Abstract
Recently, nanotechnology has been effectively used in the field of road pavement. Oxidation and aging of asphalt cause deterioration of road pavements and increase asphalt-related emissions. We propose an anti-aging strategy to interrupt the asphalt deterioration by using engineered clay/fumed silica nanocomposites. In this research, the morphological, chemical, thermal, mechanical, and rheological properties of nano-modified asphalt binders are meticulously analyzed in various conditions. The experiment results proved that this composite efficiently disrupts the chemical oxidation and decomposition in the mixture and reduces the aging rate. Remarkably, asphalt binder rheology experiments revealed that the addition of 0.2–0.3 wt% of nano-reinforced materials maximized their rheological resistance after short- and long-term aging. Moreover, nanoparticles improve the moisture resistance efficiency and in turn overcome the critical issue of moisture in low production temperature within the framework of warm mix asphalt technology. This cost-effective, facile, and scalable approach in warm mix asphalt mixtures can contribute to increased sustainability and lifespan of pavements and a reduction in greenhouse gas emissions.
Graphical abstract

1 Introduction
Bitumen is generally used as the glue in road asphalt mixtures, due to its appropriate rheological properties [1,2,3]. However, modification of bitumen has developed an emerging field in road material technology, mainly in connection with re-using reclaimed asphalt paving, with low-energy concepts for asphalt mixture production, and with the increasing wish to at least partially replace the bitumen through more sustainable and bio-based binders. A significant issue when identifying the most appropriate bitumen modifiers is to investigate their aging resistance. As road asphalt materials are exposed not only to hot temperatures during mixture production but also to severe sun radiation, and oxygen and other radicals that promote binder aging during their entire in-service life [4,5,6,7], the durability of asphalt binders in terms of aging resistance is an important material property. Binder aging includes ultraviolet, thermal long-term aging, and thermo oxidative short-term aging.
To influence asphalt binder performance, a huge variety of different types of additives can be added to bitumen, such as polymers, fibers, recycled materials, and nanomaterials [8,9]. This study focuses on nanomaterials. Among these materials, usually, nanomaterials significantly change chemical binder properties and in consequence mechanical rheological performance properties. Among the most important parameters describing nanoparticles (NPs), which cause physical properties of nanocomposites unique and different from conventional materials, are their ratio of surface area to volume, shape, chemical composition, and their capability to increase interactions at phase interfaces [10,11]. Metal oxide, inorganic, nanofibers, and nanocomposites are the main class of nanomaterials particularly used in asphalt mixture to modify asphaltene binders [12,13]. Metal oxide NPs including zinc oxide (ZnO) and titanium dioxide (TiO2) are reported to enhance the asphalt mixture’s resistance to rutting and cracking [13,14]. Inorganic NPs such as silica (SiO2), carbon nanotubes (CNTs), and nano-clay are seen to have excellent potential in the reinforcement of asphalt materials and improving their durability [15,16]. The rheological performance of bitumen – and consequently the performance of the corresponding asphalt mixture – was successfully improved through the addition of SiO2 NPs. The thermal and mechanical stabilities of the asphalt mixture were also improved by incorporating clay NPs [17,18]. To the best of our knowledge, clay and silica families are the most widely used inorganic NPs to improve the binder resistance to aging [19,20,21,22]. Clay and silica families were reported to be one of the excellent inorganic NPs in improving binder aging properties. Based on the results of different reports, nano-silica-modified asphalt binders slightly decreased viscosity and complex modulus, while improving fatigue and rutting resistance after short-term aging [19,20,21]. In addition, some investigations have shown that nano-silica-modified binder has a higher resistance to thermal aging, ultimately leading to increased durability of asphalt pavements [21,22]. SiO2 NPs have advantages such as nonphotocatalytic, inorganic shielding, and nontoxic, which are of crucial importance for use in asphalt mixtures [23,24]. However, fumed SiO2 NPs are one class of synthetic nanomaterials that has environmentally friendly and economic justification to use on large scale. Fumed silica is a synthetic amorphous structure nanomaterial with a large surface area and nano-size scale [25]. Therefore, this study focuses on clay/fumed silica nanoparticles (CSNPs).
In comparison to the conventional way, warm mix asphalt (WMA) technology works in an efficient eco-friendly manner. In this case, asphalt is produced at a temperature of approximately 30–60°C, which is lower than usual. This technology reduces the emission of harmful vapors and leads to 20–35 and 35% less greenhouse gas emissions and energy consumption, respectively [13,26]. However, moisture susceptibility is a common disadvantage of WMA technology, leading to a decrease in its performance [27,28].
The objective of this research is to identify the potential impacts of CSNPs on the aging resistance of road asphalt binders that are used for road asphalt mixtures produced by WMA technology. In detail, the morphological, chemical, thermal, rheological, and mechanical properties of CSNP-modified asphalt binders are meticulously analyzed in various conditions. New insights are presented toward a further understanding of potential changes in mechanical and rheological binder properties due to thermal aging. Figure 1 schematically illustrates the experimental techniques applied in this study.

Schematic overview of experimental techniques applied in this study.
2 Materials and methods
2.1 Materials
The synthesis process of CSNPs was selected according to the authors’ previous research (as shown in Figure S1) [29]. Nano fumed silica (Aerosil A300, Degussa Co., Germany), sodium bentonite (Sigma Aldrich Ltd., Germany; see Table S1), and Bitumen 50/70 (Total Co., France) were used in this research. The particle size analysis of materials was performed using a dynamic light scattering (DLS) (Malvern ZEN 3600, UK), while X-ray diffraction (XRD) analysis was conducted using an X-ray powder diffraction (Philips PW 1730, Netherlands; Figure S2). To prepare the WMA mixture, a new formulation of Fischer-Tropsch (FT) wax (Sasol, South Africa; Evonik, Germany; Sigma-Aldrich, Germany) was synthesized in this investigation. Before use, nanocomposites were dried in an oven at 110°C for 3 h. In the first step, samples were prepared in accordance with prior works procedures [18]. Subsequently, nanocomposites were added to bitumen in different quantities (0.1, 2, and 3 wt%). In this study, bitumen was modified using a 3% WMA additive. This value was chosen based on the commonly used wax content used in WMA mixtures reported in the previous study [13].
2.2 Aging process
For the rolling thin film oven test (RTFOT), according to ASTM D1754, samples were kept at 163°C in the rolling thin-film oven (RTFOT 8, model of ISL, France). Based on the pressure aging vessel (PAV) standard procedure, samples were investigated in the PAV after long-term aging (with a 300 psi and 100°C for 20 h). We prepared samples in three conditions: S1–S4: unaged samples, S5–S8: short-term aged samples, and S9–S12: long-term aged samples. All the samples are presented in Table S2 (Supplementary materials).
2.3 Characterization methods
A dynamic shear rheometer (DSR) device (Malvern Kinexus Pro+, UK) was applied to evaluate the rheological properties at a frequency of 10 rad/s and temperature between 20 and 70°C. The phase angle and complex shear modulus (G*) of base asphalt binder and aged samples were measured according to the standard AASHTO T 315. This method is generally used for characterizing asphalt binder properties in the linear viscoelastic range. Chemical properties were tested using Fourier transform infrared (FTIR; Thermoscientific Nicolet iS10, USA) and a TG/DTA (SDT Q600, TA Ins., USA). A Renishaw inViaTM confocal Raman microscope (Renishaw plc, Miskin, Pontyclun, UK) with an argon laser source (633 nm) was used to study chemical bonding and aromatic sheet size, which was equipped with a charge-coupled device detector (4/cm spectral resolution, 90° scattering geometry). The survey spectrums were recorded ranging from 500 to 3,000/cm at room temperature (50× long work distance objective). Atomic force microscope (AFM; Nanowizard, JPK Ins., Germany) with cantilevers in a tapping mode (RTESP, Bruker, USA) and field emission scanning electron microscope (FE-SEM; TE-SCAN, MIRA III, Czech Republic) were used to study morphology and structures of binder samples in microscales and nanoscales. Roughness and thickness map images at 1–2 frames/s and a set-point z were analyzed, and the results were evaluated using the open-source software Gwyddion [30]. The morphologies were characterized by focusing an electron beam on the surface of the binder samples. A thermal infrared camera (FLIR-T440, US) recorded thermographic images in specific time steps from binder samples. Flexural creep properties at low temperature were analyzed by using a thermoelectric bending beam rheometer (TE-BBR; Cannon Ins., USA). In this study, we used Petrotest© for softening point (PKA5, Germany), automatic penetrometer (PNR 12, Germany), and ductility test (infratest, 20-2356, Germany). A summary of the physical characteristics of the asphalt binder used in this study is presented in Table S3 (Supplementary Materials).
3 Results and discussion
3.1 Surface morphology
FE-SEM was conducted to observe the surface morphology of CSNP-modified asphalt binder samples in the asphalt binder matrix (Figure 2a). FE-SEM images display uniform dispersion of CSNPs (average particle size ∼45 nm) in the asphalt binder matrix. Unique nanolayer shapes of CSNPs in asphalt binder matrix significantly affect the aging process: like a shield. In this case, CSNPs prevent the upper structure from destruction through radiation [8] and simultaneously trap volatile compounds and prevent evaporation from the asphalt binder.


(a) FESEM images of asphalt binder modified by CSNPs at different magnifications. (b) FESEM colored images of CSNPs on binder surface; CSNPs coat a large surface of the binder due to the high surface area-to-volume ratio (one of the unique physical properties of CSNPs). The red shows an aggregation of NPs, and green demonstrates the asphalt binder surface. (c) FESEM images of asphalt binder surface at different scales and aggregation sizes of CSNPs. The first red square illustrates the aggregate of CSNPs, and the second red square shows the surface of the asphalt binder. The average size of CSNPs is 45 nm.
Due to their large surface area, clay nanolayers and fumed silica NPs coat a wide area. To use this feature, suitable dispersion of CSNPs in asphalt binder is essential. Distribution can be analyzed (see Figure S3) using energy-dispersive spectroscopy (EDS). The elements aluminum, silica, iron, and titanium can be detected and used to identify the distribution of CSNPs in base binders. Clay layers in binders’ surfaces are usually detected via titanium dioxide (with 1 µm average particle size). The map of titanium elements shows that the distribution of the particles in bitumen is uniform.
The nanostructure formed by CSNPs acts as a nano-shield against oxidation and thermal destruction. Clay layers are of high heat resistivity and avoid decomposition of chemical bonds and thus delay binder aging [8]. Figure 2b and c shows the partially uniform cover of CSNPs on asphalt binders (green color) and dense bulks of CSNPs (red color), respectively. Polarity and chemical bonding [31,32] are important parameters that cause nanolayers to adsorb together and create these bulky components in asphalt binders.
To further understand the effect of CSNPs on the binder, morphological properties were analyzed through the AFM test. The identification of the change of the binder microstructure due to aging is of interest because it shows the changing molecular interactions and chemical compounds [33,34]. The microstructures of binder samples modified by CSNPs are shown in Figure 3.


