Home Physical Sciences The anti-corrosion behaviour of Satureja montana L. extract on iron in NaCl solution
Article Open Access

The anti-corrosion behaviour of Satureja montana L. extract on iron in NaCl solution

  • Zora Pilić EMAIL logo , Ivan Dragičević and Ivana Martinović
Published/Copyright: December 10, 2019

Abstract

The effect of Satureja montana L. extract (SM) and phenolic fraction of Satureja montana L. (PF) on the corrosion behaviour of iron in 0.1 mol L-1 sodium chloride solution was studied by electrochemical techniques, UV/Vis spectrophotometry and atomic absorption spectrometry. The results of all techniques showed that SM and PF contributed to iron corrosion inhibition. The calculated inhibition efficiency values were about 45% for SM and 55% for PF. Results indicate that the inhibitive action occurs via a precipitation of the Fe-complex onto the iron surface which resulting in a decrease of the passive current density. The atomic absorption spectrometry (AAS) method was applied to the quantitative determination of iron in solution. The obtained results demonstrated good agreement with results obtained by electrochemical techniques.

1 Introduction

Many metals and alloys are an important category of materials due to the various industrial applications and economic importance but they are susceptible to different mechanisms of corrosion due to their exposure to different corrosive media [1, 2, 3, 4]. The corrosion behaviour of these materials depends of the oxide layer on metal surface and a great number of corrosion investigations performed using different techniques: electrochemical [3,4], SERS [5,6], XANES [7,8] etc., have been focused on the surface film. Because of the general aggressiveness of chloride-containing solution [9, 10] corrosion control is an essential issue from application point of view. One of the important methods used to reduce the rate of metal corrosion is the addition of inhibitors [11, 12, 13, 14]. Corrosion inhibitors are substances, which in small concentrations decrease or prevent the degradation of metal. The degree of inhibition depends on metal nature and type of the medium.

Unfortunately, many of the inhibitors used are compounds with toxic properties. However, an increasing awareness of health and ecological risks has drawn attention to finding nontoxic and environmental friendly corrosion inhibitors. Therefore, researchers are looking for eco-friendly natural inhibitors as an alternative [12, 13, 14, 15, 16, 17]. Green inhibitors can be used in the form of extracts, essential oils or pure compounds. The natural compounds are biodegradable, easy available and non-toxic. Plants, which contain heterocyclic constituents (phenolic, aromatic compounds, etc.) can act as potential inhibitors. Protection efficiency of these inhibitors is attributed mainly to the presence of an active center for adsorption.

The possibility of corrosion inhibition of iron by natural antioxidants from Satureja montana L. was the focus of this study. In our earlier paper [18] the extract of the Achillea millefolium L. was investigated as corrosion inhibitor on a iron sample in an acid rain solution. The aim of the present work is to study the influence of Satureja montana L. extract on the corrosion behaviour of iron in NaCl solution.

Satureja montana L. is a plant with antimicrobial [19,20], cytotoxic [21], and antioxidant properties [22, 23, 24, 25] and it is also used in ethno medicine against intestinal parasites and for the treatment of stomach disorders and cough. According to scientific papers [23, 24, 25] this activity of SM extract is attributed to presented phenolic compounds. Due to positive properties, Satureja montana L., was chosen as a potential environmentally friendly corrosion inhibitor.

2 Experimental

The study was performed with spectroscopically pure iron (Fe). The sample of Fe cylinder was used as a working electrode. The lateral surface of the cylinder was coated with polymer material, exposing only the plane of the cylinder base with a 0.636 cm2 surface area to the solution.

The surface of the electrode was polished with 1200 grade emery paper, degreased in ethanol in an ultrasonic bath and rinsed with ultrapure water produced by Millipore Simplicity UV Water Purification System.

A Pt plate and an Ag | AgCl | 3 mol L-1 KCl were used as the counter and reference electrodes, respectively. All potential values are reported vs. Ag | AgCl | 3 mol L-1 KCl. Measurements were carried out at room temperature in a standard three electrode arrangement using Autolab PGSTAT320N controlled by a personal computer using Nova 1.5 software.

The electrolyte was purified with argon. Prior to electrochemical measurements the electrode was held at the potential -1.40 V vs. Ag/AgCl for 30 seconds to remove spontaneously formed oxides.

Potentiodynamic polarization (PP) curves were recorded in the potential range from -400 mV to 400 mV near the open circuit potential (EOCP) and with the scan rate of 1.0 mV s-1.

Cyclic voltammetry (CV) measurements were performed in the potential region from –1.40 V up to –0.20 V with a sweep rate of 40 mV s-1.

Electrochemical impedance spectra (EIS) were performed at open circuit potential, E OCP in the frequency range 10 kHz – 5 mHz with a 10 mV rms amplitude. Prior to EIS measurements the electrode was immersed in the solution for 30 minutes to stabilize at the open circuit potential. All experiments were performed at least thrice to ensure the reproducibility of the data.

The content of dissolved iron during 1 hour-immersion of electrode in solution at EOCP were determined by atomic absorption spectrometry (AAS). This period of time was chosen to match the duration of EIS measurments.

The basic electrolyte was 0.1 mol L-1 sodium chloride solution. The pH value of solution was 7.0. pH value was adjusted by the addition of 0.2 mol L-1 NaOH and of 0.2 mol L-1 HCl. All chemicals used were of analytical grade and were obtained from Sigma Aldrich and all solutions were prepared with ultra pure water.

Experiments were performed in sodium chloride solution without and with the addition of Satureja montana L. extract (SM) and phenolic fraction of Satureja montana L. extract (PF). The aerial parts of Satureja montana L. were collected during summer 2017 in the wider area of Mostar, Bosnia and Herzegovina and specimens were dried in air for three weeks. Extract of plant material was prepared after 6 h maceration in water at room temperature. The concentration of the Satureja montana L. extract was 2.0 g L-1. 1 mL SM was added in 50 mL sodium chloride solution.

The neutral and acidic phenolic constituents of extract were separated using solid-phase extraction (SPE) on C18 Sep Pak cartridges (Waters Associates, Milford, MA, USA) according to the procedure outlined by Katalinić [26]. Briefly, 10 mL of extract was passed drop by drop through cartridges, previously conditioned with methanol and water. The acidic phenol fraction was eluted with 10 mL of water and the neutral phenolic fraction (PF) was eluted with 10 mL of ethyl acetate, evaporated under vacuum on a rotary evaporator at 30oC and the dry residue dissolved in 10 mL water. In this work the neutral phenolic fractions were used for investigation, 1 mL PF was added in 50 mL sodium chloride solution.

