Home Physical Sciences Enhanced adsorption of sulfonamide antibiotics in water by modified biochar derived from bagasse
Article Open Access

Enhanced adsorption of sulfonamide antibiotics in water by modified biochar derived from bagasse

  • Pinzhu Qin , Dawei Huang EMAIL logo , Rong Tang , Fangqun Gan , Ying Guan and Xiaoxiao Lv EMAIL logo
Published/Copyright: December 31, 2019

Abstract

In this study, biochars derived from bagasse were prepared and their ability for the adsorption of four kinds of sulfonamide antibiotics (sulfamethoxazol, thiazole, methylpyrimidine, dimethylpyrimidine) was investigated. Results showed that the modified biochar can efficiently adsorb sulfonamides in water. The biochar obtained at 500oC and modified with 30% hydrogen peroxide was chosen as the adsorbent. Under optimum conditions, pH 4 and 35°C, great adsorption performance was exhibited in the adsorption process of the four sulfonamide antibiotics. The productivity of the modified biochar was ~ 89% compared to un-modified biochar which is ~31%. The successful preparation of biochar from bagasse indicates that it is a good way to reuse the resources. Besides the adsorption of antibiotics, the obtained material also has a great prospect in the removal of other pollutants.

1 Introduction

Antibiotics, one of the pharmaceutical and personal care products (PPCPs), can remain in the environment for a long time due to their structural stability and environmental durability and can also cause great damage to water bodies [1, 2, 3]. At present, the removal of antibiotics in water mainly depends on conventional water treatment process [4]. The general municipal wastewater treatment plants both at home and abroad are designed and built for the removal of organic matter and some nutrients [5, 6, 7]. Therefore, the ability to remove antibiotics is limited. The traditional sewage treatment plant includes pre-treatment, primary stage treatment, two stages treatment system [8, 9] and a conditional sewage treatment plant will also start a three stages treatment program, such as chemical oxidation, activated carbon adsorption or ultraviolet oxidation [10, 11, 12]. The pre-treatment and primary stage treatment processes are aimed at removing organic suspension which is large and easy to settle. Hence, the antibiotics removal performance is not good. Therefore, the degradation of PPCPs is mainly in secondary treatment and tertiary treatment which all have the problems of high cost and low removal rate.

Biochar adsorbents have demonstrated excellent sorption capacity for pollutants due to their complex pore structures and good surface characteristics [13, 14]. At present, there are three widely used modification methods of biochar: physical, chemical and biological. Chemical modification can simultaneously improve the pore structure and surface chemical properties of adsorbent, thereby enhancing its adsorption capacity for the specific target[15, 16].

Bagasse is a by-product in the production of sugarcane. The residue of sugar cane can reach tens of millions of tons every year with most of the bagasse only being used as cheap fuel or being disregarded, causing great waste of resources [17, 18, 19, 20]. In theory, all organic matter with high content of carbon can be used in the preparation of biochar [21, 22]. But the cost is much higher when some organic matter, such as starch, is used to produce biochar [23, 24]. It is obviously not in accordance with the principle of best utilization of resources in present global resource scarcity. Therefore, the utilization of solid waste with high carbon content, such as straw, wood cutting waste branch, bagasse, sewage sludge, not only avoids environmental pollution, but can also generate new energy, forming a good strategy of waste recycling.

Herein, the authors report a biochar-based method for antibiotics removal in water. Derived from bagasse, the biochar is modified and then used as adsorbent to remove antibiotics. Great adsorption performance is observed in the process. The effects of various parameters including pH, temperature and antibiotic species were evaluated. The adsorption process was also modelled by kinetics models and isotherm models.

2 Materials and Methods

2.1 The preparation of biochar

Bagasse was collected from a shop selling Sugar cane juice. The collected bagasse was washed with tap water, naturally dried for 2 days, then transferred into the oven at 70oC for 12 hours. After that, the particle size was crushed to less than 2 cm by a grinder. The weighed sugar cane shredding was placed in a porcelain crucible wrapped with foil paper and covered with a lid. The crucible was then placed in a tubular carbonization furnace and heated at a rate of 10oC/min to reach the target temperature (300, 500 or 700oC), then maintained for 2 hours. After cooling to room temperature naturally, the product was weighed. Then the product was ground over 50 mesh sieves and treated with 1200 mL of 1.00 mol/L hydrochloric acid for 2 hours to remove calcium carbonate and other ash substances. After being filtered and adjusted pH value to neutral with distilled water washing, the product was put into the oven at 80oC for 24 hours, then transferred into a sample storage bottle for further use.

2.2 The modification of biochar

After preparation, the biochar obtained under different temperatures (300, 500 and 700oC) was modified. The modification of biochar was carried out using four kinds of oxidizers (concentrated sulfuric acid, concentrated nitric acid, 30% hydrogen peroxide, and 0.4mol/L potassium permanganate). Two modification methods (dipping and ultrasonic dipping) were adopted.

The dipping method was as follows: 11.25 g of washed biochar was first put into a 1000 mL beaker. Then, 400 mL of 30% oxidizer was added to the beaker to get full contact with biochar for 24 hours. Then the solid was filtered and washed to the neutral repeatedly. Finally, the solid was placed in the oven at 60oC for 12 h until it reached a constant weight.

The ultrasonic dipping method was as follows: 11.25 g of washed biochar was first put into the 1000 mL beaker. Then 400 mL of 30% oxidizer was added to the beaker to get full contact with biochar. After 10 minutes in an ultrasonic bath, the beaker was placed for 24 hours. The following procedure is the same with that of dipping method.

2.3 Adsorption study

All of the antibiotics adsorption experiments were performed by biochar in batch conditions. The adsorption efficiency was tested by adsorption of sulfonamides, one of the most commonly used antibiotics. The effects of various parameters including pH, temperature, and antibiotic species were evaluated. The productivity of biochar is calculated according to equation (1):

(1)productivity=mm0

where m is the obtained mass of modified biochar, m0 is the starting mass of raw biochar (11.25g). The adsorption capacity (qe) is calculated according to equation (2):

(2)qe=(C0Ce)Vm

where C0 and Ce are the initial and final concentration of antibiotic in the solution (mg/L), respectively, V is the volume of antibiotic solution (mL), and m is the weight of the adsorbent (g). The removal efficiency of sulfonamides is calculated according to equation (3):

(3)removalefficiency(%)=C0CtC0

where C0 and Ct represent the initial and final sulfonamide concentration (mg/L), respectively.