(a) AFM 3D view of the surface morphology of asphalt binder, showing bee-like structures after aging that looks like a Toblerone chocolate bar; the bee-like structure is affected by the polarity of asphaltene molecules and is a challenging phenomenon that is directly related to long alkyl chains of asphaltenes, high aromatic components, and microcrystalline waxes. Aging affects the size of the individual bees and their number on the binder surface considerably, and with the increasing size and number, the binder surface stiffness increases. (b) AFM 2D view of components of bee-like structures. (c) Colored single bee; red zone represents saturates–aromatics, violet zone shows asphaltenes–resins, dark blue zone illustrates resins–aromatics, and light blue zone shows saturates–resins content. The scale bar is 500 nm. (d) 3D cross-section of asphalt binder and four components of asphalt binder: asphaltenes, resins, aromatics, and saturates. The scale bar is 1 µm. 2D and 3D AFM surface images of binders: (e) morphological unaged sample, (f and g) short-term and long-term aged samples, respectively; at three different modes: center row, phase image; left and right rows, 3D and 2D surface topography samples.
In Figure 3, three phases Catana, Peri, and Para are shown that indicated bee-like structures, dispersed phase, and smooth matrix phase, respectively. The Catana and matrix phases are considered as microstructure characteristics of the binder [35]. Bee-like structures are attributed to the long chains of alkyl in microcrystalline waxes, aromatics structures, and asphaltenes, which crystallize during cooling [36]. Bee-like structures in AFM images indicate the possible presence of asphaltic components (Figure 3b–d). The amount of asphaltenes and colloids is directly related to the size of the bee-like structure in the asphalt binder; the larger the structure, the higher the number of asphaltenes and colloids [37]. The microstructure morphology and the individual phases of short- and long-term aging binder samples are presented in Figure 3e–g. The comparison of AFM images of long-term aged and virgin samples illustrates the disappearing nanostructure and the increasing formation of bee-like structures. The same process can be observed on Videos 1–3 (see Supplementary Materials), recorded during the AFM measurements, which show the consequential structural change of binder aging. The addition of CSNPs to the asphalt binder leads to significant changes in binder morphology and microstructure. These changes explain the role of CSNPs as a shield to binder aging.
3.2 Dynamic viscoelastic properties
Viscoelastic properties of binders were analyzed by the DSR test. The phase angle (δ) and the corresponding complex shear modulus (G*) were measured over the frequency range (10 rad/s) and a large temperature (from 20 to 90°C). The binders’ resistance to deformation (rutting) permanent (plastic) was investigated according to parameter G*/sin δ parameter [38]. The results are illustrated in Figure 4a–c. Deformation resistance of asphalt binder is considered with phase angle and complex modulus, which loading frequency and temperature parameters have the main effect on G* and δ [8].



Phase angle and complex modulus of modified asphalt binder, (a) 0.1 wt%, (b) 2 wt%, and (c) 3 wt% CSNPs. Rutting resistance of CSNP-modified binder in short- and long-term aged and unaged conditions for (d) base samples, (e) 0.1 wt% CSNPs, (f) 0.2 wt% CSNPs, and (g) 0.3 wt% CSNPs.
The sample with CSNPs in an amount of 0.2 wt% shows the highest deformation resistance before aging. Aging leads to an increase in stiffness. The maximum level of stiffness is always observed for aged base samples, which is linked with an increase in elastic behavior [39] and disadvantageously with an increase in brittleness [40]. The complex modulus conditions change upon the addition of NPs to the asphalt binder. For CSNP-modified samples, the increase in stiffness upon aging is less distinct due to the reinforcing effect of NPs. Based on the results of this study, the addition of 0.2 and 0.3 wt% of NPs to the asphalt binder shows the highest resistance to permanent deformation after short- and long-term aging, respectively. An optimum content of CSNPs in the asphalt binder can be determined for obtaining CSNP-modified binders with the highest resistance to aging. After PAV aging, the phase angle and complex modulus ranking were 3.0 wt% NPs < 1.0 wt% NPs < 2.0 wt% NPs < 0.0 wt% NPs, and 0.0 wt% NPs > 2.0 wt% NPs > 1.0 wt% NPs > 3.0 wt% NPs, respectively.
In Figure 4d–g, rutting parameters before and after aging are displayed (at 30 and 70°C). Samples 6 and 12 demonstrated the most distinct improvement after short- and long-term aging, respectively. The results show the resistance to permanent deformation, which improved upon the addition of CSNPs.
In this investigation, the efficiency of rutting resistance is considered with the threshold temperature of the rutting factor. Table 1 presents a threshold temperature of 1.0 before aging and 2.2 kPa after aging (based on SHRP-A-369 standard [38]). The results show that CSNPs decrease rutting resistance before aging. After aging, the threshold temperature and hardening of base samples increase, while the contrary is measured for CSNP-modified samples. These observations confirm that CSNPs reduce the stiffness and hardening due to aging. Moreover, the results showed that 0.1 wt% of CSNPs performs higher in comparison to 0.2 wt%.
Threshold temperatures of asphalt binder before and after aging in various concentrations (S1–S12) of CSNPs
| Threshold temperatures (°C) | |||||||||||
|---|---|---|---|---|---|---|---|---|---|---|---|
| Before aging (G*/sin δ = 1 kPa) | After aging (G*/sin δ = 2.2 kPa) | ||||||||||
| S1 | S2 | S3 | S4 | S5 | S6 | S7 | S8 | S9 | S10 | S11 | S12 |
| 72.8 | 73.0 | 73.4 | 73.1 | 73.0 | 72.4 | 72.9 | 72.7 | 77.4 | 77.4 | 77.6 | 78.0 |
3.3 Thermal and spectroscopy analysis
Thermogravimetry/differential thermal analysis (TG/DTA) was carried out to investigate the thermal stability and the pattern of thermal decomposition. Figure 5 shows the results of thermogravimetric analysis (TGA), where the weight loss of the samples is measured with the increasing temperature up to 900°C.

Derivative thermo-gravimetry and thermal gravimetric analysis images: unaged binder samples: (a) base samples and (b) CSNPs modified; short-term aged binder: (c) base samples and (d) CSNPs modified; long-term aged binder: (e) base sample and (f) CSNPs modified.
Three main ranges of mass loss are shown in thermal decomposition: temperature ranges of 200–360, 370–490, and 540°C. Over the temperature range of 480–580°C, heteroatom bonds of base samples are decomposed, and resins are oxidated and dehydrogenated. In the next stage, the polymerization/cracking process produces asphaltenes that increase the binder weight loss [41,42].
CSNP-modified binder samples have increased thermal stability. The final decomposition in CSNP-modified binders happened sooner in comparison to base samples that this subject may be related to fumed silica NPs (Figure S4). The carbon residue of base samples arrives at zero at 800°C (maximum mass loss); however, there is a 20–43% carbon residue in the CSNP-modified binders. The CSNP-modified binders with lower weight loss have higher heat stability and lower evaporation [43]. Most of the mass loss for CSNPs binder samples occurs at temperatures above 200°C, which is much higher than the operating temperature required for asphalt mixtures; therefore, this nanocomposite has acceptable thermal performance in asphalt binders.
The temperature distribution on the sample surface during 120 s at different times (by using infrared thermal images) – always calculated by chosen three points on the surface [44,45] – is shown in Figure 6. Temperature changes are shown by the color change in asphalt binder samples. At low temperature (Figure 6a, e, i, and m), heat distribution is uniform; however, temperature increases from 44.6 to 136, 34.8 to 95, and 33.7 to 95°C for the sample without WMA additive, with WMA additive, and with WMA additive + CSNPs after 120 s, respectively. Figure 6 shows that without WMA, additive samples have linear heating rates and a growing surface temperature trend. Figure 6h and p shows that WMA samples can release uniformly heat; however, base samples create heat accumulation. In addition, WMA samples have a more suitable temperature distribution than base samples at a lower heat level. Figure 6a–d and i–l shows the released heat rate of samples without and with CSNPs, which are 0.63 and 0.62°C/s, respectively. These figures indicate that WMA additives with and without CSNPs have similar thermal mechanisms.

Infrared thermal image: WMA additive (a–d) with CSNPs, (e–h) without CSNPs; without WMA additive (i–l) with CSNPs and (m–p) without CSNP; in different thermal zones: (d, h, l, p) 120 s, (c, g, k, and o) 90 s, (b, f, j, and n) 60 s, and (a, e, I, and m) 30 s. The sample’s diameter is 18 mm.
The comparison of temperature distributions of samples modified by CSNPs and fumed silica NPs (Figure 6 and Figure S5) shows that the effect of CSNPs on WMA is more effective than fumed silica NPs. In addition, the sufficient performance (temperature distribution) of samples modified with silica NPs and clay NPs indicates the self-healing phenomenon in the asphalt binder [46,47].
3.4 Contact angles of asphalt binders
Figure 7 shows contact angles (CAs; between water and asphalt binder surface) for various asphalt binders before and after aging. CA values higher or lower than 90° show hydrophobicity or hydrophilicity of the samples, respectively. CSNP-modified samples are more hydrophobic, and thus, fewer water molecules are trapped in the binder surface. To put it another way, CSNPs significantly reduce residual molecules of water in the asphalt mixture and alter the wettability of asphalt binders. This phenomenon indicates that CSNP-modified binders have much higher moisture susceptibility in comparison to the base binder samples. Videos 4–6 (see Supplementary Materials) compare CAs of modified samples before and after aging.

Contact angle images: unaged binder (a) without CSNPs and (b) with CSNPs; short-term aged binder (c) without CSNPs and (d) with CSNPs; long-term aged binder (e) without CSNPs and (f) with CSNPs.
In Figure 7, the increase in CA from 91 to 97° of a CSNP-modified sample is shown. This observation could be related to the hydrophobic nature of fumed silica NPs. The ratio of fumed silica NPs in asphalt binder could play a key role in binder wettability (CAs of fumed silica NPs are shown in Figure S6). In addition, CA imaging showed that for increased aging levels, a slight increase (from 6 to 7°) in CA long-term aging is observed.
3.5 Mechanism of CSNPs and bitumen
Several mechanisms affect the anti-aging process of asphalt binder modified by CSNPs. In this interaction, an increase in surface energy causes an increase in hydroxyl groups bonds between silica NPs and bitumen [8,48]. Besides, the high surface area-to-volume ratio of clay nanolayers increases to combine asphalt binder molecules with clay layers [49]. Bitumen molecules could be created chemical bonds with silica NPs, and also, NPs support components of bitumen by physical reactions (van der Waals force) [50]. Asphaltene plays a key role in the rheological properties of bitumen. Based on the bitumen’s colloidal structure (Figure 8), oil and asphaltene are dispersed in the solvent phase. As shown in Figure 8, due to the appropriate size of the CSNPs (average particle sizes of silica particles and clay layers are about 33 and 12 nm, respectively), they are easily dispersed between these colloidal dimensions and cover the asphaltene molecules (average diameter, 0.5–40 nm [51]); hence, the mechanical and thermal properties can be modified with this molecular chemical improvement. Furthermore, nanolayers of clay have superb abilities to change the properties on the bitumen surface. Clay nanolayers are dispersed in bitumen’s colloidal structure and prevent the penetration of oxygen into the matrix of bitumen at the nanoscale [52]. Other physical and chemical properties of CSNPs such as wettability alteration [53] and ion exchange reactions enhance the stability of modified bitumen and avoid decomposition of the bitumen’s chemical structure.

