Home Technology Using Krasnoselskii's theorem to investigate the Cauchy and neutral fractional q-integro-differential equation via numerical technique
Article Open Access

Using Krasnoselskii's theorem to investigate the Cauchy and neutral fractional q-integro-differential equation via numerical technique

  • Xiao-Guang Yue , Mohammad Esmael Samei EMAIL logo , Azam Fathipour , Mohammed K. A. Kaabar EMAIL logo and Artion Kashuri
Published/Copyright: June 11, 2022
Become an author with De Gruyter Brill

Abstract

This article discusses the stability results for solution of a fractional q-integro-differential problem via integral conditions. Utilizing the Krasnoselskii’s, Banach fixed point theorems, we demonstrate existence and uniqueness results. Based on the results obtained, conditions are provided to ensure the generalized Ulam and Ulam–Hyers–Rassias stabilities of the original system. The results are illustrated by two examples.

MSC 2010: 34A08; 34B16; 39A13

1 Introduction and formulation of the problem

The fractional derivative can be considered as a global operator that has greater degrees of flexibility as compared to integer-order derivative, because a classical derivative with integer-order could be a nearby operator. A few researchers have demonstrated that fractional-order derivatives play a noteworthy part in electrochemical analysis to explain the mechanistic behavior of the concentration of a substrate at the electrode surface to the current [1,2, 3,4,5, 6,7,8, 9,10,11, 12,13]. Some interesting applications of fractional calculus in science and engineering have been discussed [14,15,16, 17,18].

It is interesting to study solution to fractional q-integro-differential problem with integral conditions, which will allow a generalized stability. It is shown in [4] that, in a real k -dimensional Euclidean space, the local and global solutions exist for the following Cauchy problem:

(1.1) D 0 + σ C [ y ] ( t ) = h ( t , y ( t ) ) + t 0 t Θ ( t , ξ , y ( ξ ) ) d ξ , y ( 0 ) = y 0 ,

where 0 < σ 1 , h C ( I ¯ × R k , R k ) , Θ C ( I ¯ 2 × R k , R k ) , I ¯ [ 0 , 1 ] , and D 0 + σ C is the Caputo fractional operator. A class of abstract delayed fractional neutral integro-differential equations was introduced in [19], for σ ( 1 , 2 ) ,

(1.2) D t σ ( y t ) = a 1 N ( y t ) + 0 t a 2 ( t ξ ) N ( y ξ ) d ξ + h ( t , y ρ ( t , y t ) ) , y ( 0 ) = η , y ( 0 ) = 0 .

Using the Leray–Schauder alternative fixed point theorem, the existence results were obtained (for more details, see [3]). Recently, much attention has been paid to the study of differential equations with fractional derivatives [20,21,22, 23,24,25]. Note that in [22], the authors introduced and studied a related problem. Shah et al. [8] investigated the following problem under delay differential equations involving Caputo fractional derivative and under nonlocal initial condition with non-monotone term as

(1.3) D 0 + σ RL ( y ( t ) ) = h ( t , y ( t ) , D 0 + σ y ( α t ) ) , t [ 0 , ϱ ] , α ( 0 , 1 ) , t 1 σ y ( 0 ) = y 0 + ψ ( t , y ( t ) ) ,

where D 0 + σ RL ( y ( t ) ) represent Riemann–Liouville fractional derivative of order σ ( 0 , 1 ] and h C ( [ 0 , ϱ ] × R 2 , R ) , ψ C ( [ 0 , ϱ ] × R , R ) . Ruzhansky et al. studied particularly the existence for the following problem:

(1.4) D 0 + σ C [ D 0 + ν C [ y ] ( t ) + h 1 ( t , y ( t ) ) ] = h 2 ( t , y ( t ) ) , t I ¯ [ 0 , 1 ] , y ( 0 ) = j = 1 m η j y ( b j ) c y ( 1 ) = a 0 1 y ( ξ ) d H ( ξ ) + j = 1 n α j τ 0 j τ 1 j y ( ξ ) d ( ξ ) ,

where 0 < τ 0 j < τ 1 j < 1 , σ , ν I ( 0 , 1 ) , η j , α j R and D 0 + σ c is the CFD of order σ , h 1 , h 2 are given continuous functions. By using the classical tools of fixed point theory, the existence and uniqueness results are obtained. On an arbitrary domain, in [21], the authors studied an FDE with non-conjugate Riemann–Stieltjes integro-multipoint boundary conditions by using new tools on function analysis. For some more related works, refer to [26,27]. Shah et al. considered the following system is investigated under Atangana, Baleanu, and Caputo fractional order derivative

(1.5) D 0 + σ A B C ( y 1 ( t ) ) = h 1 ( t , y 1 ( t ) , y 2 ( t ) , y 3 ( t ) ) , y 1 ( 0 ) = η 1 D 0 + σ A B C ( y 2 ( t ) ) = h 2 ( t , y 1 ( t ) , y 2 ( t ) , y 3 ( t ) ) , y 2 ( 0 ) = η 2 D 0 + σ A B C ( y 3 ( t ) ) = h 3 ( t , y 1 ( t ) , y 2 ( t ) , y 3 ( t ) ) , y 3 ( 0 ) = η 3 ,

where t [ 0 , ϱ ] , σ ( 0 , 1 ] , h i : [ 0 , ϱ ] × R 3 R , ( i = 1 , 2 , 3 ) are continuous functions [28]. Derbazi et al. determined the existence criteria of extremal solutions for the following θ -Caputo-type fractional differential equation in a Caputo sense under nonlinear boundary conditions

(1.6) D a + σ ; θ C ( y ( t ) ) = h 1 ( t , y ( t ) ) , t [ a , b ] , α ( 0 , 1 ) , h 2 ( y ( a ) , y ( b ) ) = 0 ,

where D a + σ ; θ C is the θ -fractional operator of order 0 < σ 1 in the Caputo sense and h 1 C ( [ a , b ] × R , R ) , h 2 C ( R 2 , R ) [29]. Abbas [7] investigated the following Langevin equation with the generalized proportional fractional derivatives with respect to another function

(1.7) D a σ 1 ; θ , ϑ ( D a σ 2 ; θ , ϑ + λ ) y ( t ) = h 1 ( t , y ( t ) ) , t [ a , b ] , λ R , I a 1 σ 2 ; θ , ϑ y ( a ) = y a , y ( b ) + μ y ( c ) = 0 , a < c < b , y a R ,

where θ > 0 , D a σ i ; θ , ϑ , and I a 1 σ 2 ; θ , ϑ are the generalized proportional fractional derivative and integral with respect to another continuous function ϑ of order σ i ( 0 , 1 ] and 1 σ 2 , respectively, and h 1 C ( [ a , b ] × R , R ) is the given function. The authors in [30] studied qualitative aspects of the system of fractional differential equations via Caputo–Hadamard derivative given as

(1.8) D 1 + σ C y ( t ) + h 1 ( t , y ( α t ) , z ( t ) ) = 0 , t [ 1 , e ] , D 1 + σ C z ( t ) + h 2 ( t , y ( t ) , z ( α t ) ) = 0 ,

under boundary conditions

y ( 1 ) = z ( 1 ) = y ( 1 ) = z ( 1 ) = 0 = y ( e ) = z ( e ) ,

and y ( e ) = ϕ 1 ( y ) , z ( e ) = ϕ 2 ( z ) with σ ( 3 , 4 ] , α ( 0 , 1 ) , functions h 1 , h 2 : [ 1 , e ] × R 2 R and ϕ 1 , ϕ 2 : Y R are continuous functions, where Y is complete norm space.

The authors in [2], considered the problem for the system (1.9), and we generalized the system in the q FDE which is not explicitly presented, and therefore it makes sense to consider for t I ¯ , σ , ν I , the problem for system as follows:

(1.9) D q σ + ν C [ y ] ( t ) = h 1 ( t , y ( t ) ) + I q σ [ h 2 ] ( t , y ( t ) ) + 0 t Θ ( t , ξ , y ( ξ ) ) d ξ ,

under boundary condition

y ( 0 ) = η 0 τ y ( ξ ) d ξ , ( τ I ) ,

where η is a real constant, D q σ + ν C is the Caputo fractional q-derivative of order σ + ν , I q σ denotes the left-sided Riemann–Liouville fractional q-integral of order σ , and h i : I ¯ × H H ( i = 1 , 2 ) , Θ : I ¯ 2 × H H , are appropriate functions satisfying some conditions which will be stated later. H is a Banach space equipped with the norm . .

Here, this study is focused on the question of existence and uniqueness in Section 3. In addition, Section 4 is devoted to show a generalized stability. Note that this representation also allows us to generalize the results obtained recently in the literature. The article is ended by two examples illustrating our results.

2 Notations and preliminaries

We recall some essential preliminaries that are used for the results of the subsequent sections. Let t 0 R and q I . The time scale T t 0 is defined by

T t 0 = { 0 } { t : t = t 0 q n , n N } .

If there is no confusion concerning t 0 we shall denote T t 0 by T . Let s R . Define [ s ] q = ( 1 q s ) / ( 1 q ) (see [31]). The q-factorial function ( y z ) q ( n ) is defined by

(2.1) ( y z ) q ( n ) = k = 0 n 1 ( y z q k ) , n N 0 ,

and ( y z ) q ( 0 ) = 1 , where y , z R and N 0 { 0 } N (see [32]). Also, we have

(2.2) ( y z ) q ( σ ) = y σ k = 0 y z q k y z q σ + k , σ R , s 0 .

Algorithms 1 and 2 simplify q-factorial functions ( y z ) q ( n ) and ( y z ) q ( σ ) , respectively. In [33], the authors proved

( y z ) q ( σ + ν ) = ( y z ) q ( σ ) ( y q σ z ) q ( ν ) , and ( s y s z ) q ( σ ) = s σ ( y z ) q ( σ ) .

If z = 0 , then it is clear that y ( σ ) = y σ . The q -gamma function is given by [31].

Γ q ( y ) = ( 1 q ) 1 y ( 1 q ) q ( y 1 ) , ( y R \ { , 2 , 1 , 0 } ) .

In fact, by using (2.2), we have

(2.3) Γ q ( y ) = ( 1 q ) 1 y k = 0 1 q k + 1 1 q y + k 1 .

Algorithm 3 shows the MATLAB lines for calculation of Γ q ( y ) which we tend n to infinity in it. Note that, Γ q ( y + 1 ) = [ y ] q Γ q ( y ) [33, Lemma 1]. For any positive numbers σ and ν , the q-beta function is defined by

(2.4) B q ( σ , ν ) = 0 1 ( 1 ξ ) q ( σ 1 ) ξ ν 1 d q ξ = Γ q ( σ ) Γ q ( ν ) Γ q ( σ + ν ) .

For a function w : T R , the q -derivative of w , is

(2.5) D q [ y ] ( t ) = d d t q y ( t ) = y ( q t ) y ( t ) t ( 1 q ) ,

for all t T { 0 } , and D q [ y ] ( 0 ) = lim t 0 D q [ y ] ( t ) (see [32]). Also, the higher order q -derivative of the function y is defined by

D q n [ y ] ( t ) = D q [ D q n 1 [ y ] ] ( t ) , n 1 ,

where D q 0 [ y ] ( t ) = y ( t ) (see [32]). In fact,

(2.6) D q n [ y ] ( t ) = 1 t n ( 1 q ) n k = 0 n ( 1 q n ) q ( k ) ( 1 q ) q ( k ) q k y ( t q k ) ,

for t T { 0 } (see ref. [27]).