The total phenolic compounds of Satureja montana L. were extracted by 70% aqueous solutions of acetone [27,28]. Extraction was performed using 0.5 g of plant material and 25 mL solvent during 20 min in an ultrasonic bath at room temperature. The slurry was filtered. Then, extract was centrifuged at 3000 rpm for 10 min. at 4oC. The supernatant was recovered and used for the determination of total phenolic contents.

Total phenolics of Satureja montana L. extract were determined spectrophotometrically using Folin-Ciocalteu reagent [27, 28, 29]. Different concentrations of tannic acid (20 - 120 μg mL–1) were used to plot a standard curve (y = 0.0064 x + 0.0016; r2 = 0.9952). Aliquot (100 μL) of aqueous acetone extract was transferred into the test tube and was diluted with water to the final volume of 0.5 mL. To each tube, 0.25 mL of the Folin-Ciocalteu reagent and 1.25 mL of the Na2CO3 solution (20%) were added. After 40 min. at room temperature, the absorbance of all samples and standards was measured at 725 nm using a UV-Vis spectrophotometer (Shimadzu, 1240). The total phenolic contents were calculated according to the tannic acid and they were expressed as tannic acid equivalents per g dry sample.

Ethical approval: The conducted research is not related to either human or animal use.

3 Results and Discussion

3.1 Potentiodynamic polarization

Figure 1 shows the potentiodynamic polarization curves for the Fe electrode in 0.1 mol L-1 NaCl in the absence and presence of extract (SM) and phenolic fraction (PF) of Satureja montana L.

Figure 1 Potentiodynamic polarization curves for Fe electrode in 0.1 mol L-1 NaCl containing SM extract and phenolic fraction (PF) of Satureja montana L. v= 1 mV s−1.
Figure 1

Potentiodynamic polarization curves for Fe electrode in 0.1 mol L-1 NaCl containing SM extract and phenolic fraction (PF) of Satureja montana L. v= 1 mV s−1.

It is obvious from Figure 1 that the presence of SM and PF induces changes in the polarization behaviour of the iron and shifts cathodic curves to lower values of current densities compared with those in the pure 0.1 mol L-1 NaCl solution. The addition of both extracts shifts the corrosion potential to more negative values and the anodic domain current density remains almost the same. This result suggests that the presence of both extracts reduces only the cathodic reaction of hydrogen evolution without affecting anodic dissolution of metal. Since the measurements were carried out in deaerated electrolyte solutions, the cathodic reaction was hydrogen evolution.

The corresponding electrochemical parameteres such as corrosion potential, Ecorr, corrosion current densities, jcorr, cathodic Tafel slope, bc, anodic Tafel slope, ba, along with the inhibition effciency, h are listed in Table 1.

Table 1

Potentiodynamic polarization parameters for Fe electrode in 0.1 mol L-1 NaCl containing SM extract and phenolic fraction (PF) of Satureja montana L.

solutionEcorr (V)jcorr (μA cm-2)bcbaη (%)
V dec-1V dec-1
NaCl–0.88754.210.3250.130-
NaCl + SM–0.96128.300.3910.13847.8
NaCl + PF–0.96623.290.3690.14157.0

From Table 1 it is evident that by adding inhibitors ba values do not change significantly with respect to the blank solution. However, bc values change significantly so both extracts behave like cathodic inhibitors. An inhibitor can be referred as cathodic or anodic if the displacement in corrosion potential is more than 85 mV with respect to Ecorr of the blank [17, 30]. In our study, the displacement in Ecorr value was less than 85 mV and this indicates that both extracts can be classified as mixed-type inhibitor which is predominantly cathodic.

Inspection of Figure 1 reveals that the cathodic Tafel lines are parallel and it points to unchanged mechanism of cathodic reaction with extract addition to the solution [31].

The inhibition efficiency, h of SM extract and phenolic fraction determined through the corrosion current density is given by the following relation:

η(%)=jcorr0jcorrjcorr0100

Where jcorr0and jcorr are corrosion current densities of the Fe in the absence and presence of SM or PF. Table 1 shows that the addition of both extracts has better corrosion inhibition effect and increases inhibition efficiency.

3.2 Cyclic voltammetry

The cyclic voltammograms of iron in 0.1 mol L−1 NaCl solution without and in the presence of extract (SM) and phenolic fraction (PF) of Satureja montana L. were recorded and are represented in Figure 2. The potential was started at –1.40 V and swept in the positive direction up to –0.20 V at a scanning rate of 40 mV s-1.

Figure 2 Cyclic voltammograms for Fe electrode in 0.1 mol L-1 NaCl containing extract (SM) and phenolic fraction (PF) of Satureja montana L. v= 40 mV s−1.
Figure 2

Cyclic voltammograms for Fe electrode in 0.1 mol L-1 NaCl containing extract (SM) and phenolic fraction (PF) of Satureja montana L. v= 40 mV s−1.

Oxidation and reduction processes on the bare Fe electrode have already been discussed [4,18] and here will be only briefly covered. Two oxidation peaks can be observed in the anodic portion of cyclic voltammogram. The first oxidation peak, A1, at a potential –0.90 V, can be associated to the formation of a non-protective Fe(OH)2 layer. Second peak, A2, in the anodic direction is observed at potential –0.52 V and this is associated with the oxidation of Fe(II) to Fe(III). It is followed by the region with the constant current density up to –0.20 V indicating a steady-state film growth in the passive region. In the reduction scan, two peaks (C2, C1) are observed which are related to the reduction of Fe3+ to Fe2+ and Fe2+ to Fe, respectively. As shown in a previous investigation [4] the reduction of oxide layer is not complete. The CV spectra (Figure 2) showed that the addition of extract (SM) and phenolic fraction (PF) had no significant effect of the E/j profile in the potential region of peak A1 while in the potential region of peak A2 as well as the reduction processes in the potential region of peaks C2 and C1, were inhibited.

The difference in current passivity plateau was also noticed. The results showed that the addition of both extracts contributed to the iron corrosion inhibition and their inhibitive action could be explained by an insoluble Fe(III)complex that precipitates onto the electrode surface and decreases in the passive current density.

According to the literature natural phenolic compounds are effective metal chelators, which easily form complexes with di- and trivalent metal cations [14,16,32].

Fe2+ and Fe3+ ions prefer octahedral geometry and can coordinate up to three polyphenol compounds. Polyphenols are so structurally varied and the complexes formed are pH dependent. In near-neutral solutions many polyphenols are easily deprotonated and form stable complexes with iron ions [32]. At oxidation peak, A1, the iron dissolution product, Fe2+ with the polyphenols does not form complex with protective properties [16,32] and in this area the current density does not change with addition of extracts (Figure 2). During anodic polarization at the potential of the second oxidation peak (A2), polyphenols react with Fe3+ ions and form a protective ferric-complex.

This process is facilitated by strong electron donating density of oxygen ligands of the polyphenols that stabilize higher oxidation iron state [32].

