Abstract
The hydrolysis of high methyl ester citrus-apple pectin as a model substance for plant biomass waste rich in pectin fraction resulting in an uronic acids was performed in a batch reactor using subcritical water. The effects of the reaction temperature and time on the composition of the products contained in the separated liquid fractions were studied. The optimal experimental design methodology was used for modelling and optimizing the yield of uronic acids. In good agreement with experimental results (R2 = 0.986), the model predicts an optimal yield of uronic acids (approx. 77.3 g kg-1 ± 0.7 g kg-1) at a temperature and a time of about 155°C and 36 min. Uronic acids were isolated from reaction mixture using the ion exchange method. Higher temperature and longer holding time resulted in a greater degree of thermal degradation of uronic acids and simultaneously higher yield of losses and gas fractions
1 Introduction
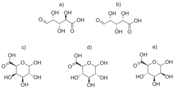
Uronic acids (L-arabinuronic acid (a), D-xyluronic acid (b), D-galacturonic acid (c), D-glucuronic acid (d), D-mannuronic acid (e)) (Figure 1) are a group of monosaccharides, defined as aldohexoses, in which terminal hydroxyl groups have been oxidized to carboxylic acids [1].

Structure of uronic acids.
Uronic acids exist in varying proportions and amounts in different types of plant biomass, mainly as constituents of polysaccharides, such as pectin. Uronic acids, particularly D-galacturonic and D-glucuronic acid, are highly valuable chemicals used in the pharmaceutical, cosmetic and food industries as, among other applications, antioxidants, detoxifying and inactivating agents of various substances in the human body [2], precursors of ascorbic acid [3], and chelating reagents with anti-cancer properties [4]. D-glucuronic acid is also used as a building block of hyaluronic acid [5] and a cosmetic ingredient in moisturizing and protective skin treatment cosmetic creams [2,5].
Uronic acids are considered to have enormous potential as platform chemicals that enable their future use in medicine and pharmacy as well as in polymeric materials technology [6].
Despite comprehensive investigations [7,8], there is no commercial-scale chemical production of uronic acids [1], while existing biochemical methods are multi-step processes with separation and purification issues known to be costly and time-consuming [1,5].
In recent years, there have been substantial efforts focused on the development of hydrothermal processes, a thermochemical approach involving hydrolysis under subcritical conditions of components contained in waste biomass into useful products [9, 10, 11].
Subcritical water is an environmentally harmless reaction medium (a reactant, a catalyst, and a solvent) whose properties are significantly different from those of water in normal conditions [12,13]. In water at high temperatures (150-230°C), the H-bonding starts weakening, allowing autoionization of water into acidic hydronium ions and basic hydroxide ions [14,15]. In the subcritical region (100-374°C) the ionization constant of water increases with temperature [14,16,17]. Therefore water in a subcritical state exhibits acid/base catalyst properties and its use in the processing of biomass can reduce or even eliminate the need for cumbersome conventional catalysts - mineral acids and alkalis.
Another property of water, which changes with temperature and pressure, it is dielectric constant, which decreases as the temperature of water rises [17]. In the application of hydrothermal conditions for the processing of waste biomass, decreasing polarity of water dissolves ingredients contained in the biomass more easily and quickly as well as increasing the conversion reaction rate and obtained efficiency. Also, the low density, viscosity and surface tension of water and the advantageous solute diffusion coefficients and self-diffusion coefficients contribute to the solubilization of the raw material and to the fact that the transport processes proceed without significant constraints [11,12,17].
The effectiveness of the processes in subcritical water is ensured without the use of any additional substances and the preliminary, often energy-intensive, preparation (e.g., drying, grinding, briquetting) of the raw material for conversion. Owing to the catalytic properties of subcritical water the reactions taking place in its presence proceed faster and are easier to control by adjusting the reaction system temperature and pressure. Other benefits stemming from the use of processes running in hydrothermal conditions are the absence of equipment corrosion problems and the simplified operating procedure [14]. Hydrothermal processes possess the advantages embodied in green chemistry and green chemical engineering concepts. They are energy-effective and environmentally friendly with high potential for practical applications [9, 10, 11].
A recent proposition for the production of uronic acids is hydrothermolysis of waste plant biomass rich in pectin constituents - a polysaccharide of D-galacturonic acid as well as other minor monosaccharides (rhamnose, arabinose, galactose) [18] and D-glucuronic acid [19, 20, 21], such as sugar beet pulp, sunflower heads, apple pomace and citrus peel. This article focuses on the effects of the most relevant criteria of the process (reaction temperature and holding time), as the first step toward a mechanistic interpretation and an assessment of the feasibility of its technical development. The purpose of this study was to determine the optimal experimental conditions for the production of uronic acids from citrus-apple pectin by subcritical water hydrolysis. The optimal experimental design (OED) methodology was used to determine a statistically significant reaction model as well as to optimize the conditions for the production of uronic acids from renewable, agricultural resources.
2 Experimental
2.1 Materials and reagents
High methyl ester citrus-apple pectin (HMP) with the degree of esterification more than 50% (Naturex-Pektowin S.A. Company, Jasło, Poland) was used for the tests. Uronic acids (galacturonic acid monohydrate and glucuronic acid), furfurals (2-furfural (2-FA) and 5-hydroxymethylfurfural (5-HMF)) and water were provided by Aldrich. Acetic acid and monosaccharides (arabinose, galactose, glucose, mannose, rhamnose, and xylose) were purchased from Fluka. Formic acid, the compounds required for the preparation of Luff-Schoorl reagent (sodium carbonate, citric acid, copper sulfate) and used in chromatographic determination were supplied by POCh (Poland). In this study, the reagents used were analytically pure or HPLC pure, depending on the requirements of the applied analytical method.
2.2 The reactor and the course of hydrothermolysis of high methyl ester citrus-apple pectin
The hydrothermolysis of HMP oven-dried to constant mass at a temperature of 45°C was performed in a high-temperature and high-pressure 4576A-type batch reactor (Parr Instrument Company, USA). A schematic diagram of the experimental set-up, as well as a detailed description of the reactor equipment, is published elsewhere [22].
The investigation of hydrothermolysis of 5 g of HMP in 195 g of water was carried out in 2 experimental series. A description of the experimental conditions is given in Table 1. The preliminary stage (experimental series 1) involved the examination of the effect of the studied reaction parameters: reaction temperature and holding time on the hydrothermolysis of HMP. The parameters established in first step reaction, in which uronic acids were obtained with the highest yield, were applied in experimental series 2. There the optimal experimental design (OED) methodology (Doehlert array) was adopted [22] to determine studied process parameters for uronic acids optimal yield. The precise description of this experimental procedure was published elsewhere [22].
2.3 Separation of high methyl ester citrus-apple pectin hydrothermolysis products
A suspension containing water-soluble products (WS) and a water-insoluble solid post-reaction residue (WI) was obtained as a result of the hydrothermolysis of HMP. A detailed description of the separation of HMP hydrothermolysis products is published elsewhere [23, 24, 25].
