Dynamics of convective slippery constraints on hybrid radiative Sutterby nanofluid flow by Galerkin finite element simulation
- Preparation of vanadium by the magnesiothermic self-propagating reduction and process control
- Microstructure-dependent photoelectrocatalytic activity of heterogeneous ZnO–ZnS nanosheets
- Cytotoxic and pro-inflammatory effects of molybdenum and tungsten disulphide on human bronchial cells
- Improving recycled aggregate concrete by compression casting and nano-silica
- Chemically reactive Maxwell nanoliquid flow by a stretching surface in the frames of Newtonian heating, nonlinear convection and radiative flux: Nanopolymer flow processing simulation
- Nonlinear dynamic and crack behaviors of carbon nanotubes-reinforced composites with various geometries
- Biosynthesis of copper oxide nanoparticles and its therapeutic efficacy against colon cancer
- Synthesis and characterization of smart stimuli-responsive herbal drug-encapsulated nanoniosome particles for efficient treatment of breast cancer
- Homotopic simulation for heat transport phenomenon of the Burgers nanofluids flow over a stretching cylinder with thermal convective and zero mass flux conditions
- Incorporation of copper and strontium ions in TiO2 nanotubes via dopamine to enhance hemocompatibility and cytocompatibility
- Mechanical, thermal, and barrier properties of starch films incorporated with chitosan nanoparticles
- Mechanical properties and microstructure of nano-strengthened recycled aggregate concrete
- Glucose-responsive nanogels efficiently maintain the stability and activity of therapeutic enzymes
- Tunning matrix rheology and mechanical performance of ultra-high performance concrete using cellulose nanofibers
- Flexible MXene/copper/cellulose nanofiber heat spreader films with enhanced thermal conductivity
- Promoted charge separation and specific surface area via interlacing of N-doped titanium dioxide nanotubes on carbon nitride nanosheets for photocatalytic degradation of Rhodamine B
- Elucidating the role of silicon dioxide and titanium dioxide nanoparticles in mitigating the disease of the eggplant caused by Phomopsis vexans, Ralstonia solanacearum, and root-knot nematode Meloidogyne incognita
- An implication of magnetic dipole in Carreau Yasuda liquid influenced by engine oil using ternary hybrid nanomaterial
- Robust synthesis of a composite phase of copper vanadium oxide with enhanced performance for durable aqueous Zn-ion batteries
- Tunning self-assembled phases of bovine serum albumin via hydrothermal process to synthesize novel functional hydrogel for skin protection against UVB
- A comparative experimental study on damping properties of epoxy nanocomposite beams reinforced with carbon nanotubes and graphene nanoplatelets
- Lightweight and hydrophobic Ni/GO/PVA composite aerogels for ultrahigh performance electromagnetic interference shielding
- Research on the auxetic behavior and mechanical properties of periodically rotating graphene nanostructures
- Repairing performances of novel cement mortar modified with graphene oxide and polyacrylate polymer
- Closed-loop recycling and fabrication of hydrophilic CNT films with high performance
- Design of thin-film configuration of SnO2–Ag2O composites for NO2 gas-sensing applications
- Study on stress distribution of SiC/Al composites based on microstructure models with microns and nanoparticles
- PVDF green nanofibers as potential carriers for improving self-healing and mechanical properties of carbon fiber/epoxy prepregs
- Osteogenesis capability of three-dimensionally printed poly(lactic acid)-halloysite nanotube scaffolds containing strontium ranelate
- Silver nanoparticles induce mitochondria-dependent apoptosis and late non-canonical autophagy in HT-29 colon cancer cells
- Preparation and bonding mechanisms of polymer/metal hybrid composite by nano molding technology
- Damage self-sensing and strain monitoring of glass-reinforced epoxy composite impregnated with graphene nanoplatelet and multiwalled carbon nanotubes
- Thermal analysis characterisation of solar-powered ship using Oldroyd hybrid nanofluids in parabolic trough solar collector: An optimal thermal application
- Pyrene-functionalized halloysite nanotubes for simultaneously detecting and separating Hg(ii) in aqueous media: A comprehensive comparison on interparticle and intraparticle excimers
- Fabrication of self-assembly CNT flexible film and its piezoresistive sensing behaviors
- Thermal valuation and entropy inspection of second-grade nanoscale fluid flow over a stretching surface by applying Koo–Kleinstreuer–Li relation
