Abstract
The hydrocyanation of 2-arylmethyleneindan-1,3-diones with potassium hexacyanoferrate(II) as a nontoxic cyanating agent to synthesize 2-(1,3-dioxoindan-2-yl)-2-arylacetonitriles in the presence of benzoyl chloride as a promoter and potassium carbonate as a base by a one-pot procedure is described. The use of nontoxic and inexpensive cyanide source, high yield and simple workup procedures are the advantages of this protocol.
1 Introduction
The conjugate addition of various cyanating agents as nucleophiles to Michael acceptors is an important method for the formation of C-CN bonds in organic synthesis [1], [2], [3], [4], [5]. The produced β-cyano ketones can be widely used in organic synthesis [6], [7], [8], and cyano unit can be readily converted into different groups including amides, amines, carboxylic acids, tetrazoles and amidines [9], [10]. However, the reported reactions generally use various strong toxic or unstable chemicals, such as HCN [11], LiCN [12], NaCN [13], KCN [14], [15], diethylaluminum cyanide [16], [17], trimethylsilyl cyanide [18], [19], [20], [21], [22], [23], [24], [25], [26], [27], [28], [29], [30], [31] and acetone cyanohydrin [32], [33], [34], as cyanating agents. Therefore, it is still necessary to explore a nontoxic cyanating agent for the cyanation reaction.
Potassium hexacyanoferrate(II), K4[Fe(CN)6], as a nontoxic and abundant inorganic chemical has been used in the food industry. Recently, it has been used as a nontoxic cyanating agent to synthesize benzonitriles [35], [36], [37], [38], [39], [40], [41], [42], [43], [44], [45], [46], [47], [48], [49], [50], [51], [52], [53], aroyl cyanides [54], sulfonyl cyanides [55], benzyl cyanides [56], [57] and cinnamonitriles [58] by substitution reactions. Our research work currently focused on the addition reactions for unsaturated substances using K4[Fe(CN)6] as a nontoxic cyanating agent [59], [60], [61], [62], [63], [64], [65], [66], [67], [68], [69], [70], [71], [72], [73], [74], [75].
Indan-1,3-dione scaffolds are essential in medicinal chemistry as they can be used as anticancer agents [76], and in material chemistry as they can be used as optoelectronic additives [77]. Therefore, the exploration for synthetic methods for diverse compounds bearing indan-1,3-dione moiety has potential benefits for the future.
In this work, we report the hydrocyanation of 2-arylmethyleneindan-1,3-diones using K4[Fe(CN)6] as a nontoxic cyanating agent to synthesize a series of β-cyano ketones bearing indan-1,3-dione moiety.
2 Materials and methods
1H nuclear magnetic resonance (NMR) and 13C NMR spectra were obtained with the Mercury-400 MB or Mercury-600 MB instrument using CDCl3 as solvent. Elemental analyses were conducted on a Vario El Elemental Analysis instrument. 2-Arylmethyleneindan-1,3-diones were synthesized using methods from the literature [78], [79].
2.1 The general procedure for the hydrocyanation of 2-arylmethyleneindan-1,3-diones
The mixture of potassium hexacyanoferrate(II) (0.2 mmol, 0.08 g) and benzoyl chloride (1.2 mmol, 0.17 g) was stirred at 160°C for 3 h. Then, the resulting mixture was cooled to room temperature, and 2-arylmethleneindan-1,3-dione (1 mmol, 1a: 0.26 g, 1b: 0.28 g, 1c: 0.28 g, 1d: 0.28 g, 1e: 0.29 g, 1f: 0.28 g, 1g: 0.28 g, 1h: 0.30 g, 1i: 0.34 g, 1j: 0.34 g, 1k: 0.34 g, 1l: 0.31 g, 1m: 0.33 g, 1n: 0.27 g, 1o: 0.25 g, 1p: 0.29 g, 1q: 0.23 g), potassium carbonate (0.2 mmol, 0.03 g) and water (2 mmol, 0.04 g) in 5 ml of DMF were added, and the system was stirred at room temperature for another 4 h. After the completion of the reaction, the solids were removed by filtration. The solution was evaporated under reduced pressure, and the residue was separated by column chromatography using ethyl acetate and petroleum ether (1:2) as eluent to obtain pure product. The analytical data for products are shown below and for the NMR spectra see Supplementary material.
2.1.1 2-(1,3-Dioxoindan-2-yl)-2-phenylacetonitrile (2a):
Yellow liquid; 1H NMR (600 MHz, CDCl3) δ 7.93–7.91 (m, 2H, ArH), 7.82–7.79 (m, 2H, ArH), 7.37–7.36 (d, J=6.9 Hz, 2H, ArH), 7.28–7.21 (m, 3H, ArH), 4.75–4.74 (d, J=3.2 Hz, 1H, CH), 3.61–3.60 (d, J=3.2 Hz, 1H, CH). 13C NMR (150 MHz, CDCl3) δ 195.37 (CO), 195.26 (CO), 136.24 (Ar), 136.15 (Ar), 128.94 (Ar), 128.72 (Ar), 128.50 (Ar), 123.57 (Ar), 123.54 (Ar), 118.03 (CN), 55.89 (CH), 34.06 (CH). Anal. Calcd. for C17H11NO2: C, 78.15; H, 4.24; N, 5.36. Found: C, 78.01; H, 4.26; N, 5.38.
2.1.2 2-(1,3-Dioxoindan-2-yl)-2-(o-tolyl)acetonitrile (2b):
Yellow liquid; 1H NMR (600 MHz, CDCl3) δ 8.06–8.02 (m, 1H, ArH), 7.98–7.97 (m, 1H, ArH), 7.90–7.86 (m, 2H, ArH), 7.68–7.67 (d, J=7.0 Hz, 1H, ArH), 7.26–7.22 (m, 2H, ArH), 7.18–7.17 (d, J=6.8 Hz, 1H, ArH), 4.89–4.88 (d, J=3.2 Hz, 1H, CH), 3.44–3.43 (d, J=3.2 Hz, 1H, CH), 2.43 (s, 3H, CH3). 13C NMR (150 MHz, CDCl3) δ 195.98 (CO), 195.17 (CO), 142.32 (Ar), 141.80 (Ar), 136.42 (Ar), 136.25 (Ar), 135.05 (Ar), 131.01 (Ar), 130.91 (Ar), 129.28 (Ar), 128.86 (Ar), 126.74 (Ar), 123.73 (Ar), 123.70 (Ar), 117.69 (CN), 54.72 (CH), 31.14 (CH), 19.11 (CH3). Anal. Calcd. for C18H13NO2: C, 78.53; H, 4.76; N, 5.09. Found: C, 78.64; H, 4.74; N, 5.06.
2.1.3 2-(1,3-Dioxoindan-2-yl)-2-(m-tolyl)acetonitrile (2c):
Yellow liquid; 1H NMR (600 MHz, CDCl3) δ 7.93–7.91 (m, 2H, ArH), 7.82–7.79 (m, 2H, ArH), 7.18 (s, 1H, ArH), 7.15–7.12 (m, 2H, ArH), 7.03–7.02 (d, J=4.1 Hz, 1H, ArH), 4.71–4.70 (d, J=3.3 Hz, 1H, CH), 3.59–3.57 (d, J=3.2 Hz, 1H, CH), 2.27 (s, 3H, CH3). 13C NMR (150 MHz, CDCl3) δ 195.39 (CO), 195.33 (CO), 142.22 (Ar), 142.06 (Ar), 138.80 (Ar), 136.19 (Ar), 136.13 (Ar), 131.30 (Ar), 129.45 (Ar), 129.10 (Ar), 128.78 (Ar), 125.49 (Ar), 123.54 (Ar), 123.51 (Ar), 118.10 (CN), 55.92 (CH), 34.01 (CH), 21.26 (CH3). Anal. Calcd. for C18H13NO2: C, 78.53; H, 4.76; N, 5.09. Found: C, 78.48; H, 4.75; N, 5.11.
2.1.4 2-(1,3-Dioxoindan-2-yl)-2-(p-tolyl)acetonitrile (2d):
Yellow liquid; 1H NMR (400 MHz, CDCl3) δ 7.97–7.90 (m, 2H, ArH), 7.84–7.79 (m, 2H, ArH), 7.25–7.23 (d, J=8.1 Hz, 2H, ArH), 7.07–7.04 (d, J=8.3 Hz, 2H, ArH), 4.73–4.72 (d, J=3.2 Hz, 1H, CH), 3.60–3.59 (d, J=3.2 Hz, 1H, CH), 2.24 (s, 3H, CH3). 13C NMR (150 MHz, CDCl3) δ 195.51 (CO), 195.41 (CO), 142.26 (Ar), 142.03 (Ar), 138.62 (Ar), 136.22 (Ar), 136.13 (Ar), 129.60 (Ar), 128.46 (Ar), 128.36 (Ar), 123.57 (Ar), 123.54 (Ar), 118.26 (CN), 55.95 (CH), 33.70 (CH), 20.99 (CH3). Anal. Calcd. for C18H13NO2: C, 78.53; H, 4.76; N, 5.09. Found: C, 78.53; H, 4.76; N, 5.09.