The yields (Yi) of all studied treatment products - the WS and WI fractions, and individual substances contained in both the WS fractions and WI fractions - were calculated using the following equation (Eq. 1):
where mi is the mass (g) of reaction product i, and mMP is the mass (kg) of HMP subjected to hydrothermolysis.
The gaseous products generated during HMP hydrothermal treatment were not collected, but the gas fractions (Yg) yield was calculated using the following equation (Eq. 2):
Experimental conditions of high methyl ester citrus-apple pectin hydrothermolysis.
| Experimental series 1 | Experimental series 2 | ||
|---|---|---|---|
| T (°C) | t (min) | T (°C) | t (min) |
| 120 | 0; 10; 20; 30; 40; 60 | 140 | 40 |
| 130 | 0; 10; 20; 30; 40; 60 | 145 | 20; 60 |
| 140 | 0; 10; 20; 30; 40; 60 | 150a | 40a |
| 150 | 0; 10; 20; 30; 40; 60 | 155 | 20; 60 |
| 160 | 0; 10; 20; 30; 40; 60 | 160 | 40 |
| 170 | 0; 10; 20; 30; 40; 60 | ||
| 180 | 0; 10 | ||
| 200 | 0; 10 | ||
| 40 runs | 9 runs | ||
a Experiments repeated 3 times.
where YDM is the yield of dry matter contained in the WS fractions and YWI is the yield of solid post-reaction residue.
2.4 Isolation of uronic acids
Uronic acids were isolated from the WS fractions using the ion exchange method. The isolation of uronic acids was carried out using a stationary method, and strongly basic, anion exchange resin Amberlite®IRA402 (OH- form, total exchange capacity 0.95 meq mL-1) with polystyrene divinylbenzene copolymer matrix and quaternary ammonium functional groups. To the anion exchange procedure, there was used 20 mL of the anion exchange resin with moisture content in the range of 49-60% by weight and 150 mL of the WS fraction. After 48 h the resin was separated from the WS fraction by filtration and washed with water. The resulting eluate was diluted with water to a volume of 250 mL and subjected to determination for the content of uronic acids. The regeneration procedure of the anion exchanger was carried out also by batch method, using 100 mL of 2 M HCl. After 48 h the resin was separated from the excess of HCl by filtration and washed with water until the pH of the post-regeneration solution was neutral. The regenerant solution and post-regeneration solution consisted final solution containing isolated uronic acids. This final solution was diluted to a volume of 250 mL and subjected to determination of uronic acids. The isolation experiment was repeated twice.
2.5 Analytical techniques and measurement methodology
HMP dried to constant mass was investigated except for moisture content determinations. All the analytical determinations were performed in triplicate, and the mean values were calculated.
The content of dry matter in HMP was determined using NFTA procedures [26], while the content of ash was determined using NREL-LAB protocols [27]. Lignocellulosic content in HMP was assayed using the detergent method [26,28,29].
The chemical composition of HMP and the WS fractions were determined by high-pressure liquid chromatography (HPLC). A detailed description of the analyses and analytical methods is published elsewhere [25,30].
All analytical chromatographic determinations were performed in duplicate, and their mean values are presented.
The reducing sugars content in the WS fractions was determined by the Luff-Schoorl’s method [31].
2.6 Modeling and optimization method
The OED methodology was employed to determine process parameters ensuring the optimal yield of uronic acids. A thorough description of this methodology is published elsewhere [32,33]. We selected the Doehlert array from among the possible experimental matrices based on a quadratic model [33,34]. We used The NEMROD software for calculation (by the least-square regression method) the coefficients of the model, evaluating the significance of the regression, and for validity tests.
3 Results and discussion
3.1 Composition of pectin
The HMP dry matter content amounted to (mean values and standard deviations, respectively) 959.1 g kg-1 ± 1.1 g kg-1, ash to 8.7 g kg-1 ± 1.5 g kg-1, hemicellulose represented 5.6 g kg-1 ± 2.1 g kg-1, sulphuric acid insoluble lignin 13.6 g kg-1 ± 1.6 g kg-1, the sum of neutral monosaccharides 97.6 g kg-1 ± 2.4 g kg-1 (including arabinose 21.7 g kg-1, xylose 20.8 g kg-1, glucose 25.1 g kg-1, rhamnose+galactose+man-nose 30.0 g kg-1) and uronic acids 827.6 g kg-1 ± 1.9 g kg-1. The degree of methoxylation in HMP amounted to 74.0% mol. (111.3 g kg-1 ± 2.1 g kg-1) and the degree of acetylation to 2.5% mol. (6.9 g kg-1 ± 2.0 g kg-1).
The initial pH value of a 2.5% (w/w) HMP water suspension was pH = 6.32.
3.2 Effect of reaction temperature and holding time on the yield of uronic acids
Figure 2 shows the effect of reaction temperature and holding time on the yield of uronic acids contained in the WS fractions. Under hydrothermal conditions, the water dissociates and results in a higher concentration of hydronium ion [35], which promotes hydrolysis of pectin to uronic acids. Initially, both temperature increase and holding time extension favored hydrolytic depolymerization of HMP. The highest yield of uronic acids of 79.7 g kg-1 was obtained in temperature of 150°C and time of 40 min. In addition, the WS fraction contained 35.8 g kg-1 of nonsolubilized and unreacted HMP, 5.7 g kg-1 of acetic acid, 296.5 g kg-1 of monosaccharides, 9.6 g kg-1 of lactic acid and 63.7 g kg-1 of formic acid, 18.6 g kg-1 of furfurals and 400.6 g kg-1 of unidentifed products not subject to any indication for the content of reducing sugars, nor for the content of nonreducing sugars (estimated as reducing sugars after their inversion) – probably oligosaccharides [35]. The presence of lactic acid, formic acid, and furfurals in the WS fraction indicates the co-occurrence of unwanted side reactions along with the depolymerization of HMP - chain fragmentation and degradation of low molecular weight primary reaction products [36].

Effect of reaction temperature and holding time on the yield of uronic acids.
Further increase in HMP hydrothermolysis temperature, especially above 160°C resulted in a decrease in the yield of uronic acids, which were readily decomposed under hydrothermal conditions [37, 38, 39, 40, 41, 42]. The degradation of uronic acids was accompanied by secondary transformations of components present in the reaction mixture, leading, among others, to the progressive increase of furfurals content (Figure 3).

Effect of reaction temperature and holding time on the yield of furfurals.
On the other hand, both in the temperature of 180°C, as well as 200°C, the dominating transformation of the components of the reaction mixture, became their progressive gasification - the yield of gaseous product fractions rose with the increase in temperature and longer holding time, reaching 47.4% at 200°C and a holding time of 10 min (Table 2).