Schematic of action of clay/silica NPs and bitumen compositions.
3.6 Fourier transform infrared and Raman spectroscopy analysis
To study the chemical bonds of asphalt binder, FTIR spectroscopy was used in the range of 650–4,000/cm (Figure 9a). Figure 9 shows the change rate (CR) of sulfoxide and carbonyl index for short- and long-term aging. As to UV-aged samples, the carbonyl index increased more than for the base binder. The sulfoxide and carbonyl index were reduced for CSNP-modified asphalt binders. In addition, expansion of aging time increases sulfoxide and carbonyl index.

(a) FTIR spectra of asphalt binders at different aging conditions (wavenumber 700–4,000/cm) and (b) sulfoxide and carbonyl aging indexes at different aged conditions.
The equations in the Supplementary Materials (see Table S4) have been used to investigate chemical bonds – Aromatic (C═C), ethylene (CH═CH), carbonyl (C═O), aliphatic (C–H of CH3), aliphatic (C–H of −(CH2)n–), and sulfoxide (S═O) indexes [54,55].
The change in the ratio of bands is shown in Figure 9b for all binder samples. During the short- and long-term aging process, carbonyl, sulfoxide, and aromatic indexes increased; however, after aging, results show that the sulfoxide and carbonyl indexes reduced for CSNP-modified binders. Due to the aging process, asphaltene is hydrogenated into the polycyclic aromatic or hydroaromatic hydrocarbons and leads to an increase in the aromatic compounds. Conversely, after aging, due to the opposition between compounds of aliphatic and aromatic, there was a decrease in aliphatic molecules. In addition, in the CSNP-modified binder, the ethylene (CH═CH) index increased after the aging, which indicates that CSNP is an appropriate protective shield to decrease oxidative and thermal reactions [54,56]. In other words, particles of nanodiameter have an excellent capability to be used as an anti-aging shield [57].
The average size of the aromatic sheet of bitumen was determined by Raman spectroscopy (Figure 10). The Raman spectra of each sample are composed of D and G bands, except fresh bitumen [58,59]. The G and D bands show the carbon atoms sp2 stretching vibration within the aromatic sheet of hexagonal and the boundary of an ordered-like structure of asphaltene, respectively [58]. The band peak position of G and D (I G and I D) in Figure 10 is in 1,585–1,599 and 1,264–1,377/cm, respectively (Figure S7) [59].

Raman spectra of the binder samples: (a) unaged, (b) short-term aging, and (c) long-term aging.
Although there are great similarities between the Raman spectra among the bitumen samples, there exist several main variations. For example, the relative proportion of aromatic rings was considerably higher in the long-term aging sample, compared with lower aromatic fused rings in the base samples. In the presence of NPs, the change in G and D band peaks can be attributed to the ability of the nanoparticle itself to change the aromatic ring interactions in the bitumen solution.
Upon closer inspection of Figure 10, adding NPs to the bitumen samples changes the intensity of asphaltene sheets. This is owed to the interactions between NPs and aromatic fused rings. The most intense peak in the D band is in the long-term aging sample, which is based on the vibrational mode of a disordered graphitic lattice with an A1g symmetry [60]. Conversely, base bitumen shows that the molecules of occupied aromatic are extremely low compared to other samples due to low asphaltene aromatic sheet size [61].
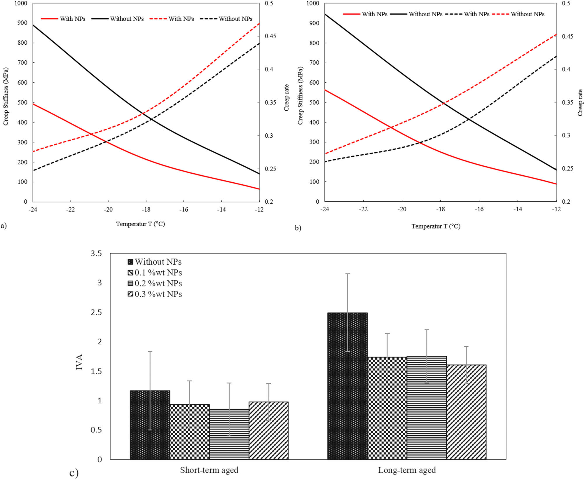
3.7 Low-temperature performance and viscosity aging
The BBR test was used to calculate the creep rate (m-value) and creep stiffness (S) of asphalt binders in the function of loading time at low-temperature conditions [62]. S and m-value are key parameters for low-temperature cracking of asphalt materials [63].
In this study, S and m-value were determined for NP-modified asphalt binders at three different temperatures (Figure 11a and b). The observed creep stiffness values of NP-modified asphalt binders were reduced significantly. Hence, CSNPs improve the resistance to low-temperature cracking. Samples 7 and 11 with 0.2 wt% of CSNPs showed the most significant improvements after short-/long-term aging. The creep rate (after the aging process) decreased with the aging degree; however, nanoparticle additives significantly increased the creep rate. Fumed silica NPs improved the cracking resistance of asphalt. This owes to the fact that the NPs promote the asphalt binder surfaces and molecules, consequently decreasing aging, and in turn, modified asphalt binder samples gain sufficient elasticity at low temperatures [16,64].

Creep stiffnesses (S) and creep rates (m-value) of asphalt binders: (a) nonmodified and (b) modified by NPs after long-term aging at different temperatures. (c) IVA of base binder and NP-modified asphalt binder.
Figure 11c shows the index of viscosity aging (IVA) asphalt binder samples after short- and long-term aging. The IVA is used to study the aging properties (Table S4 in Supplementary Materials).
The IVA in the NP-modified samples after short-term aging is smaller than the IVA of base samples. Thus, the aging resistance of the asphalt binder increases with NPs modification. According to the results shown in Figure 11c, the IVA is directly related to aging and increases with the duration of aging. The asphalt binder sample modified by 0.2 wt% of NPs has appropriate IVA after short-term aging, and the sample modified by 0.3 wt% of NPs has the smallest level of IVA after long-term aging. The results indicate that the IVA reduces with the increasing concentration of NPs.
4 Conclusion
The modification of asphalt binders through NPs can offer new perspectives in asphalt binder technology and might be of great use to develop the next generation of road asphalt paving materials. New types of nanocomposites might be able to significantly increase technical durability and sustainability while remaining eco-friendly and cost-effective.
This research presents the latest findings on a new nano-composite asphalt binder, modified by CSNPs. This new binder type represents considerably improved thermal, chemical, and mechanical properties when compared to conventional asphalt binders. Interesting advantages are proved in improved aging resistance and moisture resistance, reduction of asphalt mix production temperature, and improved long-term performance.
The experimental results presented in this research demonstrate that binder modification by using CSNPs change wettability advantageously and enhance the hydrophobic properties of conventional asphalt binder. Our findings show great potential to solve one of the most challenging problems in WMA technology, which is moisture susceptibility. Furthermore, detailed chemical and rheological studies indicate a significant improvement in the aging resistance of CSNP-modified asphalt binders.
Asphalt binder modification through CSNPs and WMA technology can be considered as an interesting low-cost and eco-friendly technique in asphalt pavement engineering providing novel perspectives in making asphalt materials more durable. From a broader perspective, our findings of molecular interactions between NPs and asphalt binder will open up a new avenue that will be an inspiration in the nanotechnology concept in asphalt.
Acknowledgements
The authors acknowledge support by the Open Access Publication Funds of Technische Universität Braunschweig. Part of Figure 8 was created with BioRender.com (under license number 307CB98D-0001 BioRender). The IMPACT operation has been part-funded by the European Regional Development Fund through the Welsh Government (c80843) and Swansea University.
-
Funding information: The authors gratefully acknowledge financial support from the German Research Foundation (DFG).
-
Author contributions: All authors have accepted responsibility for the entire content of this manuscript and approved its submission.
-
Conflict of interest: The authors state no conflict of interest.