- Mechanical properties and microstructure of nano-SiO2 and basalt-fiber-reinforced recycled aggregate concrete
- Characterization and tribology performance of polyaniline-coated nanodiamond lubricant additives
- Combined impact of Marangoni convection and thermophoretic particle deposition on chemically reactive transport of nanofluid flow over a stretching surface
- Spark plasma extrusion of binder free hydroxyapatite powder
- An investigation on thermo-mechanical performance of graphene-oxide-reinforced shape memory polymer
- Effect of nanoadditives on the novel leather fiber/recycled poly(ethylene-vinyl-acetate) polymer composites for multifunctional applications: Fabrication, characterizations, and multiobjective optimization using central composite design
- Design selection for a hemispherical dimple core sandwich panel using hybrid multi-criteria decision-making methods
- Improving tensile strength and impact toughness of plasticized poly(lactic acid) biocomposites by incorporating nanofibrillated cellulose
- Green synthesis of spinel copper ferrite (CuFe2O4) nanoparticles and their toxicity
- The effect of TaC and NbC hybrid and mono-nanoparticles on AA2024 nanocomposites: Microstructure, strengthening, and artificial aging
- Excited-state geometry relaxation of pyrene-modified cellulose nanocrystals under UV-light excitation for detecting Fe3+
- Effect of CNTs and MEA on the creep of face-slab concrete at an early age
- Effect of deformation conditions on compression phase transformation of AZ31
- Application of MXene as a new generation of highly conductive coating materials for electromembrane-surrounded solid-phase microextraction
- A comparative study of the elasto-plastic properties for ceramic nanocomposites filled by graphene or graphene oxide nanoplates
- Encapsulation strategies for improving the biological behavior of CdS@ZIF-8 nanocomposites
- Biosynthesis of ZnO NPs from pumpkin seeds’ extract and elucidation of its anticancer potential against breast cancer
- Preliminary trials of the gold nanoparticles conjugated chrysin: An assessment of anti-oxidant, anti-microbial, and in vitro cytotoxic activities of a nanoformulated flavonoid
- Effect of micron-scale pores increased by nano-SiO2 sol modification on the strength of cement mortar
- Fractional simulations for thermal flow of hybrid nanofluid with aluminum oxide and titanium oxide nanoparticles with water and blood base fluids
- The effect of graphene nano-powder on the viscosity of water: An experimental study and artificial neural network modeling
- Development of a novel heat- and shear-resistant nano-silica gelling agent
- Characterization, biocompatibility and in vivo of nominal MnO2-containing wollastonite glass-ceramic
- Entropy production simulation of second-grade magnetic nanomaterials flowing across an expanding surface with viscidness dissipative flux
- Enhancement in structural, morphological, and optical properties of copper oxide for optoelectronic device applications
- Aptamer-functionalized chitosan-coated gold nanoparticle complex as a suitable targeted drug carrier for improved breast cancer treatment
- Performance and overall evaluation of nano-alumina-modified asphalt mixture
- Analysis of pure nanofluid (GO/engine oil) and hybrid nanofluid (GO–Fe3O4/engine oil): Novel thermal and magnetic features
- Synthesis of Ag@AgCl modified anatase/rutile/brookite mixed phase TiO2 and their photocatalytic property
- Mechanisms and influential variables on the abrasion resistance hydraulic concrete
- Synergistic reinforcement mechanism of basalt fiber/cellulose nanocrystals/polypropylene composites
- Achieving excellent oxidation resistance and mechanical properties of TiB2–B4C/carbon aerogel composites by quick-gelation and mechanical mixing
- Microwave-assisted sol–gel template-free synthesis and characterization of silica nanoparticles obtained from South African coal fly ash
- Pulsed laser-assisted synthesis of nano nickel(ii) oxide-anchored graphitic carbon nitride: Characterizations and their potential antibacterial/anti-biofilm applications
- Effects of nano-ZrSi2 on thermal stability of phenolic resin and thermal reusability of quartz–phenolic composites
- Benzaldehyde derivatives on tin electroplating as corrosion resistance for fabricating copper circuit
- Mechanical and heat transfer properties of 4D-printed shape memory graphene oxide/epoxy acrylate composites
- Coupling the vanadium-induced amorphous/crystalline NiFe2O4 with phosphide heterojunction toward active oxygen evolution reaction catalysts
- Graphene-oxide-reinforced cement composites mechanical and microstructural characteristics at elevated temperatures