Effect of reaction temperature and holding time on the yield of uronic acids and furfurals and gaseous product fractions obtained at 180°C and 200°C.
| Temperature/ holding time (°C/min) | Uronic acids (g kg-1) | Furfurals (g kg-1) | Gaseous product fraction (%) |
|---|---|---|---|
| 180/0 | 8.2 | 3.8 | 9.8 |
| 180/10 | 7.3 | 12.8 | 33.2 |
| 200/0 | 6.4 | 7.7 | 22.4 |
| 200/10 | 3.6 | 18.2 | 47.4 |
3.3 Modeling of the hydrothermolysis of high methyl ester citrus-apple pectin
Hydrothermal treatment temperature and holding time were the parameters affecting the rate of hydrolysis of HMP and the production of uronic acids. In the second stage of this work, based on the results obtained in experimental series 1, the experimental region was explored using Doehlert matrices with hydrothermolysis temperature and holding time as significant variables. The conditions of the experiments carried out in series 2 and the obtained yields of uronic acids are listed in Table 3.
Doehlert experimental design with significant (ui) variables and values of corresponding experimental and calculated responses (YUA in WS fractions) for hydrothermolysis of high methyl ester citrus-apple pectin.
| Experimental series 2 | ||||
|---|---|---|---|---|
| Experiment | u1 | u2 | YUA-exp.a | YUA-cal.b |
| T (°C) | t (min) | (g kg-1) | (g kg-1) | |
| 1 | 170.0 | 40 | 37.2 | 34.8 |
| 2 | 140.0 | 40 | 29.4 | 31.8 |
| 3 | 162.5 | 60 | 43.8 | 46.2 |
| 4 | 147.5 | 20 | 53.5 | 51.1 |
| 5 | 162.5 | 20 | 64.8 | 67.2 |
| 6 | 147.5 | 60 | 61.6 | 59.2 |
| 7 | 155.0 | 40 | 78.3 | 77.0 |
| 7’a | 155.0 | 40 | 75.8 | 77.0 |
| 7’’a | 155.0 | 40 | 76.9 | 77.0 |
a Experiments repeated at the centre of the experimental region to calculate the standard deviation on the response: 1.25.
b Experimental values.
c Calculated values.
Initially, both the increase of temperature (Exps. 4 and 5, Exps. 2 and 7-7”) and holding time (Exps. 4 and 6), as well as the simultaneous increase of these variables favored hydrolytic depolymerization of HMP (Exps. 2 and 6, Exps. 4 and 7-7”). However, the increase in hydrothermolysis temperature above 155°C or the extension in holding time to 60 min (Exps. 3 and 5) did not favor the increase in the yield of uronic acids (Exps. 1, 3 and 5).
Attempts to fit the experimentally determined uronic acids yield to a quadratic model led to satisfactory results. Predicted values are consistent with experimental ones, within experimental errors. The following quadratic model was calculated by multi-linear least square regression from the results obtained from experimental series 2 (Eq. 3):
The standard error for coefficients b0,b1, b2 was 0.72, for b11,b22 1.14, and b12 1.15.
Two- and three-dimensional representations of YUA in the WS fractions as a function of hydrothermolysis temperature and holding time, calculated using the above models are shown in Figure 4. The contour plots in Figure 3a represent the curves of constant value of the estimated responses YUA using the quadratic models.

Two- (a) and three-dimensional (b) representations of the yield of uronic acids YUA, as a function of reaction temperature and holding time during the hydrothermolysis of high methyl ester citrus-apple pectin.
In the investigated experimental region, the optimal range of HMP hydrothermolysis leading to uronic acids was predicted at a reaction temperature of 151 to 160°C and holding time from 49 to 24 min, respectively. The maximum value of uronic acids was 77.3 g kg-1 (±0.7) predicted at 155°C and 36 min.
The pH of WS fraction obtained in optimal conditions was 2.76, and content of dry mass was 822.1 g kg-1, including reducing sugars of 459.8 g kg-1. Among the identified low molecular weight reaction products in the WS fraction, the uronic acids content was 77.5 g kg-1 (±0.26) (including galacturonic acid 45.9 g kg-1, glucuronic acid 31.6 g kg-1), glucose 135.8 g kg-1, xylose 91.7 g kg-1, rhamnose 47.7 g kg-1, acetic acid 5.7 g kg-1, lactic acid 10.7 g kg-1, formic acid 65.7 g kg-1, 2-FA 7.8 g kg-1 and 5-HMF 13.2 g kg-1.
As shown, the hydrothermal treatment of HMP in the optimal region proceeded with a low yield of uronic acids in comparison with literature data [7,43], obtained as a result of applying traditional - chemical and enzymatic hydrolysis methods. For instance, Wikiera et al. [8] performed both acidic and combined acidic/enzymatic hydrolysis of pectin isolated from apple pomace using trifluoroacetic acid (TFA) and commercial multicatalytic preparation Energex and Viscozyme derived from
Aspergillus aculeatus. The highest yield of galacturonic acid - 613 g kg-1 was obtained after 2.5 h of hydrolysis with 2 M TFA at 120°C. In turn Leh et al. [43] hydrolysed citrus pulp rich in pectin by direct addition of “pectinolytic fermented solids”, produced by solid-state fermentation of mixture of ground sugarcane bagasse and orange peels, using a strain of Aspergillus aryzae isolated from rotting passion fruit peels and obtained 247 mmol L-1 of D-galacturonic acid in the hydrolysate.
The unsatisfactory yield of uronic acids obtained in hydrothermal conditions is caused by high susceptibility of acids to degradation. The specific mechanism of hydrothermal decomposition of uronic acids is challenging to study. Depending on the used reaction conditions, they can be degraded into a massive number of compounds, which may be obtained via different reaction pathways [37, 38, 39, 40, 41, 42].
In the literature [38,41,42] there was described mechanism of galacturonic acid degradation under hydrothermal conditions which are probably based on its decarboxylation. Bornik and Kroh [41] and Wegener et al. [42] under slightly acidic to alkaline conditions, identified two processes leading to two detected intermediate products: decarboxylation to L-arabinose and eliminative decarboxylation to unsaturated 4-deoxy-L-arabinose. These compounds were further converted to carbocyclic products such as reductic acid by ring opening followed by dehydration and cyclization. Wang et al. [38] proposed also the formation of ketone as one of the reactions (ketonic decarboxylation [44] leading to galacturonic acid degradation.
In turn, based on the results obtained by Wang et al. [40], the degradation of glucuronic acid in subcritical water led to the formation of the primary stable product - glucuronolactone. The proposed mechanism of glucuronic acid conversion involved intramolecular hemiacetalization and intramolecular esterification. The resulting lactone was further decomposed to other degradation products.
3.4 Isolation of uronic acids
Uronic acids were isolated using the ion exchange method from the WS fractions obtained under optimal conditions of the 2 series of experiments. After ion exchange, the content of uronic acids in the WS fraction was trace and amounted to 2.6 g kg-1 (3.3% of the initial value). After regeneration of the anionite with 2 M HCl, the content of uronic acids in the eluate was 52.4 g kg-1 (70.2% concerning the amount deposited in the bed).
4 Conclusions
This article evaluated waste plant biomass rich in pectin fraction, as a potential source for the production of uronic acids. Hydrolysis of high methyl ester citrus-apple pectin as a model substance was performed using subcritical water technology. The yield of uronic acids significantly affected by applied temperature and holding time.
It can be concluded that the application of subcritical water treatment might valorize plant waste biomass rich in pectin fraction, leading to obtaining uronic acids with relatively low yield. Uronic acids, after isolation, e.g. through an ion exchange process, may be used for various industrial purposes.