Ethical approval: The conducted research is not related to either human or animals use.

3 Results and discussion

3.1 The modification of biochar

According to Section 2.2, the biochar was modified with different oxidizers and two modification methods were investigated. Table 1 shows the mass of modified biochar obtained and productivity for the investigated parameters. It is clear that the highest productivity was achieved by the modification with 0.4 mol/L potassium permanganate. When the other oxidizers were used, smoke was released, which may be the reason for the lower productivity compared to potassium permanganate.

Table 1

The mass of modified biochar obtained and calculated productivity.

Modification methodOxidizerBurning temperature of carbon
300oC500oC700oC
m (g)productivitym (g)productivitym (g)productivity
Dippingconcentrated sulfuric acid7.062%6.659%8.0g71%
concentrated nitric acid0.87%12.0106%11.098%
30% hydrogen peroxide3.834%7.062%7.062%
0.4 mol/L potassium permanganate15.0133%15.0133%15.0133%
Ultrasonic dippingconcentrated sulfuric acid0.44%11.098%10.089%
concentrated nitric acid3.027%14.0124%11.098%
30 % hydrogen peroxide6.760%10.089%9.080%
0.4 mol/L potassium permanganate17.0151%15.0133%17.0151%

The FTIR spectra of biochar obtained at 300oC before and after modification are shown in Figure 1. The absorption peak at around 3450 cm-1 belongs to the stretching vibration of O-H in the carboxyl group or the hydroxyl group on the surface of biochar. The absorption peak at around 3150 cm-1 belongs to the stretching vibration of C-H, indicating that both the modified biochar and the parent biochar both have active C-H bonds. The two absorption peaks at around 1650 cm-1 are produced by the modification of the carbon oxygen double bond of the carboxyl group on the biochar. Figure 2 shows the FT-IR spectra of biochar obtained at 500oC before and after modification. The absorption peaks have a slight red shift at around 3450 cm-1, which belongs to the stretching vibration of O-H in the carboxyl group or the hydroxyl group, compared with that for biochar obtained at 300oC. The shift was ascribed to the increase of surface area, pore volume, surface carboxyl group, and phenol hydroxyl group of the biochar obtained at 500oC. The absorption peaks at around 3150 cm-1 nearly disappeared, indicating the decrease of the carboxyl group. Figure 3 shows the FT-IR spectra of biochar obtained at 700oC before and after modification. The observation was same with that of the biochar obtained at 500oC. All the results indicate that the modified biochar has larger specific surface area, well-developed pore structure and more functional groups. Many functional groups have aromatic electronic conjugated structure, which can act as a ligand to increase adsorption performance. Therefore, the biochar obtained at 500oC and modified with 30% hydrogen peroxide was chosen as the adsorbent in the following experiment.

Figure 1 FTIR spectra of biochar obtained at 300oC before and after modification (a. Dipping, b. Ultrasonic dipping).
Figure 1

FTIR spectra of biochar obtained at 300oC before and after modification (a. Dipping, b. Ultrasonic dipping).

Figure 2 FTIR spectra of biochar obtained at 500oC before and after modification (a. Dipping, b. Ultrasonic dipping).
Figure 2

FTIR spectra of biochar obtained at 500oC before and after modification (a. Dipping, b. Ultrasonic dipping).

Figure 3 FTIR spectra of biochar obtained at 700oC before and after modification (a. Dipping, b. Ultrasonic dipping).
Figure 3

FTIR spectra of biochar obtained at 700oC before and after modification (a. Dipping, b. Ultrasonic dipping).

3.2 The effect of pH

In the experiment, seven colorimetric tubes with a working volume of 50 mL were prepared, and then 10 mL solution containing 20 mg/L sulfonamides was added to each tube. The pH value was adjusted to 3.00, 4.00, 5.00, 6.00, 7.00, 8.00 or 9.00 by a HCl or NaOH solution. Then, 0.50 g of modified biochar was added to the prepared solution. Each suspension was oscillated for 24 hours under constant temperature at 25oC. After these operations, the solution was taken out, and the content of antibiotics was analyzed by chromatograpy. Then the concentrations of sulfonamides were analyzed to identify the effects of pH on the adsorption of pollutants over biochar.

Four kinds of sulfonamides (sulfamethoxazol, thiazole, methylpyrimidine, dimethylpyrimidine) were chosen to be the target pollutants. The removal efficiency of each pollutant over biochar under different pH values is shown in Table 2. It is clear that the effect of pH is minimal for the adsorption process of sulfamethoxazole, while other three substances were greatly affected. The removal efficiency increases slowly and then decrease rapidly with the increase of pH values. The experimental results are consistent with those previously reported in the literature [25, 26]. The total adsorption amount is shown in Figure 4 which indicates that the best adsorption capacity is achieved when the pH value is 4.

Figure 4 The total adsorption capacity of sulfonamides under different pH.
Figure 4

The total adsorption capacity of sulfonamides under different pH.

Table 2

The removal efficiency of different pollutants over biochar under different pH values.

pHSulfamethoxazolThiazoleMethylpyrimidinedimethylpyrimidineTotal
3.0099.66%78.86%60.14%65.66%85.88%
4.0099.55%79.56%70.67%73.50%88.48%
5.0099.48%80.35%66.50%68.57%87.26%
6.0099.60%78.15%62.48%65.35%85.95%
7.0099.66%79.04%65.80%66.69%86.75%
8.0099.52%52.71%34.19%47.31%75.32%
9.0099.81%32.33%19.46%30.02%67.47%

3.3 The effect of temperature

In the experiment, the procedure was similar to that described in Section 3.2. Five colorimetric tubes with a working volume of 50 mL were prepared, and 10 mL solution containing 20 mg/L sulfonamides was added to each tube. Then, 0.5 g of modified biochar was added, respectively. According to the results of section 3.2, pH value of the reactors is optimized to be 4. Then the reaction temperature of each reactor was designed to be 25, 35, 45, 60, 75oC, respectively. All other parameters were as described in Section 3.2.