References
[1] Li R, Pei J, Sun C. Effect of nano-ZnO with modified surface on properties of bitumen. Constr Build Mater. 2015;98:656–61.10.1016/j.conbuildmat.2015.08.141Search in Google Scholar
[2] Sadeghnejad M, Shafabakhsh G. Experimental study on the physical and rheological properties of bitumen modified with different nano materials (Nano SiO2 & Nano TiO2). Int J Nano Nanotech. 2017;13(3):253–63.Search in Google Scholar
[3] Shafabakhsh G, Ani OJ. Experimental investigation of effect of Nano TiO2/SiO2 modified bitumen on the rutting and fatigue performance of asphalt mixtures containing steel slag aggregates. Constr Build Mater. 2015;98:692–702.10.1016/j.conbuildmat.2015.08.083Search in Google Scholar
[4] Sun X, Yuan J, Zhang Y, Yin Y, Lv J, Jiang S. Thermal aging behavior characteristics of asphalt binder modified by nano-stabilizer based on DSR and AFM. Nanotech Rev. 2021;10(1):1157–82.10.1515/ntrev-2021-0075Search in Google Scholar
[5] Li Z, Guo T, Chen Y, Liu Q, Chen Y. The properties of nano-CaCO3/nano-ZnO/SBR composite-modified asphalt. Nanotech Rev. 2021;10(1):1253–65.10.1515/ntrev-2021-0082Search in Google Scholar
[6] Rad FY, Elwardany MD, Castorena C, Kim YR. Evaluation of chemical and rheological aging indices to track oxidative aging of asphalt mixtures. Tran Res Rec. 2018;2672(28):349–58.10.1177/0361198118784138Search in Google Scholar
[7] Zhu C, Xu G, Zhang H, Xiao F, Amirkhanian S, Wu C. Influence of different anti-stripping agents on the rheological properties of asphalt binder at high temperature. Constr Build Mater. 2018;164:317–25.10.1016/j.conbuildmat.2017.12.236Search in Google Scholar
[8] Cheraghian G, Wistuba MP. Ultraviolet aging study on bitumen modified by a composite of clay and fumed silica nanoparticles. Sci Rep. 2020;10(1):11216.10.1038/s41598-020-68007-0Search in Google Scholar PubMed PubMed Central
[9] Lin M, Wang ZL, Yang PW, Li P. Micro-structure and rheological properties of graphene oxide rubber asphalt. Nanotech Rev. 2019;8(1):227–35.10.1515/ntrev-2019-0021Search in Google Scholar
[10] Cheraghian G, wang D, Kim Y, Wistuba M, editors. Experimental investigation on ultraviolet aging properties of silica nanoparticles-modified bitumen. RILEM ISBM Lyon 2020. Lyon, France: RILEM, Springer; 2020.10.1007/978-3-030-46455-4_112Search in Google Scholar
[11] Kleizienė R, Paliukaitė M, Vaitkus A, editors. Effect of nano SiO2, TiO2 and ZnO modification to rheological properties of neat and polymer modified bitumen. International Symposium on Asphalt Pavement & Environment. Springer; 2019.10.1007/978-3-030-29779-4_32Search in Google Scholar
[12] Cheraghian G. Evaluation of clay and fumed silica nanoparticles on adsorption of surfactant polymer during enhanced oil recovery. J Jpn Pet Ins. 2017;60(2):85–94.10.1627/jpi.60.85Search in Google Scholar
[13] Cheraghian G, Falchetto AC, You Z, Chen S, Kim YS, Westerhoff J, et al. Warm mix asphalt technology: an up to date review. J Clean Prod. 2020;268:122128.10.1016/j.jclepro.2020.122128Search in Google Scholar
[14] Ahmad N, Nasir MA, Hafeez M, Rafi J, Zaidi SBA, Haroon W. Carbon nanotubes (CNTs) in asphalt binder: homogeneous dispersion and performance enhancement. App Sci. 2018;8(12):2651.10.3390/app8122651Search in Google Scholar
[15] Amin GM, Esmail A. Application of nano silica to improve self-healing of asphalt mixes. J Cent S Uni. 2017;24(5):1019–26.10.1007/s11771-017-3504-ySearch in Google Scholar
[16] Cheraghian G, Wistuba MP. Effect of Fumed silica nanoparticles on ultraviolet aging resistance of bitumen. Nanomaterials. 2021 Feb;11(2):454.10.3390/nano11020454Search in Google Scholar PubMed PubMed Central
[17] Azarhoosh A, Moghaddas Nejad F, Khodaii A. Evaluation of the effect of nano-TiO2 on the adhesion between aggregate and asphalt binder in hot mix asphalt. Eur J Envoi Civ Eng. 2018;22(8):946–61.10.1080/19648189.2016.1229227Search in Google Scholar
[18] Cheraghian G, Wistuba MP, Kiani S, Barron AR, Behnood A. Rheological, physicochemical, and microstructural properties of asphalt binder modified by fumed silica nanoparticles. Sci Rep. 2021;11(1):1–20.10.1038/s41598-021-90620-wSearch in Google Scholar PubMed PubMed Central
[19] Enieb M, Diab A. Characteristics of asphalt binder and mixture containing nanosilica. Int J Pav Res Tech. 2017;10(2):148–57.10.1016/j.ijprt.2016.11.009Search in Google Scholar
[20] Cheraghian G. Synthesis and properties of polyacrylamide by nanoparticles, effect nanoclay on stability polyacrylamide solution. Micro Nano Lett. 2017;12(1):40–4.10.1049/mnl.2016.0419Search in Google Scholar
[21] Ceccon Carlesso G, Trichês G, Staub de Melo JV, Marcon MF, Padilha Thives L, da Luz LCJAS. Evaluation of rheological behavior, resistance to permanent deformation, and resistance to fatigue of asphalt mixtures modified with nanoclay and SBS polymer. Appl Sci. 2019;9(13):2697.10.3390/app9132697Search in Google Scholar
[22] Qian G, Yang C, Huang H, Gong X, Yu H. Resistance to ultraviolet aging of nano-sio2 and rubber powder compound modified asphalt. Materials. 2020;13(22):5067.10.3390/ma13225067Search in Google Scholar PubMed PubMed Central
[23] Cheraghian G. Application of nano-particles of clay to improve drilling fluid. int j of nanoscience. Nanotechnology. 2017;13(2):177–86.Search in Google Scholar
[24] Ranjbarzadeh R, Moradikazerouni A, Bakhtiari R, Asadi A, Afrand M. An experimental study on stability and thermal conductivity of water/silica nanofluid: eco-friendly production of nanoparticles. J Clean Prod. 2019;206:1089–100.10.1016/j.jclepro.2018.09.205Search in Google Scholar
[25] Guo C, Jordan JS, Yarger JL, Holland GP. Highly Efficient fumed silica nanoparticles for peptide bond formation: converting alanine to alanine anhydride. ACS App Mater Interfaces. 2017;9(20):17653–61.10.1021/acsami.7b04887Search in Google Scholar PubMed
[26] Behnood A, Karimi MM, Cheraghian G. Coupled effects of warm mix asphalt (WMA) additives and rheological modifiers on the properties of asphalt binders. Clean Eng Tech. 2020;1:100028.10.1016/j.clet.2020.100028Search in Google Scholar
[27] Fakhri M, Javadi S, Sedghi R, Arzjani D, Zarrinpour Y. Effects of deicing agents on moisture susceptibility of the WMA containing recycled crumb rubber. Constr Build Mater. 2019;227:116581.10.1016/j.conbuildmat.2019.07.307Search in Google Scholar
[28] Ameri M, Yazdipanah F, Rahimi Yengejeh A, Afshin A. Production temperatures and mechanical performance of rubberized asphalt mixtures modified with two warm mix asphalt (WMA) additives. Mater Struct. 2020;53(4):113.10.1617/s11527-020-01542-4Search in Google Scholar
[29] Cheraghian G, Wu Q, Mostofi M, Li M-C, Afrand M, Sangwai JS. . Effect of a novel clay/silica nanocomposite on water-based drilling fluids: improvements in rheological and filtration properties. Colloids Surf A: Physicochem Eng Asp. 2018;555:339–50.10.1016/j.colsurfa.2018.06.072Search in Google Scholar
[30] Gwyddion.net. Gwyddion – Download. [Online]. http://gwyddion.net/download.php. 2020.Search in Google Scholar
[31] Omar HA, Yusoff NIM, Ceylan H, Rahman IA, Sajuri Z, Jakarni FM, et al. Determining the water damage resistance of nano-clay modified bitumens using the indirect tensile strength and surface free energy methods. Constr Build Mater. 2018;167:391–402.10.1016/j.conbuildmat.2018.02.011Search in Google Scholar
[32] Tseng T-F, Wu J-Y. Preparation and structural characterization of novel nanohybrids by cationic 3D silica nanoparticles sandwiched between 2D anionic montmorillonite clay through electrostatic attraction. J Phy Chemi C. 2009;113(30):13036–44.10.1021/jp9007043Search in Google Scholar
[33] Nivedya MK, Trottier TG, Yu X, Tao M, Burnham NA, Mallick RB. Microstructural evolution of asphalt binder under combined action of moisture and pressure. J Trans Eng Part B: Pavements. 2019;145(2):06019001.10.1061/JPEODX.0000104Search in Google Scholar
[34] Soenen H, Besamusca J, Fischer HR, Poulikakos LD, Planche J-P, Das PK, et al. Laboratory investigation of bitumen based on round robin DSC and AFM tests. Mater Struct. 2014;47(7):1205–20.10.1617/s11527-013-0123-4Search in Google Scholar
[35] Hofko B, Eberhardsteiner L, Füssl J, Grothe H, Handle F, Hospodka M, et al. Impact of maltene and asphaltene fraction on mechanical behavior and microstructure of bitumen. Mater Struct. 2016;49(3):829–41.10.1617/s11527-015-0541-6Search in Google Scholar
[36] Nazzal Munir D, Abu-Qtaish L, Kaya S, Powers D. Using atomic force microscopy to evaluate the nanostructure and nanomechanics of warm mix asphalt. J Mater Civ Eng. 2015;27(10):04015005.10.1061/(ASCE)MT.1943-5533.0001254Search in Google Scholar
[37] Zhang H, Wang Y, Yu T, Liu Z. Microstructural characteristics of differently aged asphalt samples based on atomic force microscopy (AFM). Const Build Mater. 2020;255:119388.10.1016/j.conbuildmat.2020.119388Search in Google Scholar
[38] Anderson DA, Christensen DW, Bahia HU, Dongre R, Sharma M, Antle CE, et al. Binder characterization and evaluation. Phys Charact. 1994;3:491.Search in Google Scholar
[39] Cao Z, Chen M, He B, Han X, Yu J, Xue L. Investigation of ultraviolet aging resistance of bitumen modified by layered double hydroxides with different particle sizes. Const Build Mater. 2019;196:166–74.10.1016/j.conbuildmat.2018.11.125Search in Google Scholar
[40] Molenaar AAA, Hagos ET, van de Ven MFC. Effects of aging on the mechanical characteristics of bituminous binders in PAC. J Mater Civ Eng. 2010;22(8):779–87.10.1061/(ASCE)MT.1943-5533.0000021Search in Google Scholar
[41] Nciri N, Kim J, Kim N, Cho N. An in-depth investigation into the physicochemical, thermal, microstructural, and rheological properties of petroleum and natural asphalts. Materials. 2016;9(10):859.10.3390/ma9100859Search in Google Scholar
[42] Li Y-B, Luo C, Lin X, Li K, Xiao Z-R, Wang Z-Q, et al. Characteristics and properties of coke formed by low-temperature oxidation and thermal pyrolysis during in situ combustion. I&EC. 2020;59(5):2171–80.10.1021/acs.iecr.9b05635Search in Google Scholar
[43] Khairuddin FH, Alamawi MY, Yusoff NIM, Badri KH, Ceylan H, Tawil SNM. Physicochemical and thermal analyses of polyurethane modified bitumen incorporated with Cecabase and Rediset: optimization using response surface methodology. Fuel. 2019;254:115662.10.1016/j.fuel.2019.115662Search in Google Scholar
[44] Liu W, Miao P, Wang S-Y. Increasing microwave heating efficiency of asphalt-coated aggregates mixed with modified steel slag particles. J Mater Civ Eng. 2017;29(10):04017171.10.1061/(ASCE)MT.1943-5533.0002026Search in Google Scholar
[45] Li C, Wu S, Chen Z, Tao G, Xiao Y. Improved microwave heating and healing properties of bitumen by using nanometer microwave-absorbers. Constr Build Mater. 2018;189:757–67.10.1016/j.conbuildmat.2018.09.050Search in Google Scholar
[46] Kie Badroodi S, Reza Keymanesh M, Shafabakhsh G. Experimental investigation of the fatigue phenomenon in nano silica-modified warm mix asphalt containing recycled asphalt considering self-healing behavior. Constr Build Mater. 2020;246:117558.10.1016/j.conbuildmat.2019.117558Search in Google Scholar
[47] Zhang Z, Cheng P, Li Y. Effect of nano montmorillonite on the multiple self-healing of microcracks in asphalt mixture. Road Mater Pave Des. 2020;12:1–15.10.1080/14680629.2020.1793805Search in Google Scholar
[48] Fang C, Yu X, Yu R, Liu P, Qiao X. Preparation and properties of isocyanate and nano particles composite modified asphalt. Const Build Mater. 2016;119:113–8.10.1016/j.conbuildmat.2016.04.099Search in Google Scholar
[49] Xu X, Guo H, Wang X, Zhang M, Wang Z, Yang B. Physical properties and anti-aging characteristics of asphalt modified with nano-zinc oxide powder. Constr Build Mater. 2019;224:732–42.10.1016/j.conbuildmat.2019.07.097Search in Google Scholar