- Gray correlation analysis of factors influencing compressive strength and durability of nano-SiO2 and PVA fiber reinforced geopolymer mortar
- Preparation of layered gradient Cu–Cr–Ti alloy with excellent mechanical properties, thermal stability, and electrical conductivity
- Recovery of Cr from chrome-containing leather wastes to develop aluminum-based composite material along with Al2O3 ceramic particles: An ingenious approach
- Mechanisms of the improved stiffness of flexible polymers under impact loading
- Anticancer potential of gold nanoparticles (AuNPs) using a battery of in vitro tests
- Review Articles
- Proposed approaches for coronaviruses elimination from wastewater: Membrane techniques and nanotechnology solutions
- Application of Pickering emulsion in oil drilling and production
- The contribution of microfluidics to the fight against tuberculosis
- Graphene-based biosensors for disease theranostics: Development, applications, and recent advancements
- Synthesis and encapsulation of iron oxide nanorods for application in magnetic hyperthermia and photothermal therapy
- Contemporary nano-architectured drugs and leads for ανβ3 integrin-based chemotherapy: Rationale and retrospect
- State-of-the-art review of fabrication, application, and mechanical properties of functionally graded porous nanocomposite materials
- Insights on magnetic spinel ferrites for targeted drug delivery and hyperthermia applications
- A review on heterogeneous oxidation of acetaminophen based on micro and nanoparticles catalyzed by different activators
- Early diagnosis of lung cancer using magnetic nanoparticles-integrated systems
- Advances in ZnO: Manipulation of defects for enhancing their technological potentials
- Efficacious nanomedicine track toward combating COVID-19
- A review of the design, processes, and properties of Mg-based composites
- Green synthesis of nanoparticles for varied applications: Green renewable resources and energy-efficient synthetic routes
- Two-dimensional nanomaterial-based polymer composites: Fundamentals and applications
- Recent progress and challenges in plasmonic nanomaterials
- Apoptotic cell-derived micro/nanosized extracellular vesicles in tissue regeneration
- Electronic noses based on metal oxide nanowires: A review
- Framework materials for supercapacitors
- An overview on the reproductive toxicity of graphene derivatives: Highlighting the importance
- Antibacterial nanomaterials: Upcoming hope to overcome antibiotic resistance crisis
- Research progress of carbon materials in the field of three-dimensional printing polymer nanocomposites
- A review of atomic layer deposition modelling and simulation methodologies: Density functional theory and molecular dynamics
- Recent advances in the preparation of PVDF-based piezoelectric materials
- Recent developments in tensile properties of friction welding of carbon fiber-reinforced composite: A review
- Comprehensive review of the properties of fly ash-based geopolymer with additive of nano-SiO2
- Perspectives in biopolymer/graphene-based composite application: Advances, challenges, and recommendations
- Graphene-based nanocomposite using new modeling molecular dynamic simulations for proposed neutralizing mechanism and real-time sensing of COVID-19
- Nanotechnology application on bamboo materials: A review
- Recent developments and future perspectives of biorenewable nanocomposites for advanced applications
- Nanostructured lipid carrier system: A compendium of their formulation development approaches, optimization strategies by quality by design, and recent applications in drug delivery
- 3D printing customized design of human bone tissue implant and its application
- Design, preparation, and functionalization of nanobiomaterials for enhanced efficacy in current and future biomedical applications
- A brief review of nanoparticles-doped PEDOT:PSS nanocomposite for OLED and OPV
- Nanotechnology interventions as a putative tool for the treatment of dental afflictions
- Recent advancements in metal–organic frameworks integrating quantum dots (QDs@MOF) and their potential applications
- A focused review of short electrospun nanofiber preparation techniques for composite reinforcement
- Microstructural characteristics and nano-modification of interfacial transition zone in concrete: A review
- Latest developments in the upconversion nanotechnology for the rapid detection of food safety: A review
- Strategic applications of nano-fertilizers for sustainable agriculture: Benefits and bottlenecks
- Molecular dynamics application of cocrystal energetic materials: A review
- Synthesis and application of nanometer hydroxyapatite in biomedicine