Remark 2.1

[9] By using Eq. (2.1), we can change Eq. (2.6) as follows:

(2.7) D q n [ y ] ( t ) = 1 t n ( 1 q ) n k = 0 n i = 0 k 1 1 q i n 1 q i + 1 q k y ( t q k ) .

Algorithms 4 and 5 show the MATLAB codes for calculation of Eqs. (2.5) and (2.7), respectively. The q -integral of the function y is defined by

(2.8) I q [ y ] ( t ) = 0 t y ( ξ ) d q ξ = t ( 1 q ) k = 0 q k y ( t q k ) ,

for 0 t b , provided the series absolutely converges (see [32]). By using Algorithm 6, we can obtain the numerical results of I q [ y ] ( t ) when n . If s in [ 0 , b ] , then

s b y ( ξ ) d q ξ = I q [ y ] ( b ) I q [ y ] ( s ) = ( 1 q ) k = 0 q k [ b y ( b q k ) s y ( s q k ) ] ,

whenever the series exists. The operator I q n is given by I q 0 [ y ] ( t ) = y ( t ) and [32]

I q n [ y ] ( t ) = I q [ I q n 1 [ y ] ] ( t ) , n 1 , y C ( [ 0 , b ] ) .

It has been proved that

D q [ I q [ y ] ] ( t ) = y ( t ) , I q [ D q [ y ] ] ( t ) = y ( t ) y ( 0 ) ,

whenever the function y is continuous at t = 0 (see [32]). The fractional Riemann–Liouville-type q -integral of the function y is defined by

(2.9) I q σ [ y ] ( t ) = 0 t ( t ξ ) q ( σ 1 ) y ( ξ ) Γ q ( σ ) d q ξ , I q 0 [ y ] ( t ) = y ( t ) ,

for t [ 0 , 1 ] and σ > 0 (see refs [27,34]).

Remark 2.2

[9] By using Eqs. (2.2), (2.3), and (2.8), we have

(2.10) I q σ [ y ] ( t ) = t σ ( 1 q ) σ lim n k = 0 n q k i = 0 n × ( 1 q σ + i 1 ) ( 1 q k + i ) ( 1 q i + 1 ) ( 1 q σ + k + i 1 ) y ( t q k ) .

Algorithm 7 shows the MATLAB codes of numerical technique. The Caputo fractional q -derivative of the function y is defined by

(2.11) D q σ C [ y ] ( t ) = I q [ σ ] σ [ D q [ σ ] [ y ] ] ( t ) = 0 t ( t ξ ) q ( [ σ ] σ 1 ) D q [ σ ] [ y ] ( ξ ) Γ q ( [ σ ] σ ) d q ξ

for t [ 0 , 1 ] and σ > 0 (see [34,35]). It has been proved that

I q ν [ I q σ [ y ] ] ( t ) = I q σ + ν [ y ] ( t ) ,

and D q σ C [ I q σ [ y ] ] ( t ) = y ( t ) , where σ , ν 0 [34]. Also, (see [34])

I q σ [ D q n [ y ] ] ( t ) = D q n [ I q σ [ y ] ] ( t ) k = 0 n 1 t σ + k n D q k [ y ] ( 0 ) Γ q ( σ + k n + 1 ) , σ > 0 , n 1 .

Remark 2.3

From Eq. (2.3), Remark 2.1, and Eq. (2.10) in Remark 2.2, we obtain

(2.12) D q σ c [ y ] ( t ) = 1 t σ ( 1 q ) σ [ σ ] lim n k = 0 n × i = 0 n ( 1 q [ σ ] σ + i 1 ) ( 1 q k + i ) ( 1 q i + 1 ) ( 1 q [ σ ] σ 1 + k + i ) × m = 0 [ σ ] i = 0 m 1 ( 1 q i [ σ ] ) ( 1 q i + 1 ) q m y ( t q k + m ) .

Algorithm 8 shows the MATLAB codes of numerical technique. One can find other algorithms in [36]. Now, we introduce some basic definitions, lemmas, and theorems, which are used in the subsequent sections.

Lemma 2.4

[37] Let y A C n [ t 1 , t 2 ] . Then, one has

  1. For σ , σ ́ > 0 ,

    I q σ [ D q σ C [ y ] ] ( t ) = y ( t ) + i = 0 n 1 c i ( t t 1 ) i , ( c 0 , c 1 , , c n 1 R ) ,

    for n 1 < σ n , n N ;

  2. I q σ [ I q σ ́ [ y ] ] ( t ) = I q σ ́ [ I q σ [ y ] ] ( t ) = I q σ + σ ́ [ y ] ( t ) ;

  3. D q σ C [ I q σ ́ [ y ] ] ( t ) = y ( t ) .

Lemma 2.5

[37] Let n 1 < σ n , n N , and y C [ t 1 , t 1 ] . Then for all t [ t 1 , t 2 ] , we have C D t 1 σ [ I t 1 σ [ y ] ] ( t ) = y ( t ) .

Lemma 2.6

[37] Let σ ( 0 , 1 ) . Then for each y A C [ 0 , 1 ] , I σ [ D σ [ y ] ] ( t ) = y ( t ) for a.e. t [ 0 , 1 ] , where

D σ [ y ] ( t ) = d d t 0 t ( t ξ ) σ y ( ξ ) Γ ( 1 σ ) d ξ .

Lemma 2.7

([38], Banach fixed point theorem) Let B be a non-empty complete metric space and T : B B is contraction mapping. Then, there exists a unique point y B such that T ( y ) = y .

Lemma 2.8

([38], Krasnoselskii fixed point theorem) Let E be bounded, closed, and convex subset in a Banach space B . If T 1 , T 2 : E E are two applications satisfying the following conditions: (A1) T 1 ( y ) + T 2 ( z ) E for every y , z E ; (A2) T 1 is a contraction; (A3) T 2 is compact and continuous. Then there exists v B such that T 1 ( v ) + T 2 ( v ) = v .

3 Existence results

Before presenting our main results, we need the following auxiliary lemma.

Lemma 3.1

Let σ + ν I and η τ 1 . Assume that h 1 , h 1 , and Θ are three continuous functions. If y C ( I ¯ , H ) , then y is solution of (1.9) iff y satisfies the IE

(3.1) y ( t ) = 0 t ( t ξ ) q ( σ + ν 1 ) Γ q ( σ + ν ) h 1 ( ξ , y ( ξ ) ) + 0 ξ Θ ( ξ , s , y ( s ) ) d s + 0 ξ ( ξ a ) q ( σ 1 ) Γ q ( σ ) h 2 ( s , y ( s ) ) d q s d q ξ + η 1 η τ 0 τ ( τ s ) q σ + ν Γ q ( σ + ν + 1 ) h 1 ( s , y ( s ) ) + 0 s Θ ( s , r , y ( r ) ) d r + 0 s ( s r ) q ( σ 1 ) Γ q ( σ ) h 2 ( r , y ( r ) ) d q r d q s .

Proof

Let y C ( I ¯ , H ) be a solution of system (1.9). First, we show that y is a solution of integral Eq. (3.1). By Lemma 2.4 and using boundary condition, we obtain

(3.2) I q σ + ν [ D q σ + ν C [ y ] ( t ) ] = I q σ + ν D q σ + ν C 0 t ( t ξ ) q ( σ + ν 1 ) Γ q ( σ + ν ) [ h 1 ( ξ , y ( ξ ) ) + 0 ξ Θ ( ξ , s , y ( s ) ) d s + 0 ξ ( ξ a ) q ( σ 1 ) Γ q ( σ ) h 2 ( s , y ( s ) ) d q s d q ξ + η 1 η τ 0 τ ( τ s ) q σ + ν Γ q ( σ + ν + 1 ) h 1 ( s , y ( s ) ) + 0 s Θ ( s , r , y ( r ) ) d r + 0 s ( s r ) q ( σ 1 ) Γ q ( σ ) h 2 ( r , y ( r ) ) d q r d q s = y ( t ) + i = 0 n 1 c i ( t t 1 ) i = y ( t ) y ( 0 ) .

From Eq. (1.9) we have

(3.3) I q σ + ν [ D q σ + ν C [ y ] ( t ) ] = I q σ + ν h 1 ( t , y ( t ) ) + I q σ [ h 2 ] ( t , y ( t ) ) 0 t Θ ( t , ξ , y ( ξ ) ) d ξ = 0 t ( t ξ ) q ( σ + ν 1 ) Γ q ( σ + ν ) h 1 ( t , y ( t ) ) + 0 ξ Θ ( ξ , s , y ( s ) ) d s + 0 ξ ( ξ s ) q σ 1 Γ q ( σ ) h 2 ( s , y ( s ) ) d q s d q ξ .

By substituting (3.3) in (3.2) with nonlocal condition in problem (3.1), we obtain

(3.4) y ( t ) = 0 t ( t ξ ) q σ + ν 1 Γ q ( σ + ν ) h 1 ( ξ , y ( ξ ) ) + 0 ξ Θ ( ξ , s , y ( s ) ) d s + 0 ξ ( ξ s ) q σ 1 Γ q ( σ ) h 2 ( s , y ( s ) ) d q s d q ξ + y ( 0 ) .

From integral boundary condition of our problem with using Fubini’s theorem and after some computations, we obtain

y ( 0 ) = η 0 τ y ( ξ ) d ξ = η 0 τ 0 ξ ( ξ s ) q σ + ν 1 Γ q ( σ + ν ) h 1 ( s , y ( s ) ) d q s d q ξ + η 0 τ 0 ξ ( ξ s ) q σ + ν 1 Γ q ( σ + ν ) 0 s Θ ( s , r , y ( r ) ) d r d q s d q ξ + η 0 τ 0 ξ ( ξ s ) q σ + ν 1 Γ q ( σ + ν ) 0 s ( s r ) q σ 1 Γ q ( σ ) h 2 ( r , y ( r ) ) d q r d q s × d q ξ + η τ y ( 0 )

= η 0 τ s τ ( ξ s ) q σ + ν 1 Γ q ( σ + ν ) d q ξ h 1 ( s , y ( s ) ) d q s + η 0 τ s τ ( ξ s ) q σ + ν 1 Γ q ( σ + ν ) d q ξ 0 s Θ ( s , r , y ( r ) ) d r d q s + η 0 τ s τ ( ξ s ) q σ + ν 1 Γ q ( σ + ν ) d q ξ × 0 s ( s r ) q σ 1 Γ q ( σ ) h 2 ( r , y ( r ) ) d q r d q s + η τ y ( 0 ) ,

that is,

(3.5) y ( 0 ) = η 1 η τ 0 τ ( τ s ) q σ + ν Γ q ( σ + ν ) × h 1 ( s , y ( s ) ) + 0 s Θ ( s , r , y ( r ) ) d r + 0 s ( s r ) q σ 1 Γ q ( σ ) h 2 ( r , y ( r ) ) d q r d q s .