[50] Qing Z, Qi-Cheng L, Peng L, Chuan-Sheng C, Jiang-Rong K. Study on modification mechanism of nano-ZnO/polymerised styrene butadiene composite-modified asphalt using density functional theory. Road Mater Pave Des. 2020;21(5):1426–38.10.1080/14680629.2018.1552888Search in Google Scholar
[51] Soleymanzadeh A, Yousefi M, Kord S, Mohammadzadeh O. A review on methods of determining onset of asphaltene precipitation. J Petr Exp Prod Tech. 2019;9(2):1375–96.10.1007/s13202-018-0533-5Search in Google Scholar
[52] Galooyak SS, Dabir B, Nazarbeygi AE, Moeini A. Rheological properties and storage stability of bitumen/SBS/montmorillonite composites. Const Build Mater. 2010;24(3):300–7.10.1016/j.conbuildmat.2009.08.032Search in Google Scholar
[53] Zhu J, Birgisson B, Kringos N. Polymer modification of bitumen: advances and challenges. Euro Poly J. 2014;54:18–38.10.1016/j.eurpolymj.2014.02.005Search in Google Scholar
[54] Yao H, You Z, Li L, Lee Chee H, Wingard D, Yap Yoke K, et al. Rheological properties and chemical bonding of asphalt modified with nanosilica. J Mater Civ Eng. 2013;25(11):1619–30.10.1061/(ASCE)MT.1943-5533.0000690Search in Google Scholar
[55] Liu K, Zhang K, Wu J, Muhunthan B, Shi X. Evaluation of mechanical performance and modification mechanism of asphalt modified with graphene oxide and warm mix additives. J Clean Prod. 2018;193:87–96.10.1016/j.jclepro.2018.05.040Search in Google Scholar
[56] Xue C-H, Zhao L-L, Guo X-J, Ji Z-Y, Wu Y, Jia S-T, et al. Mechanically durable superhydrophobic surfaces by binding polystyene nanoparticles on fibers with aluminum phosphate followed by hydrophobization. Chem Eng J. 2020;396:125231.10.1016/j.cej.2020.125231Search in Google Scholar
[57] Huang X-J, Zeng X-F, Wang J-X, Zhang L-L, Chen J-F. Synthesis of monodispersed ZnO@SiO2 nanoparticles for anti-UV aging application in highly transparent polymer-based nanocomposites. J Mater Sci. 2019;54(11):8581–90.10.1007/s10853-019-03393-zSearch in Google Scholar
[58] Kiani S, Jones DR, Alexander S, Barron AR. New insights into the interactions between asphaltene and a low surface energy anionic surfactant under low and high brine salinity. J Coll Inter Sci. 2020;571:307–17.10.1016/j.jcis.2020.03.018Search in Google Scholar
[59] Alabi O, Edilbi A, Brolly C, Muirhead D, Parnell J, Stacey R, et al. Asphaltene detection using surface enhanced Raman scattering (SERS). Chem Comm. 2015;51(33):7152–5.10.1039/C5CC00676GSearch in Google Scholar
[60] Beyssac O, Goffé B, Chopin C, Rouzaud JN. Raman spectra of carbonaceous material in metasediments: a new geothermometer. J Meta Geo. 2002;20(9):859–71.10.1046/j.1525-1314.2002.00408.xSearch in Google Scholar
[61] Katagiri G, Ishida H, Ishitani A. Raman spectra of graphite edge planes. Carbon. 1988;26(4):565–71.10.1016/0008-6223(88)90157-1Search in Google Scholar
[62] Mortezaei M, Shabani S, Mohammadian-Gerzaz S. Assessing the effects of premixing on the rheological properties for three-phases asphalt binder nano-composite including clay and SBS. Const Build Mater. 2020;231:117151.10.1016/j.conbuildmat.2019.117151Search in Google Scholar
[63] Nejad FM, Nazari H, Naderi K, Karimiyan Khosroshahi F, Hatefi, Oskuei M. Thermal and rheological properties of nanoparticle modified asphalt binder at low and intermediate temperature range. Petro Sci Tech. 2017;35(7):641–6.10.1080/10916466.2016.1276589Search in Google Scholar
[64] Farahani H, Palassi M, Galooyak S. Rheology investigation of waste LDPE and crumb rubber modified bitumen. Eng Solid Mech. 2018;6(1):27–38.10.5267/j.esm.2017.11.002Search in Google Scholar
© 2022 Goshtasp Cheraghian et al., published by De Gruyter
This work is licensed under the Creative Commons Attribution 4.0 International License.
Articles in the same Issue
- Research Articles
- Theoretical and experimental investigation of MWCNT dispersion effect on the elastic modulus of flexible PDMS/MWCNT nanocomposites
- Mechanical, morphological, and fracture-deformation behavior of MWCNTs-reinforced (Al–Cu–Mg–T351) alloy cast nanocomposites fabricated by optimized mechanical milling and powder metallurgy techniques
- Flammability and physical stability of sugar palm crystalline nanocellulose reinforced thermoplastic sugar palm starch/poly(lactic acid) blend bionanocomposites
- Glutathione-loaded non-ionic surfactant niosomes: A new approach to improve oral bioavailability and hepatoprotective efficacy of glutathione
- Relationship between mechano-bactericidal activity and nanoblades density on chemically strengthened glass
- In situ regulation of microstructure and microwave-absorbing properties of FeSiAl through HNO3 oxidation
- Research on a mechanical model of magnetorheological fluid different diameter particles
- Nanomechanical and dynamic mechanical properties of rubber–wood–plastic composites
- Investigative properties of CeO2 doped with niobium: A combined characterization and DFT studies
- Miniaturized peptidomimetics and nano-vesiculation in endothelin types through probable nano-disk formation and structure property relationships of endothelins’ fragments
- N/S co-doped CoSe/C nanocubes as anode materials for Li-ion batteries
- Synergistic effects of halloysite nanotubes with metal and phosphorus additives on the optimal design of eco-friendly sandwich panels with maximum flame resistance and minimum weight
- Octreotide-conjugated silver nanoparticles for active targeting of somatostatin receptors and their application in a nebulized rat model
- Controllable morphology of Bi2S3 nanostructures formed via hydrothermal vulcanization of Bi2O3 thin-film layer and their photoelectrocatalytic performances
- Development of (−)-epigallocatechin-3-gallate-loaded folate receptor-targeted nanoparticles for prostate cancer treatment
- Enhancement of the mechanical properties of HDPE mineral nanocomposites by filler particles modulation of the matrix plastic/elastic behavior
- Effect of plasticizers on the properties of sugar palm nanocellulose/cinnamon essential oil reinforced starch bionanocomposite films
- Optimization of nano coating to reduce the thermal deformation of ball screws
- Preparation of efficient piezoelectric PVDF–HFP/Ni composite films by high electric field poling
- MHD dissipative Casson nanofluid liquid film flow due to an unsteady stretching sheet with radiation influence and slip velocity phenomenon
- Effects of nano-SiO2 modification on rubberised mortar and concrete with recycled coarse aggregates
- Mechanical and microscopic properties of fiber-reinforced coal gangue-based geopolymer concrete
- Effect of morphology and size on the thermodynamic stability of cerium oxide nanoparticles: Experiment and molecular dynamics calculation
- Mechanical performance of a CFRP composite reinforced via gelatin-CNTs: A study on fiber interfacial enhancement and matrix enhancement
- A practical review over surface modification, nanopatterns, emerging materials, drug delivery systems, and their biophysiochemical properties for dental implants: Recent progresses and advances
- HTR: An ultra-high speed algorithm for cage recognition of clathrate hydrates
- Effects of microalloying elements added by in situ synthesis on the microstructure of WCu composites
- A highly sensitive nanobiosensor based on aptamer-conjugated graphene-decorated rhodium nanoparticles for detection of HER2-positive circulating tumor cells
- Progressive collapse performance of shear strengthened RC frames by nano CFRP
- Core–shell heterostructured composites of carbon nanotubes and imine-linked hyperbranched polymers as metal-free Li-ion anodes
- A Galerkin strategy for tri-hybridized mixture in ethylene glycol comprising variable diffusion and thermal conductivity using non-Fourier’s theory
- Simple models for tensile modulus of shape memory polymer nanocomposites at ambient temperature
- Preparation and morphological studies of tin sulfide nanoparticles and use as efficient photocatalysts for the degradation of rhodamine B and phenol
- Polyethyleneimine-impregnated activated carbon nanofiber composited graphene-derived rice husk char for efficient post-combustion CO2 capture
- Electrospun nanofibers of Co3O4 nanocrystals encapsulated in cyclized-polyacrylonitrile for lithium storage
- Pitting corrosion induced on high-strength high carbon steel wire in high alkaline deaerated chloride electrolyte
- Formulation of polymeric nanoparticles loaded sorafenib; evaluation of cytotoxicity, molecular evaluation, and gene expression studies in lung and breast cancer cell lines
- Engineered nanocomposites in asphalt binders
- Influence of loading voltage, domain ratio, and additional load on the actuation of dielectric elastomer
- Thermally induced hex-graphene transitions in 2D carbon crystals
- The surface modification effect on the interfacial properties of glass fiber-reinforced epoxy: A molecular dynamics study
- Molecular dynamics study of deformation mechanism of interfacial microzone of Cu/Al2Cu/Al composites under tension
- Nanocolloid simulators of luminescent solar concentrator photovoltaic windows
- Compressive strength and anti-chloride ion penetration assessment of geopolymer mortar merging PVA fiber and nano-SiO2 using RBF–BP composite neural network
- Effect of 3-mercapto-1-propane sulfonate sulfonic acid and polyvinylpyrrolidone on the growth of cobalt pillar by electrodeposition
- Dynamics of convective slippery constraints on hybrid radiative Sutterby nanofluid flow by Galerkin finite element simulation
- Preparation of vanadium by the magnesiothermic self-propagating reduction and process control
- Microstructure-dependent photoelectrocatalytic activity of heterogeneous ZnO–ZnS nanosheets
- Cytotoxic and pro-inflammatory effects of molybdenum and tungsten disulphide on human bronchial cells
- Improving recycled aggregate concrete by compression casting and nano-silica
- Chemically reactive Maxwell nanoliquid flow by a stretching surface in the frames of Newtonian heating, nonlinear convection and radiative flux: Nanopolymer flow processing simulation
- Nonlinear dynamic and crack behaviors of carbon nanotubes-reinforced composites with various geometries
- Biosynthesis of copper oxide nanoparticles and its therapeutic efficacy against colon cancer
- Synthesis and characterization of smart stimuli-responsive herbal drug-encapsulated nanoniosome particles for efficient treatment of breast cancer
- Homotopic simulation for heat transport phenomenon of the Burgers nanofluids flow over a stretching cylinder with thermal convective and zero mass flux conditions
- Incorporation of copper and strontium ions in TiO2 nanotubes via dopamine to enhance hemocompatibility and cytocompatibility
- Mechanical, thermal, and barrier properties of starch films incorporated with chitosan nanoparticles
- Mechanical properties and microstructure of nano-strengthened recycled aggregate concrete
- Glucose-responsive nanogels efficiently maintain the stability and activity of therapeutic enzymes
- Tunning matrix rheology and mechanical performance of ultra-high performance concrete using cellulose nanofibers
- Flexible MXene/copper/cellulose nanofiber heat spreader films with enhanced thermal conductivity
- Promoted charge separation and specific surface area via interlacing of N-doped titanium dioxide nanotubes on carbon nitride nanosheets for photocatalytic degradation of Rhodamine B
- Elucidating the role of silicon dioxide and titanium dioxide nanoparticles in mitigating the disease of the eggplant caused by Phomopsis vexans, Ralstonia solanacearum, and root-knot nematode Meloidogyne incognita