- Cutting-edge development in waste-recycled nanomaterials for energy storage and conversion applications
- Biological applications of ternary quantum dots: A review
- Nanotherapeutics for hydrogen sulfide-involved treatment: An emerging approach for cancer therapy
- Application of antibacterial nanoparticles in orthodontic materials
- Effect of natural-based biological hydrogels combined with growth factors on skin wound healing
- Nanozymes – A route to overcome microbial resistance: A viewpoint
- Recent developments and applications of smart nanoparticles in biomedicine
- Contemporary review on carbon nanotube (CNT) composites and their impact on multifarious applications
- Interfacial interactions and reinforcing mechanisms of cellulose and chitin nanomaterials and starch derivatives for cement and concrete strength and durability enhancement: A review
- Diamond-like carbon films for tribological modification of rubber
- Layered double hydroxides (LDHs) modified cement-based materials: A systematic review
- Recent research progress and advanced applications of silica/polymer nanocomposites
- Modeling of supramolecular biopolymers: Leading the in silico revolution of tissue engineering and nanomedicine
- Recent advances in perovskites-based optoelectronics
- Biogenic synthesis of palladium nanoparticles: New production methods and applications
- A comprehensive review of nanofluids with fractional derivatives: Modeling and application
- Electrospinning of marine polysaccharides: Processing and chemical aspects, challenges, and future prospects
- Electrohydrodynamic printing for demanding devices: A review of processing and applications
- Rapid Communications
- Structural material with designed thermal twist for a simple actuation
- Recent advances in photothermal materials for solar-driven crude oil adsorption
Articles in the same Issue
- Research Articles
- Theoretical and experimental investigation of MWCNT dispersion effect on the elastic modulus of flexible PDMS/MWCNT nanocomposites
- Mechanical, morphological, and fracture-deformation behavior of MWCNTs-reinforced (Al–Cu–Mg–T351) alloy cast nanocomposites fabricated by optimized mechanical milling and powder metallurgy techniques
- Flammability and physical stability of sugar palm crystalline nanocellulose reinforced thermoplastic sugar palm starch/poly(lactic acid) blend bionanocomposites
- Glutathione-loaded non-ionic surfactant niosomes: A new approach to improve oral bioavailability and hepatoprotective efficacy of glutathione
- Relationship between mechano-bactericidal activity and nanoblades density on chemically strengthened glass
- In situ regulation of microstructure and microwave-absorbing properties of FeSiAl through HNO3 oxidation
- Research on a mechanical model of magnetorheological fluid different diameter particles
- Nanomechanical and dynamic mechanical properties of rubber–wood–plastic composites
- Investigative properties of CeO2 doped with niobium: A combined characterization and DFT studies
- Miniaturized peptidomimetics and nano-vesiculation in endothelin types through probable nano-disk formation and structure property relationships of endothelins’ fragments
- N/S co-doped CoSe/C nanocubes as anode materials for Li-ion batteries
- Synergistic effects of halloysite nanotubes with metal and phosphorus additives on the optimal design of eco-friendly sandwich panels with maximum flame resistance and minimum weight
- Octreotide-conjugated silver nanoparticles for active targeting of somatostatin receptors and their application in a nebulized rat model
- Controllable morphology of Bi2S3 nanostructures formed via hydrothermal vulcanization of Bi2O3 thin-film layer and their photoelectrocatalytic performances
- Development of (−)-epigallocatechin-3-gallate-loaded folate receptor-targeted nanoparticles for prostate cancer treatment
- Enhancement of the mechanical properties of HDPE mineral nanocomposites by filler particles modulation of the matrix plastic/elastic behavior
- Effect of plasticizers on the properties of sugar palm nanocellulose/cinnamon essential oil reinforced starch bionanocomposite films
- Optimization of nano coating to reduce the thermal deformation of ball screws
- Preparation of efficient piezoelectric PVDF–HFP/Ni composite films by high electric field poling
- MHD dissipative Casson nanofluid liquid film flow due to an unsteady stretching sheet with radiation influence and slip velocity phenomenon
- Effects of nano-SiO2 modification on rubberised mortar and concrete with recycled coarse aggregates
- Mechanical and microscopic properties of fiber-reinforced coal gangue-based geopolymer concrete