Table 3 shows the removal efficiency of different pollutants over biochar under different temperatures. It is clear that temperature has little effect on the adsorption of sulfamethoxazole. The other three substances showed similar removal tendency that the removal efficiency increases with the increase of temperature. The total adsorption amount can be observed in Figure 5. The adsorption capacity increased with temperature and seemed to plateau at around 45oC.

Table 3

The removal efficiency of different pollutants over biochar under different temperatures.

Temperature(oC)SulfamethoxazolThiazoleMethylpyrimidineDimethylpyrimidine
1097.73%61.94%52.37%78.85%
2597.99%83.55%78.36%93.27%
4598.81%91.55%90.19%95.83%
6099.40%95.25%94.25%98.52%
7598.69%99.12%98.25%98.39%
Figure 5 The total adsorption capacity of sulfonamides under different temperature.
Figure 5

The total adsorption capacity of sulfonamides under different temperature.

3.4 Equilibrium adsorption modeling (kinetics and isotherms)

Based on the results of Section 3.2 and 3.3, the following experiments were carried out at a pH of 4 and at 35oC.

3.5 The kinetic models

In the experiment, four colorimetric tubes with a working volume of 50 mL each were prepaerd, and 10 mL solution containing 20 mg/L sulfonamides was added to each tube. Then, 0.5 g of modified biochar was added respectively. Each suspension was oscillated for 24 hours under the condition of constant temperature. After these operations, the solution was taken out at given sampling times (0, 5, 10, 20, 40, 60, 90, 120 and 180 minutes), then filtered. The concentration of sulfonamides was analyzed later.

Figure 6 shows the adsorption kinetics of different antibiotics. It is clear that the adsorption efficiency of the biochar to the sulfamethoxazol was more than 90%, and the adsorption efficiency of dimethylpyrimidine, thiazole, and methylpyrimidine reached 84.96±0.15%, 69.71±0.33% and 64.24±0.28% after 180 minutes. These adsorption efficiency are much higher than the traditional sand filter method, which is less than 50%.

Figure 6 Adsorption kinetics of different antibiotics.
Figure 6

Adsorption kinetics of different antibiotics.

3.6 The isotherm models

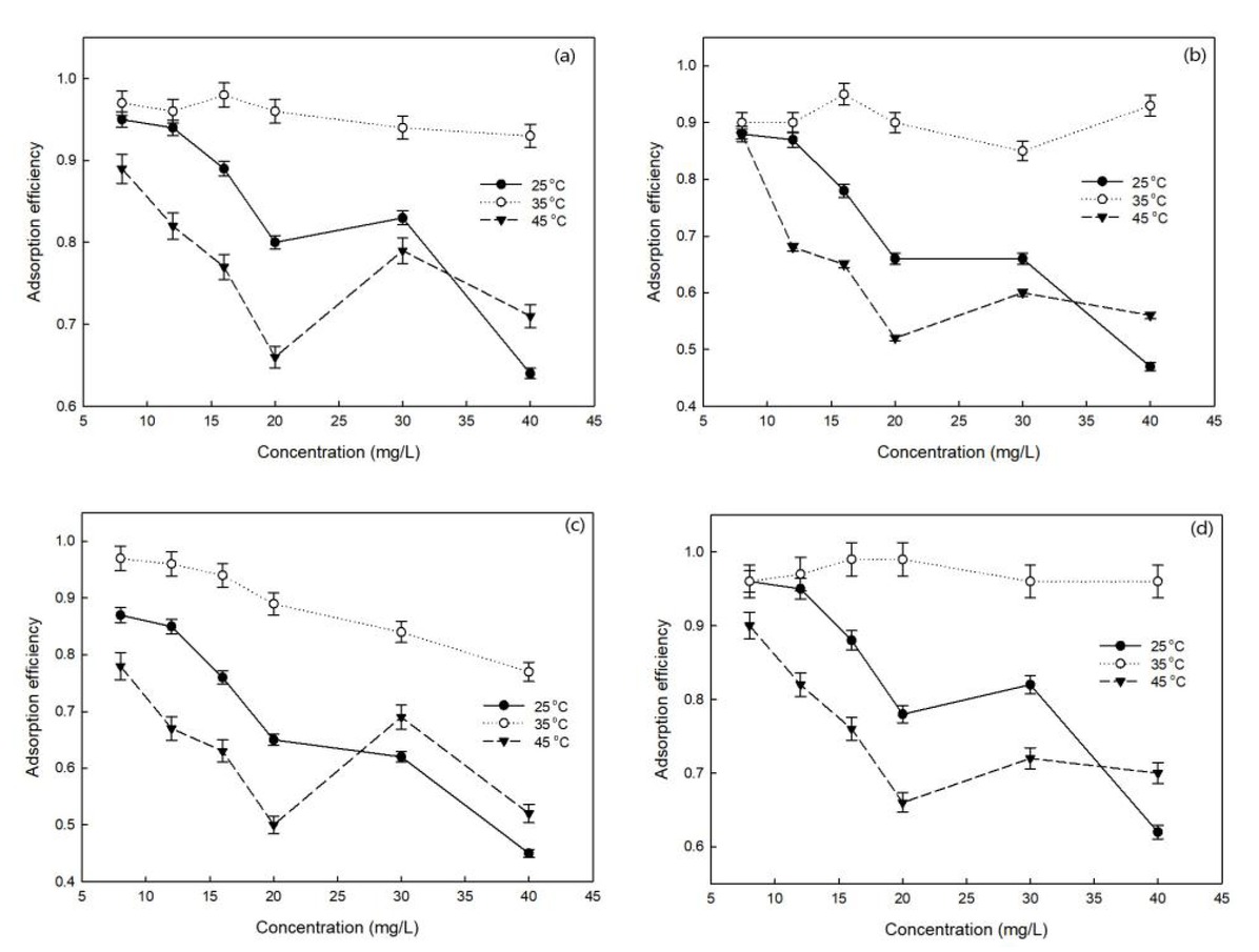
In the experiment, six colorimetric tubes with a working volume of 50 mL were prepared, and 0.5 g of modified biochar was added to each tube.. Then, 10 mL solution containing 8, 12, 16, 20, 30, 40 mg/L sulfonamides was added respectively. The reactors were oscillated for 24 hours under the condition of constant temperature at 25, 35, and 45oC, respectively. Then the solution was removed to detect the concentration of sulfonamides. From Figure 7, it can be seen clearly that for the four sulfonamides (sulfamethoxazol, thiazole, methylpyrimidine, dimethylpyrimidine), the best removal efficiency was achieved when the temperature was 35oC.