- An implication of magnetic dipole in Carreau Yasuda liquid influenced by engine oil using ternary hybrid nanomaterial
- Robust synthesis of a composite phase of copper vanadium oxide with enhanced performance for durable aqueous Zn-ion batteries
- Tunning self-assembled phases of bovine serum albumin via hydrothermal process to synthesize novel functional hydrogel for skin protection against UVB
- A comparative experimental study on damping properties of epoxy nanocomposite beams reinforced with carbon nanotubes and graphene nanoplatelets
- Lightweight and hydrophobic Ni/GO/PVA composite aerogels for ultrahigh performance electromagnetic interference shielding
- Research on the auxetic behavior and mechanical properties of periodically rotating graphene nanostructures
- Repairing performances of novel cement mortar modified with graphene oxide and polyacrylate polymer
- Closed-loop recycling and fabrication of hydrophilic CNT films with high performance
- Design of thin-film configuration of SnO2–Ag2O composites for NO2 gas-sensing applications
- Study on stress distribution of SiC/Al composites based on microstructure models with microns and nanoparticles
- PVDF green nanofibers as potential carriers for improving self-healing and mechanical properties of carbon fiber/epoxy prepregs
- Osteogenesis capability of three-dimensionally printed poly(lactic acid)-halloysite nanotube scaffolds containing strontium ranelate
- Silver nanoparticles induce mitochondria-dependent apoptosis and late non-canonical autophagy in HT-29 colon cancer cells
- Preparation and bonding mechanisms of polymer/metal hybrid composite by nano molding technology
- Damage self-sensing and strain monitoring of glass-reinforced epoxy composite impregnated with graphene nanoplatelet and multiwalled carbon nanotubes
- Thermal analysis characterisation of solar-powered ship using Oldroyd hybrid nanofluids in parabolic trough solar collector: An optimal thermal application
- Pyrene-functionalized halloysite nanotubes for simultaneously detecting and separating Hg(ii) in aqueous media: A comprehensive comparison on interparticle and intraparticle excimers
- Fabrication of self-assembly CNT flexible film and its piezoresistive sensing behaviors
- Thermal valuation and entropy inspection of second-grade nanoscale fluid flow over a stretching surface by applying Koo–Kleinstreuer–Li relation
- Mechanical properties and microstructure of nano-SiO2 and basalt-fiber-reinforced recycled aggregate concrete
- Characterization and tribology performance of polyaniline-coated nanodiamond lubricant additives
- Combined impact of Marangoni convection and thermophoretic particle deposition on chemically reactive transport of nanofluid flow over a stretching surface
- Spark plasma extrusion of binder free hydroxyapatite powder
- An investigation on thermo-mechanical performance of graphene-oxide-reinforced shape memory polymer
- Effect of nanoadditives on the novel leather fiber/recycled poly(ethylene-vinyl-acetate) polymer composites for multifunctional applications: Fabrication, characterizations, and multiobjective optimization using central composite design
- Design selection for a hemispherical dimple core sandwich panel using hybrid multi-criteria decision-making methods
- Improving tensile strength and impact toughness of plasticized poly(lactic acid) biocomposites by incorporating nanofibrillated cellulose
- Green synthesis of spinel copper ferrite (CuFe2O4) nanoparticles and their toxicity
- The effect of TaC and NbC hybrid and mono-nanoparticles on AA2024 nanocomposites: Microstructure, strengthening, and artificial aging
- Excited-state geometry relaxation of pyrene-modified cellulose nanocrystals under UV-light excitation for detecting Fe3+
- Effect of CNTs and MEA on the creep of face-slab concrete at an early age
- Effect of deformation conditions on compression phase transformation of AZ31
- Application of MXene as a new generation of highly conductive coating materials for electromembrane-surrounded solid-phase microextraction
- A comparative study of the elasto-plastic properties for ceramic nanocomposites filled by graphene or graphene oxide nanoplates
- Encapsulation strategies for improving the biological behavior of CdS@ZIF-8 nanocomposites
- Biosynthesis of ZnO NPs from pumpkin seeds’ extract and elucidation of its anticancer potential against breast cancer
- Preliminary trials of the gold nanoparticles conjugated chrysin: An assessment of anti-oxidant, anti-microbial, and in vitro cytotoxic activities of a nanoformulated flavonoid
- Effect of micron-scale pores increased by nano-SiO2 sol modification on the strength of cement mortar
- Fractional simulations for thermal flow of hybrid nanofluid with aluminum oxide and titanium oxide nanoparticles with water and blood base fluids
- The effect of graphene nano-powder on the viscosity of water: An experimental study and artificial neural network modeling
- Development of a novel heat- and shear-resistant nano-silica gelling agent
- Characterization, biocompatibility and in vivo of nominal MnO2-containing wollastonite glass-ceramic
- Entropy production simulation of second-grade magnetic nanomaterials flowing across an expanding surface with viscidness dissipative flux
- Enhancement in structural, morphological, and optical properties of copper oxide for optoelectronic device applications
- Aptamer-functionalized chitosan-coated gold nanoparticle complex as a suitable targeted drug carrier for improved breast cancer treatment
- Performance and overall evaluation of nano-alumina-modified asphalt mixture
- Analysis of pure nanofluid (GO/engine oil) and hybrid nanofluid (GO–Fe3O4/engine oil): Novel thermal and magnetic features
- Synthesis of Ag@AgCl modified anatase/rutile/brookite mixed phase TiO2 and their photocatalytic property
- Mechanisms and influential variables on the abrasion resistance hydraulic concrete
- Synergistic reinforcement mechanism of basalt fiber/cellulose nanocrystals/polypropylene composites
- Achieving excellent oxidation resistance and mechanical properties of TiB2–B4C/carbon aerogel composites by quick-gelation and mechanical mixing
- Microwave-assisted sol–gel template-free synthesis and characterization of silica nanoparticles obtained from South African coal fly ash
- Pulsed laser-assisted synthesis of nano nickel(ii) oxide-anchored graphitic carbon nitride: Characterizations and their potential antibacterial/anti-biofilm applications
- Effects of nano-ZrSi2 on thermal stability of phenolic resin and thermal reusability of quartz–phenolic composites
- Benzaldehyde derivatives on tin electroplating as corrosion resistance for fabricating copper circuit
- Mechanical and heat transfer properties of 4D-printed shape memory graphene oxide/epoxy acrylate composites
- Coupling the vanadium-induced amorphous/crystalline NiFe2O4 with phosphide heterojunction toward active oxygen evolution reaction catalysts
- Graphene-oxide-reinforced cement composites mechanical and microstructural characteristics at elevated temperatures
- Gray correlation analysis of factors influencing compressive strength and durability of nano-SiO2 and PVA fiber reinforced geopolymer mortar
- Preparation of layered gradient Cu–Cr–Ti alloy with excellent mechanical properties, thermal stability, and electrical conductivity
- Recovery of Cr from chrome-containing leather wastes to develop aluminum-based composite material along with Al2O3 ceramic particles: An ingenious approach
- Mechanisms of the improved stiffness of flexible polymers under impact loading
- Anticancer potential of gold nanoparticles (AuNPs) using a battery of in vitro tests
- Review Articles
- Proposed approaches for coronaviruses elimination from wastewater: Membrane techniques and nanotechnology solutions
- Application of Pickering emulsion in oil drilling and production
- The contribution of microfluidics to the fight against tuberculosis
- Graphene-based biosensors for disease theranostics: Development, applications, and recent advancements
- Synthesis and encapsulation of iron oxide nanorods for application in magnetic hyperthermia and photothermal therapy
- Contemporary nano-architectured drugs and leads for ανβ3 integrin-based chemotherapy: Rationale and retrospect
- State-of-the-art review of fabrication, application, and mechanical properties of functionally graded porous nanocomposite materials
- Insights on magnetic spinel ferrites for targeted drug delivery and hyperthermia applications
- A review on heterogeneous oxidation of acetaminophen based on micro and nanoparticles catalyzed by different activators
- Early diagnosis of lung cancer using magnetic nanoparticles-integrated systems
- Advances in ZnO: Manipulation of defects for enhancing their technological potentials
- Efficacious nanomedicine track toward combating COVID-19
- A review of the design, processes, and properties of Mg-based composites
- Green synthesis of nanoparticles for varied applications: Green renewable resources and energy-efficient synthetic routes
- Two-dimensional nanomaterial-based polymer composites: Fundamentals and applications
- Recent progress and challenges in plasmonic nanomaterials
- Apoptotic cell-derived micro/nanosized extracellular vesicles in tissue regeneration
- Electronic noses based on metal oxide nanowires: A review
- Framework materials for supercapacitors
- An overview on the reproductive toxicity of graphene derivatives: Highlighting the importance
- Antibacterial nanomaterials: Upcoming hope to overcome antibiotic resistance crisis
- Research progress of carbon materials in the field of three-dimensional printing polymer nanocomposites
- A review of atomic layer deposition modelling and simulation methodologies: Density functional theory and molecular dynamics
- Recent advances in the preparation of PVDF-based piezoelectric materials
- Recent developments in tensile properties of friction welding of carbon fiber-reinforced composite: A review
- Comprehensive review of the properties of fly ash-based geopolymer with additive of nano-SiO2
- Perspectives in biopolymer/graphene-based composite application: Advances, challenges, and recommendations
- Graphene-based nanocomposite using new modeling molecular dynamic simulations for proposed neutralizing mechanism and real-time sensing of COVID-19
- Nanotechnology application on bamboo materials: A review
- Recent developments and future perspectives of biorenewable nanocomposites for advanced applications
- Nanostructured lipid carrier system: A compendium of their formulation development approaches, optimization strategies by quality by design, and recent applications in drug delivery
- 3D printing customized design of human bone tissue implant and its application
- Design, preparation, and functionalization of nanobiomaterials for enhanced efficacy in current and future biomedical applications
- A brief review of nanoparticles-doped PEDOT:PSS nanocomposite for OLED and OPV
- Nanotechnology interventions as a putative tool for the treatment of dental afflictions
- Recent advancements in metal–organic frameworks integrating quantum dots (QDs@MOF) and their potential applications
- A focused review of short electrospun nanofiber preparation techniques for composite reinforcement
- Microstructural characteristics and nano-modification of interfacial transition zone in concrete: A review
- Latest developments in the upconversion nanotechnology for the rapid detection of food safety: A review
- Strategic applications of nano-fertilizers for sustainable agriculture: Benefits and bottlenecks
- Molecular dynamics application of cocrystal energetic materials: A review