Finally, by substituting (3.5) in (3.4), we find (3.1). Conversely, from Lemma 3.1 and by applying the operator D q σ + ν C on both sides of (3.1), we find

(3.6) D q σ + ν C [ y ] ( t ) = D q σ + ν C I q σ + ν h 1 ( t , y ( t ) ) + 0 t Θ ( t , ξ , y ( ξ ) ) d s + I q σ h 2 ( t , y ( t ) ) + D q σ + ν C y ( 0 ) = h q ( t , y ( t ) ) + I q σ h 2 ( t , y ( t ) ) + 0 t Θ ( t , ξ , y ( ξ ) ) d ξ .

This means that y satisfies the equation in problem (1.9). Furthermore, by substituting t by 0 in integral Eq. (3.1), we are clear that the integral boundary condition in (1.9) holds. Therefore, y is solution of problem (1.9), which completes the proof.

In order to prove the existence and uniqueness of solution for problem (1.9) in C ( I ¯ , H ) , we use two fixed point theorem. First, we transform the system (1.9) into fixed point problem as y = U y , where U : ( I ¯ , H ) ( I ¯ , H ) is an operator defined by following

(3.7) U y ( t ) = 0 t ( t ξ ) q σ + ν Γ q ( σ + ν ) h 1 ( ξ , y ( ξ ) ) + 0 ξ Θ ( ξ , s , y ( s ) ) d s + 0 ξ ( ξ s ) q σ 1 Γ q ( σ ) h 2 ( s , y ( s ) ) d q s d q ξ + η 1 η τ 0 τ ( τ s ) q σ + ν Γ q ( σ + ν + 1 ) h 1 ( s , y ( s ) ) + 0 s Θ ( s , r , y ( r ) ) d r + 0 s ( s r ) q σ 1 Γ q ( σ ) h 2 ( r , y ( r ) ) d q r d q s .

3.1 Existence result by Krasnoselskii’s fixed point

Theorem 3.2

Consider continuous functions h 1 , h 2 : I ¯ × H H and Θ : I ¯ 2 × H H such that satisfying: ( H 1 ) the inequalities

h j ( t , y ( t ) ) h j ( t , z ( t ) ) μ j y ( t ) z ( t ) , j = 1 , 2 ,

and

Θ ( t , s , y ( s ) ) Θ ( t , s , z ( s ) ) μ y ( s ) z ( s ) ,

where μ , μ j 0 , ( j = 1 , 2 ) with μ = max { μ 1 , μ 2 , μ } . ( H 2 ) there exist three functions ϱ , ϱ j L ( I ¯ , R + ) , ( j = 1 , 2 ) , such that

h j ( t , y ( t ) ) ϱ j ( t ) y ( t ) , j = 1 , 2 ,

and

Θ ( t , s , y ( s ) ) ϱ ( t ) y ( s ) ,

t I ¯ , y , z H and ( t , s ) G { ( t , s ) : 0 s t 1 } . If λ 1 and μ λ 1 , then problem (1.9) has at least one solution on I ¯ , where

(3.8) λ = ϱ 1 L + ϱ L Γ q ( σ + ν + 1 ) + ϱ 2 L B q ( σ + 1 , σ + ν ) Γ q ( σ + 1 ) Γ q ( σ + ν ) + η ϱ 1 L τ σ + ν + 1 + η ϱ L τ σ + ν + 1 1 η τ Γ q ( σ + ν + 2 ) + η ϱ 2 L τ 2 σ + ν + 1 B q ( σ + 1 , σ σ + ν + 1 ) 1 ν τ Γ q ( σ + 1 ) Γ q ( σ + ν + 1 )

and

(3.9) λ = η 1 η τ 2 τ σ + ν + 1 Γ q ( σ + ν + 2 ) + τ 2 σ + ν + 1 B q ( σ + 1 , σ + ν + 1 ) Γ q ( σ + 1 ) Γ q ( σ + ν + 1 ) .

Proof

For any function y C ( I ¯ , H ) , we define the norm

y max { e t y ( t ) : t I ¯ } ,

and consider the closed ball

B { y C ( I ¯ , H ) : y } .

Next, let us define the operators U 1 , U 2 on B as follows:

(3.10) U 1 y ( t ) = 0 t ( t ξ ) q σ + ν + 1 Γ q ( σ + ν ) h 1 ( ξ , y ( ξ ) ) + 0 ξ Θ ( ξ , s , y ( s ) ) d s + 0 ξ ( ξ s ) q σ 1 Γ q ( σ ) h 2 ( s , y ( s ) ) d q s d q ξ

and

(3.11) U 2 y ( t ) = η 1 η τ 0 τ ( τ s ) q σ + ν Γ q ( σ + ν + 1 ) × h 1 ( s , y ( s ) ) + 0 s Θ ( s , r , y ( r ) ) d r + 0 s ( s r ) q σ 1 Γ q ( σ ) h 2 ( r , y ( r ) ) d q r d q s .

For y , z B , t I ¯ and by the assumption ( H 2 ) , we find

U 1 y ( t ) + U 2 z ( t ) 0 t ( t ξ ) q σ + ν 1 Γ q ( σ + ν ) h 1 ( ξ , y ( ξ ) ) + 0 ξ Θ ( ξ , s , y ( s ) ) d s + 0 ξ ( ξ s ) q σ 1 Γ q ( σ ) h 2 ( ξ , y ( ξ ) ) d q s d q ξ + η 1 η τ 0 τ ( τ s ) q σ + ν Γ q ( σ + ν + 1 ) × h 1 ( s , z ( s ) ) + 0 s Θ ( s , r , z ( r ) ) d r + 0 s ( s r ) q σ 1 Γ q ( σ ) h 2 ( r , z ( r ) ) d q r d q s

0 t ( t ξ ) q σ + ν + 1 Γ q ( σ + ν ) ϱ 1 ( ξ ) y ( ξ ) + 0 ξ ϱ ( ξ ) y ( s ) d s + 0 ξ ( ξ s ) q σ 1 Γ q ( σ ) ϱ ( s ) y ( s ) d q s d q ξ + η 1 η τ 0 τ ( τ s ) σ + ν Γ q ( σ + ν + 1 ) × ϱ 1 ( s ) z ( s ) + 0 s ϱ ( s ) z ( r ) d r + 0 s ( s r ) q σ 1 Γ q ( σ ) ϱ 2 ( r ) z ( r ) d q r d q s

0 t ( t ξ ) q σ + ν 1 Γ q ( σ + ν ) [ ϱ 1 μ y e ξ + ϱ L y ( e ξ 1 ) + ϱ 2 L y 0 ξ ( ξ s ) q σ 1 Γ q ( σ ) e s d q s d q ξ + η 1 η τ 0 τ ( τ s ) σ + ν Γ q ( σ + ν + 1 ) × [ ϱ 1 L z e s + ϱ L z ( e s 1 ) + ϱ 2 L z 0 s ( s r ) q σ 1 Γ q ( σ ) e r d r d q s .

Therefore,

U 1 y + U 2 z 0 t ( t ξ ) σ + ν 1 Γ q ( σ + ν ) ϱ 1 L y e ξ e t + ϱ L y ( e ξ 1 ) e t + ϱ 2 L y 0 ξ ( ξ s ) q σ 1 Γ q ( σ ) e s e t d q s d q ξ + η 1 η τ 0 τ ( τ s ) σ + ν Γ q ( σ + ν + 1 ) × ϱ 1 L z e s e t + ϱ L z ( e s 1 ) e t + ϱ 2 L z 0 s ( s r ) q σ 1 Γ q ( σ ) e r e t d q r d q s

(3.12) ϱ 1 L + ϱ L Γ q ( σ + ν + 1 ) + ϱ 2 L Γ q ( σ + 1 ) Γ q ( ν + 1 ) 0 1 ( 1 ξ ) q σ + ν + 1 ξ σ d q ξ + η ϱ 1 L τ σ + ν + 1 + η ϱ L τ σ + ν + 1 1 η τ Γ q ( σ + ν + 1 ) + η ϱ 2 L 1 η τ Γ q ( σ + 1 ) Γ q ( σ + ν + 1 ) × 0 τ ( τ s ) σ + ν s σ d q s = ϱ 1 L + ϱ L Γ q ( σ + ν + 1 ) + ϱ 2 L ν ( σ + 1 , σ + ν ) Γ q ( σ + 1 ) Γ q ( ν + 1 ) + η 1 η τ ϱ 1 L τ σ + ν + 1 + ϱ L τ σ + ν + 1 Γ q ( σ + ν + 2 ) + ϱ 2 L τ 2 σ + ν + 1 ν ( σ + 1 , σ + ν + 1 ) Γ q ( σ + 1 ) Γ q ( σ + ν + 1 ) = λ .

This implies that ( U 1 y + U 2 z ) B . Here we used the computations

0 1 ( 1 ξ ) q σ + ν ξ σ d q ξ = β q ( σ + 1 , σ + ν ) , 0 τ ( τ s ) q σ + ν s σ d q ξ = τ 2 σ + ν + 1 ν ( σ + 1 , σ + ν + 1 ) ,

and the estimations:

e ξ e t 1 , e s e t 1 , e r e t 1 .

In this step, we show that U 2 is a contraction mapping. Let y , z H , t I ¯ . We have

U 2 y ( t ) U 2 z ( t ) η 1 η τ 0 τ ( τ s ) q σ + ν Γ q ( σ + ν + 1 ) × [ h 1 ( s , y ( s ) ) h 1 ( s , ν ( s ) ) + 0 s Θ ( s , r , y ( r ) ) Θ ( s , r , z ( r ) ) d r + 0 s ( s r ) q σ 1 Γ q ( σ ) h 2 ( r , y ( r ) ) h 2 ( r , z ( r ) ) d q r d q s

η 1 η τ 0 τ ( τ s ) q σ + ν Γ q ( σ + ν + 1 ) × [ μ 1 y z e s + 0 s μ y z e r d r + 0 s ( s r ) q σ 1 Γ q ( σ ) μ 2 y z e r d r d q s η 1 η τ 0 τ ( τ s ) q σ + ν Γ q ( σ + ν + 1 ) × [ μ y z e s + μ y z ( e s 1 ) + 0 s ( s r ) q σ 1 Γ q ( σ ) μ y z e r d q r d q s .

Thus,

U 2 y U 2 z η 1 η τ 0 τ ( τ s ) q σ + ν Γ q ( σ + ν + 1 ) × μ y z e s e t μ y z ( e s 1 ) e t + 0 s ( s r ) q σ 1 Γ q ( σ ) μ y z e r e t d q r d q s η μ 1 η τ 2 τ σ + ν + 1 Γ q ( σ + ν + 2 ) + τ 2 σ + ν + 1 ν ( σ + 1 , σ + ν + 1 ) Γ q ( σ + 1 ) Γ q ( σ + ν + 1 ) y z .