Figure 7 Adsorption isotherm of different antibiotics. (a) sulfamethoxazol; (b) thiazole; (c) methylpyrimidine; (d) dimethylpyrimidine.
Figure 7

Adsorption isotherm of different antibiotics. (a) sulfamethoxazol; (b) thiazole; (c) methylpyrimidine; (d) dimethylpyrimidine.

4 Conclusion

In summary, a method for producing biochar from bagasse is reported in this paper. The biochar was first obtained, then modified via different oxidizers and used as an adsorbent to remove sulfonamide antibiotics. The biochar obtained at 500oC and modified with 30% hydrogen peroxide was chosen as the adsorbent. The productivity of biochar obtained from bagasse is ~31% and the productivity of modified biochar reached ~89%. The modified biochar showed great adsorption performance toward sulfonamides in water. Under the optimum conditions of pH 4 and 35oC, an enhanced adsorption performance is exhibited for four sulfonamide antibiotics (sulfamethoxazol, thiazole, methylpyrimidine, dimethylpyrimidine). Besides the adsorption of antibiotics, the obtained material also has a great prospect in the removal of other pollutants.

Acknowledgements

This work was financially supported by the Natural Science Foundation of Guangdong Province, China (2016A030310022), the Pearl River S&T Nova Program of Guangzhou (201710010134), the Natural Science Fund for Colleges and Universities in Jiangsu Province (16KJB610003), the National Natural Science Foundation of China (21507034), and the Opening Foundation of Jiangsu Province Key Laboratory of Environmental Engineering (KF2014008).

  1. Conflict of interest: Authors declare no conflict of interest.

References

[1] Rodriguezmozaz S., Chamorro S., Marti E., Huerta B., Gros M., Occurrence of antibiotics and antibiotic resistance genes in hospital and urban wastewaters and their impact on the receiving river, Water Research, 2015, 69(1), 234-242.10.1016/j.watres.2014.11.021Search in Google Scholar PubMed

[2] Wang H., Yuan X., Wu Y., Zeng G., Dong H., In situ synthesis of In2S3@MIL-125(Ti)core-shell microparticle for the removal of tetracycline from wastewater by integrated adsorption and visible-light-driven photocatalysis, Applied Catalysis B: Environmental, 2016, 186(5), 19-29.10.1016/j.apcatb.2015.12.041Search in Google Scholar

[3] Chen F., Yang Q., Li X., Zeng G., Wang D., Hierarchical assembly of graphene-bridged Ag3PO4/Ag/BiVO4 (040) Z-scheme photocatalyst: An efficient, sustainable and heterogeneous catalyst with enhanced visible-light photoactivity towards tetracycline degradation under visible light irradiation, Applied Catalysis B: Environmental, 2017, 200, 330-342.10.1016/j.apcatb.2016.07.021Search in Google Scholar

[4] Watkinson A. J., Murby E. J., Costanzo S. D., Removal of antibiotics in conventional and advanced wastewater treatment: implications for environmental discharge and wastewater recycling, Water Research, 2007, 41(18), 4164-4176.10.1016/j.watres.2007.04.005Search in Google Scholar PubMed

[5] Siripong S., Rittmann B. E., Diversity study of nitrifying bacteria in full-scale municipal wastewater treatment plants, Water Research, 2007, 41(5), 1110-1120.10.1016/j.watres.2006.11.050Search in Google Scholar PubMed

[6] Ben W., Zhu B., Yuan X., Zhang Y., Yang M., Occurrence, removal and risk of organic micropollutants in wastewater treatment plants across China: Comparison of wastewater treatment processes, Water Research, 2018, 130, 38-46.10.1016/j.watres.2017.11.057Search in Google Scholar PubMed

[7] Kloepfer A., Jekel M., Reemtsma T., Occurrence, sources, and fate of benzothiazoles in municipal wastewater treatment plants, Environmental Science Technology, 2005, 39(10), 3792-3798.10.1021/es048141eSearch in Google Scholar PubMed

[8] Higgins P. G., Hrenovic J., Seifert H., Dekic S., Characterization of Acinetobacter baumannii from water and sludge line of secondary wastewater treatment plant, Water Research, 2018, 140, 261-267.10.1016/j.watres.2018.04.057Search in Google Scholar PubMed

[9] Chen Y., Wang D., Zhu X., Zheng X., Feng L., Long-term effects of copper nanoparticles on wastewater biological nutrient removal and N2O generation in the activated sludge process, Environmental Science & Technology, 2012, 46(22), 12452-12458.10.1021/es302646qSearch in Google Scholar PubMed

[10] Vymazal J., Kröpfelová L., A three-stage experimental constructed wetland for treatment of domestic sewage: First 2 years of operation, Ecological Engineering, 2011, 37(1), 90-98.10.1016/j.ecoleng.2010.03.004Search in Google Scholar

[11] Carballa M., Omil F., Lema J. M., Llompart M., Garcı́A-Jares C., Behavior of pharmaceuticals, cosmetics and hormones in a sewage treatment plant, Water Research, 2004, 38(12), 2918-2926.10.1016/j.watres.2004.03.029Search in Google Scholar PubMed