2.1.5 2-(1,3-Dioxoindan-2-yl)-2-(4-methoxyphenyl)acetonitrile (2e):
Yellow liquid; 1H NMR (600 MHz, CDCl3) δ 7.93–7.90 (m, 2H, ArH), 7.82–7.78 (m, 2H, ArH), 7.26–7.25 (d, J=7.6 Hz, 2H, ArH), 6.76–6.74 (d, J=7.5 Hz, 2H, ArH), 4.70–4.69 (d, J=3.3 Hz, 1H, CH), 3.71 (s, 3H, OCH3), 3.57–3.56 (d, J=3.2 Hz, 1H, CH). 13C NMR (150 MHz, CDCl3) δ 195.62 (CO), 195.47 (CO), 159.66 (Ar), 142.33 (Ar), 142.04 (Ar), 136.24 (Ar), 136.13 (Ar), 129.80 (Ar), 123.55 (Ar), 123.52 (Ar), 123.15 (Ar), 118.39 (CN), 114.25 (Ar), 56.00 (CH), 55.18 (OCH3), 33.32 (CH). Anal. Calcd. for C18H13NO3: C, 74.22; H, 4.50; N, 4.81. Found: C, 74.09; H, 4.52; N, 4.85.
2.1.6 2-(1,3-Dioxoindan-2-yl)-2-(4-hydroxyphenyl)acetonitrile (2f):
Yellow liquid; 1H NMR (600 MHz, CDCl3) δ 7.92–7.90 (m, 2H, ArH), 7.82–7.80 (m, 2H, ArH), 7.20–7.18 (dd, J=8.6, 2.2 Hz, 2H, ArH), 6.69–6.67 (dd, J=8.6, 2.1 Hz, 2H, ArH), 5.42 (s, 1H, OH), 4.68–4.67 (d, J=5.0 Hz, 1H, CH), 3.58–3.57 (d, J=5.0 Hz, 1H, CH). 13C NMR (150 MHz, CDCl3) δ 195.75 (CO), 195.63 (CO), 156.02 (Ar), 142.31 (Ar), 142.02 (Ar), 136.36 (Ar), 136.24 (Ar), 130.00 (Ar), 123.59 (Ar), 123.55 (Ar), 123.04 (Ar), 118.42 (CN), 115.83 (Ar), 55.97 (CH), 33.33 (CH). Anal. Calcd. for C17H11NO3: C, 73.64; H, 4.00; N, 5.05. Found: C, 73.71; H, 3.99; N, 5.03.
2.1.7 2-(1,3-Dioxoindan-2-yl)-2-(2-fluorophenyl)acetonitrile (2g):
Yellow liquid; 1H NMR (600 MHz, CDCl3) δ 8.03–8.01 (m, 1H, ArH), 7.99–7.95 (m, 1H, ArH), 7.89–7.86 (m, 2H, ArH), 7.70–7.67 (td, J=7.7, 1.6 Hz, 1H, ArH), 7.37–7.32 (m, 1H, ArH), 7.25–7.20 (t, J=7.6 Hz, 1H, ArH), 7.09–7.04 (m, 1H, ArH), 5.02–5.01 (d, J=3.7 Hz, 1H, CH), 3.58–3.57 (d, J=3.7 Hz, 1H, CH). 13C NMR (150 MHz, CDCl3) δ 195.24 (CO), 194.95 (CO), 160.29 (Ar), 158.64 (Ar), 142.00 (d, J=64.9 Hz, Ar), 136.40 (d, J=14.8 Hz, Ar), 133.69 (Ar), 130.81 (d, J=8.1 Hz, Ar), 130.63 (d, J=2.4 Hz, Ar), 130.15 (Ar), 128.46 (Ar), 124.71 (d, J=3.9 Hz, Ar), 123.72 (d, J=9.2 Hz, Ar), 119.48 (d, J=13.5 Hz, CN), 116.69 (Ar), 115.68 (d, J=20.8 Hz, Ar), 54.32 (CH), 28.45 (d, J=4.0 Hz, CH). Anal. Calcd. for C17H10FNO2: C, 73.11; H, 3.61; N, 6.80. Found: C, 73.03; H, 3.60; N, 6.84.
2.1.8 2-(4-Chlorophenyl)-2-(1,3-dioxoindan-2-yl)acetonitrile (2h):
Yellow liquid; 1H NMR (600 MHz, CDCl3) δ 7.93 (ddd, J=4.6, 3.1, 1.6 Hz, 2H, ArH), 7.85–7.82 (m, 2H, ArH), 7.33–7.29 (m, 2H, ArH), 7.26–7.22 (m, 2H, ArH), 4.73–4.72 (d, J=1.5 Hz, 1H, CH), 3.61–3.60 (dd, J=3.0, 1.5 Hz, 1H, CH). 13C NMR (150 MHz, CDCl3) δ 195.14 (CO), 194.95 (CO), 142.14 (Ar), 141.90 (Ar), 136.44 (Ar), 136.34 (Ar), 134.94 (Ar), 129.95 (Ar), 129.87 (Ar), 129.18 (Ar), 123.67 (Ar), 123.64 (Ar), 117.69 (CN), 55.81 (CH), 33.34 (CH). Anal. Calcd. for C17H10ClNO2: C, 69.05; H, 3.41; N, 4.74. Found: C, 69.11; H, 3.40; N, 4.72.
2.1.9 2-(2-Bromophenyl)-2-(1,3-dioxoindan-2-yl)acetonitrile (2i):
Yellow liquid; 1H NMR (600 MHz, CDCl3) δ 8.08–8.04 (m, 1H, ArH), 8.01–7.98 (m, 1H, ArH), 7.92–7.88 (m, 2H, ArH), 7.63–7.61 (d, J=7.9 Hz, 1H, ArH), 7.48–7.45 (q, J=7.4 Hz, 2H, ArH), 7.29–7.27 (t, J=7.7 Hz, 1H, ArH), 5.16–5.15 (d, J=3.0 Hz, 1H, CH), 3.68–3.67 (dd, J=3.4, 1.2 Hz, 1H, CH). 13C NMR (150 MHz, CDCl3) δ 195.25 (CO), 195.20 (CO), 142.38 (Ar), 141.59 (Ar), 136.47 (Ar), 136.33 (Ar), 133.20 (Ar), 131.66 (Ar), 131.36 (Ar), 130.48 (Ar), 127.98 (Ar), 123.82 (Ar), 123.70 (Ar), 122.68 (Ar), 116.70 (CN), 53.81 (CH), 34.80 (CH). Anal. Calcd. for C17H10BrNO2: C, 60.02; H, 2.96; N, 4.12. Found: C, 59.94; H, 2.98; N, 4.13.
2.1.10 2-(3-Bromophenyl)-2-(1,3-dioxoindan-2-yl)acetonitrile (2j):
Yellow liquid; 1H NMR (600 MHz, CDCl3) δ 7.97–7.93 (m, 2H, ArH), 7.86–7.82 (m, 2H, ArH), 7.54–7.53 (t, J=1.9 Hz, 1H, ArH), 7.39–7.38 (d, J=8.1 Hz, 1H, ArH), 7.35–7.34 (d, J=8.0 Hz, 1H, ArH), 7.17–7.14 (t, J=7.9 Hz, 1H, ArH), 4.71–4.70 (d, J=3.2 Hz, 1H, CH), 3.61–3.60 (d, J=3.2 Hz, 1H, CH). 13C NMR (150 MHz, CDCl3) δ 194.97 (CO), 194.87 (CO), 142.03 (Ar), 141.91 (Ar), 136.46 (Ar), 136.40 (Ar), 133.60 (Ar), 132.05 (Ar), 131.51 (Ar), 130.48 (Ar), 127.24 (Ar), 123.73 (Ar), 123.71 (Ar), 122.91 (Ar), 117.39 (CN), 55.79 (CH), 33.45 (CH). Anal. Calcd. for C17H10BrNO2: C, 60.02; H, 2.96; N, 4.12. Found: C, 60.08; H, 2.94; N, 4.15.
2.1.11 2-(4-Bromophenyl)-2-(1,3-dioxoindan-2-yl)acetonitrile (2k):
Yellow liquid; 1H NMR (600 MHz, CDCl3) δ 7.95–7.93 (m, 2H, ArH), 7.86–7.81 (m, 2H, ArH), 7.40–7.39 (d, J=7.1 Hz, 2H, ArH), 7.27–7.24 (m, 2H, ArH), 4.71–4.70 (d, J=2.8 Hz, 1H, CH), 3.62–3.61 (dd, J=3.3, 1.3 Hz, 1H, CH). 13C NMR (150 MHz, CDCl3) δ 195.15 (CO), 194.95 (CO), 142.12 (Ar), 141.87 (Ar), 136.48 (Ar), 136.38 (Ar), 132.15 (Ar), 130.25 (Ar), 130.17 (Ar), 128.46 (Ar), 123.71 (Ar), 123.66 (Ar), 117.65 (CN), 55.75 (CH), 33.39 (CH). Anal. Calcd. for C17H10BrNO2: C, 60.02; H, 2.96; N, 4.12. Found: C, 60.06; H, 2.96; N, 4.10.