Our analysis of the Satureja montana L. by means of spectrophotometry using Folin-Ciocalteu reagent has revealed the presence of the natural phenolic compounds. The total phenolics were expressed as tannic acid equivalents and it was obtained 194 mg/g of plant material. It is well known that extraction solvents had significant effects on the quantity of phenolic compounds [23,25,33]. The high-performance liquid chromatography (HPLC) [25,34] analysis of composition of the Satureja montana L. has confirmed the presence of the phenolic compounds. Some authors [33] demonstrated good correlation between phenolic profiles and corrosion inhibition effect.

From the CV measurements, it is possible to determinate the total charges used for both processes (anodic, QA and cathodic, QC) occurring on the Fe electrode. The QA was estimated by integration of the anodic portion of cyclic voltammograms. Anodic charges determined after addition of Satureja montana L. extract (SM) and phenolic fraction (PF) are used to calculate the inhibition efficiency, h according to the equation:

(2)η(%)=QA0QAQA0100

where QA0and QA represent anodic charges without and with extract (SM or PF). Inhibition efficiency is presented in Table 2 together with anodic charge values.

Table 2

Anodic charge, QA and inhibition efficiency, h for Fe electrode in 0.1 mol L-1 NaCl containing SM extract and phenolic fraction (PF) of Satureja montana L.

SolutionQA (mC cm-2)η (%)
NaCl921.4-
NaCl + SM638.141.37
NaCl + PF437.252.56

The calculated inhibition efficiencies obtained from the cyclic voltammetry method are close to the value determined from the potentiodynamic polarization measurements.

3.3 Electrochemical impedance spectroscopy

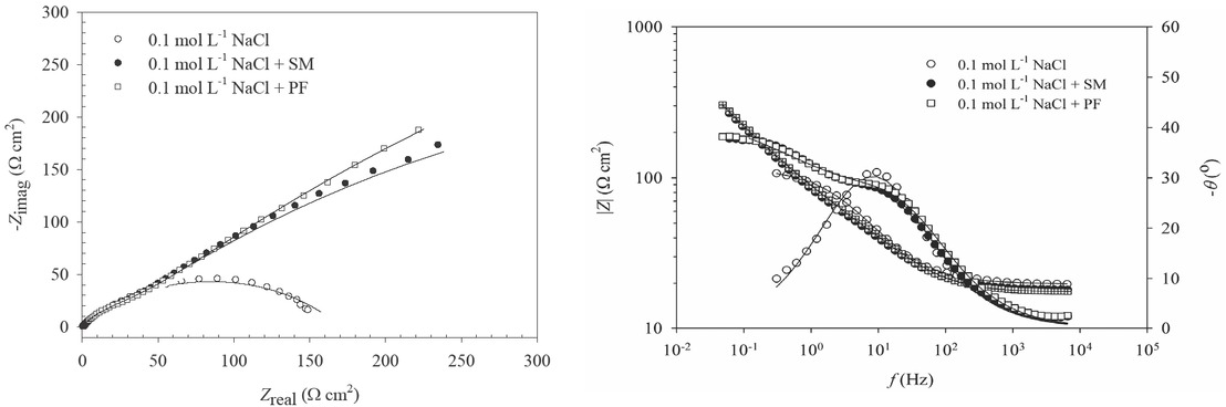
The mechanism of the electrochemical processes included in the process of oxide film formation and how it is modified by the presence of a corrosion inhibitor has been investigated using impedance spectroscopy. Impedance spectra for Fe electrode without and with SM and PF extract in 0.1 mol L-1 NaCl solution are presented in Figure 3 in the form of the Nyquist and Bode diagrams. The EIS diagrams were obtained at the open circuit potential.

Figure 3 Nyquist and Bode plots of Fe electrode recorded at the EOCP in 0.1 mol L-1 NaCl solution, containing SM and PF of Satureja montana L.
Figure 3

Nyquist and Bode plots of Fe electrode recorded at the EOCP in 0.1 mol L-1 NaCl solution, containing SM and PF of Satureja montana L.

The Nyquist plot obtained in the blank solution revealed one time constant; a single capacitive semicircle, showing that the corrosion process is mainly charge transfer controlled [33,35]. As can be seen, in presence of inhibitor two time constants were observed in the Nyquist diagram: the capacitive loop at high frequencies and a straight line seen as Warburg impedance in the low frequency. The high frequency capacitive loops can be related to the charge transfer process. The second time constant, in the low frequency range, consists of surface layer resistance, R2, surface layer capacity, Q2 and Warburg element that indicates a diffusion process through the surface layer.

The Bode plot obtained in the absence of the inhibitor shows three distinct regions (Figure 3).

In the higher frequency region (f > 1 kHz) the log|Z| values are low and phase angle values fall towards 0°, the data are dominated by electrolyte resistance. In the medium frequency region, the impedance of the system increases linearly with frequency decreases. In this area is appear the maximum phase angle (q = −30°). This value differs considerably from those expected for an ideal capacitor, where q = −90°. At the lowest frequencies the resistive behaviour of the system increases, but the area where |Z| is independent on f is not completely reached.

Bode plots recorded in the presence of inhibitor showed that the Bode amplitude values over the entire frequency range increase with the addition of SM and PF. As further inspection in Figure 3, it can be seen that phase angles increased up to −40° at low frequency area in the presence of the SM and PF indicating a capacitive behaviour. These changes indicate improved corrosion resistance.

Equivalent circuit models shown in Figure 4 are used to simulate obtained impedance data from Figure 3. The standard criteria for evaluation of EEC best-fit were followed: the chi-square error was low (χ2 ≤ 10-4 ) and the acceptable errors of elements in fitting mode (5%). The numerical values of the EEC parameters are presented in Table 3.

Figure 4 Electrical equivalent circuits used to fit the impedance spectra of Fe electrode (a) in the absence of extract and (b) in the presence of SM and PF.
Figure 4

Electrical equivalent circuits used to fit the impedance spectra of Fe electrode (a) in the absence of extract and (b) in the presence of SM and PF.

Table 3

Impedance parameters for Fe electrode in 0.1 mol L-1 NaCl solution in the absence and presence of SM and PF.

solutionQ1∙106n1R1Q2∙106R2W∙103
(W-1sn cm-2)(Ω cm2)(W-1sn cm-2)(Ω cm2)(W-1s0.5 cm-2)
NaCl20040.65118.3--
NaCl + SM18600.6772.5399259.98.50
NaCl + PF15240.7685.7385285.67.91

A constant phase element (CPE) was used in place of a capacitor to compensate for deviations from ideal dielectric behavior arising from the heterogeneities of the electrode surface [36]. The impedance of CPE is defined by the following equation: ZCPE(ω)=[Q(jω)n]1,where Q is the frequency-independent constant, ω is the angular frequency, j is the imaginary constant and n is the CPE parameter which characterizes the deviation of the system from ideal capacitive behaviour. The value of n is between -1 and 1. For a perfect capacitor n = 1, for a perfect resistor, n = 0, and for an inductor n = -1 [37].