Then since μ λ 1 , U 2 is a contraction mapping. The continuity of the functions h 1 , h 2 , and Θ implies that U 1 is continuous and U 1 B B , for each y B , i.e., U 1 is uniformly bounded on B as

( U 1 y ) ( t ) 0 t ( t ξ ) q σ + ν 1 Γ q ( σ + ν ) × h 1 ( ξ , y ( ξ ) ) + 0 ξ Θ ( ξ , s , y ( s ) ) d s + 0 ξ ( ξ s ) q σ 1 Γ q ( σ ) h 2 ( s , y ( s ) ) d q s d q ξ ,

which implies that

(3.13) U 1 y 0 t ( t ξ ) q σ + ν 1 Γ q ( σ + ν ) ϱ 1 L y e ξ e t + ϱ L y ( e ξ 1 ) e t + ϱ 2 L y 0 ξ ( ξ s ) q σ 1 Γ q ( σ ) e s e t d q s d q ξ ϱ L + ϱ L Γ q ( σ + ν + 1 ) + ϱ 2 L ν ( σ + 1 , σ + ν ) Γ q ( σ + 1 ) Γ q ( ν + 1 ) λ .

Finally, we will show that ( U 1 B ) is equi-continuous. For this end, we put

h ¯ j = sup ( t , y ( t ) ) I ¯ × B h j ( t , y ( t ) ) , j = 1 , 2 Θ ¯ = sup ( t , s , y ( s ) ) G × B 0 ξ Θ ( t , ξ , y ( ξ ) ) d ξ .

Let for any y B and for each t 1 , t 2 I ¯ with t 1 t 2 , we have

( U 1 y ) ( t 2 ) ( U 1 y ) ( t 1 ) t 1 t 2 ( t 2 ξ ) σ + ν 1 Γ q ( σ + ν ) h 1 ( ξ , y ( ξ ) ) + 0 ξ Θ ( ξ , s , y ( s ) ) d q s + 0 ξ ( ξ s ) q σ 1 Γ q ( σ ) h 2 ( s , y ( s ) ) d s d q ξ + 1 Γ q ( σ ) 0 t 1 [ ( t 1 ξ ) q σ + ν 1 ( t 2 ξ ) q σ + ν 1 ] × h 1 ( ξ , y ( ξ ) ) + 0 ξ Θ ( ξ , s , y ( s ) ) d s + 0 ξ ( ξ s ) q σ 1 Γ q ( σ ) h 2 ( s , y ( s ) ) d s d q ξ

t 1 t 2 ( t 2 ξ ) q σ + ν 1 Γ ( σ + ν ) h ¯ 1 + Θ ¯ + 0 ξ h ¯ 2 ( ξ s ) q σ 1 Γ q ( σ ) d s d q ξ + 1 Γ q ( σ + ν ) 0 t 1 [ ( t 1 ξ ) q σ + ν 1 ( t 2 ξ ) q σ + ν 1 ] × h ¯ 1 + Θ ¯ + 0 ξ h ¯ 2 ( ξ s ) q σ 1 Γ q ( σ ) d q s d q ξ

t 1 t 2 ( t 2 ξ ) σ + ν 1 Γ q ( σ + ν ) h ¯ 1 + Θ ¯ + h ¯ 2 Γ q ( σ + 1 ) d q ξ + 1 Γ q ( σ + ν ) 0 t 1 [ ( t 1 ξ ) q σ + ν 1 ( t 2 ξ ) q σ + ν 1 ] × h ¯ 1 + Θ ¯ + h ¯ 1 Γ q ( σ + 1 ) d q ξ + 1 Γ q ( σ + ν + 1 ) [ h ¯ 1 + Θ ¯ + h ¯ 2 Γ q ( σ + 1 ) [ 2 ( t 2 t 1 ) q σ + ν + t 1 σ + ν t 2 σ + ν ] .

The RHS of the last inequality is independent of y and tends to zero when t 2 t 1 0 , this means that U 1 y ( t 2 ) U 1 y ( t 1 ) 0 , which implies that U 1 B is equi-continuous, then U 1 is relatively compact on B . Hence, by the Arzelá–Ascoli theorem, U 1 is compact on B . Now, all hypotheses of Theorem 3.2 hold; therefore, the operator U 1 + U 2 has a fixed point on B . So problem (1.9) has at least one solution on I ¯ . This proves the theorem.

3.2 Existence and uniqueness result

Theorem 3.3

Assume that ( H 1 ) holds. If μ λ < 1 , then the boundary value problems (1.9) has a unique solution on I ¯ .

Proof

Define m = max { m 1 , m 2 , m } , where m j and m are positive numbers such that

m j = sup t I ¯ h j ( t , 0 ) , ( j = 1 , 2 ) , m = sup ( t , s ) G Θ ( t , s , 0 ) .

We fix m λ 1 μ λ and we consider

N = { y C ( I ¯ , H ) : y } .

Then, in view of the assumption ( H 1 ) , we have

h q ( t , y ( t ) ) = h 1 ( t , y ( t ) ) h 1 ( t , 0 ) + h 1 ( t , 0 ) h q ( t , y ( t ) ) h q ( t , 0 ) + h 1 ( t , 0 ) μ 1 y + m 1 , h 2 ( t , y ( t ) ) μ 2 y + m 2 ,

and Θ ( t , s , y ( s ) ) μ y + m . In the first step, we show that U N N . For each t I ¯ and for any y N ,

U y ( t ) 0 t ( t ξ ) q σ + ν 1 Γ q ( σ + ν ) × h 1 ( ξ , y ( ξ ) ) + 0 ξ Θ ( ξ , s , y ( s ) ) d s + 0 ξ ( ξ s ) q σ 1 Γ q ( σ ) h 2 ( s , y ( s ) ) d q s d q ξ + η 1 η τ 0 τ ( τ s ) q σ + ν Γ q ( σ + ν + 1 ) × h 1 ( s , z ( s ) ) + 0 ξ Θ ( s , r , z ( r ) ) d r + 0 ξ ( s r ) q σ 1 Γ q ( σ ) h 2 ( r , z ( r ) ) d r d q s ( μ + m ) λ .

Hence, U N N . Now, in the second step, we shall show that U : N N is a contraction. From the assumption ( H 1 ) we have for any y , z N and for each t I ¯

(3.14) U y ( t ) U z ( t ) 0 t ( t ξ ) q σ + ν 1 Γ q ( σ + ν ) [ h 1 ( ξ , y ( ξ ) ) h 1 ( ξ , z ( ξ ) ) + 0 ξ Θ ( ξ , s , y ( s ) ) Θ ( ξ , s , z ( s ) ) d s + 0 ξ ( ξ s ) q σ 1 Γ q ( σ ) h 2 ( s , y ( s ) ) h 2 ( s , z ( s ) ) d q s d q ξ + η 1 η τ 0 τ ( τ s ) q σ + ν Γ q ( σ + ν + 1 ) [ h 1 ( s , y ( s ) ) h 1 ( s , z ( s ) ) + 0 s Θ ( s , r , y ( r ) ) Θ ( s , r , z ( r ) ) d r + 0 s ( s r ) q σ 1 Γ q ( σ ) h 2 ( r , y ( r ) ) h 2 ( r , z ( r ) ) d q r d q s μ λ y z .

Since μ λ < 1 , it follows that U is a contraction. All assumptions of Lemma (3.1) are satisfied, then there exists y C ( I ¯ , H ) such that U y = y , which is the unique solution of problem (1.1) in C ( I ¯ , H ) .

4 Generalized Ulam stabilities

The aim is to discuss the Ulam stability for problem (1.9), by using the integration

z ( t ) = 0 t ( t ξ ) q σ + ν 1 Γ q ( σ + ν ) h 1 ( ξ , z ( ξ ) ) + 0 ξ Θ ( ξ , s , z ( s ) ) d s + 0 ξ ( ξ s ) q σ 1 Γ q ( σ ) h 2 ( s , z ( s ) ) d q s d q ξ + η 1 η τ 0 τ ( τ s ) q σ + ν Γ q ( σ + ν + 1 ) × h 1 ( s , z ( s ) ) + 0 s Θ ( s , r , z ( r ) ) d r + 0 s ( s r ) q σ 1 Γ q ( σ ) h 2 ( r , z ( r ) ) d q r d q s .

Here z C ( I ¯ , H ) possess a fractional derivative of order σ + ν , where 0 < σ + ν < 1 and h j : I ¯ × H H and Θ : I ¯ 2 × H H , are continuous functions. Then we define the nonlinear continuous operator P : C ( I ¯ , H ) C ( I ¯ , H ) as follows:

P z ( t ) = D q σ + ν C z ( t ) h 1 ( t , v ( t ) ) I q σ h 2 ( t , v ( t ) ) 0 t Θ ( t , ξ , z ( ξ ) ) d ξ .

For each ε > 0 and for each solution z of problem (1.9), such that

(4.1) P z ε ,

problem (1.9) is said to be Ulam–Hyers stable if we can find a solution y C ( I ¯ , HU ) of problem (1.9) and γ R 0 , satisfying the inequality y z γ ε , is a positive real number depending on ε . Consider function in C ( R + , R + ) such that for each solution z of problem (1.9), we can find a solution u C ( I ¯ , H ) of problem (1.9) such that

y ( t ) z ( t ) ( ε ) , t I ¯ .

Then problem (1.9) is said to be generalized Ulam–Hyers stable. For each ε > 0 and for each solution z of problem (1.9), problem (1.9) is called Ulam–Hyers–Rassias stable with respect to ϱ C ( I ¯ , R + ) if

(4.2) P z ( t ) ε ϱ ( t ) , t I ¯ ,

and there exist a real number γ > 0 and a solution z C ( I ¯ , H ) of problem (1.9) such that

y ( t ) z ( t ) γ ε ϱ ( t ) , t I ¯ ,

where ε is a positive real number depending on ε .

Theorem 4.1

Under assumption ( H 1 ) in Theorem 3.1, with μ λ < 1 , problem (1.1) is both Ulam–Hyers and generalized Ulam–Hyers stable.

Proof

Let y C ( I ¯ , H ) be a solution of problem (1.9), satisfying (3.1) in the sense of Theorem 3.2. Let z be any solution satisfying (4.1). Lemma 2.4 implies the equivalence between the operators P and T I d (where I d is the identity operator) for every solution z C ( I ¯ , H ) of problem (1.9) satisfying μ λ < 1 . Therefore, we deduce by the fixed-point property of the operator T that

z ( t ) y ( t ) = z ( t ) T z ( t ) + T z ( t ) y ( t ) = z ( t ) T z ( t ) + T z ( t ) T y ( t ) T z ( t ) T y ( t ) + T z ( t ) z ( t ) μ λ y z + ε ,

because μ λ < 1 and ε > 0 , we find

u v ε 1 μ λ .

Fixing ε = ε 1 μ λ and γ = 1 , we obtain the Ulam–Hyers stability condition. In addition, the generalized Ulam–Hyers stability follows by taking ( ε ) = ε 1 μ λ .

Theorem 4.2

Assume that ( H 1 ) holds with μ < λ 1 , and there exists a function ϱ C ( I ¯ , R + ) satisfying the condition 4.2. Then problem (1.9) is Ulam–Hyers–Rassias stable with respect to ϱ .

Proof

We have from the proof of Theorem 4.1,

y ( t ) z ( t ) ε ϱ ( t ) , t I ¯ ,

where ε = ε 1 μ λ , and so the proof is completed.

5 Illustrative of our outcome

First we present Example 5.1, for illustrative our main result.