2.1.12 2-(1,3-Dioxoindan-2-yl)-2-(3-nitrophenyl)acetonitrile (2l):
Yellow liquid; 1H NMR (600 MHz, CDCl3) δ 8.27–8.26 (t, J=2.1 Hz, 1H, ArH), 8.17–8.15 (dd, J=8.2, 2.2 Hz, 1H, ArH), 7.99–7.96 (m, 2H, ArH), 7.88–7.85 (m, 2H, ArH), 7.84–7.83 (d, J=7.8 Hz, 1H, ArH), 7.56–7.53 (t, J=8.0 Hz, 1H, ArH), 4.87–4.86 (d, J=3.3 Hz, 1H, CH), 3.68–3.67 (d, J=3.2 Hz, 1H, CH). 13C NMR (150 MHz, CDCl3) δ 194.63 (CO), 194.48 (CO), 146.86 (Ar), 141.87 (Ar), 141.82 (Ar), 136.66 (Ar), 136.63 (Ar), 134.64 (Ar), 130.18 (Ar), 128.79 (Ar), 123.90 (Ar), 123.87 (Ar), 123.86 (Ar), 123.58 (Ar), 116.81 (CN), 55.73 (CH), 33.51 (CH). Anal. Calcd. for C17H10N2O4: C, 66.67; H, 3.29; N, 9.15. Found: C, 66.75; H, 3.28; N, 9.11.
2.1.13 2-(1,3-Dioxoindan-2-yl)-2-(4-(trifluoromethyl)phenyl)acetonitrile (2m):
Yellow liquid; 1H NMR (400 MHz, CDCl3) δ 7.98–7.93 (m, 2H, ArH), 7.88–7.83 (m, 2H, ArH), 7.5–7.53 (d, J=1.7 Hz, 4H, ArH), 4.82–4.81 (d, J=3.2 Hz, 1H, CH), 3.67–3.66 (d, J=3.1 Hz, 1H, CH). 13C NMR (150 MHz, CDCl3) δ 194.90 (CO), 194.73 (CO), 141.99 (Ar), 141.82 (Ar), 136.55 (Ar), 136.48 (Ar), 129.09 (Ar), 125.99 (q, J=3.6 Hz, Ar), 123.77 (Ar), 123.73 (Ar), 117.33 (CN), 55.80 (CH), 33.61 (CH). Anal. Calcd. for C18H10F3NO2: C, 65.66; H, 3.06; N, 4.25. Found: C, 65.66; H, 3.06; N, 4.25.
2.1.14 2-(1,3-Dioxoindan-2-yl)-2-(thiophen-2-yl)acetonitrile (2n):
Yellow liquid; 1H NMR (600 MHz, CDCl3) δ 7.98–7.95 (m, 2H, ArH), 7.85–7.83 (dd, J=5.7, 3.0 Hz, 2H, ArH), 7.15–7.12 (m, 2H, ThH), 6.87–6.85 (dd, J=5.1, 3.6 Hz, 1H, ThH), 5.00–4.99 (d, J=3.2 Hz, 1H, CH), 3.63–3.62 (d, J=3.2 Hz, 1H, CH). 13C NMR (150 MHz, CDCl3) δ 195.03 (CO), 194.84 (CO), 142.35 (Ar), 142.05 (Ar), 136.35 (Ar), 136.25 (Ar), 132.17 (Th), 128.81 (Th), 127.10 (Th), 126.59 (Th), 123.68 (Ar), 123.66 (Ar), 117.29 (CN), 55.92 (CH), 29.25 (CH). Anal. Calcd. for C15H9NO2S: C, 67.40; H, 3.39; N, 5.24. Found: C, 67.34; H,3.40; N, 5.27.
2.1.15 2-(1,3-Dioxoindan-2-yl)-2-(furan-2-yl)acetonitrile (2o):
Yellow liquid; 1H NMR (600 MHz, CDCl3) δ 8.01–7.99 (m, 2H, ArH), 7.88–7.86 (dd, J=5.7, 3.0 Hz, 2H, ArH), 7.20–7.19 (d, J=1.8 Hz, 1H, FuH), 6.44–6.43 (d, J=4.2 Hz, 1H, FuH), 6.28–6.27 (dd, J=3.4, 1.9 Hz, 1H, FuH), 4.85–4.84 (d, J=3.4 Hz, 1H, CH), 3.65–3.64 (d, J=3.3 Hz, 1H, CH). 13C NMR (150 MHz, CDCl3) δ 194.72 (CO), 194.57 (CO), 143.26 (Fu), 142.01 (Ar), 141.89 (Ar), 136.27 (Ar), 136.25 (Ar), 130.11 (Ar), 128.44 (Ar), 123.70 (Fu), 115.82 (CN), 110.91 (Fu) 109.85 (Fu), 53.47 (CH), 28.19 (CH). Anal. Calcd. for C15H9NO3: C, 71.71; H, 3.61; N, 5.58. Found: C, 71.63; H, 3.63; N, 5.60.
2.1.16 (E)-2-(1,3-Dioxoindan-2-yl)-4-phenylbut-3-enenitrile (2p):
Yellow liquid; 1H NMR (600 MHz, CDCl3) δ 8.12–8.10 (m, 1H, ArH), 8.04–7.99 (m, 2H, ArH), 7.89–7.87 (m, 2H, ArH), 7.31–7.26 (m, 4H, ArH), 6.81–6.78 (dd, J=15.7, 1.1 Hz, 1H, =CH), 6.11–6.07 (dd, J=15.7, 7.4 Hz, 1H, =CH), 4.31–4.29 (ddd, J=7.4, 3.5, 1.2 Hz, 1H, CH), 3.48–3.47 (d, J=3.5 Hz, 1H, CH). 13C NMR (150 MHz, CDCl3) δ 195.48 (CO), 195.36 (CO), 142.25 (Ar), 142.12 (Ar), 136.49 (Ar), 136.43 (Ar), 136.36 (Ar), 135.02 (Ar), 133.70 (Ar), 130.16 (Ar), 128.65 (Ar), 128.63 (Ar), 128.46 (=CH), 126.79 (=CH), 123.76 (Ar), 123.71 (Ar), 118.15 (CN), 54.59 (CH), 31.73 (CH). Anal. Calcd. for C19H13NO2: C, 79.43; H, 4.56; N, 4.88. Found: C, 79.51; H, 4.53; N, 4.85.
2.1.17 2-(1,3-Dioxoindan-2-yl)-3-methylbutanenitrile (2q):
Yellow liquid; 1H NMR (600 MHz, CDCl3) δ 8.04–8.00 (m, 2H, ArH), 7.91–7.87 (m, 2H, ArH), 3.31–3.30 (d, J=3.8 Hz, 1H, CH), 3.07–3.04 (dd, J=9.3, 3.8 Hz, 1H, CH), 2.53–2.47 (m, 1H, CH), 1.21–1.19 (d, J=6.7 Hz, 3H, CH3), 1.08–1.07 (d, J=6.7 Hz, 3H, CH3). 13C NMR (150 MHz, CDCl3) δ 196.89 (CO), 196.19 (CO), 142.09 (Ar), 141.83 (Ar), 136.35 (Ar), 136.22 (Ar), 123.71 (Ar), 123.64 (Ar), 118.22 (CN), 51.77 (CH), 37.03 (CH), 28.49 (CH), 21.09 (CH3), 20.54 (CH3). Anal. Calcd. for C14H13NO2: C, 73.99; H, 5.77; N, 6.16. Found: C, 74.07; H, 5.75; N, 6.19.
3 Results and discussion
Initially, 2-benzylideneindan-1,3-dione (1a) was used as a substrate to examine hydrocyanation by using K4[Fe(CN)6] as a nontoxic cyanating agent. In our previous work on the hydrocyanation of α,β-unsaturated ketones, benzoyl chloride was used to promote the reaction through the formation of an intermediate, benzoyl cyanide [80]. In this reaction, benzoyl chloride was also used as a promoter. It was found that the hydrocyanation of 1a could take place in the presence of an appropriate base to give 2-(1,3-dioxoindan-2-yl)-2-phenylacetonitrile (2a). Meanwhile, for 1 equiv. of 1a, 0.2 equiv. of K4[Fe(CN)6] was required. That implied six CN− of K4[Fe(CN)6] could be fully used for this reaction.
In order to optimize the reaction conditions, we took the bases and solvents into consideration (Table 1). It was found that the reaction could not be conducted in the absence of a base (Table 1, entry 1). Inorganic bases, such as KOH, K2CO3, Cs2CO3 and NaHCO3, could be efficiently advantageous to the formation of product 2a (Table 1, entries 2–5), with K2CO3 affording the best yield (Table 1, entry 3). In contrast, organic bases, such as DBU, DABCO, Et3N and t-BuOK, exhibited a poor effect on the reaction, and only a mediate yield of 2a was afforded (Table 1, entries 6–9).