As can be seen from Table 3, the addition of SM and PF extracts leads to the increase in total resistance, R1 + R2 (from 118 to 332 and 371 W cm2) and decrease in double layer capacity, Cdl (from 2004 ·10-6 to 1860·10-6 and 1524 · 10-6 W-1 sn cm-2). The decrease in Cdl, which can result from a decrease in local dielectric constant and/or an increase in the thickness of electrical double layer, suggests that the inhibitor molecules adsorbed at the metal/solution interface [33].

The total impedance of the Fe electrode/0.1 mol L-1 NaCl interface without (3) and with SM and PF extract (4) is given by:

(3)Ztot=RΩ+RRQ(jω)n+1
(4)Ztot=RΩ+[Q1(jω)n1+1R1+(Q2(jω)n2+1R2+W)1]1

3.4 Atomic absorption spectrometry

Quantitative determination of iron ions concentration in 0.1 mol L-1 NaCl solution obtained by atomic absorption spectrometry are presented in Table 2. Comparing these results, it can be observed that the quantities of released Fe ions are significantly reduced in the presence of both extracts.

It is obvious from Table 4 that the highest quantities of released Fe ions are in the pure NaCl solution (0.498 mg L-1 cm-2). An addition of phenolic compounds (SM and PF) in a NaCl solution reduces the amount of dissolved iron in the corrosive solution, especially in the presence of the PF extract. The results obtained from the AAS method are in accordance with the results recorded by electrochemical techniques. The inhibitive properties may be due to the presence of phenolic compounds in the extracts and formation of ferric complex.

Table 4

Amount of dissolved iron in 0.1 mol L-1 NaCl solution at EOCP containing SM and PF of Satureja montana L. obtained by the AAS technique.

SolutionThe content of dissolved Fe (mg L-1 cm-2)
NaCl0.498
NaCl + SM0.352
NaCl + PF0.197

4 Conclusions

The influence of Satureja montana L. extract and phenolic fraction of Satureja montana L. extract on the electrochemical behaviour of the iron in a 0.1 mol L-1 NaCl was investigated using electrochemical techniques, atomic absorption spectrometry and UV/Vis spectrophotometry.

The presence of the total phenolic compounds in SM extract (194 mg/g; as tannic acid equivalents) was confirmed by UV/Vis spectrophotometry. Results of all techniques showed that the SM and PF contributed to the inhibition process. An inhibition activity is due to the precipitate of Fe-complex layer at the metal surface. According to the EIS results total resistance values were increased by adding SM and PF. The inhibition efficiency for SM extract was around 45% and for PF fraction was about 55%. The concentration of the metallic ions released into solution, measured by atomic absorption spectrometry, was in a good correlation with the results obtained from the electrochemical techniques.

  1. Conflict of interest: Authors declare no conflict of interest.

References

[1] El-Sayed M.S., Erasmus R.M., Comins J.D., In situ Raman spectroscopy and electrochemical techniques for studying corrosion and corrosion inhibition of iron in sodium chloride solutions, Electrochim. Acta, 2010, 55, 3657-3663.10.1016/j.electacta.2010.01.117Search in Google Scholar

[2] Mišković I., Pilić Z., Influence of fluoride concentration and pH value on the corrosion behaviour of iron, Int. J. Electrochem. Sci., 2013, 8, 7926-7937.Search in Google Scholar

[3] Cao P., Gu R., Tian Z., Electrochemical and surface-enhanced raman spectroscopy studies on inhibition of iron corrosion by benzotriazole, Langmuir, 2002, 18, 7609-7615.10.1021/la025570mSearch in Google Scholar

[4] Pilić Z., Martinović I., Electrochemical behaviour of iron and AISI 304 stainless steel in simulated acid rain solution, Int. J. Mater. Res., 2016, 107, 925-834.10.3139/146.111421Search in Google Scholar

[5] Aramaki K., Uehara J., A SERS study on adsorption of some organic compounds on iron, J. Electrochem. Soc., 1989, 136, 1299-1303.10.1149/1.2096910Search in Google Scholar

[6] Gui J., Devine T.M., A SERS investigation of the passive films formed on iron in mildly alkaline solutions of carbonate/bicarbonate and nitrate, Corros. Sci., 1995, 37, 1177-1189.10.1016/0010-938X(94)00179-ASearch in Google Scholar

[7] Schmuki P., Büchler M., Virtanen S., Isaacs H.S., Ryan M.P., Böhni H., Passivity of iron in alkaline solutions studied by in situ XANES and a laser reflection technique, J. Electrochem. Soc., 1999, 146, 2097-2102.10.1149/1.1391897Search in Google Scholar

[8] Davenport A.J., Sansone M., High resolution in situ XANES investigation of the nature of the passive film on iron in a pH 8.4 borate buffer, J. Electrochem. Soc., 1995, 142, 725-730.10.1149/1.2048525Search in Google Scholar

[9] El-Sayed M.S., A comparative study on the electrochemical corrosion behavior of iron and X-65 steel in 4.0 wt % sodium chloride solution after different exposure intervals, Molecules, 2014, 19, 9962-9974.10.3390/molecules19079962Search in Google Scholar

[10] Amar H., Benzakour J., Villemin D., Moreau B., A corrosion inhibition study of iron by phosphonic acids in sodium chloride solution, J. Electroanal. Chem., 2003, 558, 131-139.10.1016/S0022-0728(03)00388-7Search in Google Scholar

[11] Pilić Z., Natural products as potential corrosion inhibitors, In: S. Tomas, Đ. Ačkar (Ed.), Book of Abstracts of 17th International Conference Ružička days “Today science-tomorrow industry” (19-21 September 2018, Vukovar, Croatia), Faculty of Food Technology Osijek, 2018, 11-11.Search in Google Scholar

[12] Attia E.M., Dipron: an eco-friendly corrosion inhibitor for iron in HCl media in both micro and nano scale particle size - Comparative study, Int. J. Adv. Res., 2016, 4, 986-1003.Search in Google Scholar

[13] Raja P.B., Sethuraman M.G., Natural products as corrosion inhibitor for metals in corrosive media-A review, Mater. Lett., 2008, 62, 113-116.10.1016/j.matlet.2007.04.079Search in Google Scholar

[14] Rahim A.A., Rocca E., Steinmetz J., Kassim M.J., Inhibitive action of mangrove tannins and phosphoric acid on pre-rusted steel via electrochemical methods, Corros. Sci., 2008, 50, 1546-1550.10.1016/j.corsci.2008.02.013Search in Google Scholar