References
[1] Mehtiö T., Toivari M., Wiebe M.G., Harlin A., Penttilä M., Koivula A., Production and application of carbohydrate-derived sugar acids as generic biobased chemicals. Crit. Rev. Biotechnol., 2016, 36, 904-916.10.3109/07388551.2015.1060189Search in Google Scholar PubMed
[2] Farŕan A., Cai C., Sandoval M., Xu Y., Liu L., Hernáiz M.J., et al., Green solvents in carbohydrate chemistry: from raw materials to fine chemicals. Chem. Rev., 2015, 115, 6811-6853.10.1021/cr500719hSearch in Google Scholar PubMed
[3] Ullmann’s Food and Feed. 3 Volume Set. Wiley- VCH Verlag GmbH, Weinheim, 2017.Search in Google Scholar
[4] Attanzio A., Ippolito M., Girasolo M.A., Saiano F., Rotondo A., Rubino S., et al., Anti-cancer activity of di- and tri-organotin(IV) compounds with D-(+)-galacturonic acid on human tumor cells. J. Inorg. Biochem., 2018, 188, 102-112.10.1016/j.jinorgbio.2018.04.006Search in Google Scholar PubMed
[5] Amaniampong P.N., Karam A., Thang Trinh Q., Xu K., Hirao H., Jérôme F., Chatel G., Selective and catalyst-free oxidation of D-glucose to D-glucuronic acid induced by high-frequency ultrasound. Sci. Rep-UK., 2017, 7:40650.10.1038/srep40650Search in Google Scholar PubMed PubMed Central
[6] Tomaszewska J., Bieliński D., Binczarski M., Berlowska J., Dziugan P., Piotrowski J., et al., Products of sugar beet processing as raw materials for chemicals and biodegradable polymers. RSC Adv., 2018, 8, 3161-3177.10.1039/C7RA12782KSearch in Google Scholar
[7] Garna H., Mabon N., Nott K., Wathelet B., Paquot M., Kinetic of the hydrolysis of pectin galacturonic chains and quantification by ionic chromatography. Food Chem., 2006, 96, 477-484.10.1016/j.foodchem.2005.03.002Search in Google Scholar
[8] Wikiera A., Mika M., Starzyńska-Janiszewska A., Stodolak B., Development of complete hydrolysis of pectins from apple pomace. Food Chem., 2015, 172, 675-680.10.1016/j.foodchem.2014.09.132Search in Google Scholar PubMed
[9] Pavlovic I., Knez Ž., Skerget M.J., Hydrothermal reactions of agricultural and food processing wastes in sub- and supercritical water: a review of fundamentals, mechanisms, and state of research. Agr. Food Chem., 2013, 61, 8003-8025.10.1021/jf401008aSearch in Google Scholar PubMed
[10] Knez Ž., Hrnčič M., Čolnik M., Škerget M., Chemicals and value added compounds from biomass using sub-and supercritical water. J. Supercrit. Fluid., 2018, 133, 591-602.10.1016/j.supflu.2017.08.011Search in Google Scholar
[11] Lachos-Perez D., Brown A.B., Mudhoo A., Martinez J., Timko M.T., Rostagno M.A., et al., Applications of subcritical and supercritical water conditions for extraction, hydrolysis, gasification, and carbonization of biomass: a critical review. Biofuel Res. J., 2017, 14, 611-626.10.18331/BRJ2017.4.2.6Search in Google Scholar
[12] Kruse A., Dinjus E., Hot compressed water as reaction medium and reactant. Properties and synthesis reactions. J. Supercrit. Fluid., 2007, 39, 362-380.10.1016/j.supflu.2006.03.016Search in Google Scholar
[13] Yu Y., Lou X., Wu H., Some recent advances in hydrolysis of biomass in hot-compressed water and its comparisons with other hydrolysis methods. Energ. Fuel, 2008, 22, 46-60.10.1021/ef700292pSearch in Google Scholar
[14] Ruiz H.A., Rodríguez-Jasso R.M., Fernandes B.D., Vecente A.A., Teixeira J.A., Hydrothermal processing, as an alternative for upgrading agriculture residues and marine biomass according to the biorefinery concept: a review. Renew. Sust. Energ. Rev., 2013, 21, 35-51.10.1016/j.rser.2012.11.069Search in Google Scholar
[15] Kumar M., Oyedun A.O., Kumar A., A review on the current status of various hydrothermal technologies on biomass feedstock. Sust. Energ. Rev., 2018, 81, 1742-1770.10.1016/j.rser.2017.05.270Search in Google Scholar
[16] Cansell F., Rey S., Beslin P., Thermodynamic aspects of supercritical fluids processing: application to polymers and wastes treatment. Rev. I. Fr. Petrol., 1998, 53, 71-98.10.2516/ogst:1998010Search in Google Scholar
[17] Akiya N., Savage P.E., Roles of water for chemical reactions in high-temperature water. Chem. Rev., 2002, 102, 2725-2750.10.1021/cr000668wSearch in Google Scholar PubMed
[18] Tejada-Ortigoza V., Garcia-Amezquita L.E., Serna-Saldívar S.O., Welti-Chanes J., Advances in the functional characterization and extraction processes of dietary fiber. Food Eng. Rev., 2016, 8, 251-271.10.1007/s12393-015-9134-ySearch in Google Scholar
[19] Renard C.M.G.C., Crėpeau M.-J., Thibault J.-F., Glucuronic acid directly linked to galacturonic acid in the rhamnogalacturonan backbone of beet pectins. Eur. J. Biochem., 1999, 266, 566-574.10.1046/j.1432-1327.1999.00896.xSearch in Google Scholar PubMed
[20] Chan S.Y., Choo W.S., Young D.J., Loh X.J., Pectin as a rheology modifier: origin, structure, commercial production and rheology. Carbohyd. Polym., 2017, 161, 118-139.10.1016/j.carbpol.2016.12.033Search in Google Scholar PubMed
[21] Dranca F., Oroian M., Extraction, purification and characterization of pectin from alternative sources with potential technological applications. Food Res. Int., 2018, 113, 327-350.10.1016/j.foodres.2018.06.065Search in Google Scholar PubMed
[22] Pińkowska H., Wolak P., Oliveros E., Hydrothermolysis of rapeseed cake in subcritical water. Effect on reaction temperature and holding time on product composition. Biomass Bioenerg., 2014, 64, 50-61.10.1016/j.biombioe.2014.03.028Search in Google Scholar