[12] Lamba M., Ahammad S. Z., Performance comparison of secondary and tertiary treatment systems for treating antibiotic resistance, Water Research, 2017, 127, 172-182.10.1016/j.watres.2017.10.025Search in Google Scholar PubMed

[13] Liu J., Qu W., Yuan J., Zheng C. G., Wang S., Qiu J., Theoretical studies of properties and reactions involving mercury species present in combustion flue gases, Energy Fuels, 2010, 24(1), 117-122,.10.1021/ef9005143Search in Google Scholar

[14] Mo J. H., Qi Y., Zhang N., Zhang W. Zheng X., Y., Zhang Z. E., A review on Agro-Industrial Waste (AIW) derived adsorbents for water and wastewater treatment, Journal of Environmental Management, 2018, 227, 395-405.10.1016/j.jenvman.2018.08.069Search in Google Scholar PubMed

[15] Xue Y. W, Gao B., Yao Y., Inyang M., Zhang M., Zimmerman A. R., Hydrogen peroxide modification enhances the ability of biochar (hydrochar) produced from hydrothermal carbonization of peanut hull to remove aqueous heavy metals: batch and column tests, Chemical Engineering Journal, 2012, 200-202(15), 673-680.10.1016/j.cej.2012.06.116Search in Google Scholar

[16] Sizmur T., Fresno T., Akgül G., Frost H., Jiménez E. M., Biochar modification to enhance sorption of inorganics from water, Bioresource Technology, 2017, 246, 34-47.10.1016/j.biortech.2017.07.082Search in Google Scholar PubMed

[17] Gupta V. K., Jain C. K., Ali I., Sharma M., Saini V. K., Removal of cadmium and nickel from wastewater using bagasse fly ash-a sugar industry waste, Water Research, 2003, 37(16), 4038-4044.10.1016/S0043-1354(03)00292-6Search in Google Scholar PubMed

[18] Mohan D., Singh K. P., Single- and multi-component adsorption of cadmium and zinc using activated carbon derived from bagasse-an agricultural waste, Water Research, 2002, 36(9), 2304-2318.10.1016/S0043-1354(01)00447-XSearch in Google Scholar

[19] Sangnark A., Noomhorm A., Effect of particle sizes on functional properties of dietary fibre prepared from sugarcane bagasse, Food Chemistry, 2003, 80(2), 221-229.10.1016/S0308-8146(02)00257-1Search in Google Scholar

[20] Yang Y., Singh H., Singh B., Mani S., Torrefaction of sorghum biomass to improve fuel properties, Bioresource Technology, 2017, 232(2), 372-379.10.1016/j.biortech.2017.02.060Search in Google Scholar PubMed

[21] Woolf D., Amonette J. E., Street-Perrott F. A., Lehmann J., Joseph S., Sustainable biochar to mitigate global climate change, Nature Communications, 2010, 1(5), 1-9.10.1038/ncomms1053Search in Google Scholar PubMed PubMed Central

[22] AhmedM. B., Zhou J. L., Ngo H. H., Guo W., Chen M., Progress in the preparation and application of modified biochar for improved contaminant removal from water and wastewater, Bioresource Technology, 2016, 214, 836-851.10.1016/j.biortech.2016.05.057Search in Google Scholar PubMed

[23] Rajapaksha A. U., Chen S. S., Tsang D. C., Zhang M., Vithanage M., Engineered/designer biochar for contaminant removal/immobilization from soil and water: Potential and implication of biochar modification, Chemosphere, 2016, 148, 276-291.10.1016/j.chemosphere.2016.01.043Search in Google Scholar PubMed

[24] Ahmad M., Rajapaksha A. U., Lim J. E., Zhang M., Bolan N., Biochar as a sorbent for contaminant management in soil and water: a review, Chemosphere, 2014, 99(3), 19-33.10.1016/j.chemosphere.2013.10.071Search in Google Scholar PubMed

[25] Guo X., Yin Y., Yang C., Zhang Q., Remove mechanisms of sulfamethazine by goethite: the contributions of pH and ionic strength, Research on Chemical Intermediates, 2016, 42(7), 6423-6435.10.1007/s11164-016-2472-4Search in Google Scholar

[26] Rajapaksha A. U., Vithanange M., Lee S. S., Seo D. C., Tsang D. C. W., Ok Y. S., Steam activation of biachars facilitates kinetics and pH-resilience of sulfamethazine sorption, Journal of Soils and Sediments, 2016, 16(3), 889-895.10.1007/s11368-015-1325-xSearch in Google Scholar

Received: 2019-02-07
Accepted: 2019-07-19
Published Online: 2019-12-31

© 2019 Pinzhu Qin et al., published by De Gruyter

This work is licensed under the Creative Commons Attribution 4.0 Public License.