[15] El-Etre A.Y., Inhibition of acid corrosion of carbon steel using aqueous extract of olive leaves, J. Colloid Interface Sci., 2007, 314, 578-583.10.1016/j.jcis.2007.05.077Search in Google Scholar PubMed

[16] Babić R., Metikoš-Huković M., Pilić Z., Passivity of mild steel in borate buffer solution containing tannin, Corrosion, 2003, 59, 890-896.10.5006/1.3287710Search in Google Scholar

[17] Soltani N., Tavakkoli N., Khayatkashani M., Jalali M. R., Mosavizade A., Green approach to corrosion inhibition of 304 stainless steel in hydrochloric acid solution by the extract of Salvia officinalis leaves, Corros. Sci., 2012, 62, 122-135.10.1016/j.corsci.2012.05.003Search in Google Scholar

[18] Pilić Z., Martinović I., Zlatić G., Electrochemical behaviour of iron in simulated acid rain in presence of Achillea millefolium L., Int. J. Electrochem. Sci., 2018, 13, 5151-5163.10.20964/2018.06.29Search in Google Scholar

[19] Ćetković G.S., Čanadanović-Brunet J.M., Djilas S.M., Tumbas V.T., Markov S.L., Cvetković D.D., Antioxidant potential, lipid peroxidation inhibition and antimicrobial activities of Satureja montana L. subsp. kitaibelii extracts, Int. J. Mol. Sci., 2007, 8, 1013-1027.10.3390/i8101013Search in Google Scholar

[20] Serrano C., Matos O., Teixeira B., Ramos C., Neng N., Nogueira J., Nunesc M.L., Marques A., Antioxidant and antimicrobial activity of Satureja montana L. extracts, J. Sci. Food Agric., 2011, 91, 1554-1560.10.1002/jsfa.4347Search in Google Scholar PubMed

[21] Kundaković T., Stanojković T., Kolundzija B., Marković S., Sukilović B., Milenković M., Lakusić B., Cytotoxicity and antimicrobial activity of the essential oil from Satureja montana subsp. pisidica (Lamiceae), Nat. Prod. Commun., 2014, 9, 569-572.10.1177/1934578X1400900437Search in Google Scholar

[22] Radonić A., Miloš M., Chemical composition and in vitro evaluation of antioxidant effect of free volatile compounds from Satureja montana L., Free Radical Res., 2003, 37, 673-679.10.1080/1071576031000105643Search in Google Scholar PubMed

[23] Ćavar-Zeljković S., Topčagić A., Požgan F., Stefanec B., Tarkowski P., Maksimović M., Antioxidant activity of natural and modified phenolic extracts from Satureja montana L., Ind. Crops. Prod., 2015, 76, 1094-1099.10.1016/j.indcrop.2015.08.009Search in Google Scholar

[24] Vladić J., Zeković Z., Cvejin A., Adamović D., Vidović S.S., Optimization of Satureja montana extraction process considering phenolic antioxidants and antioxidant activity, Sep. Sci. Technol., 2014, 49, 2066-2072.10.1080/01496395.2014.908218Search in Google Scholar

[25] Ćetković G.S., Mandić A.I., Čanadanović-Brunet J.M., Djilas S.M., Tumbas V.T., HPLC screening of phenolic compounds in winter savory (Satureja montana L.) extracts, J. Liq. Chromatogr. Related Technol., 2007, 30, 293-306.10.1080/10826070601063559Search in Google Scholar

[26] Katalinić V., High-performance liquid chromatographic determination of flavan fingerprints in plant extracts, J. Chromatography A, 1997, 775, 359-367.10.1016/S0021-9673(97)00180-5Search in Google Scholar

[27] Maksimović Z., Malenčić Đ., Kovačević N., Polyphenol contents and antioxidant activity of Maydis stigma extracts, Bioresour. Technol., 2005, 96, 873-877.10.1016/j.biortech.2004.09.006Search in Google Scholar

[28] Demiray S., Pintado M.E., Castro P.M.L., Evaluation of phenolic profiles and antioxidant activities of Turkish medicinal plants: Tilia argentea, Crataegi folium leaves and Polygonum bistorta roots, World Acad. Sci. Eng. Technol., 2009, 54, 312-317.Search in Google Scholar

[29] Rajabian A., Hassanzadeh Khayyat M., Emami S.A., Tayarani-Najaran Z., Rahimzadeh Oskooie R., Asili J., Phytochemical evaluation and antioxidant activity of essential oil, and aqueous and organic extracts of Artemisia dracunculus, Jundishapur J. Nat. Pharm. Prod., 2017, 12(1), e32325, DOI: 10.5812/jjnpp.32325.10.5812/jjnpp.32325Search in Google Scholar

[30] Kadapparambil S., Yadav K., Ramachandran M., Selvam N.V., Electrochemical investigation of the corrosion inhibition mechanism of Tectona grandis leaf extract for SS304 stainless steel in hydrochloric acid, Corros. Rev. 2017, 35, 111-121.10.1515/corrrev-2016-0074Search in Google Scholar

[31] Bentiss F., Traisnel M., Lagrenee M., The substituted 1,3,4-oxadiazoles: a new class of corrosion inhibitors of mild steel in acidic media, Corros. Sci., 2000, 42, 127-146.10.1016/S0010-938X(99)00049-9Search in Google Scholar

[32] Perron N.R., Brumaghim J.L., A review of the antioxidant mechanisms of polyphenol compounds related to iron binding, Cell Biochem. Biophys., 2009, 53, 75-100.10.1007/s12013-009-9043-xSearch in Google Scholar PubMed

[33] Tan K.W., Kassim M.J., A correlation study on the phenolic profiles and corrosion inhibition properties of mangrove tannins (Rhizophora apiculata) as affected by extraction solvents, Corros. Sci., 2011, 53, 569-574.10.1016/j.corsci.2010.09.065Search in Google Scholar

[34] López-Cobo A., Gómez-Caravaca A.M., Švarc-Gajić J., Segura-Carretero A., Fernández-Gutiérrez A., Determination of phenolic compounds and antioxidant activity of a Mediterranean plant: The case of Satureja montana subsp. kitaibelii, J. Funct. Foods, 2015, 18, 1167-1178.10.1016/j.jff.2014.10.023Search in Google Scholar

[35] Ostovari A., Hoseinieh S.M., Peikari M., Shadizadeh S.R., Hashemi S.J., Corrosion inhibition of mild steel in 1M HCl solution by henna extract: A comparative study of the inhibition by henna and its constituents (Lawsone, Gallic acid, α-d-Glucose and Tannic acid), Corros. Sci., 2009, 51, 1935-1949.10.1016/j.corsci.2009.05.024Search in Google Scholar

[36] Metikoš-Huković M., Pilić Z., Babić R., Omanović D., Influence of alloying elements on the corrosion stability of CoCrMo implant alloy in Hank’s solution, Acta Biomater., 2006, 2, 693-700.10.1016/j.actbio.2006.06.002Search in Google Scholar PubMed

[37] Orazem M.E., Tribollet B., Electrochemical Impedance Spectroscopy, Willey, 2008.10.1002/9780470381588Search in Google Scholar

Received: 2019-03-04
Accepted: 2019-06-24
Published Online: 2019-12-10

© 2019 Zora Pilić et al., published by De Gruyter

This work is licensed under the Creative Commons Attribution 4.0 Public License.