Example 5.1

Consider the following fractional integro-differential problem:

(5.1) D q 68 77 C [ y ] ( t ) = ( 15 2 t ) y ( t ) 25 + I q 5 11 ( 5 t ) sin ( y ( t ) ) 43 + 0 t y ( ξ ) exp ( ( t + ξ ) ) 20 d ξ ,

with boundary condition

y ( 0 ) = 15 2 0 0.6 y ( ξ ) d ξ , t I .

Clearly σ + ν = 68 77 , σ = 5 11 , τ = 0.6 , and η = 15 2 . To illustrate our results in Theorems 3.2 and 4.1, we take for y , z H = R + and t [ 0 , 1 ] the following continuous functions:

h 1 ( t , y ( t ) ) = ( 15 2 t ) y ( t ) 25 , h 2 ( t , y ( t ) ) = ( 5 t ) sin ( y ( t ) ) 43 ,

and

Θ ( t , s , y ( s ) ) = y ( s ) exp ( ( t + s ) ) 20 .

Now, for y , z H , we have

h 1 ( t , y ( t ) ) h 1 ( t , z ( t ) ) = ( 15 2 t ) y ( t ) 25 ( 15 2 t ) z ( t ) 25 = 15 2 t 25 ( y ( t ) z ( t ) ) = 15 2 t 25 y ( t ) z ( t ) 3 5 y ( t ) z ( t ) ,

h 2 ( t , y ( t ) ) h 2 ( t , z ( t ) ) = ( 5 2 t ) sin ( y ( t ) ) 43 ( 5 2 t ) sin ( z ( t ) ) 43 = 5 2 t 43 ( sin ( y ( t ) ) sin ( z ( t ) ) ) = 5 2 t 43 y ( t ) z ( t ) 5 43 y ( t ) z ( t ) ,

and

Θ ( t , s , y ( s ) ) Θ ( t , s , z ( s ) ) = y ( s ) exp ( ( t + s ) ) 20 y ( s ) exp ( ( t + s ) ) 20 = exp ( ( t + s ) ) 20 ( y ( s ) z ( s ) ) = exp ( ( t + s ) ) 20 y ( s ) z ( s ) 1 20 y ( s ) z ( s ) ,

for each t , s I and ( t , s ) G . Hence, μ 1 = 17 25 , μ 2 = 7 43 , μ = 1 20 , and so

μ = max { μ 1 , μ 2 , μ } = 17 25 .

Also, we obtain

h 1 ( t , y ( t ) ) = ( 15 2 t ) y ( t ) 25 15 2 t 25 y ( t ) , h 2 ( t , y ( t ) ) = ( 5 2 t ) sin ( y ( t ) ) 43 5 2 t 43 y ( t ) , Θ ( t , s , y ( s ) ) y ( s ) exp ( ( t + s ) ) 20 exp ( ( t + s ) ) 20 y ( s ) ,

for each t , s I . Hence,

ϱ 1 ( t ) = 15 2 t 25 , ϱ 2 ( t ) = 5 2 t 43 , ϱ ( t ) = exp ( t ) 20 ,

for all t I ¯ , y , z H and ( t , s ) G . By the above, we find that

(5.2) λ = ϱ 1 L + ϱ L Γ q ( σ + ν + 1 ) + ϱ 2 L B q ( σ + 1 , σ + ν ) Γ q ( σ + 1 ) Γ q ( σ + ν ) + η ϱ 1 L τ σ + ν + 1 + η ϱ L τ σ + ν + 1 1 η τ Γ q ( σ + ν + 2 ) + η ϱ 2 L τ 2 σ + ν + 1 B q ( σ + 1 , σ + ν + 1 ) 1 η τ Γ q ( σ + 1 ) Γ q ( σ + ν + 1 ) = 3 5 + 1 20 Γ q 5 11 + 3 7 + 1 + 5 43 B q 5 11 + 1 , 5 11 + 3 7 Γ q 5 11 + 1 Γ q 5 11 + 3 7 + 15 2 × 3 5 × 0.6 5 11 + 3 7 + 1 + 15 2 × 1 20 × 0.6 5 11 + 3 7 + 1 1 0.6 15 2 Γ q 5 11 + 3 7 + 2 + 15 2 × 5 43 × 0 . 6 10 11 + 3 7 + 1 B q 5 11 + 1 , 5 11 + 3 7 + 1 1 5 11 × 0.6 Γ q 5 11 + 1 Γ q 5 11 + 3 7 + 1 ,

and

(5.3) λ = η 1 η τ 2 τ σ + ν + 1 Γ q ( σ + ν + 2 ) + τ 2 σ + ν + 1 B q ( σ + 1 , σ + ν + 1 ) Γ q ( σ + 1 ) Γ q ( σ + ν + 1 ) = 15 2 1 0.6 15 2 2 × 0 . 6 5 11 + 3 7 + 1 Γ q 5 11 + 3 7 + 2 + 0 . 6 2 5 11 + 3 7 + 1 B q 5 11 + 1 , 5 11 + 3 7 + 1 Γ q 5 11 + 1 Γ q 5 11 + 3 7 + 1 .

Considering q = 3 8 , 1 2 , 8 9 , we can see the results of λ and λ in Table 1. These results are plotted in Figure 1. Then, we obtain

λ j 0.95547 , q j = 3 8 , 0.76172 , q j = 1 2 , 0.16793 , q j = 8 9 , < 1 , λ j 1.41986 , q j = 3 8 , 1.13395 , q j = 1 2 , 0.25096 , q j = 8 9 , < 1 , μ λ j 0.9655 , q j = 3 8 , 0.7711 , q j = 1 2 , 0.1707 , q j = 8 9 , < 1 .

All assumptions of Theorem 3.2 are satisfied. Hence, there exists at least one solution for problem (5.1) on I ¯ . One can use Algorithm 9 to obtain these results. By taking the same functions, we result the assumption

μ λ j 0.6497 , q j = 3 8 , 0.5180 , q j = 1 2 , 0.1142 , q j = 8 9 , < 1 ,

then system (5.1) is Ulam–Hyers stable, then it is generalized Ulam–Hyers stable. It is Ulam–Hyers–Rassias stable if there exists a continuous and positive function ϱ j C ( I ¯ , R + ) such that

y ( t ) z ( t ) ε j ϱ ( t ) = ε j ϱ ( t ) 1 μ λ j ,

which it satisfies in assumption of Theorem 4.2.

Table 1

Numerical results of λ and λ for q = 3 8 , 1 2 , 8 9 in Example 5.1

n q = 3 8 q = 1 2 q = 8 9
λ λ λ λ λ λ
1 0.93177 1.34571 0.71630 0.99360 0.11402 0.07701
2 0.94654 1.39205 0.73885 1.06376 0.11895 0.09638
3 0.95212 1.40943 0.75025 1.09885 0.12377 0.11354
4 0.95422 1.41595 0.75598 1.11640 0.12828 0.12878
5 0.95500 1.41840 0.75885 1.12518 0.13242 0.14232
6 0.95530 1.41931 0.76029 1.12957 0.13618 0.15436
7 0.95541 1.41966 0.76101 1.13176 0.13957 0.16506
8 0.95545 1.41978 0.76137 1.13286 0.14262 0.17458
9 0.95546 1.41983 0.76155 1.13341 0.14536 0.18304
10 0.95547 ̲ 1.41985 0.76164 1.13368 0.14781 0.19057
11 0.95547 1.41986 ̲ 0.76168 1.13382 0.15001 0.19727
12 0.95547 1.41986 0.76170 1.13389 0.15197 0.20322
13 0.95547 1.41986 0.76172 ̲ 1.13392 0.15372 0.20852
14 0.95547 1.41986 0.76172 1.13394 0.15528 0.21323
15 0.95547 1.41986 0.76172 1.13395 ̲ 0.15667 0.21741
16 0.95547 1.41986 0.76173 1.13395 0.15791 0.22114
17 0.95547 1.41986 0.76173 1.13396 0.15901 0.22445
18 0.95547 1.41986 0.76173 1.13396 0.16000 0.22739
76 0.95547 1.41986 0.76173 1.13396 0.16792 0.25095
77 0.95547 1.41986 0.76173 1.13396 0.16792 0.25096 ̲
78 0.95547 1.41986 0.76173 1.13396 0.16793 ̲ 0.25096
79 0.95547 1.41986 0.76173 1.13396 0.16793 0.25096
80 0.95547 1.41986 0.76173 1.13396 0.16793 0.25096
Figure 1 
               Graphical representation of 
                     
                        
                        
                           λ
                        
                        \lambda 
                     
                  , 
                     
                        
                        
                           
                              
                                 λ
                              
                              
                                 ∗
                              
                           
                        
                        {\lambda }^{\ast }
                     
                  , and 
                     
                        
                        
                           μ
                           λ
                        
                        \mu \lambda 
                     
                  , 
                     
                        
                        
                           μ
                           
                              
                                 λ
                              
                              
                                 ∗
                              
                           
                        
                        \mu {\lambda }^{\ast }
                     
                   for 
                     
                        
                        
                           q
                           =
                           
                              
                                 3
                              
                              
                                 8
                              
                           
                        
                        q=\frac{3}{8}
                     
                  , 
                     
                        
                        
                           
                              
                                 1
                              
                              
                                 2
                              
                           
                        
                        \frac{1}{2}
                     
                  , 
                     
                        
                        
                           
                              
                                 8
                              
                              
                                 9
                              
                           
                        
                        \frac{8}{9}
                     
                   in Example 5.1. (a) 
                     
                        
                        
                           λ
                        
                        \lambda 
                     
                  , Eq. (3.8). (b) 
                     
                        
                        
                           μ
                           λ
                        
                        \mu \lambda 
                     
                  . (c) 
                     
                        
                        
                           
                              
                                 λ
                              
                              
                                 ∗
                              
                           
                        
                        {\lambda }^{\ast }
                     
                  , Eq. (3.9). (d) 
                     
                        
                        
                           μ
                           
                              
                                 λ
                              
                              
                                 ∗
                              
                           
                        
                        \mu {\lambda }^{\ast }
                     
                  .
Figure 1

Graphical representation of λ , λ , and μ λ , μ λ for q = 3 8 , 1 2 , 8 9 in Example 5.1. (a) λ , Eq. (3.8). (b) μ λ . (c) λ , Eq. (3.9). (d) μ λ .

In the next example, we review and check Theorem 3.3 numerically.

Example 5.2

Consider the following fractional integro-differential problem:

(5.4) D q 29 45 C [ y ] ( t ) = ( 16 t ) tan 1 ( y ( t ) ) 75 + I q 4 9 2 t sin 1 ( y ( t ) ) 21 + 0 t y ( ξ ) exp ( ( 3 t + ξ ) ) 10 d ξ ,

with boundary condition

y ( 0 ) = 5 2 0 0.95 y ( ξ ) d ξ , t I .

Clearly σ + ν = 29 45 , σ = 4 9 , τ = 0.95 , and η = 5 2 . To illustrate our results in Theorem 3.3, we take for y , z H = R + and t I ¯ the following continuous functions:

h 1 ( t , y ( t ) ) = ( 16 t ) tan 1 ( y ( t ) ) 75 , h 2 ( t , y ( t ) ) = 2 t sin 1 ( y ( t ) ) 21 ,

and

Θ ( t , s , y ( s ) ) = y ( s ) exp ( ( 3 t + s ) ) 10 .