Condition optimization for reaction of 1a with K4[Fe(CN)6]a.
| Entry | Base | Solvent | Yield (%)b |
|---|---|---|---|
| 1 | – | DMF | 0 |
| 2 | KOH | DMF | 71 |
| 3 | K2CO3 | DMF | 87 |
| 4 | Cs2CO3 | DMF | 84 |
| 5 | NaHCO3 | DMF | 78 |
| 6 | DBU | DMF | 30 |
| 7 | DABCO | DMF | 47 |
| 8 | Et3N | DMF | 38 |
| 9 | t-BuOK | DMF | 57 |
| 10 | K2CO3 | CH2Cl2 | 0 |
| 11 | K2CO3 | PhMe | 0 |
| 12 | K2CO3 | 1,4-Dioxane | 0 |
| 13 | K2CO3 | DMSO | 70 |
| 14 | K2CO3 | EtOH | 47 |
| 15 | K2CO3 | MeCN | 23 |
aReaction conditions: K4[Fe(CN)6] (0.2 mmol) and benzoyl chloride (1.2 mmol) were stirred at 160oC for 3 h, then 1a (1 mmol), base (0.2 mmol) and H2O (2 mmol) in 5 ml of solvent were added, and the mixture was stirred at room temperature for 4 h. bIsolated yields.
The solvent also had a significant effect on the reaction. Reaction in CH2Cl2, PhMe and 1,4-dioxane could not give any product (Table 1, entries 10–12). In contrast, reaction in DMSO, EtOH and MeCN could produce the corresponding product in medium to high yield (Table 1, entries 13–15). However, DMF exhibited the best effect on the reaction, giving 2a in 87% of yield (Table 1, entry 3).
With the optimal conditions on hand, we turned our focus to unearth the generality of the method to access hydrocyanation of 2-arylmethyleneindan-1,3-diones with K4[Fe(CN)6] using benzoyl chloride as a promoter and potassium carbonate as a base in DMF, and the results are shown in Table 2. It was found that the reactions could tolerate a wide range of functional groups including electron-donating and electron-withdrawing groups on aromatic rings. 2-Arylmethyleneindan-1,3-diones bearing electron-donating groups (Me, MeO and OH) on aromatic rings afforded the corresponding products in higher yield (Table 2, 2b–2f). In contrast, 2-arylmethyleneindan-1,3-diones bearing electron-withdrawing groups (F, Cl, Br, NO2 and CF3) on aromatic rings afforded a slightly lower yield (Table 2, 2g–2m). Gratifyingly, substrates containing heteroaryl, such as thienyl and furyl, were also transformed into the desired products in high yield (Table 2, 2n, 2o). In addition, the substrates including conjugate diene bonds could regioselectively conduct 1,4-addition to give the corresponding product in good yield (Table 2, 2p). The reaction could also extend to the substrate bearing aliphatic moiety to give the corresponding product in good yield (Table 2, 2q).
The scope of 2-arylmethyleneindan-1,3-diones for the hydrocyanation.a
| Compound | R | Yield (%)b |
|---|---|---|
| 2a | C6H5 | 87 |
| 2b | 2-CH3C6H4 | 89 |
| 2c | 3-CH3C6H4 | 93 |
| 2d | 4-CH3C6H4 | 95 |
| 2e | 4-CH3OC6H4 | 86 |
| 2f | 4-OHC6H4 | 68 |
| 2g | 2-FC6H4 | 57 |
| 2h | 4-ClC6H4 | 73 |
| 2i | 2-BrC6H4 | 76 |
| 2j | 3-BrC6H4 | 84 |
| 2k | 4-BrC6H4 | 80 |
| 2l | 3-O2NC6H4 | 49 |
| 2m | 4-CF3C6H4 | 89 |
| 2n | ![]() | 76 |
| 2o | ![]() | 87 |
| 2p | ![]() | 61 |
| 2q | ![]() | 66 |
aReaction conditions: K4[Fe(CN)6] (0.2 mmol) and benzoyl chloride (1.2 mmol) were stirred at 160°C for 3 h, then substrate 1a–q (1 mmol), K2CO3 (0.2 mmol) and H2O (2 mmol) in 5 ml of DMF were added, and the mixture was stirred at room temperature for 4 h. bIsolated yields.
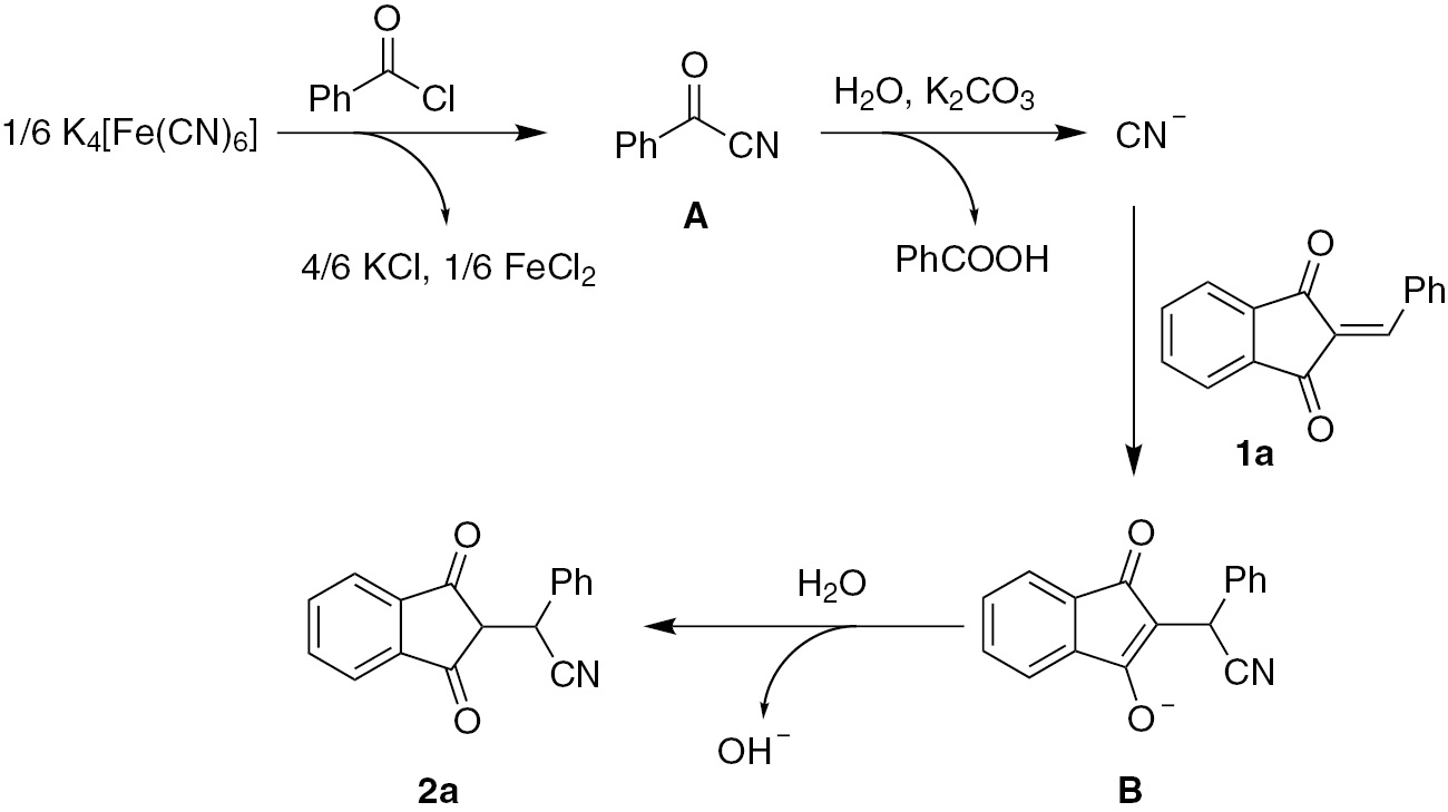
A plausible mechanism for the hydrocyanation of 1a using K4[Fe(CN) 6] as a nontoxic cyanating agent is shown in Scheme 1. First, K4[Fe(CN)6] reacts with benzoyl chloride to produce benzoyl cyanide (A) as an intermediate, which can be isolated and characterized [80]. Then, A is attacked by water under the condition of potassium carbonate as a base to afford cyanide ion in situ, which further reacts with 1a by Michael addition to form intermediate B. The protonation of B by water yields the final product 2a.
![Scheme 1: The mechanism for the hydrocyanation of 1a with K4[Fe(CN)6].](/document/doi/10.1515/gps-2018-0017/asset/graphic/j_gps-2018-0017_scheme_001.jpg)
The mechanism for the hydrocyanation of 1a with K4[Fe(CN)6].
4 Conclusions
In conclusion, an efficient method for the hydrocyanation of 2-arylmethyleneindan-1,3-diones using K4[Fe(CN)6] as a nontoxic cyanating agent by a one-pot procedure has been developed. The use of nontoxic and inexpensive cyanating agent, high yield and simple workup procedures are the features of this protocol. The products synthesized because of the inclusion of cyano groups, and indan-1,3-dione scaffolds will find potential applications in important organic synthesis and medicinal and material chemistry.
Acknowledgements
The authors thank the National Natural Science Foundation of China (21462038) for the financial support of this work.