[23] Chen H.M., Fu X., Abbasi A.M., Luo Z.G., Preparation of environment-friendly pectin from sugar beet pulp and assessment of its emulsifying capacity. Int. H. Food Sci. Tech., 2015, 50, 1324-1330.10.1111/ijfs.12779Search in Google Scholar
[24] Guo X., Meng H., Zhu S., Tang Q., Pan R., Yu S., Stepwise ethanolic precipitation of sugar beet pectin from the acidic extract. Carbohyd. Polym., 2016, 136, 316-321.10.1016/j.carbpol.2015.09.003Search in Google Scholar
[25] Pińkowska H., Krzywonos M., Wolak P., Złocińska A., Pectin and neutral monosaccharides production during the simultaneous hydrothermal extraction of waste biomass from refining of sugar - optimization with the use of Doehlert Design. Molecules, 2019, 24, 472, DOI:10.3390/molecules24030472.10.3390/molecules24030472Search in Google Scholar
[26] Undersander D., Mertens D.R., Thiex N., Forage Analyses Procedures. The National Forage Testing Association, Omaha, 1993.Search in Google Scholar
[27] Sluiter A., Hames B., Ruiz R., Scarlata C., Sluiter J., Templeton D., Determination of Ash in Biomass. Report No. TP-510-426222005, National Renewable Energy Laboratory, Golden, 2005.Search in Google Scholar
[28] Van Soest P.J., Robertson J.B., Lewis B.A., Methods for dietary fiber, neutral detergent fiber, and nonstarch polysaccharides in relation to animal nutrition. J. Dairy Sci., 1991, 74, 3583-3597.10.3168/jds.S0022-0302(91)78551-2Search in Google Scholar
[29] Carrier M., Loppinet-Serani A., Denux D., Lasnier J.M., Ham-Pichavant F., Cansell F., et al., Thermogravometric analysis as a new method to determine the lignocellulosic composition of biomass. Biomass Bioenerg., 2011, 35, 298-307.10.1016/j.biombioe.2010.08.067Search in Google Scholar
[30] Voragen A.G.J., Schols H.A., Pilnik W., Determination of the degree of methylation and acetylation of pectin by HPLC. Food Hydrocolloids, 1986, 1, 65-70.10.1016/S0268-005X(86)80008-XSearch in Google Scholar
[31] European Union, Commission Regulation No 152/2009, Off. J. Eur. Union L54, 2009.Search in Google Scholar
[32] Atkinson A.C., Donev A.N., Optimum Experimental Design. University Press, Oxford, 1992.Search in Google Scholar
[33] Ferreira S.L.C., Dos Santos W.N.L., Quitella C.M., Neto B.B., Bosque-Sendra J.M., Doehlert matrix: a chemometric tool for analytical chemistry – a review. Talanta, 2004, 63, 1061-1067.10.1016/j.talanta.2004.01.015Search in Google Scholar PubMed
[34] Pińkowska H., Wolak P., Oliveros E., Production of xylose and glucose from rapeseed straw in subcritical water – Use of Doehlert design for optimizing the reaction conditions. Biomass Bioenerg., 2013, 58, 188-197.10.1016/j.biombioe.2013.09.005Search in Google Scholar
[35] Klinchongkon K., Khuwijitsaru P., Wiboonsirkul J., Adachi S.J., Extraction of oligosaccharides from passion fruit peel by subcritical water treatment. Food Process Eng., 2017, 40, 1-8.10.1111/jfpe.12269Search in Google Scholar
[36] Möller M., Nilges P., Harnisch F., Schröder U., Subcritical water as reaction environment: fundamentals of hydrothermal biomass transformation. ChemSusChem., 2011, 4, 566-579.10.1002/cssc.201000341Search in Google Scholar PubMed
[37] Mohamad R., Aki T., Nakashimada Y., Okamura Y., Tajima T., Matsumura Y.J., Decomposition kinetics of uronic acids obtained from kelp under hydrothermal condition. Energy Inst., 2017, 90, 185-190.10.1016/j.joei.2016.02.005Search in Google Scholar
[38] Wang R., Kobayashi T., Adachi S., Degradation kinetics of D-galacturonic acid and sodium D-galacturonate in subcritical water. J. Appl. Glycosci., 2009, 56, 181-184.10.5458/jag.56.181Search in Google Scholar
[39] Wang R., Neoh T.L., Kobayashi T., Adachi S., Antioxidative capacity of the degradation products of glucuronic and galacturonic acid from subcritical water treatment. Chem. Eng. Technol., 2011, 34, 1514-1520.10.1002/ceat.201000533Search in Google Scholar
[40] Wang R., Neoh T.L., Kobayashi T., Miyake Y., Hosoda A., Taniguchi H., et al., Degradation kinectics of glucuronic acid in subcritical water. Biosci. Biotechnol. Biochem., 2010, 74, 601-605.10.1271/bbb.90818Search in Google Scholar PubMed
[41] Bornik M.A., Kroh L.W., D-galacturonic acid as a highly reactive compound in nonenzymatic browning. 1. Formation of browning active degradation products. J. Agr. Food Chem., 2013, 61, 3494-3500.10.1021/jf303855sSearch in Google Scholar PubMed
[42] Wegener S., Bornik M.A., Kroh L.W., D-galacturonic acid: a highly reactive compound in nonenzymatic browning. 2. Formation of amino-specific degradation products. J. Agr. Food Chem., 2015, 63, 6457-6465.10.1021/acs.jafc.5b01121Search in Google Scholar PubMed
[43] Leh D.S., Biz A., De Paula D.H.F., Richard P., Gonçalves A.G., Noseda M.D., et al., Conversion of citric pectin into D-galacturonic acid with high substrate loading using a fermented solid with pectinolytic activity. Biocatal. Agric. Biotechnol., 2017, 11, 214-219.10.1016/j.bcab.2017.07.003Search in Google Scholar
[44] Oliver-Tomas B., Renz M., Corma A., Ketone formation from carboxylic acids by ketonic decarboxylation: the exceptional case of the tertiary carboxylic acids. Chem. Eur. J., 2017, 23, 12900-12908.10.1002/chem.201702680Search in Google Scholar PubMed
© 2019 Pińkowska et al., published by De Gruyter
This work is licensed under the Creative Commons Attribution 4.0 Public License.