- Effect of morphology and size on the thermodynamic stability of cerium oxide nanoparticles: Experiment and molecular dynamics calculation
- Mechanical performance of a CFRP composite reinforced via gelatin-CNTs: A study on fiber interfacial enhancement and matrix enhancement
- A practical review over surface modification, nanopatterns, emerging materials, drug delivery systems, and their biophysiochemical properties for dental implants: Recent progresses and advances
- HTR: An ultra-high speed algorithm for cage recognition of clathrate hydrates
- Effects of microalloying elements added by in situ synthesis on the microstructure of WCu composites
- A highly sensitive nanobiosensor based on aptamer-conjugated graphene-decorated rhodium nanoparticles for detection of HER2-positive circulating tumor cells
- Progressive collapse performance of shear strengthened RC frames by nano CFRP
- Core–shell heterostructured composites of carbon nanotubes and imine-linked hyperbranched polymers as metal-free Li-ion anodes
- A Galerkin strategy for tri-hybridized mixture in ethylene glycol comprising variable diffusion and thermal conductivity using non-Fourier’s theory
- Simple models for tensile modulus of shape memory polymer nanocomposites at ambient temperature
- Preparation and morphological studies of tin sulfide nanoparticles and use as efficient photocatalysts for the degradation of rhodamine B and phenol
- Polyethyleneimine-impregnated activated carbon nanofiber composited graphene-derived rice husk char for efficient post-combustion CO2 capture
- Electrospun nanofibers of Co3O4 nanocrystals encapsulated in cyclized-polyacrylonitrile for lithium storage
- Pitting corrosion induced on high-strength high carbon steel wire in high alkaline deaerated chloride electrolyte
- Formulation of polymeric nanoparticles loaded sorafenib; evaluation of cytotoxicity, molecular evaluation, and gene expression studies in lung and breast cancer cell lines
- Engineered nanocomposites in asphalt binders
- Influence of loading voltage, domain ratio, and additional load on the actuation of dielectric elastomer
- Thermally induced hex-graphene transitions in 2D carbon crystals
- The surface modification effect on the interfacial properties of glass fiber-reinforced epoxy: A molecular dynamics study
- Molecular dynamics study of deformation mechanism of interfacial microzone of Cu/Al2Cu/Al composites under tension
- Nanocolloid simulators of luminescent solar concentrator photovoltaic windows
- Compressive strength and anti-chloride ion penetration assessment of geopolymer mortar merging PVA fiber and nano-SiO2 using RBF–BP composite neural network
- Effect of 3-mercapto-1-propane sulfonate sulfonic acid and polyvinylpyrrolidone on the growth of cobalt pillar by electrodeposition
- Dynamics of convective slippery constraints on hybrid radiative Sutterby nanofluid flow by Galerkin finite element simulation
- Preparation of vanadium by the magnesiothermic self-propagating reduction and process control
- Microstructure-dependent photoelectrocatalytic activity of heterogeneous ZnO–ZnS nanosheets
- Cytotoxic and pro-inflammatory effects of molybdenum and tungsten disulphide on human bronchial cells
- Improving recycled aggregate concrete by compression casting and nano-silica
- Chemically reactive Maxwell nanoliquid flow by a stretching surface in the frames of Newtonian heating, nonlinear convection and radiative flux: Nanopolymer flow processing simulation
- Nonlinear dynamic and crack behaviors of carbon nanotubes-reinforced composites with various geometries
- Biosynthesis of copper oxide nanoparticles and its therapeutic efficacy against colon cancer
- Synthesis and characterization of smart stimuli-responsive herbal drug-encapsulated nanoniosome particles for efficient treatment of breast cancer
- Homotopic simulation for heat transport phenomenon of the Burgers nanofluids flow over a stretching cylinder with thermal convective and zero mass flux conditions
- Incorporation of copper and strontium ions in TiO2 nanotubes via dopamine to enhance hemocompatibility and cytocompatibility
- Mechanical, thermal, and barrier properties of starch films incorporated with chitosan nanoparticles
- Mechanical properties and microstructure of nano-strengthened recycled aggregate concrete
- Glucose-responsive nanogels efficiently maintain the stability and activity of therapeutic enzymes
- Tunning matrix rheology and mechanical performance of ultra-high performance concrete using cellulose nanofibers
- Flexible MXene/copper/cellulose nanofiber heat spreader films with enhanced thermal conductivity