Now, for y , z H , we have

h 1 ( t , y ( t ) ) h 1 ( t , z ( t ) ) = ( 16 t ) tan 1 ( y ( t ) ) 75 ( 16 t ) tan 1 ( z ( t ) ) 75 = 16 t 75 ( y ( t ) z ( t ) ) = 16 t 75 y ( t ) z ( t ) 17 75 y ( t ) z ( t ) ,

h 2 ( t , y ( t ) ) h 2 ( t , z ( t ) ) = 2 t sin 1 ( y ( t ) ) 21 2 t sin 1 ( z ( t ) ) 43 = 2 t 21 ( sin ( y ( t ) ) sin ( z ( t ) ) ) = 2 t 21 y ( t ) z ( t ) 2 21 y ( t ) z ( t ) ,

and

Θ ( t , s , y ( s ) ) Θ ( t , s , z ( s ) ) = y ( s ) exp ( ( 3 t + s ) ) 10 y ( s ) exp ( ( 3 t + s ) ) 10 = exp ( ( 3 t + s ) ) 10 ( y ( s ) z ( s ) ) = exp ( ( 3 t + s ) ) 10 y ( s ) z ( s ) 1 10 y ( s ) z ( s ) ,

for each t , s I and ( t , s ) G . Hence, μ 1 = 17 75 , μ 2 = 2 21 , μ = 1 10 , and so

μ = max { μ 1 , μ 2 , μ } = 17 25 .

Also, we obtain

h 1 ( t , y ( t ) ) = ( 16 t ) tan 1 ( y ( t ) ) 75 16 t 75 y ( t ) , h 2 ( t , y ( t ) ) = 2 t sin 1 ( y ( t ) ) 21 2 t 21 y ( t ) , Θ ( t , s , y ( s ) ) y ( s ) exp ( ( 3 t + s ) ) 10 exp ( ( 3 t + s ) ) 10 y ( s ) ,

for each t , s I . Hence,

ϱ 1 ( t ) = 16 t 75 , ϱ 2 ( t ) = 2 t 21 , ϱ ( t ) = exp ( 3 t ) 10 ,

for all t I ¯ , y , z H , and ( t , s ) G . By the above, we find that

(5.5) λ = ϱ 1 L + ϱ L Γ q ( σ + ν + 1 ) + ϱ 2 L B q ( σ + 1 , σ + ν ) Γ q ( σ + 1 ) Γ q ( σ + ν ) + η ϱ 1 L τ σ + ν + 1 + η ϱ L τ σ + ν + 1 1 η τ Γ q ( σ + ν + 2 ) + η ϱ 2 L τ 2 σ + ν + 1 B q ( σ + 1 , σ + ν + 1 ) 1 η τ Γ q ( σ + 1 ) Γ q ( σ + ν + 1 ) = 16 75 + 1 10 Γ q 4 9 + 1 5 + 1 + 2 21 B q 4 9 + 1 , 4 9 + 1 5 Γ q 4 9 + 1 Γ q 4 9 + 1 5 + 2.5 × 16 75 0.9 5 4 9 + 1 5 + 1 + 2.5 1 10 0.9 5 4 9 + 1 5 + 1 1 2.5 × 0.95 Γ q 4 9 + 1 5 + 2 + 2.5 4 9 × 2 21 × 0.9 5 8 9 + 1 5 + 1 B q 4 9 + 1 , 4 9 + 1 5 + 1 1 2.5 × 0.95 Γ q 4 9 + 1 Γ q 4 9 + 1 5 + 1 .

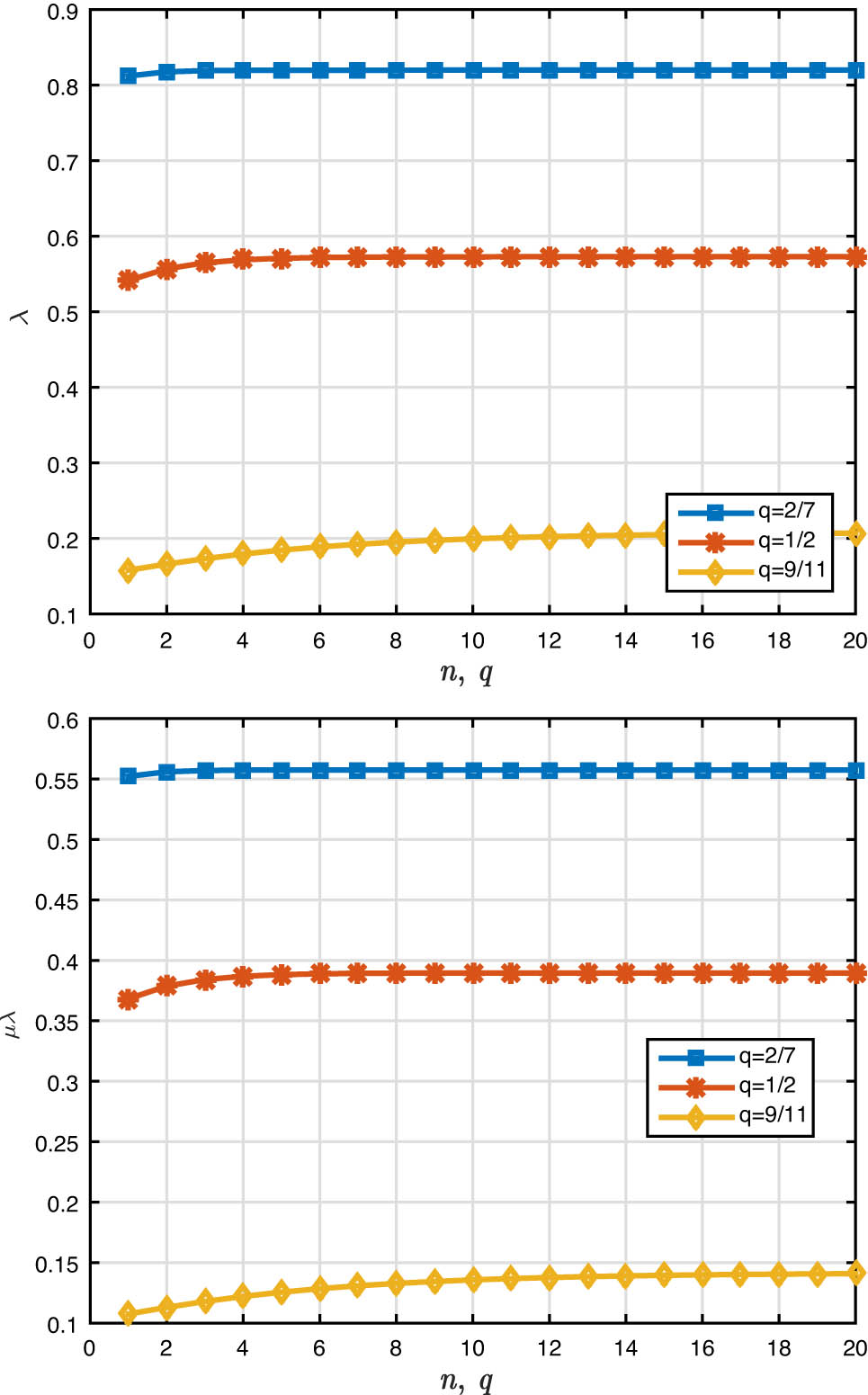
Considering q = 2 7 , 1 2 , 9 11 , we can see the results of λ and λ in Table 2. These results are plotted in Figure 2. Then, we obtain

λ j 0.81987 , q j = 3 8 , 0.57290 , q j = 1 2 , 0.20831 , q j = 8 9 , μ λ j 0.55751 , q j = 3 8 , 0.38957 , q j = 1 2 , 0.14165 , q j = 8 9 , < 1 .

All assumptions of Theorem 3.3 are satisfied. Hence, there exists at least one solution for problem (5.4) on I ¯ .

Table 2

Numerical results of λ and μ λ for q = 2 7 , 1 2 , 9 11 in Example 5.2

n q = 2 7 q = 1 2 q = 9 11
λ μ λ λ μ λ λ μ λ
1 0.81214 0.55225 0.54150 0.36822 0.15811 0.10752
2 0.81764 0.55600 0.55700 0.37876 0.16610 0.11295
3 0.81923 0.55708 0.56491 0.38414 0.17332 0.11785
4 0.81969 0.55739 0.56890 0.38685 0.17947 0.12204
5 0.81982 0.55748 0.57090 0.38821 0.18462 0.12554
6 0.81986 0.55750 0.57190 0.38889 0.18887 0.12843
7 0.81987 ̲ 0.55751 ̲ 0.57240 0.38923 0.19238 0.13082
8 0.81987 0.55751 0.57265 0.38940 0.19526 0.13278
9 0.81987 0.55751 0.57278 0.38949 0.19763 0.13439
10 0.81987 0.55751 0.57284 0.38953 0.19956 0.13570
11 0.81987 0.55751 0.57287 0.38955 0.20115 0.13678
12 0.81987 0.55751 0.57289 0.38956 0.20245 0.13767
13 0.81987 0.55751 0.57290 ̲ 0.38957 ̲ 0.20352 0.13839
14 0.81987 0.55751 0.57290 0.38957 0.20439 0.13898
15 0.81987 0.55751 0.57290 0.38957 0.20510 0.13947
43 0.81987 0.55751 0.57290 0.38957 0.20830 0.14164
44 0.81987 0.55751 0.57290 0.38957 0.20830 0.14165 ̲
45 0.81987 0.55751 0.57290 0.38957 0.20830 0.14165
46 0.81987 0.55751 0.57290 0.38957 0.20831 ̲ 0.14165
47 0.81987 0.55751 0.57290 0.38957 0.20831 0.14165
Figure 2 
               Graphical representation of 
                     
                        
                        
                           λ
                        
                        \lambda 
                     
                   and 
                     
                        
                        
                           μ
                           λ
                        
                        \mu \lambda 
                     
                   for 
                     
                        
                        
                           q
                           =
                           
                              
                                 2
                              
                              
                                 7
                              
                           
                        
                        q=\frac{2}{7}
                     
                  , 
                     
                        
                        
                           
                              
                                 1
                              
                              
                                 2
                              
                           
                        
                        \frac{1}{2}
                     
                  , 
                     
                        
                        
                           
                              
                                 9
                              
                              
                                 11
                              
                           
                        
                        \frac{9}{11}
                     
                   in Example 5.2. (a) 
                     
                        
                        
                           λ
                        
                        \lambda 
                     
                  , Eq. (3.8). (b) 
                     
                        
                        
                           μ
                           λ
                        
                        \mu \lambda 
                     
                  .
Figure 2

Graphical representation of λ and μ λ for q = 2 7 , 1 2 , 9 11 in Example 5.2. (a) λ , Eq. (3.8). (b) μ λ .

6 Conclusion

Determining the answer of differential equations from the order of fractions in the discrete state simplifies many problems. The q-integro-differential boundary equations and their applications have attracted several researchers’ interests in the field of fractional q-calculus and its applications in various phenomena from science and technology. q-Integro-differential boundary value problems occur in the mathematical modeling of a variety of physical operations. Using the Krasnoselskii’s, Banach fixed point theorems, we prove existence and uniqueness results. Based on the results obtained, conditions are provided to ensure the generalized Ulam stability of the original system. The results of Eq. (1.9) investigation on a time scale are illustrated by two numerical examples.