Articles in the same Issue

  1. Regular Articles
  2. Research on correlation of compositions with oestrogenic activity of Cistanche based on LC/Q-TOF-MS/MS technology
  3. Efficacy of Pyrus elaeagnifolia subsp. elaeagnifolia in acetic acid–induced colitis model
  4. Anti-inflammatory and antinociceptive features of Bryonia alba L.: As a possible alternative in treating rheumatism
  5. High efficiency liposome fusion induced by reducing undesired membrane peptides interaction
  6. Prediction of the Blood-Brain Barrier Permeability Using RP-18 Thin Layer Chromatography
  7. Phytic Acid Extracted from Rice Bran as a Growth Promoter for Euglena gracilis
  8. Development of a validated spectrofluorimetric method for assay of sotalol hydrochloride in tablets and human plasma: application for stability-indicating studies
  9. Topological Indices of Hyaluronic Acid-Paclitaxel Conjugates’ Molecular Structure in Cancer Treatment
  10. Thermodynamic properties of the bubble growth process in a pool boiling of water-ethanol mixture two-component system
  11. Critical Roles of the PI3K-Akt-mTOR Signaling Pathway in Apoptosis and Autophagy of Astrocytes Induced by Methamphetamine
  12. Characteristics of Stable Hydrogen and Oxygen Isotopes of Soil Moisture under Different Land Use in Dry Hot Valley of Yuanmou
  13. Specific, highly sensitive and simple spectrofluorimetric method for quantification of daclatasvir in HCV human plasma patients and in tablets dosage form
  14. Chromium-modified cobalt molybdenum nitrides as catalysts for ammonia synthesis
  15. Langerhans cell-like dendritic cells treated with ginsenoside Rh2 regulate the differentiation of Th1 and Th2 cells in vivo
  16. Identification of Powdery Mildew Blumeria graminis f. sp. tritici Resistance Genes in Selected Wheat Varieties and Development of Multiplex PCR
  17. Computational Analysis of new Degree-based descriptors of oxide networks
  18. The Use Of Chemical Composition And Additives To Classify Petrol And Diesel Using Gas Chromatography–Mass Spectrometry And Chemometric Analysis: A Uk Study
  19. Minimal Energy Tree with 4 Branched Vertices
  20. Jatropha seed oil derived poly(esteramide-urethane)/ fumed silica nanocomposite coatings for corrosion protection
  21. Calculating topological indices of certain OTIS interconnection networks
  22. Energy storage analysis of R125 in UIO-66 and MOF-5 nanoparticles: A molecular simulation study
  23. Velvet Antler compounds targeting major cell signaling pathways in osteosarcoma - a new insight into mediating the process of invasion and metastasis in OS
  24. Effects of Azadirachta Indica Leaf Extract, Capping Agents, on the Synthesis of Pure And Cu Doped ZnO-Nanoparticles: A Green Approach and Microbial Activity
  25. Aqueous Micro-hydration of Na+(H2O)n=1-7 Clusters: DFT Study
  26. A proposed image-based detection of methamidophos pesticide using peroxyoxalate chemiluminescence system
  27. Phytochemical screening and estrogenic activity of total glycosides of Cistanche deserticola
  28. Biological evaluation of a series of benzothiazole derivatives as mosquitocidal agents
  29. Chemical pretreatments of Trapa bispinosa's peel (TBP) biosorbent to enhance adsorption capacity for Pb(ll)
  30. Dynamic Changes in MMP1 and TIMP1 in the Antifibrotic Process of Dahuang Zhechong Pill in Rats with Liver Fibrosis
  31. The Optimization and Production of Ginkgolide B Lipid Microemulsion
  32. Photodynamic Therapy Enhanced the Antitumor Effects of Berberine on HeLa Cells
  33. Chiral and Achiral Enantiomeric Separation of (±)-Alprenolol
  34. Correlation of Water Fluoride with Body Fluids, Dental Fluorosis and FT4, FT3 –TSH Disruption among Children in an Endemic Fluorosis area in Pakistan
  35. A one-step incubation ELISA kit for rapid determination of dibutyl phthalate in water, beverage and liquor
  36. Free Radical Scavenging Activity of Essential Oil of Eugenia caryophylata from Amboina Island and Derivatives of Eugenol
  37. Effects of Blue and Red Light On Growth And Nitrate Metabolism In Pakchoi
  38. miRNA-199a-5p functions as a tumor suppressor in prolactinomas
  39. Solar photodegradation of carbamazepine from aqueous solutions using a compound parabolic concentrator equipped with a sun tracking system
  40. Influence of sub-inhibitory concentration of selected plant essential oils on the physical and biochemical properties of Pseudomonas orientalis
  41. Preparation and spectroscopic studies of Fe(II), Ru(II), Pd(II) and Zn(II) complexes of Schiff base containing terephthalaldehyde and their transfer hydrogenation and Suzuki-Miyaura coupling reaction
  42. Complex formation in a liquid-liquid extraction-chromogenic system for vanadium(IV)
  43. Synthesis, characterization (IR, 1H, 13C & 31P NMR), fungicidal, herbicidal and molecular docking evaluation of steroid phosphorus compounds
  44. Analysis and Biological Evaluation of Arisaema Amuremse Maxim Essential Oil
  45. A preliminary assessment of potential ecological risk and soil contamination by heavy metals around a cement factory, western Saudi Arabia
  46. Anti- inflammatory effect of Prunus tomentosa Thunb total flavones in LPS-induced RAW264.7 cells
  47. Collaborative Influence of Elevated CO2 Concentration and High Temperature on Potato Biomass Accumulation and Characteristics
  48. Methods of extraction, physicochemical properties of alginates and their applications in biomedical field – a review
  49. Characteristics of liposomes derived from egg yolk
  50. Preparation of ternary ZnO/Ag/cellulose and its enhanced photocatalytic degradation property on phenol and benzene in VOCs
  51. Influence of Human Serum Albumin Glycation on the Binding Affinities for Natural Flavonoids
  52. Synthesis and antioxidant activity of 2-methylthio-pyrido[3,2-e][1,2,4] triazolo[1,5-a]pyrimidines
  53. Comparative study on the antioxidant activities of ten common flower teas from China
  54. Molecular Properties of Symmetrical Networks Using Topological Polynomials
  55. Synthesis of Co3O4 Nano Aggregates by Co-precipitation Method and its Catalytic and Fuel Additive Applications
  56. Phytochemical analysis, Antioxidant and Antiprotoscolices potential of ethanol extracts of selected plants species against Echinococcus granulosus: In-vitro study