References
[1] Sammis GM, Danjo H, Jacobsen EN. J. Am. Chem. Soc. 2004, 126, 9928–9929.10.1021/ja046653nSearch in Google Scholar
[2] Tanaka Y, Kanai M, Shibasaki M. J. Am. Chem. Soc. 2010, 132, 8862–8863.10.1021/ja1035286Search in Google Scholar
[3] Lin L, Yin W, Fu X, Zhang JL, Ma XJ, Wang R. Org. Biomol. Chem. 2012, 10, 83–89.10.1039/C1OB05899ASearch in Google Scholar
[4] Wang J, Liu XH, Feng XM. Chem. Rev. 2011, 111, 6947–6983.10.1021/cr200057tSearch in Google Scholar
[5] Xiong Y, Wen YH, Wang F, Gao B, Liu XH, Huang X, Feng XM. Adv. Synth. Catal. 2007, 349, 2156–2166.10.1002/adsc.200700184Search in Google Scholar
[6] Nagata W, Yoshioka M, Murakami M. J. Am. Chem. Soc. 1972, 94, 4654–4672.10.1021/ja00768a039Search in Google Scholar
[7] Wang J, Li W, Liu YL, Chu YY, Lin LL, Liu XH, Feng XM. Org. Lett. 2010, 12, 1280–1283.10.1021/ol100169rSearch in Google Scholar
[8] Gou SH, Wang J, Li XH, Wang WT, Chen FX. Adv. Synth. Catal. 2007, 349, 343–349.10.1002/adsc.200600336Search in Google Scholar
[9] Larock RC. Comprehensive Organic Transformations: A Guide to Functional Group Preparations, VCH: New York, 1989.Search in Google Scholar
[10] Rappoport Z. The Chemistry of the Cyano Group. Interscience Publishers: London, 1970.10.1002/9780470771242Search in Google Scholar
[11] Gerrits PG, Marcus J, Birikaki L, Gen A. Tetrahedron Asymmetry 2001, 12, 971–974.10.1016/S0957-4166(01)00183-5Search in Google Scholar
[12] Hatano M, Yamakawa K, Ishihara K. ACS Catal. 2017, 7, 6686−6690.10.1021/acscatal.7b02551Search in Google Scholar
[13] Ohmatsu K, Furukawa Y, Nakaguro D, Ooi T. Chem. Lett. 2015, 44, 1350−1352.10.1246/cl.150581Search in Google Scholar
[14] Utsugi M, Kamada Y, Miyamoto H, Nakada M. Tetrahedron Lett. 2007, 48, 6868–6872.10.1016/j.tetlet.2007.07.179Search in Google Scholar
[15] Nagata W, Yoshioka M, Murakami M. J. Am. Chem. Soc. 1972, 94, 4654–4672.10.1021/ja00768a039Search in Google Scholar
[16] Dahuron N, Langlois N. Synlett 1996, 1996, 51–52.10.1055/s-1996-5312Search in Google Scholar
[17] Benedetti F, Berti F, Garau G, Martinuzzi I, Norbedo S. Eur. J. Org. Chem. 2003, 2003, 1973–1982.10.1002/ejoc.200200626Search in Google Scholar
[18] Hayashi M, Kawabata H, Inoue K. Carbohydr. Res. 2000, 325, 68–71.10.1016/S0008-6215(99)00302-XSearch in Google Scholar
[19] Hayashi M, Kawabata H, Shimono S, Kakehi A. Tetrahedron Lett. 2000, 41, 2591–2594.10.1016/S0040-4039(00)00212-4Search in Google Scholar
[20] Yadav LDS, Awasthi C, Rai A. Tetrahedron Lett. 2008, 49, 6360–6363.10.1016/j.tetlet.2008.08.072Search in Google Scholar
[21] Mita T, Sasaki K, Kanai M, Shibasaki M. J. Am. Chem. Soc. 2005, 127, 514–515.10.1021/ja043424sSearch in Google Scholar PubMed
[22] Iida H, Moromizato T, Hamana H, Matsumoto K. Tetrahedron Lett. 2007, 48, 2037–2039.10.1016/j.tetlet.2006.12.145Search in Google Scholar
[23] Yang JY, Wang YX, Wu SX, Chen FX. Synlett 2009, 2009, 3365–3367.10.1055/s-0029-1218376Search in Google Scholar
[24] Yang JY, Chen FX. Chin. J. Chem. 2010, 28, 981–987.10.1002/cjoc.201090182Search in Google Scholar
[25] Yang JY, Wu SX, Chen FX. Synlett 2010, 2010, 2725–2728.10.1055/s-0030-1258817Search in Google Scholar
[26] Yang JY, Shen YB, Chen FX. Synthesis 2010, 2010, 1325–1333.10.1055/s-0029-1218653Search in Google Scholar
[27] Liu XH, Qin B, Zhou X, He B, Feng XM. J. Am. Chem. Soc. 2005, 127, 12224–12225.10.1021/ja052629dSearch in Google Scholar PubMed
[28] He B, Li Y, Feng XM, Zhang GL. Synlett 2004, 2004, 1776–1778.10.1055/s-2004-829569Search in Google Scholar
[29] Yadav AK, Yadav LDS. Synlett 2015, 26, 1026−1030.10.1055/s-0034-1380411Search in Google Scholar
[30] Kiyokawa K, Nagata T, Hayakawa J, Minakata S. Chem. Eur. J. 2015, 21, 1280–1285.10.1002/chem.201404780Search in Google Scholar PubMed
[31] Zhang JL, Liu XH, Wang R. Chem. Eur. J. 2014, 20, 4911−4915.10.1002/chem.201304835Search in Google Scholar PubMed
[32] Provencher KBA, Bartelson J, Liu Y, Foxman BW, Deng L. Angew. Chem. Int. Ed. 2011, 50, 10565–10569.10.1002/anie.201105536Search in Google Scholar PubMed PubMed Central
[33] Ellis JE, Davis EM, Brower PL. Org. Process Res. Dev. 1997, 1, 250–252.10.1021/op960048qSearch in Google Scholar
[34] Armstrong A, Convine NJ, Popkin ME. Synlett 2006, 2006, 1589–1591.10.1055/s-2006-941584Search in Google Scholar
[35] Schareina T, Zapf A, Beller M. Tetrahedron Lett. 2005, 46, 2585–2588.10.1016/j.tetlet.2005.02.106Search in Google Scholar
[36] Schareina T, Zapf A, Beller M. J. Organomet. Chem. 2004, 689, 4576–4583.10.1016/j.jorganchem.2004.08.020Search in Google Scholar
[37] Schareina T, Zapf A, Beller M. Chem. Commun. 2004, 0, 1388–1389.10.1039/B400562GSearch in Google Scholar
[38] Weissman SA, Zewge D, Chen C. J. Org. Chem. 2005, 70, 1508–1510.10.1021/jo0481250Search in Google Scholar PubMed
[39] Grossman O, Gelman D. Org. Lett. 2006, 8, 1189–1191.10.1021/ol0601038Search in Google Scholar PubMed
[40] Schareina T, Zapf A, Beller M. Tetrahedron Lett. 2007, 48, 1087–1090.10.1016/j.tetlet.2006.12.087Search in Google Scholar
[41] Li LH, Pan ZL, Duan XH, Liang YM. Synlett 2006, 2006, 2094–2098.10.1055/s-2006-947364Search in Google Scholar
[42] Velmathi S, Leadbeater NE. Tetrahedron Lett. 2008, 49, 4693–4694.10.1016/j.tetlet.2008.05.124Search in Google Scholar
[43] Chen G, Weng J, Zheng ZC, Zhu XH, Cai YY, Cai JW, Wan YQ. Eur. J. Org. Chem. 2008, 2008, 3524–3528.10.1002/ejoc.200800295Search in Google Scholar
[44] Cheng YN, Duan Z, Yu LJ, Li ZX, Zhu Y, Wu YJ. Org. Lett. 2008, 10, 901–904.10.1021/ol703018tSearch in Google Scholar PubMed
[45] Franz AW, Popa LN, Muller TJJ. Tetrahedron Lett. 2008, 49, 3300–3303.10.1016/j.tetlet.2008.03.071Search in Google Scholar
[46] Ren YL, Liu ZF, Zhao S, Wang JJ. Catal. Commun. 2009, 10, 768–771.10.1016/j.catcom.2008.11.034Search in Google Scholar
[47] Ren YL, Wang W, Zhao S, Tian XZ, Wang JJ. Tetrahedron Lett. 2009, 50, 4595–4597.10.1016/j.tetlet.2009.05.073Search in Google Scholar
[48] Ren YL, Wang W, Zhao S, Tian XZ, Wang JJ. Org. Process Res. Dev. 2009, 13, 764–768.10.1021/op9000725Search in Google Scholar
[49] Becker M, Schulz A, Voss K. Synth. Commun. 2011, 41, 1042–1051.10.1080/00397911003710588Search in Google Scholar
[50] Gerber R, Oberholzer M, Frech CM. Chem. Eur. J. 2012, 18, 2978–2986.10.1002/chem.201102936Search in Google Scholar PubMed
[51] Yeung PY, Tsang CP, Kwong FY. Tetrahedron Lett. 2011, 52, 7038–7041.10.1016/j.tetlet.2011.09.088Search in Google Scholar
[52] Anbarasan P, Neumann H, Beller M. Chem. Eur. J. 2011, 17, 4217–4222.10.1002/chem.201003388Search in Google Scholar PubMed
[53] Yueng PY, So CM, Lau CP, Kwong FY. Org. Lett. 2011, 13, 648–651.10.1021/ol1028892Search in Google Scholar PubMed
[54] Li Z, Shi SY, Yang JY. Synlett 2006, 2006, 2495–2497.10.1055/s-2006-950407Search in Google Scholar
[55] Li Z, Xu J. Phosphorus Sulfur Silicon Relat. Elem. 2014, 189, 374−378.10.1080/10426507.2013.819870Search in Google Scholar
[56] Ren YL, Dong CH, Zhao S, Sun YP, Wang JJ, Ma JY, Hou CD. Tetrahedron Lett. 2012, 53, 2825–2827.10.1016/j.tetlet.2012.03.109Search in Google Scholar
[57] Ren YL, Yan MJ, Zhao S, Sun YP, Wang JJ, Yin WP, Liu ZF. Tetrahedron Lett. 2011, 52, 5107–5109.10.1016/j.tetlet.2011.07.112Search in Google Scholar
[58] Saha D, Adak L, Mukherjee M, Ranu BC. Org. Biomol. Chem. 2012, 10, 952–957.10.1039/C1OB06467CSearch in Google Scholar PubMed
[59] Zhao ZX, Li Z. Eur. J. Org. Chem. 2010, 2010, 5460−5463.10.1002/ejoc.201000848Search in Google Scholar
[60] Zhao ZX, Li Z. J. Braz. Chem. Soc. 2011, 22, 148−154.10.1590/S0103-50532011000100020Search in Google Scholar
[61] Hu XC, Zhao ZX, Li Z. Phosphorus Sulfur Silicon Relat. Elem. 2012, 187, 1003−1008.10.1080/10426507.2012.658983Search in Google Scholar
[62] Li Z, Li RZ, Zheng HH, Wen F, Li HB, Yin JJ, Yang JY. J. Braz. Chem. Soc. 2013, 24, 1739−1743.Search in Google Scholar
[63] Li Z, Niu PX, Li RZ, Zhang YP, Ma B, Yang JY. J. Chem. Res. 2012, 36, 709−711.10.3184/174751912X13518642070088Search in Google Scholar
[64] Li Z, Liu CH, Zhang YP, Li RZ, Ma B, Yang JY. Synlett 2012, 23, 2567−2571.10.1055/s-0032-1317179Search in Google Scholar
[65] Li Z, Yin JJ, Li TP, Wen.G, Shen XL, Yang JY. Tetrahedron 2014, 70, 5619−5625.10.1016/j.tet.2014.06.079Search in Google Scholar
[66] Li Z, Zheng HH. Green Process Synth. 2014, 3, 447−456.10.1515/gps-2014-0054Search in Google Scholar
[67] Hu XN, Liu CH, Li Z. J. Chem. Res. 2015, 39, 44−47.10.3184/174751915X14197812950625Search in Google Scholar
[68] Hu XC, Ma YH, Li Z. J. Organomet. Chem. 2012, 705, 70−74.10.1016/j.jorganchem.2012.02.005Search in Google Scholar