- Synthesis and application of nanometer hydroxyapatite in biomedicine
- Cutting-edge development in waste-recycled nanomaterials for energy storage and conversion applications
- Biological applications of ternary quantum dots: A review
- Nanotherapeutics for hydrogen sulfide-involved treatment: An emerging approach for cancer therapy
- Application of antibacterial nanoparticles in orthodontic materials
- Effect of natural-based biological hydrogels combined with growth factors on skin wound healing
- Nanozymes – A route to overcome microbial resistance: A viewpoint
- Recent developments and applications of smart nanoparticles in biomedicine
- Contemporary review on carbon nanotube (CNT) composites and their impact on multifarious applications
- Interfacial interactions and reinforcing mechanisms of cellulose and chitin nanomaterials and starch derivatives for cement and concrete strength and durability enhancement: A review
- Diamond-like carbon films for tribological modification of rubber
- Layered double hydroxides (LDHs) modified cement-based materials: A systematic review
- Recent research progress and advanced applications of silica/polymer nanocomposites
- Modeling of supramolecular biopolymers: Leading the in silico revolution of tissue engineering and nanomedicine
- Recent advances in perovskites-based optoelectronics
- Biogenic synthesis of palladium nanoparticles: New production methods and applications
- A comprehensive review of nanofluids with fractional derivatives: Modeling and application
- Electrospinning of marine polysaccharides: Processing and chemical aspects, challenges, and future prospects
- Electrohydrodynamic printing for demanding devices: A review of processing and applications
- Rapid Communications
- Structural material with designed thermal twist for a simple actuation
- Recent advances in photothermal materials for solar-driven crude oil adsorption
Articles in the same Issue
- Research Articles
- Theoretical and experimental investigation of MWCNT dispersion effect on the elastic modulus of flexible PDMS/MWCNT nanocomposites
- Mechanical, morphological, and fracture-deformation behavior of MWCNTs-reinforced (Al–Cu–Mg–T351) alloy cast nanocomposites fabricated by optimized mechanical milling and powder metallurgy techniques
- Flammability and physical stability of sugar palm crystalline nanocellulose reinforced thermoplastic sugar palm starch/poly(lactic acid) blend bionanocomposites
- Glutathione-loaded non-ionic surfactant niosomes: A new approach to improve oral bioavailability and hepatoprotective efficacy of glutathione
- Relationship between mechano-bactericidal activity and nanoblades density on chemically strengthened glass
- In situ regulation of microstructure and microwave-absorbing properties of FeSiAl through HNO3 oxidation
- Research on a mechanical model of magnetorheological fluid different diameter particles
- Nanomechanical and dynamic mechanical properties of rubber–wood–plastic composites
- Investigative properties of CeO2 doped with niobium: A combined characterization and DFT studies
- Miniaturized peptidomimetics and nano-vesiculation in endothelin types through probable nano-disk formation and structure property relationships of endothelins’ fragments
- N/S co-doped CoSe/C nanocubes as anode materials for Li-ion batteries
- Synergistic effects of halloysite nanotubes with metal and phosphorus additives on the optimal design of eco-friendly sandwich panels with maximum flame resistance and minimum weight
- Octreotide-conjugated silver nanoparticles for active targeting of somatostatin receptors and their application in a nebulized rat model
- Controllable morphology of Bi2S3 nanostructures formed via hydrothermal vulcanization of Bi2O3 thin-film layer and their photoelectrocatalytic performances
- Development of (−)-epigallocatechin-3-gallate-loaded folate receptor-targeted nanoparticles for prostate cancer treatment
- Enhancement of the mechanical properties of HDPE mineral nanocomposites by filler particles modulation of the matrix plastic/elastic behavior
- Effect of plasticizers on the properties of sugar palm nanocellulose/cinnamon essential oil reinforced starch bionanocomposite films
- Optimization of nano coating to reduce the thermal deformation of ball screws
- Preparation of efficient piezoelectric PVDF–HFP/Ni composite films by high electric field poling
- MHD dissipative Casson nanofluid liquid film flow due to an unsteady stretching sheet with radiation influence and slip velocity phenomenon
- Effects of nano-SiO2 modification on rubberised mortar and concrete with recycled coarse aggregates
- Mechanical and microscopic properties of fiber-reinforced coal gangue-based geopolymer concrete
- Effect of morphology and size on the thermodynamic stability of cerium oxide nanoparticles: Experiment and molecular dynamics calculation
- Mechanical performance of a CFRP composite reinforced via gelatin-CNTs: A study on fiber interfacial enhancement and matrix enhancement
- A practical review over surface modification, nanopatterns, emerging materials, drug delivery systems, and their biophysiochemical properties for dental implants: Recent progresses and advances
- HTR: An ultra-high speed algorithm for cage recognition of clathrate hydrates
- Effects of microalloying elements added by in situ synthesis on the microstructure of WCu composites
- A highly sensitive nanobiosensor based on aptamer-conjugated graphene-decorated rhodium nanoparticles for detection of HER2-positive circulating tumor cells
- Progressive collapse performance of shear strengthened RC frames by nano CFRP
- Core–shell heterostructured composites of carbon nanotubes and imine-linked hyperbranched polymers as metal-free Li-ion anodes
- A Galerkin strategy for tri-hybridized mixture in ethylene glycol comprising variable diffusion and thermal conductivity using non-Fourier’s theory
- Simple models for tensile modulus of shape memory polymer nanocomposites at ambient temperature
- Preparation and morphological studies of tin sulfide nanoparticles and use as efficient photocatalysts for the degradation of rhodamine B and phenol
- Polyethyleneimine-impregnated activated carbon nanofiber composited graphene-derived rice husk char for efficient post-combustion CO2 capture
- Electrospun nanofibers of Co3O4 nanocrystals encapsulated in cyclized-polyacrylonitrile for lithium storage
- Pitting corrosion induced on high-strength high carbon steel wire in high alkaline deaerated chloride electrolyte
- Formulation of polymeric nanoparticles loaded sorafenib; evaluation of cytotoxicity, molecular evaluation, and gene expression studies in lung and breast cancer cell lines
- Engineered nanocomposites in asphalt binders
- Influence of loading voltage, domain ratio, and additional load on the actuation of dielectric elastomer
- Thermally induced hex-graphene transitions in 2D carbon crystals
- The surface modification effect on the interfacial properties of glass fiber-reinforced epoxy: A molecular dynamics study
- Molecular dynamics study of deformation mechanism of interfacial microzone of Cu/Al2Cu/Al composites under tension
- Nanocolloid simulators of luminescent solar concentrator photovoltaic windows
- Compressive strength and anti-chloride ion penetration assessment of geopolymer mortar merging PVA fiber and nano-SiO2 using RBF–BP composite neural network
- Effect of 3-mercapto-1-propane sulfonate sulfonic acid and polyvinylpyrrolidone on the growth of cobalt pillar by electrodeposition
- Dynamics of convective slippery constraints on hybrid radiative Sutterby nanofluid flow by Galerkin finite element simulation
- Preparation of vanadium by the magnesiothermic self-propagating reduction and process control
- Microstructure-dependent photoelectrocatalytic activity of heterogeneous ZnO–ZnS nanosheets
- Cytotoxic and pro-inflammatory effects of molybdenum and tungsten disulphide on human bronchial cells
- Improving recycled aggregate concrete by compression casting and nano-silica
- Chemically reactive Maxwell nanoliquid flow by a stretching surface in the frames of Newtonian heating, nonlinear convection and radiative flux: Nanopolymer flow processing simulation
- Nonlinear dynamic and crack behaviors of carbon nanotubes-reinforced composites with various geometries
- Biosynthesis of copper oxide nanoparticles and its therapeutic efficacy against colon cancer
- Synthesis and characterization of smart stimuli-responsive herbal drug-encapsulated nanoniosome particles for efficient treatment of breast cancer
- Homotopic simulation for heat transport phenomenon of the Burgers nanofluids flow over a stretching cylinder with thermal convective and zero mass flux conditions
- Incorporation of copper and strontium ions in TiO2 nanotubes via dopamine to enhance hemocompatibility and cytocompatibility
- Mechanical, thermal, and barrier properties of starch films incorporated with chitosan nanoparticles
- Mechanical properties and microstructure of nano-strengthened recycled aggregate concrete
- Glucose-responsive nanogels efficiently maintain the stability and activity of therapeutic enzymes
- Tunning matrix rheology and mechanical performance of ultra-high performance concrete using cellulose nanofibers
- Flexible MXene/copper/cellulose nanofiber heat spreader films with enhanced thermal conductivity
- Promoted charge separation and specific surface area via interlacing of N-doped titanium dioxide nanotubes on carbon nitride nanosheets for photocatalytic degradation of Rhodamine B
- Elucidating the role of silicon dioxide and titanium dioxide nanoparticles in mitigating the disease of the eggplant caused by Phomopsis vexans, Ralstonia solanacearum, and root-knot nematode Meloidogyne incognita
- An implication of magnetic dipole in Carreau Yasuda liquid influenced by engine oil using ternary hybrid nanomaterial
- Robust synthesis of a composite phase of copper vanadium oxide with enhanced performance for durable aqueous Zn-ion batteries
- Tunning self-assembled phases of bovine serum albumin via hydrothermal process to synthesize novel functional hydrogel for skin protection against UVB
- A comparative experimental study on damping properties of epoxy nanocomposite beams reinforced with carbon nanotubes and graphene nanoplatelets
- Lightweight and hydrophobic Ni/GO/PVA composite aerogels for ultrahigh performance electromagnetic interference shielding
- Research on the auxetic behavior and mechanical properties of periodically rotating graphene nanostructures
- Repairing performances of novel cement mortar modified with graphene oxide and polyacrylate polymer
- Closed-loop recycling and fabrication of hydrophilic CNT films with high performance
- Design of thin-film configuration of SnO2–Ag2O composites for NO2 gas-sensing applications
- Study on stress distribution of SiC/Al composites based on microstructure models with microns and nanoparticles
- PVDF green nanofibers as potential carriers for improving self-healing and mechanical properties of carbon fiber/epoxy prepregs
- Osteogenesis capability of three-dimensionally printed poly(lactic acid)-halloysite nanotube scaffolds containing strontium ranelate
- Silver nanoparticles induce mitochondria-dependent apoptosis and late non-canonical autophagy in HT-29 colon cancer cells
- Preparation and bonding mechanisms of polymer/metal hybrid composite by nano molding technology
- Damage self-sensing and strain monitoring of glass-reinforced epoxy composite impregnated with graphene nanoplatelet and multiwalled carbon nanotubes
- Thermal analysis characterisation of solar-powered ship using Oldroyd hybrid nanofluids in parabolic trough solar collector: An optimal thermal application