Articles in the same Issue
- Regular Articles
- Studies on the preparation and properties of biodegradable polyester from soybean oil
- Flow-mode biodiesel production from palm oil using a pressurized microwave reactor
- Reduction of free fatty acids in waste oil for biodiesel production by glycerolysis: investigation and optimization of process parameters
- Saccharin: a cheap and mild acidic agent for the synthesis of azo dyes via telescoped dediazotization
- Optimization of lipase-catalyzed synthesis of polyethylene glycol stearate in a solvent-free system
- Green synthesis of iron oxide nanoparticles using Platanus orientalis leaf extract for antifungal activity
- Ultrasound assisted chemical activation of peanut husk for copper removal
- Room temperature silanization of Fe3O4 for the preparation of phenyl functionalized magnetic adsorbent for dispersive solid phase extraction for the extraction of phthalates in water
- Evaluation of the saponin green extraction from Ziziphus spina-christi leaves using hydrothermal, microwave and Bain-Marie water bath heating methods
- Oxidation of dibenzothiophene using the heterogeneous catalyst of tungsten-based carbon nanotubes
- Calcined sodium silicate as an efficient and benign heterogeneous catalyst for the transesterification of natural lecithin to L-α-glycerophosphocholine
- Synergistic effect between CO2 and H2O2 on ethylbenzene oxidation catalyzed by carbon supported heteropolyanion catalysts
- Hydrocyanation of 2-arylmethyleneindan-1,3-diones using potassium hexacyanoferrate(II) as a nontoxic cyanating agent
- Green synthesis of hydratropic aldehyde from α-methylstyrene catalyzed by Al2O3-supported metal phthalocyanines
- Environmentally benign chemical recycling of polycarbonate wastes: comparison of micro- and nano-TiO2 solid support efficiencies
- Medicago polymorpha-mediated antibacterial silver nanoparticles in the reduction of methyl orange
- Production of value-added chemicals from esterification of waste glycerol over MCM-41 supported catalysts
- Green synthesis of zerovalent copper nanoparticles for efficient reduction of toxic azo dyes congo red and methyl orange
- Optimization of the biological synthesis of silver nanoparticles using Penicillium oxalicum GRS-1 and their antimicrobial effects against common food-borne pathogens
- Optimization of submerged fermentation conditions to overproduce bioethanol using two industrial and traditional Saccharomyces cerevisiae strains
- Extraction of In3+ and Fe3+ from sulfate solutions by using a 3D-printed “Y”-shaped microreactor
- Foliar-mediated Ag:ZnO nanophotocatalysts: green synthesis, characterization, pollutants degradation, and in vitro biocidal activity
- Green cyclic acetals production by glycerol etherification reaction with benzaldehyde using cationic acidic resin
- Biosynthesis, characterization and antimicrobial activities assessment of fabricated selenium nanoparticles using Pelargonium zonale leaf extract
- Synthesis of high surface area magnesia by using walnut shell as a template
- Controllable biosynthesis of silver nanoparticles using actinobacterial strains
- Green vegetation: a promising source of color dyes
- Mechano-chemical synthesis of ammonia and acetic acid from inorganic materials in water
- Green synthesis and structural characterization of novel N1-substituted 3,4-dihydropyrimidin-2(1H)-ones
- Biodiesel production from cotton oil using heterogeneous CaO catalysts from eggshells prepared at different calcination temperatures
- Regeneration of spent mercury catalyst for the treatment of dye wastewater by the microwave and ultrasonic spray-assisted method
- Green synthesis of the innovative super paramagnetic nanoparticles from the leaves extract of Fraxinus chinensis Roxb and their application for the decolourisation of toxic dyes
- Biogenic ZnO nanoparticles: a study of blueshift of optical band gap and photocatalytic degradation of reactive yellow 186 dye under direct sunlight
- Leached compounds from the extracts of pomegranate peel, green coconut shell, and karuvelam wood for the removal of hexavalent chromium
- Enhancement of molecular weight reduction of natural rubber in triphasic CO2/toluene/H2O systems with hydrogen peroxide for preparation of biobased polyurethanes
- An efficient green synthesis of novel 1H-imidazo[1,2-a]imidazole-3-amine and imidazo[2,1-c][1,2,4]triazole-5-amine derivatives via Strecker reaction under controlled microwave heating
- Evaluation of three different green fabrication methods for the synthesis of crystalline ZnO nanoparticles using Pelargonium zonale leaf extract
- A highly efficient and multifunctional biomass supporting Ag, Ni, and Cu nanoparticles through wetness impregnation for environmental remediation
- Simple one-pot green method for large-scale production of mesalamine, an anti-inflammatory agent
- Relationships between step and cumulative PMI and E-factors: implications on estimating material efficiency with respect to charting synthesis optimization strategies
- A comparative sorption study of Cr3+ and Cr6+ using mango peels: kinetic, equilibrium and thermodynamic
- Effects of acid hydrolysis waste liquid recycle on preparation of microcrystalline cellulose
- Use of deep eutectic solvents as catalyst: A mini-review
- Microwave-assisted synthesis of pyrrolidinone derivatives using 1,1’-butylenebis(3-sulfo-3H-imidazol-1-ium) chloride in ethylene glycol
- Green and eco-friendly synthesis of Co3O4 and Ag-Co3O4: Characterization and photo-catalytic activity
- Adsorption optimized of the coal-based material and application for cyanide wastewater treatment
- Aloe vera leaf extract mediated green synthesis of selenium nanoparticles and assessment of their In vitro antimicrobial activity against spoilage fungi and pathogenic bacteria strains
- Waste phenolic resin derived activated carbon by microwave-assisted KOH activation and application to dye wastewater treatment
- Direct ethanol production from cellulose by consortium of Trichoderma reesei and Candida molischiana
- Agricultural waste biomass-assisted nanostructures: Synthesis and application
- Biodiesel production from rubber seed oil using calcium oxide derived from eggshell as catalyst – optimization and modeling studies
- Study of fabrication of fully aqueous solution processed SnS quantum dot-sensitized solar cell
- Assessment of aqueous extract of Gypsophila aretioides for inhibitory effects on calcium carbonate formation
- An environmentally friendly acylation reaction of 2-methylnaphthalene in solvent-free condition in a micro-channel reactor
- Aegle marmelos phytochemical stabilized synthesis and characterization of ZnO nanoparticles and their role against agriculture and food pathogen
- A reactive coupling process for co-production of solketal and biodiesel
- Optimization of the asymmetric synthesis of (S)-1-phenylethanol using Ispir bean as whole-cell biocatalyst
- Synthesis of pyrazolopyridine and pyrazoloquinoline derivatives by one-pot, three-component reactions of arylglyoxals, 3-methyl-1-aryl-1H-pyrazol-5-amines and cyclic 1,3-dicarbonyl compounds in the presence of tetrapropylammonium bromide
- Preconcentration of morphine in urine sample using a green and solvent-free microextraction method
- Extraction of glycyrrhizic acid by aqueous two-phase system formed by PEG and two environmentally friendly organic acid salts - sodium citrate and sodium tartrate
- Green synthesis of copper oxide nanoparticles using Juglans regia leaf extract and assessment of their physico-chemical and biological properties
- Deep eutectic solvents (DESs) as powerful and recyclable catalysts and solvents for the synthesis of 3,4-dihydropyrimidin-2(1H)-ones/thiones
- Biosynthesis, characterization and anti-microbial activity of silver nanoparticle based gel hand wash
- Efficient and selective microwave-assisted O-methylation of phenolic compounds using tetramethylammonium hydroxide (TMAH)