,

  1. Funding information: There is no funding to declare for this research study.

  2. Author contributions: X-GY: Actualization, methodology, formal analysis, validation, investigation, initial draft. MES: Actualization, methodology, formal analysis, validation, investigation, software, simulation, initial draft, and was a major contributor in writing the manuscript. AF: Actualization, methodology, formal analysis, validation, investigation, and initial draft. MKAK: Actualization, methodology, formal analysis, validation, investigation, initial draft, and supervision of the original draft and editing. AK: Actualization, validation, methodology, formal analysis, investigation, and initial draft. All authors read and approved the final manuscript.

  3. Conflict of interest: The authors declare that they have no competing interests.

  4. Data availability statement: Data sharing not applicable to this article as no datasets were generated or analyzed during the current study.

Appendix

Algorithm 1: MATLAB lines for calculation q -factorial function ( x y ) q ( m )
Input: y , z , q , m
Output: H
1 if m=0
2 totalout=1
3 else
4 5 6 7 totalout=1 ; for n = 0 : m 1 do totalout = totalout ( y z q n ) ; H=totalout;
Algorithm 2: MATLAB lines for calculation q -factorial function ( y z ) q ( σ ) .
Input: y , z , q , sigma, m
Output: H
1 if m=0 then
2 H=1
3 else
4 5 6 7 totalout=1 ; for n = 0 : m 1 do totalout = totalout ( y z q n ) / ( y z q s i g m a + n ) ; H=totalout y s i g m a ;
Algorithm 3: MATLAB lines for calculation Γ q ( y ) .
Input: q, y, m
Output: H
1 totalout=1;
2 for n = 0 : m do
3 totalout = totalout ( 1 q ( n + 1 ) ) / ( 1 q ( n + k 1 ) ) ;
4 H = totalout ( 1 q ) ( 1 y ) ;
Algorithm 4: MATLAB lines for calculation D q [ y ] ( t ) .
Input: q, s, fun
Output: H
1 if s = 0 then
2 H=limit((subs(fun,s) - subs(fun,q s))/((1-q) s),s,0);
3 else
4 H=(eval(subs(fun,s)) - eval(subs(fun,q s)))/((1-q) s);
Algorithm 5: MATLAB lines for calculation D q m [ y ] ( t ) .
Input: q, s, m, func
Output: H
1 totalout=0;
2 for n = 0 : m do
3 4 5 6 7 V = 1 ; for i = 0 : m 1 do V = V ( 1 q ( i m ) ) / ( 1 q ( i + 1 ) ) ; V = V q n eval ( subs ( func , s q n ) ) ; totalout = totalout + V ;
8 H=totalout/( s m ( 1 q ) m );
Algorithm 6: MATLAB lines for calculation I q [ y ] ( t ) .
Input: q, s, m, func
Output: H
1 totalout=1;
2 for n = 0 : m do
3   totalout = totalout + q n eval(subs(funx, totalout q n ));
4 H = s (1-q) totalout;
Algorithm 7: MATLAB lines for calculation I q σ [ y ] ( t ) .
Input: q, sigma, s, m, func
Output: H
1 totalout=0;
2 for n = 0 : m do
3 4 5 6 V = 1 ; for i = 0 : m do V = V ( 1 q ( s i g m a + i 1 ) ) ( 1 q ( n + i ) ) / ( ( 1 q ( i + 1 ) ) ( 1 q ( s i g m a + n + i 1 ) ) ) ; totalout = totalout + q k V eval ( subs ( func , s q n ) ) ;
7 H = round(totalout ( s s i g m a ) ( 1 q ) s i g m a , 6 );
Algorithm 8: MATLAB lines for calculation D q σ C [ y ] ( t ) .
Input: q, sigma, s, m, func
Output: H
1 Tootalout=0;
2 for n = 0 : m do
3 4 5 6 7 8 9 10 11 12 13 14 15 V = 1 ; for i = 0 : m do V = V * ( 1 q ( f l o o r ( s i g m a ) s i g m a + i 1 ) ) * ( 1 q ( k + i ) ) / ( ( 1 q ( i + 1 ) ) * ( 1 q ( f l o o r ( s i g m a ) s i g m a + k + i 1 ) ) ) ; Tootalout2=0 ; for k = 0 : f l o o r ( s i g m a ) do V2=1 ; for i = 0 : k 1 do V 2 = V 2 * ( 1 q ( i f l o o r ( s i g m a ) ) ) / ( 1 q ( i + 1 ) ) ; V 2 = V 2 * q k * eval ( subs ( fun , s * q ( n + k ) ) ) ; Tootalout2 = Tootalout2 + V2 ; Tootalout = Tootalout + V * Tootalout2 ;
16 H = round(totalout ( s s i g m a ) ( 1 q ) s i g m a , 6 );
Algorithm 9: MATLAB lines for calculating values of λ and λ in Example ?? for q = 3 8 , 1 2 , 8 9 .
Input: q, sigma, nu, eta, taustar
Output: H
1 clear;
2 format long;
3 column=1
4 for s = 1 : y q do
5 6 7 8 9 10 11 12 13 14 15 for n = 1 : k paramsmatrix(n, column)=n ; C1=qGamma(q(s),sigma+1,n); C2=qGamma(q(s),sigma+nu,n); C3=qGamma(q(s),sigma+nu+1,n); C4=qGamma(q(s),2*sigma+nu+1,n); C5=qGamma(q(s),sigma+nu+2,n); C6=qGamma(q(s),2*sigma+nu+2,n); paramsmatrix(n, column+1) = round ( (normvarrho1 + normvarrhostar)/C3 + normvarrho2/C4 + ( abs(eta) normvarrho1 t a u s t a r ( s i g m a + n u + 1 ) + abs(eta) * normvarrhostar taustar ( sigma + n u + 1 ) ) ( abs ( 1 eta taustar ) * C 5 ) + abs ( eta ) normvarrho2 taustar ( 2 sigma + nu + 1 ) C 6 , 6 ) ; paramsmatrix ( n , column + 2 ) = round ( abs ( eta ) abs ( 1 eta * taustar ) * ( 2 * taustar ( sigma + nu + 1 ) / C 5 + taustar ( 2 * sigma + nu + 1 ) / C 6 ) , 6 ) ; column=column +3 ;

References

[1] Ragusa MA. On weak solutions of ultraparabolic equations. Nonlinear Anal Theory Methods Appl. 2001;47(1):503–11. 10.1016/S0362-546X(01)00195-XSearch in Google Scholar

[2] Abdellouahab N, Tellab B, Zennir K. Existence and uniqueness of solutions to fractional Langevin equations involving two fractional orders. Kragujevac J Math. 2022;46(5):685–99. 10.46793/KgJMat2205.685ASearch in Google Scholar

[3] Ahmad B, Ntouyas SK. On Hadmard fractional integro differential boundary value problems. J Appl Math Comput. 2015;47(1–2):119–31. 10.1007/s12190-014-0765-6Search in Google Scholar

[4] Deimling K. Multivalued differential equations. Berlin-NY: Walter de Gruyter; 1977. Search in Google Scholar

[5] Galeone L, Garrappa R. On multistep methods for differential equations of fractional order. Mediterranean J Math. 2006;3(3):565–80. 10.1007/s00009-006-0097-3Search in Google Scholar

[6] Rashid S, Hammouch Z, Ashraf R, Baleanu D, Nisar KS. New quantum estimates in the setting of fractional calculus theory. Adv Differ Equ. 2020;2020:383. 10.1186/s13662-020-02843-2Search in Google Scholar

[7] Abbas MI. Investigation of Langevin equation in terms of generalized proportional fractional derivatives with respect to another function. Filomat. 2021;35(12):4073–85. 10.2298/FIL2112073ASearch in Google Scholar

[8] Shah K, Sher M, Ali A, Abdeljawad T. On degree theory for non-monotone type fractional order delay differential equation. AIMS Math. 2022;7(5):9479–92. 10.3934/math.2022526Search in Google Scholar

[9] Samei ME, Ahmadi A, Selvam AGM, Alzabut J, Rezapour S. Well-posed conditions on a class of fractional q-differential equations by using the Schauder fixed point theorem. Adv Differ Equ. 2021;2021:482. 10.1186/s13662-021-03631-2Search in Google Scholar

[10] Baitiche Z, Derbazi C, Alzabut J, Samei ME, Kaabar MKA, Siri Z. Monotone iterative method for Langevin equation in terms of psi-Caputo fractional derivative and nonlinear boundary conditions. Fractal Fractional. 2021;5(2):81. 10.3390/fractalfract5030081Search in Google Scholar

[11] Boutiara A, Kaabar MKA, Siri Z, Samei ME, Yue XG. Investigation of the generalized proportional Langevin and Sturm-Liouville fractional differential equations via variable coefficients and antiperiodic boundary conditions with a control theory application arising from complex networks. Math Probl Eng. 2022;2022:1–21.10.1155/2022/7018170Search in Google Scholar

[12] Samei ME, Hedayati V, Rezapour S. Existence results for a fraction hybrid differential inclusion with Caputo–Hadamard type fractional derivative. Adv Differ Equ. 2019;2019:163. 10.1186/s13662-019-2090-8Search in Google Scholar

[13] Rezapour S, Bouazza Z, Souid MS, Etemad S, Kaabar MKA. Darbo fixed point criterion on solutions of a Hadamard nonlinear variable order problem and Ulam–Hyers–Rassias stability. J Funct Spaces. 2022;2022:1–12.10.1155/2022/1769359Search in Google Scholar

[14] Yue XG, Zhang Z, Akbulut A, Kaabar MKA, Kaplan M. A new computational approach to the fractional-order Liouville equation arising from mechanics of water waves and meteorological forecasts. J Ocean Eng Sci. 2022:1–8.10.1016/j.joes.2022.04.001Search in Google Scholar

[15] Wang X, Yue XG, Kaabar MKA, Akbulut A, Kaplan M. A unique computational investigation of the exact traveling wave solutions for the fractional-order Kaup-Boussinesq and generalized Hirota Satsuma coupled KdV systems arising from water waves and interaction of long waves. J Ocean Eng Sci. 2022:1–17.10.1016/j.joes.2022.03.012Search in Google Scholar

[16] Rashid S, Kaabar MKA, Althobaiti A, Alqurashi M. Constructing analytical estimates of the fuzzy fractional-order Boussinesq model and their application in oceanography. J Ocean Eng Sci. 2022:1–20.10.1016/j.joes.2022.01.003Search in Google Scholar

[17] Pandey P, Gómez-Aguilar J, Kaabar MKA, Siri Z, AbdAllah AM. Mathematical modeling of COVID-19 pandemic in India using Caputo-Fabrizio fractional derivative. Comput Biol Med. 2022;145:105518. 10.1016/j.compbiomed.2022.105518Search in Google Scholar PubMed PubMed Central

[18] Abu-Shady M, Kaabar MKA. A generalized definition of the fractional derivative with applications. Math Problems Eng. 2021;2021:1–9.10.1155/2021/9444803Search in Google Scholar

[19] Almeida R, Malinowska AB, Monteiro MTT. Fractional differential equations with a caputo derivative with respect to a kernel function and their applications. Math Methods Appl Sci. 2018;41(1):336–52. 10.1002/mma.4617Search in Google Scholar