- Promoted charge separation and specific surface area via interlacing of N-doped titanium dioxide nanotubes on carbon nitride nanosheets for photocatalytic degradation of Rhodamine B
- Elucidating the role of silicon dioxide and titanium dioxide nanoparticles in mitigating the disease of the eggplant caused by Phomopsis vexans, Ralstonia solanacearum, and root-knot nematode Meloidogyne incognita
- An implication of magnetic dipole in Carreau Yasuda liquid influenced by engine oil using ternary hybrid nanomaterial
- Robust synthesis of a composite phase of copper vanadium oxide with enhanced performance for durable aqueous Zn-ion batteries
- Tunning self-assembled phases of bovine serum albumin via hydrothermal process to synthesize novel functional hydrogel for skin protection against UVB
- A comparative experimental study on damping properties of epoxy nanocomposite beams reinforced with carbon nanotubes and graphene nanoplatelets
- Lightweight and hydrophobic Ni/GO/PVA composite aerogels for ultrahigh performance electromagnetic interference shielding
- Research on the auxetic behavior and mechanical properties of periodically rotating graphene nanostructures
- Repairing performances of novel cement mortar modified with graphene oxide and polyacrylate polymer
- Closed-loop recycling and fabrication of hydrophilic CNT films with high performance
- Design of thin-film configuration of SnO2–Ag2O composites for NO2 gas-sensing applications
- Study on stress distribution of SiC/Al composites based on microstructure models with microns and nanoparticles
- PVDF green nanofibers as potential carriers for improving self-healing and mechanical properties of carbon fiber/epoxy prepregs
- Osteogenesis capability of three-dimensionally printed poly(lactic acid)-halloysite nanotube scaffolds containing strontium ranelate
- Silver nanoparticles induce mitochondria-dependent apoptosis and late non-canonical autophagy in HT-29 colon cancer cells
- Preparation and bonding mechanisms of polymer/metal hybrid composite by nano molding technology
- Damage self-sensing and strain monitoring of glass-reinforced epoxy composite impregnated with graphene nanoplatelet and multiwalled carbon nanotubes
- Thermal analysis characterisation of solar-powered ship using Oldroyd hybrid nanofluids in parabolic trough solar collector: An optimal thermal application
- Pyrene-functionalized halloysite nanotubes for simultaneously detecting and separating Hg(ii) in aqueous media: A comprehensive comparison on interparticle and intraparticle excimers
- Fabrication of self-assembly CNT flexible film and its piezoresistive sensing behaviors
- Thermal valuation and entropy inspection of second-grade nanoscale fluid flow over a stretching surface by applying Koo–Kleinstreuer–Li relation
- Mechanical properties and microstructure of nano-SiO2 and basalt-fiber-reinforced recycled aggregate concrete
- Characterization and tribology performance of polyaniline-coated nanodiamond lubricant additives
- Combined impact of Marangoni convection and thermophoretic particle deposition on chemically reactive transport of nanofluid flow over a stretching surface
- Spark plasma extrusion of binder free hydroxyapatite powder
- An investigation on thermo-mechanical performance of graphene-oxide-reinforced shape memory polymer
- Effect of nanoadditives on the novel leather fiber/recycled poly(ethylene-vinyl-acetate) polymer composites for multifunctional applications: Fabrication, characterizations, and multiobjective optimization using central composite design
- Design selection for a hemispherical dimple core sandwich panel using hybrid multi-criteria decision-making methods
- Improving tensile strength and impact toughness of plasticized poly(lactic acid) biocomposites by incorporating nanofibrillated cellulose
- Green synthesis of spinel copper ferrite (CuFe2O4) nanoparticles and their toxicity
- The effect of TaC and NbC hybrid and mono-nanoparticles on AA2024 nanocomposites: Microstructure, strengthening, and artificial aging
- Excited-state geometry relaxation of pyrene-modified cellulose nanocrystals under UV-light excitation for detecting Fe3+
- Effect of CNTs and MEA on the creep of face-slab concrete at an early age
- Effect of deformation conditions on compression phase transformation of AZ31
- Application of MXene as a new generation of highly conductive coating materials for electromembrane-surrounded solid-phase microextraction
- A comparative study of the elasto-plastic properties for ceramic nanocomposites filled by graphene or graphene oxide nanoplates
- Encapsulation strategies for improving the biological behavior of CdS@ZIF-8 nanocomposites