- Anticoagulant, thrombolytic and antibacterial activities of Euphorbia acruensis latex-mediated bioengineered silver nanoparticles
- Volcanic ash as reusable catalyst in the green synthesis of 3H-1,5-benzodiazepines
- Green synthesis, anionic polymerization of 1,4-bis(methacryloyl)piperazine using Algerian clay as catalyst
- Selenium supplementation during fermentation with sugar beet molasses and Saccharomyces cerevisiae to increase bioethanol production
- Biosynthetic potential assessment of four food pathogenic bacteria in hydrothermally silver nanoparticles fabrication
- Investigating the effectiveness of classical and eco-friendly approaches for synthesis of dialdehydes from organic dihalides
- Pyrolysis of palm oil using zeolite catalyst and characterization of the boil-oil
- Azadirachta indica leaves extract assisted green synthesis of Ag-TiO2 for degradation of Methylene blue and Rhodamine B dyes in aqueous medium
- Synthesis of vitamin E succinate catalyzed by nano-SiO2 immobilized DMAP derivative in mixed solvent system
- Extraction of phytosterols from melon (Cucumis melo) seeds by supercritical CO2 as a clean technology
- Production of uronic acids by hydrothermolysis of pectin as a model substance for plant biomass waste
- Biofabrication of highly pure copper oxide nanoparticles using wheat seed extract and their catalytic activity: A mechanistic approach
- Intelligent modeling and optimization of emulsion aggregation method for producing green printing ink
- Improved removal of methylene blue on modified hierarchical zeolite Y: Achieved by a “destructive-constructive” method
- Two different facile and efficient approaches for the synthesis of various N-arylacetamides via N-acetylation of arylamines and straightforward one-pot reductive acetylation of nitroarenes promoted by recyclable CuFe2O4 nanoparticles in water
- Optimization of acid catalyzed esterification and mixed metal oxide catalyzed transesterification for biodiesel production from Moringa oleifera oil
- Kinetics and the fluidity of the stearic acid esters with different carbon backbones
- Aiming for a standardized protocol for preparing a process green synthesis report and for ranking multiple synthesis plans to a common target product
- Microstructure and luminescence of VO2 (B) nanoparticle synthesis by hydrothermal method
- Optimization of uranium removal from uranium plant wastewater by response surface methodology (RSM)
- Microwave drying of nickel-containing residue: dielectric properties, kinetics, and energy aspects
- Simple and convenient two step synthesis of 5-bromo-2,3-dimethoxy-6-methyl-1,4-benzoquinone
- Biodiesel production from waste cooking oil
- The effect of activation temperature on structure and properties of blue coke-based activated carbon by CO2 activation
- Optimization of reaction parameters for the green synthesis of zero valent iron nanoparticles using pine tree needles
- Microwave-assisted protocol for squalene isolation and conversion from oil-deodoriser distillates
- Denitrification performance of rare earth tailings-based catalysts
- Facile synthesis of silver nanoparticles using Averrhoa bilimbi L and Plum extracts and investigation on the synergistic bioactivity using in vitro models
- Green production of AgNPs and their phytostimulatory impact
- Photocatalytic activity of Ag/Ni bi-metallic nanoparticles on textile dye removal
- Topical Issue: Green Process Engineering / Guest Editors: Martine Poux, Patrick Cognet
- Modelling and optimisation of oxidative desulphurisation of tyre-derived oil via central composite design approach
- CO2 sequestration by carbonation of olivine: a new process for optimal separation of the solids produced
- Organic carbonates synthesis improved by pervaporation for CO2 utilisation
- Production of starch nanoparticles through solvent-antisolvent precipitation in a spinning disc reactor
- A kinetic study of Zn halide/TBAB-catalysed fixation of CO2 with styrene oxide in propylene carbonate
- Topical on Green Process Engineering
Articles in the same Issue
- Regular Articles
- Studies on the preparation and properties of biodegradable polyester from soybean oil
- Flow-mode biodiesel production from palm oil using a pressurized microwave reactor
- Reduction of free fatty acids in waste oil for biodiesel production by glycerolysis: investigation and optimization of process parameters
- Saccharin: a cheap and mild acidic agent for the synthesis of azo dyes via telescoped dediazotization
- Optimization of lipase-catalyzed synthesis of polyethylene glycol stearate in a solvent-free system
- Green synthesis of iron oxide nanoparticles using Platanus orientalis leaf extract for antifungal activity
- Ultrasound assisted chemical activation of peanut husk for copper removal
- Room temperature silanization of Fe3O4 for the preparation of phenyl functionalized magnetic adsorbent for dispersive solid phase extraction for the extraction of phthalates in water
- Evaluation of the saponin green extraction from Ziziphus spina-christi leaves using hydrothermal, microwave and Bain-Marie water bath heating methods
- Oxidation of dibenzothiophene using the heterogeneous catalyst of tungsten-based carbon nanotubes
- Calcined sodium silicate as an efficient and benign heterogeneous catalyst for the transesterification of natural lecithin to L-α-glycerophosphocholine
- Synergistic effect between CO2 and H2O2 on ethylbenzene oxidation catalyzed by carbon supported heteropolyanion catalysts
- Hydrocyanation of 2-arylmethyleneindan-1,3-diones using potassium hexacyanoferrate(II) as a nontoxic cyanating agent
- Green synthesis of hydratropic aldehyde from α-methylstyrene catalyzed by Al2O3-supported metal phthalocyanines
- Environmentally benign chemical recycling of polycarbonate wastes: comparison of micro- and nano-TiO2 solid support efficiencies
- Medicago polymorpha-mediated antibacterial silver nanoparticles in the reduction of methyl orange
- Production of value-added chemicals from esterification of waste glycerol over MCM-41 supported catalysts
- Green synthesis of zerovalent copper nanoparticles for efficient reduction of toxic azo dyes congo red and methyl orange
- Optimization of the biological synthesis of silver nanoparticles using Penicillium oxalicum GRS-1 and their antimicrobial effects against common food-borne pathogens
- Optimization of submerged fermentation conditions to overproduce bioethanol using two industrial and traditional Saccharomyces cerevisiae strains
- Extraction of In3+ and Fe3+ from sulfate solutions by using a 3D-printed “Y”-shaped microreactor
- Foliar-mediated Ag:ZnO nanophotocatalysts: green synthesis, characterization, pollutants degradation, and in vitro biocidal activity
- Green cyclic acetals production by glycerol etherification reaction with benzaldehyde using cationic acidic resin
- Biosynthesis, characterization and antimicrobial activities assessment of fabricated selenium nanoparticles using Pelargonium zonale leaf extract
- Synthesis of high surface area magnesia by using walnut shell as a template
- Controllable biosynthesis of silver nanoparticles using actinobacterial strains
- Green vegetation: a promising source of color dyes
- Mechano-chemical synthesis of ammonia and acetic acid from inorganic materials in water
- Green synthesis and structural characterization of novel N1-substituted 3,4-dihydropyrimidin-2(1H)-ones
- Biodiesel production from cotton oil using heterogeneous CaO catalysts from eggshells prepared at different calcination temperatures
- Regeneration of spent mercury catalyst for the treatment of dye wastewater by the microwave and ultrasonic spray-assisted method
- Green synthesis of the innovative super paramagnetic nanoparticles from the leaves extract of Fraxinus chinensis Roxb and their application for the decolourisation of toxic dyes
- Biogenic ZnO nanoparticles: a study of blueshift of optical band gap and photocatalytic degradation of reactive yellow 186 dye under direct sunlight