[20] Hajiseyedazizi SN, Samei ME, Alzabut J, Chu Y. On multi-step methods for singular fractional q-integro-differential equations. Open Math. 2021;19:1378–405. 10.1515/math-2021-0093Search in Google Scholar

[21] Ruzhansky M, Cho YJ, Agarwal P, Area I. Advances in real and complex analysis with applications. Singapore: Birkhauser; 2017. 10.1007/978-981-10-4337-6Search in Google Scholar

[22] Li R. Existence of solutions for nonlinear fractional equation with fractional derivative condition. Adv Differ Equ. 2014;2014:292. 10.1186/1687-1847-2014-292Search in Google Scholar

[23] Rezapour S, Samei ME. On the existence of solutions for a multi-singular pointwise defined fractional q-integro-differential equation. Boundary Value Problems. 2020;2020:38. 10.1186/s13661-020-01342-3Search in Google Scholar

[24] Samei ME, Ghaffari R, Yao SW, Kaabar MKA, Martínez F, Inc M. Existence of solutions for a singular fractional q-differential equations under Riemann–Liouville integral boundary condition. Symmetry. 2021;13:135. 10.3390/sym13071235Search in Google Scholar

[25] Samei ME, Karimi L, Kaabar MKA. To investigate a class of multi-singular pointwise defined fractional q-integro-differential equation with applications. AIMS Math. 2022;7(5):7781–816. 10.3934/math.2022437Search in Google Scholar

[26] Abdeljawad T, Alzabut J, Baleanu D. A generalized q-fractional gronwall inequality and its applications to nonlinear delay q-fractional difference systems. J Inequalit Appl. 2016;216:240. 10.1186/s13660-016-1181-2Search in Google Scholar

[27] Annaby MH, Mansour ZS. q-Fractional calculus and equations. Cambridge: Springer Heidelberg; 2012. 10.1007/978-3-642-30898-7Search in Google Scholar

[28] Shah K, Arfan M, Ullah A, Al-Mdallal Q, Ansari KJ, Abdeljawad T. Computational study on the dynamics of fractional order differential equations with applications. Chaos Solitons Fractals. 2022;157:111955. 10.1016/j.chaos.2022.111955Search in Google Scholar

[29] Shah K, Sher M, Ali A, Abdeljawad T. Extremal solutions of generalized Caputo-type fractional-order boundary value problems using monotone iterative method. Fractal Fractional. 2022;2022(6):146. 10.3390/fractalfract6030146Search in Google Scholar

[30] Khan ZA, Ahmad I, Shah K. Applications of fixed point theory to investigate a system of fractional order differential equations. J Funct Spaces. 2021;2021:7. 10.1155/2021/1399764Search in Google Scholar

[31] Jackson FH. q-difference equations. Am J Math. 1910;32:305–14. 10.2307/2370183Search in Google Scholar

[32] Adams CR. The general theory of a class of linear partial q-difference equations. Trans Am Math Soc. 1924;26:283–312. 10.2307/1989141Search in Google Scholar

[33] Atici F, Eloe PW. Fractional q-Calculus on a time scale. J Nonlinear Math Phys. 2007;14(3):341–52. 10.2991/jnmp.2007.14.3.4Search in Google Scholar

[34] Ferreira RAC. Nontrivials solutions for fractional q-difference boundary value problems. Electronic J Qualitative Theory Differ Equ. 2010;70:1–101. 10.14232/ejqtde.2010.1.70Search in Google Scholar

[35] Rajković PM, Marinković SD, Stanković MS. Fractional integrals and derivatives in q-calculus. Applicable Anal Discrete Math. 2007;1:311–23. 10.2298/AADM0701311RSearch in Google Scholar

[36] Samei ME, Zanganeh H, Aydogan SM. Investigation of a class of the singular fractional integro-differential quantum equations with multi-step methods. J Math Extension. 2021;17(1):1–545. Search in Google Scholar

[37] Podlubny I. Fractional differential equations. San Diego: Academic Press; 1999. Search in Google Scholar

[38] Baghani H. Existence and uniqueness of solutions to fractional langevin equations involving two fractional orders. J Fixed Point Theory Appl. 2018;20(2):7. 10.1007/s11784-018-0540-7Search in Google Scholar

Received: 2022-03-15
Revised: 2022-05-03
Accepted: 2022-05-18
Published Online: 2022-06-11

© 2022 Xiao-Guang Yue et al., published by De Gruyter

This work is licensed under the Creative Commons Attribution 4.0 International License.

Articles in the same Issue

  1. Research Articles
  2. Fractal approach to the fluidity of a cement mortar
  3. Novel results on conformable Bessel functions
  4. The role of relaxation and retardation phenomenon of Oldroyd-B fluid flow through Stehfest’s and Tzou’s algorithms
  5. Damage identification of wind turbine blades based on dynamic characteristics
  6. Improving nonlinear behavior and tensile and compressive strengths of sustainable lightweight concrete using waste glass powder, nanosilica, and recycled polypropylene fiber
  7. Two-point nonlocal nonlinear fractional boundary value problem with Caputo derivative: Analysis and numerical solution
  8. Construction of optical solitons of Radhakrishnan–Kundu–Lakshmanan equation in birefringent fibers
  9. Dynamics and simulations of discretized Caputo-conformable fractional-order Lotka–Volterra models
  10. Research on facial expression recognition based on an improved fusion algorithm
  11. N-dimensional quintic B-spline functions for solving n-dimensional partial differential equations
  12. Solution of two-dimensional fractional diffusion equation by a novel hybrid D(TQ) method
  13. Investigation of three-dimensional hybrid nanofluid flow affected by nonuniform MHD over exponential stretching/shrinking plate
  14. Solution for a rotational pendulum system by the Rach–Adomian–Meyers decomposition method
  15. Study on the technical parameters model of the functional components of cone crushers
  16. Using Krasnoselskii's theorem to investigate the Cauchy and neutral fractional q-integro-differential equation via numerical technique
  17. Smear character recognition method of side-end power meter based on PCA image enhancement
  18. Significance of adding titanium dioxide nanoparticles to an existing distilled water conveying aluminum oxide and zinc oxide nanoparticles: Scrutinization of chemical reactive ternary-hybrid nanofluid due to bioconvection on a convectively heated surface
  19. An analytical approach for Shehu transform on fractional coupled 1D, 2D and 3D Burgers’ equations
  20. Exploration of the dynamics of hyperbolic tangent fluid through a tapered asymmetric porous channel
  21. Bond behavior of recycled coarse aggregate concrete with rebar after freeze–thaw cycles: Finite element nonlinear analysis
  22. Edge detection using nonlinear structure tensor
  23. Synchronizing a synchronverter to an unbalanced power grid using sequence component decomposition
  24. Distinguishability criteria of conformable hybrid linear systems
  25. A new computational investigation to the new exact solutions of (3 + 1)-dimensional WKdV equations via two novel procedures arising in shallow water magnetohydrodynamics
  26. A passive verses active exposure of mathematical smoking model: A role for optimal and dynamical control
  27. A new analytical method to simulate the mutual impact of space-time memory indices embedded in (1 + 2)-physical models
  28. Exploration of peristaltic pumping of Casson fluid flow through a porous peripheral layer in a channel
  29. Investigation of optimized ELM using Invasive Weed-optimization and Cuckoo-Search optimization
  30. Analytical analysis for non-homogeneous two-layer functionally graded material
  31. Investigation of critical load of structures using modified energy method in nonlinear-geometry solid mechanics problems
  32. Thermal and multi-boiling analysis of a rectangular porous fin: A spectral approach
  33. The path planning of collision avoidance for an unmanned ship navigating in waterways based on an artificial neural network
  34. Shear bond and compressive strength of clay stabilised with lime/cement jet grouting and deep mixing: A case of Norvik, Nynäshamn
  35. Communication
  36. Results for the heat transfer of a fin with exponential-law temperature-dependent thermal conductivity and power-law temperature-dependent heat transfer coefficients
  37. Special Issue: Recent trends and emergence of technology in nonlinear engineering and its applications - Part I
  38. Research on fault detection and identification methods of nonlinear dynamic process based on ICA
  39. Multi-objective optimization design of steel structure building energy consumption simulation based on genetic algorithm
  40. Study on modal parameter identification of engineering structures based on nonlinear characteristics
  41. On-line monitoring of steel ball stamping by mechatronics cold heading equipment based on PVDF polymer sensing material
  42. Vibration signal acquisition and computer simulation detection of mechanical equipment failure
  43. Development of a CPU-GPU heterogeneous platform based on a nonlinear parallel algorithm
  44. A GA-BP neural network for nonlinear time-series forecasting and its application in cigarette sales forecast
  45. Analysis of radiation effects of semiconductor devices based on numerical simulation Fermi–Dirac
  46. Design of motion-assisted training control system based on nonlinear mechanics
  47. Nonlinear discrete system model of tobacco supply chain information
  48. Performance degradation detection method of aeroengine fuel metering device
  49. Research on contour feature extraction method of multiple sports images based on nonlinear mechanics
  50. Design and implementation of Internet-of-Things software monitoring and early warning system based on nonlinear technology
  51. Application of nonlinear adaptive technology in GPS positioning trajectory of ship navigation
  52. Real-time control of laboratory information system based on nonlinear programming
  53. Software engineering defect detection and classification system based on artificial intelligence
  54. Vibration signal collection and analysis of mechanical equipment failure based on computer simulation detection
  55. Fractal analysis of retinal vasculature in relation with retinal diseases – an machine learning approach
  56. Application of programmable logic control in the nonlinear machine automation control using numerical control technology
  57. Application of nonlinear recursion equation in network security risk detection
  58. Study on mechanical maintenance method of ballasted track of high-speed railway based on nonlinear discrete element theory
  59. Optimal control and nonlinear numerical simulation analysis of tunnel rock deformation parameters
  60. Nonlinear reliability of urban rail transit network connectivity based on computer aided design and topology
  61. Optimization of target acquisition and sorting for object-finding multi-manipulator based on open MV vision
  62. Nonlinear numerical simulation of dynamic response of pile site and pile foundation under earthquake
  63. Research on stability of hydraulic system based on nonlinear PID control
  64. Design and simulation of vehicle vibration test based on virtual reality technology
  65. Nonlinear parameter optimization method for high-resolution monitoring of marine environment
  66. Mobile app for COVID-19 patient education – Development process using the analysis, design, development, implementation, and evaluation models
  67. Internet of Things-based smart vehicles design of bio-inspired algorithms using artificial intelligence charging system
  68. Construction vibration risk assessment of engineering projects based on nonlinear feature algorithm
  69. Application of third-order nonlinear optical materials in complex crystalline chemical reactions of borates
  70. Evaluation of LoRa nodes for long-range communication
  71. Secret information security system in computer network based on Bayesian classification and nonlinear algorithm
  72. Experimental and simulation research on the difference in motion technology levels based on nonlinear characteristics
  73. Research on computer 3D image encryption processing based on the nonlinear algorithm
  74. Outage probability for a multiuser NOMA-based network using energy harvesting relays
Downloaded on 30.12.2025 from https://www.degruyterbrill.com/document/doi/10.1515/nleng-2022-0023/html
Scroll to top button