[69] Hu XC, Li HB, Yang JY, Li Z. Synlett 2014, 25, 1786−1790.10.1055/s-0033-1339133Search in Google Scholar
[70] Li Z, Wen F, Yang JY. Chin. J. Chem. 2014, 32, 1251−1254.10.1002/cjoc.201400635Search in Google Scholar
[71] Li Z, Zhang YP, Wen F, Yin JJ, Zheng HH, Li HB, Yang JY. J. Chem. Res. 2013, 37, 601603.10.3184/174751913X13787367120737Search in Google Scholar
[72] Zhang YP, Hu XC, Li Z. Chem. Pap. 2015, 69, 596−603.10.1016/j.aeue.2014.11.008Search in Google Scholar
[73] Yang JY, Zhan BH, Ma B, Xiang XC, Bao YF, Li Z. Chin. J. Org. Chem. 2015, 35, 1286−1293.10.6023/cjoc201501019Search in Google Scholar
[74] Yang J, Zhan BH, Ma B, Xiang XC, Bao YF, Li Z. Chin. J. Org. Chem. 2015, 35, 1286−1293.10.6023/cjoc201501019Search in Google Scholar
[75] Li Z, Wen F, Yang JY. J. Chem. Sci. 2016, 128, 1849−1853.10.1007/s12039-016-1191-0Search in Google Scholar
[76] Ramachary DB, Reddy TP, Kumar AS. Org. Biomol. Chem. 2016, 14, 6517–6522.10.1039/C6OB01009ASearch in Google Scholar PubMed
[77] Donckele EJ, Finke AD, Ruhlmann L, Boudon C, Trapp N, Diederich F. Org. Lett. 2015, 17, 3506–3509.10.1021/acs.orglett.5b01598Search in Google Scholar PubMed
[78] Ramachary DB, Anebouselvy K, Chowdari NS, Barbas CF. J. Org. Chem. 2004, 69, 5838–5849.10.1021/jo049581rSearch in Google Scholar PubMed
[79] Lee CJ, Sheu CN, Tsai CC, Wu ZZ, Lin W. Chem. Commun. 2014, 50, 5304–5306.10.1039/C3CC45201HSearch in Google Scholar
[80] Li Z, Tian GQ, Ma YH. Synlett 2010, 2010, 2164–2168.10.1055/s-0030-1258495Search in Google Scholar
Supplementary Material
The online version of this article offers supplementary material (https://doi.org/10.1515/greenps-2018-0017).
©2019 Walter de Gruyter GmbH, Berlin/Boston
This work is licensed under the Creative Commons Attribution 4.0 Public License.
Articles in the same Issue
- Regular Articles
- Studies on the preparation and properties of biodegradable polyester from soybean oil
- Flow-mode biodiesel production from palm oil using a pressurized microwave reactor
- Reduction of free fatty acids in waste oil for biodiesel production by glycerolysis: investigation and optimization of process parameters
- Saccharin: a cheap and mild acidic agent for the synthesis of azo dyes via telescoped dediazotization
- Optimization of lipase-catalyzed synthesis of polyethylene glycol stearate in a solvent-free system
- Green synthesis of iron oxide nanoparticles using Platanus orientalis leaf extract for antifungal activity
- Ultrasound assisted chemical activation of peanut husk for copper removal
- Room temperature silanization of Fe3O4 for the preparation of phenyl functionalized magnetic adsorbent for dispersive solid phase extraction for the extraction of phthalates in water
- Evaluation of the saponin green extraction from Ziziphus spina-christi leaves using hydrothermal, microwave and Bain-Marie water bath heating methods
- Oxidation of dibenzothiophene using the heterogeneous catalyst of tungsten-based carbon nanotubes
- Calcined sodium silicate as an efficient and benign heterogeneous catalyst for the transesterification of natural lecithin to L-α-glycerophosphocholine
- Synergistic effect between CO2 and H2O2 on ethylbenzene oxidation catalyzed by carbon supported heteropolyanion catalysts
- Hydrocyanation of 2-arylmethyleneindan-1,3-diones using potassium hexacyanoferrate(II) as a nontoxic cyanating agent
- Green synthesis of hydratropic aldehyde from α-methylstyrene catalyzed by Al2O3-supported metal phthalocyanines
- Environmentally benign chemical recycling of polycarbonate wastes: comparison of micro- and nano-TiO2 solid support efficiencies
- Medicago polymorpha-mediated antibacterial silver nanoparticles in the reduction of methyl orange
- Production of value-added chemicals from esterification of waste glycerol over MCM-41 supported catalysts
- Green synthesis of zerovalent copper nanoparticles for efficient reduction of toxic azo dyes congo red and methyl orange
- Optimization of the biological synthesis of silver nanoparticles using Penicillium oxalicum GRS-1 and their antimicrobial effects against common food-borne pathogens
- Optimization of submerged fermentation conditions to overproduce bioethanol using two industrial and traditional Saccharomyces cerevisiae strains
- Extraction of In3+ and Fe3+ from sulfate solutions by using a 3D-printed “Y”-shaped microreactor
- Foliar-mediated Ag:ZnO nanophotocatalysts: green synthesis, characterization, pollutants degradation, and in vitro biocidal activity
- Green cyclic acetals production by glycerol etherification reaction with benzaldehyde using cationic acidic resin
- Biosynthesis, characterization and antimicrobial activities assessment of fabricated selenium nanoparticles using Pelargonium zonale leaf extract
- Synthesis of high surface area magnesia by using walnut shell as a template
- Controllable biosynthesis of silver nanoparticles using actinobacterial strains
- Green vegetation: a promising source of color dyes
- Mechano-chemical synthesis of ammonia and acetic acid from inorganic materials in water
- Green synthesis and structural characterization of novel N1-substituted 3,4-dihydropyrimidin-2(1H)-ones
- Biodiesel production from cotton oil using heterogeneous CaO catalysts from eggshells prepared at different calcination temperatures
- Regeneration of spent mercury catalyst for the treatment of dye wastewater by the microwave and ultrasonic spray-assisted method
- Green synthesis of the innovative super paramagnetic nanoparticles from the leaves extract of Fraxinus chinensis Roxb and their application for the decolourisation of toxic dyes
- Biogenic ZnO nanoparticles: a study of blueshift of optical band gap and photocatalytic degradation of reactive yellow 186 dye under direct sunlight
- Leached compounds from the extracts of pomegranate peel, green coconut shell, and karuvelam wood for the removal of hexavalent chromium
- Enhancement of molecular weight reduction of natural rubber in triphasic CO2/toluene/H2O systems with hydrogen peroxide for preparation of biobased polyurethanes
- An efficient green synthesis of novel 1H-imidazo[1,2-a]imidazole-3-amine and imidazo[2,1-c][1,2,4]triazole-5-amine derivatives via Strecker reaction under controlled microwave heating
- Evaluation of three different green fabrication methods for the synthesis of crystalline ZnO nanoparticles using Pelargonium zonale leaf extract
- A highly efficient and multifunctional biomass supporting Ag, Ni, and Cu nanoparticles through wetness impregnation for environmental remediation
- Simple one-pot green method for large-scale production of mesalamine, an anti-inflammatory agent
- Relationships between step and cumulative PMI and E-factors: implications on estimating material efficiency with respect to charting synthesis optimization strategies
- A comparative sorption study of Cr3+ and Cr6+ using mango peels: kinetic, equilibrium and thermodynamic
- Effects of acid hydrolysis waste liquid recycle on preparation of microcrystalline cellulose
- Use of deep eutectic solvents as catalyst: A mini-review
- Microwave-assisted synthesis of pyrrolidinone derivatives using 1,1’-butylenebis(3-sulfo-3H-imidazol-1-ium) chloride in ethylene glycol
- Green and eco-friendly synthesis of Co3O4 and Ag-Co3O4: Characterization and photo-catalytic activity
- Adsorption optimized of the coal-based material and application for cyanide wastewater treatment
- Aloe vera leaf extract mediated green synthesis of selenium nanoparticles and assessment of their In vitro antimicrobial activity against spoilage fungi and pathogenic bacteria strains
- Waste phenolic resin derived activated carbon by microwave-assisted KOH activation and application to dye wastewater treatment
- Direct ethanol production from cellulose by consortium of Trichoderma reesei and Candida molischiana
- Agricultural waste biomass-assisted nanostructures: Synthesis and application
- Biodiesel production from rubber seed oil using calcium oxide derived from eggshell as catalyst – optimization and modeling studies
- Study of fabrication of fully aqueous solution processed SnS quantum dot-sensitized solar cell
- Assessment of aqueous extract of Gypsophila aretioides for inhibitory effects on calcium carbonate formation
- An environmentally friendly acylation reaction of 2-methylnaphthalene in solvent-free condition in a micro-channel reactor
- Aegle marmelos phytochemical stabilized synthesis and characterization of ZnO nanoparticles and their role against agriculture and food pathogen
- A reactive coupling process for co-production of solketal and biodiesel