Articles in the same Issue

  1. Regular Articles
  2. Research on correlation of compositions with oestrogenic activity of Cistanche based on LC/Q-TOF-MS/MS technology
  3. Efficacy of Pyrus elaeagnifolia subsp. elaeagnifolia in acetic acid–induced colitis model
  4. Anti-inflammatory and antinociceptive features of Bryonia alba L.: As a possible alternative in treating rheumatism
  5. High efficiency liposome fusion induced by reducing undesired membrane peptides interaction
  6. Prediction of the Blood-Brain Barrier Permeability Using RP-18 Thin Layer Chromatography
  7. Phytic Acid Extracted from Rice Bran as a Growth Promoter for Euglena gracilis
  8. Development of a validated spectrofluorimetric method for assay of sotalol hydrochloride in tablets and human plasma: application for stability-indicating studies
  9. Topological Indices of Hyaluronic Acid-Paclitaxel Conjugates’ Molecular Structure in Cancer Treatment
  10. Thermodynamic properties of the bubble growth process in a pool boiling of water-ethanol mixture two-component system
  11. Critical Roles of the PI3K-Akt-mTOR Signaling Pathway in Apoptosis and Autophagy of Astrocytes Induced by Methamphetamine
  12. Characteristics of Stable Hydrogen and Oxygen Isotopes of Soil Moisture under Different Land Use in Dry Hot Valley of Yuanmou
  13. Specific, highly sensitive and simple spectrofluorimetric method for quantification of daclatasvir in HCV human plasma patients and in tablets dosage form
  14. Chromium-modified cobalt molybdenum nitrides as catalysts for ammonia synthesis
  15. Langerhans cell-like dendritic cells treated with ginsenoside Rh2 regulate the differentiation of Th1 and Th2 cells in vivo
  16. Identification of Powdery Mildew Blumeria graminis f. sp. tritici Resistance Genes in Selected Wheat Varieties and Development of Multiplex PCR
  17. Computational Analysis of new Degree-based descriptors of oxide networks
  18. The Use Of Chemical Composition And Additives To Classify Petrol And Diesel Using Gas Chromatography–Mass Spectrometry And Chemometric Analysis: A Uk Study
  19. Minimal Energy Tree with 4 Branched Vertices
  20. Jatropha seed oil derived poly(esteramide-urethane)/ fumed silica nanocomposite coatings for corrosion protection
  21. Calculating topological indices of certain OTIS interconnection networks
  22. Energy storage analysis of R125 in UIO-66 and MOF-5 nanoparticles: A molecular simulation study
  23. Velvet Antler compounds targeting major cell signaling pathways in osteosarcoma - a new insight into mediating the process of invasion and metastasis in OS
  24. Effects of Azadirachta Indica Leaf Extract, Capping Agents, on the Synthesis of Pure And Cu Doped ZnO-Nanoparticles: A Green Approach and Microbial Activity
  25. Aqueous Micro-hydration of Na+(H2O)n=1-7 Clusters: DFT Study
  26. A proposed image-based detection of methamidophos pesticide using peroxyoxalate chemiluminescence system
  27. Phytochemical screening and estrogenic activity of total glycosides of Cistanche deserticola
  28. Biological evaluation of a series of benzothiazole derivatives as mosquitocidal agents
  29. Chemical pretreatments of Trapa bispinosa's peel (TBP) biosorbent to enhance adsorption capacity for Pb(ll)
  30. Dynamic Changes in MMP1 and TIMP1 in the Antifibrotic Process of Dahuang Zhechong Pill in Rats with Liver Fibrosis
  31. The Optimization and Production of Ginkgolide B Lipid Microemulsion
  32. Photodynamic Therapy Enhanced the Antitumor Effects of Berberine on HeLa Cells
  33. Chiral and Achiral Enantiomeric Separation of (±)-Alprenolol
  34. Correlation of Water Fluoride with Body Fluids, Dental Fluorosis and FT4, FT3 –TSH Disruption among Children in an Endemic Fluorosis area in Pakistan
  35. A one-step incubation ELISA kit for rapid determination of dibutyl phthalate in water, beverage and liquor
  36. Free Radical Scavenging Activity of Essential Oil of Eugenia caryophylata from Amboina Island and Derivatives of Eugenol
  37. Effects of Blue and Red Light On Growth And Nitrate Metabolism In Pakchoi
  38. miRNA-199a-5p functions as a tumor suppressor in prolactinomas
  39. Solar photodegradation of carbamazepine from aqueous solutions using a compound parabolic concentrator equipped with a sun tracking system
  40. Influence of sub-inhibitory concentration of selected plant essential oils on the physical and biochemical properties of Pseudomonas orientalis
  41. Preparation and spectroscopic studies of Fe(II), Ru(II), Pd(II) and Zn(II) complexes of Schiff base containing terephthalaldehyde and their transfer hydrogenation and Suzuki-Miyaura coupling reaction
  42. Complex formation in a liquid-liquid extraction-chromogenic system for vanadium(IV)
  43. Synthesis, characterization (IR, 1H, 13C & 31P NMR), fungicidal, herbicidal and molecular docking evaluation of steroid phosphorus compounds
  44. Analysis and Biological Evaluation of Arisaema Amuremse Maxim Essential Oil
  45. A preliminary assessment of potential ecological risk and soil contamination by heavy metals around a cement factory, western Saudi Arabia
  46. Anti- inflammatory effect of Prunus tomentosa Thunb total flavones in LPS-induced RAW264.7 cells
  47. Collaborative Influence of Elevated CO2 Concentration and High Temperature on Potato Biomass Accumulation and Characteristics
  48. Methods of extraction, physicochemical properties of alginates and their applications in biomedical field – a review
  49. Characteristics of liposomes derived from egg yolk
  50. Preparation of ternary ZnO/Ag/cellulose and its enhanced photocatalytic degradation property on phenol and benzene in VOCs
  51. Influence of Human Serum Albumin Glycation on the Binding Affinities for Natural Flavonoids
  52. Synthesis and antioxidant activity of 2-methylthio-pyrido[3,2-e][1,2,4] triazolo[1,5-a]pyrimidines
  53. Comparative study on the antioxidant activities of ten common flower teas from China
  54. Molecular Properties of Symmetrical Networks Using Topological Polynomials
  55. Synthesis of Co3O4 Nano Aggregates by Co-precipitation Method and its Catalytic and Fuel Additive Applications
  56. Phytochemical analysis, Antioxidant and Antiprotoscolices potential of ethanol extracts of selected plants species against Echinococcus granulosus: In-vitro study