- Biosynthesis of ZnO NPs from pumpkin seeds’ extract and elucidation of its anticancer potential against breast cancer
- Preliminary trials of the gold nanoparticles conjugated chrysin: An assessment of anti-oxidant, anti-microbial, and in vitro cytotoxic activities of a nanoformulated flavonoid
- Effect of micron-scale pores increased by nano-SiO2 sol modification on the strength of cement mortar
- Fractional simulations for thermal flow of hybrid nanofluid with aluminum oxide and titanium oxide nanoparticles with water and blood base fluids
- The effect of graphene nano-powder on the viscosity of water: An experimental study and artificial neural network modeling
- Development of a novel heat- and shear-resistant nano-silica gelling agent
- Characterization, biocompatibility and in vivo of nominal MnO2-containing wollastonite glass-ceramic
- Entropy production simulation of second-grade magnetic nanomaterials flowing across an expanding surface with viscidness dissipative flux
- Enhancement in structural, morphological, and optical properties of copper oxide for optoelectronic device applications
- Aptamer-functionalized chitosan-coated gold nanoparticle complex as a suitable targeted drug carrier for improved breast cancer treatment
- Performance and overall evaluation of nano-alumina-modified asphalt mixture
- Analysis of pure nanofluid (GO/engine oil) and hybrid nanofluid (GO–Fe3O4/engine oil): Novel thermal and magnetic features
- Synthesis of Ag@AgCl modified anatase/rutile/brookite mixed phase TiO2 and their photocatalytic property
- Mechanisms and influential variables on the abrasion resistance hydraulic concrete
- Synergistic reinforcement mechanism of basalt fiber/cellulose nanocrystals/polypropylene composites
- Achieving excellent oxidation resistance and mechanical properties of TiB2–B4C/carbon aerogel composites by quick-gelation and mechanical mixing
- Microwave-assisted sol–gel template-free synthesis and characterization of silica nanoparticles obtained from South African coal fly ash
- Pulsed laser-assisted synthesis of nano nickel(ii) oxide-anchored graphitic carbon nitride: Characterizations and their potential antibacterial/anti-biofilm applications
- Effects of nano-ZrSi2 on thermal stability of phenolic resin and thermal reusability of quartz–phenolic composites
- Benzaldehyde derivatives on tin electroplating as corrosion resistance for fabricating copper circuit
- Mechanical and heat transfer properties of 4D-printed shape memory graphene oxide/epoxy acrylate composites
- Coupling the vanadium-induced amorphous/crystalline NiFe2O4 with phosphide heterojunction toward active oxygen evolution reaction catalysts
- Graphene-oxide-reinforced cement composites mechanical and microstructural characteristics at elevated temperatures
- Gray correlation analysis of factors influencing compressive strength and durability of nano-SiO2 and PVA fiber reinforced geopolymer mortar
- Preparation of layered gradient Cu–Cr–Ti alloy with excellent mechanical properties, thermal stability, and electrical conductivity
- Recovery of Cr from chrome-containing leather wastes to develop aluminum-based composite material along with Al2O3 ceramic particles: An ingenious approach
- Mechanisms of the improved stiffness of flexible polymers under impact loading
- Anticancer potential of gold nanoparticles (AuNPs) using a battery of in vitro tests
- Review Articles
- Proposed approaches for coronaviruses elimination from wastewater: Membrane techniques and nanotechnology solutions
- Application of Pickering emulsion in oil drilling and production
- The contribution of microfluidics to the fight against tuberculosis
- Graphene-based biosensors for disease theranostics: Development, applications, and recent advancements
- Synthesis and encapsulation of iron oxide nanorods for application in magnetic hyperthermia and photothermal therapy
- Contemporary nano-architectured drugs and leads for ανβ3 integrin-based chemotherapy: Rationale and retrospect
- State-of-the-art review of fabrication, application, and mechanical properties of functionally graded porous nanocomposite materials
- Insights on magnetic spinel ferrites for targeted drug delivery and hyperthermia applications
- A review on heterogeneous oxidation of acetaminophen based on micro and nanoparticles catalyzed by different activators
- Early diagnosis of lung cancer using magnetic nanoparticles-integrated systems
- Advances in ZnO: Manipulation of defects for enhancing their technological potentials
- Efficacious nanomedicine track toward combating COVID-19
- A review of the design, processes, and properties of Mg-based composites