- Optimization of the asymmetric synthesis of (S)-1-phenylethanol using Ispir bean as whole-cell biocatalyst
- Synthesis of pyrazolopyridine and pyrazoloquinoline derivatives by one-pot, three-component reactions of arylglyoxals, 3-methyl-1-aryl-1H-pyrazol-5-amines and cyclic 1,3-dicarbonyl compounds in the presence of tetrapropylammonium bromide
- Preconcentration of morphine in urine sample using a green and solvent-free microextraction method
- Extraction of glycyrrhizic acid by aqueous two-phase system formed by PEG and two environmentally friendly organic acid salts - sodium citrate and sodium tartrate
- Green synthesis of copper oxide nanoparticles using Juglans regia leaf extract and assessment of their physico-chemical and biological properties
- Deep eutectic solvents (DESs) as powerful and recyclable catalysts and solvents for the synthesis of 3,4-dihydropyrimidin-2(1H)-ones/thiones
- Biosynthesis, characterization and anti-microbial activity of silver nanoparticle based gel hand wash
- Efficient and selective microwave-assisted O-methylation of phenolic compounds using tetramethylammonium hydroxide (TMAH)
- Anticoagulant, thrombolytic and antibacterial activities of Euphorbia acruensis latex-mediated bioengineered silver nanoparticles
- Volcanic ash as reusable catalyst in the green synthesis of 3H-1,5-benzodiazepines
- Green synthesis, anionic polymerization of 1,4-bis(methacryloyl)piperazine using Algerian clay as catalyst
- Selenium supplementation during fermentation with sugar beet molasses and Saccharomyces cerevisiae to increase bioethanol production
- Biosynthetic potential assessment of four food pathogenic bacteria in hydrothermally silver nanoparticles fabrication
- Investigating the effectiveness of classical and eco-friendly approaches for synthesis of dialdehydes from organic dihalides
- Pyrolysis of palm oil using zeolite catalyst and characterization of the boil-oil
- Azadirachta indica leaves extract assisted green synthesis of Ag-TiO2 for degradation of Methylene blue and Rhodamine B dyes in aqueous medium
- Synthesis of vitamin E succinate catalyzed by nano-SiO2 immobilized DMAP derivative in mixed solvent system
- Extraction of phytosterols from melon (Cucumis melo) seeds by supercritical CO2 as a clean technology
- Production of uronic acids by hydrothermolysis of pectin as a model substance for plant biomass waste
- Biofabrication of highly pure copper oxide nanoparticles using wheat seed extract and their catalytic activity: A mechanistic approach
- Intelligent modeling and optimization of emulsion aggregation method for producing green printing ink
- Improved removal of methylene blue on modified hierarchical zeolite Y: Achieved by a “destructive-constructive” method
- Two different facile and efficient approaches for the synthesis of various N-arylacetamides via N-acetylation of arylamines and straightforward one-pot reductive acetylation of nitroarenes promoted by recyclable CuFe2O4 nanoparticles in water
- Optimization of acid catalyzed esterification and mixed metal oxide catalyzed transesterification for biodiesel production from Moringa oleifera oil
- Kinetics and the fluidity of the stearic acid esters with different carbon backbones
- Aiming for a standardized protocol for preparing a process green synthesis report and for ranking multiple synthesis plans to a common target product
- Microstructure and luminescence of VO2 (B) nanoparticle synthesis by hydrothermal method
- Optimization of uranium removal from uranium plant wastewater by response surface methodology (RSM)
- Microwave drying of nickel-containing residue: dielectric properties, kinetics, and energy aspects
- Simple and convenient two step synthesis of 5-bromo-2,3-dimethoxy-6-methyl-1,4-benzoquinone
- Biodiesel production from waste cooking oil
- The effect of activation temperature on structure and properties of blue coke-based activated carbon by CO2 activation
- Optimization of reaction parameters for the green synthesis of zero valent iron nanoparticles using pine tree needles
- Microwave-assisted protocol for squalene isolation and conversion from oil-deodoriser distillates
- Denitrification performance of rare earth tailings-based catalysts
- Facile synthesis of silver nanoparticles using Averrhoa bilimbi L and Plum extracts and investigation on the synergistic bioactivity using in vitro models
- Green production of AgNPs and their phytostimulatory impact
- Photocatalytic activity of Ag/Ni bi-metallic nanoparticles on textile dye removal
- Topical Issue: Green Process Engineering / Guest Editors: Martine Poux, Patrick Cognet
- Modelling and optimisation of oxidative desulphurisation of tyre-derived oil via central composite design approach
- CO2 sequestration by carbonation of olivine: a new process for optimal separation of the solids produced
- Organic carbonates synthesis improved by pervaporation for CO2 utilisation
- Production of starch nanoparticles through solvent-antisolvent precipitation in a spinning disc reactor
- A kinetic study of Zn halide/TBAB-catalysed fixation of CO2 with styrene oxide in propylene carbonate
- Topical on Green Process Engineering
Articles in the same Issue
- Regular Articles
- Studies on the preparation and properties of biodegradable polyester from soybean oil
- Flow-mode biodiesel production from palm oil using a pressurized microwave reactor
- Reduction of free fatty acids in waste oil for biodiesel production by glycerolysis: investigation and optimization of process parameters
- Saccharin: a cheap and mild acidic agent for the synthesis of azo dyes via telescoped dediazotization
- Optimization of lipase-catalyzed synthesis of polyethylene glycol stearate in a solvent-free system
- Green synthesis of iron oxide nanoparticles using Platanus orientalis leaf extract for antifungal activity
- Ultrasound assisted chemical activation of peanut husk for copper removal
- Room temperature silanization of Fe3O4 for the preparation of phenyl functionalized magnetic adsorbent for dispersive solid phase extraction for the extraction of phthalates in water
- Evaluation of the saponin green extraction from Ziziphus spina-christi leaves using hydrothermal, microwave and Bain-Marie water bath heating methods
- Oxidation of dibenzothiophene using the heterogeneous catalyst of tungsten-based carbon nanotubes
- Calcined sodium silicate as an efficient and benign heterogeneous catalyst for the transesterification of natural lecithin to L-α-glycerophosphocholine
- Synergistic effect between CO2 and H2O2 on ethylbenzene oxidation catalyzed by carbon supported heteropolyanion catalysts
- Hydrocyanation of 2-arylmethyleneindan-1,3-diones using potassium hexacyanoferrate(II) as a nontoxic cyanating agent
- Green synthesis of hydratropic aldehyde from α-methylstyrene catalyzed by Al2O3-supported metal phthalocyanines
- Environmentally benign chemical recycling of polycarbonate wastes: comparison of micro- and nano-TiO2 solid support efficiencies
- Medicago polymorpha-mediated antibacterial silver nanoparticles in the reduction of methyl orange
- Production of value-added chemicals from esterification of waste glycerol over MCM-41 supported catalysts
- Green synthesis of zerovalent copper nanoparticles for efficient reduction of toxic azo dyes congo red and methyl orange
- Optimization of the biological synthesis of silver nanoparticles using Penicillium oxalicum GRS-1 and their antimicrobial effects against common food-borne pathogens
- Optimization of submerged fermentation conditions to overproduce bioethanol using two industrial and traditional Saccharomyces cerevisiae strains
- Extraction of In3+ and Fe3+ from sulfate solutions by using a 3D-printed “Y”-shaped microreactor
- Foliar-mediated Ag:ZnO nanophotocatalysts: green synthesis, characterization, pollutants degradation, and in vitro biocidal activity
- Green cyclic acetals production by glycerol etherification reaction with benzaldehyde using cationic acidic resin
- Biosynthesis, characterization and antimicrobial activities assessment of fabricated selenium nanoparticles using Pelargonium zonale leaf extract
- Synthesis of high surface area magnesia by using walnut shell as a template
- Controllable biosynthesis of silver nanoparticles using actinobacterial strains
- Green vegetation: a promising source of color dyes
- Mechano-chemical synthesis of ammonia and acetic acid from inorganic materials in water
- Green synthesis and structural characterization of novel N1-substituted 3,4-dihydropyrimidin-2(1H)-ones