- Pyrene-functionalized halloysite nanotubes for simultaneously detecting and separating Hg(ii) in aqueous media: A comprehensive comparison on interparticle and intraparticle excimers
- Fabrication of self-assembly CNT flexible film and its piezoresistive sensing behaviors
- Thermal valuation and entropy inspection of second-grade nanoscale fluid flow over a stretching surface by applying Koo–Kleinstreuer–Li relation
- Mechanical properties and microstructure of nano-SiO2 and basalt-fiber-reinforced recycled aggregate concrete
- Characterization and tribology performance of polyaniline-coated nanodiamond lubricant additives
- Combined impact of Marangoni convection and thermophoretic particle deposition on chemically reactive transport of nanofluid flow over a stretching surface
- Spark plasma extrusion of binder free hydroxyapatite powder
- An investigation on thermo-mechanical performance of graphene-oxide-reinforced shape memory polymer
- Effect of nanoadditives on the novel leather fiber/recycled poly(ethylene-vinyl-acetate) polymer composites for multifunctional applications: Fabrication, characterizations, and multiobjective optimization using central composite design
- Design selection for a hemispherical dimple core sandwich panel using hybrid multi-criteria decision-making methods
- Improving tensile strength and impact toughness of plasticized poly(lactic acid) biocomposites by incorporating nanofibrillated cellulose
- Green synthesis of spinel copper ferrite (CuFe2O4) nanoparticles and their toxicity
- The effect of TaC and NbC hybrid and mono-nanoparticles on AA2024 nanocomposites: Microstructure, strengthening, and artificial aging
- Excited-state geometry relaxation of pyrene-modified cellulose nanocrystals under UV-light excitation for detecting Fe3+
- Effect of CNTs and MEA on the creep of face-slab concrete at an early age
- Effect of deformation conditions on compression phase transformation of AZ31
- Application of MXene as a new generation of highly conductive coating materials for electromembrane-surrounded solid-phase microextraction
- A comparative study of the elasto-plastic properties for ceramic nanocomposites filled by graphene or graphene oxide nanoplates
- Encapsulation strategies for improving the biological behavior of CdS@ZIF-8 nanocomposites
- Biosynthesis of ZnO NPs from pumpkin seeds’ extract and elucidation of its anticancer potential against breast cancer
- Preliminary trials of the gold nanoparticles conjugated chrysin: An assessment of anti-oxidant, anti-microbial, and in vitro cytotoxic activities of a nanoformulated flavonoid
- Effect of micron-scale pores increased by nano-SiO2 sol modification on the strength of cement mortar
- Fractional simulations for thermal flow of hybrid nanofluid with aluminum oxide and titanium oxide nanoparticles with water and blood base fluids
- The effect of graphene nano-powder on the viscosity of water: An experimental study and artificial neural network modeling
- Development of a novel heat- and shear-resistant nano-silica gelling agent
- Characterization, biocompatibility and in vivo of nominal MnO2-containing wollastonite glass-ceramic
- Entropy production simulation of second-grade magnetic nanomaterials flowing across an expanding surface with viscidness dissipative flux
- Enhancement in structural, morphological, and optical properties of copper oxide for optoelectronic device applications
- Aptamer-functionalized chitosan-coated gold nanoparticle complex as a suitable targeted drug carrier for improved breast cancer treatment
- Performance and overall evaluation of nano-alumina-modified asphalt mixture
- Analysis of pure nanofluid (GO/engine oil) and hybrid nanofluid (GO–Fe3O4/engine oil): Novel thermal and magnetic features
- Synthesis of Ag@AgCl modified anatase/rutile/brookite mixed phase TiO2 and their photocatalytic property
- Mechanisms and influential variables on the abrasion resistance hydraulic concrete
- Synergistic reinforcement mechanism of basalt fiber/cellulose nanocrystals/polypropylene composites
- Achieving excellent oxidation resistance and mechanical properties of TiB2–B4C/carbon aerogel composites by quick-gelation and mechanical mixing
- Microwave-assisted sol–gel template-free synthesis and characterization of silica nanoparticles obtained from South African coal fly ash
- Pulsed laser-assisted synthesis of nano nickel(ii) oxide-anchored graphitic carbon nitride: Characterizations and their potential antibacterial/anti-biofilm applications
- Effects of nano-ZrSi2 on thermal stability of phenolic resin and thermal reusability of quartz–phenolic composites
- Benzaldehyde derivatives on tin electroplating as corrosion resistance for fabricating copper circuit
- Mechanical and heat transfer properties of 4D-printed shape memory graphene oxide/epoxy acrylate composites
- Coupling the vanadium-induced amorphous/crystalline NiFe2O4 with phosphide heterojunction toward active oxygen evolution reaction catalysts
- Graphene-oxide-reinforced cement composites mechanical and microstructural characteristics at elevated temperatures
- Gray correlation analysis of factors influencing compressive strength and durability of nano-SiO2 and PVA fiber reinforced geopolymer mortar
- Preparation of layered gradient Cu–Cr–Ti alloy with excellent mechanical properties, thermal stability, and electrical conductivity
- Recovery of Cr from chrome-containing leather wastes to develop aluminum-based composite material along with Al2O3 ceramic particles: An ingenious approach
- Mechanisms of the improved stiffness of flexible polymers under impact loading
- Anticancer potential of gold nanoparticles (AuNPs) using a battery of in vitro tests
- Review Articles
- Proposed approaches for coronaviruses elimination from wastewater: Membrane techniques and nanotechnology solutions
- Application of Pickering emulsion in oil drilling and production
- The contribution of microfluidics to the fight against tuberculosis
- Graphene-based biosensors for disease theranostics: Development, applications, and recent advancements
- Synthesis and encapsulation of iron oxide nanorods for application in magnetic hyperthermia and photothermal therapy
- Contemporary nano-architectured drugs and leads for ανβ3 integrin-based chemotherapy: Rationale and retrospect
- State-of-the-art review of fabrication, application, and mechanical properties of functionally graded porous nanocomposite materials
- Insights on magnetic spinel ferrites for targeted drug delivery and hyperthermia applications
- A review on heterogeneous oxidation of acetaminophen based on micro and nanoparticles catalyzed by different activators
- Early diagnosis of lung cancer using magnetic nanoparticles-integrated systems
- Advances in ZnO: Manipulation of defects for enhancing their technological potentials
- Efficacious nanomedicine track toward combating COVID-19
- A review of the design, processes, and properties of Mg-based composites
- Green synthesis of nanoparticles for varied applications: Green renewable resources and energy-efficient synthetic routes
- Two-dimensional nanomaterial-based polymer composites: Fundamentals and applications
- Recent progress and challenges in plasmonic nanomaterials
- Apoptotic cell-derived micro/nanosized extracellular vesicles in tissue regeneration
- Electronic noses based on metal oxide nanowires: A review
- Framework materials for supercapacitors
- An overview on the reproductive toxicity of graphene derivatives: Highlighting the importance
- Antibacterial nanomaterials: Upcoming hope to overcome antibiotic resistance crisis
- Research progress of carbon materials in the field of three-dimensional printing polymer nanocomposites
- A review of atomic layer deposition modelling and simulation methodologies: Density functional theory and molecular dynamics
- Recent advances in the preparation of PVDF-based piezoelectric materials
- Recent developments in tensile properties of friction welding of carbon fiber-reinforced composite: A review
- Comprehensive review of the properties of fly ash-based geopolymer with additive of nano-SiO2
- Perspectives in biopolymer/graphene-based composite application: Advances, challenges, and recommendations
- Graphene-based nanocomposite using new modeling molecular dynamic simulations for proposed neutralizing mechanism and real-time sensing of COVID-19
- Nanotechnology application on bamboo materials: A review
- Recent developments and future perspectives of biorenewable nanocomposites for advanced applications
- Nanostructured lipid carrier system: A compendium of their formulation development approaches, optimization strategies by quality by design, and recent applications in drug delivery
- 3D printing customized design of human bone tissue implant and its application
- Design, preparation, and functionalization of nanobiomaterials for enhanced efficacy in current and future biomedical applications
- A brief review of nanoparticles-doped PEDOT:PSS nanocomposite for OLED and OPV
- Nanotechnology interventions as a putative tool for the treatment of dental afflictions
- Recent advancements in metal–organic frameworks integrating quantum dots (QDs@MOF) and their potential applications
- A focused review of short electrospun nanofiber preparation techniques for composite reinforcement
- Microstructural characteristics and nano-modification of interfacial transition zone in concrete: A review
- Latest developments in the upconversion nanotechnology for the rapid detection of food safety: A review
- Strategic applications of nano-fertilizers for sustainable agriculture: Benefits and bottlenecks
- Molecular dynamics application of cocrystal energetic materials: A review
- Synthesis and application of nanometer hydroxyapatite in biomedicine
- Cutting-edge development in waste-recycled nanomaterials for energy storage and conversion applications
- Biological applications of ternary quantum dots: A review
- Nanotherapeutics for hydrogen sulfide-involved treatment: An emerging approach for cancer therapy
- Application of antibacterial nanoparticles in orthodontic materials
- Effect of natural-based biological hydrogels combined with growth factors on skin wound healing
- Nanozymes – A route to overcome microbial resistance: A viewpoint
- Recent developments and applications of smart nanoparticles in biomedicine
- Contemporary review on carbon nanotube (CNT) composites and their impact on multifarious applications
- Interfacial interactions and reinforcing mechanisms of cellulose and chitin nanomaterials and starch derivatives for cement and concrete strength and durability enhancement: A review
- Diamond-like carbon films for tribological modification of rubber
- Layered double hydroxides (LDHs) modified cement-based materials: A systematic review
- Recent research progress and advanced applications of silica/polymer nanocomposites
- Modeling of supramolecular biopolymers: Leading the in silico revolution of tissue engineering and nanomedicine
- Recent advances in perovskites-based optoelectronics
- Biogenic synthesis of palladium nanoparticles: New production methods and applications
- A comprehensive review of nanofluids with fractional derivatives: Modeling and application
- Electrospinning of marine polysaccharides: Processing and chemical aspects, challenges, and future prospects
- Electrohydrodynamic printing for demanding devices: A review of processing and applications
- Rapid Communications
- Structural material with designed thermal twist for a simple actuation
- Recent advances in photothermal materials for solar-driven crude oil adsorption