- Green synthesis of nanoparticles for varied applications: Green renewable resources and energy-efficient synthetic routes
- Two-dimensional nanomaterial-based polymer composites: Fundamentals and applications
- Recent progress and challenges in plasmonic nanomaterials
- Apoptotic cell-derived micro/nanosized extracellular vesicles in tissue regeneration
- Electronic noses based on metal oxide nanowires: A review
- Framework materials for supercapacitors
- An overview on the reproductive toxicity of graphene derivatives: Highlighting the importance
- Antibacterial nanomaterials: Upcoming hope to overcome antibiotic resistance crisis
- Research progress of carbon materials in the field of three-dimensional printing polymer nanocomposites
- A review of atomic layer deposition modelling and simulation methodologies: Density functional theory and molecular dynamics
- Recent advances in the preparation of PVDF-based piezoelectric materials
- Recent developments in tensile properties of friction welding of carbon fiber-reinforced composite: A review
- Comprehensive review of the properties of fly ash-based geopolymer with additive of nano-SiO2
- Perspectives in biopolymer/graphene-based composite application: Advances, challenges, and recommendations
- Graphene-based nanocomposite using new modeling molecular dynamic simulations for proposed neutralizing mechanism and real-time sensing of COVID-19
- Nanotechnology application on bamboo materials: A review
- Recent developments and future perspectives of biorenewable nanocomposites for advanced applications
- Nanostructured lipid carrier system: A compendium of their formulation development approaches, optimization strategies by quality by design, and recent applications in drug delivery
- 3D printing customized design of human bone tissue implant and its application
- Design, preparation, and functionalization of nanobiomaterials for enhanced efficacy in current and future biomedical applications
- A brief review of nanoparticles-doped PEDOT:PSS nanocomposite for OLED and OPV
- Nanotechnology interventions as a putative tool for the treatment of dental afflictions
- Recent advancements in metal–organic frameworks integrating quantum dots (QDs@MOF) and their potential applications
- A focused review of short electrospun nanofiber preparation techniques for composite reinforcement
- Microstructural characteristics and nano-modification of interfacial transition zone in concrete: A review
- Latest developments in the upconversion nanotechnology for the rapid detection of food safety: A review
- Strategic applications of nano-fertilizers for sustainable agriculture: Benefits and bottlenecks
- Molecular dynamics application of cocrystal energetic materials: A review
- Synthesis and application of nanometer hydroxyapatite in biomedicine
- Cutting-edge development in waste-recycled nanomaterials for energy storage and conversion applications
- Biological applications of ternary quantum dots: A review
- Nanotherapeutics for hydrogen sulfide-involved treatment: An emerging approach for cancer therapy
- Application of antibacterial nanoparticles in orthodontic materials
- Effect of natural-based biological hydrogels combined with growth factors on skin wound healing
- Nanozymes – A route to overcome microbial resistance: A viewpoint
- Recent developments and applications of smart nanoparticles in biomedicine
- Contemporary review on carbon nanotube (CNT) composites and their impact on multifarious applications
- Interfacial interactions and reinforcing mechanisms of cellulose and chitin nanomaterials and starch derivatives for cement and concrete strength and durability enhancement: A review
- Diamond-like carbon films for tribological modification of rubber
- Layered double hydroxides (LDHs) modified cement-based materials: A systematic review
- Recent research progress and advanced applications of silica/polymer nanocomposites
- Modeling of supramolecular biopolymers: Leading the in silico revolution of tissue engineering and nanomedicine
- Recent advances in perovskites-based optoelectronics
- Biogenic synthesis of palladium nanoparticles: New production methods and applications
- A comprehensive review of nanofluids with fractional derivatives: Modeling and application
- Electrospinning of marine polysaccharides: Processing and chemical aspects, challenges, and future prospects
- Electrohydrodynamic printing for demanding devices: A review of processing and applications
- Rapid Communications
- Structural material with designed thermal twist for a simple actuation
- Recent advances in photothermal materials for solar-driven crude oil adsorption