  57. Silver nanoparticles enhanced fluorescence for sensitive determination of fluoroquinolones in water solutions
  58. Simultaneous Quantification of the New Psychoactive Substances 3-FMC, 3-FPM, 4-CEC, and 4-BMC in Human Blood using GC-MS
  59. Biodiesel Production by Lipids From Indonesian strain of Microalgae Chlorella vulgaris
  60. Miscibility studies of polystyrene/polyvinyl chloride blend in presence of organoclay
  61. Antibacterial Activities of Transition Metal complexes of Mesocyclic Amidine 1,4-diazacycloheptane (DACH)
  62. Novel 1,8-Naphthyridine Derivatives: Design, Synthesis and in vitro screening of their cytotoxic activity against MCF7 cell line
  63. Investigation of Stress Corrosion Cracking Behaviour of Mg-Al-Zn Alloys in Different pH Environments by SSRT Method
  64. Various Combinations of Flame Retardants for Poly (vinyl chloride)
  65. Phenolic compounds and biological activities of rye (Secale cereale L.) grains
  66. Oxidative degradation of gentamicin present in water by an electro-Fenton process and biodegradability improvement
  67. Optimizing Suitable Conditions for the Removal of Ammonium Nitrogen by a Microbe Isolated from Chicken Manure
  68. Anti-inflammatory, antipyretic, analgesic, and antioxidant activities of Haloxylon salicornicum aqueous fraction
  69. The anti-corrosion behaviour of Satureja montana L. extract on iron in NaCl solution
  70. Interleukin-4, hemopexin, and lipoprotein-associated phospholipase A2 are significantly increased in patients with unstable carotid plaque
  71. A comparative study of the crystal structures of 2-(4-(2-(4-(3-chlorophenyl)pipera -zinyl)ethyl) benzyl)isoindoline-1,3-dione by synchrotron radiation X-ray powder diffraction and single-crystal X-ray diffraction
  72. Conceptual DFT as a Novel Chemoinformatics Tool for Studying the Chemical Reactivity Properties of the Amatoxin Family of Fungal Peptides
  73. Occurrence of Aflatoxin M1 in Milk-based Mithae samples from Pakistan
  74. Kinetics of Iron Removal From Ti-Extraction Blast Furnace Slag by Chlorination Calcination
  75. Increasing the activity of DNAzyme based on the telomeric sequence: 2’-OMe-RNA and LNA modifications
  76. Exploring the optoelectronic properties of a chromene-appended pyrimidone derivative for photovoltaic applications
  77. Effect of He Qi San on DNA Methylation in Type 2 Diabetes Mellitus Patients with Phlegm-blood Stasis Syndrome
  78. Cyclodextrin potentiometric sensors based on selective recognition sites for procainamide: Comparative and theoretical study
  79. Greener synthesis of dimethyl carbonate from carbon dioxide and methanol using a tunable ionic liquid catalyst
  80. Nonisothermal Cold Crystallization Kinetics of Poly(lactic acid)/Bacterial Poly(hydroxyoctanoate) (PHO)/Talc
  81. Enhanced adsorption of sulfonamide antibiotics in water by modified biochar derived from bagasse
  82. Study on the Mechanism of Shugan Xiaozhi Fang on Cells with Non-alcoholic Fatty Liver Disease
  83. Comparative Effects of Salt and Alkali Stress on Antioxidant System in Cotton (Gossypium Hirsutum L.) Leaves
  84. Optimization of chromatographic systems for analysis of selected psychotropic drugs and their metabolites in serum and saliva by HPLC in order to monitor therapeutic drugs
  85. Electrocatalytic Properties of Ni-Doped BaFe12O19 for Oxygen Evolution in Alkaline Solution
  86. Study on the removal of high contents of ammonium from piggery wastewater by clinoptilolite and the corresponding mechanisms
  87. Phytochemistry and toxicological assessment of Bryonia dioica roots used in north-African alternative medicine
  88. The essential oil composition of selected Hemerocallis cultivars and their biological activity
  89. Mechanical Properties of Carbon Fiber Reinforced Nanocrystalline Nickel Composite Electroforming Deposit
  90. Anti-c-myc efficacy block EGFL7 induced prolactinoma tumorigenesis
  91. Topical Issue on Applications of Mathematics in Chemistry
  92. Zagreb Connection Number Index of Nanotubes and Regular Hexagonal Lattice
  93. The Sanskruti index of trees and unicyclic graphs
  94. Valency-based molecular descriptors of Bakelite network BNmn
  95. Computing Topological Indices for Para-Line Graphs of Anthracene
  96. Zagreb Polynomials and redefined Zagreb indices of Dendrimers and Polyomino Chains
  97. Topological Descriptor of 2-Dimensional Silicon Carbons and Their Applications
  98. Topological invariants for the line graphs of some classes of graphs
  99. Words for maximal Subgroups of Fi24
  100. Generators of Maximal Subgroups of Harada-Norton and some Linear Groups
  101. Special Issue on POKOCHA 2018
  102. Influence of Production Parameters on the Content of Polyphenolic Compounds in Extruded Porridge Enriched with Chokeberry Fruit (Aronia melanocarpa (Michx.) Elliott)
  103. Effects of Supercritical Carbon Dioxide Extraction (SC-CO2) on the content of tiliroside in the extracts from Tilia L. flowers
  104. Impact of xanthan gum addition on phenolic acids composition and selected properties of new gluten-free maize-field bean pasta
  105. Impact of storage temperature and time on Moldavian dragonhead oil – spectroscopic and chemometric analysis
  106. The effect of selected substances on the stability of standard solutions in voltammetric analysis of ascorbic acid in fruit juices
  107. Determination of the content of Pb, Cd, Cu, Zn in dairy products from various regions of Poland
  108. Special Issue on IC3PE 2018 Conference
  109. The Photocatalytic Activity of Zns-TiO2 on a Carbon Fiber Prepared by Chemical Bath Deposition
  110. N-octyl chitosan derivatives as amphiphilic carrier agents for herbicide formulations
  111. Kinetics and Mechanistic Study of Hydrolysis of Adenosine Monophosphate Disodium Salt (AMPNa2) in Acidic and Alkaline Media
  112. Antimalarial Activity of Andrographis Paniculata Ness‘s N-hexane Extract and Its Major Compounds
  113. Special Issue on ABB2018 Conference
  114. Special Issue on ICCESEN 2017
  115. Theoretical Diagnostics of Second and Third-order Hyperpolarizabilities of Several Acid Derivatives
  116. Determination of Gamma Rays Efficiency Against Rhizoctonia solani in Potatoes