  57. Silver nanoparticles enhanced fluorescence for sensitive determination of fluoroquinolones in water solutions
  58. Simultaneous Quantification of the New Psychoactive Substances 3-FMC, 3-FPM, 4-CEC, and 4-BMC in Human Blood using GC-MS
  59. Biodiesel Production by Lipids From Indonesian strain of Microalgae Chlorella vulgaris
  60. Miscibility studies of polystyrene/polyvinyl chloride blend in presence of organoclay
  61. Antibacterial Activities of Transition Metal complexes of Mesocyclic Amidine 1,4-diazacycloheptane (DACH)
  62. Novel 1,8-Naphthyridine Derivatives: Design, Synthesis and in vitro screening of their cytotoxic activity against MCF7 cell line
  63. Investigation of Stress Corrosion Cracking Behaviour of Mg-Al-Zn Alloys in Different pH Environments by SSRT Method
  64. Various Combinations of Flame Retardants for Poly (vinyl chloride)
  65. Phenolic compounds and biological activities of rye (Secale cereale L.) grains
  66. Oxidative degradation of gentamicin present in water by an electro-Fenton process and biodegradability improvement
  67. Optimizing Suitable Conditions for the Removal of Ammonium Nitrogen by a Microbe Isolated from Chicken Manure
  68. Anti-inflammatory, antipyretic, analgesic, and antioxidant activities of Haloxylon salicornicum aqueous fraction
  69. The anti-corrosion behaviour of Satureja montana L. extract on iron in NaCl solution
  70. Interleukin-4, hemopexin, and lipoprotein-associated phospholipase A2 are significantly increased in patients with unstable carotid plaque
  71. A comparative study of the crystal structures of 2-(4-(2-(4-(3-chlorophenyl)pipera -zinyl)ethyl) benzyl)isoindoline-1,3-dione by synchrotron radiation X-ray powder diffraction and single-crystal X-ray diffraction
  72. Conceptual DFT as a Novel Chemoinformatics Tool for Studying the Chemical Reactivity Properties of the Amatoxin Family of Fungal Peptides
  73. Occurrence of Aflatoxin M1 in Milk-based Mithae samples from Pakistan
  74. Kinetics of Iron Removal From Ti-Extraction Blast Furnace Slag by Chlorination Calcination
  75. Increasing the activity of DNAzyme based on the telomeric sequence: 2’-OMe-RNA and LNA modifications
  76. Exploring the optoelectronic properties of a chromene-appended pyrimidone derivative for photovoltaic applications
  77. Effect of He Qi San on DNA Methylation in Type 2 Diabetes Mellitus Patients with Phlegm-blood Stasis Syndrome
  78. Cyclodextrin potentiometric sensors based on selective recognition sites for procainamide: Comparative and theoretical study
  79. Greener synthesis of dimethyl carbonate from carbon dioxide and methanol using a tunable ionic liquid catalyst
  80. Nonisothermal Cold Crystallization Kinetics of Poly(lactic acid)/Bacterial Poly(hydroxyoctanoate) (PHO)/Talc
  81. Enhanced adsorption of sulfonamide antibiotics in water by modified biochar derived from bagasse
  82. Study on the Mechanism of Shugan Xiaozhi Fang on Cells with Non-alcoholic Fatty Liver Disease
  83. Comparative Effects of Salt and Alkali Stress on Antioxidant System in Cotton (Gossypium Hirsutum L.) Leaves
  84. Optimization of chromatographic systems for analysis of selected psychotropic drugs and their metabolites in serum and saliva by HPLC in order to monitor therapeutic drugs
  85. Electrocatalytic Properties of Ni-Doped BaFe12O19 for Oxygen Evolution in Alkaline Solution
  86. Study on the removal of high contents of ammonium from piggery wastewater by clinoptilolite and the corresponding mechanisms
  87. Phytochemistry and toxicological assessment of Bryonia dioica roots used in north-African alternative medicine
  88. The essential oil composition of selected Hemerocallis cultivars and their biological activity
  89. Mechanical Properties of Carbon Fiber Reinforced Nanocrystalline Nickel Composite Electroforming Deposit
  90. Anti-c-myc efficacy block EGFL7 induced prolactinoma tumorigenesis
  91. Topical Issue on Applications of Mathematics in Chemistry
  92. Zagreb Connection Number Index of Nanotubes and Regular Hexagonal Lattice
  93. The Sanskruti index of trees and unicyclic graphs
  94. Valency-based molecular descriptors of Bakelite network BNmn
  95. Computing Topological Indices for Para-Line Graphs of Anthracene
  96. Zagreb Polynomials and redefined Zagreb indices of Dendrimers and Polyomino Chains
  97. Topological Descriptor of 2-Dimensional Silicon Carbons and Their Applications
  98. Topological invariants for the line graphs of some classes of graphs
  99. Words for maximal Subgroups of Fi24
  100. Generators of Maximal Subgroups of Harada-Norton and some Linear Groups
  101. Special Issue on POKOCHA 2018
  102. Influence of Production Parameters on the Content of Polyphenolic Compounds in Extruded Porridge Enriched with Chokeberry Fruit (Aronia melanocarpa (Michx.) Elliott)
  103. Effects of Supercritical Carbon Dioxide Extraction (SC-CO2) on the content of tiliroside in the extracts from Tilia L. flowers
  104. Impact of xanthan gum addition on phenolic acids composition and selected properties of new gluten-free maize-field bean pasta
  105. Impact of storage temperature and time on Moldavian dragonhead oil – spectroscopic and chemometric analysis
  106. The effect of selected substances on the stability of standard solutions in voltammetric analysis of ascorbic acid in fruit juices
  107. Determination of the content of Pb, Cd, Cu, Zn in dairy products from various regions of Poland
  108. Special Issue on IC3PE 2018 Conference
  109. The Photocatalytic Activity of Zns-TiO2 on a Carbon Fiber Prepared by Chemical Bath Deposition
  110. N-octyl chitosan derivatives as amphiphilic carrier agents for herbicide formulations
  111. Kinetics and Mechanistic Study of Hydrolysis of Adenosine Monophosphate Disodium Salt (AMPNa2) in Acidic and Alkaline Media
  112. Antimalarial Activity of Andrographis Paniculata Ness‘s N-hexane Extract and Its Major Compounds
  113. Special Issue on ABB2018 Conference
  114. Special Issue on ICCESEN 2017
  115. Theoretical Diagnostics of Second and Third-order Hyperpolarizabilities of Several Acid Derivatives
  116. Determination of Gamma Rays Efficiency Against Rhizoctonia solani in Potatoes