- Leached compounds from the extracts of pomegranate peel, green coconut shell, and karuvelam wood for the removal of hexavalent chromium
- Enhancement of molecular weight reduction of natural rubber in triphasic CO2/toluene/H2O systems with hydrogen peroxide for preparation of biobased polyurethanes
- An efficient green synthesis of novel 1H-imidazo[1,2-a]imidazole-3-amine and imidazo[2,1-c][1,2,4]triazole-5-amine derivatives via Strecker reaction under controlled microwave heating
- Evaluation of three different green fabrication methods for the synthesis of crystalline ZnO nanoparticles using Pelargonium zonale leaf extract
- A highly efficient and multifunctional biomass supporting Ag, Ni, and Cu nanoparticles through wetness impregnation for environmental remediation
- Simple one-pot green method for large-scale production of mesalamine, an anti-inflammatory agent
- Relationships between step and cumulative PMI and E-factors: implications on estimating material efficiency with respect to charting synthesis optimization strategies
- A comparative sorption study of Cr3+ and Cr6+ using mango peels: kinetic, equilibrium and thermodynamic
- Effects of acid hydrolysis waste liquid recycle on preparation of microcrystalline cellulose
- Use of deep eutectic solvents as catalyst: A mini-review
- Microwave-assisted synthesis of pyrrolidinone derivatives using 1,1’-butylenebis(3-sulfo-3H-imidazol-1-ium) chloride in ethylene glycol
- Green and eco-friendly synthesis of Co3O4 and Ag-Co3O4: Characterization and photo-catalytic activity
- Adsorption optimized of the coal-based material and application for cyanide wastewater treatment
- Aloe vera leaf extract mediated green synthesis of selenium nanoparticles and assessment of their In vitro antimicrobial activity against spoilage fungi and pathogenic bacteria strains
- Waste phenolic resin derived activated carbon by microwave-assisted KOH activation and application to dye wastewater treatment
- Direct ethanol production from cellulose by consortium of Trichoderma reesei and Candida molischiana
- Agricultural waste biomass-assisted nanostructures: Synthesis and application
- Biodiesel production from rubber seed oil using calcium oxide derived from eggshell as catalyst – optimization and modeling studies
- Study of fabrication of fully aqueous solution processed SnS quantum dot-sensitized solar cell
- Assessment of aqueous extract of Gypsophila aretioides for inhibitory effects on calcium carbonate formation
- An environmentally friendly acylation reaction of 2-methylnaphthalene in solvent-free condition in a micro-channel reactor
- Aegle marmelos phytochemical stabilized synthesis and characterization of ZnO nanoparticles and their role against agriculture and food pathogen
- A reactive coupling process for co-production of solketal and biodiesel
- Optimization of the asymmetric synthesis of (S)-1-phenylethanol using Ispir bean as whole-cell biocatalyst
- Synthesis of pyrazolopyridine and pyrazoloquinoline derivatives by one-pot, three-component reactions of arylglyoxals, 3-methyl-1-aryl-1H-pyrazol-5-amines and cyclic 1,3-dicarbonyl compounds in the presence of tetrapropylammonium bromide
- Preconcentration of morphine in urine sample using a green and solvent-free microextraction method
- Extraction of glycyrrhizic acid by aqueous two-phase system formed by PEG and two environmentally friendly organic acid salts - sodium citrate and sodium tartrate
- Green synthesis of copper oxide nanoparticles using Juglans regia leaf extract and assessment of their physico-chemical and biological properties
- Deep eutectic solvents (DESs) as powerful and recyclable catalysts and solvents for the synthesis of 3,4-dihydropyrimidin-2(1H)-ones/thiones
- Biosynthesis, characterization and anti-microbial activity of silver nanoparticle based gel hand wash
- Efficient and selective microwave-assisted O-methylation of phenolic compounds using tetramethylammonium hydroxide (TMAH)
- Anticoagulant, thrombolytic and antibacterial activities of Euphorbia acruensis latex-mediated bioengineered silver nanoparticles
- Volcanic ash as reusable catalyst in the green synthesis of 3H-1,5-benzodiazepines
- Green synthesis, anionic polymerization of 1,4-bis(methacryloyl)piperazine using Algerian clay as catalyst
- Selenium supplementation during fermentation with sugar beet molasses and Saccharomyces cerevisiae to increase bioethanol production
- Biosynthetic potential assessment of four food pathogenic bacteria in hydrothermally silver nanoparticles fabrication
- Investigating the effectiveness of classical and eco-friendly approaches for synthesis of dialdehydes from organic dihalides
- Pyrolysis of palm oil using zeolite catalyst and characterization of the boil-oil
- Azadirachta indica leaves extract assisted green synthesis of Ag-TiO2 for degradation of Methylene blue and Rhodamine B dyes in aqueous medium
- Synthesis of vitamin E succinate catalyzed by nano-SiO2 immobilized DMAP derivative in mixed solvent system
- Extraction of phytosterols from melon (Cucumis melo) seeds by supercritical CO2 as a clean technology
- Production of uronic acids by hydrothermolysis of pectin as a model substance for plant biomass waste
- Biofabrication of highly pure copper oxide nanoparticles using wheat seed extract and their catalytic activity: A mechanistic approach
- Intelligent modeling and optimization of emulsion aggregation method for producing green printing ink
- Improved removal of methylene blue on modified hierarchical zeolite Y: Achieved by a “destructive-constructive” method
- Two different facile and efficient approaches for the synthesis of various N-arylacetamides via N-acetylation of arylamines and straightforward one-pot reductive acetylation of nitroarenes promoted by recyclable CuFe2O4 nanoparticles in water
- Optimization of acid catalyzed esterification and mixed metal oxide catalyzed transesterification for biodiesel production from Moringa oleifera oil
- Kinetics and the fluidity of the stearic acid esters with different carbon backbones
- Aiming for a standardized protocol for preparing a process green synthesis report and for ranking multiple synthesis plans to a common target product
- Microstructure and luminescence of VO2 (B) nanoparticle synthesis by hydrothermal method
- Optimization of uranium removal from uranium plant wastewater by response surface methodology (RSM)
- Microwave drying of nickel-containing residue: dielectric properties, kinetics, and energy aspects
- Simple and convenient two step synthesis of 5-bromo-2,3-dimethoxy-6-methyl-1,4-benzoquinone
- Biodiesel production from waste cooking oil
- The effect of activation temperature on structure and properties of blue coke-based activated carbon by CO2 activation
- Optimization of reaction parameters for the green synthesis of zero valent iron nanoparticles using pine tree needles
- Microwave-assisted protocol for squalene isolation and conversion from oil-deodoriser distillates
- Denitrification performance of rare earth tailings-based catalysts
- Facile synthesis of silver nanoparticles using Averrhoa bilimbi L and Plum extracts and investigation on the synergistic bioactivity using in vitro models
- Green production of AgNPs and their phytostimulatory impact
- Photocatalytic activity of Ag/Ni bi-metallic nanoparticles on textile dye removal
- Topical Issue: Green Process Engineering / Guest Editors: Martine Poux, Patrick Cognet
- Modelling and optimisation of oxidative desulphurisation of tyre-derived oil via central composite design approach
- CO2 sequestration by carbonation of olivine: a new process for optimal separation of the solids produced
- Organic carbonates synthesis improved by pervaporation for CO2 utilisation
- Production of starch nanoparticles through solvent-antisolvent precipitation in a spinning disc reactor
- A kinetic study of Zn halide/TBAB-catalysed fixation of CO2 with styrene oxide in propylene carbonate
- Topical on Green Process Engineering