  117. Studies On Compatibilization Of Recycled Polyethylene/Thermoplastic Starch Blends By Using Different Compatibilizer
  118. Liquid−Liquid Extraction of Linalool from Methyl Eugenol with 1-Ethyl-3-methylimidazolium Hydrogen Sulfate [EMIM][HSO4] Ionic Liquid
  119. Synthesis of Graphene Oxide Through Ultrasonic Assisted Electrochemical Exfoliation
  120. Special Issue on ISCMP 2018
  121. Synthesis and antiproliferative evaluation of some 1,4-naphthoquinone derivatives against human cervical cancer cells
  122. The influence of the grafted aryl groups on the solvation properties of the graphyne and graphdiyne - a MD study
  123. Electrochemical modification of platinum and glassy carbon surfaces with pyridine layers and their use as complexing agents for copper (II) ions
  124. Effect of Electrospinning Process on Total Antioxidant Activity of Electrospun Nanofibers Containing Grape Seed Extract
  125. Effect Of Thermal Treatment Of Trepel At Temperature Range 800-1200˚C
  126. Topical Issue on Agriculture
  127. The effect of Cladophora glomerata exudates on the amino acid composition of Cladophora fracta and Rhizoclonium sp.
  128. Influence of the Static Magnetic Field and Algal Extract on the Germination of Soybean Seeds
  129. The use of UV-induced fluorescence for the assessment of homogeneity of granular mixtures
  130. The use of microorganisms as bio-fertilizers in the cultivation of white lupine
  131. Lyophilized apples on flax oil and ethyl esters of flax oil - stability and antioxidant evaluation
  132. Production of phosphorus biofertilizer based on the renewable materials in large laboratory scale
  133. Human health risk assessment of potential toxic elements in paddy soil and rice (Oryza sativa) from Ugbawka fields, Enugu, Nigeria
  134. Recovery of phosphates(V) from wastewaters of different chemical composition
  135. Special Issue on the 4th Green Chemistry 2018
  136. Dead zone for hydrogenation of propylene reaction carried out on commercial catalyst pellets
  137. Improved thermally stable oligoetherols from 6-aminouracil, ethylene carbonate and boric acid
  138. The role of a chemical loop in removal of hazardous contaminants from coke oven wastewater during its treatment
  139. Combating paraben pollution in surface waters with a variety of photocatalyzed systems: Looking for the most efficient technology
  140. Special Issue on Chemistry Today for Tomorrow 2019
  141. Applying Discriminant and Cluster Analyses to Separate Allergenic from Non-allergenic Proteins
  142. Chemometric Expertise Of Clinical Monitoring Data Of Prolactinoma Patients
  143. Chemomertic Risk Assessment of Soil Pollution
  144. New composite sorbent for speciation analysis of soluble chromium in textiles
  145. Photocatalytic activity of NiFe2O4 and Zn0.5Ni0.5Fe2O4 modified by Eu(III) and Tb(III) for decomposition of Malachite Green
  146. Photophysical and antibacterial activity of light-activated quaternary eosin Y
  147. Spectral properties and biological activity of La(III) and Nd(III) Monensinates
  148. Special Issue on Monitoring, Risk Assessment and Sustainable Management for the Exposure to Environmental Toxins
  149. Soil organic carbon mineralization in relation to microbial dynamics in subtropical red soils dominated by differently sized aggregates
  150. A potential reusable fluorescent aptasensor based on magnetic nanoparticles for ochratoxin A analysis
  151. Special Issue on 13th JCC 2018
  152. Fluorescence study of 5-nitroisatin Schiff base immobilized on SBA-15 for sensing Fe3+
  153. Thermal and Morphology Properties of Cellulose Nanofiber from TEMPO-oxidized Lower part of Empty Fruit Bunches (LEFB)
  154. Encapsulation of Vitamin C in Sesame Liposomes: Computational and Experimental Studies
  155. A comparative study of the utilization of synthetic foaming agent and aluminum powder as pore-forming agents in lightweight geopolymer synthesis
  156. Synthesis of high surface area mesoporous silica SBA-15 by adjusting hydrothermal treatment time and the amount of polyvinyl alcohol
  157. Review of large-pore mesostructured cellular foam (MCF) silica and its applications
  158. Ion Exchange of Benzoate in Ni-Al-Benzoate Layered Double Hydroxide by Amoxicillin
  159. Synthesis And Characterization Of CoMo/Mordenite Catalyst For Hydrotreatment Of Lignin Compound Models
  160. Production of Biodiesel from Nyamplung (Calophyllum inophyllum L.) using Microwave with CaO Catalyst from Eggshell Waste: Optimization of Transesterification Process Parameters
  161. The Study of the Optical Properties of C60 Fullerene in Different Organic Solvents
  162. Composite Material Consisting of HKUST-1 and Indonesian Activated Natural Zeolite and its Application in CO2 Capture
  163. Topical Issue on Environmental Chemistry
  164. Ionic liquids modified cobalt/ZSM-5 as a highly efficient catalyst for enhancing the selectivity towards KA oil in the aerobic oxidation of cyclohexane
  165. Application of Thermal Resistant Gemini Surfactants in Highly Thixotropic Water-in-oil Drilling Fluid System
  166. Screening Study on Rheological Behavior and Phase Transition Point of Polymer-containing Fluids produced under the Oil Freezing Point Temperature
  167. The Chemical Softening Effect and Mechanism of Low Rank Coal Soaked in Alkaline Solution
  168. The Influence Of NO/O2 On The NOx Storage Properties Over A Pt-Ba-Ce/γ-Al2O3 Catalyst
  169. Special Issue on the International conference CosCI 2018
  170. Design of SiO2/TiO2 that Synergistically Increases The Hydrophobicity of Methyltrimethoxysilane Coated Glass
  171. Antidiabetes and Antioxidant agents from Clausena excavata root as medicinal plant of Myanmar
  172. Development of a Gold Immunochromatographic Assay Method Using Candida Biofilm Antigen as a Bioreceptor for Candidiasis in Rats
  173. Special Issue on Applied Biochemistry and Biotechnology 2019
  174. Adsorption of copper ions on Magnolia officinalis residues after solid-phase fermentation with Phanerochaete chrysosporium
  175. Erratum
  176. Erratum to: Sand Dune Characterization For Preparing Metallurgical Grade Silicon
Downloaded on 20.12.2025 from https://www.degruyterbrill.com/document/doi/10.1515/chem-2019-0126/html
Scroll to top button