  117. Studies On Compatibilization Of Recycled Polyethylene/Thermoplastic Starch Blends By Using Different Compatibilizer
  118. Liquid−Liquid Extraction of Linalool from Methyl Eugenol with 1-Ethyl-3-methylimidazolium Hydrogen Sulfate [EMIM][HSO4] Ionic Liquid
  119. Synthesis of Graphene Oxide Through Ultrasonic Assisted Electrochemical Exfoliation
  120. Special Issue on ISCMP 2018
  121. Synthesis and antiproliferative evaluation of some 1,4-naphthoquinone derivatives against human cervical cancer cells
  122. The influence of the grafted aryl groups on the solvation properties of the graphyne and graphdiyne - a MD study
  123. Electrochemical modification of platinum and glassy carbon surfaces with pyridine layers and their use as complexing agents for copper (II) ions
  124. Effect of Electrospinning Process on Total Antioxidant Activity of Electrospun Nanofibers Containing Grape Seed Extract
  125. Effect Of Thermal Treatment Of Trepel At Temperature Range 800-1200˚C
  126. Topical Issue on Agriculture
  127. The effect of Cladophora glomerata exudates on the amino acid composition of Cladophora fracta and Rhizoclonium sp.
  128. Influence of the Static Magnetic Field and Algal Extract on the Germination of Soybean Seeds
  129. The use of UV-induced fluorescence for the assessment of homogeneity of granular mixtures
  130. The use of microorganisms as bio-fertilizers in the cultivation of white lupine
  131. Lyophilized apples on flax oil and ethyl esters of flax oil - stability and antioxidant evaluation
  132. Production of phosphorus biofertilizer based on the renewable materials in large laboratory scale
  133. Human health risk assessment of potential toxic elements in paddy soil and rice (Oryza sativa) from Ugbawka fields, Enugu, Nigeria
  134. Recovery of phosphates(V) from wastewaters of different chemical composition
  135. Special Issue on the 4th Green Chemistry 2018
  136. Dead zone for hydrogenation of propylene reaction carried out on commercial catalyst pellets
  137. Improved thermally stable oligoetherols from 6-aminouracil, ethylene carbonate and boric acid
  138. The role of a chemical loop in removal of hazardous contaminants from coke oven wastewater during its treatment
  139. Combating paraben pollution in surface waters with a variety of photocatalyzed systems: Looking for the most efficient technology
  140. Special Issue on Chemistry Today for Tomorrow 2019
  141. Applying Discriminant and Cluster Analyses to Separate Allergenic from Non-allergenic Proteins
  142. Chemometric Expertise Of Clinical Monitoring Data Of Prolactinoma Patients
  143. Chemomertic Risk Assessment of Soil Pollution
  144. New composite sorbent for speciation analysis of soluble chromium in textiles
  145. Photocatalytic activity of NiFe2O4 and Zn0.5Ni0.5Fe2O4 modified by Eu(III) and Tb(III) for decomposition of Malachite Green
  146. Photophysical and antibacterial activity of light-activated quaternary eosin Y
  147. Spectral properties and biological activity of La(III) and Nd(III) Monensinates
  148. Special Issue on Monitoring, Risk Assessment and Sustainable Management for the Exposure to Environmental Toxins
  149. Soil organic carbon mineralization in relation to microbial dynamics in subtropical red soils dominated by differently sized aggregates
  150. A potential reusable fluorescent aptasensor based on magnetic nanoparticles for ochratoxin A analysis
  151. Special Issue on 13th JCC 2018
  152. Fluorescence study of 5-nitroisatin Schiff base immobilized on SBA-15 for sensing Fe3+
  153. Thermal and Morphology Properties of Cellulose Nanofiber from TEMPO-oxidized Lower part of Empty Fruit Bunches (LEFB)
  154. Encapsulation of Vitamin C in Sesame Liposomes: Computational and Experimental Studies
  155. A comparative study of the utilization of synthetic foaming agent and aluminum powder as pore-forming agents in lightweight geopolymer synthesis
  156. Synthesis of high surface area mesoporous silica SBA-15 by adjusting hydrothermal treatment time and the amount of polyvinyl alcohol
  157. Review of large-pore mesostructured cellular foam (MCF) silica and its applications
  158. Ion Exchange of Benzoate in Ni-Al-Benzoate Layered Double Hydroxide by Amoxicillin
  159. Synthesis And Characterization Of CoMo/Mordenite Catalyst For Hydrotreatment Of Lignin Compound Models
  160. Production of Biodiesel from Nyamplung (Calophyllum inophyllum L.) using Microwave with CaO Catalyst from Eggshell Waste: Optimization of Transesterification Process Parameters
  161. The Study of the Optical Properties of C60 Fullerene in Different Organic Solvents
  162. Composite Material Consisting of HKUST-1 and Indonesian Activated Natural Zeolite and its Application in CO2 Capture
  163. Topical Issue on Environmental Chemistry
  164. Ionic liquids modified cobalt/ZSM-5 as a highly efficient catalyst for enhancing the selectivity towards KA oil in the aerobic oxidation of cyclohexane
  165. Application of Thermal Resistant Gemini Surfactants in Highly Thixotropic Water-in-oil Drilling Fluid System
  166. Screening Study on Rheological Behavior and Phase Transition Point of Polymer-containing Fluids produced under the Oil Freezing Point Temperature
  167. The Chemical Softening Effect and Mechanism of Low Rank Coal Soaked in Alkaline Solution
  168. The Influence Of NO/O2 On The NOx Storage Properties Over A Pt-Ba-Ce/γ-Al2O3 Catalyst
  169. Special Issue on the International conference CosCI 2018
  170. Design of SiO2/TiO2 that Synergistically Increases The Hydrophobicity of Methyltrimethoxysilane Coated Glass
  171. Antidiabetes and Antioxidant agents from Clausena excavata root as medicinal plant of Myanmar
  172. Development of a Gold Immunochromatographic Assay Method Using Candida Biofilm Antigen as a Bioreceptor for Candidiasis in Rats
  173. Special Issue on Applied Biochemistry and Biotechnology 2019
  174. Adsorption of copper ions on Magnolia officinalis residues after solid-phase fermentation with Phanerochaete chrysosporium
  175. Erratum
  176. Erratum to: Sand Dune Characterization For Preparing Metallurgical Grade Silicon
Downloaded on 20.12.2025 from https://www.degruyterbrill.com/document/doi/10.1515/chem-2019-0141/html
Scroll to top button