- Biodiesel production from cotton oil using heterogeneous CaO catalysts from eggshells prepared at different calcination temperatures
- Regeneration of spent mercury catalyst for the treatment of dye wastewater by the microwave and ultrasonic spray-assisted method
- Green synthesis of the innovative super paramagnetic nanoparticles from the leaves extract of Fraxinus chinensis Roxb and their application for the decolourisation of toxic dyes
- Biogenic ZnO nanoparticles: a study of blueshift of optical band gap and photocatalytic degradation of reactive yellow 186 dye under direct sunlight
- Leached compounds from the extracts of pomegranate peel, green coconut shell, and karuvelam wood for the removal of hexavalent chromium
- Enhancement of molecular weight reduction of natural rubber in triphasic CO2/toluene/H2O systems with hydrogen peroxide for preparation of biobased polyurethanes
- An efficient green synthesis of novel 1H-imidazo[1,2-a]imidazole-3-amine and imidazo[2,1-c][1,2,4]triazole-5-amine derivatives via Strecker reaction under controlled microwave heating
- Evaluation of three different green fabrication methods for the synthesis of crystalline ZnO nanoparticles using Pelargonium zonale leaf extract
- A highly efficient and multifunctional biomass supporting Ag, Ni, and Cu nanoparticles through wetness impregnation for environmental remediation
- Simple one-pot green method for large-scale production of mesalamine, an anti-inflammatory agent
- Relationships between step and cumulative PMI and E-factors: implications on estimating material efficiency with respect to charting synthesis optimization strategies
- A comparative sorption study of Cr3+ and Cr6+ using mango peels: kinetic, equilibrium and thermodynamic
- Effects of acid hydrolysis waste liquid recycle on preparation of microcrystalline cellulose
- Use of deep eutectic solvents as catalyst: A mini-review
- Microwave-assisted synthesis of pyrrolidinone derivatives using 1,1’-butylenebis(3-sulfo-3H-imidazol-1-ium) chloride in ethylene glycol
- Green and eco-friendly synthesis of Co3O4 and Ag-Co3O4: Characterization and photo-catalytic activity
- Adsorption optimized of the coal-based material and application for cyanide wastewater treatment
- Aloe vera leaf extract mediated green synthesis of selenium nanoparticles and assessment of their In vitro antimicrobial activity against spoilage fungi and pathogenic bacteria strains
- Waste phenolic resin derived activated carbon by microwave-assisted KOH activation and application to dye wastewater treatment
- Direct ethanol production from cellulose by consortium of Trichoderma reesei and Candida molischiana
- Agricultural waste biomass-assisted nanostructures: Synthesis and application
- Biodiesel production from rubber seed oil using calcium oxide derived from eggshell as catalyst – optimization and modeling studies
- Study of fabrication of fully aqueous solution processed SnS quantum dot-sensitized solar cell
- Assessment of aqueous extract of Gypsophila aretioides for inhibitory effects on calcium carbonate formation
- An environmentally friendly acylation reaction of 2-methylnaphthalene in solvent-free condition in a micro-channel reactor
- Aegle marmelos phytochemical stabilized synthesis and characterization of ZnO nanoparticles and their role against agriculture and food pathogen
- A reactive coupling process for co-production of solketal and biodiesel
- Optimization of the asymmetric synthesis of (S)-1-phenylethanol using Ispir bean as whole-cell biocatalyst
- Synthesis of pyrazolopyridine and pyrazoloquinoline derivatives by one-pot, three-component reactions of arylglyoxals, 3-methyl-1-aryl-1H-pyrazol-5-amines and cyclic 1,3-dicarbonyl compounds in the presence of tetrapropylammonium bromide
- Preconcentration of morphine in urine sample using a green and solvent-free microextraction method
- Extraction of glycyrrhizic acid by aqueous two-phase system formed by PEG and two environmentally friendly organic acid salts - sodium citrate and sodium tartrate
- Green synthesis of copper oxide nanoparticles using Juglans regia leaf extract and assessment of their physico-chemical and biological properties
- Deep eutectic solvents (DESs) as powerful and recyclable catalysts and solvents for the synthesis of 3,4-dihydropyrimidin-2(1H)-ones/thiones
- Biosynthesis, characterization and anti-microbial activity of silver nanoparticle based gel hand wash
- Efficient and selective microwave-assisted O-methylation of phenolic compounds using tetramethylammonium hydroxide (TMAH)
- Anticoagulant, thrombolytic and antibacterial activities of Euphorbia acruensis latex-mediated bioengineered silver nanoparticles
- Volcanic ash as reusable catalyst in the green synthesis of 3H-1,5-benzodiazepines
- Green synthesis, anionic polymerization of 1,4-bis(methacryloyl)piperazine using Algerian clay as catalyst
- Selenium supplementation during fermentation with sugar beet molasses and Saccharomyces cerevisiae to increase bioethanol production
- Biosynthetic potential assessment of four food pathogenic bacteria in hydrothermally silver nanoparticles fabrication
- Investigating the effectiveness of classical and eco-friendly approaches for synthesis of dialdehydes from organic dihalides
- Pyrolysis of palm oil using zeolite catalyst and characterization of the boil-oil
- Azadirachta indica leaves extract assisted green synthesis of Ag-TiO2 for degradation of Methylene blue and Rhodamine B dyes in aqueous medium
- Synthesis of vitamin E succinate catalyzed by nano-SiO2 immobilized DMAP derivative in mixed solvent system
- Extraction of phytosterols from melon (Cucumis melo) seeds by supercritical CO2 as a clean technology
- Production of uronic acids by hydrothermolysis of pectin as a model substance for plant biomass waste
- Biofabrication of highly pure copper oxide nanoparticles using wheat seed extract and their catalytic activity: A mechanistic approach
- Intelligent modeling and optimization of emulsion aggregation method for producing green printing ink
- Improved removal of methylene blue on modified hierarchical zeolite Y: Achieved by a “destructive-constructive” method
- Two different facile and efficient approaches for the synthesis of various N-arylacetamides via N-acetylation of arylamines and straightforward one-pot reductive acetylation of nitroarenes promoted by recyclable CuFe2O4 nanoparticles in water
- Optimization of acid catalyzed esterification and mixed metal oxide catalyzed transesterification for biodiesel production from Moringa oleifera oil
- Kinetics and the fluidity of the stearic acid esters with different carbon backbones
- Aiming for a standardized protocol for preparing a process green synthesis report and for ranking multiple synthesis plans to a common target product
- Microstructure and luminescence of VO2 (B) nanoparticle synthesis by hydrothermal method
- Optimization of uranium removal from uranium plant wastewater by response surface methodology (RSM)
- Microwave drying of nickel-containing residue: dielectric properties, kinetics, and energy aspects
- Simple and convenient two step synthesis of 5-bromo-2,3-dimethoxy-6-methyl-1,4-benzoquinone
- Biodiesel production from waste cooking oil
- The effect of activation temperature on structure and properties of blue coke-based activated carbon by CO2 activation
- Optimization of reaction parameters for the green synthesis of zero valent iron nanoparticles using pine tree needles
- Microwave-assisted protocol for squalene isolation and conversion from oil-deodoriser distillates
- Denitrification performance of rare earth tailings-based catalysts
- Facile synthesis of silver nanoparticles using Averrhoa bilimbi L and Plum extracts and investigation on the synergistic bioactivity using in vitro models
- Green production of AgNPs and their phytostimulatory impact
- Photocatalytic activity of Ag/Ni bi-metallic nanoparticles on textile dye removal
- Topical Issue: Green Process Engineering / Guest Editors: Martine Poux, Patrick Cognet
- Modelling and optimisation of oxidative desulphurisation of tyre-derived oil via central composite design approach
- CO2 sequestration by carbonation of olivine: a new process for optimal separation of the solids produced
- Organic carbonates synthesis improved by pervaporation for CO2 utilisation
- Production of starch nanoparticles through solvent-antisolvent precipitation in a spinning disc reactor
- A kinetic study of Zn halide/TBAB-catalysed fixation of CO2 with styrene oxide in propylene carbonate
- Topical on Green Process Engineering



